Numerical Investigation of Force Network Evolution in a Moving Bed Air Reactor
Abstract
1. Introduction
2. Numerical Solution Approach
2.1. Discrete Element Numerical Model
2.2. Definition of Force Chain and Search Algorithm
2.3. Quantitative Statistics of Force Chain Network
2.4. Simulation Conditions
3. Experimental Method
4. Results and Discussion
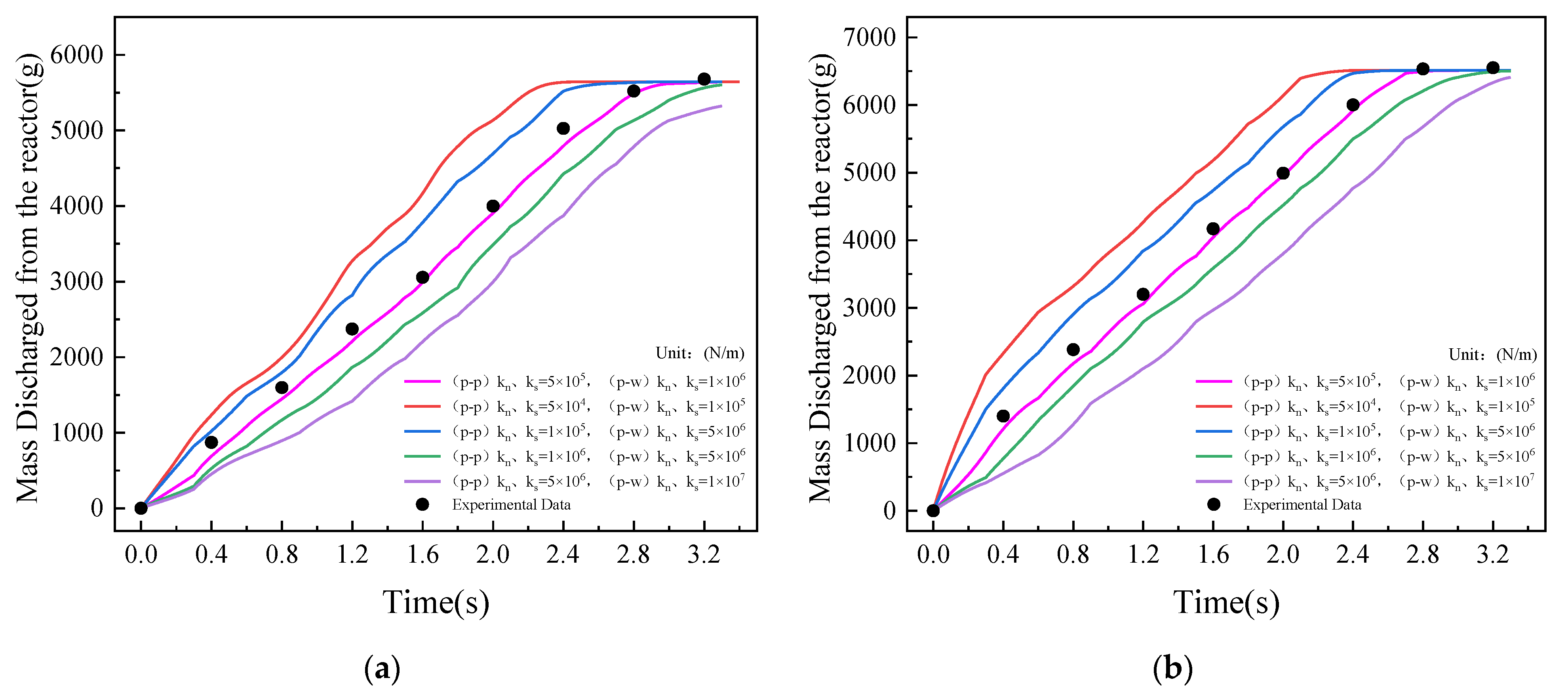
4.1. Model Validation
4.2. Comparison of Contact Force Network and Force Chain Network
4.2.1. Spatial and Temporal Distribution of Contact Force Network
4.2.2. Spatial and Temporal Distribution of Force Chain Network
4.3. Quantitative Characteristics of Force Chain Networks
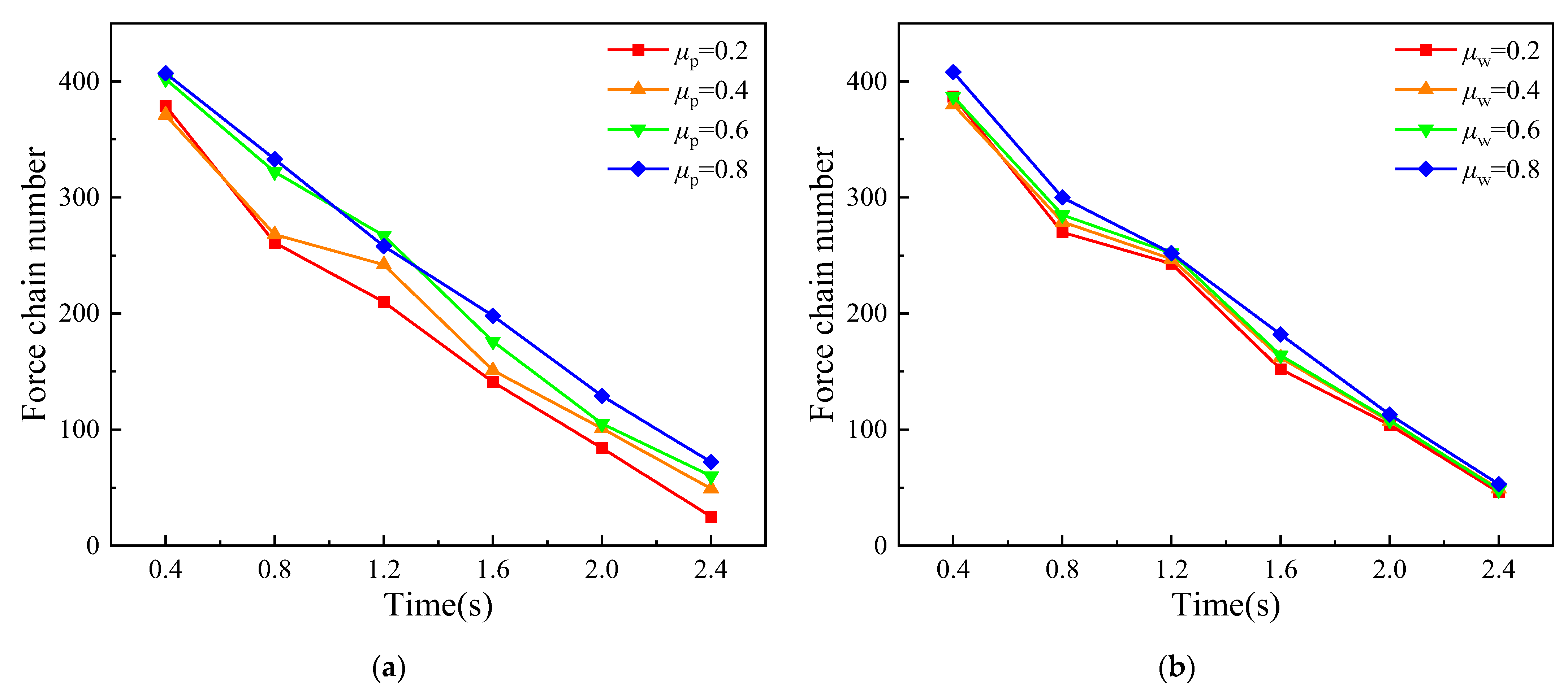
4.3.1. Number of Force Chains
4.3.2. Length of Force Chains
4.3.3. Strength of Force Chains
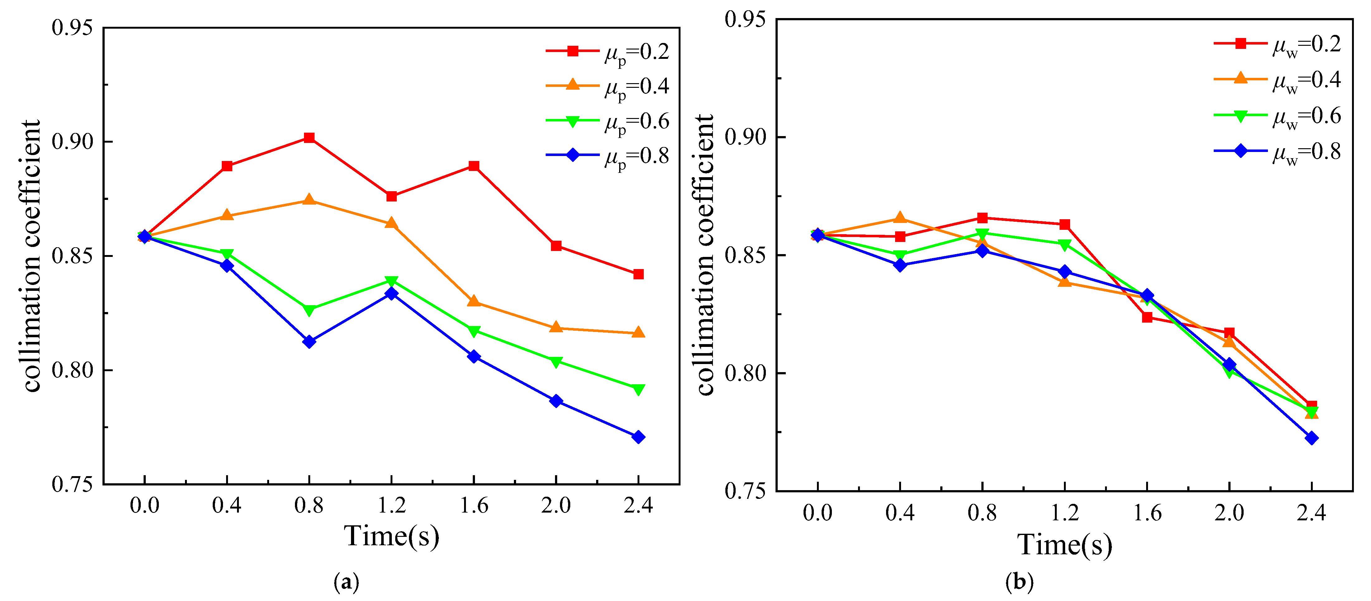
4.3.4. Collimation Coefficient of Force Chains
5. Conclusions
- (1)
- The contact forces tend to align in a vertical direction. However, the distribution of force chains shows significant variation, with the network being less densely distributed and exhibiting greater anisotropy.
- (2)
- During the particle discharge process in the given moving bed, the strong particle–particle contacts account for about 37–41% of all the particle–particle interactions, while force-chain contacts account for only about 13–14% of all the particle–particle interactions. Most force chains consist of 3–6 particles, and the number of force chains decreases with increasing chain length. The strength of the force chains decreases over time, while the collimation coefficient remains stable for the first 1.2 s before sharply decreasing.
- (3)
- Both particle–particle and particle–wall friction coefficients affect the number, strength, collimation coefficient, and direction of force chains but have little influence on the length distribution of force chains. Since the particle–wall friction coefficient primarily affects particle movements in the near-wall zone; its influence is less pronounced than that of the particle–particle friction coefficient.
Author Contributions
Funding
Institutional Review Board Statement
Informed Consent Statement
Data Availability Statement
Conflicts of Interest
References
- Torok, J.; Krishnamurthy, S.; Kertesz, J.; Roux, S. Self-Organization, Localization of Shear Bands, and Aging in Loose Granular Materials. Phys. Rev. Lett. 2000, 84, 3851–3854. [Google Scholar] [CrossRef] [PubMed]
- Shao, Y.; Agarwal, R.K.; Wang, X.; Jin, B. Numerical Simulation of a 3D Full Loop IG-CLC System Including a Two-Stage Counter-Flow Moving Bed Air Reactor. Chem. Eng. Sci. 2020, 217, 115502. [Google Scholar] [CrossRef]
- Shao, Y.; Wang, X.; Jin, B.; Kong, Z.; Wang, X.; Zhang, Y. Gas–Solid Hydrodynamics of an IG-CLC System with a Two-Stage Counter-Flow Moving Bed Air Reactor. Chem. Eng. Res. Des. 2019, 143, 100–113. [Google Scholar] [CrossRef]
- Shao, Y.; Wang, X.; Jin, B.; Zhang, Y.; Kong, Z.; Wang, X.; Jin, Z. Carrying Capacity and Gas Flow Path Mechanism of a Novel Multistage Air Reactor for Chemical Looping Combustion. Energy Fuels 2018, 32, 12665–12678. [Google Scholar] [CrossRef]
- Sun, Q.; Wang, G.; Hu, K. Some Open Problems in Granular Matter Mechanics. Prog. Nat. Sci. 2009, 19, 523–529. [Google Scholar] [CrossRef]
- Duran, J.; Behringer, R.P. Sands, Powders, and Grains: An Introduction to the Physics of Granular Materials. Phys. Today 2001, 54, 63–64. [Google Scholar]
- Chen, Q.; Li, Z.; Dai, Z.; Wang, X.; Zhang, C.; Zhang, X. Mechanical Behavior and Particle Crushing of Irregular Granular Material under High Pressure Using Discrete Element Method. Sci. Rep. 2023, 13, 7843. [Google Scholar] [CrossRef]
- Tian, J.; Liu, E. Influences of Particle Shape on Evolutions of Force-Chain and Micro-Macro Parameters at Critical State for Granular Materials. Powder Technol. 2019, 354, 906–921. [Google Scholar] [CrossRef]
- Zhou, Y.; Wang, H.; Zhou, B.; Li, J. DEM-Aided Direct Shear Testing of Granular Sands Incorporating Realistic Particle Shape. Granul. Matter 2018, 20, 55. [Google Scholar] [CrossRef]
- Antony, S.J.; Kuhn, M.R. Influence of Particle Shape on Granular Contact Signatures and Shear Strength: New Insights from Simulations. Int. J. Solids Struct. 2004, 41, 5863–5870. [Google Scholar] [CrossRef]
- Meng, F.; Liu, H.; Hua, S.; Pang, M. Force Chain Characteristics of Dense Particles Sheared between Parallel-Plate Friction System. Results Phys. 2021, 25, 104328. [Google Scholar] [CrossRef]
- Pascot, A.; Gaudel, N.; Antonyuk, S.; Bianchin, J.; Kiesgen De Richter, S. Influence of Mechanical Vibrations on Quasi-2D Silo Discharge of Spherical Particles. Chem. Eng. Sci. 2020, 224, 115749. [Google Scholar] [CrossRef]
- Xu, L.; Wu, X.; Liang, J.; Wang, S.; Bao, S. Multi-Level DEM Study on Silo Discharge Behaviors of Non-Spherical Particles. Particuology 2023, 82, 179–191. [Google Scholar] [CrossRef]
- Guo, H.; Yang, X.; Tian, Z.; Li, T.; Liu, X. DEM Modeling of the Dilute-to-Dense Transition of Granular Flow in Silos. Powder Technol. 2024, 436, 119472. [Google Scholar] [CrossRef]
- Kobyłka, R.; Horabik, J.; Molenda, M. Numerical Simulation of the Dynamic Response Due to Discharge Initiation of the Grain Silo. Int. J. Solids Struct. 2017, 106–107, 27–37. [Google Scholar] [CrossRef]
- Shao, Y.; Agarwal, R.K.; Li, J.; Wang, X.; Jin, B. Computational Fluid Dynamics–Discrete Element Model Simulation of Flow Characteristics and Solids’ Residence Time Distribution in a Moving Bed Air Reactor for Chemical Looping Combustion. Ind. Eng. Chem. Res. 2020, 59, 18180–18192. [Google Scholar] [CrossRef]
- González-Montellano, C.; Ayuga, F.; Ooi, J.Y. Discrete Element Modelling of Grain Flow in a Planar Silo: Influence of Simulation Parameters. Granul. Matter 2011, 13, 149–158. [Google Scholar] [CrossRef]
- Liu, X.; Zhang, H.; Yang, H.; Zhang, Y.; Lyu, J. Validation and Evaluation of the CPFD Modeling of Dense Particle Flow Velocity: Taking Particle Flow around an Obstacle as an Example. Chem. Eng. J. 2023, 453, 139719. [Google Scholar] [CrossRef]
- Zhang, S.; Zhao, M.; Ge, W.; Liu, C. Bimodal Frequency Distribution of Granular Discharge in 2D Hoppers. Chem. Eng. Sci. 2021, 245, 116945. [Google Scholar] [CrossRef]
- Shen, J.; Jin, C.; Yuan, J.; Cai, Y.; Wheeler, C. Experimental and Numerical Analysis of Hopper Dust Suppression during Discharge of Free Falling Bulk Solids. Powder Technol. 2023, 415, 118108. [Google Scholar] [CrossRef]
- Dai, L.; Yuan, Z.; Fan, F.; Gu, C. Experimental Investigation on the Gravity Driven Discharge of Cohesive Particles from a Silo with Two Outlets. Particuology 2024, 89, 11–21. [Google Scholar] [CrossRef]
- Lin, P.; Tian, Y.; Lin, P.; Zhang, S.; Wang, C.L.; Wan, J.F.; Yang, L. Study on Free Fall Surfaces in Three-Dimensional Hopper Flows Study on Free Fall Surfaces in Three-Dimensional Hopper Flows. Adv. Powder Technol. 2015, 26, 1191–1199. [Google Scholar] [CrossRef]
- Xu, P.; Duan, X.; Qian, G.; Zhou, X.G. Dependence of Wall Stress Ratio on Wall Friction Coefficient during the Discharging of a 3D Rectangular Hopper. Powder Technol. 2015, 284, 326–335. [Google Scholar] [CrossRef]
- Zhang, D.; Dong, S.; Guo, H.; Yang, X.; Cui, L.; Liu, X. Flow Behavior of Granular Material during Funnel and Mixed Flow Discharges: A Comparative Analysis. Powder Technol. 2022, 396, 127–138. [Google Scholar] [CrossRef]
- Anand, A.; Curtis, J.S.; Wassgren, C.R.; Hancock, B.C.; Ketterhagen, W.R. Predicting Discharge Dynamics from a Rectangular Hopper Using the Discrete Element Method (DEM). Chem. Eng. Sci. 2008, 63, 5821–5830. [Google Scholar] [CrossRef]
- Zhang, S.; Lin, P.; Wang, C.L.; Tian, Y.; Wan, J.F.; Yang, L. Investigating the Influence of Wall Frictions on Hopper Flows. Granul. Matter 2014, 16, 857–866. [Google Scholar] [CrossRef]
- Yu, Y.; Saxén, H. Discrete Element Method Simulation of Properties of a 3D Conical Hopper with Mono-Sized Spheres. Adv. Powder Technol. 2011, 22, 324–331. [Google Scholar] [CrossRef]
- Cundall, P.A.; Strack, O.D.L. A Discrete Numerical Model for Granular Assemblies. Geotechnique 1979, 29, 47–65. [Google Scholar] [CrossRef]
- Zhang, D.; Yang, X.; Zhan, J.; Liu, X. Fluctuation of Particles during Funnel Flow Discharge from Flat-Bottomed Silos. AIChE J. 2022, 68, e17414. [Google Scholar] [CrossRef]
- Jacobs-Capdeville, P.; Kuang, S.; Gan, J.; Yu, A. Micromechanical Analysis of Granular Dynamics and Energy Dissipation during Hopper Discharging of Polydisperse Particles. Powder Technol. 2023, 422, 118462. [Google Scholar] [CrossRef]
- Kildashti, K.; Dong, K.; Yu, A. Contact Force Models for Non-Spherical Particles with Different Surface Properties: A Review. Powder Technol. 2023, 418, 118323. [Google Scholar] [CrossRef]
- Paulick, M.; Morgeneyer, M.; Kwade, A. Review on the in Fl Uence of Elastic Particle Properties on DEM Simulation Results. Powder Technol. 2015, 283, 66–76. [Google Scholar] [CrossRef]
- Lommen, S.; Schott, D.; Lodewijks, G. Particuology DEM Speedup: Stiffness Effects on Behavior of Bulk Material. Particuology 2014, 12, 107–112. [Google Scholar] [CrossRef]
- Vivanco, F.; Rica, S.; Melo, F. Dynamical Arching in a Two Dimensional Granular Flow. Granul. Matter 2012, 14, 563–576. [Google Scholar] [CrossRef]
- Xiao, X.; Li, B.; Chen, M.; Peng, J.; Peng, R. Research on the Effect of the Cone-in-Cone Insert on the Discharge Behaviour of Conical Silo. Powder Technol. 2023, 419, 118336. [Google Scholar] [CrossRef]














| Parameter | Value |
|---|---|
| Particle diameter (mm) | 6~8, 6 (Reference condition) |
| Particle density (kg/m3) | 2460 |
| Inter-particle friction coefficient | 0.2–0.8, 0.5 (Reference condition) |
| Particle–wall friction coefficient | 0.2–0.8, 0.5 (Reference condition) |
| Normal damping coefficient | 0.12 |
| Tangential damping coefficient | 0.12 |
| Time step (s) | 8 × 10−5~9 × 10−5 |
Disclaimer/Publisher’s Note: The statements, opinions and data contained in all publications are solely those of the individual author(s) and contributor(s) and not of MDPI and/or the editor(s). MDPI and/or the editor(s) disclaim responsibility for any injury to people or property resulting from any ideas, methods, instructions or products referred to in the content. |
© 2024 by the authors. Licensee MDPI, Basel, Switzerland. This article is an open access article distributed under the terms and conditions of the Creative Commons Attribution (CC BY) license (https://creativecommons.org/licenses/by/4.0/).
Share and Cite
Dai, W.; Shao, Y.; Yin, S.; Song, T.; Agarwal, R.K. Numerical Investigation of Force Network Evolution in a Moving Bed Air Reactor. Fire 2024, 7, 376. https://doi.org/10.3390/fire7110376
Dai W, Shao Y, Yin S, Song T, Agarwal RK. Numerical Investigation of Force Network Evolution in a Moving Bed Air Reactor. Fire. 2024; 7(11):376. https://doi.org/10.3390/fire7110376
Chicago/Turabian StyleDai, Wei, Yali Shao, Shangyi Yin, Tao Song, and Ramesh K. Agarwal. 2024. "Numerical Investigation of Force Network Evolution in a Moving Bed Air Reactor" Fire 7, no. 11: 376. https://doi.org/10.3390/fire7110376
APA StyleDai, W., Shao, Y., Yin, S., Song, T., & Agarwal, R. K. (2024). Numerical Investigation of Force Network Evolution in a Moving Bed Air Reactor. Fire, 7(11), 376. https://doi.org/10.3390/fire7110376

