Analysis of ICRF Heating Schemes in ITER Non-Active Plasmas Using PION+ETS Integrated Modeling
Abstract
1. Introduction
2. Methodology
2.1. PION
2.2. ETS
3. Modeling and Results
3.1. Fundamental H Minority Heating in 4He Plasma at 2.65 T/7.5 MA
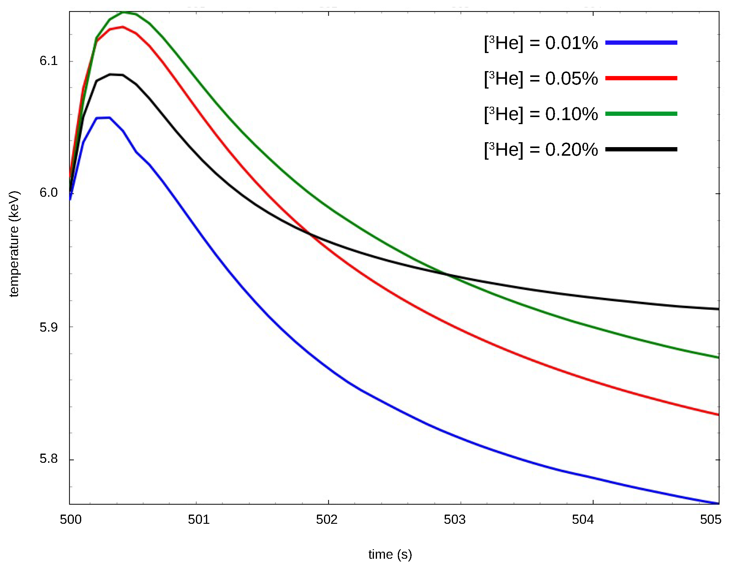
3.2. Three-Ion Scheme 3He-H-4He in H Plasma at 3.3 T/8.8 MA
4. Conclusions
Author Contributions
Funding
Data Availability Statement
Acknowledgments
Conflicts of Interest
References
- ITER Organization. ITER Technical Report ITR-18-003; ITER Organization: Saint-Paul-lez-Durance, France, 2018. [Google Scholar]
- Coblentz, L. ITER Council Meeting: ITER Project Making Progress, Preparing Updated Baseline; ITER Organization: Saint-Paul-lez-Durance, France, 2023. [Google Scholar]
- Stix, T. Waves in Plasmas; Springer: New York, NY, USA, 1992. [Google Scholar]
- Schneider, M.; Artaud, J.-F.; Bonoli, P.; Kazakov, Y.; Lamalle, P.; Lerche, E.; Van Eester, D.; Wright, J. ICRF heating schemes for the ITER non-active phase. EPJ Web Conf. 2017, 157, 03046. [Google Scholar] [CrossRef][Green Version]
- Kazakov, Y.O.; Van Eester, D.; Dumont, R.; Ongena, J. On resonant ICRF absorption in three-ion component plasmas: A new promising tool for fast ion generation. Nucl. Fusion 2015, 55, 032001. [Google Scholar] [CrossRef]
- Eriksson, L.-G.; Hellsten, T.; Willen, U. Comparison of time dependent simulations with experiments in ion cyclotron heated plasmas. Nucl. Fusion 1993, 33, 1037. [Google Scholar] [CrossRef]
- Coster, D.P.; Basiuk, V.; Pereverzev, G.; Kalupin, D.; Zagórski, R.; Stankiewicz, R.; Huynh, P.; Imbeaux, F. The European Transport Solver. IEEE Trans. Plasma Sci. 2010, 38, 2085–2092. [Google Scholar] [CrossRef]
- Ryter, F.; Orte, L.B.; Kurzan, B.; McDermott, R.M.; Tardini, G.; Viezzer, E.; Bernert, M.; Fischer, R.; The ASDEX Upgrade Team. Experimental evidence for the key role of the ion heat channel in the physics of the L–H transition. Nucl. Fusion 2014, 54, 083003. [Google Scholar] [CrossRef]
- Eriksson, L.G.; Hellsten, T. A model for calculating ICRH power deposition and velocity distribution. Phys. Scr. 1995, 52, 70. [Google Scholar] [CrossRef]
- Hellsten, T.; Eriksson, L.G. A modelling scheme for the direct electron heating profiles during ion cyclotron resonance heating. Nucl. Fusion 1989, 29, 2165. [Google Scholar] [CrossRef]
- Start, D.F.H.; Jacquinot, J.; Bergeaud, V.; Bhatnagar, V.P.; Cottrell, G.A.; Clement, S.; Eriksson, L.-G.; Fasoli, A.; Gondhalekar, A.; Gormezano, C.; et al. D-T Fusion with Ion Cyclotron Resonance Heating in the JET Tokamak. Phys. Rev. Lett. 1998, 80, 4681. [Google Scholar] [CrossRef]
- Start, D.F.H.; Jacquinot, J.; Bergeaud, V.; Bhatnagar, V.P.; Conroy, S.W.; Cottrell, G.A.; Clement, S.; Ericsson, G.; Eriksson, L.-G.; Fasoli, A.; et al. Bulk ion heating with ICRH in JET DT plasmas. Nucl. Fusion 1999, 39, 321. [Google Scholar] [CrossRef]
- Mantsinen, M.J.; Eriksson, L.-G.; Bhatnagar, V.P.; Cottrell, G.A.; Gondhalekar, A.; Gormezano, C.; König, R.; Lomas, P.; Righi, E.; Rimini, F.G.; et al. Analysis of bulk ion heating with ICRH in JET high-performance plasmas. Plasma Phys. Control. Fusion 1999, 41, 843. [Google Scholar] [CrossRef]
- Mantsinen, M.J.; Eriksson, L.-G.; Gondhalekar, A.; Hellsten, T. Evidence for regions of nearly suppressed velocity space diffusion caused by finite Larmor radius effects during ICRF heating. Nucl. Fusion 1999, 39, 459. [Google Scholar] [CrossRef][Green Version]
- Mantsinen, M.J.; Jarvis, O.N.; Kiptily, V.G.; Sharapov, S.E.; Alper, B.; Eriksson, L.-G.; Gondhalekar, A.; Heeter, R.F.; McDonald, D.C. First observation of pT fusion in JET tritium plasmas with ICRF heating of protons. Nucl. Fusion 2001, 41, 1815. [Google Scholar] [CrossRef]
- Eriksson, L.-G.; Mantsinen, M.J.; Rimini, F.G.; Nguyen, F.; Gormezano, C.; Start, D.F.H.; Gondhalekar, A. ICRF heating of JET plasmas with the third harmonic deuterium resonance. Nucl. Fusion 1998, 38, 265. [Google Scholar] [CrossRef]
- Eriksson, L.-G.; Mantsinen, M.J.; Bhatnagar, V.P.; Gondhalekar, A.; Gormezano, C.; Harbour, P.J.; Hellsten, T.; Jacquinot, J.; Jäckel, H.J.; Lawson, K.; et al. Theoretical analysis of ICRF heating in JET DT plasmas. Nucl. Fusion 1999, 39, 337–352. [Google Scholar] [CrossRef]
- Sharapov, S.E.; Borba, D.; Fasoli, A.; Kerner, W.; Eriksson, L.-G.; Heeter, R.F.; Huysmans, G.T.A.; Mantsinen, M.J. Stability of alpha particle driven Alfvén eigenmodes in high performance JET DT plasmas. Nucl. Fusion 1999, 39, 373. [Google Scholar] [CrossRef]
- Mantsinen, M.J.; Mayoral, M.-L.; Kiptily, V.G.; Sharapov, S.E.; Alper, B.; Bickley, A.; de Baar, M.; Eriksson, L.-G.; Gondhalekar, A.; Hellsten, T.; et al. Alpha-Tail Production with Ion-Cyclotron-Resonance Heating of 4He-Beam Ions in JET Plasmas. Phys. Rev. Lett. 2002, 88, 105002. [Google Scholar] [CrossRef]
- Salmi, A.; Mantsinen, M.J.; Beaumont, P.; de Vries, P.; Eriksson, L.-G.; Gowers, C.; er Hel, P.; Laxåback, M.; Noterdaeme, J.-M.; Testa, D.; et al. JET experiments to assess the clamping of the fast ion energy distribution during ICRF heating due to finite Larmor radius effects. Plasma Phys. Control. Fusion 2006, 48, 717. [Google Scholar] [CrossRef][Green Version]
- Mantsinen, M.J.; Eriksson, J.; Challis, C.; Frigione, D.; Garcia, J.; Giroud, C.; Hjalmarsson, A.; King, D.B.; JET Contributors. ICRH analysis of high-performance JET hybrid discharges using PION modelling and neutron spectrometry measurements. In Proceedings of the 42nd EPS Conference on Plasma Physics, Lisbon, Portugal, 22–26 June 2015; p. P2.171. [Google Scholar]
- Mantsinen, M.; Challis, C.; Frigione, D.; Graves, J.; Hobirk, J.; Belonohy, E.; Czarnecka, A.; Eriksson, J.; Gallart, D.; Goniche, M.; et al. The Role of Combined ICRF and NBI Heating in JET Hybrid Plasmas in Quest for High D-T Fusion Yield. EPJ Web Conf. 2017, 157, 03032. [Google Scholar] [CrossRef]
- Gallart, D.; Mantsinen, M.; Challis, C.; Frigione, D.; Graves, J.; Hobirk, J.; Belonohy, E.; Czarnecka, A.; Eriksson, J.; Goniche, M.; et al. Modelling of combined ICRF and NBI heating in JET hybrid plasmas. EPJ Web Conf. 2017, 157, 03015. [Google Scholar] [CrossRef][Green Version]
- Garcia, J.; Challis, C.; Gallart, D.; Garzotti, L.; Görler, T.; King, D.; Mantsinen, M.; JET Contributors. Challenges in the extrapolation from DD to DT plasmas: Experimental analysis and theory based predictions for JET-DT. Plasma Phys. Control. Fusion 2017, 59, 014023. [Google Scholar] [CrossRef]
- Mantsinen, M.J.; Gallart, D.; Belonohy, E.; Challis, C.; Czarnecka, A.; Eriksson, J.; Frigione, D.; Graves, J.; Goniche, M.; Hellesen, C.; et al. Optimising the use of ICRF waves in JET hybrid plasmas for high fusion yield. In Proceedings of the 44th EPS Conference on Plasma Physics, Belfast, UK, 26–30 June 2017; p. O3.110. [Google Scholar]
- Gallart, D.; Mantsinen, M.J.; Challis, C.; Frigione, D.; Graves, J.; Belonohy, E.; Casson, F.; Czarnecka, A.; Eriksson, J.; Garcia, J.; et al. Modelling of JET hybrid plasmas with emphasis on performance of combined ICRF and NBI heating. Nucl. Fusion 2018, 58, 106037. [Google Scholar] [CrossRef]
- Hellesen, C.; Mantsinen, M.; Conroy, S.; Ericsson, G.; Eriksson, J.; Kiptily, V.G.; Nabais, F.; JET Contributors. Analysis of resonant fast ion distributions during combined ICRF and NBI heating with transients using neutron emission spectroscopy. Nucl. Fusion 2018, 58, 056021. [Google Scholar] [CrossRef]
- Mantsinen, M.J.; Kazakov, Y.O.; Bobkov, V.; Craciunescu, T.; Gallart, D.; Giacomelli, L.; Kappatou, A.; Nocente, M.; Weil, M. Modelling of three-ion ICRF schemes with PION. In Proceedings of the 46th EPS Conference on Plasma Physics, Milan, Italy, 8–12 July 2019; p. O5.102. [Google Scholar]
- Kazakov, Y.O.; Nocente, M.; Mantsinen, M.J.; Ongena, J.; Baranov, Y.; Craciunescu, T.; Dreval, M.; Dumont, R.; Eriksson, J. Plasma heating and generation of energetic D ions with the 3-ion ICRF + NBI scenario in mixed H-D plasmas at JET-ILW. Nucl. Fusion 2020, 60, 112013. [Google Scholar] [CrossRef]
- Taylor, D.M.A.; Mantsinen, M.J.; Gallart, D.; Manyer, J.; Sirén, P.; JET Contributors. Effect of inclusion of pitch-angle dependence on a simplified model of RF deposition in tokamak plasma. Plasma Phys. Control. Fusion 2022, 64, 055015. [Google Scholar] [CrossRef]
- Gallart, D.; Mantsinen, M.J.; Manyer, J.; Planas, E.; Taylor, D.M.A.; Garcia, J.; Frigione, D.; Garzotti, L.; Kim, H.-T.; Nocente, M.; et al. Prediction of ICRF minority heating schemes for JET D–T experiments. Plasma Phys. Control. Fusion 2022, 64, 125006. [Google Scholar] [CrossRef]
- García-Muñoz, M.; Fahrbach, H.-U.; Günter, S.; Igochine, V.; Mantsinen, M.J.; Maraschek, M.; Martin, P.; Piovesan, P.; Sassenberg, K.; Zohm, H. Fast-Ion Losses due to High-Frequency MHD Perturbations in the ASDEX Upgrade Tokamak. Phys. Rev. Lett. 2008, 100, 055005. [Google Scholar] [CrossRef]
- Mantsinen, M.J.; Bilato, R.; Bobkov, V.V.; Kappatou, A.; McDermott, R.M.; Nocente, M.; Odstrčil, T.; Tardini, G.; Bernert, M.; Dux, R.; et al. Bulk ion heating with ICRF waves in tokamaks. AIP Conf. Proc. 2015, 1689, 030005. [Google Scholar] [CrossRef]
- Mantsinen, M.J.; Bobkov, V.; Gallart, D.; Geiger, B.; Johnson, T.; Meyer, H.; Nocente, M.; Ochoukov, R.; Odstrcil, T.; Perelli, E.; et al. Third harmonic ICRF heating of deuterium beam ions on ASDEX Upgrade. In Proceedings of the 43rd EPS Conference on Plasma Physics, Leuven, Belgium, 4–8 July 2016; p. P1.035. [Google Scholar]
- Sharapov, S.E.; Garcia-Munoz, M.; Van Zeel, M.A.; Bobkov, B.; Classen, I.G.J.; Ferreira, J.; Figueiredo, A.; Fitzgerald, M.; Galdon-Quiroga, J.; Gallart, D.; et al. The effects of electron cyclotron heating and current drive on toroidal Alfvén eigenmodes in tokamak plasmas. Plasma Phys. Control. Fusion 2017, 60, 014026. [Google Scholar] [CrossRef]
- Galdon-Quiroga, J.; Garcia-Munoz, M.; Sanchis-Sanchez, L.; Mantsinen, M.; Fietz, S.; Igochine, V.; Maraschek, M.; Rodriguez-Ramos, M.; Sieglin, B.; Snicker, A.; et al. Velocity space resolved absolute measurement of fast ion losses induced by a tearing mode in the ASDEX Upgrade tokamak. Nucl. Fusion 2018, 58, 036005. [Google Scholar] [CrossRef]
- Mantsinen, M.J.; Bobkov, V.; Gallart, D.; Pütterich, T.; Sauter, O.; the EUROfusion MST1 Team; the ASDEX Upgrade Team. Modelling of ICRF heating in ASDEX Upgrade discharges with pure wave heating relevant to the ITER baseline scenario. In Proceedings of the 45th EPS Conference on Plasma Physics, Prague, Czech Republic, 2–6 July 2018; p. P1.1072. [Google Scholar]
- Manyer, J.; Mantsinen, M.; Gallart, D.; Florido-Llinas, M.; Taylor, D.; Bobkov, V.; Pütterich, T.; Sauter, O.; Weil, M.; the EUROfusion MST1 Team; et al. Modelling of dual-frequency ICRF heating in ASDEX Upgrade discharges relevant to the ITER baseline scenario. In Proceedings of the 47th EPS Conference on Plasma Physics, Virtual, 21–25 June 2021; p. P.5.1055. [Google Scholar]
- Mantsinen, M.J.; Petty, C.C.; Eriksson, L.-G.; Mau, T.K.; Pinsker, R.I.; Porkolab, M. Analysis of combined fast wave current drive and neutral beam injection in the DIII-D tokamak. Phys. Plasmas 2002, 9, 1318. [Google Scholar] [CrossRef]
- Eriksson, L.-G.; Hoang, G.T.; Bergeaud, V. On the role of ion heating in ICRF heated discharges in Tore Supra. Nucl. Fusion 2001, 41, 91. [Google Scholar] [CrossRef]
- Becoulet, A.; the Equipe Tore Supra. Heating and Current Drive System for Tore Supra Steady-State Operation. J. Plasma Fusion Res. 2000, 3, 51. [Google Scholar]
- Arbina, I.L.; Mantsinen, M.J.; Sáez, X.; Gallart, D.; Gutiérrez, A.; Taylor, D.; Johnson, T.; Pinches, S.D.; Schneider, M.; the EUROfusion-IM Team. First applications of the ICRF modelling code PION in the ITER Integrated Modelling and Analysis Suite. In Proceedings of the 46th EPS Conference on Plasma Physics, Milan, Italy, 8–12 July 2019; p. P4.1079. [Google Scholar]
- Imbeaux, F.; Pinches, S.D.; Lister, J.B.; Burav, Y.; Casper, T.; Duval, B.; Guillerminet, B.; Hosokawa, M.; Houlberg, W.; Huynh, P.; et al. Design and first applications of the ITER integrated modelling & analysis suite. Nucl. Fusion 2015, 55, 123006. [Google Scholar] [CrossRef]
- Lamalle, P.U. LPP-ERM/KMS Report 101. Ph.D. Thesis, Université de Mons, Mons, Belgium, 1994. [Google Scholar]
- Van Eester, D.; Lerche, E. Simple 1D Fokker-Planck modelling of ion cyclotron resonance frequency heating at arbitrary cyclotron harmonics accounting for Coulomb relaxation on non-Maxwellian populations. Plasma Phys. Control. Fusion 2011, 53, 9. [Google Scholar] [CrossRef]
- Kalupin, D. Construction of the European transport solver under the European Integrated Tokamak Modelling Task Force. In Proceedings of the 35th EPS Conference on Plasma Physics, Hersonissos, Greece, 9–13 June 2008; Volume 32D, p. P-.5.027. [Google Scholar]
- Bilato, R.; Coster, D.; Dumont, R.; Johnson, T.; Klingshirn, H.-J.; Lerche, E.; Sauter, O.; Brambilla, M.; Figini, L.; Van Eester, D.; et al. ICRF-code benchmark activity in the framework of the European task-force on integrated Tokamak Modelling. AIP Conf. Proc. 2014, 1580, 291–294. [Google Scholar] [CrossRef]
- Koch, R.; Lerche, E.; Van Eester, D.; Nightingale, M. High frequency fast wave current drive for DEMO. AIP Conf. Proc. 2011, 1406, 349–352. [Google Scholar] [CrossRef]
- Van Eester, D.; Koch, R. A variational principle for studying fast-wave mode conversion. Plasma Phys. Control. Fusion 1998, 40, 11. [Google Scholar] [CrossRef]
- Porkolab, M.; Bécoulet, A.; Bonoli, P.T.; Gormezano, C.; Koch, R.; Majeski, R.J.; Messiaen, A.; Noterdaeme, J.M.; Petty, C.; Pinsker, R.; et al. Recent progress in ICRF physics. Plasma Phys. Control. Fusion 1998, 40, A35. [Google Scholar] [CrossRef]
- Brambilla, M. Numerical simulation of ion cyclotron waves in tokamak plasmas. Plasma Phys. Control. Fusion 1999, 41, 1. [Google Scholar] [CrossRef]








| Plasma | Heating | f | ||||
|---|---|---|---|---|---|---|
| Scheme | (T) | (MHz) | (MW) | (m−3) | (keV) | |
| 4He-(H) | 2.65 | 40 | 20 | 3.3 | 10 |
| H | ||||||
|---|---|---|---|---|---|---|
| (%) | (MW) | (MW) | (%) | (%) | (keV) | (keV) |
| 1.0 | 11.5 | 3.92 | 34.2 | 65.8 | 158 | 1719 |
| 2.5 | 15.2 | 0.73 | 26.8 | 73.2 | 153 | 568 |
| 5.0 | 15.6 | 0.40 | 39.9 | 60.1 | 154 | 366 |
| 10 | 15.7 | 0.25 | 48.8 | 52.2 | 173 | 459 |
| Plasma | Heating | f | . | |||
|---|---|---|---|---|---|---|
| Scheme | (T) | (MHz) | (MW) | (m−3) | (keV) | |
| H-4He-(3He) | 3.3 | 40 | 20 | 4.9 | 12 |
| 3He | ||||||
|---|---|---|---|---|---|---|
| (%) | (MW) | (MW) | (%) | (%) | (keV) | (keV) |
| 0.01 | 4.26 | 14.0 | 17.1 | 82.9 | 601 | 775 |
| 0.05 | 8.56 | 9.39 | 51.9 | 48.1 | 510 | 169 |
| 0.10 | 10.5 | 7.18 | 55.7 | 44.3 | 486 | 71.9 |
| 0.20 | 11.3 | 6.08 | 43.8 | 56.2 | 496 | 102 |
Disclaimer/Publisher’s Note: The statements, opinions and data contained in all publications are solely those of the individual author(s) and contributor(s) and not of MDPI and/or the editor(s). MDPI and/or the editor(s) disclaim responsibility for any injury to people or property resulting from any ideas, methods, instructions or products referred to in the content. |
© 2024 by the authors. Licensee MDPI, Basel, Switzerland. This article is an open access article distributed under the terms and conditions of the Creative Commons Attribution (CC BY) license (https://creativecommons.org/licenses/by/4.0/).
Share and Cite
Bensadon, T.; Mantsinen, M.J.; Jonsson, T.; Gallart, D.; Sáez, X.; Manyer, J. Analysis of ICRF Heating Schemes in ITER Non-Active Plasmas Using PION+ETS Integrated Modeling. Plasma 2024, 7, 517-530. https://doi.org/10.3390/plasma7030028
Bensadon T, Mantsinen MJ, Jonsson T, Gallart D, Sáez X, Manyer J. Analysis of ICRF Heating Schemes in ITER Non-Active Plasmas Using PION+ETS Integrated Modeling. Plasma. 2024; 7(3):517-530. https://doi.org/10.3390/plasma7030028
Chicago/Turabian StyleBensadon, Tomas, Mervi J. Mantsinen, Thomas Jonsson, Dani Gallart, Xavier Sáez, and Jordi Manyer. 2024. "Analysis of ICRF Heating Schemes in ITER Non-Active Plasmas Using PION+ETS Integrated Modeling" Plasma 7, no. 3: 517-530. https://doi.org/10.3390/plasma7030028
APA StyleBensadon, T., Mantsinen, M. J., Jonsson, T., Gallart, D., Sáez, X., & Manyer, J. (2024). Analysis of ICRF Heating Schemes in ITER Non-Active Plasmas Using PION+ETS Integrated Modeling. Plasma, 7(3), 517-530. https://doi.org/10.3390/plasma7030028

