Mitigating Coal Spontaneous Combustion Risk within Goaf of Gob-Side Entry Retaining by Roof Cutting: Investigation of Air Leakage Characteristics and Effective Plugging Techniques
Abstract
1. Introduction
2. Engineering Background
3. Methods and Simulation
3.1. SF6 Tracer Gas Test Air Leakage
3.1.1. Air Leakage Tests in Goaf
3.1.2. Air Leakage Tests in Gob-Side Entry Retaining Section
3.2. Air Leakage Law Simulation in the Gob
3.2.1. Geometric Model and Simulation Conditions
3.2.2. Control Equations [27,40]
4. Results Analysis
4.1. Analysis of Air Leakage Using SF6 Tracer Gas Testing
4.1.1. Air Leakage Characteristics in Goaf
4.1.2. Air Leakage Degree of Gob-Side Entry Retaining Section
4.2. Analysis of Simulation Results Regarding Air Leakage in the Goaf
4.2.1. The Law of Airflow Migration in the Goaf
4.2.2. Oxygen Concentration Distribution Characteristics in Goaf
4.3. Analysis of Air Leakage Prevention in Goaf
4.3.1. Characteristics of Flow Field Distribution in the Goaf
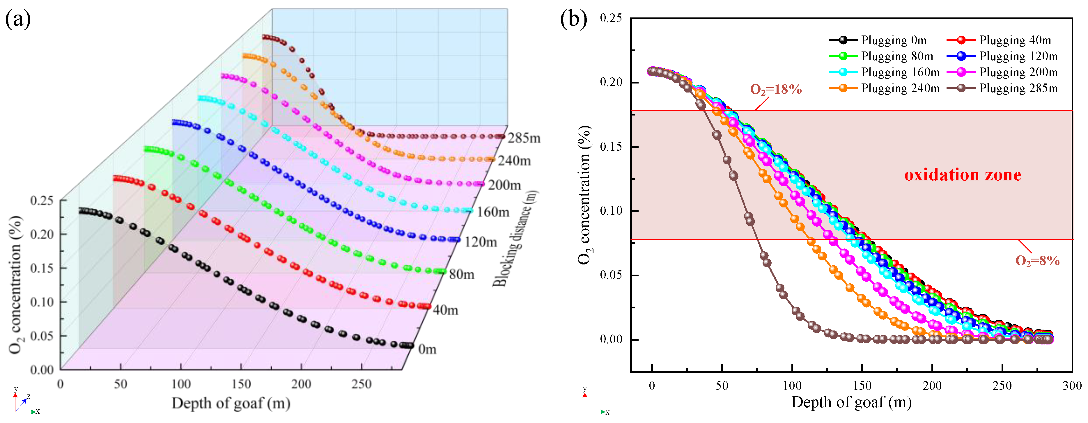
4.3.2. Characteristics of Oxygen Concentration Distribution in the Goaf
5. Applications
5.1. Plugging Construction
- (1)
- Substrate treatment. Use the pressurized air duct to flush the coal dust and dust on the surface of the roadway walls to ensure that the spray foam material is well-bonded to the roadway surface.
- (2)
- Worker protection. Use equipment such as gas masks and protective clothing to protect construction workers from injury.
- (3)
- Equipment connection. After connecting the air source, connect the two suction pipes to the A and B barrels, respectively. Pay special attention to the A cylinder for A material and the B cylinder for B material. Do not mix them.
- (4)
- Spraying construction. Spray with spray gun at a constant speed along the bottom of the roadway bottom plate from the bottom up to spray, the first spraying distance of about 5 mm or so, to be fully reactive material for the second surface spraying, for the unsprayed area or the need to strengthen the spraying position to make up the spray.
- (5)
- Cleaning. Immediately after stopping construction, wash with water to thoroughly clean the residual slurry.
5.2. Effect Analysis
6. Conclusions
- SF6 tracer gas is used to measure the approximate migration route of the airflow within the goaf of the 17202 working face, which flows into the working plane from the main air inlet lane and then leaks into the goaf, and, after a while, the airflow leaks out of the gap in the gob-side entry retaining wall. The total air leakage of the gob-side entry retaining section of the 17202 working face is 171.59 m3/min, representing 7.3% of the overall airflow within the gob-side entry retaining section.
- The simulation finds that the airflow from the working plane near the main intake airflow roadway leaks into the goaf and flows to its upper part, reaches a certain height, and then shifts horizontally to the gob-side entry retaining, and when the airflow is close to the gob-side entry retaining, it flows to the lower part of the zone and leaks out from the gob-side entry retaining wall. z = 1 plane, the air leakage route in the goaf shows an L-shape distribution, and the maximum width of the oxidation zone is 58.7 m~151.8 m. After the blocking measures are taken, the airflow migration route in the gob area becomes a U-shape distribution, and the maximum width of the oxidation zone reaches 42.8 m~80.7 m.
- Following the application of sprayed material to seal the air leakage, the volume of air leakage within the gob-side entry retaining section decreases from 171.59 m3/min to 20.59 m3/min. This results in the overall air volume in the gob-side entry retaining section decreasing from 7.3% to 0.78%. It significantly minimizes air leakage in the gob area, decreases the risk of CSC within the gob area, and guarantees the safe operation of the mine.
Author Contributions
Funding
Institutional Review Board Statement
Informed Consent Statement
Data Availability Statement
Conflicts of Interest
References
- Danish, E.; Onder, M. Application of Fuzzy Logic for Predicting of Mine Fire in Underground Coal Mine. Saf. Health Work 2020, 11, 322–334. [Google Scholar] [CrossRef]
- Kursunoglu, N.; Gogebakan, M. Prediction of spontaneous coal combustion tendency using multinomial logistic regression. Int. J. Occup. Saf. Ergon. 2022, 28, 2000–2009. [Google Scholar] [CrossRef] [PubMed]
- Ray, S.K.; Singh, R.P. Recent Developments and Practices to Control Fire in Underground Coal Mines. Fire Technol. 2007, 43, 285–300. [Google Scholar] [CrossRef]
- Deng, J.; Lei, C.; Xiao, Y.; Cao, K.; Ma, L.; Wang, W.; Laiwang, B. Determination and prediction on “three zones” of coal spontaneous combustion in a gob of fully mechanized caving face. Fuel 2018, 211, 458–470. [Google Scholar] [CrossRef]
- Ozcelik, M. Spontaneous combustion of coal seams in the Bengiler coal mine in Turkey. Euro-Mediterr. J. Environ. Integr. 2023, 8, 665–674. [Google Scholar] [CrossRef]
- Onifade, M. Countermeasures against coal spontaneous combustion: A review. Int. J. Coal Prep. Util. 2022, 42, 2953–2975. [Google Scholar] [CrossRef]
- Onifade, M.; Genc, B.; Gbadamosi, A.R.; Morgan, A.; Ngoepe, T. Influence of antioxidants on spontaneous combustion and coal properties. Process Saf. Environ. 2021, 148, 1019–1032. [Google Scholar] [CrossRef]
- Fernánez-Alaiz, F.; Castañón, A.M.; Gómez-Fernández, F.; Bernardo-Sánchez, A.; Bascompta, M. Analysis of the Fire Propagation in a Sublevel Coal Mine. Energies 2020, 13, 3754. [Google Scholar] [CrossRef]
- Bascetin, A.; Brune, J.F.; Adiguzel, D. The study of permeability changes of a gob structure in an underground coal mine to prevent spontaneous combustion. Int. J. Min. Reclam. Environ. 2021, 35, 693–708. [Google Scholar] [CrossRef]
- Tutak, M. Numerical research of oxidation zone variation in goaf of longwalls U-type system from borders and U-type system to the borders ventilated. IOP Conf. Ser. Earth Environ. Sci. 2019, 221, 012090. [Google Scholar] [CrossRef]
- Islavath, S.R.; Deb, D.; Kumar, H. Numerical analysis of a longwall mining cycle and development of a composite longwall index. Int. J. Rock Mech. Min. 2016, 89, 43–54. [Google Scholar] [CrossRef]
- Konicek, P.; Schreiber, J. Heavy rock bursts due to long-wall mining near protective pillars: A case study. Int. J. Min. Sci. Technol. 2018, 28, 799–805. [Google Scholar] [CrossRef]
- Sakhno, I.G.; Sakhno, S.V.; Kamenets, V.I. Stress environment around head entries with pillarless gob side entry retaining through numerical simulation incorporating the two type of filling wall. IOP Conf. Ser. Earth Environ. Sci. 2022, 1049, 012011. [Google Scholar] [CrossRef]
- Golubev, D.D. Using pillar-free mining technologies in gently dipping and self-ignitable coal seams. Min. Inf. Anal. Bull. 2020, 7, 64–77. [Google Scholar] [CrossRef]
- Tao, Z.; Song, Z.; He, M.; Meng, Z.; Pang, S. Principles of the roof cut short-arm beam mining method (110 method) and its mining-induced stress distribution. Int. J. Min. Sci. Technol. 2017, 28, 391–396. [Google Scholar] [CrossRef]
- Kim, B.; Walton, G.; Larson, M.K.; Berry, S. Experimental study on the confinement-dependent characteristics of a Utah coal considering the anisotropy by cleats. Int. J. Rock Mech. Min. 2018, 105, 182–191. [Google Scholar] [CrossRef] [PubMed]
- Wang, Y.; Wang, Q.; Tian, X.; Wang, H.; Yang, J.; He, M. Stress and deformation evolution characteristics of gob-side entry retained by roof cutting and pressure relief. Tunn. Undergr. Space Technol. 2022, 123, 104419. [Google Scholar] [CrossRef]
- Islavath, S.R.; Kasturi, P.K. Development of pillar extraction strategy for a coal panel and rib pillar stability index under the influence of the goaved-out panels. Arab. J. Geosci. 2023, 16, 13. [Google Scholar] [CrossRef]
- Singh, A.K.; Singh, R.; Maiti, J.; Kumar, R.; Mandal, P.K. Assessment of mining induced stress development over coal pillars during depillaring. Int. J. Rock Mech. Min. 2011, 48, 805–818. [Google Scholar] [CrossRef]
- Yadav, A.; Behera, B.; Sahoo, S.K.; Singh, G.S.P.; Sharma, S.K. An Approach for Numerical Modeling of Gob Compaction Process in Longwall Mining. Min. Metall. Explor. 2020, 37, 631–649. [Google Scholar] [CrossRef]
- Zhou, X.; Jing, Z.; Li, Y. Research on controlling gas overrun in a working face based on gob-side entry retaining by utilizing ventilation type “Y”. Sci. Rep. 2023, 13, 9199. [Google Scholar] [CrossRef] [PubMed]
- Arasteh, H.; Saeedi, G.; Farsangi, M.A.E.; Esmaeili, K. A New Model for Calculation of the Plastic Compression Index and Porosity and Permeability of Gob Materials in Longwall Mining. Geotech. Geol. Eng. 2020, 38, 6407–6420. [Google Scholar] [CrossRef]
- Janus, J. Numerical Investigation of Air Flow in Goaf While Mapping Its Flow Parameters. Processes 2023, 11, 987. [Google Scholar] [CrossRef]
- Tutak, M.; Brodny, J.; Szurgacz, D.; Sobik, L.; Zhironkin, S. The Impact of the Ventilation System on the Methane Release Hazard and Spontaneous Combustion of Coal in the Area of Exploitation—A Case Study. Energies 2020, 13, 4891. [Google Scholar] [CrossRef]
- Marzły, M.; Trzaskalik, P. Comparative Analysis of Methane Concentration Near the Junction of the Longwall and Top Road. Mang. Syst. Prod. Eng. 2019, 27, 166–173. [Google Scholar]
- Szlązak, N.; Obracaj, D.; Swolkień, J. Enhancing Safety in the Polish High-Methane Coal Mines: An Overview. Min. Metall. Explor. 2020, 37, 567–579. [Google Scholar] [CrossRef]
- Brodny, J.; Tutak, M. The Impact of the Strength of Roof Rocks on the Extent of the Zone with a High Risk of Spontaneous Coal Combustion for Fully Powered Longwalls Ventilated with the Y-Type System—A Case Study. Appl. Sci. 2019, 9, 5315. [Google Scholar]
- Roghanchi, P.; Kocsis, K.; Sunkpal, M. Sensitivity analysis of the effect of airflow velocity on the thermal comfort in underground mines. J. Sustain. Min. 2016, 15, 175–180. [Google Scholar] [CrossRef]
- Rezaei, M. Long-term stability analysis of goaf area in longwall mining using minimum potential energy theory. J. Min. Environ. 2018, 9, 169–182. [Google Scholar]
- Miao, D.; Chen, X.; Ji, J.; Lv, Y.; Zhang, Y.; Sui, X. New Technology for Preventing and Controlling Air Leakage in Goaf Based on the Theory of Airflow Boundary Layer. Processes 2022, 10, 954. [Google Scholar] [CrossRef]
- Saki, S.A.; Brune, J.F.; Khan, M.U. Optimization of gob ventilation boreholes design in longwall mining. Int. J. Min. Sci. Technol. 2020, 30, 811–817. [Google Scholar] [CrossRef]
- Khattri, S.K.; Log, T.; Kraaijeveld, A. Tunnel Fire Dynamics as a Function of Longitudinal Ventilation Air Oxygen Content. Sustainability 2019, 11, 203. [Google Scholar] [CrossRef]
- Kurnia, J.; Sasmito, A.; Mujumdar, A. Simulation of a novel intermittent ventilation system for underground mines. Tunn. Undergr. Space Technol. 2014, 42, 206–215. [Google Scholar] [CrossRef]
- Menéndez, J.; Merlé, N.; Fernández-Oro, J.M.; Galdo, M.; de Prado, L.Á.; Loredo, J.; Bernardo-Sánchez, A. Concentration, Propagation and Dilution of Toxic Gases in Underground Excavations under Different Ventilation Modes. Int. J. Environ. Res. Public Health 2022, 19, 7092. [Google Scholar] [CrossRef] [PubMed]
- Vives, J.; Bascompta, M.; Felipe, J.J.; Sanmiquel, L. Computational Fluid Dynamics (CFD) study to optimize the auxiliary ventilation system in an underground mine. Dyna 2022, 89, 84–91. [Google Scholar] [CrossRef]
- Tian, Y.; Yang, C.; Sun, Q.; Chang, K.; Guo, Z. Air leakage law in goaf of the working face using U-type ventilation. Coal Eng. 2020, 52, 132–136. [Google Scholar]
- Zhai, X.; Wang, B.; Jiang, S.; Zhang, W. Oxygen Distribution and Air Leakage Law in Gob of Working Face of U+L Ventilation System. Math. Probl. Eng. 2019, 2019, 8356701. [Google Scholar] [CrossRef]
- Li, T.; Wu, B.; Lei, B.; Huang, Q. Study on air leakage and gas distribution in goaf of y-type ventilation system. Energy Source Part A 2020, 5, 1–14. [Google Scholar] [CrossRef]
- Guo, L.; Yao, J.; Su, X. Influence of W-type and U-type ventilation methods on working face. IOP Conf. Ser. Earth Environ. Sci. 2020, 546, 042014. [Google Scholar] [CrossRef]
- Zhu, X.; Wen, H. Numerical simulation study on the influence of air leakage on oxygen concentration in goafs of fully mechanized caving mining with shallow buried and large mining height. Front. Earth Sci. 2023, 11, 1138925. [Google Scholar] [CrossRef]
- Zhang, F.; Liu, W.; Qin, Y.; Chu, X.; Xu, H.; Wu, F.; Li, Y. Optimization of coalbed methane recovery from extraction borehole using novel plastic spraying material: A field application and evaluation. Process Saf. Environ. 2022, 169, 534–546. [Google Scholar] [CrossRef]
- Biswal, P.K.; Parida, D.; Mishra, G.; Sahoo, A.K. Study of air flow pattern in mine model gallery and its validation using CFD modelling. World Sci. News 2019, 130, 1–24. [Google Scholar]
- Krukovskyi, O.; Kurnosov, S.; Makeiev, S.; Ryzhov, H.; Pilipenko, Y. Tamponage of massif by modern polymeric materials for isolating mined-out areas in the coal seams prone to spontaneous ignition. IOP Conf. Ser. Earth Environ. Sci. 2022, 970, 012046. [Google Scholar] [CrossRef]
- Zhang, Y.; Zou, Q.; Guo, L. Air-leakage Model and Sealing Technique with Sealing–Isolation Integration for Gas-drainage Boreholes in Coal Mines. Process Saf. Environ. 2020, 140, 258–272. [Google Scholar] [CrossRef]
- Xi, X.; Jiang, S.; Yin, C.; Wu, Z. Experimental investigation on cement-based foam developed to prevent spontaneous combustion of coal by plugging air leakage. Fuel 2021, 301, 121091. [Google Scholar] [CrossRef]
- AQ 1116-2020; General Safety Specification of Polymer Material for Consolidation, Water Stopping, Void Filling and Sprayed Sealing at Coal Mine. Ministry of Emergency Management of the People’s Republic of China: Beijing, China, 2020.


















| Category | Parameter | Value or Condition |
|---|---|---|
| Geometric size | Working face: x(m) × y(m) × z(m) | 180 × 5 × 3 |
| Gob area: x(m) × y(m) × z(m) | 180 × 285 × 30 | |
| Intake airflow roadway 1: x(m) × y(m) × z(m) | 5 × 25 × 3 | |
| Intake airflow roadway 2: x(m) × y(m) × z(m) | 5 × 25 × 3 | |
| Return airflow roadway: x(m) × y(m) × z(m) | 5 × 300 × 3 | |
| Boundary conditions and simulation parameters | Inlet velocity 1: wind speed of belt roadway (m/s) | 1.6 |
| Inlet velocity 2: wind speed in track lanes (m/s) | 0.5 | |
| Outlet | Outflow, p = 0 | |
| Gob’s internal state | Porous zone | |
| Other walls | Zero slip | |
| Porosity of porous media in goaf | User-defined function | |
| Thermal conductivity of coal (W·m−1·K−1) | 0.2 | |
| Porosity of floating coal | 0.3 | |
| Air diffusion coefficient (m2·s−1) | 1.5 × 10−5 | |
| Activation energy (J·mol−1) | 5 × 104 | |
| Pre-exponential factor (s−1) | 180 | |
| Gas constant (J·mol−1·K−1) | 8.314 | |
| Oxygen consumption rate |
| Release Point | Sampling Points | Release Amount (mL/min) | Detection Concentration (ppm) |
|---|---|---|---|
| The intersection of the 17202 working face and the gob-side entry retaining wall | 3# | 1200 | 62.21 |
| 4# | 59.03 | ||
| 5# | 58.11 | ||
| 6# | 57.54 | ||
| 7# | 57.23 | ||
| 8# | 57.12 |
| Measurement Section | Air Leakage Volume (m3/min) | Air Leakage Rate (%) | Total Air Leakage Volume (m3/min) |
|---|---|---|---|
| 3#~4# | 103.91 | 5.38 | 171.59 |
| 4#~5# | 32.19 | 1.58 | |
| 5#~5# | 20.15 | 0.99 | |
| 6#~7# | 11.30 | 0.54 | |
| 7#~8# | 4.04 | 0.19 |
| Location within the Goaf | Heat Dissipation Zone | Oxidation Zone | Suffocation Zone |
|---|---|---|---|
| Main air inlet tunnel side | 0~58.7 m | 58.7 m~151.8 m | >151.8 m |
| Middle | 0~36.8 m | 63.8 m~139 m | >139 m |
| Gob-side entry retaining side | 0~62.6 m | 62.6 m~125.3 m | >125.3 m |
| Serial Number | Inspection Items | Technical Specifications | Test Results | |||
|---|---|---|---|---|---|---|
| 1 | Maximum reaction temperature,°C | ≤140 | 94.7 | |||
| 2 | Expansion multiplier | ≥25 | 31 | |||
| 3 | Stability (70 °C ± 2 °C, 48 h), % | ≤0.1 | 0.03 | |||
| 4 | Compressive strength | Pressure strain 10%, kPa | ≥10 | 65 | ||
| Pressure strain 30%, kPa | ≥10 | 26 | ||||
| Pressure strain 70%, kPa | ≥40 | 43 | ||||
| 5 | Oxygen index, % | ≥28 | 28.3 | |||
| 6 | Air permeability, m2 | ≤0.05 | ≤0.005 | |||
| 7 | Flame retardant performance | Alcohol torch burning test | Flame burning time, s | ≤3 | 0.3 | |
| Flameless burning time, s | ≤10 | 1.8 | ||||
| Flame extension length, mm | ≤280 | 110 | ||||
| Alcohol lamp burning test | Flame burning time, s | ≤6 | 0.3 | |||
| Flameless burning time, s | ≤20 | 2.2 | ||||
| Flame extension length, mm | ≤250 | 83 | ||||
| 8 | Surface resistance, Ω | ≤3 × 108 | 5.6 × 107 | |||
| Release Point | Sampling Points | Release Amount (mL/min) | Detection Concentration (ppm) |
|---|---|---|---|
| The intersection between the 17202 working face and the gob-side entry retaining wall | 3# | 1200 | 67.38 |
| 4# | 66.92 | ||
| 5# | 66.77 | ||
| 6# | 66.68 | ||
| 7# | 66.63 | ||
| 8# | 66.61 |
| Measurement Section | Air Leakage Volume (m3/min) | Air Leakage Rate (%) | Total Air Leakage Volume (m3/min) |
|---|---|---|---|
| 3#~4# | 12.24 | 0.68 | 20.59 |
| 4#~5# | 4.03 | 0.22 | |
| 5#~6# | 2.43 | 0.13 | |
| 6#~7# | 1.35 | 0.07 | |
| 7#~8# | 0.54 | 0.03 |
Disclaimer/Publisher’s Note: The statements, opinions and data contained in all publications are solely those of the individual author(s) and contributor(s) and not of MDPI and/or the editor(s). MDPI and/or the editor(s) disclaim responsibility for any injury to people or property resulting from any ideas, methods, instructions or products referred to in the content. |
© 2024 by the authors. Licensee MDPI, Basel, Switzerland. This article is an open access article distributed under the terms and conditions of the Creative Commons Attribution (CC BY) license (https://creativecommons.org/licenses/by/4.0/).
Share and Cite
Zhang, Z.; Chen, X.; Yu, Z.; Sun, H.; Huang, D.; Wu, J.; Zhang, H. Mitigating Coal Spontaneous Combustion Risk within Goaf of Gob-Side Entry Retaining by Roof Cutting: Investigation of Air Leakage Characteristics and Effective Plugging Techniques. Fire 2024, 7, 98. https://doi.org/10.3390/fire7030098
Zhang Z, Chen X, Yu Z, Sun H, Huang D, Wu J, Zhang H. Mitigating Coal Spontaneous Combustion Risk within Goaf of Gob-Side Entry Retaining by Roof Cutting: Investigation of Air Leakage Characteristics and Effective Plugging Techniques. Fire. 2024; 7(3):98. https://doi.org/10.3390/fire7030098
Chicago/Turabian StyleZhang, Zhipeng, Xiaokun Chen, Zhijin Yu, Hao Sun, Dewei Huang, Jiangle Wu, and Hao Zhang. 2024. "Mitigating Coal Spontaneous Combustion Risk within Goaf of Gob-Side Entry Retaining by Roof Cutting: Investigation of Air Leakage Characteristics and Effective Plugging Techniques" Fire 7, no. 3: 98. https://doi.org/10.3390/fire7030098
APA StyleZhang, Z., Chen, X., Yu, Z., Sun, H., Huang, D., Wu, J., & Zhang, H. (2024). Mitigating Coal Spontaneous Combustion Risk within Goaf of Gob-Side Entry Retaining by Roof Cutting: Investigation of Air Leakage Characteristics and Effective Plugging Techniques. Fire, 7(3), 98. https://doi.org/10.3390/fire7030098
