Experimental Study on the Influence of High-Pressure Water Mist on the Ceiling Temperature of a Longitudinally Ventilated Tunnel
Abstract
1. Introduction
2. Experimental Setup
2.1. Tunnel Geometry and Instrumentation
2.2. High-Pressure Water Mist System
2.3. Heat Release Rate
2.4. Longitudinal Ventilation System
2.5. Summary of Test Settings
3. Experimental Results and Discussion
3.1. Analysis of the Impact of High-Pressure Water Mist on the Temperature of the Tunnel Ceiling under Natural Ventilation Conditions
3.1.1. Development Process of Tunnel Fire without a Water Curtain
3.1.2. The Impact of Nozzle Pressure on the Temperature of the Tunnel Ceiling
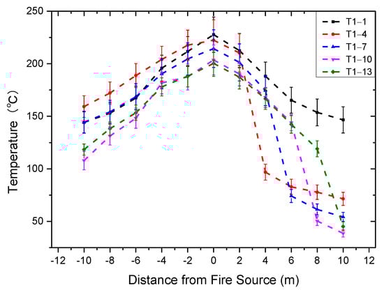
3.1.3. The Influence of the Nozzle Position on the Temperature of the Tunnel Ceiling
3.1.4. Discussion on the Thermal Insulation Efficiency of High-Pressure Water Mist under Natural Ventilation Conditions
3.2. Analysis of the Impact of High-Pressure Water Mist on the Temperature of the Tunnel Ceiling under Mechanical Smoke Exhaust Conditions
3.2.1. Temperature Field Distribution in Tunnel under the Joint Action of Mechanical Smoke Extraction and High-Pressure Water Mist
3.2.2. Discussion on the Thermal Insulation Efficiency under the Combined Action of Mechanical Smoke Extraction and High-Pressure Water Curtain
4. Conclusions
- (1)
- During natural ventilation, the cooling effect of the water curtain system becomes more pronounced with increasing water spray pressure. A reduced amount of smoke passing through the water curtain indicates an enhanced smoke-blocking efficacy of the high-pressure water mist. The position of the nozzle directly affects the temperature distribution within the tunnel. The closer the nozzle position is to the fire source, the higher the temperature upstream of the high-pressure water mist system. With a nozzle pressure set at 10 MPa and positioned at x7, optimal thermal insulation efficiency can be achieved.
- (2)
- When the mechanical smoke evacuation system is activated, it leads to a reduction in the overall temperature within the tunnel. Increasing mechanical ventilation is effective in mitigating the upstream spread of smoke temperature, with upstream temperatures lower than downstream temperatures. The greater the longitudinal wind speed, the lower the temperature downstream of the tunnel. The maximum temperature in the tunnel occurs near position x2. The smoke from fire cannot be effectively blocked by the high-pressure water mist system, and its heat resistance efficiency is lower compared to natural ventilation.
- (3)
- When the mechanical smoke extraction system is integrated with the high-pressure water mist system, the higher thermal insulation efficiencies of experiments T2-3 and T2-4 (0.462 and 0.412) can be obtained compared to those in experiment T1-2 with a single high-pressure water mist system. Therefore, it is feasible to integrate the high-pressure water mist system with the mechanical smoke exhaust system in engineering applications.
Author Contributions
Funding
Institutional Review Board Statement
Informed Consent Statement
Data Availability Statement
Conflicts of Interest
References
- Zhang, Y.; Huang, X. A Review of Tunnel Fire Evacuation Strategies and State-of-the-Art Research in China. Fire Technol. 2022, 60, 859–892. [Google Scholar] [CrossRef]
- Back, G.G. An overview of water mist fire suppression system technology. In Proceedings of the Halon Alternatives Technical Working Conference, Albuquerque, NM, USA, 11–13 May 1994. [Google Scholar]
- Lemaire, T.; Kenyon, Y. Large scale fire tests in the Second Benelux Tunnel. Fire Technol. 2006, 42, 329–350. [Google Scholar] [CrossRef]
- Li, Y.Z.; Ingason, H. Position of Maximum Ceiling Temperature in a Tunnel Fire. Fire Technol. 2014, 50, 889–905. [Google Scholar] [CrossRef]
- Dembele, S.; Wen, J.X.; Sacadura, J.F. Experimental Study of Water Sprays for the Attenuation of Fire Thermal Radiation. J. Heat Transf. 2001, 123, 534–543. [Google Scholar] [CrossRef]
- Gupta, M.; Pasi, A.; Ray, A.; Kale, S.R. An experimental study of the effects of water mist characteristics on pool fire suppression. Exp. Therm. Fluid Sci. 2013, 44, 768–778. [Google Scholar] [CrossRef]
- Gupta, M.; Rajora, R.; Sahai, S.; Shankar, R.; Ray, A.; Kale, S.R. Experimental evaluation of fire suppression characteristics of twin fluid water mist system. Fire Saf. J. 2012, 54, 130–142. [Google Scholar] [CrossRef]
- Buchlin, J.M. Thermal shielding by water spray curtain. J. Loss Prev. Process Ind. 2005, 18, 423–432. [Google Scholar] [CrossRef]
- Hejny, H. The European Project UpTun: Results of Four Years of Research to Improve the Level of Fire Safety in Existing Tunnels; WIT Press: Billerica, MA, USA, 2007. [Google Scholar]
- McCory, T.; Sprakel, D.; Christensen, E. Engineering Guidance for Water Based Fire Fighting Systems for the Protection of Tunnels and Subsurface Facilities, WP2 Fire Development and Mitigation Measures D251. UPTUN. 2008. Available online: https://uptun.net/ (accessed on 13 July 2024).
- Sun, J.; Fang, Z.; Tang, Z.; Beji, T.; Merci, B. Experimental study of the effectiveness of a water system in blocking fire-induced smoke and heat in reduced-scale tunnel tests. Tunn. Undergr. Space Technol. 2016, 56, 34–44. [Google Scholar] [CrossRef]
- Li, Q.; Tang, Z.; Fang, Z.; Yuan, J.; Wang, J. Experimental study of the effectiveness of a water mist segment system in blocking fire-induced smoke and heat in mid-scale tunnel tests. Tunn. Undergr. Space Technol. 2019, 88, 237–249. [Google Scholar] [CrossRef]
- Liang, Q.; Li, Y.; Li, J.; Xu, H.; Li, K. Numerical studies on the smoke control by water mist screens with transverse ventilation in tunnel fires. Tunn. Undergr. Space Technol. 2017, 64, 177–183. [Google Scholar] [CrossRef]
- Pan, L.W.; Lo, S.M.; Liao, G.X. Experimental study of smoke control in subway station for tunnel area fire by water miss system. Procedia Eng. 2011, 11, 335–342. [Google Scholar]
- Amano, R. Applicability of Water Screen Fire Disaster Prevention System to Roadtunnels in Japan; Tunnel Safety and Ventilation: Graz, Austria, 2006; pp. 162–173. [Google Scholar]
- Murakami, M.; Kurioka, H.; Imazeki, O.; Kuwana, H.; Amano, R. Numerical Simulation in Effect of Compartmentalization with Water Screen (WS) in a Tunnel Fire. Seisan Kenkyu 2007, 59, 313–317. [Google Scholar]
- NFPA. Standard on Water Mist Fire Protection Systems; NFPA: Boston, MA, USA, 2000. [Google Scholar]
- China SPo. GB 50898; Technical Code for Water Mist Fire Extinguishing System. Ministry of Housing and Urban-Rural Development of the People’s Republic of China: Beijing, China, 2013.
- Lin, C.H.; Ferng, Y.M.; Hsu, W.S.; Pei, B.S. Investigations on the Characteristics of Radiative Heat Transfer in Liquid Pool Fires. Fire Technol. 2010, 46, 321–345. [Google Scholar] [CrossRef]
- Roh, J.S.; Yang, S.S.; Hong, S.R.; Yoon, M.O.; Jeong, Y.T. An experimental study on the effect of ventilation velocity on burning rate in tunnel fires—Heptane pool fire case. Build. Environ. 2008, 43, 1225–1231. [Google Scholar] [CrossRef]
- ISO9705; Fire Tests—Full-Scale Room Test for Surface Products. ISO: Geneva, Switzerland, 1993.
- Huggett, C. Estimation of rate of heat release by means of oxygen consumption measurements. Fire Mater. 1980, 4, 61–65. [Google Scholar] [CrossRef]
- Quintiere, J.G. Fundamentals of Fire Phenomena; John Wiley & Sons Ltd.: Hoboken, NJ, USA, 2006. [Google Scholar]
- Zhu, H.; Gao, Y.; Guo, H. Experimental investigation of burning behavior of a running vehicle. Case Stud. Therm. Eng. 2020, 22, 100795. [Google Scholar] [CrossRef]
- Hu, L.H.; Huo, R.; Peng, W.; Chow, W.K.; Yang, R.X. On the maximum smoke temperature under the ceiling in tunnel fires. Tunn. Undergr. Space Technol. 2006, 21, 650–655. [Google Scholar] [CrossRef]
- Wu, Y.; Bakar, M.Z.A. Control of smoke flow in tunnel fires using longitudinal ventilation systems—A study of the critical velocity. Fire Saf. J. 2000, 35, 363–390. [Google Scholar] [CrossRef]
- Kazemipour, A.; Afshin, H.; Farhanieh, B. A Comprehensive Study on the Critical Ventilation Velocity in Tunnels with Different Geometries. Int. J. Vent. 2015, 14, 303–319. [Google Scholar] [CrossRef]
- Li, Y.Z.; Fan, C.G.; Ingason, H.; Lönnermark, A.; Ji, J. Effect of cross section and ventilation on heat release rates in tunnel fires. Tunn. Undergr. Space Technol. 2016, 51, 414–423. [Google Scholar] [CrossRef]
- Hu, L.H.; Li, Y.Z.; Huo, R.; Yi, L.; Chow, W.K. Full-scale experimental studies on mechanical smoke exhaust efficiency in an underground corridor. Build. Environ. 2006, 41, 1622–1630. [Google Scholar] [CrossRef]
- Morgan, H.P.; Baines, K. Heat transfer from a buoyant smoke layer beneath a ceiling to a sprinkler spray. 2—An experiment. Fire Mater. 1979, 3, 34–38. [Google Scholar] [CrossRef]
- Zhu, H.; Zhu, G.; Gao, Y.; Zhao, G. Experimental Studies on the Effects of Spacing on Upward Flame Spread over Thin PMMA. Fire Technol. 2016, 53, 673–693. [Google Scholar] [CrossRef]
- Zhu, H.; Ji, J.; Nie, J. Early fire evolution and alarm characteristics of cable fires in long and narrow spaces. Fire Saf. J. 2022, 131, 103627. [Google Scholar] [CrossRef]
- Tang, Z.; Fang, Z.; Yuan, J.P.; Merci, B. Experimental study of the downward displacement of fire-induced smoke by water sprays. Fire Saf. J. 2013, 55, 35–49. [Google Scholar] [CrossRef]














| Material | Thickness (mm) | Thermal Conductivity/W/(m·K) | Specific Heat Capacity/kJ/(kg·K) | Density/kg/m3 |
|---|---|---|---|---|
| Rock wool board | 50 | 0.039 | 750 | 150 |
| Test Number | Spray Nozzle Position | Ventilation Velocity (m/s) | Nozzle Pressure (MPa) | Average HRR (MW) |
|---|---|---|---|---|
| T1-1 | NON | 0 | 0 | 5.6 |
| T1-2 | x3 | 0 | 6 | 5.6 |
| T1-3 | x3 | 0 | 8 | 5.7 |
| T1-4 | x3 | 0 | 10 | 5.7 |
| T1-5 | x5 | 0 | 6 | 5.5 |
| T1-6 | x5 | 0 | 8 | 5.5 |
| T1-7 | x5 | 0 | 10 | 5.4 |
| T1-8 | x7 | 0 | 6 | 5.4 |
| T1-9 | x7 | 0 | 8 | 5.4 |
| T1-10 | x7 | 0 | 10 | 5.3 |
| T1-11 | x9 | 0 | 6 | 5.5 |
| T1-12 | x9 | 0 | 8 | 5.5 |
| T1-13 | x9 | 0 | 10 | 5.5 |
| T2-1 | NON | 1.1 | 0 | 5.2 |
| T2-2 | NON | 2.1 | 0 | 4.9 |
| T2-3 | x7 | 1.1 | 10 | 5.0 |
| T2-4 | x7 | 2.1 | 10 | 4.7 |
Disclaimer/Publisher’s Note: The statements, opinions and data contained in all publications are solely those of the individual author(s) and contributor(s) and not of MDPI and/or the editor(s). MDPI and/or the editor(s) disclaim responsibility for any injury to people or property resulting from any ideas, methods, instructions or products referred to in the content. |
© 2024 by the authors. Licensee MDPI, Basel, Switzerland. This article is an open access article distributed under the terms and conditions of the Creative Commons Attribution (CC BY) license (https://creativecommons.org/licenses/by/4.0/).
Share and Cite
Zhu, H.; Du, W.; Li, W. Experimental Study on the Influence of High-Pressure Water Mist on the Ceiling Temperature of a Longitudinally Ventilated Tunnel. Fire 2024, 7, 262. https://doi.org/10.3390/fire7080262
Zhu H, Du W, Li W. Experimental Study on the Influence of High-Pressure Water Mist on the Ceiling Temperature of a Longitudinally Ventilated Tunnel. Fire. 2024; 7(8):262. https://doi.org/10.3390/fire7080262
Chicago/Turabian StyleZhu, Hui, Weining Du, and Wenfeng Li. 2024. "Experimental Study on the Influence of High-Pressure Water Mist on the Ceiling Temperature of a Longitudinally Ventilated Tunnel" Fire 7, no. 8: 262. https://doi.org/10.3390/fire7080262
APA StyleZhu, H., Du, W., & Li, W. (2024). Experimental Study on the Influence of High-Pressure Water Mist on the Ceiling Temperature of a Longitudinally Ventilated Tunnel. Fire, 7(8), 262. https://doi.org/10.3390/fire7080262
