Effect of Cathode Cooling in Three-Dimensional Simulations of an Atmospheric Pressure Glow Discharge
Abstract
1. Introduction
2. Materials and Methods
2.1. Mathematical Model
2.1.1. Transport Equations
2.1.2. Chemical Kinetics
2.1.3. Near-Electrode Region Model
2.1.4. Thermodynamic and Transport Properties
2.1.5. Model Summary
2.2. Computational Model
2.2.1. Solution Approach
- Stage 1: Two time steps during which only the total mass and momentum conservation equations are updated.
- Stage 2: Two time steps during which the heavy-species energy conservation equation is updated.
- Stage 3: Two time steps during which the electron energy conservation equation is updated.
- Stage 4: Four time steps during which the mass fraction conservation equations are updated alongside the charge conservation equation.
2.2.2. Computational Domain
2.2.3. Boundary and Initial Conditions
3. Results and Discussion
3.1. Representative Characteristics of the APGD
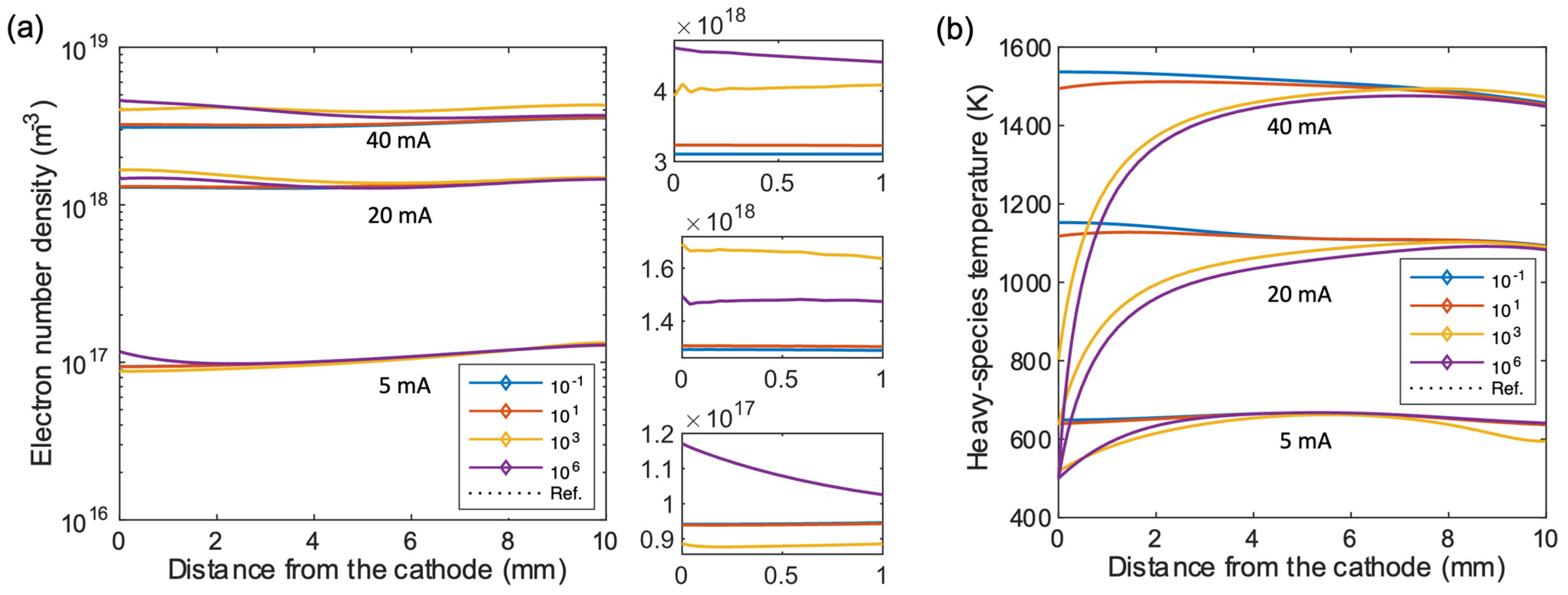
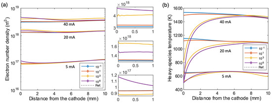
3.2. Effect of Current and Cathode Cooling on APGD Characteristics
3.3. Near-Cathode Characteristics
4. Conclusions
Author Contributions
Funding
Institutional Review Board Statement
Informed Consent Statement
Data Availability Statement
Conflicts of Interest
References
- National Academies of Sciences, Engineering, and Medicine. Plasma Science: Enabling Technology, Sustainability, Security, and Exploration; National Academies Press: Washington, DC, USA, 2021. [Google Scholar]
- Sainct, F.P.; Durocher-Jean, A.; Gangwar, R.K.; Mendoza Gonzalez, N.Y.; Coulombe, S.; Stafford, L. Spatially-Resolved Spectroscopic Diagnostics of a Miniature RF Atmospheric Pressure Plasma Jet in Argon Open to Ambient Air. Plasma 2020, 3, 38–53. [Google Scholar] [CrossRef]
- Trenchev, G.; Nikiforov, A.; Wang, W.; Bogaerts, A. Atmospheric Pressure Glow Discharge for CO2 Conversion: Model-based Exploration of the Optimum Reactor Configuration. Chem. Eng. J. 2019, 362, 830–841. [Google Scholar] [CrossRef]
- Arkhipenko, V.; Kirillov, A.; Safronau, Y.A.; Simonchik, L.; Zgirouski, S. Self-sustained DC Atmospheric Pressure Normal Glow Discharge In Helium: From Microamps To Amps. Plasma Sources Sci. Technol. 2009, 18, 045013. [Google Scholar] [CrossRef]
- Trelles, J.P. Pattern Formation and Self-Organization In Plasmas Interacting With Surfaces. J. Phys. D Appl. Phys. 2016, 49, 393002. [Google Scholar] [CrossRef]
- Alves, L.L.; Bogaerts, A.; Guerra, V.; Turner, M.M. Foundations of Modelling of Nonequilibrium Low-Temperature Plasmas. Plasma Sources Sci. Technol. 2018, 27, 023002. [Google Scholar] [CrossRef]
- Cejas, E.; Mancinelli, B.; Prevosto, L. Modelling of an Atmospheric–Pressure Air Glow Discharge Operating in High–Gas Temperature Regimes: The Role of the Associative Ionization Reactions Involving Excited Atoms. Plasma 2020, 3, 12–26. [Google Scholar] [CrossRef]
- Baeva, M.; Cressault, Y.; Kloc, P. Comparative Studies on the Radiative Heat Transfer in Arc Plasma and Its Impact in a Model of a Free-Burning Arc. Plasma 2024, 7, 631–650. [Google Scholar] [CrossRef]
- Maerivoet, S.; Tsonev, I.; Slaets, J.; Reniers, F.; Bogaerts, A. Coupled multi-dimensional modelling of warm plasmas: Application and validation for an atmospheric pressure glow discharge in CO2/CH4/O2. Chem. Eng. J. 2024, 492, 152006. [Google Scholar] [CrossRef]
- Benilov, M.; Almeida, P.; Ferreira, N.; Almeida, R.; Naidis, G. A practical guide to modeling low-current quasi-stationary gas discharges: Eigenvalue, stationary, and time-dependent solvers. J. Appl. Phys. 2021, 130, 121101. [Google Scholar] [CrossRef]
- Trelles, J.P. Formation of Self-Organized Anode Patterns In Arc Discharge Simulations. Plasma Sources Sci. Technol. 2013, 22, 025017. [Google Scholar] [CrossRef]
- Trelles, J.P.; Modirkhazeni, S.M. Variational Multiscale Method For Nonequilibrium Plasma Flows. Comput. Methods Appl. Mech. Eng. 2014, 282, 87–131. [Google Scholar] [CrossRef]
- Boutrouche, V.; Trelles, J.P. Three-dimensional Modelling of A Self-Sustained Atmospheric Pressure Glow Discharge. J. Phys. D Appl. Phys. 2022, 55, 485201. [Google Scholar] [CrossRef]
- Bieniek, M.; Hasan, M. Modeling of DC Micro-Glow Discharges In Atmospheric Pressure Helium Self-Organizing on Cathodes. Phys. Plasmas 2022, 29, 034503. [Google Scholar] [CrossRef]
- Benilov, M. Multiple solutions in The Theory of Dc Glow Discharges and Cathodic Part of Arc Discharges. Plasma Sources Sci. Technol. 2014, 23, 054019. [Google Scholar] [CrossRef]
- Sun, S.; Kolev, S.; Wang, H.; Bogaerts, A. Coupled Gas Flow-Plasma Model for A Gliding Arc: Investigations of The Back-Breakdown Phenomenon and Its Effect on The Gliding Arc Characteristics. Plasma Sources Sci. Technol. 2016, 26, 015003. [Google Scholar] [CrossRef]
- Zhang, H.; Zhang, H.; Trenchev, G.; Li, X.; Wu, Y.; Bogaerts, A. Multi-dimensional Modelling of A Magnetically Stabilized Gliding Arc Plasma in Argon and CO2. Plasma Sources Sci. Technol. 2020, 29, 045019. [Google Scholar] [CrossRef]
- Hagelaar, G.; Pitchford, L.C. Solving the Boltzmann equation to Obtain Electron Transport Coefficients and Rate Coefficients for Fluid Models. Plasma Sources Sci. Technol. 2005, 14, 722. [Google Scholar] [CrossRef]
- Pancheshnyi, S.; Biagi, S.; Bordage, M.; Hagelaar, G.; Morgan, W.; Phelps, A.; Pitchford, L. The LXCat project: Electron Scattering Cross Sections and Swarm Parameters for Low Temperature Plasma Modeling. Chem. Phys. 2012, 398, 148–153. [Google Scholar] [CrossRef]
- Lazarou, C.; Belmonte, T.; Chiper, A.; Georghiou, G.E. Numerical Modelling of The Effect of Dry Air Traces in A Helium Parallel Plate Dielectric Barrier Discharge. Plasma Sources Sci. Technol. 2016, 25, 055023. [Google Scholar] [CrossRef]
- Lazarou, C.; Anastassiou, C.; Topala, I.; Chiper, A.; Mihaila, I.; Pohoata, V.; Georghiou, G.E. Numerical Simulation of Capillary Helium and Helium−Oxygen Atmospheric Pressure Plasma Jets: Propagation Dynamics and Interaction with Dielectric. Plasma Sources Sci. Technol. 2018, 27, 105007. [Google Scholar] [CrossRef]
- Wang, Q.; Economou, D.J.; Donnelly, V.M. Simulation of a Direct Current Microplasma Discharge In Helium at Atmospheric Pressure. J. Appl. Phys. 2006, 100, 023301. [Google Scholar] [CrossRef]
- Konstantinovskii, R.; Shibkov, V.; Shibkova, L. Effect of a Gas Discharge on The Ignition in the Hydrogen-Oxygen System. Kinet. Catal. 2005, 46, 775–788. [Google Scholar] [CrossRef]
- Deloche, R.; Monchicourt, P.; Cheret, M.; Lambert, F. High-pressure Helium Afterglow at Room Temperature. Phys. Rev. A 1976, 13, 1140. [Google Scholar] [CrossRef]
- Gordillo-Vázquez, F.J. Air Plasma Kinetics Under The Influence of Sprites. J. Phys. D Appl. Phys. 2008, 41, 234016. [Google Scholar] [CrossRef]
- Golubovskii, Y.B.; Maiorov, V.; Behnke, J.; Behnke, J. Modelling of the Homogeneous Barrier Discharge in Helium At Atmospheric Pressure. J. Phys. D Appl. Phys. 2002, 36, 39. [Google Scholar] [CrossRef]
- Chapman, S.; Cowling, T. The Mathematical Theory of Non Uniform Gases. Cambridge Mathematical Library; Cambridge University Press: Cambridge, UK, 1970. [Google Scholar]
- Al-Mamun, S.A.; Tanaka, Y.; Uesugi, Y. Two-temperature Two-Dimensional Non-Chemical Equilibrium Modeling of Ar–CO2–H2 Induction Thermal Plasmas at Atmospheric Pressure. Plasma Chem. Plasma Process. 2010, 30, 141–172. [Google Scholar] [CrossRef]
- Bruno, D.; Catalfamo, C.; Capitelli, M.; Colonna, G.; De Pascale, O.; Diomede, P.; Gorse, C.; Laricchiuta, A.; Longo, S.; Giordano, D. Transport Properties of High-Temperature Jupiter Atmosphere Components. Phys. Plasmas 2010, 17, 112315. [Google Scholar] [CrossRef]
- Chicheportiche, A.; Benhenni, M.; Yousfi, M.; Lepetit, B.; Kalus, R.; Gadea, F.X. Ion Collision Cross Sections and Transport Coefficients Extended to Intermediate Energies and Reduced Electric Fields for He2+ Ions Colliding with He. Phys. Rev. E 2013, 88, 043104. [Google Scholar] [CrossRef]
- Chanin, L.M.; Biondi, M.A. Temperature Dependence of Ion Mobilities in Helium, Neon, and Argon. Phys. Rev. 1957, 106, 473. [Google Scholar] [CrossRef]
- Saxena, V.; Saxena, S. Measurement of the Thermal Conductivity of Helium Using a Hot-Wire Type of Thermal Diffusion Column. J. Phys. D Appl. Phys. 1968, 1, 1341. [Google Scholar] [CrossRef]









| Reaction | Rate Coefficient | Energy | ||||
|---|---|---|---|---|---|---|
| # | (m3·s−1, m6·s−1) | (eV) | Ref. | |||
| 1 | 0 | [19] | ||||
| 2 | 19.82 | [19] | ||||
| 3 | 24.58 | [19] | ||||
| 4 | 4.78 | [24] | ||||
| 5 | −19.82 | [25] | ||||
| 6 | −17.9 | [25] | ||||
| 7 | −4.78 | [24] | ||||
| 8 | 0.0 | [25] | ||||
| 9 | 0.0 | [25] | ||||
| 10 | 0.0 | [25] | ||||
| 11 | 0.0 | [25] | ||||
| 12 | −18.2 | [23] | ||||
| 13 | −15.8 | [23] | ||||
| 14 | 0.0 | [23] | ||||
| 15 | 0.0 | [23] | ||||
| 16 | −13.5 | [25] | ||||
| 17 | −15.9 | [25] | ||||
| 18 | −11.3 | [25] | ||||
| 19 | −13.7 | [25] | ||||
| 20 | 0.0 | [26] | ||||
| 21 | 0.0 | [24] | ||||
| 22 | 0.0 | [27] | ||||
| 23 | 3.4 | [23] | ||||
| Species | Electrical Mobility | Diffusion Coefficient | |
|---|---|---|---|
| (m2·s−1·V−1) | (m2·s−1) | Ref. | |
| [23] | |||
| - | [25] | ||
| [23] | |||
| - | [25] | ||
| [23] |
| Conservation Equation | Transient | Advective | Diffusive | Reactive |
|---|---|---|---|---|
| Total mass | ||||
| Momemtum | ||||
| Heavy-species energy | ||||
| Electron energy | ||||
| Charge | ||||
| Species He* | ||||
| Species He+ | ||||
| Species He2* | ||||
| Species He2+ |
| Variable | Anode | Inlet | Outlet | Cathode |
|---|---|---|---|---|
Disclaimer/Publisher’s Note: The statements, opinions and data contained in all publications are solely those of the individual author(s) and contributor(s) and not of MDPI and/or the editor(s). MDPI and/or the editor(s) disclaim responsibility for any injury to people or property resulting from any ideas, methods, instructions or products referred to in the content. |
© 2024 by the authors. Licensee MDPI, Basel, Switzerland. This article is an open access article distributed under the terms and conditions of the Creative Commons Attribution (CC BY) license (https://creativecommons.org/licenses/by/4.0/).
Share and Cite
Boutrouche, V.; Trelles, J.P. Effect of Cathode Cooling in Three-Dimensional Simulations of an Atmospheric Pressure Glow Discharge. Plasma 2024, 7, 920-938. https://doi.org/10.3390/plasma7040051
Boutrouche V, Trelles JP. Effect of Cathode Cooling in Three-Dimensional Simulations of an Atmospheric Pressure Glow Discharge. Plasma. 2024; 7(4):920-938. https://doi.org/10.3390/plasma7040051
Chicago/Turabian StyleBoutrouche, Valentin, and Juan Pablo Trelles. 2024. "Effect of Cathode Cooling in Three-Dimensional Simulations of an Atmospheric Pressure Glow Discharge" Plasma 7, no. 4: 920-938. https://doi.org/10.3390/plasma7040051
APA StyleBoutrouche, V., & Trelles, J. P. (2024). Effect of Cathode Cooling in Three-Dimensional Simulations of an Atmospheric Pressure Glow Discharge. Plasma, 7(4), 920-938. https://doi.org/10.3390/plasma7040051

