Next Article in Journal
Effectiveness of Sorbents in the Equipment of Firefighting Units in Practice
Next Article in Special Issue
Anomaly Detection in Spatiotemporal Data from Fiber Optic Distributed Temperature Sensing for Outdoor Fire Monitoring
Previous Article in Journal
A Human Behavior Wildfire Ignition Probability Index for Application to Mainland Portugal
Previous Article in Special Issue
Advances in Detection and Monitoring of Coal Spontaneous Combustion: Techniques, Challenges, and Future Directions
 
 
Font Type:
Arial Georgia Verdana
Font Size:
Aa Aa Aa
Line Spacing:
Column Width:
Background:
Article

Thermal Reaction Process and Thermokinetic Characteristics of Coking Coal Oxidation

1
China Academy of Safety Science and Technology, Beijing 100012, China
2
Information Research Institute of the Ministry of Emergency Management, Beijing 100029, China
3
School of Safety and Emergency Management Engineering, Taiyuan University of Technology, Taiyuan 030024, China
*
Author to whom correspondence should be addressed.
Fire 2024, 7(12), 448; https://doi.org/10.3390/fire7120448
Submission received: 17 October 2024 / Revised: 10 November 2024 / Accepted: 11 November 2024 / Published: 29 November 2024
(This article belongs to the Special Issue Simulation, Experiment and Modeling of Coal Fires)

Abstract

The coal–oxygen composite reaction is a complex physicochemical reaction process, and different heating rates have a great influence on this reaction. In order to reveal the influence of different heating rates on the coal–oxygen composite reaction of coking coal, the TG-DSC experimental method was adopted to analyze the hysteresis effect of the characteristic temperature, inflection point temperature, and peak temperature under different heating rates. Furthermore, the KAS method was employed to calculate the apparent activation energy, and the Málek method was utilized to infer the most probable mechanism functions and determine the compensation effects at different stages of the coal oxidation process. The results show that with an increase in heating rate, the temperature values corresponding to each characteristic temperature point increase, the characteristic temperature exhibits a hysteresis phenomenon, and the heat flow rate and heat flux rate also show an increasing trend. The apparent activation energy gradually increases in Stages II and III, with a maximum value of 198.7 kJ/mol near the ignition point T3, which first increases and then gradually decreases in Stage IV, where the maximum value is around the temperature point T4 of the maximum mass loss rate, which is 170.02 kJ/mol. The variation trend in the pre-exponential factor is consistent with the apparent activation energy, and the dynamic compensation effect is greater in Stage IV. The three different oxidation stages have different mechanism functions: a three-dimensional diffusion mode is present in Stages II and III, which is ultimately transformed into an accelerated form α-t curve with E1 and n = 1 in Stage IV.

1. Introduction

Coal spontaneous combustion is one of the most common disasters in the process of coal mining, transportation, storage, and use [1,2,3]. Coal spontaneous combustion not only causes a lot of waste of coal resources and economic losses, but also causes death and injury in the production process, and the discharged gas further aggravates environmental pollution [4,5,6]. Therefore, it is very important to carry out relevant research and technological developments regarding the process of coal oxidation and spontaneous combustion to prevent coal spontaneous combustion disasters. Currently, with the progress of science and technology, the scope and amount of coal mining are increasing year by year, which makes the prevention and control of the spontaneous combustion of coal a top priority in ensuring safe coal production [7].
To find more efficient methods of inhibiting spontaneous coal combustion, domestic and foreign scholars have conducted a large number of experimental studies on the factors influencing spontaneous coal combustion. The influence degree of different factors on coal spontaneous combustion was analyzed through looking at complex coal–oxygen reactions. Wang et al. [8] proposed that there are a large number of pores in coal; the pores provide good conditions for interactions between active groups and oxygen in coal, which are the cause of the spontaneous combustion of coal. They therefore put forward the theory of group interaction. Yang et al. [9] determined the characteristic temperature of coal spontaneous combustion using a series of parameters, such as heating rate, oxygen consumption rate, gas production rate, the single gas index, and the complex gas index, and analyzed the corresponding relationship between the characteristic temperature and each parameter. Yang et al. [10] researched the heat release characteristics of the spontaneous combustion of coal and established a prediction model of the shortest spontaneous ignition period of coal based on the heat release characteristics. Qi et al. [11] divided the fast and slow oxidation stages of coal–oxygen recombination at low temperatures and found that the kinetic parameters of the two stages showed little difference at low oxygen concentrations.
Thermogravimetry (TG or TGA) is the main method used to study the coal–oxygen recombination reaction [12,13]. Wang et al. [14] employed a thermal analysis of the experimental data obtained using the random nucleation growth model (RNGM) and volume model (VM), obtained the kinetic parameters and mechanism of combustion reactions, and found the kinetic characteristics that lead to sample combustion. Ren et al. [15] found the combustion and kinetic mechanisms of waste plastic blends with 0%, 10%, 20%, 40%, and 100% plastic and coal proportions through thermogravimetric analysis. Qi et al. [16] and Xu et al. [17] researched the oxidation and heat release characteristics of coal using the cross-point temperature method, determined each characteristic temperature in the spontaneous combustion process of coal, and calculated the activation energy.
The spontaneous combustion of coal involves very complex physical and chemical reactions, in which the functional groups in coal play a decisive role. Zhao et al. [18] used X-ray diffraction and Fourier transform infrared spectroscopy to determine the microscopic characteristics of coal in the process of high-temperature oxidation. The mineral structure and functional groups of coal were determined to ensure that the original structural characteristics of coal were obtained. Sonibare et al. [19] and Okolo et al. [20] compared and analyzed the differences in aromatic structure, aliphatic hydrocarbon, and microcrystalline structure in different coal molecular structures using various techniques. MoraKanska et al. [21] researched the evolution characteristics of hydrogen bonds and oxygen structures during coal pyrolysis. Deng et al. [22] and Cao et al. [23] investigated the changes in functional groups before and after coal combustion and analyzed the key functional groups of coal spontaneous combustion. Chen et al. [24] studied the spontaneous combustion of bituminous coal using thermogravimetric experiments and in situ Fourier transform infrared spectroscopy. Through the semi-quantitative calculation of alkyl side bond length, the aromatic condensation degree and oxygen enrichment degree were obtained. Zhou et al. [25] researched the evolution law of microscopic functional groups during coal–oxygen recombination at low temperatures and analyzed the correlation between weight changes and functional group evolution.
Many scholars have analyzed the kinetics of the coal–oxygen recombination reaction using the apparent activation energy and pre-exponential factors. Ozbas et al. [26] assumed that the low-temperature oxidation of coal was a first-order reaction model to analyze the thermogravimetric data, and calculated the activation energy and pre-exponential factors in the reaction process of coal with different particle sizes using the Arrhenius kinetic model. Iliyas et al. [27] predicted the reaction rate of sulfur-containing minerals at different temperatures through thermal analysis and dynamic simulation and verified the autocatalysis that occurs in coal during the oxidation stage. Kaljuvee et al. [28] showed that the apparent activation energy is related to the reactive functional groups in coal, and the higher the content of the reactive functional groups, the higher the apparent activation energy. Rotaru et al. [29] studied the differences in the apparent activation energies of different coal samples.
The oxidation and spontaneous combustion process of coal is a complex oxidation kinetic process. Understanding and mastering the kinetics of coal oxidation is the key to understanding the mechanism of coal spontaneous combustion. Therefore, we take the coking coal of the working face 4502 of Shaqu Coal Mine No. 1 as the research object, investigate the thermal reaction process and thermodynamic characteristics of oxidation combustion of coking coal under different heating rates, and explore the influence of heating rate on the characteristic temperature and heat release effect of coking coal. Further, the KAS method was adopted to calculate the apparent activation energy of coal samples, and the Málek method was employed to determine the most probable mechanism functions and kinetic compensation effects of different reaction stages.

2. Experiment and Method

2.1. Coal Sample

The experimental coal sample is from the working face 4502 of Shaqu Coal Mine No. 1 in Shanxi Province, China, and consists of coking coal. The coal sample was removed from the mine and transported to the laboratory under anaerobic conditions, and then it was ground into coal powder of 100–120 mesh by a coal crusher after removing the oxidized and deteriorated part of the surface.
Proximate analyzer 5E-MAG6700 and element analyzer Elementar Vario EL III were employed to conduct proximate and element analysis tests on coal, and the results are shown in Table 1.

2.2. Experiment

The instrument used in the experiment is the synchronous thermal analyzer SDTQ600. The weight of the experimental coal sample is 3 ± 1 mg. The coal is heated from room temperature to 800 °C with heating rates of 10 °C/min, 15 °C/min, and 20 °C/min under air atmosphere, and the inlet flow rate is set to 100 mL/min.

3. Results and Discussion

3.1. Mass and Heat Variation

3.1.1. Characteristic Temperature

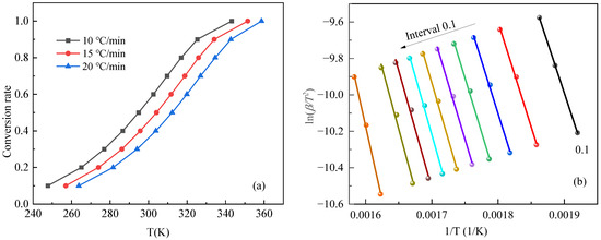
To analyze the reaction law of the coal oxidation process under different heating rates and divide the characteristic temperature points, the TG-DSC curve was adopted to analyze the entire coal–oxygen composite reaction. The heating rates selected in the experiment were 10 °C/min, 15 °C/min, and 20 °C/min, respectively. The division of characteristic temperature stages under different heating rates is shown in Figure 1.
From Figure 1, we can observe that the TG-DTG curves of experimental coal samples at different heating rates show almost the same change trend, but due to different heating rates, there are some differences in the characteristic temperature points and mass change rates in the whole reaction process. According to the classification method mentioned in the literature review, the characteristic temperature is selected based on the TG-DTG curve, and T1 is the temperature corresponding to the minimum value of the TG curve in the early stage of the coal–oxygen composite reaction, which corresponds to the temperature at which the mass change rate is 0. At this temperature, the chemisorption of oxygen by coal is enhanced, offsetting the mass reduction caused by water evaporation and gas desorption, and the coal mass reaches a minimum value. After exceeding the temperature, the chemisorption of oxygen by coal continues to increase, manifested macroscopically as an increase in coal mass. T2 is the temperature with the highest mass. At this temperature, due to the high temperature, the coal–oxygen recombination effect is enhanced, the oxidation gases and the alkane gases generated by molecular fracture increase, and the mass increase caused by the chemical adsorption of oxygen by coal reaches a balance with the release of gas products. After exceeding the temperature, the reaction consumption of coal continues to increase and enters the rapid reaction weight loss stage. Therefore, the macroscopic performance at this temperature is that the mass reaches the maximum value; T3 is the ignition point temperature of the coal sample and is the tangent of the intersection point of the maximum peak vertical line on the DTG curve and the TG curve. The tangent line corresponds to the intersection point of the pyrolysis temperature T3 on the TG curve. T4 is the temperature corresponding to the maximum point of the mass change rate of the coal sample in the combustion stage. T5 is the burnout temperature at the end of the reaction. At this point, the DTG curve value is close to 0, the whole reaction process is over, and the quality of the coal sample also does not change significantly. The characteristic temperature points under different heating rates are presented in Figure 1 and Table 2.

3.1.2. Stage Characteristics

The reaction process of the coal sample from low-temperature oxidation to the end of the burnout reaction can be divided into five stages (I–V) according to the characteristic temperature point.
(1)
Water evaporation and minimal mass loss stage (Stage I: T0–T1)
The temperature range of this stage is from the initial temperature to T1, which is mainly due to the mass loss of coal samples during low-temperature oxidation. In this stage, the TG curve presents a trend of slightly increasing at first and then decreasing, which is because the physical adsorption of gas by coal samples occurred at the beginning of the stage, resulting in a slight increase in coal weight within a very short time range. Then, as the water contained in the coal sample began to evaporate with increasing temperature, and as the temperature rose, the thermal movement of molecules accelerated, which weakened the binding effect of intermolecular interaction on gas molecules, and the adsorbed gas began to desorb. As a result, the TG curve showed a downward trend, and the quality of coal samples decreased. According to the DTG curve, the mass reduction rate at this stage gradually decreased, which is due to the limited adsorption capacity and water content of the gas. With the continuous desorption of the gas and the continuous evaporation of water, the mass loss rate gradually decreased. When the mass change rate was 0, the coal sample weight was the minimum value before the composite reaction.
(2)
Oxygen absorption and mass gain stage (Stage II: T1–T2)
At this stage, the temperature range is from T1 to T2, and the chemical adsorption of oxygen by coal mainly occurred. Different from the physical adsorption process, the adsorption of gas by coal at this stage is selective, mainly due to the adsorption of oxygen in the environment by the active groups in coal. In the coal–oxygen composite process, unstable carbon and oxygen compounds are formed and gas products are released. However, the adsorption amount of oxygen is greater than the release amount of gas products, resulting in increasing weight. According to the DTG curve, the weight increase rate first increases and then decreases, which is because the temperature in the early stage is low, the strength of coal–oxygen recombination is weak, and the amount of gas products released is small. As the temperature rises, the functional groups in coal are continuously activated, the strength of coal–oxygen recombination is increased, the amount of gas products released is increased, and the unstable carbon and oxygen compounds formed in the early stage may undergo thermal decomposition, weakening the increasing trend of coal mass [30].
(3)
Slow chemical reaction stage (Stage III: T2–T3)
The temperature range of this stage is from T2 to T3, mainly involving the thermal decomposition of the active groups in the coal sample and slow mass loss. The main active groups in coal are the aromatic ring, naphthene aliphatic hydrocarbon, and oxygen-containing functional groups. Because the structure of aromatic rings and naphthene is stable and difficult to break during the heating process of coal, it is not considered. Aliphatic hydrocarbon and oxygen-containing functional groups begin to participate in the coal–oxygen reaction at low temperatures, and they are the main active functional groups in the coal–oxygen complex reaction [31]. As the temperature gradually rises, the aliphatic hydrocarbon begins to undergo pyrolysis reaction with the active groups of oxygen-containing functional groups, and the carboxyl and hydroxyl groups contained in aliphatic hydrocarbon continue to react, and the C=O, -COOH transition groups are in a complex process of constant consumption and generation in the coal–oxygen composite reaction. In addition, the overall content of C=O and -COOH decreased with rising temperature, and some macromolecules in coal began to undergo a pyrolysis reaction, resulting in a slow decline in coal mass at this stage [32,33].
(4)
Combustion stage (Stage IV: T3–T5)
The temperature range of this stage is from T3 to T5, which mainly causes the thermal decomposition of macromolecular structure in coal and the violent coal–oxygen compound effect. Due to the rapid increase in the release of volatile substances in the thermal decomposition of macromolecular structure and the gas products in the coal-oxygen composite process, the quality of the gas decreases rapidly [34]. According to the DTG curve, the weight loss velocity increases rapidly at first and then decreases sharply. This is because in the initial stage, thermal decomposition plays a dominant role, the release of volatile substances and the combustion of fixed carbon rapidly reduce the weight, and the coal–oxygen composite reaction aggravates the weight reduction. Then, when the temperature exceeds a certain level, the residual combustible substances in the coal are relatively difficult to react, and the weight loss rate decreases rapidly, and the weight loss rate tends to zero at the end of the reaction.
(5)
Burnout stage (Stage V: >T5)
The temperature range of this stage is T5 to the end of the experiment, at which time the whole coal–oxygen composite reaction is close to the end, and the main active groups and macromolecular structure in the coal after full combustion of the experimental coal sample are gone [24]. In this stage, the quality of coal hardly changes, and the residual quality after the reaction is almost similar to the ash quality in the proximate analysis of coal samples. At the same time, the DTG curve values almost tend to 0, and the coal mass shown by the TG curve hardly changes.
At each stage of the coal–oxygen recombination reaction, mass changes will be presented on a macro level along with the internal reaction. The mass loss and gain ratio of coal at each stage in the thermogravimetric experiment is shown in Table 3.
According to the comparison of the mass loss ratio of each stage at different heating rates, the mass ratio remaining at the end of the coal–oxygen composite reaction is almost the same on the whole. The mass loss ratio of coal sample decreases with the increase in heating rate in Stage I. The mass gain ratio in Stage II shows a trend of first increasing and then decreasing, and the maximum temperature rise rate of mass gain ratio is 10 °C/min. The mass loss ratio of coal sample decreases with the increasing heating rate in Stage III, indicating that the slower the heating rate, the more fully the reactive groups contained in coal can react, and the greater the mass loss ratio of the coal sample. The coal sample shows a trend of gradually increasing mass loss ratio after Stage IV; the heating rate with the largest mass loss ratio is 10 °C/min, while the heating rate with the smallest residual mass ratio is also 10 °C/min, indicating that the coal sample is most fully burned at this heating rate.

3.1.3. Hysteresis Effect of Thermogravimetry

The whole coal–oxygen compound reaction is a complicated process, and the mass changes of the reaction at different heating rates are not the same. Therefore, the TG-DTG curve can more clearly analyze the influence degree of each heating rate on the coal–oxygen complex reaction, as shown in Figure 2.
It can be found from Figure 2 that the change trend of the TG-DTG curve of the coal–oxygen complex reaction under different heating rates is almost the same, but with the increase in heating rate, the reaction gradually lags. The mass change is not obvious in Stages I and II, which is due to the coal–oxygen recombination reaction being relatively gentle in a low-temperature environment, and the mass change rate of coal in these two stages is almost the same from the DTG curve. With the increase in temperature, the mass change is more obvious when reaching Stages III and IV. On account of the increase in heating rate, the temperature change increases at the same time, the active groups and volatile molecules contained in coal react more vigorously at high temperatures, and the degree of coal–oxygen recombination reaction is more intense. The weight loss rate of the DTG curve is also gradually increasing. The maximum mass loss rate presented by T4 also increases with the increase in heating rate. When the heating rate is 20 °C/min, the maximum mass loss rate (T4) presents a maximum value of −17.8%/min. It can also be seen from the TG curve that when the heating rate is 10 °C/min, the mass ratio of the coal sample remaining after the whole reaction is the lowest in Stage V. These show that the higher the heating rate, the less sufficient the active groups and volatile reactions contained in the interior of the coal, the less mass loss ratio presented, and the greater the remaining mass ratio [35]. Furthermore, in terms of its rate of mass change, at the same temperature, the higher the heating rate, the greater the rate of mass change. This is because an increase in heating rate will lead to a rapid increase in temperature difference between the ambient temperature and the coal sample temperature, as well as an increase in ambient air pressure, which is more conducive to the diffusion of oxygen to the coal surface, the progress of the coal oxygen reaction, and the formation of carbon oxides, resulting in an increase in the rate of mass change with an increase in heating rate.
Meanwhile, it can be observed from Figure 2 that the corresponding temperature values of each characteristic temperature point also increase with the increasing heating rate, and the characteristic temperature has a backward phenomenon; in particular, the temperature point has a more obvious backward trend in Stages III and IV. This is because as the heating rate increases, the reaction time at each stage gradually shortens, resulting in insufficient coal–oxygen recombination reaction in the previous stage, leading to some activated groups inside the coal sample not participating in the reaction [36]. At this time, heterogeneous reactions occur inside the coal sample with a higher heating rate, resulting in a lag phenomenon in the entire oxidation recombination reaction process. Finally, as the heating rate increases, each characteristic temperature point also increases, and this change is more obvious around T4 (characteristic temperature of maximum mass loss rate). With the increasing heating rate, the temperature point at which the whole coal–oxygen recombination reaction ends also shifts backwards.

3.1.4. Heat Effect

To analyze the influence of different heating rates on the temperature corresponding to the extreme point of heat flow rate, DSC curves at different heating rates were made, as shown in Figure 3.
The characteristic temperature points of DSC curves at different heating rates are shown in Figure 3, and the DSC curves of coal samples under different heating rates are almost the same. In the initial stage (0–200 °C), the whole reaction occurs relatively slowly, and the energy released is small, and the moisture and gas volatilization in the coal sample also need to consume a certain amount of heat, so the overall heat release is small. In the second stage (200–400 °C), when the temperature continues to rise, the water is gradually consumed in the process of continuous evaporation, and the energy released by the whole system also increases with the increasing temperature, because the active groups (aliphatic hydrocarbons and oxygen-containing functional groups) that are difficult to react at low temperatures are more active at this stage. As a result, the types and quantities of active groups involved in the reaction in the coal molecules increase, resulting in an increase in the intensity of the coal–oxygen composite reaction, and the heat released begins to increase [37]. When the temperature reaches a certain value, the first inflection point temperature appears at this time, and then the growth rate of coal heat release rate shows a relatively lower phenomenon because the unstable carbon and oxygen compounds and macromolecular structures in coal crack at high temperatures, which requires more energy and absorbs part of the reaction heat release, resulting in a lower growth rate of heat release. In the third stage (400–700 °C), when the main thermal decomposition is completed, oxygen quickly occupies the surface and reacts with the volatile molecules and fixed carbon contained in the coal, releasing a lot of heat, and the heat release rate increases rapidly; at this time, the heat flow extreme value of the entire curve will appear. However, with the volatilization of coal combustible substances at high temperatures, the remaining combustible substances in coal become more stable as they reach the later stage of the reaction. Some of the combustible substances will absorb heat release in the reaction process, and the heat release rate of coal decreases rapidly. When the combustible substances in coal are completely burned, the heat release rate of coal approaches 0. These are consistent with the thermogravimetric results. In Stage I, the coal oxidation reaction rate is slower and the heat release is less. As the reaction progresses, the reaction rate further accelerates, the heat release increases, and the mass rapidly decreases. In Stage V, the coal sample burns completely, the heat release decreases, and the mass change approaches 0.
In addition, from the analysis of inflection point temperature and peak temperature under different heating rates in Figure 3, it can be observed that different heating rates have a certain influence on the heat released by the same coal sample in the coal–oxygen composite reaction. The variation of DSC characteristic temperature points under different heating rates is shown in Figure 4.
According to Figure 4, it can be seen that the inflection point temperatures at the heating rates of 10 °C/min, 15 °C/min, and 20 °C/min are 346.95 °C, 361.61 °C, and 384.34 °C, respectively, indicating that the temperature at the corresponding inflection point also lags as the heating rate increases. In addition, through the analysis of Figure 3 and Figure 4, the heat flow rates corresponding to the inflection point temperatures at the heating rates of 10 °C/min, 15 °C/min, and 20 °C/min are 2.18 mW/mg, 4.63 mW/mg, and 7.94 mW/mg, respectively, and the heat flow rate increases with the increasing heating rate. By comparing the peak width and maximum heat release rate temperature of volatile and fixed carbon combustion at different heating rates, it can be seen from Figure 3 and Figure 4 that the heat release peak at this stage becomes wider with the heating rate increasing, the peak shape changes from sharp to blunt, and the heat release of the coal–oxygen composite reaction also gradually increases. When the heating rate is 10 °C/min, 15 °C/min, and 20 °C/min, the corresponding peak temperatures are 517.42 °C, 523.48 °C, and 535.35 °C, respectively, and the corresponding heat flow rates are 15.06 mW/mg, 22.34 mW/mg, and 29.63 mW/mg, respectively. Meanwhile, it can be found that as the heating rate increases, the inflection point temperature and peak temperature relatively lag behind, but the heat flow rate and heat flow increase accordingly, indicating that the higher the heating rate, the stronger the coal–oxygen recombination reaction, and the greater the heat release.

3.2. Kinetic Characteristics

3.2.1. Kinetic Methods

Due to the complexity of the coal molecular structure, the competitive reaction and parallel reaction of various functional groups in coal exist at the same time, and the apparent activation energy required for the same conversion at different heating rates is the same. Therefore, the influence of different conversion rates on the coal–oxygen recombination reaction is analyzed from the calculation of the apparent activation energy and its changing law. The apparent activation energy generally refers to the energy required for a molecule to change from its normal state to an active state that is prone to chemical reactions.
When solving the kinetic parameters, the kinetic parameters calculated by the same curve using different solving methods are not the same, so a more appropriate method should be selected to solve the kinetic parameters. At present, the commonly used kinetic methods are divided into the isothermal method and the non-isothermal method. The multi-scanning rate method in the non-isothermal method is based on the analysis and calculation of the experimental data measured under different scanning rates to obtain the kinetic parameters and can calculate the apparent activation energy according to the coal sample data with the same conversion rate under different heating rates, so it is also called the equal conversion method. It is mainly represented by the Flynn–Wall–Ozawa (FWO) method, Kissen–Akahira–Sunose (KAS) method, and Friedman method.
The advantage of the non-isothermal method is that it does not need to determine the mechanism function first compared with the isothermal method, and can directly calculate the apparent activation energy of the same conversion under different heating rates. Compared with the FWO method and Friedman method, the KAS method has more accurate calculation results and a simple calculation process. Therefore, the KAS method is selected to calculate and analyze the kinetic parameters of coal samples under three different heating rates after comprehensive consideration [38,39].
ln ( β T 2 ) = ln ( A R E a G ( α ) ) E a R T
where A refers to the pre-exponential factor, min−1; Ea is the apparent activation energy, J/mol; R is the gas universal constant, 8.314 J/(mol·K); G(α) is the integral of the mechanism function; α is the conversion rate, which is defined as follows:
α = w 0 w w 0 w 1
where w0, w1, and w are the start, end, and mass corresponding to t at a certain time of this stage, respectively, mg.

3.2.2. Apparent Activation Energy

Because of the small mass loss generated by the coal sample in Stages I and V, the kinetic analysis of coal samples mainly focuses on Stage II, Stage III and Stage IV. According to the KAS method, the apparent activation energy required for the reaction with the same conversion rate α under different heating rates is the same, so the linear correlation curve is drawn between ln ( β T 2 ) and 1/T, with ln ( β T 2 ) as the Y axis and 1/T as the X axis for linear fitting. The apparent activation energy Ea is calculated by the fitted slope, and the pre-exponential factor ln A is calculated by the intercept.
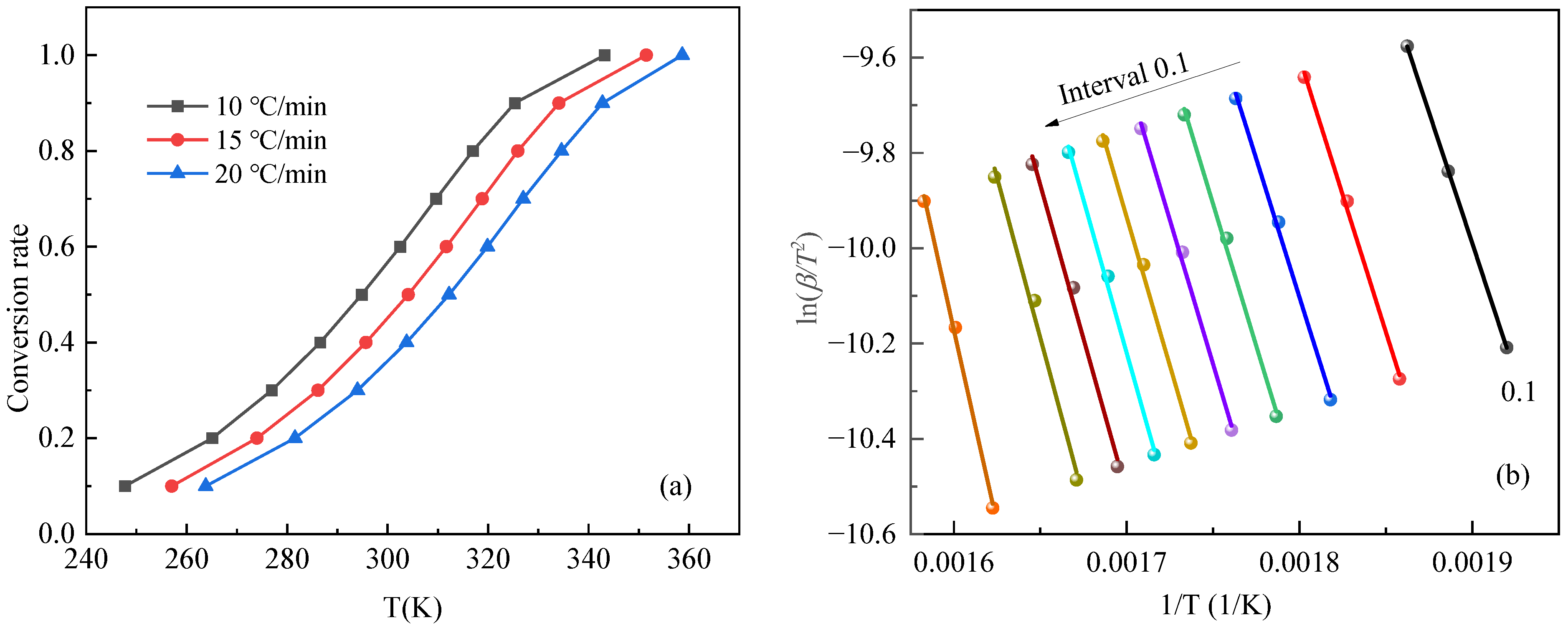
The conversion rates of the three stages under the heating rates of 10 °C/min, 15 °C/min, and 20 °C/min were calculated by Equation (2), and the apparent activation energy was calculated according to Equation (1), while the curves of conversion rate and temperature and the linear correlation between ln ( β T 2 ) and 1/T are shown in Figure 5, Figure 6 and Figure 7. The calculation results of apparent activation energy are shown in Table 4, Table 5 and Table 6.
From the calculation results of the apparent activation energy values in the above tables, we can find the correlation between apparent activation energy and conversion rate in the three stages. Furthermore, the relationship between apparent activation energy and temperature can be obtained based on the corresponding relationship between conversion rate and temperature in each stage, as shown in Figure 8 and Figure 9.
As can be seen from Figure 8, the apparent activation energy of Stage II gradually increases with the increase in conversion rate. In the stage of oxygen absorption and weight gain, coal mainly undergoes chemical adsorption of oxygen, and it is mainly that the active groups in coal adsorb the oxygen in the environment and form unstable carbon and oxygen compounds in the coal–oxygen composite process. However, due to the low temperature in early Stage II, the reaction degree is weak, and the mass changes are small; as the temperature increases, the DTG curve shows a trend of first increasing and then decreasing, the functional groups in coal undergo continuous oxidation reaction, the strength of coal–oxygen recombination increases and the release of gas products increases. Moreover, the unstable carbon and oxygen compounds formed in the early stage may cause thermal decomposition, which weakens the increasing trend of coal mass. Due to various chemical reactions such as the thermal decomposition of carbon and oxygen compounds and oxygen adsorption, the apparent activation energy required at this stage shows a significant increasing trend after the conversion rate of 0.8. In addition, due to the low temperature range at this stage, the number of active functional groups involved in the reaction is relatively small, requiring less energy and resulting in a lower apparent activation energy [40]. As heat accumulates and the temperature rises, the energy of the reaction system increases. Functional groups that were previously difficult to react with oxygen at low temperatures are gradually activated and participate in the reaction. As these functional groups are relatively stable, the energy required for the reaction is high. At the same time, an increase in the types and quantities of functional groups participating in the reaction also leads to an increase in the required energy, ultimately resulting in an increase in apparent activation energy with increasing conversion rate.
The calculated values of the apparent activation energy of Stage III shown in Figure 8 present an overall increasing trend with the increase in conversion rate, and compared to the apparent activation energy curve of Stage II, it can be clearly observed that the apparent activation energy required at this stage is larger. This because the oxygen-containing functional groups contained in the coal sample at this stage begin to react, and the oxygen-containing functional groups undergo a chemical reaction. Moreover, with the increase in temperature, the large molecules contained in the coal sample begin to break down into smaller molecular structures in the later stage [41,42].
As the conversion rate increases, the required apparent activation energy of Stage IV in Figure 8 shows a trend of first increasing and then decreasing, reaching the maximum value of 170.02 kJ/mol at 506.13 °C. This is because the initial pyrolysis reaction is still in progress at this stage, the volatile macromolecules contained in the coal are pyrolyzed into small molecules, a large amount of gas is released, and the number of active functional groups participating in the reaction gradually increases. However, as the temperature rises, the reaction of active functional groups contained in the coal sample gradually weakens, and in the later stage, the oxygen concentration will gradually decrease with the progress of the reaction, and the number of active functional groups involved in the reaction will decrease [43]. Therefore, the apparent activation energy curve at this stage shows a trend of first increasing and then decreasing.
As can be seen from Figure 9, the trend of apparent activation energy with the increase in temperature is almost the same as that of apparent activation energy with the increase in conversion rate, as shown in Figure 8. This is because the change of conversion rate from 0 to 1 at each stage shows an increasing trend with the increase in temperature. Therefore, the changing trend of apparent activation energy presented by them is also basically the same.

3.2.3. Kinetic Compensation Effect

To more clearly analyze the linear relationship between the pre-exponential factor ln A and the apparent activation energy Ea, the kinetic compensation effect is employed for analysis. The mathematical expression of the kinetic compensation effect is as follows:
ln A = a E a + b
where a and b are compensation parameters.
The kinetic compensation effect is commonly presented in various stages of the whole reaction system, and the values obtained by different mechanism functions in the same stage of the same reaction system are not the same. Therefore, the Málek method was adopted to validate and optimize the kinetic modes of each stage, in order to determine the most probable mechanism function of the oxidation reaction in each stage. The Málek method is an approach of deducing the kinetic mode G(α) or f(α) by defining the function y(α), which is combined with the reaction rate Equation (4) and the Coats–Redfern Equation (5) to obtain Equation (6).
d α d t = A exp E a R T f ( α )
0 α d α f ( α ) = G ( α ) = A R T 2 E a β exp ( E a R T )
G ( α ) = R T 2 E a β d α d t 1 f ( α )
When α = 0.5:
G ( 0.5 ) = R T 0.5 2 E a β ( d α d t ) 0.5 1 f ( 0.5 )
where T0.5 and ( d α d t ) 0.5 represent the temperature and reaction rate when α is equal to 0.5, respectively.
Combine Equations (6) and (7) to obtain Equation (8):
y ( α ) = T T 0.5 2 d α d t d α d t 0.5 = f ( α ) G ( α ) f ( 0.5 ) G ( 0.5 )
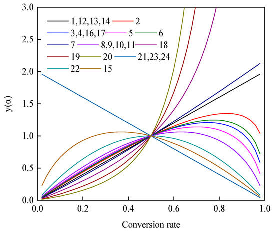
Substitute experimental data into the left-hand equation and compare it with the standard curve on the right-hand side of the equation. If the experimental data curve overlaps with the standard curve, or if all the experimental data points fall on a standard curve, then G(α) or y(α) corresponding to the standard curve is the most probable kinetic mechanism function. Common kinetic mechanism functions are shown in Table 7.
When inferring the most probable mechanism function of different stages in the coal oxidation process according to the Málek method, it is necessary to calculate the theoretical value of the mechanism function first, then calculate the experimental value of different stages, and finally conduct a comparative analysis of the two to judge the apparent kinetic reaction model of different stages in the coal oxidation process. Málek theoretical values of different mechanism functions are shown in Figure 10.
The experimental data of the three stages are substituted into the left side of Equation (8) to calculate the experimental numerical curve, and the comparison between the experimental values and the theoretical values of the function is shown in Figure 11. Therefore, it can be concluded that the data points of Stage II are most likely to overlap with the theoretical value of Function 5 (Jander equation). Similarly, the most probable mechanism function of Stage III is most likely to be Function 7 (Anti-Jander equation), and the most probable mechanism function of Stage IV is most likely to be Function 15 (Exponential principle).
As can be seen from Figure 11, the experimental values presented in the three stages coincide with the inferred theoretical values of the functions. Moreover, the most probable mechanism functions at each stage are summarized in Table 8. The kinetic reaction mechanism of different stages of the coal oxidation process is different. The reaction mechanism in Stage II is a three-dimensional diffusion mode with n = 1/2, which transformed into a three-dimensional diffusion mode with n = 2 in Stage III, and further transformed into an accelerated form α-t curve with E1 and n = 1 in Stage IV. It is mainly due to the different reaction modes and reaction rates between coal and oxygen at each stage. In the oxygen absorption and mass gain stage (Stage II), the chemical adsorption of coal on oxygen mainly occurs, which is greater than the gas release of the coal oxidation reaction from the perspective of its quality change, and the chemical adsorption of coal on oxygen is dominant, and the chemical reaction intensity is weak. The diffusion pattern at this stage indicates that the reaction rate is proportional to the square root of the concentration gradient, and the reaction rate is limited by the diffusion rate of oxygen into the coal interior. As the reaction progresses and enters Stage III, the three-dimensional diffusion mode changes, with the exponent n increasing to 2. This means that the reaction rate is proportional to the square of the concentration gradient, and this change reflects the changes in physical or chemical properties during coal oxidation, such as the transformation of coal structure or the accumulation of oxidation products, thereby affecting the diffusion mode of oxygen in coal. Furthermore, in Stage IV, the reaction mechanism shifts to an accelerated form of the α-t curve, characterized by activation energy E1 and exponent n = 1. The α-t curve of this stage indicates that the reaction rate is proportional to time, indicating that the coal oxygen reaction has entered an acceleration period. This acceleration is due to the macromolecular structure in coal being thermally decomposed to produce a large number of active groups, and the coal oxidation reaction is strengthened and more intense, and the chemical reaction occupies a dominant position. The oxidation reaction generates more heat, leading to an increase in temperature and thus increasing the reaction rate. The existence of activation energy E1 indicates that the reaction requires overcoming a certain energy barrier in order to proceed, and in Stage IV, this energy barrier is more easily overcome, resulting in an accelerated reaction rate.
The most probable mechanism function in Table 8 can be substituted into Equation (3) to calculate the pre-exponential factor ln A. To facilitate the calculation, 10 points with a conversion rate from 0.1 to 1 and an interval of 0.1 are selected for calculation, and the calculation results are shown in Table 9.
The linear correlation of the compensation effect of ln AEa is shown in Figure 12, and the arrows represent the calculation sequence of ln A.
After linear fitting in Figure 12, the expressions of the ln AEa compensation effect in the three stages were ln A = 0.161Ea − 3.42 (Stage II), ln A = 0.177Ea − 13.31 (Stage III), and ln A = 0.247Ea − 22.43 (Stage IV), respectively, and the correlation degree of fitting in the three stages was greater than 0.97. In addition, the pre-exponential factor ln A gradually increases with the increase in the apparent activation energy Ea. This is because the pre-exponential factor represents the effective collision frequency of molecules. The higher the pre-exponential factor, the higher the effective collision frequency of molecules, and the greater the possibility of a reaction, which leads to the increase in the energy required for the reaction and the increase in the apparent activation energy.

4. Conclusions

(1)
Each characteristic temperature point increases with the increasing heating rate, and the mass loss rate also shows an increasing trend with the increase in heating rate; it reaches the maximum value when the heating rate is 20 °C/min, at −17.8%/min. In addition, in the whole coal–oxygen composite reaction, the heat flow rate also shows an increasing trend with the increase in heating rate; it reaches the maximum value of 29.63 mW/mg when the heating rate is 20 °C/min. Moreover, the inflection point temperature and peak temperature lag behind with the increase in heating rate.
(2)
The KAS method was employed to calculate the apparent activation energy of three reaction stages, and there are certain differences in their changes at each stage. As the coal–oxygen reaction gradually accelerates, chemical reaction gradually becomes dominant in the coal oxidation process, and the apparent activation energy in Stages II and III gradually increases with the increase in conversion rate, while in stage IV, it shows a trend of first increasing and then decreasing, which is closely related to the fact that the decomposition of active substances in the coal–oxygen reaction begins to increase and eventually deplete, requiring less energy.
(3)
The kinetic compensation effect of the three stages were determined by deriving the corresponding most probable mechanism function of each stage and identifying the correlation between the pre-exponential factors and the apparent activation energy. The three different oxidation stages have different mechanism functions, reflecting different oxidation characteristics, which further reflects the complexity and dynamism of the coal oxidation process. The pre-exponential factor ln A is positively correlated with the apparent activation energy, and the linear relationship is very obvious, which is consistent with the law of mass reduction and heat release increase in the process of the coal oxidation reaction.

Author Contributions

Conceptualization, R.B. and C.L.; methodology, R.B., C.L, C.W. and F.Z.; software, R.B.; validation, R.B., C.L., C.W. and F.Z.; formal analysis, R.B.; investigation, R.B. and C.L.; resources, R.B.; data curation, R.B.; writing—original draft preparation, R.B.; writing—review and editing, R.B. and C.W.; visualization, R.B. and C.L.; supervision, F.Z.; project administration, F.Z.; funding acquisition, F.Z. All authors have read and agreed to the published version of the manuscript.

Funding

This research was funded by the National Natural Science Foundation of China (grant numbers 52104225 and 52204229), and the Scientific and Technological Innovation Programs of Higher Education Institutions in Shanxi (grant number 2021L054).

Institutional Review Board Statement

Not applicable.

Informed Consent Statement

Not applicable.

Data Availability Statement

Data will be made available on request.

Conflicts of Interest

The authors declare no conflicts of interest.

References

  1. Wang, H.; Fan, C.; Li, J.; Wu, Y.; Xing, S.; Wang, W. A Field Study of Coal Fire Areas Re-Burning Behavior Assessment and Related Carbon Emissions. Fire 2022, 5, 186. [Google Scholar] [CrossRef]
  2. Stracher, G.B.; Taylor, T.P. Coal fires burning out of control around the world: Thermodynamic recipe for environmental catastrophe. Int. J. Coal Geol. 2004, 59, 7–17. [Google Scholar] [CrossRef]
  3. Yang, Y.; Niu, H.; Wang, H.; Bu, Y.; Liu, Y. An experimental investigation of how coal’s secondary oxidation process is impacted by primary oxidation temperature and ventilation. Fuel 2023, 354, 129198. [Google Scholar] [CrossRef]
  4. Wang, F.; Ji, Z.; Wang, H.; Chen, Y.; Wang, T.; Tao, R.; Su, C.; Niu, G. Analysis of the Current Status and Hot Technologies of Coal Spontaneous Combustion Warning. Processes 2023, 11, 2480. [Google Scholar] [CrossRef]
  5. Nyashina, G.S.; Kurgankina, M.A.; Strizhak, P.A. Environmental, economic and energetic benefits of using coal and oil processing waste instead of coal to produce the same amount of energy. Energy Convers. Manag. 2018, 174, 175–187. [Google Scholar] [CrossRef]
  6. Du, X.; Sun, D.; Li, F.; Tong, J. A Study on the Propagation Trend of Underground Coal Fires Based on Night-Time Thermal Infrared Remote Sensing Technology. Sustainability 2022, 14, 14741. [Google Scholar] [CrossRef]
  7. Hu, X.; Su, M.; Dong, H.; Chen, X.; Wang, F.; Luo, C.; Yu, S. Study on Coal Spontaneous Combustion Dangerous Zone Under Different Air Leakage in the Shallow Buried Coal Seam Fissure. Combust. Sci. Technol. 2023, 196, 4811–4835. [Google Scholar] [CrossRef]
  8. Wang, H.; Dlugogorski, B.Z.; Kennedy, E.M. Theoretical analysis of reaction regimes in low-temperature oxidation of coal. Fuel 1999, 78, 1073–1081. [Google Scholar] [CrossRef]
  9. Yang, Y.; Fei, J.; Luo, Z.; Wen, H.; Wang, H. Experimental study on characteristic temperature of coal spontaneous combustion. J. Therm. Anal. Calorim. 2023, 148, 10011–10019. [Google Scholar] [CrossRef]
  10. Yang, Y.; Li, Z.; Tang, Y.; Liu, Z.; Ji, H. Fine coal covering for preventing spontaneous combustion of coal pile. Nat. Hazards 2014, 74, 603–622. [Google Scholar] [CrossRef]
  11. Qi, G.; Wang, D.; Zheng, K.; Xu, J.; Qi, X.; Zhong, X. Kinetics characteristics of coal low-temperature oxidation in oxygen-depleted air. J. Loss Prevent. Proc. 2015, 35, 224–231. [Google Scholar] [CrossRef]
  12. Varol, M.; Atimtay, A.T.; Bay, B.; Olgun, H. Investigation of co-combustion characteristics of low quality lignite coals and biomass with thermogravimetric analysis. Thermochim. Acta 2010, 510, 195–201. [Google Scholar] [CrossRef]
  13. Deng, J.; Ren, L.; Ma, L.; Lei, C.; Wei, G.; Wang, W. Effect of oxygen concentration on low-temperature exothermic oxidation of pulverized coal. Thermochim. Acta 2018, 667, 102–110. [Google Scholar] [CrossRef]
  14. Wang, Q.; Wang, G.; Zhang, J.; Lee, J.; Wang, H.; Wang, C. Combustion behaviors and kinetics analysis of coal, biomass and plastic. Thermochim. Acta 2018, 669, 140–148. [Google Scholar] [CrossRef]
  15. Ren, S.; Zhang, J. Thermogravimetric analysis of anthracite and waste plastics by iso-conversional method. Thermochim. Acta 2013, 561, 36–40. [Google Scholar] [CrossRef]
  16. Qi, X.; Li, Q.; Zhang, H.; Xin, H. Thermodynamic characteristics of coal reaction under low oxygen concentration conditions. J. Energy Inst. 2017, 90, 544–555. [Google Scholar] [CrossRef]
  17. Xu, Y.; Wang, D.; Wang, L.; Zhong, X.; Chu, T. Experimental research on inhibition performances of the sand-suspended colloid for coal spontaneous combustion. Saf. Sci. 2012, 50, 822–827. [Google Scholar] [CrossRef]
  18. Zhao, J.; Deng, J.; Chen, L.; Wang, T.; Song, J.; Zhang, Y.; Shu, C.; Zeng, Q. Correlation analysis of the functional groups and exothermic characteristics of bituminous coal molecules during high-temperature oxidation. Energy 2019, 181, 136–147. [Google Scholar] [CrossRef]
  19. Sonibare, O.O.; Haeger, T.; Foley, S.F. Structural characterization of Nigerian coals by X-ray diffraction, Raman and FTIR spectroscopy. Energy 2010, 35, 5347–5353. [Google Scholar] [CrossRef]
  20. Okolo, G.N.; Neomagus, H.W.J.P.; Everson, R.C.; Roberts, M.J.; Bunt, J.R.; Sakurovs, R.; Mathews, J.P. Chemical–structural properties of South African bituminous coals: Insights from wide angle XRD–carbon fraction analysis, ATR–FTIR, solid state 13 C NMR, and HRTEM techniques. Fuel 2015, 158, 779–792. [Google Scholar] [CrossRef]
  21. Kotyczka-Morańska, M.; Tomaszewicz, M. Comparison of the first stage of the thermal decomposition of Polish coals by diffuse reflectance infrared spectroscopy. J. Energy Inst. 2018, 91, 240–250. [Google Scholar] [CrossRef]
  22. Deng, J.; Wang, K.; Zhang, Y.; Yang, H. Study on the kinetics and reactivity at the ignition temperature of Jurassic coal in North Shaanxi. J. Therm. Anal. Calorim. 2014, 118, 417–423. [Google Scholar] [CrossRef]
  23. Cao, W.; Cao, W.; Peng, Y.; Qiu, S.; Miao, N.; Pan, F. Experimental study on the combustion sensitivity parameters and pre-combusted changes in functional groups of lignite coal dust. Powder Technol. 2015, 283, 512–518. [Google Scholar] [CrossRef]
  24. Chen, X.; Ma, T.; Zhai, X.; Lei, C. Thermogravimetric and infrared spectroscopic study of bituminous coal spontaneous combustion to analyze combustion reaction kinetics. Thermochim. Acta 2019, 676, 84–93. [Google Scholar] [CrossRef]
  25. Zhou, C.; Zhang, Y.; Wang, J.; Xue, S.; Wu, J.; Chang, L. Study on the relationship between microscopic functional group and coal mass changes during low-temperature oxidation of coal. Int. J. Coal Geol. 2017, 171, 212–222. [Google Scholar] [CrossRef]
  26. Ozbas, K.E. Effect of particle size on pyrolysis characteristics of Elbistan lignite. J. Therm. Anal. Calorim. 2008, 93, 641–649. [Google Scholar] [CrossRef]
  27. Iliyas, A.; Hawboldt, K.; Khan, F. Thermal stability investigation of sulfide minerals in DSC. J. Hazard. Mater. 2010, 178, 814–822. [Google Scholar] [CrossRef]
  28. Kaljuvee, T.; Keelman, M.; Trikkel, A.; Petkova, V. TG-FTIR/MS analysis of thermal and kinetic characteristics of some coal samples. J. Therm. Anal. Calorim. 2013, 113, 1063–1071. [Google Scholar] [CrossRef]
  29. Rotaru, A. Thermal analysis and kinetic study of Petroşani bituminous coal from Romania in comparison with a sample of Ural bituminous coal. J. Therm. Anal. Calorim. 2012, 110, 1283–1291. [Google Scholar] [CrossRef]
  30. Niu, H.; Sun, Q.; Li, S.; Sun, S.; Bu, Y.; Yang, Y.; Mao, Z.; Tao, M. Study on the thermal release characteristics and the correlation transformation mechanism of microscopic active groups of oxidized coal combustion in a deep mined-out area. Sci. Total Environ. 2023, 890, 164354. [Google Scholar] [CrossRef]
  31. Zhang, Y.; Zhai, F.; Shu, P.; Wang, K.; Deng, J.; Duan, Z. Study on evolution characteristics of thermal contribution functional groups in low temperature oxidation process of bituminous coal. Fuel 2023, 341, 127683. [Google Scholar] [CrossRef]
  32. Li, J.; Lu, W.; Li, J.; Yang, Y.; Li, Z. Mutual conversion of active sites and oxygen-containing functional groups during low-temperature oxidation of coal. Energy 2023, 272, 127151. [Google Scholar] [CrossRef]
  33. Lu, W.; Li, J.; Li, J.; He, Q.; Hao, W.; Li, Z. Oxidative kinetic characteristics of dried soaked coal and its related spontaneous combustion mechanism. Fuel 2021, 305, 121626. [Google Scholar] [CrossRef]
  34. Wang, W.; Zhu, H.; Huang, H.; Zhao, H.; Pan, R. Study on the thermal kinetics and microscopic characteristics of oxidized coal. Environ. Sci. Pollut. Res. 2023, 30, 85953–85967. [Google Scholar] [CrossRef] [PubMed]
  35. Zhai, X.; Ge, H.; Shu, C.; Obracaj, D.; Wang, K.; Laiwang, B. Effect of the heating rate on the spontaneous combustion characteristics and exothermic phenomena of weakly caking coal at the low-temperature oxidation stage. Fuel 2020, 268, 117327. [Google Scholar] [CrossRef]
  36. Li, J.; Lu, W.; Li, J.; Yang, Y.; Li, Z. Towards understanding of internal mechanism of coal reactivity enhancement after thermal decomposition at low temperature. Fuel 2023, 337, 127118. [Google Scholar] [CrossRef]
  37. Pan, R.; Li, C.; Chao, J.; Hu, D.; Jia, H. Thermal properties and microstructural evolution of coal spontaneous combustion. Energy 2023, 262, 125400. [Google Scholar] [CrossRef]
  38. Li, Q.; Xiao, Y.; Wang, C.; Deng, J.; Shu, C. Thermokinetic characteristics of coal spontaneous combustion based on thermogravimetric analysis. Fuel 2019, 250, 235–244. [Google Scholar] [CrossRef]
  39. Starink, M.J. Activation energy determination for linear heating experiments: Deviations due to neglecting the low temperature end of the temperature integral. J. Mater. Sci. 2007, 42, 483–489. [Google Scholar] [CrossRef]
  40. Deng, J.; Li, Q.; Xiao, Y.; Wen, H. The effect of oxygen concentration on the non-isothermal combustion of coal. Thermochim. Acta 2017, 653, 106–115. [Google Scholar] [CrossRef]
  41. Lu, W.; Gao, A.; Liang, Y.; He, Z.; Li, J.; Sun, Y.; Song, S.; Meng, S. Stable and highly efficient HMDS terminated m-Cresol inhibitor for inhibiting coal spontaneous combustion. Energy 2023, 282, 128915. [Google Scholar] [CrossRef]
  42. Li, J.; Lu, W.; Li, J.; Zhang, Q.; Zhuo, H. Thermodynamics of oxygen-containing intermediates and their role in coal spontaneous combustion. Energy 2022, 260, 124989. [Google Scholar] [CrossRef]
  43. Miao, G.; Li, Z.; Yang, J.; Yang, Y.; Liu, H. Microstructure evolution and higher-molecular-weight gas emission during the low temperature oxidation of coal. Energy 2023, 282, 128424. [Google Scholar] [CrossRef]
Figure 1. Characteristic temperature points and stage division.
Figure 1. Characteristic temperature points and stage division.
Fire 07 00448 g001
Figure 2. TG-DTG curves at different heating rates.
Figure 2. TG-DTG curves at different heating rates.
Fire 07 00448 g002
Figure 3. DSC curves at different heating rates.
Figure 3. DSC curves at different heating rates.
Fire 07 00448 g003
Figure 4. Characteristic temperature variation of DSC curve at different heating rates.
Figure 4. Characteristic temperature variation of DSC curve at different heating rates.
Fire 07 00448 g004
Figure 5. Relationship curves in Stage II: (a) conversion rate and temperature; (b) linear correlation between ln ( β T 2 ) and 1/T.
Figure 5. Relationship curves in Stage II: (a) conversion rate and temperature; (b) linear correlation between ln ( β T 2 ) and 1/T.
Fire 07 00448 g005
Figure 6. Relationship curves in Stage III: (a) conversion rate and temperature; (b) linear correlation curve ln ( β T 2 ) with 1/T.
Figure 6. Relationship curves in Stage III: (a) conversion rate and temperature; (b) linear correlation curve ln ( β T 2 ) with 1/T.
Fire 07 00448 g006
Figure 7. Relationship curves in Stage IV: (a) conversion rate and temperature; (b) linear correlation curve ln ( β T 2 ) with 1/T.
Figure 7. Relationship curves in Stage IV: (a) conversion rate and temperature; (b) linear correlation curve ln ( β T 2 ) with 1/T.
Fire 07 00448 g007
Figure 8. Relationship between apparent activation energy and conversion rate at Stages II, III and IV.
Figure 8. Relationship between apparent activation energy and conversion rate at Stages II, III and IV.
Fire 07 00448 g008
Figure 9. Relationship between apparent activation energy and temperature at Stages II, III and IV.
Figure 9. Relationship between apparent activation energy and temperature at Stages II, III and IV.
Fire 07 00448 g009
Figure 10. Málek theoretical values of different mechanism functions.
Figure 10. Málek theoretical values of different mechanism functions.
Fire 07 00448 g010
Figure 11. Málek method for determining mechanism functions at different stages.
Figure 11. Málek method for determining mechanism functions at different stages.
Fire 07 00448 g011aFire 07 00448 g011b
Figure 12. Linear relationship of ln AEa compensation effect.
Figure 12. Linear relationship of ln AEa compensation effect.
Fire 07 00448 g012
Table 1. Proximate and elemental analysis of coal.
Table 1. Proximate and elemental analysis of coal.
Coal SampleProximate AnalysisElemental Analysis
Working face 4502MadAadVadFCadCadHadOadNadStd
3.0018.5410.3168.1578.639.219.211.420.41
Note: Mad, Aad, Vad, and FCad represent the content of moisture, ash, volatile, and fixed carbon in coal, respectively. Cad, Had, Oad, Nad, and Std represent the carbon, hydrogen, oxygen, nitrogen, and sulfur content of coal, respectively.
Table 2. Characteristic temperature points at different heating rates.
Table 2. Characteristic temperature points at different heating rates.
Heating Rate (°C/min)T1 (°C)T2 (°C)T3 (°C)T4 (°C)T5 (°C)
10189.48343.19471.91512.19605.45
15190.83351.49479.85514.20625.38
20207.14358.65487.47522.22644.81
Table 3. Mass variation of coal samples at different stages.
Table 3. Mass variation of coal samples at different stages.
Heating Rate (°C/min)Mass Variation at Each Stage (%)
IIIIIIIVResidual Mass
10−0.791.96−11.31−78.6621.34
15−0.761.73−11.12−75.8624.14
20−0.701.68−9.30−74.8525.15
Table 4. Calculation results of apparent activation energy for Stage II.
Table 4. Calculation results of apparent activation energy for Stage II.
Conversion RateLinear Fitting ResultsEa (kJ/mol)R2
0.1y = −10,979x + 10.8716791.290.99999
0.2y = −11,510x + 11.1182895.700.99783
0.3y = −11,581x + 10.7451196.290.99769
0.4y = −11,916x + 10.9463499.070.99630
0.5y = −12,115x + 10.95963100.730.99699
0.6y = −12,470x + 11.26598103.680.99624
0.7y = −12,831x + 11.5945106.680.99637
0.8y = −12,907x + 11.4306107.310.99249
0.9y = −13,434x + 11.98012111.700.99143
1.0y = −16,245x + 15.82241135.070.99723
Table 5. Calculation results of apparent activation energy for Stage III.
Table 5. Calculation results of apparent activation energy for Stage III.
Conversion RateLinear Fitting EquationEa (kJ/mol)R2
0.1y = −16,922x + 15.16613140.690.99325
0.2y = −17,964x + 15.9234149.360.99457
0.3y = −19,535x + 17.53494162.420.995
0.4y = −20,781x + 18.75295172.780.99458
0.5y = −21,695x + 19.57657180.380.99415
0.6y = −22,147x + 19.82337184.140.99372
0.7y = −22,872x + 20.49755190.170.99399
0.8y = −23,279x + 20.77722193.550.99465
0.9y = −23,542x + 20.89851195.740.99316
1.0y = −23,899x + 21.17233198.700.99274
Table 6. Calculation results of apparent activation energy for Stage IV.
Table 6. Calculation results of apparent activation energy for Stage IV.
Conversion RateLinear Fitting EquationEa (kJ/mol)R2
0.1y = −19,755x + 15.0253164.250.98869
0.2y = −19,850x + 14.77119165.040.98530
0.3y = −20,402x + 15.19492169.630.98067
0.4y = −18,789x + 12.90239156.210.96409
0.5y = −17,230x + 10.71005143.260.96623
0.6y = −15,850x + 8.76239131.780.97053
0.7y = −14,818x + 7.24984123.200.97570
0.8y = −13,915x + 5.87322115.690.97910
0.9y = −12,916x + 4.31641107.390.98391
1.0y = −12,430x + 2.90876103.340.99199
Table 7. Common kinetic mechanism functions.
Table 7. Common kinetic mechanism functions.
Function NumberFunction NameMechanismIntegral Form G(α)Differential Form f(α)
1Parabola principleOne-dimensional diffusion α 2 1 2 α 1
2Valensi equationTwo-dimensional diffusion α + 1 α ln 1 α ln 1 α 1
3Jander equationTwo-dimensional diffusion, n = 1/2 1 1 α 1 2 1 2 4 1 α 1 2 1 1 α 1 2 1 2
4Two-dimensional diffusion, n = 2 1 1 α 1 2 2 1 α 1 2 1 1 α 1 2 1
5Three-dimensional diffusion, n = 1/2 1 1 α 1 3 1 2 6 1 α 2 3 1 1 α 1 3 1 2
6Ginstling–Brounshtein equationThree-dimensional diffusion, cylindrical symmetry 1 2 3 α 1 α 2 3 3 2 1 α 1 3 1 1
7Anti-Jander equationThree-dimensional diffusion, n = 2 1 + α 1 3 1 2 3 2 1 + α 2 3 1 + α 1 3 1 1
8Avrami–Erofeev equationn = 1/4, m = 4 ln 1 α 1 4 4 1 α ln 1 α 3 4
9n = 1/3, m = 3 ln 1 α 1 3 3 1 α ln 1 α 2 3
10n = 1/2, m = 2 ln 1 α 1 2 2 1 α ln 1 α 1 2
11Mample single line principle, level 1Random nucleation and subsequent growth, A1, F1, S-shaped α-t curves, n = 1, m = 1 ln 1 α 1 α
12Power function principlen = 1/2 α 1 2 2 α 1 2
13n = 1 α 1
14n = 2 α 2 1 2 α 1
15Exponential principleE1, n = 1, accelerated form α-t curve ln α α
16Shrinkage cylindern = 1/2 1 1 α 1 2 2 1 α 1 2
17n = 2 2 1 1 α 1 2 1 α 1 2
18Reaction ordern = 2 1 1 α 2 1 2 1 α 1
19n = 3 1 1 α 3 1 3 1 α 2
20n = 4 1 1 α 4 1 4 1 α 3
21Level 2Decelerated α-t curve 1 α 1 1 α 2
22Reaction orderChemical reaction 1 α 1 1 1 α 2
23Level 2/3Chemical reaction 1 α 1 2 2 1 α 3 2
24Level 3Three-level 1 α 2 1 2 1 α 3
Table 8. Most probable mechanism functions of Stages II, III, and IV.
Table 8. Most probable mechanism functions of Stages II, III, and IV.
StageFunction NumberFunction NameMechanismG(α)f(α)
Stage II5Jander equationThree-dimensional diffusion, n = 1/2 1 1 α 1 3 1 2 6 1 α 2 3 1 1 α 1 3 1 2
Stage III7Anti-Jander equationThree-dimensional diffusion, n = 2 1 + α 1 3 1 2 3 2 1 + α 2 3 1 + α 1 3 1 1
Stage IV15Exponential principleE1, n = 1, accelerated form α-t curve ln α α
Table 9. Calculation of pre-exponential factor ln A.
Table 9. Calculation of pre-exponential factor ln A.
Conversion RateStage IIStage IIIStage IV
0.111.58511.12818.843
0.212.24413.27218.235
0.312.10015.72218.396
0.412.49717.52515.748
0.512.66518.78713.190
0.613.12219.37310.854
0.713.59320.3428.915
0.813.54820.8647.006
0.914.26621.1914.625
118.61021.6510.829
Disclaimer/Publisher’s Note: The statements, opinions and data contained in all publications are solely those of the individual author(s) and contributor(s) and not of MDPI and/or the editor(s). MDPI and/or the editor(s) disclaim responsibility for any injury to people or property resulting from any ideas, methods, instructions or products referred to in the content.

Share and Cite

MDPI and ACS Style

Bao, R.; Lei, C.; Wang, C.; Zhou, F. Thermal Reaction Process and Thermokinetic Characteristics of Coking Coal Oxidation. Fire 2024, 7, 448. https://doi.org/10.3390/fire7120448

AMA Style

Bao R, Lei C, Wang C, Zhou F. Thermal Reaction Process and Thermokinetic Characteristics of Coking Coal Oxidation. Fire. 2024; 7(12):448. https://doi.org/10.3390/fire7120448

Chicago/Turabian Style

Bao, Ruoyu, Changkui Lei, Chengbo Wang, and Fubao Zhou. 2024. "Thermal Reaction Process and Thermokinetic Characteristics of Coking Coal Oxidation" Fire 7, no. 12: 448. https://doi.org/10.3390/fire7120448

APA Style

Bao, R., Lei, C., Wang, C., & Zhou, F. (2024). Thermal Reaction Process and Thermokinetic Characteristics of Coking Coal Oxidation. Fire, 7(12), 448. https://doi.org/10.3390/fire7120448

Article Metrics

Back to TopTop