Smart Self-Sensing Piezoresistive Composite Materials for Structural Health Monitoring
Abstract
:1. Introduction
2. Materials and Methods
2.1. Specimen Preparation
2.2. Electrodes Fabrication
2.3. Characterization and Testing
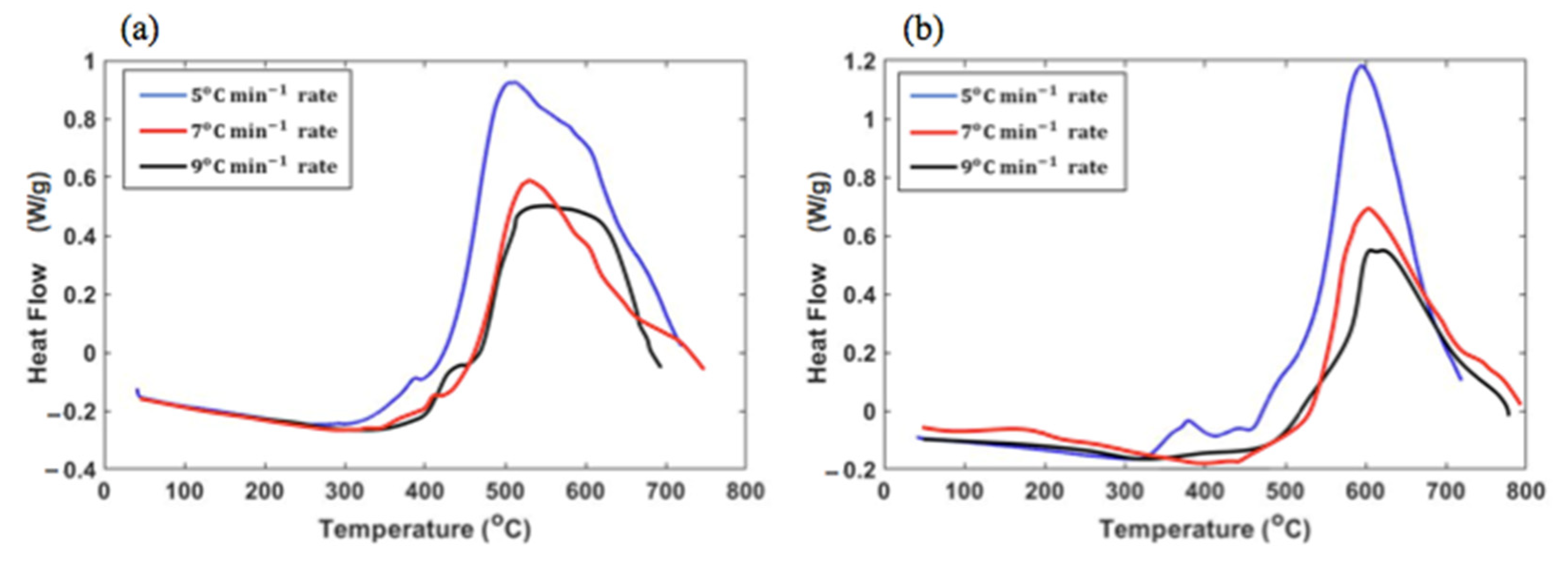
3. Results and Discussion
4. Conclusions
Author Contributions
Funding
Data Availability Statement
Acknowledgments
Conflicts of Interest
References
- Sun, M.; Staszewski, W.J.; Swamy, R.N. Smart Sensing Technologies for Structural Health Monitoring of Civil Engineering Structures. Adv. Civ. Eng. 2010, 2010, 724962. [Google Scholar] [CrossRef] [Green Version]
- Kang, I.; Heung, Y.Y.; Kim, J.H.; Lee, J.W.; Gollapudi, R.; Subramaniam, S.; Narasimhadevara, S.; Hurd, D.; Kirikera, G.R.; Shanov, V.; et al. Introduction to carbon nanotube and nanofiber smart materials. Compos. Part B Eng. 2006, 37, 382–394. [Google Scholar] [CrossRef]
- Qhobosheane, R.G.; Elenchezhian, M.R.P.; Das, P.P.; Rahman, M.; Rabby, M.M.; Vadlamudi, V.; Reifsnider, K.; Raihan, R. Smart Self-Sensing Composite: Piezoelectric and Mag-netostrictive FEA Modeling and Experimental Characterization Using Wireless Detection Systems. Sensors 2020, 20, 6906. [Google Scholar] [CrossRef] [PubMed]
- Liu, L.; Xu, J.; Yin, T.; Wang, Y.; Chu, H. Improved conductivity and piezoresistive properties of Ni-CNTs cement-based composites under magnetic field. Cem. Concr. Compos. 2021, 121, 104089. [Google Scholar] [CrossRef]
- Wang, Y.; Wang, S.; Li, M.; Gu, Y.; Zhang, Z. Piezoresistive response of carbon nanotube composite film under laterally compressive strain. Sens. Actuators A Phys. 2018, 273, 140–146. [Google Scholar] [CrossRef]
- Sanli, A.; Müller, C.; Kanoun, O.; Elibol, C.; Wagner, M.F.-X. Piezoresistive characterization of multi-walled carbon nanotube-epoxy based flexible strain sensitive films by impedance spectroscopy. Compos. Sci. Technol. 2016, 122, 18–26. [Google Scholar] [CrossRef]
- Sanli, A.; Benchirouf, A.; Müller, C.; Kanoun, O. Piezoresistive performance characterization of strain sensitive multi-walled carbon nanotube-epoxy nanocomposites. Sens. Actuators A Phys. 2017, 254, 61–68. [Google Scholar] [CrossRef]
- Al-Sabagh, A.; Taha, E.; Kandil, U.; Nasr, G.-A.; Taha, M.R. Monitoring Damage Propagation in Glass Fiber Composites Using Carbon Nanofibers. Nanomaterials 2016, 6, 169. [Google Scholar] [CrossRef] [Green Version]
- Zhou, Y.X.; Wu, P.X.; Cheng, Z.; Ingram, J.; Jeelani, S. Improvement in electrical, thermal and mechanical properties of epoxy by filling carbon nanotube. Express Polym. Lett. 2008, 2, 40–48. [Google Scholar] [CrossRef]
- Mutlib, N.; Bin Baharom, S.; El-Shafie, A.; Nuawi, M.Z. Ultrasonic health monitoring in structural engineering: Buildings and bridges. Struct. Control Health Monit. 2015, 23, 409–422. [Google Scholar] [CrossRef]
- Shafiee, M.; Abbas, M. Structural Health Monitoring (SHM) and Determination of Surface Defects in Large Metallic Structures using Ultrasonic Guided Waves. Sensors 2018, 18, 3958. [Google Scholar]
- Gkantou, M.; Muradov, M.; Kamaris, G.S.; Hashim, K.; Atherton, W.; Kot, P. Novel Electromagnetic Sensors Embedded in Reinforced Concrete Beams for Crack Detection. Sensors 2019, 19, 5175. [Google Scholar] [CrossRef] [PubMed] [Green Version]
- Huang, C.; Zhou, X.; Rong, K.; Cao, J.; Zhang, J.; Wang, K. Smart Coating based on Frequency-Selective Spoof Surface Plasmon Polaritons for Crack Monitoring. In Proceedings of the IEEE International Conference on Electronic Information and Communication Technology (ICEICT), Shenzhen, China, 13–15 November 2020; IEEE: Piscataway, NJ, USA, 2020; pp. 758–760. [Google Scholar] [CrossRef]
- Abbasi, K.; Motlagh, N.H.; Neamatollahi, M.R.; Hashizume, H. Detection of axial crack in the bend region of a pipe by high frequency electromagnetic waves. Int. J. Press. Vessel. Pip. 2009, 86, 764–768. [Google Scholar] [CrossRef]
- Mori, Y.; Obata, Y.; Sikula, J. Acoustic and electromagnetic emission from crack created in rock sample under deformation. J. Acoust. Emiss. 2009, 27, 157–166. [Google Scholar]
- Pereira, G.F.; Mikkelsen, L.P.; McGugan, M. Crack Detection in Fibre Reinforced Plastic Structures Using Embedded Fibre Bragg Grating Sensors: Theory, Model Development and Experimental Validation. PLoS ONE 2015, 10, e0141495. [Google Scholar] [CrossRef] [Green Version]
- Kwon, D.-J.; Shin, P.-S.; Kim, J.-H.; Wang, Z.-J.; DeVries, K.L.; Park, J.-M. Detection of damage in cylindrical parts of carbon fiber/epoxy composites using electrical resistance (ER) measurements. Compos. Part B Eng. 2016, 99, 528–532. [Google Scholar] [CrossRef]
- Gonzalez, R.; Mcdonald, A.; Mertiny, P. Damage detection method for fiber-reinforced polymer composites using AL-12SI flame-sprayed coatings. In Proceedings of the International SAMPE Technical Conference, Paris, France, 10–11 March 2014. [Google Scholar]
- Wang, D.; Chung, D.D.L. Through-thickness piezoresistivity in a carbon fiber polymer-matrix structural composite for electrical resistance-based through-thickness strain sensing. Carbon. 2013, 60, 129–138. [Google Scholar] [CrossRef]
- Mattox, D.M. Physical vapor deposition (PVD) processes. Met. Finish. 2002, 100, 394–408. [Google Scholar] [CrossRef]
- PlanarTech. Planargrow Graphene CVD Systems. May 2021. Available online: https://www.planartech.com/cvd-systems.html (accessed on 15 April 2022).
- Kuo, D.-H.; Huang, K.-W. Kinetics and microstructure of TiN coatings by CVD. Surf. Coat. Technol. 2001, 135, 150–157. [Google Scholar] [CrossRef]
- ASTM D5528. Standard Test Method for Mode I Interlaminar Fracture Toughness of Unidirectional Fiber-Reinforced Polymer Matrix Composites; ASTM: West Conshohocken, PA, USA, 2013. [Google Scholar]
- Vertuccio, L.; Guadagno, L.; Spinelli, G.; Lamberti, P.; Tucci, V.; Russo, S. Piezoresistive properties of resin reinforced with carbon nanotubes for health-monitoring of aircraft primary structures. Compos. Part B Eng. 2016, 107, 192–202. [Google Scholar] [CrossRef]
- Rathore, D.; Prusty, R.K.; Kumar, D.S.; Ray, B.C. Mechanical performance of CNT-filled glass fiber/epoxy composite in in-situ elevated temperature environments emphasizing the role of CNT content. Compos. Part A Appl. Sci. Manuf. 2016, 84, 364–376. [Google Scholar] [CrossRef]
- Samson, G.; Deby, F.; Garciaz, J.-L.; Perrin, J.-L. A new methodology for concrete resistivity assessment using the instantaneous polarization response of its metal reinforcement framework. Constr. Build. Mater. 2018, 187, 531–544. [Google Scholar] [CrossRef]
- Geddes, T.; Ragheb, L.A. Electrical properties of metallic electrodes. Med. Biol. Eng. Comput. 1990, 28, 182–186. [Google Scholar]
- Rabby, M.M.; Rahman, M.; Das, P.P.; Elenchezhian, M.R.P.; Qhobosheane, R.G.; Vadlamudi, V.; Reifsnider, K.; Raihan, R. The Effect of Room-Temperature Aging on Enthalpy and Dielectric Property of Carbon-Fiber/Epoxy Composite Prepreg and the Mechanical Property of Manufactured Composite. In Proceedings of the SAMPE Conference 2021 Proceedings, Dallas, TX, USA, 19–21 October 2021. [Google Scholar]
- Hsieh, Y.-C.; Chou, Y.-C.; Lin, C.-P.; Hsieh, T.-F.; Shu, C.-M. Thermal Analysis of Multi-walled Carbon Nanotubes by Kissinger’s Corrected Kinetic Equation. Aerosol Air Qual. Res. 2010, 10, 212–218. [Google Scholar] [CrossRef] [Green Version]
- Ozawa, T. A New Method of Analyzing Thermogravimetric Data. Bull. Chem. Soc. Jpn. 1965, 38, 1881–1886. [Google Scholar] [CrossRef] [Green Version]
- Pal, A.K.; Vimal, K. Theoretical and analyzed data related to thermal degradation kinetics of poly (l-lactic acid)/chitosan-grafted-oligo l-lactic acid (PLA/CH-g-OLLA) bionanocomposite films. Data Brief 2017, 10, 304–311. [Google Scholar] [CrossRef]
- Lin, C.-P.; Lin, J.-Z.; Shu, C.-M.; Tseng, J.-M. Multi-walled carbon nanotube thermal stability characteristics evaluation by DSC tests. J. Loss Prev. Process Ind. 2012, 25, 302–308. [Google Scholar] [CrossRef]
- Brukha, R.; Somenath, M. Kinetics of carbon nanotubeoxidation. J. Mater. Chem. 2007, 17, 619–623. [Google Scholar] [CrossRef]
- Frid, V.; Rabinovitch, A.; Bahat, D. Fracture induced electromagnetic radiation. J. Phys. D Appl. Phys. 2003, 36, 1620. [Google Scholar] [CrossRef] [Green Version]
- Schönenberger, C.; Bachtold, A.; Strunk, C.; Salvetat, J.-P.; Forró, L. Interference and Interaction in multi-wall carbon nanotubes. Appl. Phys. A 1999, 69, 283–295. [Google Scholar] [CrossRef] [Green Version]
- Lekawa-Raus, A.; Patmore, J.; Kurzepa, L.; Bulmer, J.; Koziol, K. Electrical Properties of Carbon Nanotube Based Fibers and Their Future Use in Electrical Wiring. Adv. Funct. Mater. 2014, 24, 3661–3682. [Google Scholar] [CrossRef]















| Thermo-Kinetic Model | |||||
|---|---|---|---|---|---|
| Heating Rate (°C/min) | 5 | 7 | 9 | Kissinger Activation Energy (kJ/mol) | Ozawa Activation Energy (kJ/mol) |
| Peak temperature (SWCNT) | 511 | 520 | 533 | 124.696 | 131.102 |
| Peak temperature (MWCNT) | 591 | 602 | 613 | 155.588 | 161.725 |
Publisher’s Note: MDPI stays neutral with regard to jurisdictional claims in published maps and institutional affiliations. |
© 2022 by the authors. Licensee MDPI, Basel, Switzerland. This article is an open access article distributed under the terms and conditions of the Creative Commons Attribution (CC BY) license (https://creativecommons.org/licenses/by/4.0/).
Share and Cite
Qhobosheane, R.G.; Rabby, M.M.; Vadlamudi, V.; Reifsnider, K.; Raihan, R. Smart Self-Sensing Piezoresistive Composite Materials for Structural Health Monitoring. Ceramics 2022, 5, 253-268. https://doi.org/10.3390/ceramics5030020
Qhobosheane RG, Rabby MM, Vadlamudi V, Reifsnider K, Raihan R. Smart Self-Sensing Piezoresistive Composite Materials for Structural Health Monitoring. Ceramics. 2022; 5(3):253-268. https://doi.org/10.3390/ceramics5030020
Chicago/Turabian StyleQhobosheane, Relebohile George, Monjur Morshed Rabby, Vamsee Vadlamudi, Kenneth Reifsnider, and Rassel Raihan. 2022. "Smart Self-Sensing Piezoresistive Composite Materials for Structural Health Monitoring" Ceramics 5, no. 3: 253-268. https://doi.org/10.3390/ceramics5030020
APA StyleQhobosheane, R. G., Rabby, M. M., Vadlamudi, V., Reifsnider, K., & Raihan, R. (2022). Smart Self-Sensing Piezoresistive Composite Materials for Structural Health Monitoring. Ceramics, 5(3), 253-268. https://doi.org/10.3390/ceramics5030020

