Streamflow Reconstruction Using Multi-Taxa Tree-Ring Records from Kullu Valley, Himachal Pradesh, Western Himalaya
Abstract
1. Introduction
2. Materials and Methods
2.1. Study Area
2.2. Tree-Ring Records
| TT | CC | TRS | NT/NC | LAT | LON | ELEV | References |
|---|---|---|---|---|---|---|---|
| Pinus roxburghii | PIRO-SS | Kasol | 22/43 | 32°01′ | 77°31′ | 1548 | [69,80] |
| Cedrus deodara | Kasol | 16/31 | 32°01′ | 77°31′ | 1548 | [69,80] | |
| Cedrus deodara | Manali | 21/42 | 32°27′ | 77°17′ | 2000 | [79] | |
| Cedrus deodara | CEDE-BSS | Composite | |||||
| Cedrus deodara | CEDE-C | Sangrah, Kullu, and Dundi area, Solang valley | 32/55 | 32°74′–32°20′ | 77°39′–77°34′ | 2055–2748 | [74] |
| Cedrus deodara | Site 1 | 13/26 | 32°15′ | 77°10′ | 2200 | [74] | |
| Cedrus deodara | Site 2 | 6/7 | 32°11′ | 77°14′ | 2290 | [74] | |
| Cedrus deodara | CEDE-S | Composite | |||||
| Picea smithiana | Site 1 | 17/23 | 32°18′ | 77°09′ | 2420 | [81] | |
| Picea smithiana | Site 2 | 8/11 | 32°11′ | 77°14′ | 2290 | [81] | |
| Picea smithiana | Site 3 | 14/19 | 32°11′ | 77°12′ | 1960 | [81] | |
| Picea smithiana | Site 4 | 21/25 | 32°06′ | 77°12′ | 2370 | [81] | |
| Picea smithiana | Site 5 | 9/14 | 32°06′ | 77°11′ | 2210 | [81] | |
| Picea smithiana | PCSM-S | Composite | |||||
| Abies pindrow | Site 1 | 15/24 | 32°20′ | 77°12′ | 3080 | [81] | |
| Abies pindrow | Site 2 | 25/28 | 32°19′ | 77°12′ | 2840 | [81] | |
| Abies pindrow | Site 3 | 19/26 | 32°19′ | 77°11′ | 2660 | [81] | |
| Abies pindrow | Site 4 | 6/7 | 32°11′ | 77°14′ | 2290 | [81] | |
| Abies pindrow | ABPI-S | Composite | |||||
| Abies pindrow | ABPI-C | Sangrah, Kullu, and Dundi area, Solang Valley | 28/35 | 32°74′–32°20′ | 77°39′–77°34′ | 2055–2748 | [74] |
2.3. Gauge Record
2.4. Streamflow Reconstruction
3. Results
3.1. Tree-Ring Chronology Statistics
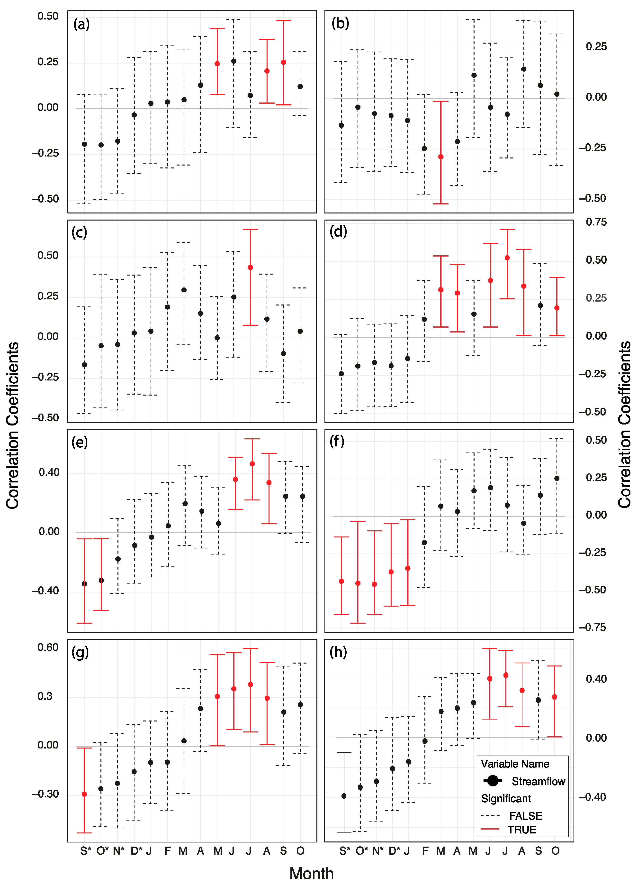
3.2. Correlation of Hydrological Records with Tree Growth
3.3. June–August Streamflow Reconstruction
4. Discussion
5. Conclusions
Author Contributions
Funding
Data Availability Statement
Acknowledgments
Conflicts of Interest
References
- Qazi, N.Q.; Jain, S.K.; Thayyen, R.J.; Patil, P.R.; Singh, M.K. Hydrology of the Himalayas. In Himalayan Weather and Climate and Their Impact on the Environment; Dimri, A.P., Bookhagen, B., Stoffel, M., Yasunari, T., Eds.; Springer: Cham, Switzerland, 2020; pp. 419–450. [Google Scholar] [CrossRef]
- Milly, P.C.D.; Wetherald, R.T.; Dunne, K.A.; Delworth, T.L. Increasing risk of great floods in a changing climate. Nature 2002, 415, 514–517. [Google Scholar] [CrossRef] [PubMed]
- Arnell, N.W.; Gosling, S.N. The impacts of climate change on river flow regimes at the global scale. J. Hydrol. 2013, 486, 351–364. [Google Scholar] [CrossRef]
- Das, S.; Kar, N.S.; Bandyopadhyay, S. Glacial lake outburst flood at Kedarnath, Indian Himalaya: A study using digital elevation models and satellite images. Nat. Hazard. 2015, 77, 769–786. [Google Scholar] [CrossRef]
- Gupta, V.; Syed, B.; Pathania, A.; Raaj, S.; Nanda, A.; Awasthi, S.; Shukla, D.P. Hydrometeorological analysis of July-2023 floods in Himachal Pradesh, India. Nat. Hazard. 2024, 120, 7549–7574. [Google Scholar] [CrossRef]
- Brohan, P.; Kennedy, J.J.; Harris, I.; Tett, S.F.B.; Jones, P.D. Uncertainty estimates in regional and global observed temperature changes: A new data set from 1850. J. Geophys. Res. 2006, 111, D12106. [Google Scholar] [CrossRef]
- Diodato, N.; Bellocchi, G.; Tartari, G. How do Himalayan areas respond to global warming? Int. J. Climatol. 2012, 32, 975–982. [Google Scholar] [CrossRef]
- Zhan, Y.-J.; Ren, G.-Y.; Shrestha, A.B.; Rajbhandari, R.; Ren, Y.-Y.; Sanjay, J.; Xu, Y.; Sun, X.-B.; You, Q.-L.; Wang, S. Changes in extreme precipitation events over the Hindu Kush Himalayan region during 1961–2012. Adv. Clim. Chang. Res. 2017, 8, 166–175. [Google Scholar] [CrossRef]
- Panthi, S.; Bräuning, A.; Zhou, Z.-K.; Fan, Z.-X. Tree rings reveal recent intensified spring drought in the central Himalaya, Nepal. Glob. Planet. Chang. 2017, 157, 26–34. [Google Scholar] [CrossRef]
- Talchabhadel, R.; Karki, R.; Thapa, B.R.; Maharjan, M.; Parajuli, B. Spatio-temporal variability of extreme precipitation in Nepal. Int. J. Climatol. 2018, 38, 4296–4313. [Google Scholar] [CrossRef]
- Gaire, N.P.; Dhakal, Y.R.; Shah, S.K.; Fan, Z.X.; Bräuning, A.; Thapa, U.K.; Bhandari, S.; Aryal, S.; Bhuju, D.R. Drought (scPDSI) reconstruction of trans-Himalayan region of central Himalaya using Pinus wallichiana tree-rings. Palaeogeogr. Palaeoclimatol. Palaeoecol. 2019, 514, 251–264. [Google Scholar] [CrossRef]
- Gaire, N.P.; Zaw, Z.; Bräuning, A.; Sharma, B.; Raj Dhakal, Y.; Timilsena, R.; Shah, S.K.; Raj Bhuju, D.; Fan, Z.-X. Increasing extreme events in the central Himalaya revealed from a tree-ring based multi-century streamflow reconstruction of Karnali River Basin. J. Hydrol. 2022, 610, 127801. [Google Scholar] [CrossRef]
- Sigdel, S.R.; Pandey, J.; Liang, E.; Muhammad, S.; Babst, F.; Leavitt, S.W.; Shen, M.; Zhu, H.; Salerno, F.; Piao, S.; et al. No benefits from warming even for subnival vegetation in the central Himalayas. Sci. Bull. 2021, 66, 1825–1829. [Google Scholar] [CrossRef]
- Lutz, A.F.; Immerzeel, W.W.; Shrestha, A.B.; Bierkens, M.F.P. Consistent increase in High Asia’s runoff due to increasing glacier melt and precipitation. Nat. Clim. Chang. 2014, 4, 587–592. [Google Scholar] [CrossRef]
- Azam, M.F.; Ramanathan, A.L.; Wagnon, P.; Vincent, C.; Linda, A.; Berthier, E.; Sharma, P.; Mandal, A.; Angchuk, T.; Singh, V.B.; et al. Meteorological conditions, seasonal and annual mass balances of Chhota Shigri Glacier, western Himalaya, India. Ann. Glaciol. 2016, 57, 328–338. [Google Scholar] [CrossRef]
- Bookhagen, B.; Burbank, D.W. Toward a complete Himalayan hydrological budget: Spatiotemporal distribution of snowmelt and rainfall and their impact on river discharge. J. Geophys. Res. 2010, 115, F03019. [Google Scholar] [CrossRef]
- Zhang, M.; Liu, N.; Harper, R.; Li, Q.; Liu, K.; Wei, X.; Ning, D.; Hou, Y.; Liu, S. A global review on hydrological responses to forest change across multiple spatial scales: Importance of scale, climate, forest type and hydrological regime. J. Hydrol. 2017, 546, 44–59. [Google Scholar] [CrossRef]
- Singh, D.; Gupta, R.D.; Jain, S.K. Study of long-term trend in river discharge of Sutlej River (NW Himalayan region). Geogr. Environ. Sustain. 2014, 7, 87–96. [Google Scholar] [CrossRef]
- Jaffrés, J.B.D. GHCN-Daily: A treasure trove of climate data awaiting discovery. Comput. Geosci. 2019, 122, 35–44. [Google Scholar] [CrossRef]
- Woodhouse, C.A.; Lukas, J.J. Multi-Century Tree-Ring Reconstructions of Colorado Streamflow for Water Resource Planning. Clim. Chang. 2006, 78, 293–315. [Google Scholar] [CrossRef]
- Fritts, H.C. Tree Rings and Climate; Academic Press: London, UK, 1976; 567p. [Google Scholar]
- DeRose, R.J.; Bekker, M.F.; Wang, S.-Y.; Buckley, B.M.; Kjelgren, R.K.; Bardsley, T.; Rittenour, T.M.; Allen, E.B. A millennium-length reconstruction of Bear River stream flow, Utah. J. Hydrol. 2015, 529, 524–534. [Google Scholar] [CrossRef]
- Chen, F.; Shang, H.; Panyushkina, I.P.; Meko, D.M.; Yu, S.; Yuan, Y.; Chen, F. Tree-ring reconstruction of Lhasa River streamflow reveals 472 years of hydrologic change on southern Tibetan Plateau. J. Hydrol. 2019, 572, 169–178. [Google Scholar] [CrossRef]
- Rao, M.P.; Cook, E.R.; Cook, B.I.; D’Arrigo, R.D.; Palmer, J.G.; Lall, U.; Woodhouse, C.A.; Buckley, B.M.; Uriarte, M.; Bishop, D.A.; et al. Seven centuries of reconstructed Brahmaputra River discharge demonstrate underestimated high discharge and flood hazard frequency. Nat. Commun. 2020, 11, 6017. [Google Scholar] [CrossRef]
- Liu, Y.; Song, H.; An, Z.; Sun, C.; Trouet, V.; Cai, Q.; Liu, R.; Leavitt, S.W.; Song, Y.; Li, Q.; et al. Recent anthropogenic curtailing of Yellow River runoff and sediment load is unprecedented over the past 500 years. Proc. Natl. Acad. Sci. USA 2020, 117, 18251–18257. [Google Scholar] [CrossRef] [PubMed]
- Cook, E.R.; Anchukaitis, K.J.; Buckley, B.M.; D’Arrigo, R.D.; Jacoby, G.C.; Wright, W.E. Asian Monsoon Failure and Megadrought During the Last Millennium. Science 2010, 328, 486–489. [Google Scholar] [CrossRef] [PubMed]
- Islam, N.; Vennemann, T.; Büntgen, U.; Cherubini, P.; Lane, S.N. Tree-ring hydrological research in the Himalaya: State of the art and future directions. Prog. Phys. Geogr. 2024, 48, 454–489. [Google Scholar] [CrossRef]
- Hardman, G. The relationship between Tree-Growths and Stream-Runoff in the Truckee River Basin, California-Nevada. Eos Trans. Am. Geophys. Union. 1936, 17, 491–493. [Google Scholar] [CrossRef]
- Cook, E.R.; Jacoby, G.C. Potomac River streamflow since 1730 as reconstructed by tree rings. J. Clim. Appl. Meteorol. 1983, 22, 1659–1672. [Google Scholar] [CrossRef]
- Schulman, E. Tree-Ring Hydrology of the Colorado River Basin. University of Arizona: Tucson, AZ, USA, 1946; 51p. [Google Scholar]
- Woodhouse, C.A.; Gray, S.T.; Meko, D.M. Updated streamflow reconstructions for the Upper Colorado River basin. Water Resour. Res. 2006, 42, W5415. [Google Scholar] [CrossRef]
- Gangopadhyay, S.; Woodhouse, C.A.; McCabe, G.J.; Routson, C.C.; Meko, D.M. Tree rings reveal unmatched 2nd century drought in the Colorado River Basin. Geophys. Res. Lett. 2022, 49, e2022GL098781. [Google Scholar] [CrossRef]
- Meko, D.M.; Therrell, M.D.; Baisan, C.H.; Hughes, M.K. Sacramento River flow reconstructed to AD 869 from tree rings. Am. J. Water Resour. 2001, 37, 1029–1039. [Google Scholar] [CrossRef]
- Meko, D.M.; Woodhouse, C.A. Application of Streamflow Reconstruction to Water Resources Management. In Dendroclimatology; Hughes, M., Swetnam, T., Diaz, H., Eds.; Book Series Developments in Paleoenvironmental Research (DPER, Volume 11); Springer: Dordrecht, The Netherlands, 2011; pp. 231–261. [Google Scholar] [CrossRef]
- St. George, S. Streamflow in the Winnipeg River basin, Canada: Trends, extremes and climate linkages. J. Hydrol. 2007, 332, 396–411. [Google Scholar] [CrossRef]
- St. George, S.; Nielson, E. Palaeoflood records for the Red River, Manitoba, Canada, derived from anatomical tree-ring signatures. Holocene 2003, 13, 547–555. [Google Scholar] [CrossRef]
- Wu, Y.; Gan, T.Y.; She, Y.; Xu, C.; Yan, H. Five centuries of reconstructed streamflow in Athabasca River Basin, Canada: Non-stationarity and teleconnection to climate patterns. Sci. Total Environ. 2020, 746, 141330. [Google Scholar] [CrossRef] [PubMed]
- Jones, P.D.; Briffa, K.R.; Pilcher, J.R. River flow reconstruction from tree rings in southern Britain. J. Climatol. 1984, 4, 461–472. [Google Scholar] [CrossRef]
- Formetta, G.; Tootle, G.; Bertoldi, G. Streamflow reconstructions using tree-ring based Paleo Proxies for the Upper Adige River Basin (Italy). Hydrology 2022, 9, 8. [Google Scholar] [CrossRef]
- Tootle, G.; Oubeidillah, A.; Elliott, E.; Formetta, G.; Bezak, N. Streamflow Reconstructions Using Tree-Ring-Based Paleo Proxies for the Sava River Basin (Slovenia). Hydrology 2023, 10, 138. [Google Scholar] [CrossRef]
- Viorica, N.; Cătălin-Constantin, R.; Andrei, M.; Marian-Ionuț, Ș.; Ionel, P.; Monica, I. The first tree-ring reconstruction of streamflow variability over the last ~250 years in the Lower Danube. J. Hydrol. 2023, 617, 129150. [Google Scholar] [CrossRef]
- Agafonov, L.I.; Meko, D.M.; Panyushkina, I.P. Reconstruction of Ob River, Russia, discharge from ring widths of floodplain trees. J. Hydrol. 2016, 543, 198–207. [Google Scholar] [CrossRef]
- Holmes, R.L.; Stockton, C.W.; LaMarche, V.C., Jr. Extension of river flow records in Argentina from tree-ring chronologies. J. Am. Water Resour. 1979, 15, 1081–1085. [Google Scholar] [CrossRef]
- Cobos, D.R.; Boninsegna, J.A. Fluctuations of some glaciers in the upper Atuel River basin, Mendoza, Argentina. In Quaternary of South America and Antarctica Peninsula, 1st ed.; Cobos, D.R., Boninsegna, J.A., Eds.; CRC Press: Boca Raton, FL, USA, 1983; pp. 61–82. [Google Scholar]
- Lara, A.; Villalba, R.; Urrutia, R. A 400-year tree-ring record of the Puelo river summer-fall streamflow in the Valdivian rainforest eco-region, Chile. Clim. Chang. 2008, 86, 331–356. [Google Scholar] [CrossRef]
- Lara, A.; Bahamondez, A.; González-Reyes, A.; Munoz, A.A.; Cuq, E.; Ruiz-Gómez, C. Reconstructing streamflow variation of the Baker River from tree-rings in Northern Patagonia since 1765. J. Hydrol. 2015, 529, 511–523. [Google Scholar] [CrossRef]
- Urrutia, R.; Lara, A.; Villalba, R.; Christie, D.; Le Quesne, C.; Cuq, A. Multicentury tree ring reconstruction of annual streamflow for the Maule River Watershed in South Central Chile. Water Resour. Res. 2011, 47, W06527. [Google Scholar] [CrossRef]
- Barria, P.; Peel, M.C.; Walsh, K.J.; Muñoz, A. The first 300-year streamflow reconstruction of a high-elevation river in Chile using tree rings. Int. J. Climatol. 2018, 38, 436–451. [Google Scholar] [CrossRef]
- Allen, K.J.; Nichols, S.C.; Evans, R.; Cook, E.R.; Allie, S.; Carson, G.; Ling, F.; Baker, P.J. Preliminary December–January inflow and streamflow reconstructions from tree rings for western Tasmania, southeastern Australia. Water Resourc. Res. 2015, 51, 5487–5503. [Google Scholar] [CrossRef]
- Higgins, P.A.; Palmer, J.G.; Rao, M.P.; Andersen, M.S.; Turney, C.S.M.; Johnson, F. Unprecedented high Northern Australian streamflow linked to an intensification of the Indo-Australian monsoon. Water Resourc. Res. 2022, 58, e2021WR030881. [Google Scholar] [CrossRef]
- Higgins, P.A.; Palmer, J.G.; Andersen, M.S.; Turney, C.S.M.; Allen, J.K.; Verdon-Kidd, D.; Cook, E.R. Examining past and projecting future: An 800-year streamflow reconstruction of the Australian Murray river. Environ. Res. Lett. 2023, 18, 104016. [Google Scholar] [CrossRef]
- Gou, X.; Chen, F.; Cook, E.; Jacoby, G.; Yang, M.; Li, J. Streamflow variations of the Yellow River over the past 593 years in western China reconstructed from tree rings. Water Resour. Res. 2007, 43, W6434. [Google Scholar] [CrossRef]
- Gou, X.; Deng, Y.; Chen, F.; Yang, M.; Fang, K.; Gao, L.; Yang, T.; Zhang, F. Tree ring-based streamflow reconstruction for the Upper Yellow River over the past 1234 years. Chin. Sci. Bull. 2010, 55, 4179–4186. [Google Scholar] [CrossRef]
- Yuan, Y.; Shao, X.; Wei, W.; Yu, S.; Gong, Y.; Trouet, V. The potential to reconstruct Manasi River streamflow in the northern Tien Shan Mountains (NW China). Tree-Ring Res. 2007, 63, 81–93. [Google Scholar] [CrossRef]
- Yang, B.; Qin, C.; Shi, F.; Sonechkin, D.M. Tree ring-based annual streamflow reconstruction for the Heihe River in arid northwestern China from AD 575 and its implications for water resource management. Holocene 2012, 22, 773–784. [Google Scholar] [CrossRef]
- Xiao, D.; Shao, X.; Qin, N.; Huang, X. Tree-ring-based reconstruction of streamflow for the Zaqu River in the Lancang River source region, China, over the past 419 years. Int. J. Biometeorol. 2017, 61, 1173–1189. [Google Scholar] [CrossRef] [PubMed]
- Yang, Y.; Chen, Y.; Wang, M.; Sun, H. Reconstruction and analysis of the past five centuries of streamflow on northern slopes on Tianshan Mountains in northern Xinjiang, China. Theor. Appl. Climatol. 2017, 129, 177–184. [Google Scholar] [CrossRef]
- Chen, F.; Shang, H.; Panyushkina, I.; Meko, D.; Li, J.; Yuan, Y.; Yu, S.; Chen, F.; He, D.; Luo, X. 500-year tree-ring reconstruction of Salween River streamflow related to the history of water supply in southeast Asia. Clim. Dyn. 2019, 53, 6595–6607. [Google Scholar] [CrossRef]
- Cao, H.; Chen, F.; Hu, M.; Hou, T.; Zhao, X.; Wang, S.; Zhang, H. Tree- ring insights into past and future streamflow variations in Beijing, northern China. Water Resourc. Res. 2024, 60, e2024WR038084. [Google Scholar] [CrossRef]
- Chen, F.; Man, W.; Wang, S.; Esper, J.; Meko, D.; Büntgen, U.; Yuan, Y.; Hadad, M.; Hu, M.; Zhao, X.; et al. Southeast Asian ecological dependency on Tibetan Plateau streamflow over the last millennium. Nat. Geosci. 2023, 16, 1151–1158. [Google Scholar] [CrossRef]
- Gaire, N.P.; Dhakal, Y.R.; Shah, S.K.; Fan, Z.X. Potential of tree-ring chronologies for multi-centennial streamflow reconstructions: An insight from Nepal. Proc. IAHS 2024, 387, 33–39. [Google Scholar] [CrossRef]
- Cook, E.R.; Palmer, J.G.; Ahmed, M.; Woodhouse, C.A.; Fenwick, P.; Zafar, M.U.; Wahab, M.; Khan, N. Five centuries of Upper Indus River flow from tree rings. J. Hydrol. 2013, 486, 365–375. [Google Scholar] [CrossRef]
- Rao, M.P.; Cook, E.R.; Cook, B.I.; Palmer, J.G.; Uriarte, M.; Devineni, N.; Lall, U.; D’Arrigo, R.D.; Woodhouse, C.A.; Ahmed, M.; et al. Six Centuries of Upper Indus Basin Streamflow Variability and Its Climatic Drivers. Water Resour. Res. 2013, 54, 5687–5701. [Google Scholar] [CrossRef]
- Bhattacharyya, A.; Shah, S. Tree-ring studies in India–Past appraisal, present status and future prospects. IAWA J. 2009, 30, 361–370. [Google Scholar] [CrossRef]
- Shah, S.K.; Bhattacharyya, A.; Chaudhary, V. Streamflow reconstruction of Eastern Himalaya River, Lachen ‘Chhu’, North Sikkim, based on tree-ring data of Larix griffithiana from Zemu Glacier basin. Dendrochronologia 2014, 32, 97–106. [Google Scholar] [CrossRef]
- Shah, S.K.; Singh, R.; Mehrotra, N.; Thomte, L. River flow reconstruction of the Lohit River Basin, North-east India based on tree-rings of Pinus merkusii (Merkus pine). Palaeobotanist 2019, 68, 113–124. [Google Scholar] [CrossRef]
- Singh, J.; Yadav, R.R. Tree-ring-based seven century long flow records of Satluj River, western Himalaya, India. Quat. Int. 2013, 304, 156–162. [Google Scholar] [CrossRef]
- Misra, K.G.; Yadav, R.R.; Misra, S. Satluj river flow variations since AD 1660 based on tree-ring network of Himalayan cedar from western Himalaya, India. Quat. Int. 2015, 371, 135–143. [Google Scholar] [CrossRef]
- Shah, S.K.; Bhattacharyya, A.; Shekhar, M. Reconstructing discharge of Beas river basin, Kullu valley, western Himalaya, based on tree-ring data. Quat. Int. 2013, 286, 138–147. [Google Scholar] [CrossRef]
- Meko, D.M.; Woodhouse, C.A.; Morino, K. Dendrochronology and links to streamflow. J. Hydrol. 2012, 412–413, 200–209. [Google Scholar] [CrossRef]
- Harley, G.L.; Maxwell, J.T.; Larson, E.; Grissino-Mayer, H.D.; Henderson, J.; Huffman, J. Suwannee River flow variability 1550–2005 CE reconstructed from a multispecies tree-ring network. J. Hydrol. 2017, 544, 438–451. [Google Scholar] [CrossRef]
- Stagge, J.H.; Rosenberg, D.E.; DeRose, R.J.; Rittenour, T.M. Monthly paleostreamflow reconstruction from annual tree-ring chronologies. J. Hydrol. 2018, 557, 791–804. [Google Scholar] [CrossRef]
- Tamkevičiūtė, M.; Edvardsson, J.; Pukienė, R.; Taminskas, J.; Stoffel, M.; Corona, C.; Kibirkštis, G. Scots pine (Pinus sylvestris L.) based reconstruction of 130 years of water table fluctuations in a peatland and its relevance for moisture variability assessments. J. Hydrol. 2018, 558, 509–519. [Google Scholar] [CrossRef]
- Cánovas, J.A.B.; Trappmann, D.; Shekhar, M.; Bhattacharyya, A.; Stoffel, M. Regional flood-frequency reconstruction for Kullu district, Western Indian Himalayas. J. Hydrol. 2017, 546, 140–149. [Google Scholar] [CrossRef]
- Singh, J.; Yadav, R.R. Application of tree-ring data in development of long-term discharge. Curr. Sci. 2012, 103, 1452–1454. [Google Scholar]
- Jain, S.K.; Tyagi, J.; Singh, V. Simulation of runoff and sediment yield for a Himalayan watershed using SWAT. J. Water Resour. Protect. 2010, 2, 267–281. [Google Scholar] [CrossRef]
- Singh, V.; Muñoz-Arriola, F. Improvements in Sub-Catchment Fractional Snowpack and Snowmelt Parameterizations and Hydrologic Modeling for Climate Change Assessments in the Western Himalayas. Hydrology 2021, 8, 179. [Google Scholar] [CrossRef]
- Chauhan, M.H.; Sharma, A.; Trivedi, A.; Kumar, K.; Ferguson, D.K.; Rathore, P.S. Late Quaternary vegetation shifts and climate change in the sub-alpine belt of the Parvati Valley, Himachal Pradesh, India. Quat. Int. 2022, 629, 53–64. [Google Scholar] [CrossRef]
- Borgaonkar, H.P.; Pant, G.B.; Kumar, K.R. Ring-Width Variations in Cedrus deodara and Its Climatic Response Over the Western Himalaya. Int. J. Climatol. 1996, 16, 1409–1422. [Google Scholar] [CrossRef]
- Shah, S.K.; Shekhar, M.; Bhattacharyya, A. Anomalous distribution of Cedrus deodara and Pinus roxburghii in Parbati valley, Kullu, Western Himalaya: An assessment in Dendrochronological perspective. Quat. Int. 2014, 325, 205–212. [Google Scholar] [CrossRef]
- Sohar, K.; Altman, J.; Lehečková, E.; Doležal, J. Growth-climate relationships of Himalayan conifers along elevational and latitudinal gradients. Int. J. Climatol. 2017, 37, 2593–2605. [Google Scholar] [CrossRef]
- Bunn, A.G. A dendrochronology program library in R (dplR). Dendrochronologia 2008, 26, 115–124. [Google Scholar] [CrossRef]
- R Core Team. R Core Team R: A Language and Environment for Statistical Computing; R Foundation for Statistical Computing: Vienna, Austria, 2023; Available online: https://www.R-project.org/ (accessed on 20 January 2024).
- Cook, E.R.; Kairiukstis, L.A. Methods of Dendrochronology; Springer: Dordrecht, The Netherlands, 1990; 394p. [Google Scholar] [CrossRef]
- Wigley, T.M.L.; Briffa, K.R.; Jones, P.D. On the Average Value of Correlated Time Series, with Applications in Dendroclimatology and Hydrometeorology. J. Clim. Appl. Meteorol. 1984, 23, 201–213. [Google Scholar] [CrossRef]
- Khan, M.; Munoz-Arriola, F.; Shaik, R.; Greer, P. Spatial heterogeneity of temporal shifts in extreme precipitation across India. J. Clim. Chang. 2019, 5, 19–31. [Google Scholar] [CrossRef]
- Zang, C.; Biondi, F. treeclim: An R package for the numerical calibration of proxy-climate relationships. Ecography 2015, 38, 431–436. [Google Scholar] [CrossRef]
- Michaelsen, J. Cross-Validation in Statistical Climate Forecast Models. J. Appl. Meteor. Climatol. 1987, 26, 1589–1600. [Google Scholar] [CrossRef]
- Mann, M.E.; Lees, J.M. Robust estimation of background noise and signal detection in climatic time series. Clim. Chang. 1996, 33, 409–445. [Google Scholar] [CrossRef]
- Torrence, C.; Compo, G.P. A practical guide to wavelet analysis. Bull. Amer. Meteor. Soc. 1998, 79, 61–78. [Google Scholar] [CrossRef]
- Rayner, N.A.; Parker, D.E.; Horton, E.B.; Folland, C.K.; Alexander, L.V.; Rowell, D.P.; Kent, E.C.; Kaplan, A. Global analyses of sea surface temperature, sea ice, and night marine air temperature since the late nineteenth century. J. Geophys. Res. Atmos. 2003, 108. [Google Scholar] [CrossRef]
- Trouet, V.; Oldenborgh, G.J.V. KNMI Climate Explorer: A Web-Based Research Tool for High-Resolution Paleoclimatology. Tree-Ring Res. 2013, 69, 3–13. [Google Scholar] [CrossRef]
- Chandel, V.; Brar, K. Drought in Himachal Pradesh, India: A historical-geographical perspective, 1901–2009. Trans. Inst. Indian Geogr. 2013, 35, 259–273. [Google Scholar]
- Borgaonkar, H.P.; Pant, G.B.; Kumar, K.R. Tree-Ring Chronologies from Western Himalaya and their Dendroclimatic Potential. IAWA J. 1999, 20, 295–309. [Google Scholar] [CrossRef]
- Singh, J.; Park, W.-K.; Yadav, R.R. Tree-ring-based hydrological records for western Himalaya, India, since A.D. 1560. Clim. Dyn. 2006, 26, 295–303. [Google Scholar] [CrossRef]
- Andermann, C.; Bonnet, S.; Crave, A.; Davy, P.; Longuevergne, L.; Gloaguen, R. Sediment transfer and the hydrological cycle of Himalayan rivers in Nepal. Comptes Rendus Geosci. 2012, 344, 627–635. [Google Scholar] [CrossRef]
- Cook, E.R.; Krusic, P.J.; Jones, P.D. Dendroclimatic signals in long tree-ring chronologies from the Himalayas of Nepal. Int. J. Climatol. 2003, 23, 707–732. [Google Scholar] [CrossRef]
- Liang, E.; Dawadi, B.; Pederson, N.; Piao, S.; Zhu, H.; Sigdel, S.R.; Chen, D. Strong link between large tropical volcanic eruptions and severe droughts prior to monsoon in the central Himalayas revealed by tree-ring records. Sci. Bull. 2019, 64, 1018–1023. [Google Scholar] [CrossRef]
- Gaire, N.P.; Fan, Z.X.; Shah, S.K.; Thapa, U.K.; Rokaya, M.B. Tree-ring record of winter temperature from Humla, Karnali, in central Himalaya: A 229 years-long perspective for recent warming trend. Geogr. Ann. Ser. A 2020, 102, 297–316. [Google Scholar] [CrossRef]
- Singh, J.; Yadav, R.R.; Wilmking, M. A 694-year tree-ring based rainfall reconstruction from Himachal Pradesh, India. Clim. Dyn. 2009, 33, 1149–1158. [Google Scholar] [CrossRef]
- Singh, J.; Singh, N.; Chauhan, D.P.; Yadav, R.; Mayr, C.; Rastogi, T. Tree-ring δ18O records of abating June-July monsoon rainfall over the Himalayan region in the last 273 years. Quat. Int. 2019, 532, 48–56. [Google Scholar] [CrossRef]
- Singh, V.; Misra, K.G.; Singh, A.D.; Yadav, R.R.; Yadava, A.K. Little Ice Age revealed in tree-ring based precipitation record from the northwest Himalaya, India. Geophys. Res. Lett. 2021, 48, e2020GL091298. [Google Scholar] [CrossRef]
- Ahmad, S.; Zhu, L.; Yasmeen, S.; Zhang, Y.; Li, Z.; Ullah, S.; Han, S.; Wang, X. A 424-year tree-ring-based Palmer Drought Severity Index reconstruction of Cedrus deodara D. Don from the Hindu Kush range of Pakistan: Linkages to ocean oscillations. Clim. Past 2020, 16, 783–798. [Google Scholar] [CrossRef]
- Bridgman, H.A.; Oliver, J.E. The Global Climate System: Patterns, Processes, and Teleconnections; Cambridge University Press: Cambridge, UK, 2014. [Google Scholar]
- Wang, S.Y.; Gillies, R.R. Influence of the Pacific quasi-decadal oscillation on the monsoon precipitation in Nepal. Clim. Dyn. 2013, 40, 95–107. [Google Scholar] [CrossRef]
- Shrestha, A.; Wake, C.; Dibb, J.; Mayewski, P. Precipitation fluctuations in the Nepal Himalaya and its vicinity and relationship with some large scale climatological parameters. Int. J. Climatol. 2000, 20, 317–327. [Google Scholar] [CrossRef]
- Yadav, R.R. Long-term hydroclimatic variability in monsoon shadow zone of western Himalaya, India. Clim. Dyn. 2011, 36, 1453–1462. [Google Scholar] [CrossRef]
- Yadav, R.R.; Misra, K.G.; Kotlia, B.S.; Upreti, N. Premonsoon precipitation variability in Kumaon Himalaya, India over a perspective of ~300 years. Quat. Int. 2014, 325, 213–219. [Google Scholar] [CrossRef]
- Gaire, N.P.; Bhuju, D.R.; Koirala, M.; Shah, S.K.; Carrer, M.; Timilsena, R. Tree-ring based spring precipitation reconstruction in western Nepal Himalaya since AD 1840. Dendrochronologia 2017, 42, 21–30. [Google Scholar] [CrossRef]
- Liu, N.; Bao, G.; Liu, Y.; Linderholm, H.W. Two Centuries-Long Streamflow Reconstruction Inferred from Tree Rings for the Middle Reaches of the Weihe River in Central China. Forests 2019, 10, 208. [Google Scholar] [CrossRef]
- Zaw, Z.; Fan, Z.; Bräuning, A.; Xu, C.; Liu, W.; Gaire, N.P.; Panthi, S.; Than, K.Z. Drought Reconstruction Over the Past Two Centuries in Southern Myanmar Using Teak Tree-Rings: Linkages to the Pacific and Indian Oceans. Geophys. Res. Lett. 2020, 47, e2020GL087627. [Google Scholar] [CrossRef]
- Zaw, Z.; Fan, Z.-X.; Bräuning, A.; Liu, W.; Gaire, N.P.; Than, K.Z.; Panthi, S. Monsoon precipitation variations in Myanmar since AD 1770: Linkage to tropical ocean-atmospheric circulations. Clim. Dyn. 2021, 56, 3337–3352. [Google Scholar] [CrossRef]
- Wang, B.; Ding, Q.; Jhun, J.-G. Trends in Seoul (1778–2004) summer precipitation. Geophys. Res. Lett. 2006, 33, L15803. [Google Scholar] [CrossRef]
- Palmer, J.G.; Cook, E.R.; Turney, C.S.M.; Allen, K.; Fenwick, P.; Cook, B.I.; O’Donnell, A.; Lough, J.; Grierson, P.; Baker, P. Drought variability in the eastern Australia and New Zealand summer drought atlas (ANZDA, CE 1500–2012) modulated by the Interdecadal Pacific Oscillation. Environ. Res. Lett. 2015, 10, 124002. [Google Scholar] [CrossRef]
- Shi, H.; Wang, B.; Cook, E.R.; Liu, J.; Liu, F. Asian Summer Precipitation over the Past 544 Years Reconstructed by Merging Tree Rings and Historical Documentary Records. J. Clim. 2018, 31, 7845–7861. [Google Scholar] [CrossRef]
- Thomte, L.; Shah, S.K.; Mehrotra, N.; Bhagabati, A.K.; Saikia, A. Influence of climate on multiple tree-ring parameters of Pinus kesiya from Manipur, Northeast India. Dendrochronologia 2022, 71, 125906. [Google Scholar] [CrossRef]







| CRN | FYR | LYR | NYR | MS | SD | Rbar | EPS | EPS > 0.85 | References |
|---|---|---|---|---|---|---|---|---|---|
| PIRO-SS | 1861 | 2002 | 136 | 0.20 | 0.122 | 0.240 | 0.874 | 1928 | [69,80] |
| CEDE-BSS | 1686 | 2002 | 317 | 0.27 | 0.148 | 0.216 | 0.885 | 1878 | [69,79,80] |
| CEDE-C | 1795 | 2014 | 220 | 0.28 | 0.262 | 0.228 | 0.912 | 1820 | [74] |
| CEDE-S | 1836 | 2013 | 178 | 0.31 | 0.990 | 0.500 | >0.85 | 1919 | [81] |
| PCSM-S | 1665 | 2013 | 349 | 0.21 | 1.160 | 0.370 | >0.85 | 1775 | [81] |
| ABPI-S | 1676 | 2013 | 338 | 0.23 | 0.650 | 0.410 | >0.85 | 1787 | [81] |
| ABPI-C | 1728 | 2013 | 286 | 0.29 | 0.301 | 0.169 | 0.867 | 1805 | [81] |
| R2 | R2adj | R | F-Value | p-Value | RE | RMSEc | RMSEv | DW |
|---|---|---|---|---|---|---|---|---|
| 0.359 | 0.345 | 0.57 | 25.76 | 0.00001 | 0.30 | 0.0670 | 0.0685 | 1.68 |
Disclaimer/Publisher’s Note: The statements, opinions and data contained in all publications are solely those of the individual author(s) and contributor(s) and not of MDPI and/or the editor(s). MDPI and/or the editor(s) disclaim responsibility for any injury to people or property resulting from any ideas, methods, instructions or products referred to in the content. |
© 2025 by the authors. Licensee MDPI, Basel, Switzerland. This article is an open access article distributed under the terms and conditions of the Creative Commons Attribution (CC BY) license (https://creativecommons.org/licenses/by/4.0/).
Share and Cite
Husna, A.; Shah, S.K.; Mehrotra, N.; Thomte, L.; Deeksha; Rahman, T.W.; Pandey, U.; Islam, N.; Gaire, N.P.; Singh, D. Streamflow Reconstruction Using Multi-Taxa Tree-Ring Records from Kullu Valley, Himachal Pradesh, Western Himalaya. Quaternary 2025, 8, 9. https://doi.org/10.3390/quat8010009
Husna A, Shah SK, Mehrotra N, Thomte L, Deeksha, Rahman TW, Pandey U, Islam N, Gaire NP, Singh D. Streamflow Reconstruction Using Multi-Taxa Tree-Ring Records from Kullu Valley, Himachal Pradesh, Western Himalaya. Quaternary. 2025; 8(1):9. https://doi.org/10.3390/quat8010009
Chicago/Turabian StyleHusna, Asmaul, Santosh K. Shah, Nivedita Mehrotra, Lamginsang Thomte, Deeksha, Tanveer W. Rahman, Uttam Pandey, Nazimul Islam, Narayan P. Gaire, and Dharmaveer Singh. 2025. "Streamflow Reconstruction Using Multi-Taxa Tree-Ring Records from Kullu Valley, Himachal Pradesh, Western Himalaya" Quaternary 8, no. 1: 9. https://doi.org/10.3390/quat8010009
APA StyleHusna, A., Shah, S. K., Mehrotra, N., Thomte, L., Deeksha, Rahman, T. W., Pandey, U., Islam, N., Gaire, N. P., & Singh, D. (2025). Streamflow Reconstruction Using Multi-Taxa Tree-Ring Records from Kullu Valley, Himachal Pradesh, Western Himalaya. Quaternary, 8(1), 9. https://doi.org/10.3390/quat8010009

