Abstract
This work primarily focuses on a three-dimensional model of flame propagation and stable combustion in a scramjet chamber. The one-equation LES turbulence model is adopted to close the sub-grid-scale turbulent viscosity terms. The finite-rate combustion model, along with the Jachimowski detailed hydrogen reaction mechanism with eight components and nineteen steps, is used to analyze the flame propagation characteristics of hydrogen combustion in the scramjet combustion chamber. Initially, based on the combustion chamber model, the effect of different injection locations and equivalence ratios on flame kernel formation and the flame propagation process is analyzed. The relationship between different fuel injection conditions and the oxygen consumption rate of the combustion chamber, as well as the total pressure recovery coefficient changes, is investigated. The research focuses on changes in equivalence ratios and injection hole distributions, with injection holes arranged upstream, downstream, and inside of the cavity. The result indicated that when the injection holes were arranged downstream of the cavity, there was a phenomenon of flame backflow into the cavity, which was related to the size of the injection pressure. For this work, the pressure causing flame backflow was approximately 2 MPa. When the injection hole was arranged inside the cavity, the relative distance difference between the injection hole and the upper wall of the cavity led to the formation of two reaction zones in the combustion chamber. When the injection hole was arranged upstream of the cavity, different injection equivalence ratios affected the final stable position and structure of the flame. Therefore, the injection position, injection pressure, and injection equivalence ratio all had a certain impact on the flame kernel formation and flame propagation process.
1. Introduction
The scramjet engine, with its wide range of cruising speeds and high specific impulse, is currently considered the optimal choice for achieving hypersonic flight within the Earth’s atmosphere. When a scramjet engine operates normally, the air enters the engine at extremely high speed, and the time for fuel injection, fuel/air mixing, and combustion in the combustion chamber is only around 1 ms [1], making it difficult to maintain a stable flame. CIAM [2] first introduced the use of a cavity structure in the testing of a dual-mode hydrogen-fueled scramjet developed jointly by Russia and France. Subsequently, several researchers have conducted extensive experimental tests to confirm the significant role of the cavity structure in flame stability in scramjet combustion chambers [3,4]. Currently, the cavity flame-holding configuration has become one of the most common flame stabilization structures in scramjet combustion chambers. In addition to cavities, flame stabilization structures, such as struts and backsteps, are also commonly used in scramjet combustion chambers [5].
Because of the high specific impulse, the hydrogen-fueled scramjet is promising to be used in hypersonic vehicles [6]. Many simulation works have been performed on hydrogen combustion in scramjet engines [7,8,9,10,11,12,13,14,15,16]. A quasi-one-dimensional scramjet propulsion model was proposed by Birzer and Doolan [7] for application in hypersonic vehicles. The model accurately described the gas dynamics within the scramjet duct by resolving a sequence of ordinary differential equations using a fourth-order Runge–Kutta approach. The findings indicated that the model’s simulation of scramjet propulsion was fairly precise. Abu-Farah et al. [8] conducted constant three-dimensional RANS simulations for scenarios without H2 injection, and made comparisons between the simulation outcomes of single-staged H2 injections and multistage injections. The team utilized a shear stress transport (SST) methodology based on the k-ω turbulence model. In their research, Das et al. [9] conducted a comparative analysis using kerosene and hydrogen fuel within a model scramjet combustor. The k-ω turbulence model proved superior to other models, as it offered the most accurate predictions of near-wall flow-field and species’ mole fractions. Meanwhile, Latypov [10] developed a practical mathematical model for a hydrogen-fueled scramjet combustion chamber. This model employed one-dimensional steady-gas dynamic equations, channel parameterization configuration, and governing parameters, taking into account the real thermophysical properties of gases. Kummitha et al. [11,12] performed numerical simulations on a hydrogen-powered scramjet combustor fitted with turbulence-promoting inserts, utilizing a variety of turbulence models. These models were examined to enhance the understanding of turbulence’s impact on fuel and air mixing. The comparison of various computational domain numerical outcomes suggested that the creation of an oblique shock and its influence on fuel injection was more evident in the scramjet model with circular inserts. Choubey et al. [15] conducted a numerical examination of a cavity floor H2 injection technique in a scramjet combustor under varying free-stream Mach numbers. Their findings suggested that an optimal cavity floor injection could effectively manage the shockwave’s downstream propagation.
For the hydrogen-fueled scramjet combustor, some researchers concentrated on experiments [17,18,19,20,21]. Aereschagin et al. [18] applied the broad-band CARS technique to conduct temperature measurements in a dual-mode, hydrogen-fueled scramjet engine. The experiment involved a direct-connect test of a Mach 3 combustor with three fuel injectors, operating at a total temperature range of 1600–1700 K. Meanwhile, Tian et al. [19] undertook an investigation into the combustion and flame stabilization modes in a hydrogen-fueled scramjet engine both experimentally and numerically. Different measurement methods were used, including pressure measurements, Schlieren, differential interferometry, flame luminosity, and OH-planar laser-induced fluorescence (PLIF), to analyze the combustion flow. Peng et al. [20] studied combustion instability in a hydrogen-fueled scramjet combustor using OH-PLIF measurements and dynamic mode decomposition. The scramjet mode displayed minor oscillation at 150–200 Hz, as indicated by negative growth factors, due to the stable flame structure, while oscillations at 80–120 Hz significantly increased during the ram-to-scram transition. In a similar way, Cao et al. [21] examined flame combustion and oscillation behaviors in a hydrogen-fueled, cavity-stabilized scramjet combustor. They utilized a 500 Hz high-speed PLIF technique with a 20 cm-wide view field to evaluate the combustion flow.
In addition, some researchers concentrated on other aspects of the hydrogen-fueled scramjet engine, such as mixing characteristics [22,23,24], mode transition mechanisms [6,25,26], and coupled mechanisms of combustion with heat transfer [27]. Moorthy et al. [24] studied the impact of the fuel injection scheme on the performance of a model scramjet combustor. Their primary focus was on the mixing attributes associated with four unique fuel injection locations. Their findings suggested that fuel injection upstream of the ramp was advantageous, as it resulted in the widest fuel spread region. Yang et al. [26] put forth an analytical solution to comprehend the conditions facilitating the transition between ramjet–scramjet operation modes. Additionally, they provided a qualitative description of the mode transition processes. Radicals of OH and HO2 can be used as the markers to track the combustion flame [13,28,29]. Ma et al. [13] employed hydrogen/methane and hydrogen/ethylene mixed fuels in a strut combustor and tracked the combustion flame using OH distributions. They found that the blending injection of hydrogen and hydrocarbon fuels resulted in a weakened flame intensity and decreased combustion efficiency. Zhao et al. [29] conducted numerical simulations using Large Eddy Simulation to study the combustion mechanism of optimal frequency pulsed supersonic jets, utilizing the characteristic of HO2 as a marker for self-ignition in hydrogen chemical combustion. It was found that pulsed jets can enhance the heat release rate in the non-premixed region but have a minor effect on the premixed combustion heat release.
Currently, many researchers have conducted extensive experiments and numerical simulations on the structure of stable flames in scramjet combustion chambers. However, there is relatively little research on the formation of flame kernels and the development of flame processes. This paper concentrated on research on the hydrogen fuel cavity flame-holding structure in a cavity scramjet combustion chamber, taking the cavity as the research object. With the hydrogen self-ignition method, this study compares and analyzes the flame kernel formation and flame propagation process in the combustion chamber after hydrogen fuel injection by changing the locations of the injection holes and the fuel injection equivalence ratio parameters and combining the changes in the distribution of OH radical positions.
2. Methodology and Validation
2.1. Computational Domain and Related Parameters
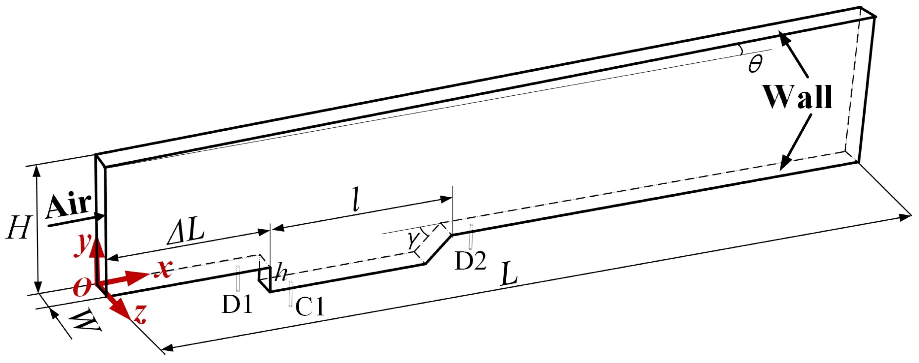
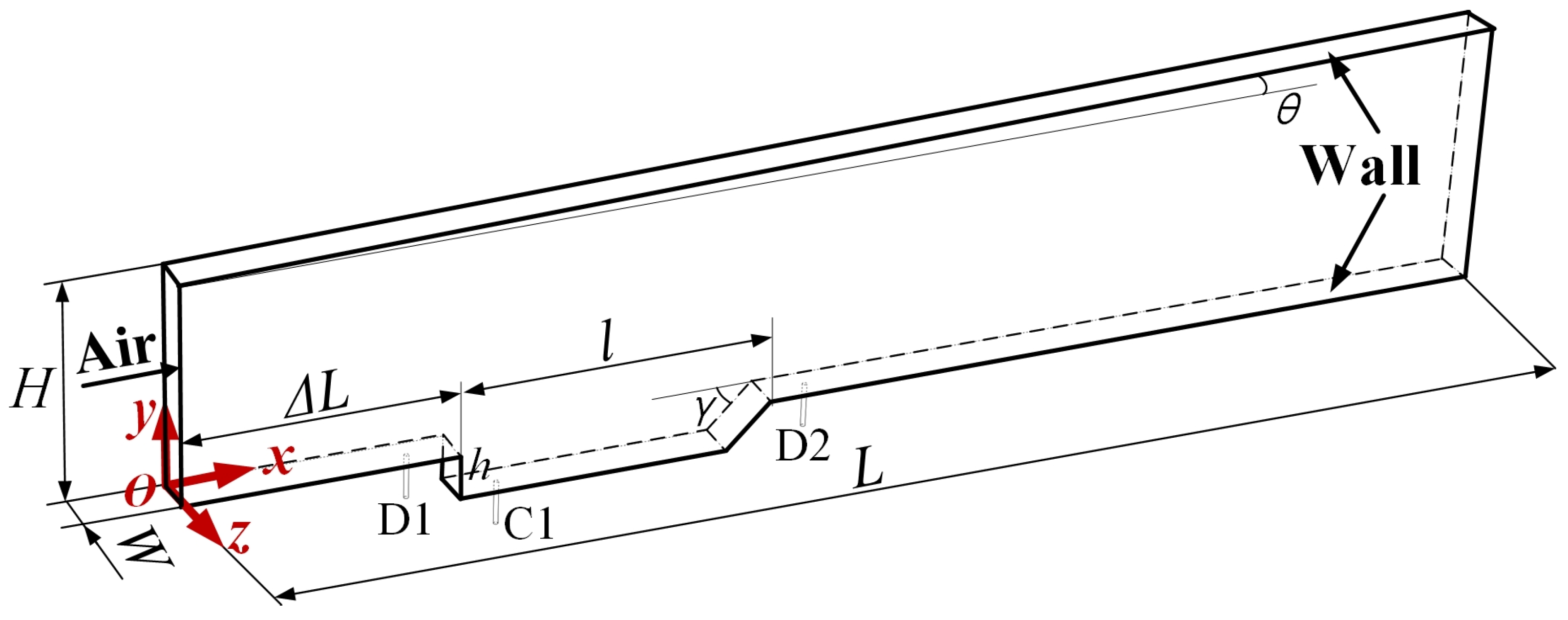
The model of the scramjet engine chamber is shown in Figure 1. The length of the combustion chamber (L) was 300 mm, and the inlet height (H) was 50 mm. The chamber was expanded in the downstream region and the expansion angle of the upper wall (θ) was 2°. The layout of the combustion chamber nozzle was based on the experimental model used by the China Aerodynamics Research and Development Center [30]. The total width of the combustion chamber was 70 mm, with seven nozzles set along the chamber width direction. This work simplified a single nozzle with the width of the calculation domain (W) of 10 mm and set the two sidewalls as symmetrical surfaces.
Figure 1.
Schematic of the combustion chamber used for calculation.
Hydrogen nozzles D1, D2, and C1 were all setup with a diameter of 1 mm and injection perpendicular to the bottom wall of the chamber. The center of nozzles D1 and C1 was 10 mm away from the front wall of the cavity, and the center of nozzle D2 was 10 mm away from the rear edge of the cavity wall. The distance from the front wall of the cavity to the inlet of the combustion chamber ΔL = 60 mm. The total length of the cavity (l) was 70 mm, and the height (h) was 10 mm. The length-to-width ratio of the cavity (l/d) was 7 and the back wall angle (γ) was 45°.
To study the effects of different hydrogen injection positions and different ERs on the formation of the combustion chamber fire kernel and the flame development process, the computational cases and corresponding parameters are shown in Table 1.
Table 1.
Related parameters for different cases.
2.2. Numerical Method and Boundary Condition
The turbulence model used a one-equation LES turbulence model to close the sub-grid turbulence viscosity terms. The Leonard stress, Reynolds stress, and cross-stress at the sub-grid scale were modeled using the linear Boussinesq relationship:
where the sublattice subscale vortex viscosity field is provided by the following equation:
where fμ is a low Reynolds number damping function, defined as follows:
where is the velocity component of the decomposition (Favre average) and S is the local strain amplitude. The length scale, l, is expressed as:
Sublattice-scale turbulence can be obtained by the following transport equation:
where the turbulence-producing term is:
The above model constants are:
The transport equation was solved according to the usual inlet and solid-surface boundary conditions of turbulent kinetic energy. The numerical simulation ignores the impact of heat conduction and diffusion effects on the flow. To capture the details of the combustion flow field as much as possible and reduce the calculation error, the one-equation LES turbulence model was used to close the sub-grid turbulence viscosity terms, with the chemical reaction source adopting the finite-rate combustion model and non-slip adiabatic wall.
The combustion conditions of the simulated scramjet engine combustion chamber corresponded to a flight Mach number of 6. The incoming flow Mach number at the combustion chamber inlet was 3.0 and the total pressure Pt = 2.11 MPa. The total temperature Tt = 1650 K and the static temperature T = 702 K. The hydrogen fuel injects vertically to the wall surface. The total temperature of the injected gas (Tt) was 300 K, and combustion was carried out by self-ignition.
The two sides of the calculation model were set as symmetrical surfaces, and the upper and lower walls used non-slip wall conditions. The three fuel injection holes were all sonic nozzles. Injection holes D1 and D2 used pressure inlet boundaries. Injection hole C1 was set inside the cavity to avoid the influence of the pressure change inside the cavity during fuel injection. At the injection hole C1, a mass flow rate inlet boundary was used. After ensuring that the cold flow field was calculated to be dynamically stable, the fuel injection combustion calculation was initiated.
The solver used was a Riemann solver, and the spatial solution adopted second-order discretization and used a continuity total variation diminishing (TVD) limiter to improve the calculation convergence. The time adopted a second-order implicit format. The combustion chemical reaction adopted the Jachimowski’s hydrogen detailed reaction mechanism, which has eight components and nineteen steps, as shown in Table 2.
Table 2.
Related parameters of the hydrogen (O2 + 3.76 N2) combustion mechanism, with eight components and nineteen reaction steps.
Engine performance was mainly evaluated from the oxygen consumption rate, total pressure recovery coefficient, and combustion efficiency. The calculation formulas for the oxygen consumption rate, total pressure recovery coefficient, and combustion efficiency are listed below.
The formula of the oxygen consumption rate is:
The formula of total PRF is:
where is the mass flow rate of oxygen at the inlet of the combustion chamber, is the outlet area of the combustion chamber, is the area-weighted averaged outlet pressure, and is the area-weighted averaged inlet pressure.
2.3. Mesh Details
The study employed three different mesh sizes for grid independence verification: a coarse mesh (2 million cells), a medium mesh (3.5 million cells), and a fine mesh (5 million cells). The impact of these three meshes on the pressure distribution along the upper wall of the combustion chamber is shown in Figure 2. Between 40 mm < x < 115 mm and 266 mm < x < 300 mm, the medium and fine meshes provided a better computational fit compared to the coarse mesh. Moreover, the maximum error in pressure between the medium mesh and the fine mesh when simulating the inlet flow shock did not exceed 5%. Considering both computational accuracy and the limitations of computational conditions, this paper chose to use the medium-sized mesh for research and calculation.
Figure 2.
Grid independence validation.
The total grid number of the combustion chamber was 3.5 million. The smallest grid size was 0.02 mm, and the maximum grid size in the combustion area was 0.2 mm. Figure 3 displays the mesh details of the computational domain. The injection holes were placed upstream and downstream of the cavity and inside the cavity, respectively. Combustion mainly occurred in the area below the combustion chamber. Therefore, the grid was refined in front and behind the injection holes in the downstream region of the combustion chamber and the delayed combustion grids were reserved for a certain distance downstream of the injection holes. Figure 3B shows the grid details around the injection hole, where the O-block method was used to refine the meshes with a grid scale of 0.02 mm.
Figure 3.
Mesh details of the computational domain. (A) Schematic of the overall combustion chamber grid, (B) Grids of the injection nozzle.
2.4. Model Validation
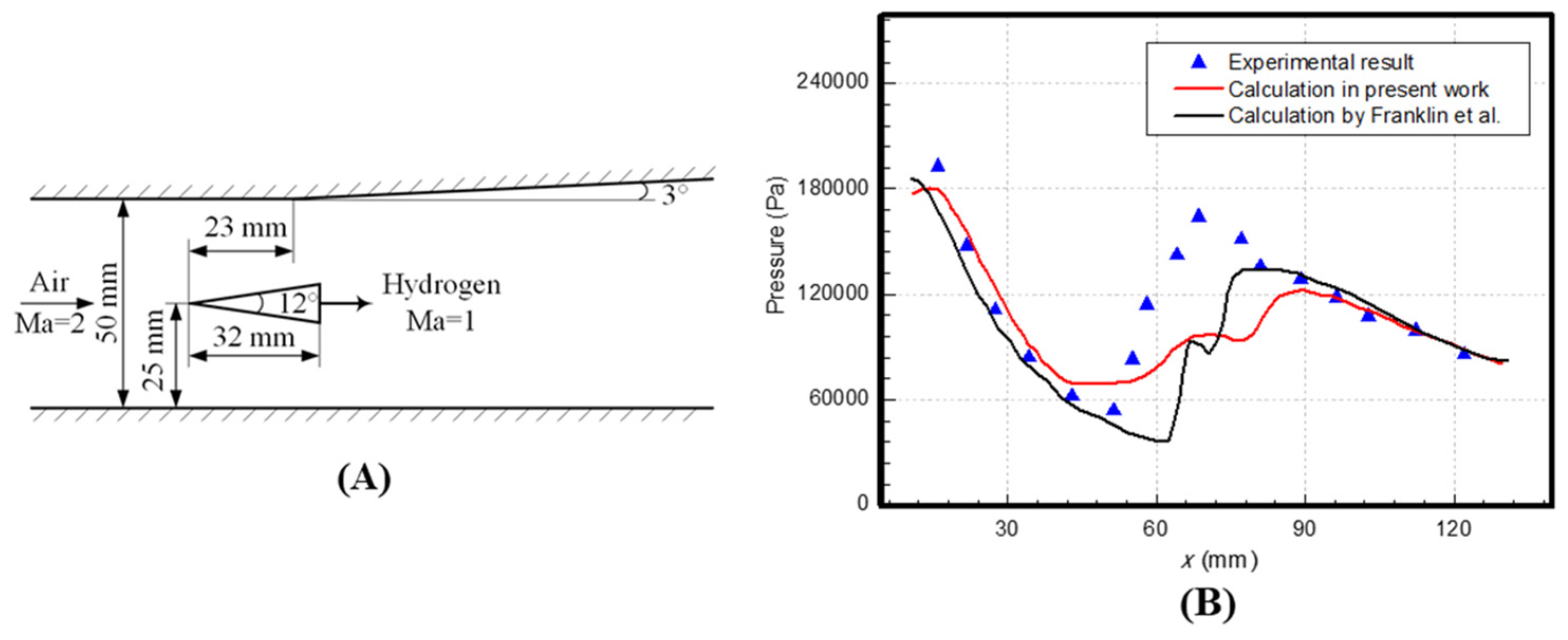
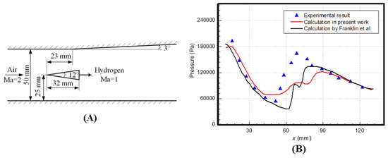
To verify the feasibility of the numerical methods and time step selection used in this work, this paper used the strut-based supersonic engine shown in Figure 4A, located at the German Aerospace Center (DLR) in Cologne, Germany, for comparison and verification. This model has comprehensive experimental measurement data and many researchers have conducted verification and computational research based on this model. In addition, this model uses hydrogen as the injection fuel and the size of the combustion chamber inlet is close to the model used in this work. For these reasons, the validation model was built with a grid number of about 2 million and the experimental results were obtained from Franklin et al. [22]. The combustion chamber wall and strut surfaces were all set as no-slip walls.
Figure 4.
Turbulence model validation under the condition of cold flow. (A) Strut-based supersonic engine. (B) Calculated and experimental pressure distributions [22].
Under cold-flow conditions, where the fuel is ejected from the tail of the strut, the calculated and experimental values of the pressure distribution on the lower wall of the combustion chamber were compared, as shown in Figure 4B. In general, the pressure trend in the streamwise direction was essentially captured, with some differences at the extreme points. These points mainly showed the positions where the high-pressure shock wave formed by the high-speed inflow acting on the strut was reflected on the lower wall of the combustion chamber. Figure 4B also shows the comparison of the calculated results of the DLR combustion chamber by Franklin et al. [22] with the present calculated results. The calculated values of the lower wall pressure of fuel injection cold flow were very close, which adds more evidence for the rationality of the proposed calculation method.
Under cold-flow conditions, the hydrogen speed is fast and there is no high-temperature heat source to support. The hydrogen injection from the tail of the strut is difficult to carry out in large regions mixing combustion, and then ignition is needed. Figure 5A and Figure 5B, respectively, show a comparison of the predicted time-averaged velocity and the predicted time-averaged temperature with the experimental results at the x = 78 mm, 125 mm, and 207 mm sections and the x = 78 mm, 125 mm, and 233 mm sections of the combustion chamber after the hydrogen was ignited. In general, the calculated time-averaged velocity and time-averaged temperature values and experimental results at different positions basically showed good agreement. The results at certain specific positions had large differences, such as the comparison of the time-averaged velocity at x = 125 mm. The difference indicated that the calculation error of the backflow region at the tail of the strut was somewhat large, which had a certain impact on the diffusion and combustion speed of the fuel. However, the calculation results of the time-averaged temperature were basically close to the experimental results. In general, the calculation results obtained using this numerical method were consistent with the distribution trend of the experimental values, indicating that the numerical calculation method used is rather reasonable.
Figure 5.
Turbulence model validation after hydrogen ignition using the German Aerospace Center strut scramjet engine. (A) Time-averaged velocity. (B) Time-averaged temperature.
3. Results and Discussion
3.1. Upstream Injection
Because OH and HO2 radicals are intermediate products of hydrogen combustion, the general location of the diffusion flame can be identified by the distribution of OH and HO2 radicals. Figure 6 shows the distributions of the OH mass fraction near the cavity varying with time for Cases 1 and 2.
Figure 6.
Distribution of OH mass fraction varying over time for Case 1 and Case 2.
The transverse injection of hydrogen gas created a bow-shaped shock wave upstream of the injection hole, causing boundary layer separation on the upstream wall of the hole and, thus, formation of a subsonic recirculation zone. The larger the injection pressure, the higher the shock wave intensity, and the larger the recirculation region upstream of the hole. As can be seen from Figure 6, an OH signal formed upstream of the hole first once the injection occurred, and Case 1 had a larger OH formation region. In the early stages of fuel diffusion, the OH signal accumulated at the leading edge of the cavity and gradually covered the entire top of the cavity as the fuel diffused due to the high temperature at the cavity shear layer. As the fuel continued to spread downstream, the reaction at the shear layer was intense, and the reaction surface fluctuated strongly due to the higher local ER of the injection in the combustion chamber of Case 1, which caused an increased flame propagation speed. The oxygen in the rear part of the cavity was quickly consumed by the fuel and the OH signal was distributed in a “U” shape at the position of the leading edge-bottom wall-trailing edge of the cavity at t = 0.14 ms. At t = 0.20 ms, the main production position of OH was divided into areas A and B. In region A, OH extended from the leading edge to the bottom wall of the cavity and slowly moved forward as the oxygen in the front part of the cavity was continuously consumed, as oxygen in the rear of the cavity was exhausted by the fuel. In region B, OH was generated at the trailing edge of the cavity and continued to spread downstream to the combustion chamber. When t > 1.80 ms, the cavity oxygen in region A was completely exhausted. Then, the mass exchange rate of the cavity with the incoming air was lower than the rate of fuel entering the cavity. The cavity interior was in an oxygen-deficient state, unable to sustain combustion, and the OH signal gradually disappeared. However, due to the heat transfer from the upstream high-temperature products, the downstream fuel continued to burn, and the OH signal was formed stably downstream in region B. Then, the combustion reaction mainly occurred in the fuel wake area downstream of the cavity.
In the combustion chamber of Case 2, the local ER of the injection was lower, and the fuel reaction was slower. After the fuel injection spread, a stable OH signal was produced at the position of the cavity shear layer, and the oscillation of the reaction surface at the shear layer was weaker compared to Case 1. When the fuel diffused to the edge of the cavity, some fuel continued to spread downstream with the incoming air. However, another part reattached on the edge of the cavity with the shear layer and flowed into the cavity, participating in the mass exchange in the cavity. For a cavity with a larger length-to-depth ratio, there were two main vortex structures inside, and the fuel flowing into the cavity was rolled up by the rear vortex, which were fully mixed and burned with the air in the cavity. At t = 0.15 ms, a large amount of OH signal formation could be found at the rear of the cavity. As the oxygen in the rear part of the cavity was consumed, the reaction surface gradually moved forward. Because the mass exchange rate between the vortex structures in the cavity was low, the forward movement of the reaction surface was very slow. At t = 2.20 ms, the combustion reaction in the cavity gradually stopped as the oxygen was exhausted, and the OH signal was stably generated only in the shear layer and the downstream area of the cavity at this time.
Figure 7 shows a comparison of the distribution of the HO2 mole fraction at the z = 5.0 mm location in the combustion chambers of Cases 1 and 2 at time t = 4.0 ms. It can be observed that HO2 was primarily diffused to a significant extent downstream in the combustion chamber of Case 1, i.e., the main reaction region of the fuel located near the downstream of the combustion chamber. However, there was a large region of HO2 signal generation between the cavity shear layer and the main flow of fuel diffusion in Case 2, where the fuel combustion was quite intense. This indicated that the injection pressure influenced the local ER distribution and led to a change in the degree of fuel mixing at different locations. The distribution of HO2 in the combustion chamber confirmed the differences in the distribution of the main reaction regions of the fuel between the two cases. After the fuel was injected, the main flow with fuel diffusion and the cavity had mass exchange, and combustion occurred because of the mixing influenced by high temperatures within the cavity and the vortex structure of the cavity. The high-temperature combustion products can then act as a continuous ignition source, which maintains the stable combustion of the fuel.
Figure 7.
Distributions of mole fraction HO2 in the combustion chamber at z = 5 mm. (a) Case 1 and (b) Case 2.
Figure 8 displays the average molar fraction distribution of HO2 along the x-axis cross-section (t = 4 ms). It can be observed that in Case 1, the average molar fraction of HO2 downstream in the combustion chamber was higher, indicating that the main fuel reaction zone was located downstream in the combustion chamber. In Case 2, the average molar fraction of HO2 near the cavity (where the cross-sectional area is larger) was comparable to that downstream in the combustion chamber, suggesting that the fuel combustion near the cavity was also very intense. This indicated that the injection pressure influenced the distribution of the local equivalence ratio, leading to a change in the main reaction zone.
Figure 8.
The average mole fraction distribution of HO2 along the x-axis cross-section (t = 4 ms).
3.2. Downstream Injection
Cases 3 and 4 are both cases of transverse injection on the downstream wall of the cavity. The change in OH mass fraction versus time in the combustion chamber is shown in Figure 9a,b. During the downstream injection of the cavity, the fuel could only pass through the recirculation zone around the orifice and the high-temperature boundary layer as a local flame stabilization method. There was a weak OH signal generated upstream of the orifice and at the boundary layer position within the combustion chamber. However, it was difficult to maintain a large amount of combustion of the mainstream fuel. In Case 3, the intensity of the shock wave upstream of the injection hole increased due to the high injection pressure, which led to a significant boundary layer separation and increased the region of the resulting recirculation zone. At t = 0.18 ms, the length of the upstream recirculation zone was greater than the distance from the trailing edge of the cavity to the center of injection hole D2. Due to the dual-vortex structure effect of the recirculation zone vortex and the vortex at the rear of the cavity, part of the fuel was forced into the cavity along the trailing edge of the cavity and a brief mixture combustion occurred within the cavity, which gradually weakened because of the fuel shortage. In Case 4, the injection pressure of the fuel was lower, and the length of the upstream recirculation zone was less than the distance from the trailing edge of the cavity to the center of injection hole D2. The reaction zone that formed in the cavity was not obvious. Therefore, there was a specific pressure value for the fuel injection of the injection hole downstream of the cavity. When this injection pressure was exceeded, the scale of the upstream recirculation zone exceeded the distance from the injection hole center to the trailing edge of the cavity, and then the downstream flame could be driven into the rear of the cavity by the upstream recirculation zone of the injection hole.
Figure 9.
Distributions of OH mass fraction varying with time. (a) Case 3 and (b) Case 4.
To analyze the effects of the pressure characteristics, a measurement point, P (x = 120.0 mm, y = −9.5 mm, and z = 5.0 mm), was selected at the bottom of the rear wall of the cavity. Figure 10A,B show the changes in the OH free radical mass fraction and temperature at the measurement location under different injection pressures, respectively.
Figure 10.
Comparison of OH mass fraction (A) and temperature (B) at measuring point, M (x = 120.0 mm, y = −9.5 mm, and z = 5.0 mm), at different injection pressures.
During the t > 0.2 ms period, when the pressure of the injection hole downstream of the cavity decreased, the OH mass fraction and temperature at the measurement point P showed a decreasing trend. The mass flux of the fuel and flame forced into the cavity from the upstream recirculation zone of the injection hole gradually decreased, and the combustion intensity in the cavity was weakened. When the pressure dropped to 1.5 MPa, the flow-field parameters at point P remained basically unchanged, which indicated that the flame from the recirculation zone of the injection hole downstream of the cavity hardly spread into the cavity under this injection pressure condition. In addition, when the injection pressure was 1 MPa, the flow-field parameters at point P were basically coupled with the changes under the 1.5 MPa condition, i.e., there was no combustion in the cavity. Therefore, the injection pressure value that allowed the flame from the recirculation zone of the injection hole downstream of the combustion chamber cavity to spread into the cavity was approximately between 1.5 and 2 MPa. When the pressure exceeded 2 MPa, the recirculation zone flame inevitably spread into the cavity.
3.3. Injection Inside the Cavity
When the fuel injection hole was placed inside the cavity, OH signals first appeared around the fuel column in the cavity, as shown in Case 5 at 0.02 ms in Figure 11. As the height of the fuel column rose, many OH signals gradually formed near the fuel column and quickly spread to the entire cavity due to the slower internal flow and higher temperature in the cavity. At t = 0.16 ms, there was a break in the fuel reaction position due to the consumption of oxygen in the cavity. The combustion zone was divided into two regions and the break gradually expanded with time, as shown by the dotted line in the figure. The position of the dotted line is within the spanwise cross-section of the injection hole, i.e., the nozzle divided the reaction plane into two regions, which are located upstream and downstream.
Figure 11.
Distributions of OH mass fraction varying with time for Case 5 (ER = 0.15).
Inside the combustion chamber cavity, the fuel injection, to a certain extent, created a throttling effect on the two upstream and downstream areas, which caused the mass exchange rate between the two areas to decrease. The flow rate in the upstream area of the injection hole was slower and formed an independent vortex structure, as shown in Figure 12. Some of the fuel continued to diffuse to the shear layer position through the vortex structure, reacted, and combusted with the shear layer air at the front of the cavity. Therefore, there was a continuous production of OH signals in region 1, while the position of OH production in the downstream region of the injection hole changed and was similar to the process at t > 0.20 ms in Figure 6. Finally, the reaction surface stabilized at the front of the cavity shear layer and within the downstream region of the combustion chamber.
Figure 12.
Vortex structures around the injection hole inside the cavity.
In Figure 13, OH signals also appeared at the shear layer position of the cavity upstream of the nozzle. Due to the lower fuel ER in Case 6, the break time for the OH formation region was slightly delayed compared to Case 5. In addition, the incoming air and the fuel diffused by the cavity bottom wall injection reached mass exchange balance at the tail of the cavity in Case 6. When the local ER was close to 1, stable combustion occurred at the tail of the cavity, and it propagated downstream along the bottom wall of the combustion chamber, as shown in region 2 at t = 4.00 ms in Figure 13.
Figure 13.
Distributions of the OH mass fraction varying with time for Case 6 (ER = 0.05).
Now, at t = 2.0 ms, the HO2 distribution in the combustion chambers of the two groups of scenarios is shown in Figure 14. A large amount of HO2 radicals formed at the interface between the fuel diffusion mainstream and the incoming air. Because the injection pressure in the combustion chamber of Case 5 was higher, the mole fraction of HO2 above the injection hole was slightly larger than that in Case 6, and the overall distribution positions of HO2 radicals in the two combustion chambers were not significantly different.
Figure 14.
Distributions of the HO2 mole fraction in the combustion chamber of Cases 5 and 6.
Figure 15 shows the temperature distributions of the combustion chambers of Cases 5 and 6. In combination with the OH radical distribution positions in Figure 10 and Figure 12, it can be concluded that when fuel was injected into the cavity, the combustion chamber eventually developed into two reaction zones. The higher the injection pressure, the more the reaction plane position was pushed downstream, and different injection ERs also affected the final stable position and structure of the flame.
Figure 15.
Temperature distribution in the combustion chamber of Cases 5 and 6.
3.4. Injection Performance Analysis
Figure 16a shows a comparison of the oxygen consumption rate versus time at the outlet of the combustion chamber for Cases 1–4. In the combustion chamber of Case 4, the oxygen consumption rate remained at a low-value position due to the absence of cavity interference. In the initial stage, the oxygen consumption rate increased for a period due to the establishment of the combustion flow field, and the four cases were basically in a stable state after 1.2 ms. It can be found that when the nozzle was arranged upstream, the overall oxygen consumption rate at the combustion chamber outlet was higher than when the injection hole was arranged downstream of the cavity. In addition, the oxygen consumption rate increased sharply with the increased injection pressure. Figure 16b shows a comparison of the total PRF at the outlet of the combustion chambers from Cases 1–4. When t > 0.25 ms, the total PRF at the outlet of the combustion chambers in Cases 1 and 2 was significantly lower than in Cases 3 and 4. This indicated that the injection hole arrangement upstream of the cavity significantly enhanced the combustion effect of the fuel, which led to an increase in total pressure loss. On the other hand, the higher the injection pressure, the stronger the bow shock wave in front of the nozzle. The increase in the mass flow rate of fuel injection caused an increase in combustion intensity, leading to a further increase in total pressure loss in the combustion chamber. Moreover, it is worthwhile to note that the total PRFs at the combustion chamber outlet in Cases 2 and 3 were basically the same, but the oxygen consumption rate at the outlet of Case 2 was higher than that of Case 3. This seems to indicate that the rational arrangement of the nozzle position had a more profound impact on improving the combustion efficiency compared to the increased injection pressure.
Figure 16.
Averaged oxygen consumption rate and total PRF at the outlet of the combustion chamber. (a) Oxygen consumption rate. (b) Total PRF.
4. Conclusions
This work concentrated on hydrogen fuel combustion in a cavity-based scramjet combustion chamber model. The detailed process of initial flame kernel formation and flame propagation in the combustion chamber during the initial stages of hydrogen fuel injection under different injection positions and equivalence ratios were analyzed. This combustion process was observed by the changes in the distribution positions of OH, HO2 radicals, and temperature. The following conclusions were obtained:
- (1)
- When the fuel was injected downstream of the cavity, if the injection hole was placed near the trailing edge of the cavity and the injection pressure exceeded 2 MPa, the length of the recirculation zone upstream of the injection hole exceeded the distance between the hole center and the trailing edge of the cavity. This caused the downstream flame to spread into the cavity through the recirculation zone.
- (2)
- When the fuel injection pressure was the same, for the case with the injection hole placed upstream of the cavity, the oxygen consumption rate at the combustion chamber outlet was significantly increased and the total PRF was decreased compared to the case where the injection hole was placed downstream of the cavity. When the injection hole position was the same, the oxygen consumption rate at the combustion chamber outlet increased with the increased injection pressure, and the total PRF decreased with the increased injection pressure.
- (3)
- When the fuel was injected inside the cavity, if the orifice position was close to the leading wall of the cavity, an independent vortex structure formed upstream of the orifice. The shear layer at the front end of the cavity continuously produced OH signals, and two reaction zones eventually formed inside the combustion chamber.
- (4)
- When fuel was injected at the same position in the scramjet combustion chamber, different injection ERs affected the final stable position and structure of the flame. When the global ER of cavity injection was lower, hydrogen fuel combustion mainly occurred in the cavity shear layer and downstream of the combustion chamber. However, when the global ER was higher, fuel combustion mainly occurred downstream of the combustion chamber.
Author Contributions
Methodology, W.X. and J.L.; software, T.D. and R.Z.; investigation, P.L.; original draft preparation, W.X. and P.L.; review and editing, T.D. and J.L. All authors have read and agreed to the published version of the manuscript.
Funding
This work was supported by the Key Laboratory Continuously Supporting Project (Grant No. WDZC6142703202216), the Natural Science Foundation of Hunan Province (Grant No. 2023JJ40733), and the National Natural Science Foundation of China (Grant No. 12272133).
Institutional Review Board Statement
Not applicable.
Informed Consent Statement
Not applicable.
Data Availability Statement
Data are contained within the article.
Conflicts of Interest
The authors declare no conflict of interest.
Nomenclature
| Latin characters | |
| H | Inlet height (mm) |
| h | Height of the cavity (mm) |
| L | Combustion chamber length (mm) |
| ΔL | Distance between the inlet and the cavity (mm) |
| l | Total length of the cavity (mm) |
| Pt | Total pressure (MPa) |
| Tt | Total temperature (K) |
| T | Static temperature (K) |
| t | Time (ms) |
| W | Combustion chamber width (mm) |
| Greek characters | |
| σ | Total pressure recovery factor |
| θ | Expansion angle (degree) |
| γ | Angle of the cavity back wall (degree) |
| φ | Combustion efficiency |
| Abbreviations | |
| Ma | Mach number |
| PLIF | Planar laser-induced fluorescence |
| PRF | Pressure recovery factor |
| ER | Equivalence ratio |
References
- Choubey, G.; Devarajan, Y.; Huang, W.; Mehar, K.; Tiwari, M.; Pandey, K. Recent advances in cavity-based scramjet engine—A brief review. Int. J. Hydrogen Energy 2019, 44, 13895–13909. [Google Scholar] [CrossRef]
- Vinogradov, V.A.; Kobigsky, S.A.; Petrov, M.D. Experimental investigation of kerosene fuel combustion in supersonic flow. J. Propuls. Power 1995, 11, 130–134. [Google Scholar] [CrossRef]
- Ortwerth, P.; Mathur, A.; Vinogradov, V.; Grin, V.; Goldfeld, M.; Starov, A. Experimental and numerical investigation of hy-drogen and ethylene combustion in a Mach 3-5 channel with a single injector. In Proceedings of the 32nd Joint Propulsion Conference and Exhibit, Los Angeles, CA, USA, 20–24 June 1996; p. 3245. [Google Scholar]
- Owens, M.G.; Tehranian, S.; Segal, C.; Vinogradov, V.A. Flame-holding configurations for kerosene combustion in a Mach 1.8 airflow. J. Propuls. Power 1998, 14, 456–461. [Google Scholar] [CrossRef]
- Pandey, K.M.; Roga, S.; Choubey, G. National institute of technology silchar numerical investigation on hydrogen-fueled scramjet combustor with parallel strut fuel injector at a flight mach number of 6. J. Appl. Fluid Mech. 2016, 9, 1215–1220. [Google Scholar]
- Cao, R.; Chang, J.; Tang, J.; Wang, Z.; Yu, D. Study on combustion mode transition of hydrogen fueled dual-mode scramjet engine based on thermodynamic cycle analysis. Int. J. Hydrogen Energy 2014, 39, 21251–21258. [Google Scholar] [CrossRef]
- Birzer, C.H.; Doolan, C.J. Quasi-one-dimensional model of hydrogen-fueled scramjet combustors. J. Propuls. Power 2009, 25, 1220–1225. [Google Scholar] [CrossRef]
- Abu-Farah, L.; Haidn, O.; Kau, H.-P. Numerical simulations of single and multi-staged injection of H2 in a supersonic scramjet combustor. Propuls. Power Res. 2014, 3, 175–186. [Google Scholar] [CrossRef]
- Das, R.; Kim, J.S.; Kim, H.D. Supersonic cavity based combustion with kerosene/hydrogen fuel. J. Therm. Sci. 2015, 24, 164–172. [Google Scholar] [CrossRef]
- Latypov, A.F. Functional mathematical model of a hydrogen-driven combustion chamber for a scramjet. J. Appl. Mech. Tech. Phys. 2015, 56, 799–812. [Google Scholar] [CrossRef]
- Kummitha, O.R. Numerical analysis of hydrogen fuel scramjet combustor with turbulence development inserts and with dif-ferent turbulence models. Int. J. Hydrog. Energy 2017, 42, 6360–6368. [Google Scholar] [CrossRef]
- Kummitha, O.R.; Suneetha, L.; Pandey, K. Numerical analysis of scramjet combustor with innovative strut and fuel injection techniques. Int. J. Hydrogen Energy 2017, 42, 10524–10535. [Google Scholar] [CrossRef]
- Ma, S.; Zhong, F.; Zhang, X. Numerical study on supersonic combustion of hydrogen and its mixture with Ethylene and methane with strut injection. Int. J. Hydrogen Energy 2018, 43, 7591–7599. [Google Scholar] [CrossRef]
- Cao, R.F.; Yu, D.R. Parametric performance analysis of multiple reheat cycle for hydrogen fueled scramjet with multi-staged fuel injection. Thermophys. Aeromech. 2021, 28, 583–594. [Google Scholar] [CrossRef]
- Choubey, G.; Solanki, M.; Bhatt, T.; Kshitij, G.; Yuvarajan, D.; Huang, W. Numerical investigation on a typical scramjet combustor using cavity floor H2 fuel injection strategy. Acta Astronaut. 2023, 202, 373–385. [Google Scholar] [CrossRef]
- Zhang, J.; Feng, G.; Bai, H.; Lv, K.; Bao, W. Research on combustion characteristics of scramjet combustor with different flight dynamic pressure conditions. Propuls. Power Res. 2023, 12, 69–82. [Google Scholar] [CrossRef]
- Ben-Yakar, A.; Kamel, M.; Morris, C.; Hanson, R. Experimental investigation of H2 transverse jet combustion in hypervelocity flows. In Proceedings of the 33rd Joint Propulsion Conference and Exhibit, Seattle, WA, USA, 6–9 July 1997; p. 3019. [Google Scholar]
- Vereschagin, K.A.; Smirnov, V.V.; Stelmakh, O.M.; Fabelinsky, V.I.; Sabelnikov, V.A.; Ivanov, V.V.; Clauss, W.; Oschwald, M. Temperature measurements by coherent anti-Stokes Raman spectroscopy in hydrogen-fuelled scramjet combustor. Aerosp. Sci. Technol. 2001, 5, 347–355. [Google Scholar] [CrossRef]
- Tian, Y.; Yang, S.; Le, J.; Su, T.; Yue, M.; Zhong, F.; Tian, X. Investigation of combustion and flame stabilization modes in a hydrogen fueled scramjet combustor. Int. J. Hydrogen Energy 2016, 41, 19218–19230. [Google Scholar] [CrossRef]
- Peng, J.; Cao, Z.; Yu, X.; Yang, S.; Yu, Y.; Ren, H.; Ma, Y.; Zhang, S.; Chen, S.; Zhao, Y. Analysis of combustion instability of hydrogen fueled scramjet combustor on high-speed OH-PLIF measurements and dynamic mode decomposition. Int. J. Hydrogen Energy 2020, 45, 13108–13118. [Google Scholar] [CrossRef]
- Gao, L.; Yu, X.; Peng, J.; Tian, Y.; Cao, Z.; Zhong, F.; Wu, G.; Han, M. Flame characteristics of a cavity-based scramjet combustor using OH-PLIF and feature extraction. Int. J. Hydrogen Energy 2022, 47, 20662–20675. [Google Scholar] [CrossRef]
- Génin, F.; Menon, S. Simulation of turbulent mixing behind a strut injector in supersonic flow. AIAA J. 2010, 48, 526–539. [Google Scholar] [CrossRef]
- Barth, J.E.; Wheatley, V.; Smart, M.K. Effects of hydrogen fuel injection in a Mach 12 scramjet inlet. AIAA J. 2015, 53, 2907–2919. [Google Scholar] [CrossRef]
- Moorthy, J.; Rajinikanth, B.; Charyulu, B.; Rao, G.A.P. Effect of ramp-cavity on hydrogen fueled scramjet combustor. Propuls. Power Res. 2014, 3, 22–28. [Google Scholar] [CrossRef]
- Cao, R.; Chang, J.; Bao, W.; Guo, M.; Qin, J.; Yu, D.; Wang, Z. Analysis of combustion mode and operating route for hydrogen fueled scramjet engine. Int. J. Hydrogen Energy 2013, 38, 5928–5935. [Google Scholar] [CrossRef]
- Yang, Q.; Chang, J.; Bao, W.; Deng, J. A mechanism of combustion mode transition for hydrogen fueled scramjet. Int. J. Hydrogen Energy 2014, 39, 9791–9797. [Google Scholar] [CrossRef]
- Xiong, Y.; Qin, J.; Cheng, K.; Zhang, S.; Feng, Y. Quasi-One-Dimensional Model of Hydrocarbon-Fueled Scramjet Combustor Coupled with Regenerative Cooling. Int. J. Aerosp. Eng. 2022, 2022, 9931498. [Google Scholar] [CrossRef]
- Choubey, G.; Yuvarajan, D.; Huang, W.; Yan, L.; Babazadeh, H.; Pandey, K. Hydrogen fuel in scramjet engines—A brief review. Int. J. Hydrogen Energy 2020, 45, 16799–16815. [Google Scholar] [CrossRef]
- Zhao, M.; Li, Q.; Ye, T. Investigation of an optimal pulsed jet mixing and combustion in supersonic crossflow. Combust. Flame 2021, 227, 186–201. [Google Scholar] [CrossRef]
- Tian, Y.; Xiao, B.; Zhang, S.; Xing, J. Experimental and computational study on combustion performance of a kerosene fueled dual-mode scramjet engine. Aerosp. Sci. Technol. 2015, 46, 451–458. [Google Scholar] [CrossRef]
Disclaimer/Publisher’s Note: The statements, opinions and data contained in all publications are solely those of the individual author(s) and contributor(s) and not of MDPI and/or the editor(s). MDPI and/or the editor(s) disclaim responsibility for any injury to people or property resulting from any ideas, methods, instructions or products referred to in the content. |
© 2024 by the authors. Licensee MDPI, Basel, Switzerland. This article is an open access article distributed under the terms and conditions of the Creative Commons Attribution (CC BY) license (https://creativecommons.org/licenses/by/4.0/).















