Next Article in Journal / Special Issue
An Imine-Based Two-Dimensional Covalent Organic Framework for Gemcitabine Delivery
Previous Article in Journal
Experimental Investigation of Stability of Emulsions Produced by Catastrophic Phase Inversion Using Non-Ionic Surfactants
Previous Article in Special Issue
Potentiating Virus-like Particles for Mucosal Vaccination Using Material Science Approaches
 
 
Font Type:
Arial Georgia Verdana
Font Size:
Aa Aa Aa
Line Spacing:
Column Width:
Background:
Article

Transient Diffusiophoresis of a Spherical Colloidal Particle

Faculty of Pharmaceutical Sciences, Tokyo University of Science, 2641 Yamazaki, Noda 278-8510, Chiba, Japan
Colloids Interfaces 2025, 9(1), 7; https://doi.org/10.3390/colloids9010007
Submission received: 25 December 2024 / Revised: 15 January 2025 / Accepted: 17 January 2025 / Published: 19 January 2025
(This article belongs to the Special Issue Biocolloids and Biointerfaces: 2nd Edition)

Abstract

A general theoretical approach is introduced to analyze the time-dependent, transient diffusiophoresis of a charged spherical colloidal particle in a symmetrical electrolyte solution when an electrolyte concentration gradient is suddenly applied. We derive a closed-form approximate expression for the relaxation function R(t), which describes the time course of the diffusiophoretic mobility of a weakly charged spherical colloidal particle possessing a thin electrical double layer. The relaxation function depends on the mass density ratio of the particle to the electrolyte solution and the kinematic viscosity. However, it does not depend on the type of electrolyte (e.g., KCl or NaCl). It is also found that the expression for the relaxation function in transient diffusiophoresis of a weakly charged spherical colloidal particle with a thin electrical double layer takes the same form as that for its transient electrophoresis.

1. Introduction

Diffusiophoresis, which refers to the motion of colloidal particles induced by an electrolyte concentration gradient, has garnered significant attention due to its wide range of potential applications. There have been a lot of theoretical studies on the diffusiophoresis of colloidal particles of various types, such as rigid spheres [1,2,3,4,5,6,7,8,9,10,11,12,13], conducting drops or mercury drops [14], and soft particles (polymer-coated particles) [15]. One of the most prominent areas where diffusiophoresis is being applied is in the field of drug delivery systems (DDS), where the ability to direct particles toward specific regions or tissues in the body using concentration gradients could lead to more efficient and targeted therapeutic interventions. Diffusiophoresis plays a critical role in drug delivery systems due to its ability to drive particle motion in response to electrolyte concentration gradients. This mechanism allows for precise control of drug distribution, enabling targeted delivery to specific tissues or cells. Furthermore, the process operates without external energy input, making it highly efficient for applications in microfluidic environments. These advantages position diffusiophoresis as a promising tool in the development of advanced drug-delivery technologies. In addition to these, diffusiophoresis has been explored in various contexts, including environmental processes and materials science, where the controlled transport of particles plays a crucial role in reactions and separations.
Despite the increasing recognition of its importance, most of the research conducted so far has focused on steady-state diffusiophoresis, where the concentration gradient remains constant over time, allowing the particles to move at a constant velocity. This steady-state scenario has been well-characterized and serves as the foundation for our understanding of how particles behave in a diffusive environment. However, the transient dynamics of diffusiophoresis—specifically, the behavior of particles when the concentration gradient is applied suddenly—remains largely unexplored. Understanding this transient response is crucial for practical applications, where sudden changes in the environment are more likely to occur than perfectly steady conditions.
This gap in the literature stands in contrast to the more extensively studied phenomenon of transient electrophoresis. In transient electrophoresis, researchers have investigated how colloidal particles respond when an electric field is suddenly applied, examining how the particles gradually accelerate until they reach their steady-state velocity [15,16,17,18,19,20,21,22,23,24,25,26,27,28,29,30,31,32,33,34]. The foundation of transient electrophoresis theory was established by Morrison [16,17] and Ivory [18,19] and later underwent substantial development through the work of Keh and his collaborators [20,21,22,24,25,26,27,28]. Numerous theoretical investigations have been conducted on transient electrophoresis, addressing various particle types, including rigid spheres [16,19,21,22,24,28,29], rigid cylinders [17,25,26,30], porous particles [27,33,34], and soft particles [15]. In addition to the theories of transient free-solution electrophoresis mentioned above, research has also explored transient gel electrophoresis, focusing on the transient electrophoretic behavior of colloidal particles within polymer gel environments [31,32,33,34,35]. These studies have provided valuable insights into the time-dependent behavior of electrophoresis, which has practical implications for the design of systems that rely on the rapid control of particle movement. However, to the best of our knowledge, similar studies on transient diffusiophoresis, where an electrolyte concentration gradient is abruptly imposed, and the time-dependent response of the particles is measured, have not been conducted.
In the present paper, we aim to address this significant gap in the understanding of diffusiophoresis by investigating how colloidal particles respond to sudden changes in electrolyte concentration gradients. Our study focuses on the transient phase, specifically how particles transition from an initial stationary state, where their velocity is zero, to a final steady state with a constant velocity. By examining the particle motion in response to abrupt concentration changes, we aim to uncover the underlying mechanisms that govern this process and provide a detailed analysis of how long it takes for particles to reach their steady-state motion. This research could have important implications for applications that require fast and precise control of particle motion, such as in microfluidic devices or drug delivery systems, where rapid electrolyte concentration changes are likely to occur.
We present a general theory for the time-dependent, transient diffusiophoresis of a charged spherical colloidal particle in an electrolyte solution when an electrolyte concentration gradient is suddenly applied. We derive an approximate analytical expression for the relaxation function, describing the time course of diffusiophoresis for a weakly charged spherical colloidal particle with a thin electric double layer.
In the present study, we examine the transient diffusiophoresis of colloidal particles under conditions of weak electrolyte concentration gradient fields and low Reynolds numbers. These assumptions are commonly used in similar studies [15,16,17,18,19,20,21,22,23,24,25,26,27,28,29,30,31,32,33,34,35] due to their relevance in many experimental systems. Under such conditions, the response of the colloidal particles is characterized by a rapid approach to steady-state behavior, typically within microseconds. The time scale for the system to reach steady-state velocities is much shorter than the characteristic time scales associated with memory effects, which are typically observed in systems with slower responses or under stronger external fields. Consequently, the history-dependent forces, which are governed by the Basset–Boussinesq kernel and are significant in unsteady Stokes flow [36], have a negligible impact on the particle motion in our case. Previous studies of transient electrokinetics in weak electric fields have shown that the velocity of the colloidal particles rapidly reaches a steady state, rendering the influence of memory effects minimal [15,16,17,18,19,20,21,22,23,24,25,26,27,28,29,30,31,32,33,34,35]. Therefore, we have not considered the memory effect in our model, as it does not significantly affect the results within the given experimental conditions. This simplification allows for a clearer and more tractable theoretical analysis while maintaining consistency with established models in the field.

2. Theory

Let us examine a spherical colloidal particle with radius a, mass density ρp, and zeta potential ζ suspended in an aqueous liquid with relative permittivity εr, mass density ρ0, and viscosity η. The liquid contains a symmetrical electrolyte with valence z, which may exhibit differing ionic drag coefficients λ+ for cations and λ for anions. We use a spherical coordinate system (r, θ, ϕ) with the origin at the center of the particle (Figure 1).
We define n+(r, t) and n(r, t) as the concentrations (number densities) of cations and anions of the electrolyte at position r and time t, respectively, while n indicates their concentrations beyond the electrical double layer surrounding the particle.
Suppose that at time t = 0, a step electrolyte concentration gradient ∇n(t) is suddenly applied in the direction of the polar axis θ = 0, such that
n ( t ) = 0 , t = 0   n , t > 0
We now define a vector α(t) as
α ( t ) = α ( t ) c o s θ , α ( t ) s i n θ , 0 = k T z e l n ( n ( t ) )
with
α ( t ) = 0 , t = 0   α , t > 0
and
α = α c o s θ , α s i n θ , 0 = k T z e l n ( n )
where α(t) and a, respectively, represent the magnitudes of α(t) and α, e is the elementary charge, k is the Boltzmann constant, and T is the absolute temperature. Then, the particle begins to move with a diffusiophoretic velocity U(t) in the direction parallel to ∇n(t) or α(t) (Figure 1). We define the diffusiophoretic mobility μ(t) as
U ( t ) = μ ( t ) α ( t )
We assume that the following conditions hold: (i) the liquid behaves as incompressible, (ii) the applied electrolyte concentration gradient field α(t) is weak enough that both the particle velocity U(t) and the liquid velocity u(r, t) are proportional to α(t), allowing us to neglect the terms involving the square of the liquid velocity in the Navier–Stokes equation. (iii) The slipping plane, defined as the plane where the liquid velocity u(r, t) at position r (r, 0, 0) relative to the particle velocity is zero, coincides with the particle surface at r = a. Here r is the radial distance from the particle center. (iv) Electrolyte ions are unable to penetrate the particle surface. (v) In the absence of α(t), the electrolyte ion distribution follows the Boltzmann distribution, and the equilibrium potential ψ(0) is governed by the Poisson–Boltzmann equation. (vi) The particle’s relative permittivity εp is much lower than that of the surrounding electrolyte solution εr (εp « εr), rendering εp nearly negligible.
Given the above conditions, the fundamental electrokinetic equations for the liquid velocity u(r, t) = (ur(r, t), uθ(r, t), 0) at position r and time t, along with the velocity v+(r, t) of cations and v(r, t) of anions are similar to those for dynamic electrophoresis of a sphere in an oscillating electric field, viz., [37,38].
ρ 0 t u r , t + U ( t ) + η × × u r , t + p r , t + ρ e l r , t ψ r , t = 0
· u r , t = 0  
v ± r , t = u r , t 1 λ ± μ ± r , t
n ± r , t t + · n ± r , t v ± r , t = 0
ρ e l r , t = z e n + r , t n r , t
μ ± r , t = μ ± o ± z e ψ r , t + k T l n n ± r , t
ψ r , t = ρ e l r , t ε r ε 0
4 π a 3 3 ρ p d U ( t ) d t = F H ( t ) + F E ( t )
Here, ε0 is the permittivity of a vacuum, p(r, t) is the pressure, ρel(r, t) represents the charge density (given by Equation (10)), and ψ(r, t) denotes the electric potential. Equations (6) and (7) are the Navier–Stokes equation and the continuity equation for incompressible flow u(r, t) (reflecting condition (i)), with the term ρ0(u·∇)u omitted per condition (ii). The presence of U(t) in Equation (6) results from the fact that the particle is chosen as the reference frame for the coordinate system. Equation (8) describes the flow of the electrolyte ions as driven by both the fluid motion u(r, t) and the gradient of the electrochemical potentials of cations μ+(r, t) and anions μ(r, t), which are given by Equation (11) with μ ± o being a constant. Equation (9) is the continuity equation for the cations and anions, while Equation (12) is the Poisson equation. Equation (13) represents the equation of motion of the particle, in which FH(t) and FE(t) are, respectively, the hydrodynamic and electric forces acting on the particle and are defined by
F H ( t ) = 0 π p r , t + 2 η u r r , t r c o s θ η 1 r u r r , t θ + u θ r , t r u θ r , t r s i n θ 2 π a 2 s i n θ d θ α α
F E ( t ) = ε r ε 0 0 π ψ r , t r ψ r , t r c o s θ 1 r ψ r , t θ s i n θ + 1 2 ψ r , t r 2 + 1 r ψ r , t θ 2 c o s θ 2 π a 2 s i n θ d θ α α
Note that the equation of motion for the particle is required in describing time-dependent electrokinetics, such as dynamic electrophoresis, transient electrophoresis, and transient diffusiophoresis, in contrast to time-independent steady-state electrokinetics. The initial conditions at t = 0 and the boundary conditions at the particle surface (r = a) and far from it (r→∞) must be satisfied as [29,36]
U t = 0   a t   t = 0
u r , t = 0   a t   t = 0
u r , t = 0   a t   r = a
u r , t U t + a 3 ρ p ρ 0 3 ρ 0 r 3 U t 3 U t · r ^ r ^   a s   r
v ± r , t · n ^ = 0   a t   r = a
where r ^ = r/r and n ^ is the unit normal vector pointing outward from the particle surface. Equations (16) and (17) imply that both the particle and the liquid are at rest at time t = 0. Equation (18) indicates that the slipping plane, where u(r, t) = 0, is located on the particle surface (condition (iii)). Equation (19) states that the liquid velocity u(r, t) relative to the particle becomes the negative of the particle velocity U(t). Equations (19) and (20) follow from Equation (13) and condition (iv), respectively. Note that Equation (19) is equivalent to the far-field boundary condition first derived by Mangelsdorf and White [37] in the context of dynamic electrophoresis.
For a weak field α(t), the deviations δn±(r, t), δψ(r, t), δμ±(r, t), and δρel(r, t) of n±(r, t), ψ(r, t), μ±(r, t), and ρel(r, t) from their equilibrium values (i.e., those in the absence of the electrolyte concentration gradient field α(t)) are small. In this situation, if we express the following quantities as the sum of the equilibrium values plus the relative deviations, we can make linear the electrokinetic equations neglecting the terms of higher order:
n ± r , t = n ± ( 0 ) r + δ n ± ( r , t )
ψ r , t = ψ ( 0 ) r + δ ψ r , t
μ ± r , t = μ ± ( 0 ) + δ μ ± r , t
ρ e l r , t = ρ e l 0 r + δ ρ e l r , t
where the superscript (0) denotes the equilibrium quantities in the absence of α(t), which depend only on r, and μ ± ( 0 ) is constant and independent of r and t.
We assume that the equilibrium concentration n ± ( 0 ) r obeys the Boltzmann distribution, and the equilibrium electric potential ψ(0)(r) satisfies the Poisson–Boltzmann equation (condition (v)), namely
n ± ( 0 ) r = n e y ( r )
y r = κ 2 s i n h y r
with
y ( r ) = z e ψ ( 0 ) ( r ) k T
κ = 2 z 2 e 2 n ε r ε 0 k T
where y(r) is the scaled equilibrium electric potential, and κ is the Debye–Hückel parameter (where 1/ κ is the Debye length). The equilibrium values n±(0)(r) and ψ(0)(r) satisfy the following boundary conditions:
n ± ( 0 ) r n   a s   r
ψ ( 0 ) ( r ) 0   a s   r
ψ 0 a = ζ
Under an applied electrolyte concentration gradient field ∇n(t) or α(t), the boundary condition of δn±(r, t) at distances far from the particle is expressed as
δ n ± r , t n ( t ) r c o s θ = z e n k T α ( t ) r c o s θ   a s   r
The boundary condition for δψ(r, t) at large distances from the particle can be derived as follows: the ionic flows v±(r, t) generated by α(t) create a macroscopic electric field E(t), known as the diffusion potential field, which offsets the net electric current, meaning δψ(r, t) does not vanish as r→∞. The electric current density i(r, t) at position r and time t is given by
i r , t = z e n + r , t v + r , t n r , t v r , t
Inserting Equations (8), (10), (21), and (23) into Equation (33) and ignoring the products of small quantities u(r, t), δn±(r, t), and δμ±(r, t), we have
i r , t = ρ e l 0 r u r , t z e n + 0 r λ + δ μ + r , t n 0 r λ δ μ r , t
By using the relation
δ μ ± r , t = ± z e δ ψ r , t + k T δ n ± r , t n ± 0 r
which is obtained from Equations (11) and (19)–(21), Equation (32) becomes
i r , t = ρ e l 0 r u r , t z e 2 n + 0 r λ + + n 0 r λ δ ψ r , t z e k T n + 0 r λ + l n n + r , t n 0 r λ l n n r , t
Beyond the particle’s double layer (r→∞),
n ± 0 r n , ρ e l 0 r 0 , ψ r , t E ( t ) ,   a n d   l n n ± r , t l n n   a s   r
and thus Equation (32) becomes
i r ,   t z e 2 n 1 λ + + 1 λ E z e k T n 1 λ + 1 λ l n n   a s   r
where E(t) is the magnitude of E(t). Since i(r, t) must be zero far from the particle (r→∞), we find from Equation (32) that
E ( t ) = β α ( t )
where β is defined by
β = 1 / λ + 1 / λ 1 / λ + + 1 / λ = λ + λ λ + + λ
We, thus, obtain
δ ψ r , t β α ( t ) r c o s θ   a s   r
By combining Equations (32), (35), and (41), we arrive at the following boundary condition for δμ±(r, t) far from the particle
δ μ ± r z e 1 β α ( t ) r c o s θ   a s   r
By substituting Equations (19)–(22) into Equation (6) and neglecting the products of small quantities u(r, t), δn±(r, t), δψ(r, t), and δμ±(r, t) (condition (ii)), we obtain
ρ 0 t × u r , t + η × × × u r , t = δ μ + r , t × n + ( 0 ) r + δ μ r , t × n ( 0 ) r
and from Equations (8) and (9)
t δ n ± r , t + · n ± ( 0 ) r u r , t 1 λ ± n ± ( 0 ) r δ μ ± r , t = 0
Moreover, symmetry considerations allow us to express [29,36]:
u r , t = 2 r h r , t α ( t ) c o s θ ,   1 r r ( r h r , t ) α ( t ) s i n θ ,   0
δ μ ± r ,   t = z e ϕ ± r , t α ( t ) c o s θ
δ ψ r ,   t = Y r , t α ( t ) c o s θ
where h(r, t), ϕ±(r, t), and Y(r, t) are functions of r and t. By substituting Equations (45)–(49) into Equations (36) and (37), we derive the following equations for h(r, t), ϕ±(r, t), and Y(r, t)
L L h ( r , t ) 1 ν h ( r , t ) t = G r , t
L ϕ ± ( r , t ) λ ± k T t ϕ ± ( r , t ) Y ( r , t ) = ± d y ( r ) d r d ϕ ± ( r , t ) d r 2 λ ± e h ( r , t ) r
L Y r , t = z 2 e 2 ε r ε 0 k T n + 0 r Y r , t ϕ + r , t + n 0 r Y r , t ϕ r , t
Here, L is a differential operator defined as
L f ( r , t ) = r 1 r 2 r r 2 f ( r , t ) = 2 f ( r , t ) r 2 + 2 r f ( r , t ) r 2 f ( r , t ) r 2  
where f(r, t) is an arbitrary functuion of r and t, and G(r, t) is defined as
G r , t = z e n η r d y d r e y ϕ + r , t + e y ϕ r , t
Furthermore,
ν = η ρ o
represents the kinematic viscosity. The conditions, given by Equations (16)–(20) and (42), can be rewritten for h(r, t), ϕ±(r, t), and Y(r, t) as follows [29,38]:
h r ,   t = h r ,   t r = 0   a t   t = 0
h r ,   t = h r ,   t r = 0   a t   r = a
h r , t μ ( t ) 2 r + a 3 ρ p ρ 0 3 ρ 0 r 2 μ ( t )   a s   r
ϕ ± r , t ( 1 + β ) r   a s   r
ϕ ± r , t r = 0   a t   r = a
Y r , t β r   a s   r
The transient electrophoretic mobility μ(t) (defined by Equation (5)) can be obtained from Equation (49), viz.
μ t = U ( t ) α = 2 lim r h ( r ,   t ) r
Here, h(r, t) is the solution to Equation (48), which can be most conveniently solved using the Laplace transformation with respect to time t. The Laplace transforms h ^ r , s , G ^ r , s , and μ ^ s of h(r, t), G(r, t), and μ(t), respectively, are given by
h ^ r , s = 0 h r , t e s t d t
G ^ r , s = 0 G r , t e s t d t
μ ^ s = 0 μ t e s t d t
From Equations (60), (61) and (73), we obtain the following general expression for μ ^ ( s ) :
μ ^ ( s ) = 2 lim r h ^ ( r , s ) r
The Laplace transform of Equation (48), thus, gives
L L h ^ ( r , s ) s ν h ^ ( r , s ) = G ^ r , s  
which is solved to give
μ ^ s = 2 ν a 1 + a s ν + a 2 s 3 ν 1 + s ν   r e x p s ν   r a s r 3 3 ν a G ^ r , s d r   3 s 1 + a s ν + a 2 s 3 ν + 2 a 2 ρ p ρ 0 s 9 ν ρ 0
The transient diffusiophoretic mobility μ(t) can be obtained by applying the numerical inverse Laplace transform to Equation (66). It is possible to derive an approximate expression applicable for the practically important case of a weakly charged spherical particle with a thin electrical double layer (κa » 1) and a negligibly small εp (εp « ε0). Only in this case can it be shown that Y(r) becomes equal to ϕ±(r), simplifying the solution of Equation (49) for ϕ±(r), as shown below. For the low zeta potential case, by solving Equations (48)–(50), G(r, t) is found to be independent of t so that G(r, t) can be rewritten as G(r) and G ^ r , s can be expressed as
G ^ r , s = G r s = 2 z e n η d y d r 1 + a 3 2 r 3 β + y + 1 3 a d y d r 1 a 3 r 3 d r 1 3 a r d y d x 1 x 3 r 3 1 a 3 x 3 d x
where the low-zeta potential approximation for y(r) is given by
y r = z e k T   ψ 0 r = z e ζ k T a r e κ ( r a )
Furthermore, for particles with a thin electrical double layer, that is, when κa is large (κa » 1), the electric potential ψ(0(r) becomes nearly zero beyond r = a+ 1/κ. Therefore, in Equation (66) for μ ^ s , which includes ψ(0(r), writing r = a + (ra) makes (ra)/a of the order of 1/(κa), which can be considered a small quantity. Expanding μ ^ s around r = a retaining terms up to the order of ((ra)/a)2, we obtain the following approximation for μ ^ s when κa is large
μ ^ s = 1 + a s ν   3 s 1 + a s ν + a 2 s 3 ν + 2 a 2 ρ p ρ 0 s 9 ν ρ 0 a r a 2 G r d r
where Equation (67) has been used.
From Equation (69), we obtain the following large-κa approximate expression for the final steady-state diffusiophoretic mobility μ(∞) using the relation
μ = lim s s 0 μ ^ s = 1   3 a r a 2 G r d r
An explicit form of μ(∞) correct to the order of ζ2 has been derived in Refs. [1,2,3,13] as
μ = ε r ε 0 η β ζ + k T 8 z e z e ζ k T 2
Combining Equations (69) and (70), we obtain
μ ^ s = 1 + a s ν   s 1 + a s ν + a 2 s 3 ν + 2 a 2 ρ p ρ 0 s 9 ν ρ 0 μ
By applying the inverse Laplace transform, Equation (72) can be transformed to yield
μ t =   1 q 1 q 2 q 2 q 1 M q 1 ν t a 1 q 2 q 1 q 2 q 1 M q 2 ν t a μ
where
q 1 = 9 2 1 + 2 ρ p ρ 0 1 + 1 3 5 8 ρ p ρ 0  
q 2 = 9 2 1 + 2 ρ p ρ 0 1 1 3 5 8 ρ p ρ 0  
M z = 1 e z 2 e r f c ( z )  
Here, erfc(z) is the complementary error function, defined as
e r f c z = 2 π z e x 2 d x  
Equation (73) is the required expression for the transient diffusiophoretic mobility μ(t).

3. Results and Discussion

In the present paper, we have considered the time-dependent transient diffusiophoresis of a charged spherical colloidal particle. Experimentally, suddenly applying an electrolyte concentration gradient to a suspension of colloidal particles, as described by Equation (1), for transient diffusiophoresis is much more difficult than suddenly applying an electric field for transient electrophoresis. A possible approach is to first establish an electrolyte concentration gradient in the electrolyte solution and then introduce the colloidal particles into the suspension at t = 0.
We derived a closed-form approximate expression for the diffusiophoretic mobility, μ(t), of a weakly charged spherical colloidal particle with a thin electrical double layer (κa » 1), given by Equation (73). This analysis reveals that, under conditions of low zeta potential, the approximate expression for diffusiophoretic mobility takes the same form as that for transient electrophoresis [29], as shown in Equation (73). However, it is essential to note that despite the similarity between transient diffusiophoresis and electrophoresis, the steady-state mobility of μ(∞) differs between diffusiophoresis and electrophoresis, reflecting distinct underlying driving forces.
Equation (73) can be rewritten as
μ t = R t μ
where
R t = 1 q 1 q 2 q 2 q 1 M q 1 ν t a 1 q 2 q 1 q 2 q 1 M q 2 ν t a
The function R(t) can be interpreted as a relaxation function, which describes how the transient diffusiophoretic mobility μ(t) evolves from its initial value of zero to its final steady-state value μ(∞). Thus, R(t) effectively captures the time-dependent relaxation behavior of the transient diffusiophoretic mobility μ(t) in response to the abrupt application of an electrolyte concentration gradient. It is important to note that R(t) does not depend on the ionic drag coefficients λ±, making it independent of the specific electrolyte type (e.g., KCl or NaCl). On the other hand, μ(∞) depends on the specific electrolyte type, as shown in Equation (71) through the parameter β defined by Equation (40). Note here that μ(t) takes the simple form given by Equation (78) only in the case of weakly charged particles with a thin electrical double layer (κa » 1).
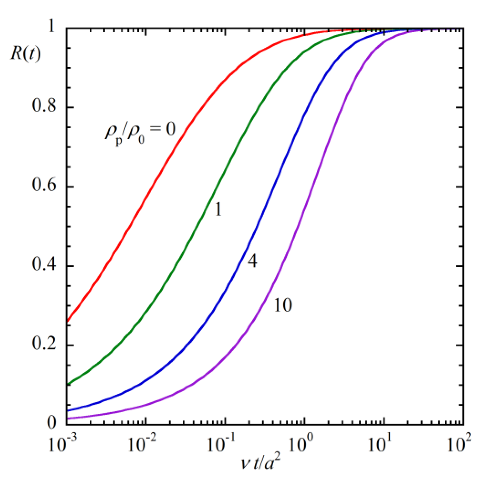
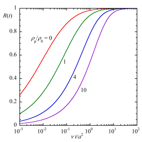
Figure 2 illustrates the behavior of R(t) as a function of the scaled time νt/a2, computed using Equation (79) for various values of the particle-to-solution mass density ratio ρp/ρ0. Figure 2 provides a clear representation of how the transient diffusiophoretic mobility μ(t) changes from its initial value of zero to its final steady-state value μ(∞). It is observed that heavier particles, possessing a larger mass density ρp, exhibit a slower approach to their steady-state mobility, requiring a longer time to reach μ(∞).
To quantify this observation, we can derive an approximate expression for the relaxation time T under specific conditions. By making a crude approximation, Equation (79) simplifies to
R t = 1 e t / T
where T can be interpreted as the characteristic relaxation time given by
T = 1 9 1 + 2 ρ p ρ 0 a 2 ν
where T can be regarded as the relaxation time. This expression indicates that T is proportional to the particle size squared (a2) divided by the kinematic viscosity ν of the electrolyte solution while also being strongly influenced by the mass density ratio ρp/ρ0. As such, T provides a measure of the timescale over which μ(t) approaches μ(∞), highlighting the influence of physical parameters on the relaxation process in transient diffusiophoresis. It is thus concluded that since the relaxation function R(t) has the same form for both transient diffusiophoresis and electrophoresis, the relaxation time T is identical for these two different transient electrokinetic processes.
Recently, Jafarpour et al. [39] have experimentally investigated the performance of an innovative Y-type active mixer utilizing liquid metal droplets. Key parameters such as applied voltage, droplet diameter, input angle, and channel width were examined, with the droplet diameter identified as the most significant factor influencing the Mixing Index (MI). This study provides a potential application for the theory of transient diffusiophoresis.

4. Conclusions

In the present paper, we have developed a general theoretical framework to analyze the transient behavior of diffusiophoresis of a charged spherical colloidal particle under sudden electrolyte concentration gradients. The derived expression for the relaxation function R(t) (given by Equation (79)) effectively captures the time-dependent diffusiophoretic mobility of a weakly charged spherical colloidal particle with a thin electrical double layer. Our findings reveal that R(t) is primarily influenced by the particle-to-solution mass density ratio ρp/ρ0 and the kinematic viscosity ν of the solution while remaining independent of the specific electrolyte type (e.g., KCl or NaCl). Notably, we have shown that the relaxation function R(t) for transient diffusiophoresis exhibits a form identical to that observed in transient electrophoresis for similar particles. This unified expression broadens our understanding of particle motion in electrolyte concentration gradients and offers a basis for further experimental and theoretical investigations in the electrokinetics of colloidal particles.

Funding

This research reserved no external funding.

Institutional Review Board Statement

Not applicable.

Informed Consent Statement

Not applicable.

Data Availability Statement

Data are contained within the article.

Conflicts of Interest

The author declares no conflict of interest.

References

  1. Derjaguin, B.V.; Dukhin, S.S.; Korotkova, A.A. Diffusiophoresis in electrolyte solutions and its role in the mechanism of film formation of cationic latex by ionic deposition. Kolloidn Zh. 1961, 23, 53–58. [Google Scholar]
  2. Prieve, D.C. Migration of a colloidal particle in a gradient of electrolyte concentration. Adv. Colloid Interface Sci. 1982, 16, 321–335. [Google Scholar] [CrossRef]
  3. Prieve, D.C.; Anderson, J.L.; Ebel, J.P.; Lowell, M.E. Motion of a particle generated by chemical gradients. Part 2. Electrolytes. J. Fluid Mech. 1984, 148, 247–269. [Google Scholar] [CrossRef]
  4. Prieve, D.C.; Roman, R. Diffusiophoresis of a rigid sphere through a viscous electrolyte solution. J. Chem. Soc. Faraday Trans. 2 1987, 83, 1287–1306. [Google Scholar] [CrossRef]
  5. Pawar, Y.; Solomentsev, Y.E.; Anderson, J.L. Polarization effects on diffusiophoresis in electrolyte gradients. J. Colloid Interface Sci. 1993, 155, 488–498. [Google Scholar] [CrossRef]
  6. Keh, H.J.; Wei, Y.K. Diffusiophoretic mobility of spherical particles at low potential and arbitrary double-layer thickness. Langmuir 2000, 16, 5289–5294. [Google Scholar] [CrossRef]
  7. Keh, H.J. Diffusiophoresis of charged particles and diffusioosmosis of electrolyte solutions. Curr. Opin. Colloid Interface Sci. 2016, 24, 13–22. [Google Scholar] [CrossRef]
  8. Lee, E. Theory of Electrophoresis and Diffusiophoresis of Highly Charged Colloidal Particles; Elsevier: Amsterdam, The Netherlands, 2018. [Google Scholar]
  9. Gupta, A.; Rallabandi, B.; Howard, A.; Stone, H.A. Diffusiophoretic and diffusioosmotic velocities for mixtures of valence-asymmetric electrolytes. Phys. Rev. Fluids 2019, 4, 043702. [Google Scholar] [CrossRef]
  10. Gupta, A.; Shim, S.; Stone, H.A. Diffusiophoresis: From dilute to concentrated electrolytes. Soft Matter 2020, 16, 6975–6984. [Google Scholar] [CrossRef]
  11. Shin, S. Diffusiophoretic separation of colloids in microfluidic flows. Phys. Fluids 2020, 32, 101302. [Google Scholar] [CrossRef]
  12. Wilson, J.L.; Shim, S.; Yu, Y.E.; Gupta, A.; Stone, H.A. Diffusiophoresis in multivalent electrolytes. Langmuir 2020, 36, 7014–7020. [Google Scholar] [CrossRef] [PubMed]
  13. Ohshima, H. Approximate analytic expressions for the diffusiophoretic velocity of a spherical colloidal particle. Electrophoresis 2022, 43, 752–756. [Google Scholar] [CrossRef] [PubMed]
  14. Ohshima, H. Diffusiophoresis of a mercury drop. Colloid Polym. Sci. 2022, 300, 583–586. [Google Scholar] [CrossRef]
  15. Ohshima, H. Fundamentals of Soft Interfaces in Colloid and Surface Chemistry; Elsevier: Amsterdam, The Netherlands, 2024. [Google Scholar]
  16. Morrison, F.A. Transient electrophoresis of a dielectric sphere. J. Colloid Interface Sci. 1969, 29, 687–691. [Google Scholar] [CrossRef]
  17. Morrison, F.A. Transient electrophoresis of an arbitrarily oriented cylinder. J. Colloid Interface Sci. 1971, 36, 139–145. [Google Scholar] [CrossRef]
  18. Ivory, C.F. Transient electroosmosis: The momentum transfer coefficient. J. Colloid Interface Sci. 1983, 96, 296–298. [Google Scholar] [CrossRef]
  19. Ivory, C.F. Transient electroosmosis of a dielectric sphere. J. Colloid Interface Sci. 1984, 100, 239–249. [Google Scholar] [CrossRef]
  20. Keh, H.J.; Tseng, H.C. Transient electrokinetic flow in fine capillaries. J. Colloid Interface Sci. 2001, 242, 450–459. [Google Scholar] [CrossRef]
  21. Keh, H.J.; Huang, Y.C. Transient electrophoresis of dielectric spheres. J. Colloid Interface Sci. 2005, 291, 282–291. [Google Scholar] [CrossRef] [PubMed]
  22. Huang, Y.C.; Keh, H.J. Transient electrophoresis of spherical particles at low potential and arbitrary double-layer thickness. Langmuir 2005, 21, 11659–11665. [Google Scholar] [CrossRef] [PubMed]
  23. Khair, A.S. Transient phoretic migration of a permselective colloidal particle. J. Colloid Interface Sci. 2012, 381, 183–188. [Google Scholar] [CrossRef] [PubMed]
  24. Chiang, C.C.; Keh, H.J. Startup of electrophoresis in a suspension of colloidal spheres. Electrophoresis 2015, 36, 3002–3008. [Google Scholar] [CrossRef] [PubMed]
  25. Chiang, C.C.; Keh, H.J. Transient electroosmosis in the transverse direction of a fibrous porous medium. Colloids Surf. A Physicochem. Eng. Asp. 2015, 481, 577–582. [Google Scholar] [CrossRef]
  26. Li, M.X.; Keh, H.J. Start-up electrophoresis of a cylindrical particle with arbitrary double layer thickness. J. Phys. Chem. B 2020, 124, 9967–9973. [Google Scholar] [CrossRef] [PubMed]
  27. Lai, Y.C.; Keh, H.J. Transient electrophoresis of a charged porous particle. Electrophoresis 2020, 41, 259–265. [Google Scholar] [CrossRef] [PubMed]
  28. Lai, Y.C.; Keh, H.J. Transient electrophoresis in a suspension of charged particles with arbitrary electric double layers. Electrophoresis 2021, 42, 2126–2133. [Google Scholar] [CrossRef] [PubMed]
  29. Ohshima, H. Approximate analytic expression for the time-dependent transient electrophoretic mobility of a spherical colloidal particle. Molecules 2022, 27, 5108. [Google Scholar] [CrossRef] [PubMed]
  30. Ohshima, H. Transient electrophoresis of a cylindrical colloidal particle. Fluids 2022, 7, 342. [Google Scholar] [CrossRef]
  31. Saad, E.J.; Faltas, M.S. Time-dependent electrophoresis of a dielectric spherical particle embedded in Brinkman medium. Z. Angew. Math. Phys. 2018, 69, 43. [Google Scholar] [CrossRef]
  32. Saad, E.J. Start-up Brinkman electrophoresis of a dielectric sphere for Happel and Kuwabara models. Math. Meth. Appl. Sci. 2018, 41, 9578–9591. [Google Scholar] [CrossRef]
  33. Saad, E.J. Unsteady electrophoresis of a dielectric cylindrical particle suspended in porous medium. J. Mol. Liq. 2019, 289, 111050. [Google Scholar] [CrossRef]
  34. Sherief, H.H.; Faltas, M.S.; Ragab, K.E. Transient electrophoresis of a conducting spherical particle embedded in an electrolyte-saturated Brinkman medium. Electrophoresis 2021, 42, 1636–1647. [Google Scholar] [CrossRef]
  35. Ohshima, H. Transient gel electrophoresis of a spherical colloidal particle. Gels 2023, 9, 356. [Google Scholar] [CrossRef]
  36. Kim, S.; Karrila, S.J. Microhydrodynamics: Principles and Selected Applications; Butterworth-Heinemann: Boston, MA, USA, 2013. [Google Scholar]
  37. Mangelsdorf, C.R.; White, L.R. Electrophoretic mobility of a spherical colloidal particle in an oscillating electric field. J. Chem. Soc. Faraday Trans. 1992, 88, 3567–3581. [Google Scholar] [CrossRef]
  38. Ohshima, H. Dynamic electrophoretic mobility of a spherical colloidal particle. J. Colloid Interface Sci. 1996, 179, 431–438. [Google Scholar] [CrossRef]
  39. Jafarpour, A.M.; Khosroshahi, A.R.; Hanifi, M.; Moghanlou, F.S. A comprehensive study on active mixer performance using liquid metal droplets: An experimental approach. Chem. Eng. Commun. 2025, 212, 188–199. [Google Scholar]
Figure 1. Transient diffusiophoresis of a spherical colloidal particle with a radius a moving with a transient diffusiophoretic velocity U(t) in an electrolyte concentration gradient field ∇n(t) or α(t).
Figure 1. Transient diffusiophoresis of a spherical colloidal particle with a radius a moving with a transient diffusiophoretic velocity U(t) in an electrolyte concentration gradient field ∇n(t) or α(t).
Colloids 09 00007 g001
Figure 2. Relaxation function R(t) for the transient diffusiophoresis of a spherical particle with radius a and a thin electrical double layer (κa » 1), defined as R(t) = μ(t)/μ(∞), shown as a function of the scaled time νt/a2. Calculated using Equation (79) for several values of ρp/ρ0.
Figure 2. Relaxation function R(t) for the transient diffusiophoresis of a spherical particle with radius a and a thin electrical double layer (κa » 1), defined as R(t) = μ(t)/μ(∞), shown as a function of the scaled time νt/a2. Calculated using Equation (79) for several values of ρp/ρ0.
Colloids 09 00007 g002
Disclaimer/Publisher’s Note: The statements, opinions and data contained in all publications are solely those of the individual author(s) and contributor(s) and not of MDPI and/or the editor(s). MDPI and/or the editor(s) disclaim responsibility for any injury to people or property resulting from any ideas, methods, instructions or products referred to in the content.

Share and Cite

MDPI and ACS Style

Ohshima, H. Transient Diffusiophoresis of a Spherical Colloidal Particle. Colloids Interfaces 2025, 9, 7. https://doi.org/10.3390/colloids9010007

AMA Style

Ohshima H. Transient Diffusiophoresis of a Spherical Colloidal Particle. Colloids and Interfaces. 2025; 9(1):7. https://doi.org/10.3390/colloids9010007

Chicago/Turabian Style

Ohshima, Hiroyuki. 2025. "Transient Diffusiophoresis of a Spherical Colloidal Particle" Colloids and Interfaces 9, no. 1: 7. https://doi.org/10.3390/colloids9010007

APA Style

Ohshima, H. (2025). Transient Diffusiophoresis of a Spherical Colloidal Particle. Colloids and Interfaces, 9(1), 7. https://doi.org/10.3390/colloids9010007

Article Metrics

Back to TopTop