Immediate Response of Carabids to Small-Scale Wildfire Across a Healthy-Edge-Burnt Gradient in Young Managed Coniferous Forest in Central Europe
Abstract
1. Introduction
2. Materials and Methods
2.1. Study Site
2.2. Sampling Beetle
3. Data Analysis
4. Results
4.1. Overall Diversity
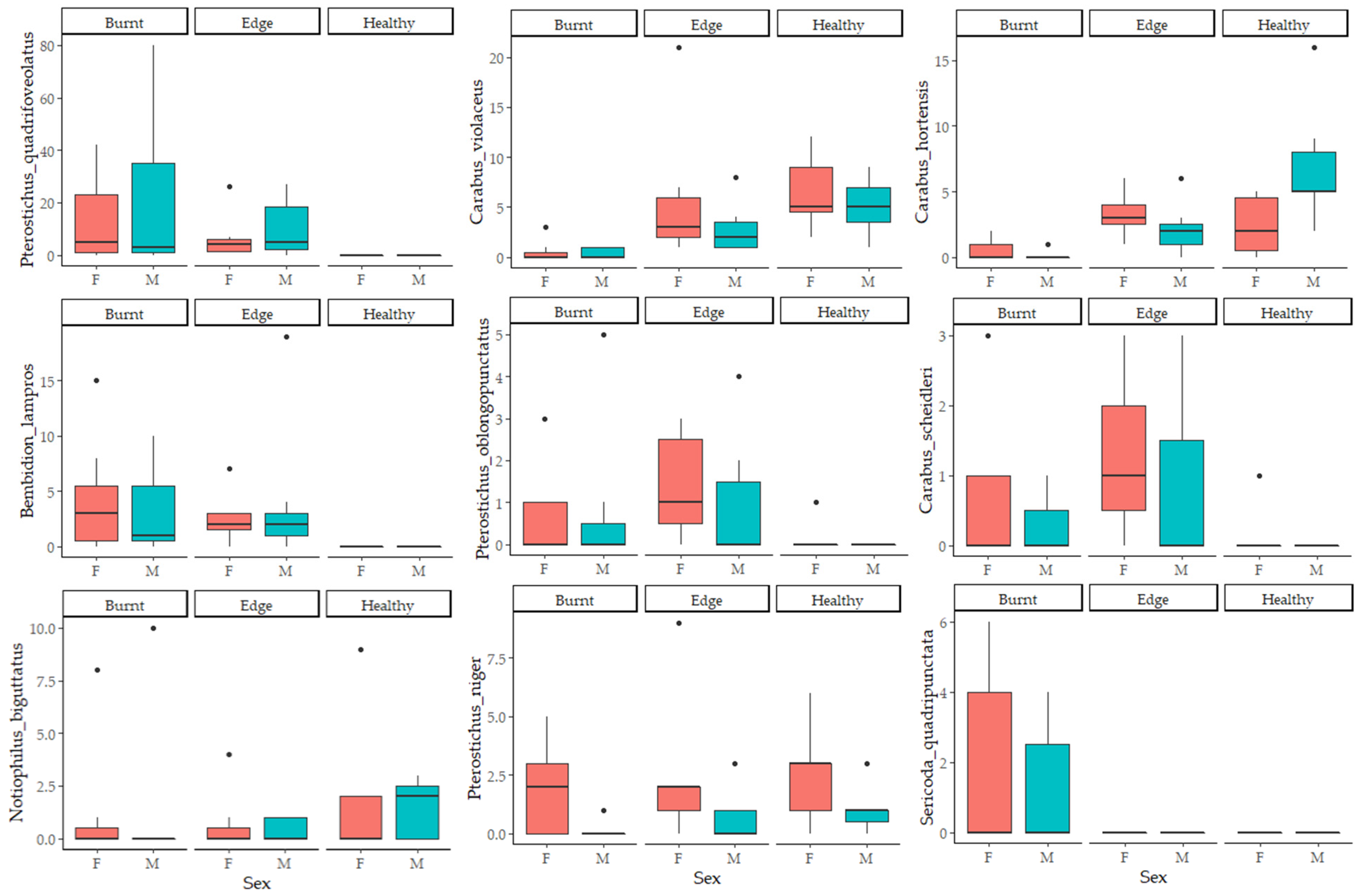
4.2. Sex Distribution
4.3. Pyrophilous Carabids
5. Discussion
5.1. Carabid Assemblages
5.2. Sex Distribution
5.3. Pyrophilous Carabids
6. Conclusions
Author Contributions
Funding
Institutional Review Board Statement
Informed Consent Statement
Data Availability Statement
Acknowledgments
Conflicts of Interest
References
- Schelhaas, M.-J.; Nabuurs, G.-J.; Schuck, A. Natural Disturbances in the European Forests in the 19th and 20th Centuries. Glob. Change Biol. 2003, 9, 1620–1633. [Google Scholar] [CrossRef]
- Lindbladh, M.; Niklasson, M.; Nilsson, S.G. Long-time record of fire and open canopy in a high biodiversity forest in southeast Sweden. Biol. Conserv. 2003, 114, 231–243. [Google Scholar] [CrossRef]
- Xofis, P.; Buckley, P.G.; Kefalas, G.; Chalaris, M.; Mitchley, J. Mid-Term Effects of Fire on Soil Properties of North-East Mediterranean Ecosystems. Fire 2023, 6, 337. [Google Scholar] [CrossRef]
- Certini, G.; Moya, D.; Lucas-Borja, M.E.; Mastrolonardo, G. The Impact of Fire on Soil-Dwelling Biota: A Review. For. Ecol. Manag. 2021, 488, 118989. [Google Scholar] [CrossRef]
- Power, M.J.; Marlon, J.; Ortiz, N.; Bartlein, P.J.; Harrison, S.P.; Mayle, F.E.; Ballouche, A.; Bradshaw, R.H.W.; Carcaillet, C.; Cordova, C.; et al. Changes in Fire Regimes Since the Last Glacial Maximum: An Assessment Based on a Global Synthesis and Analysis of Charcoal Data. Clim. Dyn. 2008, 30, 887–907. [Google Scholar] [CrossRef]
- Tinner, W.; Conedera, M.; Ammann, B.; Lotter, A.F. Fire Ecology North and South of the Alps Since the Last Ice Age. Holocene 2005, 15, 1214–1226. [Google Scholar] [CrossRef]
- Sayedi, S.S.; Abbott, B.W.; Vannière, B.; Leys, B.; Colombaroli, D.; Romera, G.G.; Słowiński, M.; Aleman, J.C.; Blarquez, O.; Feurdean, A.; et al. Assessing Changes in Global Fire Regimes. Fire Ecol. 2024, 20, 18. [Google Scholar] [CrossRef]
- San-Miguel-Ayanz, J.; Durrant, T.; Boca, R.; Maianti, P.; Liberta, G.; Oom, D.; Branco, A.; De Rigo, D.; Ferrari, D.; Roglia, E.; et al. Advance Report on Forest Fires in Europe, Middle East and North Africa 2022; Publications Office of the European Union: Luxembourg, 2023; JRC133215. [Google Scholar] [CrossRef]
- Millar, C.I.; Stephenson, N.L. Temperate Forest Health in an Era of Emerging Megadisturbance. Science 2015, 349, 823–826. [Google Scholar] [CrossRef]
- Li, T.; Cui, L.; Liu, L.; Chen, Y.; Liu, H.; Song, X.; Xu, Z. Advances in the Study of Global Forest Wildfires. J. Soils Sediments 2023, 23, 2654–2668. [Google Scholar] [CrossRef]
- He, T.; Lamont, B.B.; Pausas, J.G. Fire as a Key Driver of Earth’s Biodiversity. Biol. Rev. 2019, 94, 1983–2010. [Google Scholar] [CrossRef]
- Cobb, T.P.; Langor, D.W.; Spence, J.R. Biodiversity and Multiple Disturbances: Boreal Forest Ground Beetle (Coleoptera: Carabidae) Responses to Wildfire, Harvesting, and Herbicide. Can. J. For. Res. 2007, 37, 1310–1323. [Google Scholar] [CrossRef]
- Zumr, V.; Remeš, J.; Nakládal, O. Short-Term Response of Ground Beetles (Coleoptera: Carabidae) to Fire in Formerly Managed Coniferous Forest in Central Europe. Fire 2024, 7, 76. [Google Scholar] [CrossRef]
- Hiers, J.K.; O’brien, J.J.; Varner, J.M.; Butler, B.W.; Dickinson, M.; Furman, J.; Gallagher, M.; Godwin, D.; Goodrick, S.L.; Hood, S.M.; et al. Prescribed fire science: The case for a refined research agenda. Fire Ecol. 2020, 16, 11. [Google Scholar] [CrossRef]
- Lazarina, M.; Devalez, J.; Neokosmidis, L.; Sgardelis, S.P.; Kallimanis, A.S.; Tscheulin, T.; Tsalkatis, P.; Kourtidou, M.; Mizerakis, V.; Nakas, G.; et al. Moderate Fire Severity Is Best for the Diversity of Most of the Pollinator Guilds in Mediterranean Pine Forests. Ecology 2019, 100, e02615. [Google Scholar] [CrossRef]
- Mason, S.C.; Shirey, V.; Ponisio, L.C.; Gelhaus, J.K. Responses from Bees, Butterflies, and Ground Beetles to Different Fire and Site Characteristics: A Global Meta-Analysis. Biol. Conserv. 2021, 261, 109265. [Google Scholar] [CrossRef]
- Wagner, D.L.; Grames, E.M.; Forister, M.L.; Berenbaum, M.R.; Stopak, D. Insect Decline in the Anthropocene: Death by a Thousand Cuts. Proc. Natl. Acad. Sci. USA 2021, 118, e2023989118. [Google Scholar] [CrossRef]
- Hůrka, K. Carabidae Czech and Slovak Republics; Kabourek: Zlín, Czech Republic, 1996. [Google Scholar]
- Veselý, P. Carabidae. In Red List of Threatened Species of the Czech Republic; Hejda, R., Farkač, J., Chobot, K., Eds.; Agentura Ochrany Přírody a Krajiny České Republiky: Praha, Czech Republic, 2017; Volume 36, pp. 1–612. ISBN 978-80-88076-53-7. [Google Scholar]
- Boetzl, F.A.; Knapp, M. On the Ambivalence of Granivorous Carabids: Weed Seed Bank Regulators, Potential Crop Pests or Both? Agric. Ecosyst. Environ. 2024, 376, 109226. [Google Scholar] [CrossRef]
- Martínez-Núñez, C.; Gossner, M.M.; Maurer, C.; Neff, F.; Obrist, M.K.; Moretti, M.; Bollmann, K.; Herzog, F.; Knop, E.; Luka, H.; et al. Land-Use Change in the Past 40 Years Explains Shifts in Arthropod Community Traits. J. Anim. Ecol. 2024, 93, 540–553. [Google Scholar] [CrossRef]
- Boetzl, F.A.; Sponsler, D.; Albrecht, M.; Batáry, P.; Birkhofer, K.; Knapp, M.; Krauss, J.; Maas, B.; Martin, E.A.; Sirami, C.; et al. Distance Functions of Carabids in Crop Fields Depend on Functional Traits, Crop Type and Adjacent Habitat: A Synthesis. Proc. R. Soc. B Biol. Sci. 2024, 291, 20232383. [Google Scholar] [CrossRef]
- Kosewska, A.; Kędzior, R.; Nietupski, M.; Borkowski, J. Epigeic Carabids (Coleoptera, Carabidae) as Bioindicators in Different Variants of Scots Pine Regeneration: Implication for Forest Landscape Management. Sustainability 2023, 15, 13322. [Google Scholar] [CrossRef]
- Nietupski, M.; Kosewska, A.; Ludwiczak, E. Ground Beetle Assemblages Inhabiting Various Age Classes of Norway Spruce Stands in North-Eastern Poland. PeerJ 2023, 11, e16502. [Google Scholar] [CrossRef] [PubMed]
- Zimmermann, E.E.; Chittaro, Y.; Wider, S.; Zemp, D.C. Composition and Diversity of Ground Beetles Within Wooded Pastures and Alternative Land-Use Systems in Swiss Jura Mountains. Agrofor. Syst. 2024, 98, 2411–2430. [Google Scholar] [CrossRef]
- Kędzior, R.; Szwalec, A.; Mundała, P.; Skalski, T. Ground Beetle (Coleoptera, Carabidae) Life History Traits as Indicators of Habitat Recovering Processes in Postindustrial Areas. Ecol. Eng. 2020, 142, 105615. [Google Scholar] [CrossRef]
- Weiss, F.; von Wehrden, H.; Linde, A. Long-Term Drought Triggers Severe Declines in Carabid Beetles in a Temperate Forest. Ecography 2024, 2024, e07020. [Google Scholar] [CrossRef]
- Baptista, M.; Carvalho, R.; Boieiro, M.; Bartz, M.; Mendes, S.; Timóteo, S.; Azevedo-Pereira, H.M.V.S.; Alves, J.; Alves da Silva, A.; Briones, M.J.I.; et al. The Role of Sheltered Habitats in Biodiversity Conservation of Species Sensitive to Drought: A Case Study Using Ground Beetles (Coleoptera, Carabidae) in the Gorongosa National Park. Biodivers. Conserv. 2024, 33, 2345–2361. [Google Scholar] [CrossRef]
- Bell, A.J. Like Moths to a Flame: A Review of What We Know About Pyrophilic Insects. For. Ecol. Manag. 2023, 528, 120629. [Google Scholar] [CrossRef]
- Soja, A.J.; Tchebakova, N.M.; French, N.H.F.; Flannigan, M.D.; Shugart, H.H.; Stocks, B.J.; Sukhinin, A.I.; Parfenova, E.I.; Chapin, F.S.; Stackhouse, P.W. Climate-Induced Boreal Forest Change: Predictions Versus Current Observations. Glob. Planet. Change 2007, 56, 274–296. [Google Scholar] [CrossRef]
- Whitman, E.; Barber, Q.E.; Jain, P.; Parks, S.A.; Guindon, L.; Thompson, D.K.; Parisien, M.-A. A Modest Increase in Fire Weather Overcomes Resistance to Fire Spread in Recently Burned Boreal Forests. Glob. Change Biol. 2024, 30, e17363. [Google Scholar] [CrossRef]
- Grünig, M.; Seidl, R.; Senf, C. Increasing Aridity Causes Larger and More Severe Forest Fires Across Europe. Glob. Change Biol. 2023, 29, 1648–1659. [Google Scholar] [CrossRef]
- Blažej, L. Groung beetles (Coleoptera: Carabidae) of the forest burnt in Jetřichovice (Northern Bohemia). In Vlastivedný Sborník Ceskolipska 32/2023; BEZDEZ: Ceska Lípa, Czech Republic, 2023. [Google Scholar]
- Bogusch, P.; Blažej, L.; Trýzna, M.; Heneberg, P. Forgotten Role of Fires in Central European Forests: Critical Importance of Early Post-Fire Successional Stages for Bees and Wasps (Hymenoptera. Eur. J. For. Res. 2015, 134, 153–166. [Google Scholar] [CrossRef]
- Błońska, E.; Bednarz, B.; Kacprzyk, M.; Piaszczyk, W.; Lasota, J. Effect of Scots Pine Forest Management on Soil Properties and Carabid Beetle Occurrence Under Post-Fire Environmental Conditions—A Case Study From Central Europe. For. Ecosyst. 2020, 7, 28. [Google Scholar] [CrossRef]
- Samu, F.; Kádár, F.; Ónodi, G.; Kertész, M.; Szirányi, A.; Szita, É.; Fetykó, K.; Neidert, D.; Botos, E.; Altbäcker, V. Differential Ecological Responses of Two Generalist Arthropod Groups, Spiders and Carabid Beetles (Araneae, Carabidae), to the Effects of Wildfire. Community Ecol. 2010, 11, 129–139. [Google Scholar] [CrossRef]
- Gongalsky, K.B.; Wikars, L.-O.; Persson, T. Dynamics of pyrophilous carabids in a burned pine forest in Central Sweden. Baltic J. Coleopterol. 2003, 3, 107–111. [Google Scholar]
- Aleksanov, V.V.; Alekseev, S.K.; Ruchin, A.B.; Esin, M.N. Carabid Beetles under the Influence of Megafires in Pine and Secondary Forests of Central European Russia. Diversity 2024, 16, 370. [Google Scholar] [CrossRef]
- Koivula, M.; Spence, J.R. Effects of Post-Fire Salvage Logging on Boreal Mixed-Wood Ground Beetle Assemblages (Coleoptera, Carabidae). For. Ecol. Manag. 2006, 236, 102–112. [Google Scholar] [CrossRef]
- Koivula, M.; Cobb, T.; Déchêne, A.D.; Jacobs, J.; Spence, J.R. Responses of two Sericoda Kirby, 1837 (Coleoptera: Carabidae) species to forest harvesting, wildfire, and burn severity. Entomol. Fennica 2006, 17, 315–324. [Google Scholar] [CrossRef]
- Saint-Germain, M.; Larrivée, M.; Drapeau, P.; Fahrig, L.; Buddle, C.M. Short-Term Response of Ground Beetles (Coleoptera: Carabidae) to Fire and Logging in a Spruce-Dominated Boreal Landscape. For. Ecol. Manag. 2005, 212, 118–126. [Google Scholar] [CrossRef]
- Ruchin, A.B.; Alekseev, S.K.; Khapugin, A.A. Post-Fire Fauna of Carabid Beetles (Coleoptera, Carabidae) in Forests of the Mordovia State Nature Reserve (Russia). Nat. Conserv. Res. 2019, 4 (Suppl. 1), 11–20. [Google Scholar] [CrossRef]
- Toivanen, T.; Heikkilä, T.; Koivula, M.J. Emulating Natural Disturbances in Boreal Norway Spruce Forests: Effects on Ground Beetles (Coleoptera, Carabidae). For. Ecol. Manag. 2014, 314, 64–74. [Google Scholar] [CrossRef]
- Bell, A.J.; Calladine, K.S.; Wardle, D.A.; Phillips, I.D. Rapid Colonization of the Post-Burn Environment Improves Egg Survival in Pyrophilic Ground Beetles. Ecosphere 2022, 13, e4213. [Google Scholar] [CrossRef]
- Johansson, T.; Anderson, J.; Hjältén, J.; Dynesius, M.; Ecke, F. Short-Term Responses of Beetle Assemblages to Wildfire in a Region with More than 100° Years of Fire Suppression. Insect Conserv. Divers. 2011, 4, 142–151. [Google Scholar] [CrossRef]
- Moyo, S. Community Responses to Fire: A Global Meta-Analysis Unravels the Contrasting Responses of Fauna to Fire. Earth 2022, 3, 1087–1111. [Google Scholar] [CrossRef]
- Hohbein, R.R.; Conway, C.J. Pitfall Traps: A Review of Methods for Estimating Arthropod Abundance. Wildl. Soc. Bull. 2018, 42, 597–606. [Google Scholar] [CrossRef]
- Csaszar, P.; Torma, A.; Galle-Szpisjak, N.; Tolgyesi, C.; Galle, R. Efficiency of Pitfall Traps with Funnels And/Or Roofs in Capturing Ground-Dwelling Arthropods. Eur. J. Entomol. 2018, 115, 15–24. [Google Scholar] [CrossRef]
- Phillips, I.D.; Cobb, T.P. Effects of Habitat Structure and Lid Transparency on Pitfall Catches. Environ. Entomol. 2005, 34, 875–882. [Google Scholar] [CrossRef]
- Brooks, M.E.; Kristensen, K.; van Benthem, K.J.; Magnusson, A.; Berg, C.W.; Nielsen, A.; Skaug, H.J.; Mächler, M.; Bolker, B.M. Glmmtmb Balances Speed and Flexibility Among Packages for Zero-Inflated Generalized Linear Mixed Modeling. R J. 2017, 9, 378–400. [Google Scholar] [CrossRef]
- Fox, J.; Weisberg, S. An R Companion to Applied Regression, 3rd ed.; Sage: Thousand Oaks, CA, USA, 2019; Available online: https://www.john-fox.ca/Companion/ (accessed on 13 September 2024).
- Lenth, R. emmeans: Estimated Marginal Means, Aka Least-Squares Means; R Package Version 2024, 1.10.4. Available online: https://CRAN.R-project.org/package=emmeans (accessed on 13 September 2024).
- Graves, S.; Piepho, H.; Selzer, L.; Dorai-Raj, S. multcompView: Visualizations of Paired Comparisons. R package Version 0.1-10. 2024. Available online: https://CRAN.R-project.org/package=multcompView (accessed on 13 September 2024).
- Minchin, P.R. An Evaluation of the Relative Robustness of Techniques for Ecological Ordination. Vegetatio 1987, 69, 89–107. [Google Scholar] [CrossRef]
- Oksanen, J.; Simpson, G.L.; Blanchet, F.G.; Kindt, R.; Legendre, P.; Minchin, P.; O’Hara, R.B.; Solymos, P.; Stevens, M.H.H.; Szoecs, E.; et al. Vegan: Community Ecology Package 2022. R Package Version 2.6-2. Available online: https://cran.r-project.org/web/packages/vegan/index.html (accessed on 2 September 2024).
- Anderson, M.J. A new method for non-parametric multivariate analysis of variance. Austral. Ecol. 2001, 26, 32–46. [Google Scholar]
- Chao, A.; Jost, L. Coverage-Based Rarefaction and Extrapolation: Standardizing Samples By Completeness Rather than Size. Ecology 2012, 93, 2533–2547. [Google Scholar] [CrossRef]
- Chao, A.; Gotelli, N.J.; Hsieh, T.C.; Sander, E.L.; Ma, K.H.; Colwell, R.K.; Ellison, A.M. Rarefaction and Extrapolation with Hill Numbers: A Framework for Sampling and Estimation in Species Diversity Studies. Ecol. Monogr. 2014, 84, 45–67. [Google Scholar] [CrossRef]
- Hsieh, T.C.; Ma, K.H.; Chao, A. iNEXT: iNterpolation and EXTrapolation for Species Diversity. R Package Version 3.0.0. 2022. Available online: http://chao.stat.nthu.edu.tw/wordpress/software-download/ (accessed on 25 September 2024).
- Schenker, N.; Gentleman, J.F. On Judging the Significance of Differences By Examining the Overlap Between Confidence Intervals. Am. Stat. 2001, 55, 182–186. [Google Scholar] [CrossRef]
- Boháč, J. Study of Community Structure of Epigeic Beetles on Forest Research Plots. 2016. Available online: https://www.infodatasys.cz/biodivles/BiodivLes_Bohac2015.pdf (accessed on 13 September 2024).
- R Core Team. R: A Language and Environment for Statistical Computing; R Foundation for Statistical Computing: Vienna, Austria, 2023; Available online: https://www.R-project.org/ (accessed on 2 October 2024).
- Wickham, H. ggplot2: Elegant Graphics for Data Analysis; Springer: New York, NY, USA, 2016; ISBN 978-3-319-24277-4. Available online: https://ggplot2.tidyverse.org (accessed on 13 September 2024).
- Dufrene, M.; Legendre, P. Species Assemblages and Indicator Species: The Need for a Flexible Asymmetrical Approach. Ecol. Monogr. 1997, 67, 345–366. [Google Scholar] [CrossRef]
- Cáceres, M.D.; Legendre, P. Associations Between Species and Groups of Sites: Indices and Statistical Inference. Ecology 2009, 90, 3566–3574. [Google Scholar] [CrossRef] [PubMed]
- Taboada, A.; Kotze, D.J.; Tárrega, R.; Salgado, J.M. Traditional Forest Management: Do Carabid Beetles Respond to Human-Created Vegetation Structures in an Oak Mosaic Landscape? For. Ecol. Manag. 2006, 237, 436–449. [Google Scholar] [CrossRef]
- Magura, T. Carabids and forest edge: Spatial pattern and edge effect. For. Ecol. Manag. 2002, 157, 23–37. [Google Scholar] [CrossRef]
- Heliölä, J.; Koivula, M.; Niemelä, J. Distribution of Carabid Beetles (Coleoptera, Carabidae) Across a Boreal Forest–Clearcut Ecotone. Conserv. Biol. 2001, 15, 370–377. [Google Scholar] [CrossRef]
- Anderson, M.E.; Harman, R.R.; Kim, T.N.; Godfrey, K. Ground Beetle Movement Is Deterred By Habitat Edges: A Mark-Release-Recapture Study on the Effectiveness of Border Crops in an Agricultural Landscape. J. Insect Sci. 2024, 24, 24. [Google Scholar] [CrossRef]
- Růžičková, J.; Veselý, M. Movement Activity and Habitat Use of Carabus ullrichii (Coleoptera: Carabidae): The Forest Edge as a Mating Site? Entomol. Sci. 2018, 21, 76–83. [Google Scholar] [CrossRef]
- Sklodowski, J. Movement of selected carabid species (Col. Carabidae) through apine forest-fallow ecotone. Folia. Pol. 1999, 4, 5–23. [Google Scholar]
- Veselý, P. Střevlíkovití Brouci Prahy (Coleoptera: Carabidae), Die Laufkäfer Prags; S.N.: Praha, Czech Republic, 2002; p. 167. ISBN 80-238-9918-X. [Google Scholar]
- Longeard, P.; Santonja, M.; Morandini, F.; Gibernau, M.; Nadarajah, S.; Belliard, P.; Feignier, N.; Massaiu, A.; Andrei-Ruiz, M.-C.; Ferrat, L. Combinative Effects of Thinning and Prescribed Burning on Fuel Reduction and Soil Arthropods: A Case Study in a Mediterranean Pine Forest. Ecol. Evol. 2024, 14, e70141. [Google Scholar] [CrossRef]
- Milberg, P.; Bergman, K.-O.; Jansson, N.; Norman, H.; Sundin, F.; Westerberg, L.; Johansson, V. ShortSpatiotemporal Fire History Explainsthe Occurrence of Beetles Favoured by Fire. Insects 2024, 15, 775. [Google Scholar] [CrossRef] [PubMed]
- Süda, I.; Voolma, K.; Õunap, H. Short-term monitoring of fire-adapted Coleoptera in burnt pine forest of northern Estonia. Acta Biol. Univ. Daugavp. 2009, 9, 43–48. [Google Scholar]
- Paarmann, W. Vergleichende Untersuchungen über die Bindung zweier Carabidenarten (Pterostichus angustatus Dft. und Pterostichus oblongopunctatus F.) an ihre verschiedenen Lebensraume. Z. Für Wiss. Zoologie. Abteilung A 1966, 174, 83–176. [Google Scholar]








| Burnt | Edge | Healthy | |||||||||
|---|---|---|---|---|---|---|---|---|---|---|---|
| D | F | M | ∑ | F | M | ∑ | F | M | ∑ | ∑Total | |
| Pterostichus quadrifoveolatus (Letzner, 1852) | ed | 95 | 155 | 250 | 46 | 73 | 119 | 369 | |||
| Carabus violaceus (Linnaeus, 1758) | ed | 4 | 3 | 7 | 41 | 20 | 61 | 46 | 36 | 82 | 150 |
| Carabus hortensis (Linnaeus, 1758) | ed | 4 | 1 | 5 | 23 | 15 | 38 | 17 | 49 | 66 ** | 109 |
| Bembidion lampros (Herbst, 1784) | d | 30 | 23 | 53 | 18 | 29 | 47 | 100 | |||
| Pterostichus niger (Schaller, 1783) | d | 13 | 1 | 14 | 17 | 5 | 22 | 17 | 7 | 24 | 60 |
| Notiophilus biguttatus (Fabricius, 1779) | sd | 9 | 10 | 19 | 5 | 3 | 8 | 13 | 10 | 23 | 50 |
| Pterostichus oblongopunctatus (Fabricius, 1787) | sd | 5 | 6 | 11 | 10 | 7 | 17 | 1 | 1 | 29 | |
| Carabus scheidleri (Panzer, 1799) | sd | 5 | 2 | 7 | 9 | 6 | 15 | 1 | 1 | 23 | |
| Sericoda quadripunctata (De Geer, 1774) | sd | 14 | 9 | 23+ | 23 | ||||||
| Carabus auronitens (Fabricius, 1792) | r | 3 | 3 | 12 | 1 | 13+ | 16 | ||||
| Poecilus versicolor (Sturm, 1824) | r | 1 | 1 | 8 | 3 | 11 ** | 12 | ||||
| Amara curta (Dejean, 1828) | r | 4 | 1 | 5 | 2 | 4 | 6 | 11 | |||
| Microlestes minutulus (Goeze, 1777) | r | 4 | 4 | 8+ | 1 | 2 | 3 | 11 | |||
| Trechus quadristriatus (Schrank, 1781) | r | 1 | 1 | 2 | 2 | 4 | 4 | 8 | 11 | ||
| Harpalus laevipes Zetterstedt, 1828 | sr | 2 | 2 | 4 | 2 | 6 | 1 | 1 | 9 | ||
| Harpalus rufipes (DeGeer, 1774) | sr | 4 | 1 | 5 | 1 | 2 | 3 | 1 | 1 | 9 | |
| Poecilus cupreus (Linnaeus, 1758) | sr | 2 | 4 | 6 | 3 | 3 | 9 | ||||
| Notiophilus palustris (Duftschmid, 1812) | sr | 1 | 2 | 3 | 2 | 2 | 4 | 7 | |||
| Bembidion mannerheimii C.R. Sahlberg, 1827 | sr | 3 | 1 | 4+ | 4 | ||||||
| Carabus linnei (Panzer, 1810) | sr | 2 | 2 | 4 | 4 | ||||||
| Calathus fuscipes (Goeze, 1777) | sr | 1 | 1 | 1 | 1 | 2 | 3 | ||||
| Notiophilus aestuans (Dejean, 1826) | sr | 1 | 1 | 2 | 1 | 1 | 3 | ||||
| Pterostichus melanarius (Illiger, 1798) | sr | 1 | 1 | 1 | 1 | 2 | 3 | ||||
| Pterostichus strenuus (Panzer, 1796) | sr | 1 | 2 | 3 | 3 | ||||||
| Abax parallelepipedus (Piller & Mitterpacher, 1783) | sr | 1 | 1 | 1 | 1 | 2 | |||||
| Badister lacertosus (Sturm, 1815) | sr | 2 | 2 | 2 | |||||||
| Calathus melanocephalus (Linnaeus, 1758) | sr | 1 | 1 | 1 | 1 | 2 | |||||
| Demetrias monostigma (Samouelle, 1819) | sr | 1 | 1 | 1 | 1 | 2 | |||||
| Epaphius secalis (Paykull, 1790) | sr | 1 | 1 | 2 | 2 | ||||||
| Agonum spp. | sr | 1 | 1 | 1 | |||||||
| Amara familiaris (Duftschmid, 1812) | sr | 1 | 1 | 1 | |||||||
| Amara plebeja (Gyllenhal, 1810) | sr | 1 | 1 | 1 | |||||||
| Bembidion humerale Sturm, 1825 | sr | 1 | 1 | 1 | |||||||
| Bradycellus harpalinus (Audinet-Serville, 1821) | sr | 1 | 1 | 1 | |||||||
| Carabus glabratus (Paykull, 1790) | sr | 1 | 1 | 1 | |||||||
| Carabus granulatus (Linnaeus, 1758) | sr | 1 | 1 | 1 | |||||||
| Cychrus caraboides (Linnaeus, 1758) | sr | 1 | 1 | 1 | |||||||
| Dromius fenestratus (Fabricius, 1794) | sr | 1 | 1 | 1 | |||||||
| Leistus ferrugineus (Linnaeus, 1758) | sr | 1 | 1 | 1 | |||||||
| Nebria brevicollis (Fabricius, 1792) | sr | 1 | 1 | 1 | |||||||
| Stomis pumicatus (Panzer, 1796) | sr | 1 | 1 | 1 | |||||||
| Trichotichnus laevicollis (Duftschmid, 1812) | sr | 1 | 1 | 1 | |||||||
| Total ∑ | 201 | 229 | 430 | 201 | 191 | 392 | 117 | 112 | 229 | 1051 | |
| F | R2 | p. Adjusted | |
|---|---|---|---|
| Healthy vs. edge | 5.566 | 0.317 | 0.003 |
| Healthy vs. burnt | 8.184 | 0.405 | 0.003 |
| Edge vs. burnt | 1.984 | 0.142 | 0.177 |
Disclaimer/Publisher’s Note: The statements, opinions and data contained in all publications are solely those of the individual author(s) and contributor(s) and not of MDPI and/or the editor(s). MDPI and/or the editor(s) disclaim responsibility for any injury to people or property resulting from any ideas, methods, instructions or products referred to in the content. |
© 2024 by the authors. Licensee MDPI, Basel, Switzerland. This article is an open access article distributed under the terms and conditions of the Creative Commons Attribution (CC BY) license (https://creativecommons.org/licenses/by/4.0/).
Share and Cite
Zumr, V.; Remeš, J.; Nakládal, O. Immediate Response of Carabids to Small-Scale Wildfire Across a Healthy-Edge-Burnt Gradient in Young Managed Coniferous Forest in Central Europe. Fire 2024, 7, 436. https://doi.org/10.3390/fire7120436
Zumr V, Remeš J, Nakládal O. Immediate Response of Carabids to Small-Scale Wildfire Across a Healthy-Edge-Burnt Gradient in Young Managed Coniferous Forest in Central Europe. Fire. 2024; 7(12):436. https://doi.org/10.3390/fire7120436
Chicago/Turabian StyleZumr, Václav, Jiří Remeš, and Oto Nakládal. 2024. "Immediate Response of Carabids to Small-Scale Wildfire Across a Healthy-Edge-Burnt Gradient in Young Managed Coniferous Forest in Central Europe" Fire 7, no. 12: 436. https://doi.org/10.3390/fire7120436
APA StyleZumr, V., Remeš, J., & Nakládal, O. (2024). Immediate Response of Carabids to Small-Scale Wildfire Across a Healthy-Edge-Burnt Gradient in Young Managed Coniferous Forest in Central Europe. Fire, 7(12), 436. https://doi.org/10.3390/fire7120436

