Study of Fire Plume Behavior and Maximum Ceiling Temperature Rise in a Curved Tunnel Driven by the Coupling of Blockage Effect and Longitudinal Ventilation
Abstract
1. Introduction
2. Mathematical Modeling
2.1. Control Equation
2.2. Model Description and Boundary Conditions
2.3. Grid and Time Step Sensitivity Analysis
2.4. Validation of Numerical Models
3. Results and Discussions
3.1. Flow Field Structure in Tunnel Fires
3.2. Characterization of Smoke Movement in Tunnel Fires
3.2.1. Impact of Curved Structures on Fire Plume Flow Behavior
3.2.2. Effects of the Coupling Between Curved Structures and Blockages on Fire Plume Flow Behavior
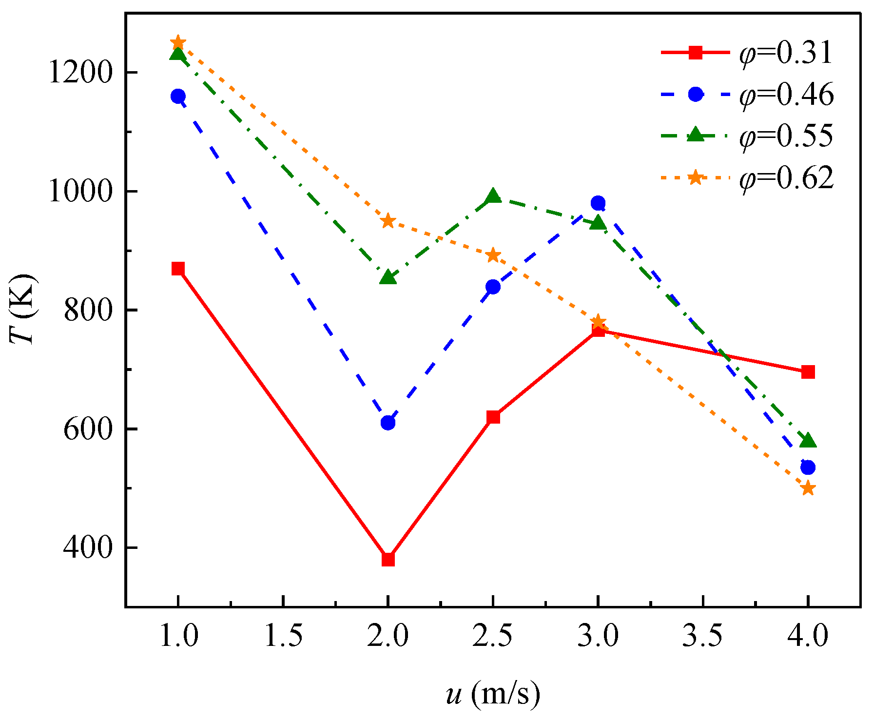
3.3. Maximum Temperature Rise of the Tunnel Arch
4. Conclusions
- After the fire smoke in the tunnel reaches a quasi-stable state, the high-temperature zone in the vault of a straight tunnel remains unchanged. However, for curved tunnels, in addition to its own buoyancy and longitudinal wind inertia forces, the fire smoke in curved tunnels is also affected by centrifugal forces induced by the curved structure. This results in a lateral dynamic deflection of the fire plume between the concave and convex walls of the tunnel, which changes the location of the fire plume impacting the tunnel vault and keeps the location of the high-temperature zone on the tunnel vault surface under dynamic change.
- For curved tunnel fires with vehicle blockage, the flow structure in the near field of the blockage and fire source is very complex. It contains a free shear layer, recirculation I above the vehicle blockage, recirculation II downstream of the blockage, and recirculation III at the top of the tunnel. The extents of these recirculation zones depend on the blockage ratio and longitudinal air velocity. Higher air velocities lead to larger recirculation zones I and II but a smaller zone III, while a higher blockage ratio results in an expanded zone II and reduced zones I and III.
- In the curved tunnel fire with vehicle blockages, the fire plume deflection direction changes from downstream to upstream of the fire source as the longitudinal air velocity increases, displaying a “downstream tilt—touch the ceiling above the fire source—upstream tilt” pattern. The maximum ceiling temperature rise fluctuates in a decreasing-increasing-decreasing trend. A higher blockage ratio leads to a lower critical air velocity required for the transition of the plume deflection direction. This phenomenon results from the competing pulling forces acting on the fire plume within the tunnel: recirculation I and II pull the plume upstream, while the free shear layer and recirculation III pull it downstream. The ultimate plume deflection direction depends on the relative strengths of these opposing forces. A semi-empirical prediction model is developed to estimate the maximum temperature rise of a curved tunnel ceiling. This model accounts for both longitudinal wind effects and vehicle blockage ratios, showing strong agreement with numerical simulation results.
- It should be noted that the degree of curvature of the curved tunnel, i.e., the curvature radius, will also have an impact on the behavior of tunnel fire plumes and the maximum ceiling temperature, and we will conduct a systematic and in-depth study on this in the follow-up. In addition, given the fact that the plume temperature is dominated by the entrainment process when rising, the theoretical prediction equation with more comprehensive physical significance will be established by solving the entrainment intensity of the major vortex quantitatively in our future work.
Author Contributions
Funding
Institutional Review Board Statement
Informed Consent Statement
Data Availability Statement
Conflicts of Interest
References
- Zhao, J.; Xu, Z.; Fang, L.; Zhang, Y.; Yu, C. Analyzing the reflash feature of large-area liquid fire in channel-like structures: A case study. Case Stud. Therm. Eng. 2022, 38, 102342. [Google Scholar] [CrossRef]
- Zhang, X.; Guo, S.; Dang, X.; Hwang, A.; Li, F.; Yang, B.; Quan, C. Experimental investigation on the influence of portal-blocking speed on fire behaviors in tunnel structure. Case Stud. Therm. Eng. 2024, 53, 103811. [Google Scholar] [CrossRef]
- Gao, Z.; Liu, M.; Zhao, P.; Yan, C. Influence of tunnel slope on the one-dimensional spread of smoke transportation and temperature distribution in tunnel fires. Tunn. Undergr. Sp. Technol. 2024, 146, 105650. [Google Scholar] [CrossRef]
- Jiang, X.; Chen, X.; Xiao, N.; Liao, X.; Fan, C. Influence of the competitive effect of V-shaped slope tunnel on smoke characteristics. Tunn. Undergr. Sp. Technol. 2021, 118, 104193. [Google Scholar] [CrossRef]
- Byrne, E.; Georgieva, K.; Carvel, R. Fires in ducts: A review of the early research which underpins modern tunnel fire safety engineering. Tunn. Undergr. Sp. Tech. 2018, 81, 306–314. [Google Scholar] [CrossRef]
- Zhang, T.; Wang, G.; Hu, H.; Huang, Y.; Zhu, K.; Wu, K. Study on temperature decay characteristics of fire smoke backflow layer in tunnels with wide-shallow cross-section. Tunn. Undergr. Sp. Tech. 2021, 112, 103874. [Google Scholar] [CrossRef]
- Chen, C.K.; Xiao, H.; Wang, N.N.; Shi, C.; Zhu, C.; Liu, X. Experimental investigation of pool fire behavior to different tunnel-end ventilation opening areas by sealing. Tunn. Undergr. Sp. Tech. 2017, 63, 106–117. [Google Scholar] [CrossRef]
- Cong, W.; Nie, S.; Li, X.; He, K.; Peng, W. Experimental study and newly proposed correlations for maximum ceiling gas temperature rise in tunnel fires with natural ventilation. Case Stud. Therm. Eng. 2024, 55, 104164. [Google Scholar] [CrossRef]
- Yao, Y.; Wang, R.; Xia, Z.; He, K.; Peng, W. Smoke movement and control in longitudinal ventilated tunnel fires with cross-passages. Case Stud. Therm. Eng. 2023, 45, 102945. [Google Scholar] [CrossRef]
- Yao, Y.; He, K.; Peng, M.; Shi, L.; Cheng, X. The maximum gas temperature rises beneath the ceiling in a longitudinal ventilated tunnel fire. Tunn. Undergr. Sp. Technol. 2021, 108, 103672. [Google Scholar] [CrossRef]
- Zhang, T.; Wang, G.; Li, J.; Wu, K.; Wang, L. Modelling the maximum ceiling temperature with bifurcated plume in tunnel fires. Fire Saf. J. 2024, 150, 104249. [Google Scholar] [CrossRef]
- Wu, K.; Li, J.; Chen, X.; Duan, X.; Zhang, T.; Wang, L. Flame behavior and maximum ceiling temperature in traffic merging section tunnel fires: An experimental study and engineering modelling methodology. Tunn. Undergr. Space Technol. 2025, 156, 106230. [Google Scholar] [CrossRef]
- Morton, B.R.; Taylor, G.I.; Turner, J.S. Turbulent gravitational convection from maintained and instantaneous sources. Proc. R. Soc. Lond. Proc. Math. Phys. Eng. Sci. 1956, 234, 1–23. [Google Scholar]
- Zukoski, E.E.; Kubota, T.; Cetegen, B. Entrainment in fire plumes. Fire Saf. J. 1981, 3, 107–121. [Google Scholar] [CrossRef]
- Alpert, R.L. Turbulent ceiling-jet induced by large-scale fires. Combust. Sci. Technol. 1975, 11, 197–213. [Google Scholar] [CrossRef]
- Kurioka, H.; Oka, Y.; Satoh, H.; Sugawa, O. Fire properties in near field of square fire source with longitudinal ventilation in tunnels. Fire Saf. J. 2003, 38, 319–340. [Google Scholar] [CrossRef]
- Li, Y.Z.; Lei, B.; Ingason, H. The maximum temperature of buoyancy-driven smoke flow beneath the ceiling in tunnel fires. Fire Saf. J. 2011, 46, 204–210. [Google Scholar] [CrossRef]
- Ji, J.; Fu, Y.; Li, K.; Sun, J.; Fan, C.; Shi, W. Experimental study on behavior of sidewall fires at varying height in a corridor-like structure. Proc. Combust. Inst. 2015, 35, 2639–2646. [Google Scholar] [CrossRef]
- Chen, L.; Tang, F.; Wang, Q.; Li, L. Experimental study on temperature distribution of ceiling jet in tunnel fires under natural ventilation. Procedia Eng. 2018, 211, 674–680. [Google Scholar] [CrossRef]
- Li, L.; Cheng, X.; Cui, Y.; Dong, W.; Mei, Z. Effect of blockage ratio on the maximum temperature under the ceiling in tunnel fires. J. Fire Sci. 2013, 31, 245–257. [Google Scholar] [CrossRef]
- Zhong, W.; Liu, L.; Han, N.; Gao, Z.; Zhao, J. Investigation on the maximum ceiling temperature of the weak plume impingement flow in tunnel fires under longitudinal ventilation. Tunn. Undergr. Sp. Technol. 2023, 131, 104821. [Google Scholar] [CrossRef]
- Tian, X.L.; Zhong, M.H.; Liu, C.; Li, Q. A full-scale experimental study of tunnel fire under different blockage conditions. Coal Sci. Technol. 2021, 49, 93–101. [Google Scholar]
- Shafee, S.; Yozgatligil, A. An analysis of tunnel fire characteristics under the effects of vehicular blockage and tunnel inclination. Tunn. Undergr. Sp. Technol. 2018, 79, 274–285. [Google Scholar] [CrossRef]
- Han, J.; Wang, F.; Wen, J.; Liu, F.; Ma, W.; Wang, Z.; Ma, Z. Investigation on the characteristics of fire burning and smoke spreading in longitudinal-ventilated tunnels with blockages. Tunn. Undergr. Sp. Technol. 2023, 131, 104790. [Google Scholar] [CrossRef]
- Hu, L.H.; Tang, W.; Chen, L.F.; Yi, L. A non-dimensional global correlation of maximum gas temperature beneath ceiling with different blockage–fire distance in a longitudinal ventilated tunnel. Appl. Therm. Eng. 2013, 56, 77–82. [Google Scholar] [CrossRef]
- Tang, F.; Cao, Z.L.; Chen, Q.; Meng, N.; Wang, Q.; Fan, C. Effect of blockage-heat source distance on maximum temperature of buoyancy-induced smoke flow beneath ceiling in a longitudinal ventilated tunnel. Int. J. Heat. Mass. Tran. 2017, 109, 683–688. [Google Scholar] [CrossRef]
- Gannouni, S.; Maad, R.B. Numerical study of the effect of blockage on critical velocity and backlayering length in longitudinally ventilated tunnel fires. Tunn. Undergr. Sp. Technol. 2015, 48, 147–155. [Google Scholar] [CrossRef]
- Zhang, S.; Cheng, X.; Yao, Y.; Zhu, K.; Li, K.; Lu, S.; Zhang, R.; Zhang, H. An experimental investigation on blockage effect of metro train on the smoke back-layering in subway tunnel fires. Appl. Therm. Eng. 2016, 99, 214–223. [Google Scholar] [CrossRef]
- Meng, N.; Yang, W.; Xin, L.; Li, X.; Liu, B.; Jin, X. Experimental study on backlayering length of thermal smoke flow in a longitudinally ventilated tunnel with blockage at upstream of fire source. Tunn. Undergr. Sp. Technol. 2018, 82, 315–324. [Google Scholar] [CrossRef]
- Tang, W.; Hu, L.H.; Chen, L.F. Effect of blockage-fire distance on buoyancy driven back-layering length and critical velocity in a tunnel: An experimental investigation and global correlations. Appl. Therm. Eng. 2013, 60, 7–14. [Google Scholar] [CrossRef]
- Guo, J.; Cai, G.; Liu, Y.; Wen, H.; Jin, Y. Temperature distribution and characteristics induced by fire smoke in L-shaped utility tunnels with small curvature radii. Case Stud. Therm. Eng. 2021, 28, 101470. [Google Scholar] [CrossRef]
- Guo, J.; Gao, W.; Cai, G.; Liu, Y.; Wen, H. Numerical study on fire-induced smoke temperature characteristics in small curvature radius UTLT-like tunnels under emergency state. Tunn. Undergr. Sp. Technol. 2022, 127, 104599. [Google Scholar] [CrossRef]
- Tao, W.Q. Numerical Heat Transfer, 2nd ed.; Xi’an Jiaotong University Press: Xi’an, China, 2001. [Google Scholar]
- Shih, T.H.; Zhu, J.; Lumley, J.L. A new Reynolds stress algebraic equation model. Comput. Methods. Appl. Mech. Eng. 1995, 125, 287–302. [Google Scholar] [CrossRef]
- Meseguer, J.; Pérez-Grande, I.; Sanz-Andrés, A. Spacecraft Thermal Control; Elsevier: Amsterdam, The Netherlands, 2012; pp. 73–86. [Google Scholar]
- Huang, Y.B.; Lu, S.R.; Yang, K. Research on the influence of fire source power and tunnel obstruction ratio on the change rule of critical wind speed. China Saf. Prod. Sci. Technol. 2015, 11, 10–15. [Google Scholar]
- Meng, N.; Liu, B.; Li, X.; Jin, X.; Huang, Y.; Wang, Q. Effect of blockage-induced near wake flow on fire properties in a longitudinally ventilated tunnel. Int. J. Therm. Sci. 2018, 134, 1–12. [Google Scholar] [CrossRef]
- Stroup, D.; Lindeman, A. Verification and Validation of Selected Fire Models for Nuclear Power Plant Applications; U.S. Nuclear Regulatory Commission (NRC): Washington, DC, USA, 2013. [Google Scholar]
- He, L.; Xu, Z.; Chen, H.; Liu, Q.; Wang, Y.; Zhou, Y. Analysis of entrainment phenomenon near mechanical exhaust vent and a prediction model for smoke temperature in tunnel fire. Tunn. Undergr. Sp. Technol. 2018, 80, 143–150. [Google Scholar] [CrossRef]
- Su, Z.; Li, Y.; Zhong, H.; Li, J.; Guo, Z.; Yang, X.; Yang, S. Advancements in smoke control strategies for metro tunnel cross-passage: A theoretical and numerical study on critical velocity and driving force. Tunn. Undergr. Sp. Technol. 2024, 147, 105734. [Google Scholar] [CrossRef]
- Wu, K.; Wang, G.; Li, J.; Huang, Y.; Yan, X.; Zhang, T. Numerical study on plume bifurcation in longitudinally ventilated tunnel fires. Tunn. Undergr. Space Technol. 2023, 132, 104926. [Google Scholar] [CrossRef]
- Wu, K.; Chen, X.; Li, J.; Zhang, L.; Zhu, K.; Hong, Y.; Zhang, T. Flame behavior and fire-induced flow field characteristic in building corridor fire with longitudinal partition. J. Build. Eng. 2023, 76, 107358. [Google Scholar] [CrossRef]
- Weng, M.C.; Lu, X.L.; Liu, F.; Shi, X.P.; Yu, L. Prediction of backlayering length and critical velocity in metro tunnel fires. Tunn. Undergr. Sp. Technol. 2015, 47, 64–72. [Google Scholar] [CrossRef]
- Hu, L.H.; Huo, R.; Chow, W.K. Studies on buoyancy-driven back-layering flow in tunnel fires. Exp. Therm. Fluid. Sci. 2008, 32, 1468–1483. [Google Scholar] [CrossRef]
- Colella, F.; Rein, G.; Borchiellini, R.; Torero, J. A novel multiscale methodology for simulating tunnel ventilation flows during fires. Fire Technol. 2011, 47, 221–253. [Google Scholar] [CrossRef]



















| NO. | Blocking Ratio φ | Longitudinal Ventilation Velocity u (m/s) |
|---|---|---|
| 1–5 | 0 | 1.0, 2.0, 2.5, 3.0, 4.0 |
| 6–10 | 0.31 | 1.0, 2.0, 2.5, 3.0, 4.0 |
| 11–15 | 0.46 | 1.0, 2.0, 2.5, 3.0, 4.0 |
| 16–20 | 0.55 | 1.0, 2.0, 2.5, 3.0, 4.0 |
| 21–25 | 0.62 | 1.0, 2.0, 2.5, 3.0, 4.0 |
| Grid No. | Coarse Grid Cell Size (m) | Refine Grid Cell Size (m) | Total Grid Number |
|---|---|---|---|
| 1 | 0.5 | 0.25 | 510,818 |
| 2 | 0.3 | 0.15 | 2,198,974 |
| 3 | 0.25 | 0.125 | 3,582,249 |
| 4 | 0.2 | 0.1 | 5,303,592 |
Disclaimer/Publisher’s Note: The statements, opinions and data contained in all publications are solely those of the individual author(s) and contributor(s) and not of MDPI and/or the editor(s). MDPI and/or the editor(s) disclaim responsibility for any injury to people or property resulting from any ideas, methods, instructions or products referred to in the content. |
© 2024 by the authors. Licensee MDPI, Basel, Switzerland. This article is an open access article distributed under the terms and conditions of the Creative Commons Attribution (CC BY) license (https://creativecommons.org/licenses/by/4.0/).
Share and Cite
Zhang, X.; Li, J.; He, H.; Chen, X.; Zhu, K.; Yin, M.; Cao, Y.; Wu, K. Study of Fire Plume Behavior and Maximum Ceiling Temperature Rise in a Curved Tunnel Driven by the Coupling of Blockage Effect and Longitudinal Ventilation. Fire 2025, 8, 9. https://doi.org/10.3390/fire8010009
Zhang X, Li J, He H, Chen X, Zhu K, Yin M, Cao Y, Wu K. Study of Fire Plume Behavior and Maximum Ceiling Temperature Rise in a Curved Tunnel Driven by the Coupling of Blockage Effect and Longitudinal Ventilation. Fire. 2025; 8(1):9. https://doi.org/10.3390/fire8010009
Chicago/Turabian StyleZhang, Xin, Jie Li, Hao He, Xiaofeng Chen, Kai Zhu, Mingjian Yin, Ying Cao, and Ke Wu. 2025. "Study of Fire Plume Behavior and Maximum Ceiling Temperature Rise in a Curved Tunnel Driven by the Coupling of Blockage Effect and Longitudinal Ventilation" Fire 8, no. 1: 9. https://doi.org/10.3390/fire8010009
APA StyleZhang, X., Li, J., He, H., Chen, X., Zhu, K., Yin, M., Cao, Y., & Wu, K. (2025). Study of Fire Plume Behavior and Maximum Ceiling Temperature Rise in a Curved Tunnel Driven by the Coupling of Blockage Effect and Longitudinal Ventilation. Fire, 8(1), 9. https://doi.org/10.3390/fire8010009

