Influence of Geological and Soil Factors on Pine, Birch, and Alder Stability During the Holocene Climate Change in Central Latvia, Northeastern Europe
Abstract
1. Introduction
2. Study Area
3. Materials and Methods
3.1. Sampling and Chronology
3.2. Pollen
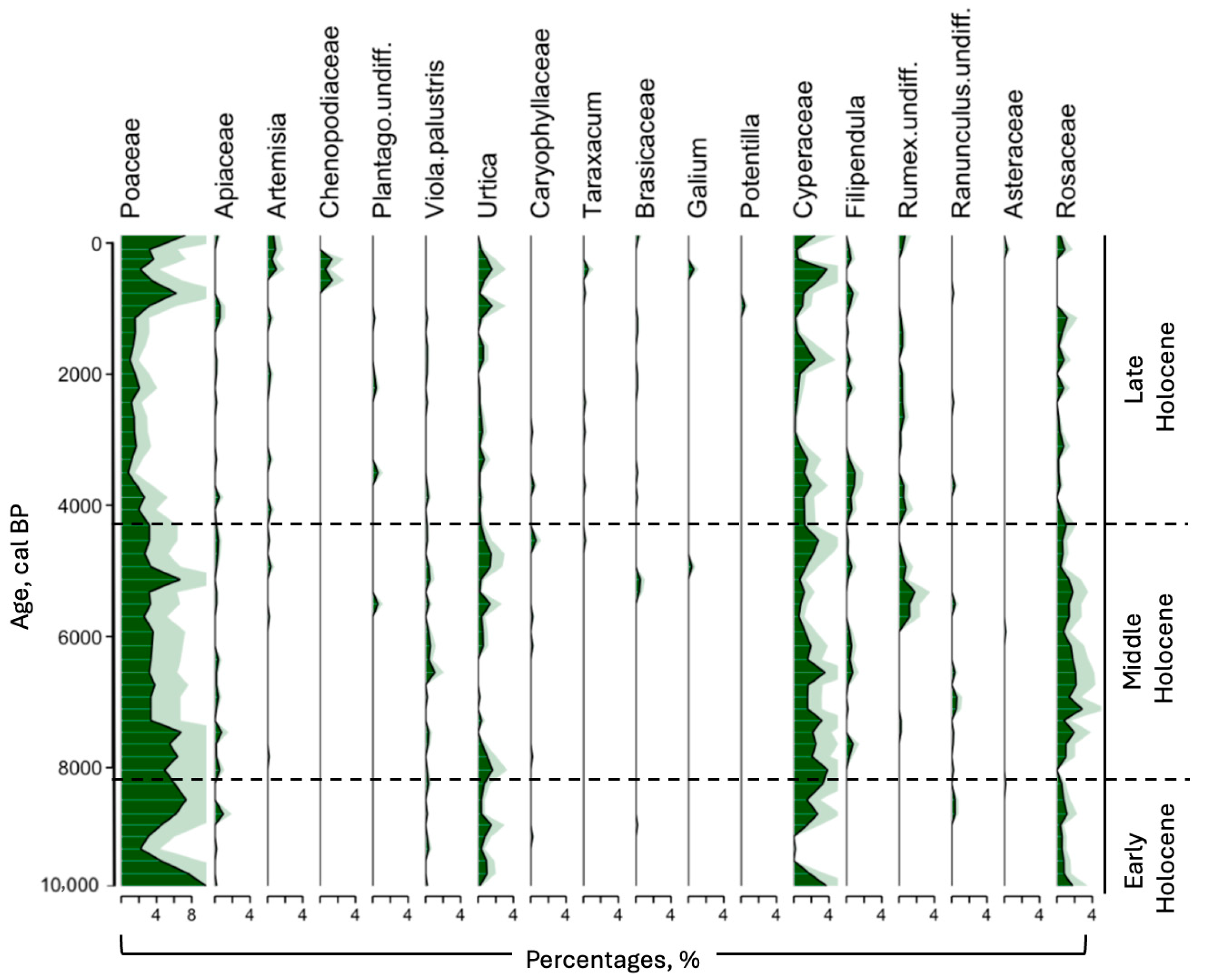
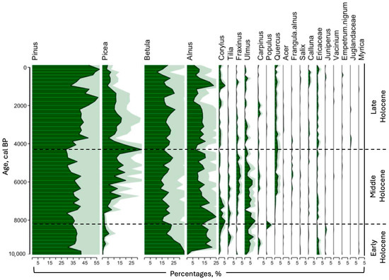
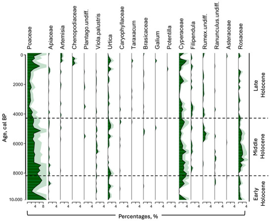
4. Results
4.1. Chronology
4.2. Pollen
5. Discussion
6. Conclusions
- (1)
- The composition of dominant tree species in Central Latvia has remained relatively stable through the Holocene. This stability is attributed to the ecological adaptability of pine, birch, and alder to the sandy, nutrient-poor soils prevalent in the region.
- (2)
- Despite warmer and drier conditions during the Middle Holocene, which favored the expansion of broadleaved trees across the Baltic region, their presence around Lake Lilaste remained limited. This reflects the restrictive nature of local geological and soil conditions on broadleaf growth and competition.
- (3)
- While climate change may affect tree species, the dominant presence of pine, birch, and alder around Lake Lilaste is likely to continue due to its adaptation to the local soil conditions. This highlights the importance of considering site-specific ecological and geological factors when assessing future vegetation responses to climate change.
Author Contributions
Funding
Data Availability Statement
Acknowledgments
Conflicts of Interest
References
- Gauthier, S.; Bernier, P.; Kuuluvainen, T.; Shvidenko, A.Z.; Schepaschenko, D.G. Boreal forest health and global change. Science 2015, 349, 819–822. [Google Scholar] [CrossRef] [PubMed]
- Jūrmalis, E.; Bārdule, A.; Donis, J.; Gerra-Inohosa, L.; Lībiete, Z. Forest inventory data provide useful information for mapping ecosystem services potential. Land 2023, 12, 1836. [Google Scholar] [CrossRef]
- Hodnebrog, Ø.; Myhre, G.; Jouan, C.; Andrews, T.; Forster, P.M.; Jia, H.; Schulz, M. Recent reductions in aerosol emissions have increased Earth’s energy imbalance. Commun. Earth Environ. 2024, 5, 166. [Google Scholar] [CrossRef]
- Raghuraman, S.P.; Paynter, D.; Ramaswamy, V. Anthropogenic forcing and response yield observed positive trend in Earth’s energy imbalance. Nat. Commun. 2021, 12, 4577. [Google Scholar] [CrossRef]
- Tran, T.-N.-D.; Lakshmi, V. Enhancing human resilience against climate change: Assessment of hydroclimatic extremes and sea level rise impacts on the Eastern Shore of Virginia, United States. Sci. Total Environ. 2024, 947, 174289. [Google Scholar] [CrossRef]
- United Nations. The Sustainable Development Goals Report. 2019. Available online: https://unstats.un.org/sdgs/report/2019/The-Sustainable-Development-Goals-Report-2019.pdf (accessed on 8 May 2024).
- Central Statistical Office of Latvia. Mežaudžu Platība un Mežainums Statistiskajos Reģionos Gada Sākumā—Teritoriālā Vienība, Mērvienība un Laika Periods. Available online: https://data.stat.gov.lv/pxweb/lv/OSP_PUB/START__NOZ__ME__MEP/MEM020/table/tableViewLayout1/ (accessed on 5 May 2024).
- AS “Latvijas valsts meži”. Meža Apsaimniekošanas Plāns Publiskā Daļa. Available online: https://www.lvm.lv/images/lvm/sabiedribai/meza_apsaimniekosana/MAP/KOPEJIE/meza_apsaimniekosanas_plana-publiska-dala.pdf (accessed on 5 May 2024).
- Rendenieks, Z.; Liepa, L.; Nikodemus, O. Spatial patterns and species composition of new forest areas present challenges for forest management in Latvia. For. Ecol. Manag. 2022, 509, 120097. [Google Scholar] [CrossRef]
- Menzel, A.; Sparks, T.H.; Estrella, N.; Koch, E.; Aasa, A.; Ahas, R.; Zust, A.N.A. European phenological response to climate change matches the warming pattern. Glob. Chang. Biol. 2006, 12, 1969–1976. [Google Scholar] [CrossRef]
- Chen, C.; He, B.; Guo, L.; Zhang, Y.; Xie, X.; Chen, Z. Identifying critical climate periods for vegetation growth in the Northern Hemisphere. J. Geophys. Res. Biogeosci. 2018, 123, 2541–2552. [Google Scholar] [CrossRef]
- Kalvāne, G.; Kalvāns, A.; Ģērmanis, A. Long-term phenological data set of multi-taxonomic groups, agrarian activities and abiotic parameters from Latvia, northern Europe. Earth Syst. Sci. Data Discuss. 2021, 13, 4621–4633. [Google Scholar] [CrossRef]
- IPCC. Climate Change and Land: An IPCC Special Report on Climate Change, Desertification, Land Degradation, Sustainable Land Management, Food Security, and Greenhouse Gas Fluxes in Terrestrial Ecosystems; Shukla, P.R., Skea, J., Calvo Buendia, E., Masson-Delmotte, V., Pörtner, H.-O., Roberts, D.C., Zhai, P., Slade, R., Connors, S., van Diemen, S., et al., Eds.; Intergovernmental Panel on Climate Change (IPCC): Geneva, Switzerland, 2019; Available online: https://www.ipcc.ch/srccl/ (accessed on 25 January 2024).
- Wu, M.; Zhu, S.; He, H.; Zhang, X.; Wang, C.; Li, S.; Zhang, W.; Jansson, P.-E. Modeling the recent drought and thinning impacts on energy, water and carbon fluxes in a boreal forest. Sci. Total Environ. 2024, 955, 177187. [Google Scholar] [CrossRef]
- Linder, M.; Fitzgerald, J.B.; Zimmermann, N.E.; Reyer, C.; Delzon, S.; van der Maaten, E.; Schelhaas, M.-J.; Lasch, P.; Eggers, J.; van der Maaten-Theynissen, M.; et al. Climate chnge and European forests: What do we know, what are the uncertainties, and what are the implications for forest management? J. Environ. Manag. 2014, 146, 69–83. [Google Scholar] [CrossRef] [PubMed]
- Warden, L.; Moros, M.; Neumann, T.; Shennan, S.; Timpson, A.; Manning, K.; Sollai, M.; Wacker, L.; Perner, K.; Häusler, K.; et al. Climate induced human demographic and cultural change in Northern Europe during the mid-Holocene. Sci. Rep. 2017, 7, 15251. [Google Scholar] [CrossRef] [PubMed]
- Wessely, J.; Essl, F.; Fiedler, K.; Gattringer, A.; Hulber, B.; Ignateva, O.; Moser, D.; Rammer, W.; Dullinger, S.; Seidl, R. A climate-induced tree species bottleneck for forest management in Europe. Nat. Ecol. Evol. 2024, 8, 1109–1117. [Google Scholar] [CrossRef]
- Dyderski, M.K.; Paz, S.; Frelich, L.E.; Jagodziński, A.M. How much does climate change threaten European forest tree species distributions? Glob. Chang. Biol. 2017, 24, 1150–1163. [Google Scholar] [CrossRef] [PubMed]
- Heikkilä, M.; Seppä, H. Holocene climate dynamics in Latvia, eastern Baltic region: A pollen-based summer temperature reconstruction and regional comparison. Boreas 2010, 39, 705–719. [Google Scholar] [CrossRef]
- Ruddiman, W.F. Earth’s Climate: Past and Future, 3rd ed.; Macmillan Education: New York, NY, USA, 2014. [Google Scholar]
- Heikkila, M.; Fontana, S.L.; Seppa, H. Rapid Lateglacial tree population dynamics and ecosystem changes in the eastern Baltic region. J. Quat. Sci. 2009, 24, 802–815. [Google Scholar] [CrossRef]
- Stankevica, K.; Kalnina, L.; Klavins, M.; Cerina, A.; Ustupe, L.; Kaup, E. Reconstruction of the Holocene palaeoenvironmental conditions accordingly to the multi proxy sedimentary records from Lake Pilvelis, Latvia. Quat. Int. 2015, 386, 102–115. [Google Scholar] [CrossRef]
- Reitalu, T.; Gerhold, P.; Poska, A.; Partei, M.; Vali, V.; Veski, S. Novel insights into post-glacial vegetation change: Functional and phylogenetic diversity in pollen records. J. Veg. Sci. 2015, 26, 911–922. [Google Scholar] [CrossRef]
- Stancikaite, M.; Zernitskaya, V.; Kluczyńska, G.; Valunas, D.; Gedminiene, L.; Uogintas, D.; Skuratovic, Z.; Vlasov, B.; Gasteviciene, N.; Ezerinskis, Z.; et al. The Lateglacial and Early Holocene vegetation dynamics: New multi-proxy data from the central Belarus. Quat. Int. 2022, 630, 121–136. [Google Scholar] [CrossRef]
- Marquer, L.; Gaillard, M.J.; Sugita, S.; Trondman, A.K.; Mazier, F.; Nielsen, A.B.; Seppä, H. Holocene changes in vegetation composition in northern Europe: Why quantitative pollen-based vegetation reconstructions matter. Quat. Sci. Rev. 2014, 90, 199–216. [Google Scholar] [CrossRef]
- Odgaard, B.V. Fossil pollen as a record of past biodiversity. J. Biogeogr. 1999, 26, 7–17. [Google Scholar] [CrossRef]
- Izdebski, A.; Guzowski, P.; Poniat, R.; Masci, L.; Palli, J.; Vignola, C.; Masi, A. Palaeoecological data indicates land-use changes across Europe linked to spatial heterogeneity in mortality during the Black Death pandemic. Nat. Ecol. Evol. 2022, 6, 297–306. [Google Scholar] [CrossRef] [PubMed]
- Sugita, S. Theory of quantitative reconstruction of vegetation. II. All you need is LOVE. Holocene 2007, 17, 243–257. [Google Scholar] [CrossRef]
- Stivrins, N.; Briede, A.; Steinberga, D.; Jasiunas, N.; Jeskins, J.; Kalnina, L.; Trasune, L. Natural and Human-Transformed Vegetation and Landscape Reflected by Modern Pollen Data in the Boreonemoral Zone of Northeastern Europe. Forests 2021, 12, 1166. [Google Scholar] [CrossRef]
- Grudzinska, I.; Vassiljev, J.; Saarse, L.; Reitalu, T.; Veski, S. Past environmental change and seawater intrusion into coastal Lake Lilaste, Latvia. J. Paleolimnol. 2017, 57, 257–271. [Google Scholar] [CrossRef]
- Kalinska, E.; Stivrins, N.; Grudzinska, I. Quartz grains reveal sedimentary palaeoenvironmemt and past storm events: A case study from eastern Baltic. Estuar. Coast. Shelf Sci. 2018, 200, 359–370. [Google Scholar] [CrossRef]
- Reimer, P.J.; Austin, W.E.N.; Bard, E.; Bayliss, A.; Blackwell, P.G.; Bronk Ramsey, C.; Butzin, M.; Cheng, H.; Edwards, R.L.; Friedrich, M.; et al. The IntCal20 Northern hemisphere radiocarbon age calibration curve (0–55 cal kBP). Radiocarbon 2020, 62, 725–757. [Google Scholar] [CrossRef]
- R Core Team. R: A Language and Environment for Statistical Computing; R Foundation for Statistical Computing: Vienna, Austria, 2014; Available online: http://www.R-project.org/ (accessed on 12 October 2024).
- Blaauw, M. Methods and code for ‘classical’ age-modelling of radiocarbon sequences. Quat. Geochronol. 2010, 5, 512–518. [Google Scholar] [CrossRef]
- Stockmarr, J. Tablets with spores used in absolute pollen analysis. Pollen Spores 1971, 13, 615–621. [Google Scholar]
- Bennett, K.D.; Willis, K.J. Pollen. In Terrestrial, Algal, and Siliceous Indicators. Tracking Environmental Change Using Lake Sediments; Smol, J.P., Birks, H.J.B., Eds.; Kluwer Academic Publishers: Norwell, MA, USA, 2001; Volume 3, pp. 5–32. [Google Scholar]
- Berglund, B.E.; Ralska-Jasiewiczowa, M. Pollen Analysis and pollen diagrams. In Handbook of Holocene Palaeoecology and Palaeohydrology; Berglund, B.E., Ed.; Wiley: Hoboken, NJ, USA, 1986; pp. 455–484. [Google Scholar]
- Seppä, H.; Alenius, T.; Muukkonen, P.; Giesecke, T.; Miller, P.A.; Ojala, A.E.K. Calibrated pollen accumulation rates as a basis for quantitative tree biomass reconstructions. Holocene 2009, 19, 209–220. [Google Scholar] [CrossRef]
- Hammer, Ø.; Harper, D.A.T.; Ryan, P.D. PAST: Paleontological statistics software package for education and data analysis. Palaeontol. Electron. 2001, 4, 1. [Google Scholar]
- Box, G.E.P.; Cox, D.R. An analysis of transformations. J. R. Stat. Soc. Ser. B 1964, 26, 211–252. [Google Scholar] [CrossRef]
- Walker, M.; Gibbard, P.; Head, M.J.; Berkelhammer, M.; Bjorck, S.; Cheng, H.; Cwynar, L.C.; Fisher, D.; Gkinis, V.; Long, A.; et al. Formal subdivision of the Holocene series/epoch: A summary. J. Geol. Soc. India 2019, 93, 135–141. [Google Scholar] [CrossRef]
- Amon, L.; Veski, S.; Vassiljev, J. Tree taxa immigration to the eastern Baltic region, southeastern sector of Scandinavian glaciation during the Late-glacial period (14,500–11,700 cal. B.P.). Veg. Hist. Archaeobotany 2014, 23, 207–216. [Google Scholar] [CrossRef]
- Stivrins, N.; Kalnina, L.; Veski, S.; Zeimule, S. Local and regional Holocene vegetation dynamics at two sites in eastern Latvia. Boreal Environ. Res. 2014, 19, 310–322. [Google Scholar]
- Seppa, H.; Alenius, T.; Bradshaw, R.H.W.; Giesecke, T.; Heikkila, M.; Muukkonen, P. Invasion of Norway spruce (Picea abies) and the rise of the boreal ecosystem in Fennoscandia. J. Ecol. 2009, 97, 629–640. [Google Scholar] [CrossRef]
- Kangur, M.; Koff, T.; Punning, J.M.; Vainu, M.; Vandel, E. Lithology and biostratigraphy of the Holocene succession of Lake Kuzi, Vidzeme Heights (Central Latvia). Geol. Q. 2009, 54, 199–208. [Google Scholar]
- Stivrins, N.; Kolaczek, P.; Reitalu, T.; Seppa, H.; Veski, S. Phytoplankton response to the environmental and climatic variability in a temperate lake over the last 14,500 years in eastern Latvia. J. Paleolimnol. 2015, 54, 103–119. [Google Scholar] [CrossRef]
- Lindberg, H.; Aakala, T.; Vanha-Majamaa, I. Moisture content variation of ground vegetation fuels in boreal mesic and sub-xeric mineral soil forests in Finland. Int. J. Wildland Fire 2021, 30, 283–293. [Google Scholar] [CrossRef]
- Tweeted, M.A.; Calcite, R.R.; Lynch, E.A.; Hotchkiss, S.C.; Schuurman, G.W. Geophysical features influence the climate change sensitivity of northern Wisconsin pine and oak forests. Ecol. Appl. 2015, 25, 1984–1996. [Google Scholar]
- Seppä, H.; Bjune, A.E.; Telford, R.J.; Birks, H.J.B.; Veski, S. Last nine-thousand years of temperature variability in Northern Europe. Clim. Past 2009, 5, 523–535. [Google Scholar] [CrossRef]
- Väliranta, M.; Salonen, J.S.; Heikkilä, M.; Amon, L.; Helmens, K.; Klimaschewski, A.; Birks, H.H. Plant macrofossil evidence for an early onset of the Holocene summer thermal maximum in northernmost Europe. Nat. Commun. 2015, 6, 6809. [Google Scholar] [CrossRef] [PubMed]
- Salonen, J.S.; Helmens, K.F.; Seppä, H.; Birks, H.J.B. Pollen-based palaeoclimate reconstructions over long glacial–interglacial timescales: Methodological tests based on the Holocene and MIS 5d–c deposits at Sokli, northern Finland. J. Quat. Sci. 2013, 28, 271–282. [Google Scholar] [CrossRef]
- Matisons, R.; Metslaid, S.; Hordo, M.; Kask, R.; Kangur, A.; Salminen, H.; Jansons, A. Direct and carry-over effects of temperature drive height increment of Scots pine in the North-Eastern Baltic Sea region. Forests 2023, 14, 791. [Google Scholar] [CrossRef]
- Stivrins, N.; Doniņa, I.; Auns, M.; Blaus, A.; Liiv, M.; Steinberga, D.; Grudzinska, I. Anthropogenic impact on a seacoast landscape during the last 1300 years in central Latvia, Northeastern Europe. Geoarchaeology 2023, 38, 466–481. [Google Scholar] [CrossRef]
- Pujāte, A. Vides Apstākļu Izmaiņu un Cilvēka Darbības Pēdas Rīgas Līča Piekrastes Ezeru Nogulumos. Promocijas Darbs. Rīga, Ģeogrāfijas un Zemes Zinātņu Fakultāte. Ph.D. Thesis, Latvijas Universitāte, Rīga, Latvia, 2015. [Google Scholar]
- Crowther, T.W.; Maynard, D.S.; Leff, J.W.; Oldfield, E.E.; McCulley, R.L.; Fierer, N.; Bradford, M.A. Predicting the responsiveness of soil biodiversity to deforestation: A cross-biome study. Glob. Chang. Biol. 2014, 20, 2983–2994. [Google Scholar] [CrossRef]
- European Commission. Nature Restoration Law. Available online: https://environment.ec.europa.eu/topics/nature-and-biodiversity/nature-restoration-law_en (accessed on 8 May 2024).
- Kalinska, E.; Weckwerth, P.; Lamsters, K.; Alexanderson, H.; Martewicz, J.; Rosentau, A. Paleostorm redeposition and post-glacial coastal chronology in the eastern Baltic Sea, Latvia. Geomorphology 2024, 467, 109456. [Google Scholar] [CrossRef]
- Durrant, T.H.; De Rigo, D.; Caudullo, G. Pinus sylvestris in Europe: Distribution, habitat, usage and threats. Eur. Atlas For. Tree Species 2016, 14, 845–846. [Google Scholar]







| Depth, cm (From Water Surface) | Lab Code | Date | Dating Method |
|---|---|---|---|
| 218 | SFAP | −55–−70 cal BP | Spheroidal Fly Ash Particles |
| 380 | Poz-63856 | 2385 ± 30 | 14C AMS |
| 515–520 | Tln-3500 | 3793 ± 60 | 14C conventional |
| 540–545 | Tln-3497 | 3920 ± 55 | 14C conventional |
| 660 | Poz-63857 | 4880 ± 30 | 14C AMS |
| 878 | Poz-57601 | 6370 ± 40 | 14C AMS |
| 1050 | Poz-63858 | 7810 ± 35 | 14C AMS |
| 1222 | Poz-48438 | 9630 ± 60 | 14C AMS |
| 1240 | Poz-48439 | 9710 ± 50 | 14C AMS |
Disclaimer/Publisher’s Note: The statements, opinions and data contained in all publications are solely those of the individual author(s) and contributor(s) and not of MDPI and/or the editor(s). MDPI and/or the editor(s) disclaim responsibility for any injury to people or property resulting from any ideas, methods, instructions or products referred to in the content. |
© 2025 by the authors. Licensee MDPI, Basel, Switzerland. This article is an open access article distributed under the terms and conditions of the Creative Commons Attribution (CC BY) license (https://creativecommons.org/licenses/by/4.0/).
Share and Cite
Stivrins, N.; Jarmakovica, M. Influence of Geological and Soil Factors on Pine, Birch, and Alder Stability During the Holocene Climate Change in Central Latvia, Northeastern Europe. Quaternary 2025, 8, 2. https://doi.org/10.3390/quat8010002
Stivrins N, Jarmakovica M. Influence of Geological and Soil Factors on Pine, Birch, and Alder Stability During the Holocene Climate Change in Central Latvia, Northeastern Europe. Quaternary. 2025; 8(1):2. https://doi.org/10.3390/quat8010002
Chicago/Turabian StyleStivrins, Normunds, and Marianna Jarmakovica. 2025. "Influence of Geological and Soil Factors on Pine, Birch, and Alder Stability During the Holocene Climate Change in Central Latvia, Northeastern Europe" Quaternary 8, no. 1: 2. https://doi.org/10.3390/quat8010002
APA StyleStivrins, N., & Jarmakovica, M. (2025). Influence of Geological and Soil Factors on Pine, Birch, and Alder Stability During the Holocene Climate Change in Central Latvia, Northeastern Europe. Quaternary, 8(1), 2. https://doi.org/10.3390/quat8010002

