A Mechanism for Slow Electrostatic Solitary Waves in the Earth’s Plasma Sheet
Abstract
1. Introduction
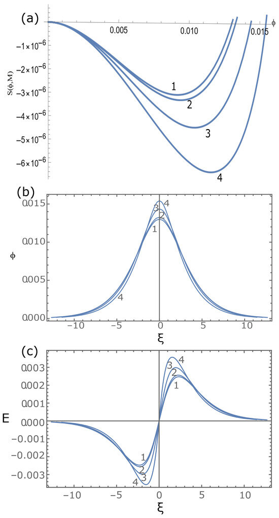
2. Theoretical Model
3. Comparison with Plasma Sheet Slow Electrostatic Solitary Waves
4. Summary and Discussion
Author Contributions
Funding
Data Availability Statement
Conflicts of Interest
References
- Matsumoto, H.; Kojima, H.; Miyatake, T.; Omura, Y.; Okada, M.; Nagano, I.; Tsutsui, M. Electrostatic solitary waves (ESW) in the magnetotail: BEN wave forms observed by GEOTAIL. Geophys. Res. Lett. 1994, 21, 2915–2918. [Google Scholar] [CrossRef]
- Kojima, H.; Matsumoto, H.; Chikuba, S.; Horiyama, S.; Ashour-Abdalla, M.; Anderson, R.R. Geotail waveform observations of broadband/narrowband electrostatic noise in the distant tail. J. Geophys. Res. 1997, 102, 14439–14455. [Google Scholar] [CrossRef]
- Pickett, J.S.; Menietti, J.D.; Gurnett, D.A.; Tsurutani, B.; Kintner, P.M.; Klatt, E.; Balogh, A. Solitary potential structures observed in the magnetosheath by the Cluster spacecraft. Nonlin. Process. Geophys. 2003, 10, 3–11. [Google Scholar] [CrossRef]
- Pickett, J.S.; Chen, L.J.; Kahler, S.W.; Santolík, O.; Gurnett, D.A.; Tsurutani, B.T.; Balogh, A. Isolated electrostatic structures observed throughout the Cluster orbit: Relationship to magnetic field strength. Ann. Geophys. 2004, 22, 2515–2523. [Google Scholar] [CrossRef]
- Pickett, J.S.; Chen, L.J.; Kahler, S.W.; Santolík, O.; Goldstein, M.L.; Lavraud, B.; Décréau, P.M.E.; Kessel, R.; Lucek, E.; Lakhina, G.S.; et al. On the generation of solitary waves observed by Cluster in the near-Earth magnetosheath. Nonlinear Proc. Geoph. 2005, 12, 181–193. [Google Scholar] [CrossRef]
- Holmes, J.C.; Ergun, R.E.; Newman, D.L.; Wilder, F.D.; Sturner, A.P.; Goodrich, K.A.; Torbert, R.B.; Giles, B.L.; Strangeway, R.J.; Burch, J.L. Negative potential solitary structures in the magnetosheath with large parallel width. J. Geophys. Res. 2018, 123, 132–145. [Google Scholar] [CrossRef]
- Matsumoto, H.; Deng, X.H.; Kojima, H.; Anderson, R.R. Observation of Electrostatic Solitary Waves associated with reconnection on the dayside magnetopause boundary. Geophys. Res. Lett. 2003, 30, 1326. [Google Scholar] [CrossRef]
- Graham, D.B.; Khotyaintsev, Y.V.; Vaivads, A.; André, M. Electrostatic solitary waves with distinct speeds associated with asymmetric reconnection. Geophys. Res. Lett. 2015, 42, 215–224. [Google Scholar] [CrossRef]
- Franz, J.R.; Kintner, P.M.; Pickett, J.S. POLAR observations of coherent electric field structures. Geophys. Res. Lett. 1998, 25, 1277–1280. [Google Scholar] [CrossRef]
- Cattell, C.A.; Dombeck, J.; Wygant, J.R.; Hudson, M.K.; Mozer, F.S.; Temerin, M.A.; Peterson, W.K.; Kletzing, C.A.; Russell, C.T.; Pfaff, R.F. Comparisons of Polar satellite observations of solitary wave velocities in the plasma sheet boundary and the high altitude cusp to those in the auroral zone. Geophys. Res. Lett. 1999, 26, 425–428. [Google Scholar] [CrossRef]
- Tsurutani, B.T.; Arballo, J.K.; Lakhina, G.S.; Ho, C.M.; Buti, B.; Pickett, J.S.; Gurnett, D.A. Plasma waves in the dayside polar cap boundary layer: Bipolar and monopolar electric pulses and whistler mode waves. Geophys. Res. Lett. 1998, 25, 4117–4120. [Google Scholar] [CrossRef]
- Mozer, F.S.; Ergun, R.; Temerin, M.; Cattell, C.; Dombeck, J.; Wygant, J. New Features of Time Domain Electric-Field Structures in the Auroral Acceleration Region. Phys. Rev. Lett. 1997, 79, 1281–1284. [Google Scholar] [CrossRef]
- Ergun, R.E.; Carlson, C.W.; McFadden, J.P.; Mozer, F.S.; Delory, G.T.; Peria, W.; Chaston, C.C.; Temerin, M.; Roth, I.; Muschietti, L.; et al. FAST satellite observations of large-amplitude solitary structures. Geophys. Res. Lett. 1998, 25, 2041–2044. [Google Scholar] [CrossRef]
- Ergun, R.E.; Carlson, C.W.; McFadden, J.P.; Mozer, F.S.; Muschietti, L.; Roth, I.; Strangeway, R.J. Debye-Scale Plasma Structures Associated with Magnetic-Field-Aligned Electric Fields. Phys. Rev. Lett. 1998, 81, 826–829. [Google Scholar] [CrossRef]
- Ergun, R.E.; Carlson, C.W.; Muschietti, L.; Roth, I.; McFadden, J.P. Properties of fast solitary structures. Nonlinear Process. Geophys. 1999, 6, 187–194. [Google Scholar] [CrossRef]
- Bounds, S.R.; Pfaff, R.F.; Knowlton, S.F.; Mozer, F.S.; Temerin, M.A.; Kletzing, C.A. Solitary potential structures associated with ion and electron beams near 1RE altitude. J. Geophys. Res. 1999, 104, 28709–28717. [Google Scholar] [CrossRef]
- Mozer, F.S.; Agapitov, O.V.; Artemyev, A.; Drake, J.F.; Krasnoselskikh, V.; Lejosne, S.; Vasko, I. Time domain structures: What and where they are, what they do, and how they are made. Geophys. Res. Lett. 2015, 42, 3627–3638. [Google Scholar] [CrossRef]
- Vasko, I.Y.; Agapitov, O.V.; Mozer, F.S.; Bonnell, J.W.; Artemyev, A.V.; Krasnoselskikh, V.V.; Reeves, G.; Hospodarsky, G. Electron-acoustic solitons and double layers in the inner magnetosphere. Geophys. Res. Lett. 2017, 44, 4575–4583. [Google Scholar] [CrossRef]
- Deng, X.H.; Matsumoto, H.; Kojima, H.; Mukai, T.; Anderson, R.R.; Baumjohann, W.; Nakamura, R. Geotail encounter with reconnection diffusion region in the Earth’s magnetotail: Evidence of multiple X lines collisionless reconnection? J. Geophys. Res. 2004, 109, A05206. [Google Scholar] [CrossRef]
- Deng, X.H.; Tang, R.; Matsumoto, H.; Pickett, J.; Fazakerley, A.; Kojima, H.; Baumjohann, W.; Coates, A.; Nakamura, R.; Gurnett, D.; et al. Observations of electrostatic solitary waves associated with reconnection by Geotail and Cluster. Adv. Space Res. 2006, 37, 1373–1381. [Google Scholar] [CrossRef]
- Li, S.; Deng, X.; Zhou, M.; Tang, R.; Liu, K.; Kojima, H.; Matsumoto, H. Statistical study of electrostatic solitary waves associated with reconnection: Geotail observations. Adv. Space Res. 2009, 43, 394–400. [Google Scholar] [CrossRef]
- Li, S.; Zhang, S.; Cai, H.; Yang, H. Electron beam-associated symmetric electrostatic solitary waves on the separatrix of magnetic reconnection: Multi-spacecraft analysis. Earth Planets Space 2015, 67, 84. [Google Scholar] [CrossRef]
- Huang, C.; Lu, Q.; Wang, P.; Wu, M.; Wang, S. Characteristics of electron holes generated in the separatrix region during antiparallel magnetic reconnection. J. Geophys. Res. Space Phys. 2014, 119, 6445–6454. [Google Scholar] [CrossRef]
- Khotyaintsev, Y.V.; Vaivads, A.; André, M.; Fujimoto, M.; Retino, A.; Owen, C.J. Observations of Slow Electron Holes at a Magnetic Reconnection Site. Phys. Rev. Lett. 2010, 105, 165002. [Google Scholar] [CrossRef]
- Mangeney, A.; Salem, C.; Lacombe, C.; Bougeret, J.L.; Perche, C.; Manning, R.; Kellogg, P.J.; Goetz, K.; Monson, S.J.; Bosqued, J.M. WIND observations of coherent electrostatic waves in the solar wind. Ann. Geophys. 1999, 17, 307–320. [Google Scholar] [CrossRef]
- Malaspina, D.M.; Newman, D.L.; Willson, L.B.; Goetz, K.; Kellogg, P.J.; Kerstin, K. Electrostatic Solitary Waves in the Solar Wind: Evidence for Instability at Solar Wind Current Sheets. J. Geophys. Res. 2013, 118, 591–599. [Google Scholar] [CrossRef]
- Mozer, F.S.; Bonnell, J.W.; Hanson, E.L.M.; Gasque, L.C.; Vasko, I.Y. Nonlinear Ion-acoustic Waves, Ion Holes, and Electron Holes in the Near-Sun Solar Wind. Astrophys. J. 2021, 911, 89. [Google Scholar] [CrossRef]
- Bale, S.D.; Kellogg, P.J.; Larsen, D.E.; Lin, R.P.; Goetz, K.; Lepping, R.P. Bipolar electrostatic structures in the shock transition region: Evidence of electron phase space holes. Geophys. Res. Lett. 1998, 25, 2929–2932. [Google Scholar] [CrossRef]
- Li, S.Y.; Zhang, S.F.; Cai, H.; Deng, X.H.; Chen, X.Q.; Zhou, M.; Yang, H.B. Large three-dimensional ellipsoid sphere-shaped structure of electrostatic solitary waves in the terrestrial bow shock under condition of <<1. Geophys. Res. Lett. 2013, 40, 3356–3361. [Google Scholar] [CrossRef]
- Vasko, I.Y.; Mozer, F.S.; Krasnoselskikh, V.V.; Artemyev, A.V.; Agapitov, O.V.; Bale, S.D.; Avanov, L.; Ergun, R.; Giles, B.; Lindqvist, P.A.; et al. Solitary waves across supercritical quasi-perpendicular shocks. Geophys. Res. Lett. 2018, 45, 5809–5817. [Google Scholar] [CrossRef]
- Vasko, I.Y.; Wang, R.; Mozer, F.S.; Bale, S.D.; Artemyev, A.V. On the nature and origin of bipolar electrostatic structures in the Earth’s bow shock. Front. Phys. 2020, 8, 156. [Google Scholar] [CrossRef]
- Kamaletdinov, S.R.; Vasko, I.Y.; Wang, R.; Artemyev, A.V.; Yushkov, E.V.; Mozer, F.S. Slow electron holes in the Earth’s bow shock. Phys. Plasmas 2022, 44, 092303. [Google Scholar] [CrossRef]
- Williams, J.D.; Chen, L.J.; Kurth, W.S.; Gurnett, D.A.; Dougherty, M.K.; Rymer, A.M. Electrostatic solitary structures associated with the November 10, 2003, interplanetary shock at 8.7 AU. Geophys. Res. Lett. 2005, 32, L17103. [Google Scholar] [CrossRef]
- Bernstein, I.B.; Greene, J.M.; Kruskal, M.D. Exact Nonlinear Plasma Oscillations. Phys. Rev. 1957, 108, 546–550. [Google Scholar] [CrossRef]
- Omura, Y.; Kojima, H.; Matsumoto, H. Computer simulation of electrostatic solitary waves: A nonlinear model of broadband electrostatic noise. Geophys. Res. Lett. 1994, 21, 2923–2926. [Google Scholar] [CrossRef]
- Goldman, M.V.; Oppenheim, M.M.; Newman, D.L. Nonlinear two-stream instabilities as an explanation for auroral bipolar wave structures. Geophys. Res. Lett. 1999, 26, 1821–1824. [Google Scholar] [CrossRef]
- Chen, L.J.; Thouless, D.J.; Tang, J.M. Bernstein-Greene-Kruskal solitary waves in three-dimensional magnetized plasma. Phys. Rev. E 2004, 69, 55401. [Google Scholar] [CrossRef]
- Omura, Y.; Kojima, H.; Miki, N.; Mukai, T.; Matsumoto, H.; Anderson, R. Electrostatic solitary waves carried by diffused electron beams observed by the Geotail spacecraft. J. Geophys. Res. 1999, 104, 14627–14637. [Google Scholar] [CrossRef]
- Andersson, L.; Ergun, R.E.; Tao, J.; Roux, A.; LeContel, O.; Angelopoulos, V.; Bonnell, J.; McFadden, J.P.; Larson, D.E.; Eriksson, S.; et al. New Features of Electron Phase Space Holes Observed by the THEMIS Mission. Phys. Rev. Lett. 2009, 102, 225004. [Google Scholar] [CrossRef]
- Graham, D.B.; Khotyaintsev, Y.V.; Vaivads, A.; André, M. Electrostatic solitary waves and electrostatic waves at the magnetopause. J. Geophys. Res. Space Phys. 2016, 121, 3069–3092. [Google Scholar] [CrossRef]
- Mozer, F.S.; Agapitov, O.V.; Giles, B.; Vasko, I. Direct Observation of Electron Distributions inside Millisecond Duration Electron Holes. Phys. Rev. Lett. 2018, 121, 135102. [Google Scholar] [CrossRef] [PubMed]
- Steinvall, K.; Khotyaintsev, Y.V.; Graham, D.B.; Vaivads, A.; Lindqvist, P.A.; Russell, C.T.; Burch, J.L. Multispacecraft analysis of electron holes. Geophys. Res. Lett. 2019, 46, 55–63. [Google Scholar] [CrossRef]
- Lotekar, A.; Vasko, I.Y.; Mozer, F.S.; Hutchinson, I.; Artemyev, A.V.; Bale, S.D.; Bonnell, J.W.; Ergun, R.; Giles, B.; Khotyaintsev, Y.V.; et al. Multisatellite MMS analysis of electron holes in the Earth’s magnetotail: Origin, properties, velocity gap, and transverse instability. J. Geophys. Res. Space Phys. 2020, 125, e2020JA028066. [Google Scholar] [CrossRef]
- Wang, R.; Vasko, I.Y.; Artemyev, A.V.; Holley, L.C.; Kamaletdinov, S.R.; Lotekar, A.; Mozer, F.S. Multisatellite observations of ion holes in the Earth’s plasma sheet. Geophys. Res. Lett. 2022, 49, e2022GL097919. [Google Scholar] [CrossRef]
- Dubouloz, N.; Pottelette, R.; Malingre, M.; Treumann, R.A. Generation of broadband electrostatic noise by electron acoustic solitons. Geophys. Res. Lett. 1991, 18, 155–158. [Google Scholar] [CrossRef]
- Berthomier, M.; Pottelette, R.; Malingre, M. Solitary waves and weak double layers in a two-electron temperature auroral plasma. J. Geophys. Res. 1998, 103, 4261–4270. [Google Scholar] [CrossRef]
- Kakad, A.P.; Singh, S.V.; Reddy, R.V.; Lakhina, G.S.; Tagare, S.G.; Verheest, F. Generation mechanism for electron acoustic solitary waves. Phys. Plasmas 2007, 14, 052305. [Google Scholar] [CrossRef]
- Lakhina, G.S.; Singh, S.V.; Kakad, A.P.; Goldstein, M.L.; Viñas, A.F.; Pickett, J.S. A mechanism for electrostatic solitary structures in the Earth’s magnetosheath. J. Geophys. Res. 2009, 114, A09212. [Google Scholar] [CrossRef]
- Lakhina, G.S.; Singh, S.V.; Kakad, A.P.; Pickett, J.S. Generation of electrostatic solitary waves in the plasma sheet boundary layer. J. Geophys. Res. 2011, 116, A10218. [Google Scholar] [CrossRef]
- Kakad, A.; Omura, Y.; Kakad, B. Experimental evidence of ion acoustic soliton chain formation and validation of nonlinear fluid theory. Phys. Plasmas 2013, 20, 062103. [Google Scholar] [CrossRef]
- Kakad, B.; Kakad, A.; Omura, Y. Nonlinear evolution of ion acoustic solitary waves in space plasmas: Fluid and particle-in-cell simulations. J. Geophy. Res. Space Phys. 2014, 119, 5589–5599. [Google Scholar] [CrossRef]
- Lakhina, G.S.; Singh, S.V.; Rubia, R. A mechanism for electrostatic solitary waves observed in the reconnection jet region of the Earth’s magnetotail. Adv. Space Res. 2021, 67, 1864–1875. [Google Scholar] [CrossRef]
- Lakhina, G.S.; Singh, S.V.; Rubia, R.; Sreeraj, T. A review of nonlinear fluid models for ion-and electron-acoustic solitons and double layers: Application to weak double layers and electrostatic solitary waves in the solar wind and the lunar wake. Phys. Plasmas 2018, 25, 080501. [Google Scholar] [CrossRef]
- Lakhina, G.S.; Singh, S.V.; Rubia, R.; Devanandhan, S. Electrostatic Solitary Structures in Space Plasmas: Soliton Perspective. Plasma 2021, 4, 681–731. [Google Scholar] [CrossRef]
- Norgren, C.; Andre, M.; Vaivads, A.; Khotyaintsev, Y.V. Slow electron phase space holes: Magnetotail observations. Geophys. Res. Lett. 2015, 42, 1654–1661. [Google Scholar] [CrossRef]
- Kamaletdinov, S.R.; Hutchinson, I.H.; Vasko, I.Y.; Artemyev, A.V.; Lotekar, A.; Mozer, F.S. Spacecraft observations and theoretical understanding of slow electron holes. Phys. Rev. Lett. 2021, 127, 165101. [Google Scholar] [CrossRef]
- Shaikh, Z.I.; Vasko, I.Y.; Hutchinson, I.H.; Kamaletdinov, S.R.; Holmes, J.C.; Newman, D.L.; Mozer, F.S. Slow Electron Holes in the Earth’s Magnetosheath. J. Geophys. Res. 2024, 129, e2023JA032059. [Google Scholar] [CrossRef]
- Hutchinson, I.H. How can slow plasma electron holes exist? Phys. Rev. E 2021, 104, 015208. [Google Scholar] [CrossRef]
- Kakad, A.; Kakad, B.; Anekallu, C.; Lakhina, G.; Omura, Y.; Fazakerley, A. Slow electrostatic solitary waves in Earth’s plasma sheet boundary layer. J. Geophys. Res. 2016, 121, 4452–4465. [Google Scholar] [CrossRef]
- Sagdeev, R.Z. Cooperative Phenomena and Shock Waves in Collisionless Plasmas. In Reviews of Plasma Physics; Leontovich, M.A., Ed.; Consultant Bureu: New York, NY, USA, 1966; Volume 4, pp. 23–91. [Google Scholar]
- Rufai, O.R.; Khazanov, G.V.; Singh, S.V.; Lakhina, G.S. Large-amplitude electrostatic fluctuations at the Earth’s magnetopause with a vortex-like distribution of hot electrons. Results Phys. 2022, 35, 105343. [Google Scholar] [CrossRef]
- Schamel, H. Stationary solitary, snoidal and sinusoidal ion acoustic waves. Plasma Phys. 1972, 14, 905–924. [Google Scholar] [CrossRef]
- Schamel, H. Theory of Electron Holes. Phys. Scr. 1979, 20, 336–342. [Google Scholar] [CrossRef]
- Mushtaq, A.; Ikram, M.; Clark, R.E.H. Electrostatic Solitary Waves in Pair-ion Plasmas with Trapped Electrons. Braz. J. Phys. 2014, 44, 614–621. [Google Scholar] [CrossRef]
- Lakhina, G.S.; Singh, S.V.; Kakad, A.P. Ion acoustic solitons/double layers in two-ion plasma revisited. Phys. Plasmas 2014, 21, 062311. [Google Scholar] [CrossRef]
- Lakhina, G.S.; Singh, S.V.; Rubia, R. A new class of Ion-acoustic solitons that can exist below critical Mach number. Phys. Scr. 2020, 95, 105601. [Google Scholar] [CrossRef]
- Maharaj, S.K.; Bharuthram, R.; Singh, S.V.; Lakhina, G.S. Existence domains of arbitrary amplitude nonlinear structures in two-electron temperature space plasmas. I. Low-frequency ion-acoustic solitons. Phys. Plasmas 2012, 19, 072320. [Google Scholar] [CrossRef]
- Dubinov, A.E. Mathematical tricks for pseudopotentials in the theories of nonlinear waves in plasmas. Phys. Plasmas 2022, 29, 020901. [Google Scholar] [CrossRef]
- Verheest, F.; Hellberg, M.A. Fast and slow beam mode ion-acoustic solitons in plasmas with counterstreaming cold protons. Phys. Scr. 2021, 96, 045603. [Google Scholar] [CrossRef]
- Franz, J.R.; Kintner, P.M.; Pickett, J.S.; Chen, L.J. Properties of small-amplitude electron phase-space holes observed by Polar. J. Geophys. Res. 2005, 110, A09212. [Google Scholar] [CrossRef]
- Washimi, H.; Taniuti, T. Propagation of Ion-Acoustic Solitary Waves of Small Amplitude. Phys. Rev. Lett. 1966, 17, 996–998. [Google Scholar] [CrossRef]
- Ghosh, S.S.; Iyengar, A.N.S. Anomalous width variations for ion acoustic rarefactive solitary waves in a warm ion plasma with two electron temperatures. Phys. Plasmas 1997, 4, 3204–3210. [Google Scholar] [CrossRef]
- Ghosh, S.S.; Lakhina, G.S. Anomalous width variation of rarefactive ion acoustic solitary waves in the context of auroral plasmas. Nonlinear Proc. Geoph. 2004, 11, 219–228. [Google Scholar] [CrossRef]
- Singh, S.V.; Reddy, R.V.; Lakhina, G.S. Broadband electrostatic noise due to nonlinear electron-acoustic waves. Adv. Space Res. 2001, 28, 1643–1648. [Google Scholar] [CrossRef]
- Ghosh, S.S.; Pickett, J.S.; Lakhina, G.S.; Winningham, J.D.; Lavraud, B.; Décréau, P.M.E. Parametric analysis of positive amplitude electron acoustic solitary waves in a magnetized plasma and its application to boundary layers. J. Geophys. Res. 2008, 113, A06218. [Google Scholar] [CrossRef]
- Lakhina, G.S.; Kakad, A.P.; Singh, S.V.; Verheest, F. Ion- and electron-acoustic solitons in two-electron temperature space plasmas. Phys. Plasmas 2008, 15, 062903. [Google Scholar] [CrossRef]
- Lakhina, G.S.; Singh, S.V.; Kakad, A.P.; Verheest, F.; Bharuthram, R. Study of nonlinear ion- and electron-acoustic waves in multi-component space plasmas. Nonlinear Process. Geophys. 2008, 15, 903–913. [Google Scholar] [CrossRef]
- Devanandhan, S.; Singh, S.V.; Lakhina, G.S. Electron acoustic solitary waves with kappa-distributed electrons. Phys. Scr. 2011, 84, 025507. [Google Scholar] [CrossRef]
- Dillard, C.S.; Vasko, I.Y.; Mozer, F.S.; Agapitov, O.V.; Bonnell, J.W. Electron-acoustic solitary waves in the Earth’s inner magnetosphere. Phys. Plasmas 2018, 25, 022905. [Google Scholar] [CrossRef]
- Lakhina, G.S.; Singh, S.V.; Sreeraj, T.; Devanandhan, S.; Rubia, R. A Mechanism for Large-Amplitude Parallel Electrostatic Waves Observed at the Magnetopause. Plasma 2023, 6, 346–361. [Google Scholar] [CrossRef]






| Mode | Feature | Mach Number | V (km s−1) | W (m) | E (mV m−1) | (V) |
|---|---|---|---|---|---|---|
| Slow ion- | −2.87 | −631 | 816 | ±4.95 | 4.55 | |
| SIA1 | acoustic | −2.88 | −634 | 636 | ±8.16 | 6.20 |
| anti-parallel to | −2.9 | −638 | 483 | ±11.8 | 7.70 | |
| Slow ion- | −3.26 | −717 | 1278 | ±0.87 | 1.13 | |
| SIA2 | acoustic | −3.25 | −715 | 792 | ±2.47 | 2.25 |
| anti-parallel to | −3.24 | −713 | 567 | ±4.49 | 3.28 | |
| Fast ion- | 3.8 | 836 | 1242 | ±1.13 | 1.51 | |
| FIA1 | acoustic | 3.82 | 840 | 648 | ±6.15 | 5.57 |
| parallel to | 3.83 | 843 | 501 | ±9.57 | 5.98 | |
| Fast ion- | −6.9 | −1518 | 1299 | ±0.41 | 0.57 | |
| FIA2 | acoustic | −6.91 | −1520 | 729 | ±1.91 | 1.65 |
| anti-parallel to | −6.915 | −1521 | 558 | ±2.90 | 1.99 |
Disclaimer/Publisher’s Note: The statements, opinions and data contained in all publications are solely those of the individual author(s) and contributor(s) and not of MDPI and/or the editor(s). MDPI and/or the editor(s) disclaim responsibility for any injury to people or property resulting from any ideas, methods, instructions or products referred to in the content. |
© 2024 by the authors. Licensee MDPI, Basel, Switzerland. This article is an open access article distributed under the terms and conditions of the Creative Commons Attribution (CC BY) license (https://creativecommons.org/licenses/by/4.0/).
Share and Cite
Lakhina, G.S.; Singh, S. A Mechanism for Slow Electrostatic Solitary Waves in the Earth’s Plasma Sheet. Plasma 2024, 7, 904-919. https://doi.org/10.3390/plasma7040050
Lakhina GS, Singh S. A Mechanism for Slow Electrostatic Solitary Waves in the Earth’s Plasma Sheet. Plasma. 2024; 7(4):904-919. https://doi.org/10.3390/plasma7040050
Chicago/Turabian StyleLakhina, Gurbax Singh, and Satyavir Singh. 2024. "A Mechanism for Slow Electrostatic Solitary Waves in the Earth’s Plasma Sheet" Plasma 7, no. 4: 904-919. https://doi.org/10.3390/plasma7040050
APA StyleLakhina, G. S., & Singh, S. (2024). A Mechanism for Slow Electrostatic Solitary Waves in the Earth’s Plasma Sheet. Plasma, 7(4), 904-919. https://doi.org/10.3390/plasma7040050

