SLEEPexpert+: Blending Internet-Based Cognitive Behavioral Therapy for Insomnia with In-Person Psychotherapy—A Feasibility Study in Routine Care
Abstract
:1. Introduction
2. Materials and Methods
2.1. Ethics Approval
2.2. Blended Treatment of Insomnia at the Swiss Sleep House Bern
2.3. SLEEPexpert+
2.4. Procedure
2.5. Participants
2.6. Measures
2.6.1. Semi-Structured Therapist Interviews
2.6.2. Sleep Diaries
2.6.3. Patients’ Self-Report Questionnaires
2.6.4. Usage Data
2.7. Data Analysis
3. Results
3.1. Summary of the Qualitative Analysis
3.1.1. General Attitude toward b-CBT-I
I am really convinced that this [blended treatment] will be standard in a few years.The main thing is that people stick with it [the online component of the intervention], and a bit of motivational work is necessary, and this motivational work is conducted by addressing people personally.I believe that it is a good medium for deepening information and doing exercises independently.
(…) I am a passionate psychotherapist, and I believe that contact and relationships heal. I do not want to replace them [contact and relationships].It is important that a human being sits there and not a computer program. This aspect of therapy should not disappear.I think online therapies are generic, (…) they are not individually tailored.(…) but I am also afraid that something will be lost or that health insurance companies will continue to cut back on therapies and say, “Yes, there is an app”.
3.1.2. Expectations Regarding SLEEPexpert+
[An online sleep diary] might be easier for some [patients] than a paper-and-pencil sleep diary.In terms of content, (…) psychoeducation, sleep restriction, stimulus control, sleep hygiene (…) progressive muscle relaxation, cognitive restructuring, (…) a prophylactic module for relapse prevention (…) typically protocols like relaxation, thought, and sleep protocols.
I have the feeling that people who are perfectionists and who are very focused on tracking with smartwatches… I have the feeling that if I give them SLEEPexpert+, this would somehow increase the negative attention.There are also perfectionist self-optimizers. They think, “Maybe there is something else that I have not come across yet, to find the philosopher’s stone after all… maybe there is something else that I have not tried yet”.
I imagine that (…), especially if the intervals become a bit longer [between therapy sessions] (…) that we could increasingly use SLEEPexpert+.(…) you can refer patients… like, “Yes, there is a good video on muscle relaxation; take a look at it”, or “If you want to deepen that, take another look at the psychoeducation module; there is a good video on the two-process model”.
3.1.3. Experiences Regarding SLEEPexpert+
It makes sense to outsource certain things (…) I do not have to do progressive muscle relaxation with the patient, and (…) he can do it on his own with a cool video and a pleasant voice.We can concentrate on the essential problems not treated in the online components.I felt supported by SLEEPexpert+. It [SLEEPexpert+] takes something off my shoulders.
I thought it was great that it was very strongly video-based (…). I think that makes the whole thing less tiring. (…) I was very happy that it was not overloaded with text.I liked the language [of the videos]. I did not find it complicated or overly scientific.It was reassuring to have information from a reliable source.
(…) she [the patient] was so fearful about sleep (…), SLEEPexpert+ would probably make it even worse because there is more information, and she would think, “Oh, I still have to pay attention to this and this and this”.
I am surprised that I prefer the sleep diary in paper-and-pencil form… I do not know, but it is just nice to see the visualization (…) you can see quickly, based on the visual impression [of the paper-and-pencil sleep diary], how the sleep has improved or worsened. You can say, “Hey, you have been lying in bed too long”.
3.1.4. Integration of SLEEPexpert+
I must adapt my therapeutic style (…) I must plan time for the explanation of the online materials and the integration of the online resources.I had to learn how to treat insomnia myself. I gathered more routine over the last two months (…). In the beginning, I simply had to structure myself (…).(…) there is always something homework-like about it, and many patients hate that. (…) when they realize, “I have to listen to something; I have to absorb information”, they drop out.
I have many older patients who were initially skeptical about the web application, and I ended up opening the platform [SLEEPexpert+] to provide a brief introduction. I said, “It looks like this; on the left is this navigation bar, (…) here are the different sections”. This created a sense of security. I have the impression that this also increased trust in the system. When I, as a therapist, showed it to them and did not just hand them a piece of paper [with the login information of SLEEPexpert+]… this promoted the interaction.
3.1.5. Suggested Changes to SLEEPexpert+
What I think is missing in SLEEPexpert+ is acceptance. (…) Especially with chronic patients, sleep presents itself as a monster, and the more you fight with the monster, the worse it becomes (…) you must live with the fact that you are just not a good sleeper and that you wake up three to four times a night.(…) a small collection of background sounds for sleeping, such as nature sounds or white noise, (…) because many [patients] are noise sensitive.I would have liked it [the design] to be more interactive. I found it static. I thought to myself, “It is the content that is important, and I buy into that”, but the design lacked a certain appeal.
3.1.6. Therapeutic Relationship and SLEEPexpert+
You can give the patients something, and that (…) improves the therapeutic relationship as well. Because then credibility (…) and trust in the therapy can improve.You send a message to the patients, “Hey, I am convinced that you can do this on your own; you do not need me as much as you thought at the beginning”, (…) and that can be a positive signal for the patient’s self-efficacy.I am not sure whether this leads to a deterioration or improvement [of the therapeutic relationship] if I act differently than what is said in the tool, which has a university logo on it.
3.2. Results from the Quantitative Analysis
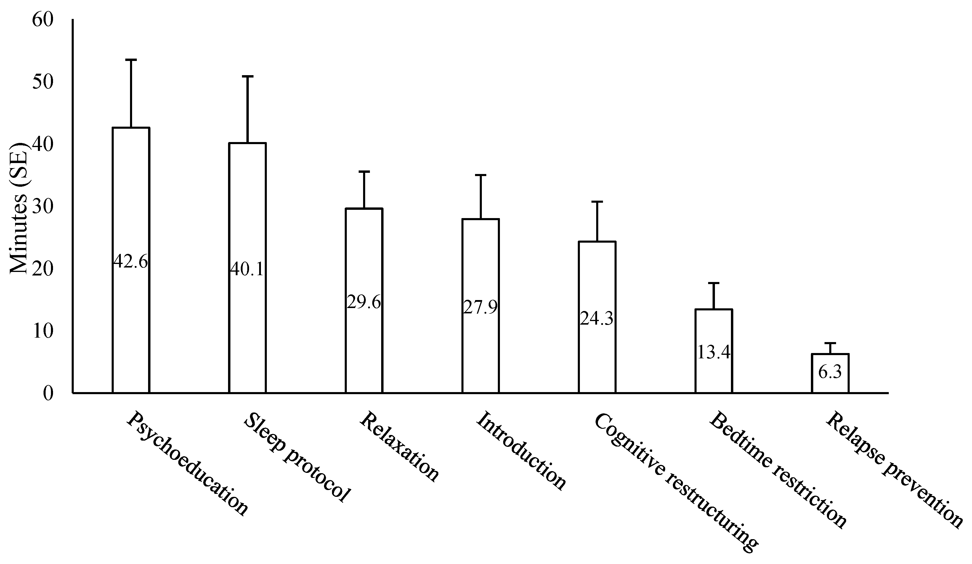
3.2.1. Usage of the SLEEPexpert+
3.2.2. b-CBT-I Outcomes in the Form of Case Studies
4. Discussion
Author Contributions
Funding
Institutional Review Board Statement
Informed Consent Statement
Data Availability Statement
Acknowledgments
Conflicts of Interest
References
- Riemann, D.; Baum, E.; Cohrs, S.; Crönlein, T.; Hajak, G.; Hertenstein, E.; Klose, P.; Langhorst, J.; Mayer, G.; Nissen, C.; et al. S3-Leitlinie nicht erholsamer Schlaf/Schlafstörungen. Somnologie 2017, 21, 2–44. [Google Scholar] [CrossRef]
- Morin, C.M.; Jarrin, D.C. Epidemiology of insomnia: Prevalence, course, risk factors, and public health burden. Sleep Med. Clin. 2023, 8, 281–297. [Google Scholar] [CrossRef]
- Morin, C.M.; Bootzin, R.R.; Buysse, D.J.; Edinger, J.D.; Espie, C.A.; Lichstein, K.L. Psychological and behavioral treatment of insomnia: Update of the recent evidence (1998–2004). Sleep 2006, 29, 1398–1414. [Google Scholar] [CrossRef] [PubMed]
- Morin, C.M.; Bélanger, L.; LeBlanc, M.; Ivers, H.; Savard, J.; Espie, C.A.; Mérette, C.; Baillargeon, L.; Grégoire, J.-P. The natural history of insomnia: A population-based 3-year longitudinal study. Arch. Intern. Med. 2009, 169, 447–453. [Google Scholar] [CrossRef] [PubMed]
- Morphy, H.; Dunn, K.M.; Lewis, M.; Boardman, H.F.; Croft, P.R. Epidemiology of insomnia: A longitudinal study in a UK population. Sleep 2007, 30, 274–280. [Google Scholar] [CrossRef]
- Benca, R.M.; Peterson, M.J. Insomnia and depression. Sleep Med. 2008, 9, S3–S9. [Google Scholar] [CrossRef]
- Fernandez-Mendoza, J.; Vgontzas, A.N. Insomnia and its impact on physical and mental health. Curr. Psychiatry Rep. 2013, 15, 418. [Google Scholar] [CrossRef]
- Javaheri, S.; Redline, S. Insomnia and risk of cardiovascular disease. Chest 2017, 152, 435–444. [Google Scholar] [CrossRef]
- Espie, C.A. “Stepped care”: A health technology solution for delivering cognitive behavioral therapy as a first line insomnia treatment. Sleep 2009, 32, 1549–1558. [Google Scholar] [CrossRef]
- Espie, C.A.; Hames, P.; McKinstry, B. Use of the internet and mobile media for delivery of cognitive behavioral insomnia therapy. Sleep Med. Clin. 2013, 8, 407–419. [Google Scholar] [CrossRef]
- Muench, A.; Vargas, I.; A Grandner, M.; Ellis, J.G.; Posner, D.; Bastien, C.H.; Drummond, S.P.; Perlis, M.L. We know CBT-I works, now what? Fac. Rev. 2022, 11, 4. [Google Scholar] [CrossRef] [PubMed]
- Andersson, G. Internet-delivered psychological treatments. Annu. Rev. Clin. Psychol. 2016, 12, 157–179. [Google Scholar] [CrossRef] [PubMed]
- Berger, T. Online- und Computergestützte Interventionen. In Verhaltenstherapiemanual—Erwachsene, 9th ed.; Linden, M., Hautzinger, M., Eds.; Springer: Berlin/Heidelberg, Germany, 2022; pp. 377–381. [Google Scholar] [CrossRef]
- Drerup, M.L.; Ahmed-Jauregui, S. Online delivery of cognitive behavioral therapy-insomnia: Considerations and controversies. Sleep Med. Clin. 2019, 14, 283–290. [Google Scholar] [CrossRef] [PubMed]
- Berger, T.; Krieger, T. Internet-Interventionen: Ein Überblick. Psychother. Dialog 2018, 19, 18–24. [Google Scholar] [CrossRef]
- Bielinski, L.L.; Trimpop, L.; Berger, T. All in the mix? Blended psychotherapy as an example of digitalization in psychotherapy. Psychotherapeut 2021, 66, 447–454. [Google Scholar] [CrossRef]
- Erbe, D.; Eichert, H.-C.; Riper, H.; Ebert, D.D. Blending face-to-face and internet-based interventions for the treatment of mental disorders in adults: Systematic review. J. Med. Internet Res. 2017, 19, e306. [Google Scholar] [CrossRef]
- Andersson, G. Internet interventions: Past, present and future. Internet Interv. 2018, 12, 181–188. [Google Scholar] [CrossRef]
- Berger, T.; Bur, O.; Krieger, T. Internet-Interventionen in der Psychotherapie. Psychother. Psychosom. Med. Psychol. 2019, 69, 413–426. [Google Scholar] [CrossRef]
- Luik, A.I.; Espie, C.A. Digital CBT for Insomnia. In Cognitive-Behavioural Therapy for Insomnia (CBT-I) across the Life Span: Guidelines and Clinical Protocols for Health Professionals; Baglioni, C., Espie, C.A., Riemann, D., Eds.; John Wiley & Sons: Oxford, UK, 2022; pp. 234–242. [Google Scholar]
- Berger, T.; Andersson, G. Internetbasierte Psychotherapien: Besonderheiten und empirische Evidenz. Psychother. Psychosom. Med. Psychol. 2009, 59, 159–170. [Google Scholar] [CrossRef]
- Musiat, P.; Goldstone, P.; Tarrier, N. Understanding the acceptability of e-mental health-attitudes and expectations towards computerised self-help treatments for mental health problems. BMC Psychiatry 2014, 14, 109. [Google Scholar] [CrossRef]
- Thase, M.E.; Wright, J.H.; Eells, T.D.; Barrett, M.S.; Wisniewski, S.R.; Balasubramani, G.; McCrone, P.; Brown, G.K. Improving the efficiency of psychotherapy for depression: Computer-assisted versus standard CBT. Am. J. Psychiatry 2018, 175, 242–250. [Google Scholar] [CrossRef] [PubMed]
- Jernelöv, S.; Lekander, M.; Blom, K.; Rydh, S.; Ljótsson, B.; Axelsson, J.; Kaldo, V. Efficacy of a behavioral self-help treatment with or without therapist guidance for co-morbid and primary insomnia-a randomized controlled trial. BMC Psychiatry 2012, 12, 5. [Google Scholar] [CrossRef] [PubMed]
- Seyffert, M.; Lagisetty, P.; Landgraf, J.; Chopra, V.; Pfeiffer, P.N.; Conte, M.L.; Rogers, M.A. Internet-delivered cognitive behavioral therapy to treat insomnia: A systematic review and meta-analysis. PLoS ONE 2016, 11, e0149139. [Google Scholar] [CrossRef] [PubMed]
- Van Straten, A.; Cuijpers, P. Self-help therapy for insomnia: A meta-analysis. Sleep Med. Rev. 2009, 13, 61–71. [Google Scholar] [CrossRef]
- Ye, Y.-Y.; Chen, N.-K.; Chen, J.; Liu, J.; Lin, L.; Liu, Y.-Z.; Lang, Y.; Li, X.-J.; Yang, X.-J.; Jiang, X.-J. Internet-based cognitive–behavioural therapy for insomnia (ICBT-i): A meta-analysis of randomised controlled trials. BMJ Open 2016, 6, e010707. [Google Scholar] [CrossRef]
- Zachariae, R.; Lyby, M.S.; Ritterband, L.M.; O’Toole, M.S. Efficacy of internet-delivered cognitive-behavioral therapy for insomnia—A systematic review and meta-analysis of randomized controlled trials. Sleep Med. Rev. 2016, 30, 1–10. [Google Scholar] [CrossRef]
- Espie, C.A.; Emsley, R.; Kyle, S.D.; Gordon, C.; Drake, C.L.; Siriwardena, A.N.; Cape, J.; Ong, J.C.; Sheaves, B.; Foster, R.; et al. Effect of digital cognitive behavioral therapy for insomnia on health, psychological well-being, and sleep-related quality of life: A randomized clinical trial. JAMA Psychiatry 2019, 76, 21–30. [Google Scholar] [CrossRef]
- Cheng, S.K.; Dizon, J. Computerised cognitive behavioural therapy for insomnia: A systematic review and meta-analysis. Psychother. Psychosom. 2012, 81, 206–216. [Google Scholar] [CrossRef]
- Hertenstein, E.; Trinca, E.; Wunderlin, M.; Schneider, C.L.; Züst, M.A.; Fehér, K.D.; Su, T.; Straten, A.V.; Berger, T.; Baglioni, C.; et al. Cognitive behavioral therapy for insomnia in patients with mental disorders and comorbid insomnia: A systematic review and meta-analysis. Sleep Med. Rev. 2022, 62, 101597. [Google Scholar] [CrossRef]
- Wu, J.Q.; Appleman, E.R.; Salazar, R.D.; Ong, J.C. Cognitive behavioral therapy for insomnia comorbid with psychiatric and medical conditions: A meta-analysis. JAMA Intern. Med. 2015, 175, 1461–1472. [Google Scholar] [CrossRef]
- Hagatun, S.; Vedaa, Ø.; Harvey, A.G.; Nordgreen, T.; Smith, O.R.; Pallesen, S.; Havik, O.E.; Thorndike, F.P.; Ritterband, L.M.; Sivertsen, B. Internet-delivered cognitive-behavioral therapy for insomnia and comorbid symptoms. Internet Interv. 2018, 12, 11–15. [Google Scholar] [CrossRef] [PubMed]
- Thorndike, F.P.; Ritterband, L.M.; Gonder-Frederick, L.A.; Lord, H.R.; Ingersoll, K.S.; Morin, C.M. A randomized controlled trial of an internet intervention for adults with insomnia: Effects on comorbid psychological and fatigue symptoms. J. Clin. Psychol. 2013, 69, 1078–1093. [Google Scholar] [CrossRef] [PubMed]
- Berger, T.; Krieger, T.; Sude, K.; Meyer, B.; Maercker, A. Evaluating an e-mental health program (“deprexis”) as adjunctive treatment tool in psychotherapy for depression: Results of a pragmatic randomized controlled trial. J. Affect. Disord. 2018, 227, 455–462. [Google Scholar] [CrossRef]
- Zwerenz, R.; Becker, J.; Knickenberg, R.J.; Siepmann, M.; Hagen, K.; Beutel, M.E. Online self-help as an add-on to inpatient psychotherapy: Efficacy of a new blended treatment approach. Psychother. Psychosom. 2017, 86, 341–350. [Google Scholar] [CrossRef]
- Kenter, R.M.; van de Ven, P.M.; Cuijpers, P.; Koole, G.; Niamat, S.; Gerrits, R.S.; Willems, M.; van Straten, A. A randomized controlled trial comparing guided Internet-based multi-component treatment and Internet-based guided sleep restriction treatment to care as usual in insomnia. Sleep Med. 2019, 62, 43–52. [Google Scholar] [CrossRef]
- Schneider, C.L.; Hertenstein, E.; Fehér, K.; Maier, J.G.; Cantisani, A.; Moggi, F.; Berger, T.; Nissen, C. Become your own SLEEPexpert: Design, implementation, and preliminary evaluation of a pragmatic behavioral treatment program for insomnia in inpatient psychiatric care. Sleep Adv. 2020, 1, zpaa005. [Google Scholar] [CrossRef] [PubMed]
- Bielinski, L.L.; Bur, O.T.; Wälchli, G.; Suter, J.M.; Walsh, N.; Kley, M.A.; Krieger, T.; Berger, T. Two sides of the same coin? Patient and therapist experiences with a transdiagnostic blended intervention focusing on emotion regulation. Internet Interv. 2022, 30, 100586. [Google Scholar] [CrossRef]
- Walsh, N. Eine Qualitative Inhaltsanalyse der Transdiagnostischen Blended Therapie REMOTION: Positive und Negative Aspekte, Sowie Veränderungsvorschläge aus TherapeutInnensicht. Master Thesis, University of Bern, Bern, Switzerland, 2021. [Google Scholar]
- Bastien, C.H.; Vallières, A.; Morin, C.M. Validation of the Insomnia Severity Index as an outcome measure for insomnia research. Sleep Med. 2001, 2, 297–307. [Google Scholar] [CrossRef]
- Morin, C.M.; Belleville, G.; Bélanger, L.; Ivers, H. The Insomnia Severity Index: Psychometric indicators to detect insomnia cases and evaluate treatment response. Sleep 2011, 34, 601–608. [Google Scholar] [CrossRef]
- Spitzer, R.L.; Kroenke, K.; Williams, J.B.; Löwe, B. A brief measure for assessing generalized anxiety disorder: The GAD-7. Arch. Intern. Med. 2006, 166, 1092–1097. [Google Scholar] [CrossRef]
- Gräfe, K.; Zipfel, S.; Herzog, W.; Löwe, B. Screening psychischer Störungen mit dem “Gesundheitsfragebogen für Patienten (PHQ-D)”. Diagnostica 2004, 50, 171–181. [Google Scholar] [CrossRef]
- Kroenke, K.; Spitzer, R.L.; Williams, J.B. The PHQ-9: Validity of a brief depression severity measure. J. Gen. Intern. Med. 2001, 16, 606–613. [Google Scholar] [CrossRef] [PubMed]
- Sischka, P.E.; Costa, A.P.; Steffgen, G.; Schmidt, A.F. The WHO-5 well-being index—Validation based on item response theory and the analysis of measurement invariance across 35 countries. J. Affect. Disord. 2020, 1, 100020. [Google Scholar] [CrossRef]
- World Health Organization. Wellbeing Measures in Primary Health Care/the DEPCARE Project. In Proceedings of the WHO Meeting, Stockholm, Sweden, 12–13 February 1998. [Google Scholar]
- Birks, M.; Mills, J. Grounded Theory: A Practical Guide; SAGE: Newcastle upon Tyne, UK, 2010. [Google Scholar]
- R Core Team. R: A Language and Environment for Statistical Computing; R Foundation for Statistical Computing: Vienna, Austria, 2016; Available online: https://www.r-project.org/ (accessed on 8 June 2023).
- Kenter, R.M.; van de Ven, P.M.; Cuijpers, P.; Koole, G.; Niamat, S.; Gerrits, R.S.; Willems, M.; van Straten, A. Costs and effects of internet cognitive behavioral treatment blended with face-to-face treatment: Results from a naturalistic study. Internet Interv. 2015, 2, 77–83. [Google Scholar] [CrossRef]
- Buysse, D.J.; Ancoli-Israel, S.; Edinger, J.D.; Lichstein, K.L.; Morin, C.M. Recommendations for a standard research assessment of insomnia. Sleep 2006, 29, 1155–1173. [Google Scholar] [CrossRef]
- Carney, C.E.; Buysse, D.J.; Ancoli-Israel, S.; Edinger, J.D.; Krystal, A.D.; Lichstein, K.L.; Morin, C.M. The consensus sleep diary: Standardizing prospective sleep self-monitoring. Sleep 2012, 35, 287–302. [Google Scholar] [CrossRef]
- Sander, J.; Bolinski, F.; Diekmann, S.; Gaebel, W.; Günther, K.; Hauth, I.; Heinz, A.; Kleiboer, A.; Riper, H.; Trost, N.; et al. Online therapy: An added value for inpatient routine care? Perspectives from mental health care professionals. Eur. Arch. Psychiatry Clin. Neurosci. 2022, 272, 107–118. [Google Scholar] [CrossRef]
- Van der Vaart, R.; Witting, M.; Riper, H.; Kooistra, L.; Bohlmeijer, E.T.; van Gemert-Pijnen, L.J. Blending online therapy into regular face-to-face therapy for depression: Content, ratio and preconditions according to patients and therapists using a Delphi study. BMC Psychiatry 2014, 14, 355. [Google Scholar] [CrossRef]
- Miller, C.B.; Espie, C.A.; Epstein, D.R.; Friedman, L.; Morin, C.M.; Pigeon, W.R.; Spielman, A.J.; Kyle, S.D. The evidence base of sleep restriction therapy for treating insomnia disorder. Sleep Med. Rev. 2014, 18, 415–424. [Google Scholar] [CrossRef]
- Morin, C.M.; LeBlanc, M.; Daley, M.; Gregoire, J.P.; Merette, C. Epidemiology of insomnia: Prevalence, self-help treatments, consultations, and determinants of help-seeking behaviors. Sleep Med. 2006, 7, 123–130. [Google Scholar] [CrossRef]
- Sánchez-Ortuño, M.M.; Edinger, J.D. Cognitive-behavioral therapy for the management of insomnia comorbid with mental disorders. Curr. Psychiatry Rep. 2012, 14, 519–528. [Google Scholar] [CrossRef] [PubMed]
- Barkham, M.; Connell, J.; Stiles, W.B.; Miles, J.N.; Margison, F.; Evans, C.; Mellor-Clark, J. Dose-effect relations and responsive regulation of treatment duration: The good enough level. J. Consult. Clin. Psychol. 2006, 74, 160. [Google Scholar] [CrossRef] [PubMed]


| Module Name | Module Description |
|---|---|
| Introduction | Explanations of the functions and content of SLEEPexpert+ and motivational factors (e.g., how to watch the videos and integrate SLEEPexpert+ in the daily routine) |
| Psychoeducation | Information on sleep, sleep myths, insomnia (e.g., sleep stages, sleep pressure, and circadian rhythms), and stimulus control (e.g., getting out of bed after a certain time of wakefulness) |
| Bedtime restriction | Theory and application of bedtime restriction (e.g., adjustment of a sleep window) |
| Relaxation | Theory and application of guided and unguided relaxation techniques (e.g., a 10 min relaxation video) |
| Cognitive restructuring | Identifying sleep-disturbing thoughts and replacing them with an appropriate and realistic assessment (e.g., exercises for cognitive restructuring) |
| Relapse prevention | Summary of key content and information on relapse prevention and aftercare (e.g., to use a sleep diary every last week of a month to monitor possible worsening of sleep) |
| Participant | Gender | Age | Treatment Duration (Weeks) | Number of f2f Sessions | Comorbidities |
|---|---|---|---|---|---|
| Case 1 | male | 45 | 17 | 7 | Recurrent depressive disorder, experiencing a moderate episode |
| Case 2 | male | 37 | 8 | 4 | Adjustment disorder |
| Case 3 | male | 70 | 16 | 4 | No comorbidities |
| Case 4 | male | 57 | 15 | 4 | Agoraphobia with panic disorder |
| Case 5 | male | 39 | 17 | 4 | Recurrent depressive disorder (currently in remission) |
| Case 6 | female | 60 | 13 | 3 | Specific phobias |
| Participant | Measurement | SE (%) | ISI | GAD | PHQ-9 | WHO-5 |
|---|---|---|---|---|---|---|
| Case 1 | Pre | 65 | 26 | 16 | 16 | 4 |
| Post | 90 | 7 | 5 | 5 | 17 | |
| Case 2 | Pre | 77 | n/a | 10 | 12 | 12 |
| Post | 77 | 15 | 10 | 8 | 16 | |
| Case 3 | Pre | 63 | 24 | n/a | 7 | 7 |
| Post | 82 | 16 | n/a | 6 | 7 | |
| Case 4 | Pre | 70 | 20 | 10 | 8 | 7 |
| Post | 85 | 11 | 5 | 5 | 17 | |
| Case 5 | Pre | 83 | 21 | 6 | 5 | 16 |
| Post | 94 | 7 | 4 | 4 | 16 | |
| Case 6 | Pre | 73 | 17 | 10 | 8 | 9 |
| Post | 89 | 7 | 5 | 7 | 14 |
Disclaimer/Publisher’s Note: The statements, opinions and data contained in all publications are solely those of the individual author(s) and contributor(s) and not of MDPI and/or the editor(s). MDPI and/or the editor(s) disclaim responsibility for any injury to people or property resulting from any ideas, methods, instructions or products referred to in the content. |
© 2023 by the authors. Licensee MDPI, Basel, Switzerland. This article is an open access article distributed under the terms and conditions of the Creative Commons Attribution (CC BY) license (https://creativecommons.org/licenses/by/4.0/).
Share and Cite
Schmid, D.; Duss, S.B.; Hertenstein, E.; Nissen, C.; Schneider, C.L.; Urech, A.; Vorster, A.; Berger, T. SLEEPexpert+: Blending Internet-Based Cognitive Behavioral Therapy for Insomnia with In-Person Psychotherapy—A Feasibility Study in Routine Care. Clin. Transl. Neurosci. 2023, 7, 27. https://doi.org/10.3390/ctn7030027
Schmid D, Duss SB, Hertenstein E, Nissen C, Schneider CL, Urech A, Vorster A, Berger T. SLEEPexpert+: Blending Internet-Based Cognitive Behavioral Therapy for Insomnia with In-Person Psychotherapy—A Feasibility Study in Routine Care. Clinical and Translational Neuroscience. 2023; 7(3):27. https://doi.org/10.3390/ctn7030027
Chicago/Turabian StyleSchmid, Daniel, Simone B. Duss, Elisabeth Hertenstein, Christoph Nissen, Carlotta L. Schneider, Antoine Urech, Albrecht Vorster, and Thomas Berger. 2023. "SLEEPexpert+: Blending Internet-Based Cognitive Behavioral Therapy for Insomnia with In-Person Psychotherapy—A Feasibility Study in Routine Care" Clinical and Translational Neuroscience 7, no. 3: 27. https://doi.org/10.3390/ctn7030027
APA StyleSchmid, D., Duss, S. B., Hertenstein, E., Nissen, C., Schneider, C. L., Urech, A., Vorster, A., & Berger, T. (2023). SLEEPexpert+: Blending Internet-Based Cognitive Behavioral Therapy for Insomnia with In-Person Psychotherapy—A Feasibility Study in Routine Care. Clinical and Translational Neuroscience, 7(3), 27. https://doi.org/10.3390/ctn7030027

