Abstract
This study investigates the relationship between consumer personality traits, specifically openness, and responses to product designs. Consumers are categorized based on their levels of openness, and their affective responses to nine vase designs, varying in curvature and line quantity, are evaluated. The study then introduces the inverse clustering approach, which prioritizes maximizing predictive model accuracy over within-cluster similarity. This method iteratively refines cluster assignments to optimize prediction performance, minimizing errors in forecasting consumer design preferences. The results demonstrate that the inverse clustering approach yields more effective clusters than personality-based clustering. Moreover, while there is some overlap between personality-based and accuracy-based clustering, the inverse clustering method captures additional individual characteristics, extending beyond personality traits and improving the understanding of consumer product design response. The practical implications of this study are significant for product designers, as it enables the development of more personalized designs and optimization of product features to enhance specific consumer perceptions, such as robustness or esthetic appeal.
1. Introduction
Researchers from academia and industry investigate user interactions with products by analyzing product design response (PDR). This research domain provides insights into user perceptions of different design elements. Through PDR evaluation, strengths and weaknesses in product design can be identified, leading to improvements in usability. These studies contribute to the refinement of design processes and the development of more user-centered products. Kumar and Noble examined the various values consumers derive from product design, extending beyond just form and function [1], introducing a value scale that includes esthetic, functional, and self-expressive values, such as social and altruistic. The research highlights the importance of understanding how product design communicates these values and suggests further exploration of emotions and sustainability in design.
Schutte et al. [2] address the growing importance of subjective factors in product development due to functional equivalency among products and discuss the methods for translating customer emotions into concrete product parameters, supporting future product design. Based on the Semantic Differential Method to construct a vector space for the semantic perspective, they merge the two spaces and build a prediction model connecting them. Marco-Almagro et al. [3] focused on improving the statistical methods to better link product properties with user emotions. They propose enhanced statistical tools, such as improved ordinal logistic regression, rough sets, and methods to evaluate design matrices. [4] López et al. conducted a systematic literature review that summarizes the most frequently employed methods in the last decade.
There exist multiple factors influencing consumer response to product design, including preferred design features and individual differences in perception [5]. The literature suggests that consumers tend to prefer design features such as symmetry, curvature, complexity, and familiarity [6,7]. Directly measuring consumer response is difficult because it requires capturing internal cognitive processes that are not easily observable [8]. Low-level affective adjectives are simple, descriptive words that capture emotions or sensory experiences at a basic level. Examples include terms like “feminine”, “robust”, and “luxurious”. These adjectives are often used to assess emotional reactions to stimuli, and they provide valuable insights into the affective responses of consumers to product design [9]. Recent studies on consumer product design emphasize the role of individual differences in shaping preferences and behaviors, significantly affecting design effectiveness [10,11]. In particular, personality traits, especially openness to experience, are key factors influencing how people perceive and interact with products [12,13,14].
In recent product design studies, optimization algorithms play a significant role in addressing challenges related to product form and attribute optimization. Brum et al. [15] employed the genetic algorithm to evaluate the design, integrating customer preferences with sustainability factors, including material type, recycling rate, decomposition time, CO2 emission rate, and financial return from reuse. Dai and Cao [16] proposed a multi-level product modeling evaluation model for product design, focusing on the optimization of user perceptual preferences. The suggested method employs the particle swarm optimization algorithm to optimize the user evaluation matrix under non-consensus conditions. Combined with hesitant fuzzy linguistic term sets, the approach improves the consistency of perceptual evaluations and addresses uncertainty in product experience cognition.
Research on consumer agent applications emphasizes the mapping of the relationship between design attributes and consumer perception. These studies involve the development of mathematical predictive models aimed at forecasting design attributes associated with particular perceptions (Forward modeling) and predicting consumer perceptions linked to specific design features (Backward modeling). Additionally, these methods facilitate the estimation of perceptions concerning specific design attributes.
Yamagishi et al. [17] proposed a methodology utilizing multiple regression analysis and hierarchical clustering to effectively cluster customer preferences, aiding in identifying significant design factors by evaluating each consumer cluster and determining design features with the highest sensitivity across all clusters. Other studies use similar principles to develop design esthetic recommendation systems [18]. Deldjoo et al. [19] reviewed the modern esthetic recommender systems.
Myszkowski and Storme [20] investigated the relationship between personality traits, particularly openness to experience, and consumers’ preferences for esthetically designed products. Building on previous research [21], it explored how individual differences, such as attention to product esthetics and materialism, influenced design-driven consumer choices. Using the Big Five personality model, the study found that openness to experience significantly predicted a consumer’s tendency to prefer products with superior design. The findings suggested that individuals high in openness were more likely to value esthetic qualities, offering important implications for marketing strategies targeting design-conscious consumers.
De Young conducted a comprehensive analysis, specifically linking the openness trait to esthetic appreciation [22]. The research suggested by Christensen et al. [23] investigates the item-level relationships of four openness to experience inventories using a network science approach. This classification is employed in recent studies. Mohammadi-Zarghan [24] examined the personality and individual difference correlates of esthetic preference for death-related artworks. The study explored the roles of the Big Five personality dimensions, narcissism, alexithymia, religiosity, art interest, esthetic judgment style, and death obsession in shaping preferences for these artworks. In another study [25], a framework was developed to forecast individual PDRs in relation to the personality trait of openness. Three distinct clusters of participants, categorized by varying levels of openness, were identified. The study evaluated the accuracy of Fuzzy C-means and Artificial Neural Networks in predicting individual consumer PDR across 12 variables, based on responses to five openness-related questions.
Shieh et al. used vase design as a tool to study how product form influences emotional responses by manipulating the geometry of vases through B-spline curves [26]. By systematically altering key design parameters, researchers categorized 14 representative vase forms based on affective similarity. Participants evaluated their emotional responses to these forms, and the data were analyzed to identify three main affective factors—feminine, concise, and traditional—that are influenced by product design features.
Mata et al. used vase design to study product design response by selecting vases with simple functionality but high esthetic appeal, allowing a focus on user perceptions [27]. Participants were asked to evaluate various vase concepts on different perception scales, linking these evaluations to their desire to own the products. Cluster analysis and statistical methods like principal component analysis and multiple regression helped identify relationships between esthetic features, perceptions, and ownership intentions, shedding light on how design elements influence consumer preferences.
Haung used vase designs to explore how consumers’ emotional preferences, captured through perception adjectives, can guide product form creation. By integrating design parameters into a generative platform, it allowed for the creation of designs that align with users’ perceptual needs, streamlining the design process.
Lo used vase design to study product design responses by applying conjoint analysis to identify consumer preferences for esthetic principles, such as symmetry, minimalism, and cohesion. The study segmented participants into six groups based on their distinct preference patterns, and preference models were developed for each group. By analyzing these models, the research aimed to guide product designers in creating vase forms that align with the esthetic tastes of target consumer groups, enhancing design differentiation and improving the design process.
The current research investigates the role of the personality trait of openness in enhancing the accuracy of predicting individual product design responses. It also compares the effectiveness of models based on predefined groups with those based on optimized clusters. The study use the concept of inverse clustering [28], a method designed to optimize cluster assignments, prioritizing prediction performance over similarity-based grouping. The objective of this study is to examine the impact of personality traits, with a particular focus on openness, on the formation of optimal consumer agent groups, and to assess how these groups contribute to enhanced prediction accuracy.
Section 2 provides an overview of the consumer clustering process based on the personality trait of openness and examines the relationship between consumer personality and design responses. Section 3 outlines the use of the gradient boosting method for predictive modeling of consumer design preferences, highlighting its improved accuracy compared to traditional Fuzzy C-means clustering technique. In Section 4, the inverse clustering approach is introduced to optimize cluster assignments and enhance the predictive model’s performance. Finally, Section 5 presents the results and discusses their implications.
2. Personality-Based Consumer Clustering Analyzing Design Responses and Modelling Accuracy
2.1. Design Responses Based on Consumer Clusters
During the conception phase, multiple vase designs were generated, each varying according to four design parameters. Subsequently, a survey was conducted to gather the affective reactions to a selection of these designs, employing affective adjectives for assessment, alongside evaluating the personality trait of openness among respondents. In the subsequent analysis phase, the acquired data were examined to ascertain the significance of personality traits and their relationship with affective design responses. Following this, various artificial intelligence modeling techniques were applied to model this association. Another round of data collection was undertaken to assess the efficacy of these consumer models. Figure 1 illustrates the approach.
Figure 1.
Product design response based on personality cluster.
This study investigates four design parameters, the opening diameter and curvature, alongside the quantity of vertical and horizontal lines. The Sine formula is employed to calculate contour points, defining the vase shape. A surface was generated by revolution around the vertical axis, producing the desired form. Affective response data were collected via a survey, with 67 participants assessing vase images to express their design response on nine vase designs shown in Figure 2.
Figure 2.
Nine vase designs result from variations in four variables.
On the other hand, the consumer openness personality trait is evaluated through a series of five questions [29], each with five response options indicating the strength of agreement or disagreement (‘Not at all’, ‘Not much’, ‘A little’, and ‘Very much’). The following questions were used: Is it fun to be in the museum? Do you enjoy discussing new ideas? Do you love adventure? Are you excited to try new activities? Do you avoid philosophical discussions?
2.2. Consumer Clusters Analysis
Consumer clustering based on the openness trait of personality involves associating individuals with groups characterized by similar levels of openness. K-means clustering techniques are grounded in the principle that members within a cluster are dispersed around its center, to determine the positions that minimize the squared distance to these members [30]. This algorithm operates as an optimization problem, necessitating multiple iterations with varied initial points to achieve convergence.
Utilizing the K-means algorithm for consumer clustering begins with selecting an appropriate number of clusters based on domain knowledge; in a previous study, the number of three clusters was found to be a good fit for the context of this study [25]. The algorithm follows these steps: Initialization, where K centroids are randomly chosen; Assignment, where each data point is assigned to the nearest centroid, creating K clusters; Update, where centroids are recalculated as the mean of the data points in each cluster; Convergence, where steps 2 and 3 are repeated until centroids stabilize.
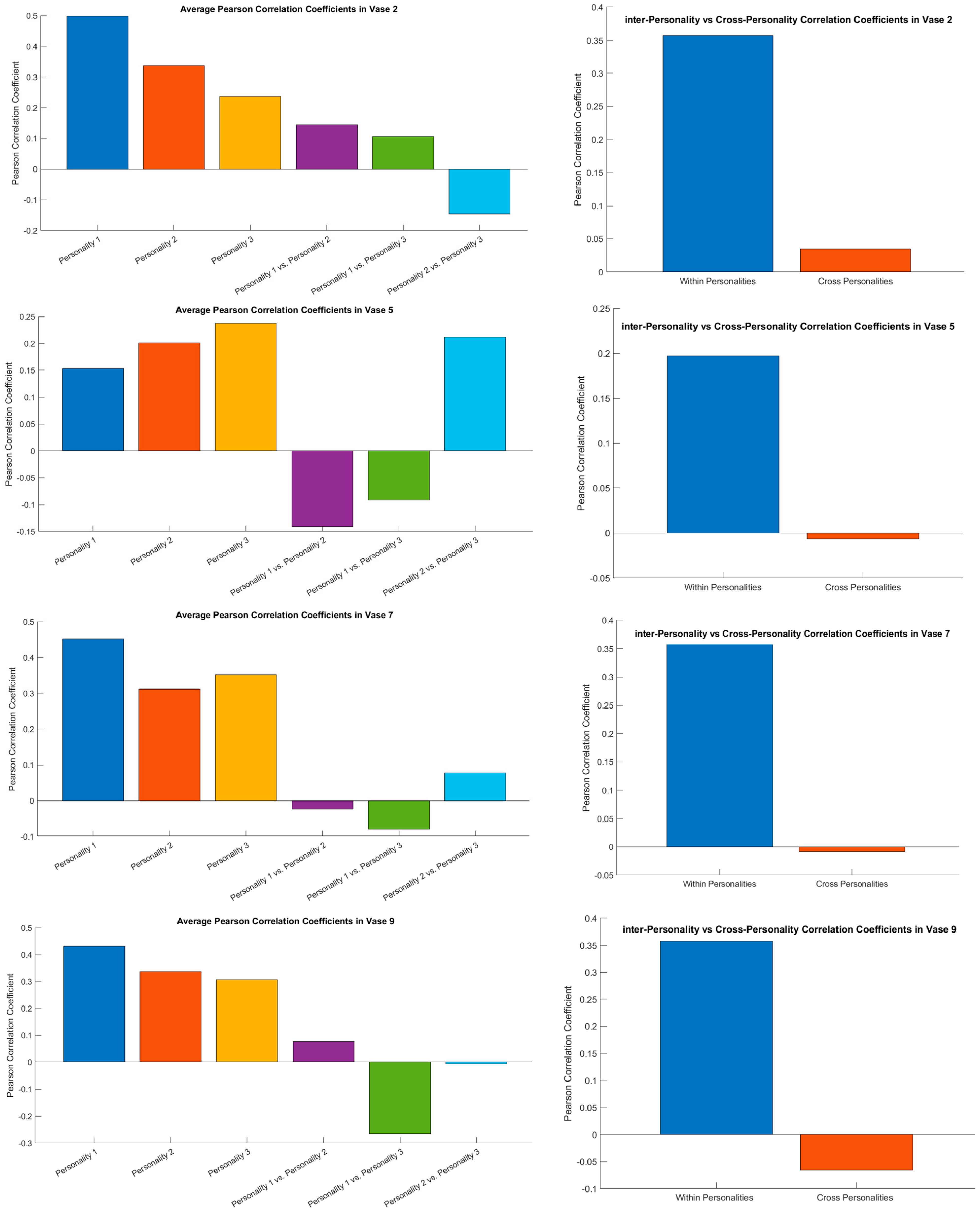
The results of the consumer clustering analysis based on the openness trait of personality reveal distinct patterns within the three identified clusters. Figure 3 shows the openness trait analysis for the three resulting clusters. On the left side of the image, the x-axis represents the five personality questions (Q1 to Q5), while the y-axis shows the answer values ranging from −2 to 2. The right side visualizes the standard deviation to provide information about the variability of the answers within each cluster.
Figure 3.
Mean correlation analysis of consumer design responses to vase designs based on personality openness clusters.
Cluster 1: This cluster exhibits moderate to high levels of openness, as indicated by the relatively high average scores on the personality openness answers. A mean correlation of 0.15 suggests some consistency in responses within this cluster, though there is notable variability, as reflected in the standard deviation values. The distribution of scores across the five personality questions indicates a generally positive disposition towards openness, with respondents showing a propensity for curiosity, creativity, and a willingness to explore new ideas and experiences.
Cluster 2: In contrast to Cluster 1, Cluster 2 demonstrates lower levels of openness, with average scores closer to the midpoint of the response scale. The mean correlation of 0.38 indicates stronger consistency in responses within this cluster compared to Cluster 1. However, the relatively high standard deviation values suggest some degree of variability in individual responses. The distribution of scores across the personality questions suggests a more mixed profile, with some respondents exhibiting moderate openness, while others display a more conservative or cautious approach.
Cluster 3: Cluster 3 showcases a diverse range of responses, with average scores distributed across the openness spectrum. The mean correlation of 0.21 suggests moderate consistency in responses within this cluster, while the standard deviation values indicate varying degrees of variability. Interestingly, this cluster includes individuals with both high and low openness scores, as evident from the wide range of responses across the personality questions.
2.3. Design Response Analysis
To investigate consumer design responses to a range of vase designs, we conducted a design response analysis within each consumer group, stratified based on their personality openness traits derived from preceding K-means clustering analyses. Figure 3 illustrates the outcomes of this analysis across four vase design examples (Vase 2, Vase 5, Vase 7, Vase 9). On the left side of the figure, the mean correlation within each cluster (Cluster 1, Cluster 2, Cluster 3) and between clusters (Cluster 1 vs. Cluster 2, Cluster 1 vs. Cluster 3, Cluster 2 vs. Cluster 3) is presented. On the right side, an overview of the mean correlation within clusters and between clusters across these vase design scenarios is provided, suggesting consistency of design responses within consumer culture based on personality openness traits.
Across all examined scenarios, the presence of moderate to high mean correlations within clusters indicates a level of concurrence or likeness in design preferences among consumers characterized by similar levels of openness. For instance, in the context of Vase 2, Cluster 1 demonstrates the most robust mean correlation (0.50), signifying a strong internal coherence in design reactions among individuals exhibiting heightened levels of openness.
Moreover, the negative correlations imply divergence or disparity in preferences. For instance, in the context of Vase 7, the positive mean correlation observed between Cluster 1 and Cluster 2 (0.12) suggests a degree of harmony in design reactions between these groups, contrasting with the negative mean correlation between Cluster 1 and Cluster 3 (−0.03), indicative of discordant design preferences.
The synthesis of mean correlations within and between clusters across all analyzed vase design scenarios offers a comprehensive understanding of the internal consistency of design responses within consumer clusters and the congruence or divergence in design preferences across different groups characterized by personality openness traits. The consistency of moderate to high mean correlations within clusters underscores the collective coherence in design preferences among individuals within the same group.
Generally, positive mean correlations between clusters connote a certain degree of likeness or coherence in design responses, while negative correlations indicate divergence or incongruity. For instance, in the context of Vase 9, the negative mean correlation between clusters (−0.02) suggests a minimal degree of similarity in design responses between distinct clusters.
3. Predictive Modeling of Consumer Design Responses: A Gradient Boosting Approach
Gradient boosting, an ensemble learning method, amalgamates predictions from numerous decision trees to form a robust predictive model. It iteratively fits new models to the residuals of prior ones, steadily decreasing ensemble error. The ultimate prediction results from combining individual model predictions are weighted by their learning rates. Given a training dataset , where represents the personality group cluster and represents the corresponding consumer design response, considering all nine vase designs and 12 response adjectives for each design. The objective is to learn a predictive model that minimizes a predefined loss function .
where represents the ensemble of decision trees. The new decision tree is then added to the ensemble with a learning rate η, to update the current model:
In total, 70% of the collected product design response data is used for agent modeling, and 30% is used for testing. The predictive error is considered as the Root Mean Squared Error (RMSE), where
is the number of designs, nine in this study. is the number of adjectives, 12 in this study. is the actual value of the jth adjective for the ith design. is the predicted value of the jth adjective for the ith design. The process is repeated for a 10,000 number of iterations using 100 decision trees with a learning rate value equal to 0.01.
The results of the suggested approach are validated against a recent study based on the Fuzzy C-means model [31]. Figure 4 shows the comparison between the suggested model and the reference model in predicting consumer design responses across different designs. The X-axis represents various vase designs, the Y-axis represents design responses, and the Z-axis shows the RMSE.
Figure 4.
Prediction errors in consumer design responses based on personality clusters Suggested Gradient Boosting Model compared to FCM Model in this study [25].
Analyzing the errors in consumer design response predictions from both the suggested model and the reference model reveals that the suggested model (gradient boosting) demonstrates a minimum error of 0.50 and a maximum error of 1.26. The model’s average error across all evaluated vase designs is computed at 0.79, compared to the reference model which has a minimum error of 0.39 and a maximum error of 1.65. The reference model’s average error across all vase designs is calculated as 0.97.
The errors observed in both models underscore the complexity of the consumer design response problem. However, the suggested approach demonstrates a lower average error compared to the Fuzzy C-means model, indicating superior predictive accuracy for consumer design response predictions. As a result, the suggested approach will be employed in the inverse clustering section of the paper.
4. Enhancing Predictive Model Accuracy Using Inverse Clustering
To examine the influence of openness on design perceptions, inverse clustering is suggested. By comparing models derived from personality clusters with those from optimized clusters, the study advances the understanding of how personality openness shapes design perceptions.
Inverse clustering is a method used to refine cluster assignments with the goal of improving the accuracy of a predictive model. Unlike direct clustering, which focuses on grouping individuals based on their similarities, inverse clustering emphasizes the agent accuracy rather than similarity grouping.
In this approach, the clustering process is adjusted iteratively to enhance the performance of the model in predicting outcomes. This clustering approach is utilized to uncover nuanced patterns in how personality traits influence affective responses to vase designs, thereby enhancing the development of consumer models.
The primary advantage of inverse clustering lies in its ability to optimize for prediction rather than within-cluster similarity. By integrating openness as a guiding factor, this approach facilitates the creation of more homogenous clusters based on product design response. Consequently, this can lead to enhanced model performance and the formulation of targeted design strategies personalized to specific consumer groups.
To achieve the objectives outlined above, the proposed method employs a novel approach that leverages the YUKI algorithm and gradient boosting techniques. The YUKI algorithm is a recently developed metaheuristic optimization technique. It tackles the challenge of balancing exploration and exploitation within the search space for complex optimization problems. The core principles the YUKI algorithm hinges on two fundamental principles [32]:
First, dynamic search space reduction involves concentrating search efforts on promising regions through a gradual reduction in the search area. This process dynamically adjusts the size of the search space based on the quality of solutions uncovered in each iteration.
Second, implementing distinct strategies for exploration and exploitation. Exploration operates beyond the limited search space, while exploitation involves generating solutions distributed around the best solution found thus far.
In the context of this study, the YUKI algorithm is set to find the optimal assignment of individual consumers to the three openness groups, in order to achieve the gradient boosting model that corresponds to the lowest precision error, and thus the considered objective function is the error of the issued models. The YUKI algorithm is modified to operate with integer variables instead of real variables [33].
Figure 5 illustrates the sequential steps involved in our methodology. Initially, the YUKI algorithm is utilized to generate cluster tags based on input data. These cluster tags are then integrated into a gradient boosting framework, wherein predictive models are trained to forecast design perception. Throughout this process, the YUKI algorithm iteratively refines cluster tags, optimizing their efficacy in minimizing predictive model error.
Figure 5.
Inverse consumer clustering approach for optimal design perception prediction.
Figure 6 illustrates the convergence of the inverse clustering process, presenting the progression from the initial personality cluster with an RMSE value of 0.79 to an improved clustering with an RMSE value of 0.72. The iterative refinement of cluster assignments through the inverse clustering method leads to enhanced predictive model accuracy. However, the inverse clustering-based model presents a minimum error value of 0.3 and a maximum error value of 1.19.
Figure 6.
Inverse clustering convergence and resulting model errors.
Figure 7, left, illustrates the comparison between the inverse clustering tags and the original personality tags, highlighting discrepancies in the group assignments. The results indicate that the individuals are placed into distinct groups by the inverse clustering method compared to the original personality-based grouping, reflecting a divergence in the clustering patterns.
Figure 7.
Comparison of cluster assignments between personality and inverse clustering methods.
The matching percentage of 43.28% indicates an alignment between the two grouping criteria. This suggests that the inverse clustering approach has restructured the clusters, capturing aspects of individual characteristics beyond those identified by personality-based clustering methods. The partial alignment also implies that while the inverse clustering method refines cluster assignments to achieve the best modeling outcome, clustering based solely on personality traits may still be beneficial. While the inverse clustering method provides enhanced predictive accuracy, personality-based clustering alone can still provide a level of clustering that is effective for certain modeling purposes.
Figure 7, right, compares the cluster assignments between personality clustering and inverse clustering, indicating a substantial deviation in clustering patterns. In the personality clustering approach, cluster 1 comprises 36 individuals, while inverse clustering assigns 19 individuals to this cluster. Similarly, for cluster 2, personality clustering includes 10 individuals, whereas inverse clustering places 7 individuals in this group. Notably, in cluster 3, personality clustering assigns 21 individuals, while inverse clustering allocates 41 individuals to this cluster. These disparities underscore the distinct clustering criteria employed by the two methods, highlighting the nuanced understanding of individual characteristics captured by the inverse clustering approach.
5. Discussion
This study examines the impact of personality traits, specifically openness, on consumer design preferences and the accuracy of predictive modeling. Clustering consumers by openness levels revealed three distinct groups: high-openness, low-openness, and a mixed group. These clusters exhibited varying design preferences, suggesting that personality influences product design perception. Within each cluster, individuals displayed similar preferences, while preferences diverged across clusters.
These results align with the findings of Myszkowski and Storme [20]. The low-openness group in this study likely shares a stronger preference for well-designed products, which might amplify their response to esthetics, similar to the results found in earlier work. The high-openness group, in contrast, may focus more on other product attributes, as suggested by the earlier study’s observation that high-openness individuals tend to be less driven by appearance. This divergence in preferences across clusters reinforces the idea that personality traits, particularly openness, significantly influence design-driven consumer choices.
It has been demonstrated that individuals with high levels of openness typically exhibit diverse design preferences, while those with lower openness tend to show greater consensus, favoring more familiar designs [25]. The complexity of this problem involves predicting individual consumer perceptions based on 12 distinct adjectives, each representing a different aspect of design (e.g., elegance, strength, tradition). This requires the model to capture subtle differences in consumer preferences across various design dimensions. The study employed gradient boosting to predict design responses, surpassing the performance of the traditional Fuzzy C-means model.
The inverse clustering study provides insights into how openness influence consumer behavior and responses to product design. It highlights the potential for refining clustering techniques to segment individuals based on their openness levels, leading to more accurate behavioral predictions. By integrating personality-driven insights into agent-based models, researchers can improve the precision of consumer agent modes for product resign response.
This approach is product-specific, because once data are collected for a particular product with multiple design variations, the resulting consumer agents can only generate meaningful predictions for that product. The model’s predictive capability is limited to the context in which the data were gathered, restricting its applicability to other products or design types without further adaptation or retraining.
Although the openness trait serves as a basis for grouping consumers, it is not the most effective approach. The results suggest that personality traits alone may not fully explain consumer design preferences. Therefore, personality-based segmentation, while useful, is not the most definitive or effective strategy for predicting preferences.
While inverse clustering improves model accuracy, it does not reveal why individuals are assigned to specific clusters or what commonalities exist within these groups. The overlap between inverse clustering groups and personality-based clusters is high, indicating that the common characteristics driving group membership may not be based purely on personality traits, but on factors indirectly related to them. Further research is needed to uncover the specific drivers behind these clusters and to explore their relationship with personality.
Additionally, the use of inverse clustering adds computational complexity, requiring significant resources and multiple iterations to refine cluster assignments. This additional burden may limit its practical application, particularly for large datasets or real-time modeling needs.
6. Conclusions
This research explored the enhancement of consumer agent modeling in product design by integrating personality openness into predictive models. By clustering consumers based on openness levels and using the gradient boosting method to predict consumer design responses within each personality cluster, the study demonstrated the effectiveness of this approach in achieving higher predictive accuracy compared to direct clustering methods based on the Fuzzy C-means algorithm.
The proposed inverse clustering method refines cluster assignments by prioritizing predictive model accuracy over similarity in grouping. The results showed a restructuring of clusters when compared to personality-based clustering, with partial alignment between the two grouping criteria. However, due to the improved agent accuracy, it is inferred that the inverse clustering method captures individual characteristics beyond those identified by personality-based approaches. This approach allows for a more precise understanding of to what degree consumer personality openness influences design preferences.
Future research will apply the inverse clustering method to larger, more diverse datasets, including furniture and technology, to evaluate its scalability and broader applicability. Additionally, the refinement of predictive models through inverse clustering will be investigated in real-world design environments to optimize design strategies and improve personalization in consumer products.
Author Contributions
Conceptualization, B.B. and M.K.; methodology, B.B.; software, B.B; validation, H.T. and B.B.; formal analysis, B.B.; investigation, B.B.; resources, M.K.; data curation, B.B.; writing—original draft preparation, B.B.; writing—review and editing, B.B.; visualization, B.B.; supervision, M.K. All authors have read and agreed to the published version of the manuscript.
Funding
This research received no external funding.
Data Availability Statement
Not available.
Conflicts of Interest
The authors declare no conflicts of interest.
References
- Minu, K.; Noble, C.H. Beyond form and function: Why do consumers value product design? J. Bus. Res. 2016, 69, 613–620. [Google Scholar]
- TW, S.S.; Eklund, J.; Axelsson, J.R.C.; Nagamachi, M. Concepts, methods and tools in kansei engineering. Theor. Issues Ergon. Sci. 5 2004, 3, 214–231. [Google Scholar]
- Marco-Almagro, L. Statistical Methods in Kansei Engineering Studies. Ph.D. Thesis, Universitat Politècnica de Catalunya, Barcelona, Spain, 2011. [Google Scholar]
- Óscar, L.; Murillo, C.; González, A. systematic literature reviews in kansei engineering for product design—A comparative study from 1995 to 2020. Sensors 2021, 19, 6532. [Google Scholar]
- Henrik, H.; Patrick, V.M. Consumer response to overstyling: Balancing aesthetics and functionality in product design. Psychol. Mark. 2014, 31, 518–525. [Google Scholar]
- Jian, W.; Hsu, Y. The Relationship of symmetry, complexity, and shape in mobile interface aesthetics, from an emotional perspective—A case study of the smartwatch. Symmetry 2020, 12, 1403. [Google Scholar] [CrossRef]
- Nathan, C.; Moultrie, J.; Clarkson, P.J. Seeing things: Consumer response to the visual domain in product design. Des. Stud. 2004, 25, 547–577. [Google Scholar]
- Zhenzhen, Q.; Song, Y.; Tian, Y. The impact of product design with traditional cultural properties (Tcps) on consumer behavior through cultural perceptions: Evidence from the young chinese generation. Sustainability 2019, 11, 426. [Google Scholar] [CrossRef]
- Maria-Jesus, A.; Vergara, M. Principles of affective design in consumers’ response to sustainability design strategies. Sustainability 2020, 12, 10573. [Google Scholar] [CrossRef]
- Ribeiro, T.D.; Junior, O.C.; de Macedo Guimarães, L.B.; Rudek, M. A systematic literature review of consumers’ cognitive-affective needs in product design from 1999 to 2019. Front. Neuroergon. 2021, 1, 617799. [Google Scholar]
- Vaquero, M.M. Communicating new product development openness—The impact on consumer perceptions and intentions. Eur. Manag. J. 2021, 6, 802–815. [Google Scholar] [CrossRef]
- Eleanor, E.; Lowengart, O.; Tractinsky, N. Effects of visual simplicity in product design and individual differences in preference of interactive products. Rev. Manag. Sci. 2021, 15, 1347–1389. [Google Scholar]
- Rohail, J.; Shaheen, S. Design Perception and consumer-brand relationshipin textile apparel: Mediating role of experiential value and moderating role of openness to experience. Bus. Rev. 2021, 15, 86–100. [Google Scholar]
- Konrad, B.; Wiścicka-Fernando, M. Customers’ emotions and openness to product co-creation: An empirical analysis based on EEG data. Eur. Res. Stud. J. 2023, 26, 46–69. [Google Scholar]
- Costa, B.T.; Borges, M.M.; de Castro Lemonge, A.C.; Marujo, L.G. Genetic algorithm applied to packaging shape models using sustainability criteria. In Proceedings of the Industrial Engineering and Operations Management: XXVI IJCIEOM (2nd Edition), Rio de Janeiro, Brazil, 22–24 February 2021; Volume 26, pp. 545–558. [Google Scholar]
- Xiaodan, D.; Cao, X. Research on brand design based on particle swarm optimization algorithm using product experience. Comput.-Aided Des. Appl. 2023, 20, 129–141. [Google Scholar]
- Kazuko, Y.; Seki, K.; Nishimura, H. Requirement analysis considering uncertain customer preference for kansei quality of product. J. Adv. Mech. Des. Syst. Manuf. 2018, 12, JAMDSM0034. [Google Scholar]
- Luca, P.; Prenkaj, B.; Velardi, P. Machine learning for visualization recommendation systems: Open challenges and future directions. arXiv 2023, arXiv:2302.00569. [Google Scholar]
- Yashar, D.; Nazary, F.; Ramisa, A.; Mcauley, J.; Pellegrini, G.; Bellogin, A.; Di Noia, T. A review of modern fashion recommender systems. ACM Comput. Surv. 2023, 56, 87. [Google Scholar]
- Nils, M.; Storme, M. How personality traits predict design-driven consumer choices. Eur. J. Psychol. 2012, 8, 641–650. [Google Scholar]
- Peter, H.B.; Brunel, F.F.; Arnold, T.J. Individual differences in the centrality of visual product aesthetics: Concept and measurement. J. Consum. Res. 2003, 29, 551–565. [Google Scholar]
- DeYoung, C.G. Openness/Intellect: A Dimension of Personality Reflecting Cognitive Exploration. In APA Handbook of Personality and Social Psychology; Mikulincer, M., Shaver, P.R., Cooper, M.L., Eds.; American Psychological Association: Washington, DC, USA, 2015; pp. 369–399. [Google Scholar]
- Alexander, P.C.; Cotter, K.N.; Silvia, P.J. Reopening openness to experience: A network analysis of four openness to experience inventories. J. Personal. Assess. 2019, 101, 574–588. [Google Scholar]
- Shahin, M.-Z.; Afhami, R. Memento mori: The influence of personality and individual differences on aesthetic appreciation of death-related artworks by Damien Hirst. Mortality 2019, 24, 467–485. [Google Scholar]
- Brahim, B.; Kobayashi, M.; Kinoshita, K.; Takenouchi, H. A novel approach for individual design perception based on fuzzy inference system training with yuki algorithm. Axioms 2023, 12, 904. [Google Scholar] [CrossRef]
- Meng-Dar, S.; Li, Y.; Yang, C.-C. Comparison of multi-objective evolutionary algorithms in hybrid kansei engineering system for product form design. Adv. Eng. Inform. 2018, 36, 31–42. [Google Scholar]
- Perez, M.M.; Ahmed-Kristensen, S.; Brockhoff, P.B.; Yanagisawa, H. Investigating the influence of product perception and geometric features. Res. Eng. Des. 2017, 28, 357–379. [Google Scholar] [CrossRef]
- Robert, M.H.; Dinstein, H. An iterative clustering procedure. IEEE Trans. Syst. Man Cybern. 1971, 3, 275–289. [Google Scholar]
- Madhura, J.; Jayatilleke, B. Predicting personality using answers to open-ended interview questions. IEEE Access 2020, 8, 115345–115355. [Google Scholar]
- Burkardt, J. K-Means Clustering. Virginia Tech, Advanced Research Computing, Interdisciplinary Center for Applied Mathematics. 2009. Available online: https://people.sc.fsu.edu/~jburkardt/classes/isc_2009/clustering_kmeans.pdf (accessed on 1 June 2024).
- Bezdek, J.C.; Ehrlich, R.; Full, W. Fcm: The fuzzy c-means clustering algorithm. Comput. Geosci. 1984, 10, 191–203. [Google Scholar] [CrossRef]
- Brahim, B.; Kobayashi, M.; Al Ali, M.; Khatir, S.; Shimoda, M. A novel exploration strategy for the yuki algorithm for topology optimization with metaheuristic structural binary distribution. Eng. Optim. 2024, 56, 1–21. [Google Scholar]
- Raidl, G.R.; Puchinger, J. Combining (integer) linear programming techniques and metaheuristics for combinatorial optimization. Hybrid Metaheuristics Emerg. Approach Optim. 2008, 114, 31–62. [Google Scholar]
Disclaimer/Publisher’s Note: The statements, opinions and data contained in all publications are solely those of the individual author(s) and contributor(s) and not of MDPI and/or the editor(s). MDPI and/or the editor(s) disclaim responsibility for any injury to people or property resulting from any ideas, methods, instructions or products referred to in the content. |
© 2025 by the authors. Licensee MDPI, Basel, Switzerland. This article is an open access article distributed under the terms and conditions of the Creative Commons Attribution (CC BY) license (https://creativecommons.org/licenses/by/4.0/).






