Abstract
The goal of this paper is to study the effects of gamma irradiation and samples’ aging on the AC-electrical properties of hybrid epoxy resin as a function of frequency, temperature, and (zinc oxide) ZnO content (0, 0.049, 0.099, 0.149, and 0.199 wt) at 0.001 wt of conductive (carbon black) CB nanoparticles. The irradiation processes were administered at room temperature in a gamma chamber utilizing a Cobalt 60 source of average energy = 1.25 MeV with doses = 100, 750, and 1000 Gy. The AC-electrical properties, including the impedance, dielectric constant, dielectric loss, conductivity, and activation energy of the nanocomposites, were initially studied after years of sample preparations. The collected empirical data were later analyzed before and after the gamma irradiation. The results showed that exposing samples to different doses of gamma radiation affects these AC-electrical properties significantly. It was found that the energy gap decreased as the dosage of gamma radiation increased. This could be explained as the gamma-irradiation processes induce changes in the structure of the epoxy hybrid nanocomposites by reinforcing the metal–polymer bonding and hence, causing the release of more free electrons inside the hybrid nanocomposites. Moreover, the sample aging results showed that the AC-electrical conductivity decreased with time for all samples. Hence, this study demonstrated why the γ-irradiation technique can be considered a powerful way to treat, recover, and/or enhance the electrical features of the tested epoxy hybrid nanocomposites.
1. Introduction
In recent years, the use of gamma radiation in materials has drawn the attention of numerous researchers who are seeking to improve and enhance the physical properties of polymer composites, particularly those with significant industrial and technological applications [1,2]. As one of the best ways to improve the chemical and/or physical behavior of nanocomposite polymers, this technology gained widespread usage [1,3,4,5,6,7].
Because of their desired physical properties, such as a higher surface area and photonic brilliant characteristics, and because of their potential applications in the semiconductor industry and optoelectronic devices, zinc oxide nanoparticles with a wide bandgap have been used as a filler in the epoxy resin matrix in this research paper [8,9,10,11].
Additionally, because of its desired physical properties, such as high electrical conductivity, good reinforcing effect, and its ability to build conductive network structures in the polymer matrix, we have chosen carbon black with a fixed content for use as a resin-forced conductive filler in this study paper [12,13].
The current study’s objective is to examine how gamma-irradiation dosages affect the AC-electrical characteristics of epoxy nanocomposites containing varying amounts of ZnO nanoparticles reinforced with a fixed CB content. There is disagreement around the electrical, optical, and structural attributes. It is argued that exposure to different levels of gamma irradiation may have a discernible impact on the structural, optical, and electrical properties of the materials under investigation. According to several reports on the effects of gamma irradiation on ZnO nanocomposites, the polymer composites can undergo significant physical changes with different modifications when subjected to γ radiation. These changes can affect the properties of the irradiated polymer composites, such as structural scission or cross-linking, modification of the degree of filler particle aggregation, creation of holes or cavities, modification of band gap values, and/or the formation of more dipoles [14,15,16,17,18,19,20,21,22,23,24,25]. Several scientific research papers in the literature reported the effect of gamma radiation on the physical properties of ZnO, CB, and/or epoxy polymer nanocomposites. The following are some examples: Rao et al. [26] studied the effect of gamma irradiation on HPMC/ZnO nanocomposite films and reported improvement in the mechanical and physical properties of the studied films. Paula et al. [27] investigated the gamma-irradiation effects on polycaprolactone/zinc oxide nanocomposite films and reported marginal variations in the mechanical properties and crystallinity of the irradiated samples. Indluru et al. [28] studied the effect of gamma irradiation on indium zinc oxide thin-film transistors and reported a significant increase in electron mobility after exposure. Parangusan et al. [29] studied the gamma-irradiation effect on the dielectric properties of PVDF/FeZnO nanocomposites and reported enhancement in the dipole formation influenced by the modification of the filler–polymer interface. Abdel-Galil et al. [30] studied the effect of different irradiation doses on the mechanical and optical properties of the ZnO/PVA nanocomposite films and reported changes in the degradation activation energies related to the cross-linking processes of the nanocomposites.
According to the best knowledge of the authors, there is no previously reported data concerning the gamma irradiation and aging effects of the epoxy/ZnO/CB hybrid nanocomposites. Nevertheless, one of the authors has reported the AC-impedance and dielectric properties of epoxy/ZnO/CB hybrid nanocomposites [31]. In addition, we have reported the system’s thermal and electrical properties as a conductive polymer composite [32]. Moreover, we have reported a study on the DC-electrical and thermal conductivities of epoxy/ZnO composites doped with CB [13]. This present study deals with the effect of gamma irradiation and sample aging on the AC-electrical properties of the epoxy/ZnO/CB hybrid nanocomposites. In order to achieve the objective of this study, these hybrid nanocomposite materials were exposed to different doses of gamma radiation.
2. Materials and Methods
2.1. Samples
Epoxy with a molecular weight (Mw) = 248 g/mol was purchased from Sigma-Aldrich, Italy. ZnO and CB, with an average surface area = 950 m2/g, primary particle size = 35 nm, and a density = 1.8 g/cm3, were purchased from Marbo S.P.A., Milan, Italy. More details about the materials and composites’ preparation procedure and protocol are found elsewhere [13,31,32].
2.2. (Gamma) γ Irradiation
The gamma irradiation was incorporated with the intention to improve the AC-electrical properties of an epoxy hybrid nanocomposite. The samples were irradiated by a Co-60 gamma-ray source with an average energy of 1.25 MeV. The entire process was carried out at room temperature under normal atmospheric pressure at a dose rate of 205.965 Gy/h for a sample capacity of 4400 mL at the Jordan Atomic Energy Commission (JAEC). The same protocol was followed and published elsewhere [5].
2.3. Electrical Parameter Calculations
The AC-electrical properties were measured utilizing an LF impedance analyzer (HP model 4192).
The following formulae were considered for the sample’s two components of the complex impedance , i.e., the real component and the imaginary one as follows:
where (Z) is the impedance magnitude and (φ) is the phase angle, both measured by the LF impedance analyzer. Also, the dielectric constant and dielectric loss respectively, are given by:
Moreover, the capacitance formula of the two plates of the sample is shown as:
With (A) being the disk area and (d) being the separation of the two plates.
The sample AC-conductivity was administered using the following equation as follows:
where (f) and are the applied frequency and the permittivity of free space, respectively. In addition, calculating the activation energy for any thermally activated transport process can be determined based on the simple Arrhenius equation:
with and denoting the conductivity and the pre-exponential conductivity factor, respectively. is the Boltzmann constant. is the absolute temperature (in Kelvin). And lastly, is the migration activation energy of the free charges.
3. Results and Discussion
Figure 1a–d and Table 1 describe the complex impedance (Z) as a function of frequency before and after the gamma irradiation at different doses for epoxy/ZnO/CB hybrid polymer nanocomposites. The impedance values of the tested nanocomposites before the gamma irradiation are shown in Figure 1a. From this figure, the aging effect on the impedance values is obvious, as the values that are tested in 2024 are relatively greater compared to those reported in 2015 [31]. These values for pure epoxy increased from 2.90 × 105 − 0.2 × 105 (Ohm) to 2.98 × 105 − 0.306 × 105 (Ohm) in the same frequency range (100–1000 kHz) and at T = 30 °C. This indicates that even though the impedance of the pure epoxy remained unchanged, there is a relatively sizable change in the impedance values of the filled nanocomposites with the passage of time.

Figure 1.
The dependence of the complex impedance on the applied frequency at a specific dose of γ irradiation at a temperature of 30 °C. CB: carbon black; ZnO: zinc oxide. (a) Before γ irradiation, (b) at 100 Gy, (c) at 750 Gy, and (d) at 1000 Gy.
Table 1.
The values of impedance (Z) as a function of frequency (100–1000 kHz) for all tested nanocomposites at different γ irradiations of 0, 100, 750, and 1000 Gy at temperature T = 30 °C.
The effect of the γ-irradiation doses on the impedance of the tested hybrid nanocomposites is described in Figure 1b–d.
As shown in Figure 1b, for pure epoxy, the impedance values of the γ-irradiated hybrid nanocomposites at 100 Gy are relatively less than the non-irradiated nanocomposites and dropped from 2.98 × 105 − 0.306 × 105 (Ohm) to 2.62 × 105 − 0.268 × 105 (Ohm). At 750 Gy, as shown in Figure 1c, it dropped to 2.31 × 105 (Ohm) at 100 kHz and to 0.236 × 105 (Ohm) at 1000 kHz. In Figure 1d, at 1000 Gy and T = 30 °C, it dropped to 1.83 × 105 (Ohm) at 100 kHz to 0.187 × 105 (Ohm) at 1000 kHz, and the extra information found in Table 1 is in the same frequency range from 100–1000 kHz.
The results of impedance (Z) as a function of the frequency obtained at temperature T = 30 °C before and after the γ irradiation, shown in Table 1, confirm that the values of impedance (Z) decrease with the increasing γ irradiation for all nanocomposites, and the results also show that the measurements for impedance (Z) decrease as the ZnO concentration increases in the samples.
The results in Table 1 show the effect of changing the frequency (200–1000 kHz) on the impedance values (Z) at temperature T = 30 °C. Here, the results showed that the impedance (Z) measurement decreased with increasing frequency. This applies to all nanocomposites before and after γ irradiation.
The impedance values of the γ-irradiated nanocomposites are less than the non-irradiated nanocomposites. This could be attributed to the γ radiations’ energy releasing more free electrons and/or creating more holes that facilitate the motion of more electrons and, hence, allow the nanocomposites to be more conductive [17].
All tested samples at high frequencies reveal frequency-independent impedances and dependent ones at low frequencies. A decrease in the impedance with varying doses is attributed to the presence of more charge carriers in the hybrid nanocomposites, induced by the radiation scission of the nanocomposite structure, which produces more charges that are trapped in the localized sites of the nanocomposites [33].
Figure 2a–d represent the dielectric constant behavior as a function of frequency before and after γ irradiation at different doses = 100, 750, and 1000 Gy for the epoxy/ZnO/CB hybrid polymer nanocomposites. The dielectric constant values of the tested nanocomposites before being γ-irradiated are shown in Figure 2a. In this figure, the aging effect on the dielectric constant values reveals that the dielectric constant values that are tested in 2024 are less than the values registered in 2015 [31]. The dielectric constant values for pure epoxy dropped from 3.8–3.77 to 2.065–2.010 when measured at room temperature and within the same frequency range (100–1000 kHz). Similarly, this drop in values as a function of time happens to all samples. The effect of the gamma-irradiation doses on the dielectric constant of the tested hybrid nanocomposites is described in Figure 2b–d. As shown in Figure 2b for the pure epoxy, the dielectric constant values of the γ-irradiated hybrid nanocomposites at 100 Gy are relatively greater than the non-irradiated nanocomposites, increased from 2.065–2.010 to 2.354–2.299. At 750 Gy, it increased to 2.670 –2.608, as shown in Figure 2c. Finally, at 1000 Gy and in the same frequency range (100–1000 kHz), the values increased to 2.717–2.640, as shown in Figure 2d.

Figure 2.
The variation in the real part of permittivity (dielectric constant) with respect to frequency for the composites at a temperature of 30 °C. CB: carbon black; ZnO: zinc oxide. (a): Before γ irradiation, (b) at 100 Gy, (c) at 750 Gy, and (d) at 1000 Gy.
Table 2 shows the change in dielectric constant due to changing the dose of radiation (0, 100, 750, and 1000 Gy) at temperature T = 30 °C for all the nanocomposites. The table shows that the dielectric constant values increasingly change with an increase in the γ-irradiation values.
Table 2.
The values of dielectric constant as a function of frequency (100–1000 kHz) for all tested nanocomposites at different γ irradiations of 0, 100, 750, and 1000 Gy at temperature T = 30 °C.
By tracking the dielectric constant values of the tested samples in Table 2, we notice that they decrease as a function of frequency at temperature T = 30 °C for all the nanocomposite samples at all γ-irradiation values.
The increasing dielectric constant values with the gamma-irradiation dosage can be argued as follows: when the ionizing γ irradiation passes through the nanocomposites, the polymer chain scission happens, and this induces the appearance of a few defect sites in the band gaps of the nanocomposites. These defects work as traps for the charge carriers within the band gap of the nanocomposites. Also, the γ irradiation increases the ability of the nanocomposites to store charges. It can also be said that with the increase in irradiation doses, the delocalization of charge carriers increases with a subsequent increase in the dielectric constant. The dielectric constant increases with the increase in ZnO concentration as the addition of ZnO in the nanocomposites induces more dipoles, which eventually modifies the dielectric constant [22,34,35].
Figure 3a–d represent the dielectric loss as a function of frequency before and after γ irradiation at different doses = 100, 750, and 1000 Gy for the epoxy/ZnO/CB hybrid polymer nanocomposites. The dielectric loss values of the tested nanocomposites before γ irradiation at room temperature are shown in Figure 3a. From this figure, we noticed that the values of dielectric loss linearly increased as the frequency increased. For pure epoxy, the dielectric loss at room temperature before the γ irradiation increased from 0.007 up to 0.009 in the range of 100 kHz to 1000 kHz, respectively. After the γ irradiation of 100, 750, and 1000 Gy of dosages, the values changed from 0.008 to 0.095 (Figure 3b), 0.0086 to 0.011 (Figure 3c), and 0.013 to 0.016 (Figure 3d), respectively, during the same frequency range as mentioned above at room temperature.

Figure 3.
The variation in the imaginary part of permittivity (dielectric loss) with respect to frequency for the composites at a temperature of 30 °C. CB: carbon black; ZnO: zinc oxide. (a) Before γ irradiation, (b) at 100 Gy, (c) at 750 Gy, and (d) at 1000 Gy.
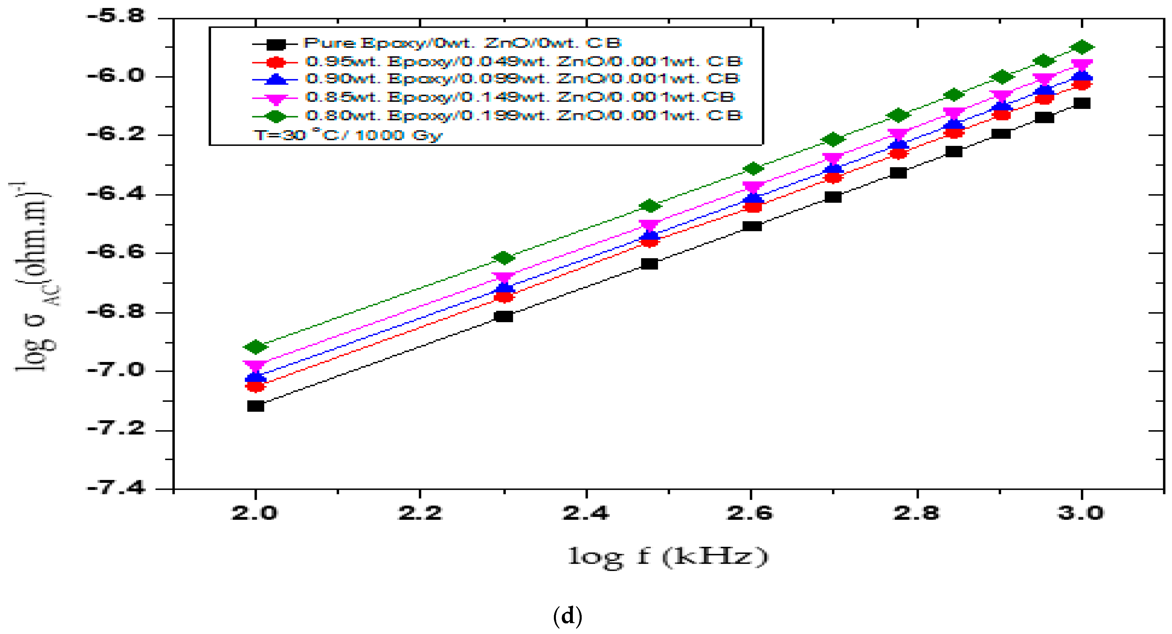
Figure 4a–d exhibit AC-electrical conductivity log(σ) vs. frequency log(f) before and after γ irradiation at different doses for the epoxy/ZnO/ CB hybrid polymer nanocomposites. The AC-electrical conductivity values of the tested nanocomposites before being γ-irradiated are shown in Figure 4a. In this figure, the aging effects on the AC-electrical conductivity values are shown as measured values compared to those previously published [31]. For example, the AC-electrical conductivity values for pure epoxy were given as 0.49 × 10−6 − 4.6 × 10−6 (Ohm. m)−1 and decreased to 0.041 × 10−6 − 0.500 × 10−6 (Ohm. m)−1. Hence, the AC-electrical conductivity decreased as a function of time for all samples. The effect of the γ-irradiation doses on the AC-electrical conductivity of the tested hybrid nanocomposites is described in Figure 4b–d. As shown in Figure 4b for the pure epoxy, the AC-electrical conductivity values of the γ-irradiated hybrid nanocomposites at 100 Gy are relatively greater than the non-irradiated nanocomposites and increased from 0.041 × 10−6 at 100 kHz and 0.5 × 10−6 at 1000 kHz (Ohm. m)−1 to 0.042 × 10−6 at 100 kHz and 0.530 × 10−6 at 1000 kHz (Ohm. m)−1; at 750 Gy (Figure 4c), it increased to 0.048 × 10−6 and 0.611 × 10−6 (Ohm. m)−1 and, as shown in Figure 4d at 1000 Gy, the values increased to 0.077 × 10−6 and 0.810 × 10−6 (Ohm. m)−1.


Figure 4.
The variation in the AC-conductivity log (σ) vs. frequency log(f) for the epoxy nanocomposites at specific doses of γ irradiation at a temperature of 30 °C. CB: carbon black; ZnO: zinc oxide. (a) Before γ irradiation, (b) at 100 Gy, (c) at 750 Gy, and (d) at 1000 Gy.
The calculations obtained for the AC-electrical conductivity at temperature T = 30 °C, shown in Table 3, show that the AC-electrical conductivity values increase with the amount of γ irradiation (0, 100, 750, and 1000 Gy) to which the samples are exposed. This is consistent with what was obtained for all tested nanocomposites.
Table 3.
The values of AC-electrical conductivity as a function of frequency (100–1000 kHz) for all tested nanocomposites at different γ irradiations of 0, 100, 750, and 1000 Gy at temperature T = 30 °C.
Through our study of the results for the AC-electrical conductivity at temperature T = 30 °C obtained, shown in Table 3, it was found that the AC-electrical conductivity increases with the increase in the applied frequency. This result expresses the behavior of the electrical conductivity of all tested nanocomposites that were tested before they were exposed to gamma rays and after they were exposed to different doses of gamma rays (0, 100, 750, and 1000 Gy).
The AC-electrical conductivity for different nanocomposites as a function of temperature is represented in Figure 5a–d at a fixed frequency (1000 kHz) before and after γ irradiation, as in Table 4, Table 5, Table 6 and Table 7. Figure 5a represents the measurement of AC-electrical conductivity before γ irradiation at a frequency of 1000 kHz, in which AC-electrical conductivity increased as the temperature increased and the concentration of ZnO nanoparticles increased (0, 4.9, 9.9, 14.9, and 19.9 by weight %). For the pure epoxy, the AC-electrical conductivity before γ irradiation increased from 0.5 × 10−6 to 0.63 × 10−6 (Figure 5a). At 100 Gy, as shown in Figure 5b, the values increased from 0.53 × 10−6 to 0.7 × 10−6. At 750 Gy (Figure 5c), the values increased from 0.61 × 10−6 to 0.86 × 10−6. And finally, at 1000 Gy (Figure 5d), the values jumped from 0.81 × 10−6 to 1.4 × 10−6 at the same temperature, T = 30 °C and T = 110 °C, respectively, and at 1000 kHz. When the nanocomposites are irradiated by γ rays, the radiation causes chain scissions in the nanocomposites. This created defects, free radicals and/or electron densities, which can be trapped within the bulk of the nanocomposite material. Thus, the irradiated nanocomposites’ conductivity confirmed enhanced behavior in comparison to those of the non-irradiated ones. Also, it is rationally assumed that any increase in AC conductivity based on the increase in irradiation dosage can be attributed to the polymer chains’ degradation of the nanocomposites [22,35,36].

Figure 5.
The variation in the AC conductivity as a function of temperature for the epoxy nanocomposites at specific doses of γ irradiation at a frequency of 1000 kHz. CB: carbon black; ZnO: zinc oxide. (a) Before γ irradiation, (b) at 100 Gy, (c) at 750 Gy, and (d) at 1000 Gy.
Table 4.
The values of AC-electrical conductivity as a function of temperature for all tested nanocomposites before γ irradiations at a frequency of 1000 kHz.
Table 5.
The values of AC-electrical conductivity as a function of temperature for all tested nanocomposites at 100 Gy of γ irradiation at a frequency of 1000 kHz.
Table 6.
The values of AC-electrical conductivity as a function of temperature for all tested nanocomposites at 750 Gy of γ irradiation at a frequency of 1000 kHz.
Table 7.
The values of AC-electrical conductivity as a function of temperature for all tested nanocomposites at 1000 Gy of γ irradiation at a frequency of 1000 kHz.
Also, it is obvious from the linear fit of the conductivity before and after γ irradiation (Table 8) that the calculated band gap energies (Figure 6a–d) decrease as the dosage of γ radiation increases. This decrease may be attributed to the γ irradiation inducing changes in the molecular structure of the polymer nanocomposite networks and/or may be explained based on the fact that the γ irradiation induces defect sites in the polymer nanocomposite [37].
Table 8.
The values of activation energies (Ea) for the AC-electrical conductivity for all tested nanocomposites at 0, 100, 750, and 1000 Gy γ irradiation.

Figure 6.
The variation in the AC-conductivity as an Arrhenius function of temperature at 1000 kHz. CB: carbon black; ZnO: zinc oxide. (a) Before γ irradiation, (b) at 100 Gy, (c) at 750 Gy, and (d) at 1000 Gy.
The effect of aging on the magnitude of activation energy is calculated by taking the linear fit of the AC-electrical conductivity data, as shown in Figure 6a, by comparing the values in Table 8, which were calculated in 2022, with the values obtained in 2015 [31]. For the pure epoxy, the activation energy decreased from 1.13 (eV) to 30 × 10−3 (eV); for 0.95 wt. Epoxy/0.049 wt. ZnO/0.001 wt. CB, it dropped from 1.11 (eV) to 29.5 × 10−3 eV; for 0.90 wt. Epoxy/0.099 wt. ZnO/0.001 wt. CB, it went from 1.09 (eV) to 29 × 10−3 (eV); for 0.85 wt. Epoxy/0.149 wt. ZnO/0.001 wt. CB, it went from 1.08 eV to 28.4 × 10−3 (eV); and for 0.80 wt. Epoxy/0.199 wt. ZnO/0.001 wt. CB, it went from 1.06 (eV) to 28 × 10−3 (eV), where it is evident that the activation energy decreased with the passage of time; these results are compared to those measured by Elimat in 2015 [31].
The Shapiro-Wilk test is a hypothesis test for normality and depends on the values of (p) and the value of the statistics (W). If (p) is found to be less than 0.05, then the null hypothesis can be rejected, and the distribution will not be normally distributed. But if there is a p > 0.05, the test cannot be rejected, and the normality might be achieved.
Shapiro’s examination procedures were carried out for the results obtained for the variables AC-conductivity log (σ) before γ irradiation vs. AC-conductivity log (σ) after γ irradiation for the epoxy nanocomposites at a temperature of 30 °C, where the (p) values and the (W) values were obtained. The test showed that the (p) values for all samples before and after γ irradiation were greater than 0.05, as shown in Figure 7a–e, which means the normality cannot be rejected.


Figure 7.
The AC-conductivity log (σ) before γ irradiation vs. AC-conductivity log (σ) after γ irradiation for epoxy nanocomposites at specific doses of γ irradiation at a temperature of 30 °C. CB: carbon black; ZnO: zinc oxide. (a) Pure Epoxy/0 wt. ZnO/0 wt. CB; (b) 0.95 wt. Epoxy/0.049 wt. ZnO/0.001 wt. CB; (c) 0.90 wt. Epoxy/0.099 wt. ZnO/0.001 wt. CB; (d) 0.85 wt. Epoxy/0.149 wt. ZnO/0.001 wt. CB; (e) 0.80 wt. Epoxy/0.199 wt. ZnO/0.001 wt. CB.
4. Conclusions
The AC-electrical properties of the epoxy/zinc oxide/carbon black hybrid nanocomposite samples were studied under the influence of gamma irradiation at different doses.
The varying doses were administered by a Co-60 source with a dose rate of 205.965 Gy/h for a sample capacity of 4400 mL. It was found that the gamma radiation process had modified the investigated nanocomposites’ impedance values, causing them to decrease.
In addition, and most importantly, both the dielectric constant and the AC-electrical conductivity values have been increased after γ irradiation. The aging effect factor on the AC-electrical properties of the tested samples was also investigated. As such, and based on the outcome of this work, we conclude that the γ-irradiation process is a successful treatment technique that can be used to modify the structure of nanocomposites, causing the recovery of the deteriorating electrical properties after years of preparation, redeeming the samples useful again. Finally, this treatment protocol can be utilized for various samples with deteriorating electrical properties used in industrial and electronic applications.
Author Contributions
Conceptualization, M.y.A., H.K.J., Z.M.E. and Z.M.A.; methodology, M.y.A., H.K.J., Z.M.E. and Z.M.A.; software, M.y.A. and Z.M.A.; validation, H.K.J. and Z.M.E.; formal analysis, M.y.A., Z.M.E. and Z.M.A.; investigation, Z.M.E.; resources, H.K.J.; data curation, M.y.A., Z.M.E. and Z.M.A.; writing—original draft preparation, M.y.A.; writing—review and editing, M.y.A., Z.M.E., Z.M.A. and H.K.J.; supervision, M.y.A., H.K.J. and Z.M.E.; project administration, M.y.A., H.K.J., Z.M.E. and Z.M.A.; funding acquisition, H.K.J. All authors have read and agreed to the published version of the manuscript.
Funding
This research received no external funding.
Data Availability Statement
The data that informed this study are available upon request from the corresponding author.
Acknowledgments
We would like to express our deep thanks to the crew working in the gamma irradiation facility at the Jordan Atomic Energy Commission, who facilitated the process of irradiating the samples.
Conflicts of Interest
No potential conflicts of interest were reported by the authors.
References
- Mou’ad, A.T.; Sherin, A.S.; Ruey, S.C.; Sahrim, H.; Musab, A.M.; LihJiun, Y. Gamma irradiation influence on mechanical, thermal and conductivity properties of hybrid carbon nanotubes/montmorillonite nanocomposites. Radiat. Phys. Chem. 2020, 179, 109168. [Google Scholar]
- Tommalieh, M.J. Gamma radiation assisted modification on electrical properties of Polyvinyl Pyrrolidone/Polyethylene Oxide blend doped by copper oxide nanoparticles. Radiat. Phys. Chem. 2021, 179, 109236. [Google Scholar] [CrossRef]
- Raghu, S.; Archana, K.; Sharanappa, C.; Ganesh, S.; Deven Drappa, H. The physical and chemical properties of gamma ray irradiated polymer electrolyte films. J. Non-Cryst. Solids 2015, 426, 55–62. [Google Scholar]
- Dyuryagina, N.S.; Yalovets, A.P. Radiation-Induced Electrical Conductivity of Nanocomposite. Mater. Tech. Phys. 2018, 63, 838–847. [Google Scholar] [CrossRef]
- Abu Saleh, B.A.; Elimat, Z.M.; Alzubi, R.I.; Juwhari, H.K.; Zihlif, A.M. Ultrafine Iron Particles/ Polystyrene Composites: Effects of Gamma Radiation and Manufacture Aging on the AC Electrical Characterization. Radiat. Eff. Defects Solids 2022, 177, 1065–1074. [Google Scholar] [CrossRef]
- Afaneh, F.; Okasha, M.; Hamam, K.; Shaheen, A.; Maghrabi, M.; Lahlouh, B.; Juwhari, H.K. The γ-irradiation Effect on the Optical Properties of CdTe Thin Films Deposited by Thermal Evaporation Technique. Mater. Sci. 2018, 24, 3–9. [Google Scholar] [CrossRef]
- Lafi, O.; Imran, M.; Juwhari, H.; Abdullah, M. Investigation of physical ageing effect in Se90In4Sn6 glass. Radiat. Phys. Chem. 2015, 112, 1–5. [Google Scholar] [CrossRef]
- Gonzalez-Campo, A.; Katherine, L.; Orchard, N.S.; Shaffer, M.S.; Williams, C.K. One-pot, in situ synthesis of ZnO-carbon nanotube–epoxy resin hybrid nanocomposites. Chem. Commun. 2009, 27, 4034–4036. [Google Scholar] [CrossRef] [PubMed][Green Version]
- Furhan, M.; Ramesan, M.T. Development of conductive poly (para-aminophenol)/zinc oxide nanocomposites for optoelectronic devices. Polym. Bull. 2023, 80, 6405–6432. [Google Scholar] [CrossRef]
- Furhan, M.; Ramesan, T. Zinc oxide reinforced poly(para-aminophenol) nanocomposites: Structural, thermal stability, conductivity and ammonia gas sensing applications. J. Macromol. Sci. Part A 2022, 59, 675–688. [Google Scholar] [CrossRef]
- Furhan, M.; Ramesan, T. High performance optical and electrical properties of zinc oxide reinforced poly(diphenylamine) nanocomposites for optoelectronic applications. Polym. Eng. Sci. 2022, 62, 3418–3432. [Google Scholar] [CrossRef]
- Wu, X.; Lu, C.; Zhang, X.; Zhou, Z. Conductive natural rubber/carbon black nanocomposites via cellulose nano whisker templated assembly: Tailored hierarchical structure leading to synergistic property enhancements. J. Mater. Chem. 2015, 3, 13317–13323. [Google Scholar] [CrossRef]
- Juwhari, H.K.; Zihlif, A.; Elimat, Z.; Ragosta, G. A study on the DC-electrical and thermal conductivities of epoxy/ZnO composites doped with carbon black. Radiat. Eff. Defects Solids 2014, 169, 560–572. [Google Scholar] [CrossRef]
- Harun, M.H.; Othman, N.; Mohamed, M.; Alias, M.S.; Umar, K.K.; Abd Rahman, M.F. Influence of Gamma Irradiation on the Electrical Conductivity and Dielectric Properties of Polypyrrole Conducting Polymer Composite Films. Int. J. Nanoelectron. Mater. 2019, 12, 467–476. [Google Scholar]
- Sunitha, V.R.; Radhakrishnan, D. Gamma irradiation effects on conductivity and dielectric behavior of PEO-based nano-composite polymer electrolyte systems. Polym. Bull. 2020, 77, 655–670. [Google Scholar] [CrossRef]
- Al Naim, A.; Alnaim, N.; Ibrahim, S.S.; Metwally, S.M. Effect of gamma irradiation on the mechanical properties of PVC/ZnO polymer nanocomposite. J. Radiat. Res. Appl. Sci. 2017, 10, 165–171. [Google Scholar] [CrossRef]
- Badawy, A.A.; El-Shafey, S.E.; Suzan, A.E.; El-Shobaky, G.A. Effect of γ-Irradiation and Calcination Temperature of Nanosized ZnO/TiO2 System on Its Structural and Electrical Properties. Adv. Chem. 2014, 2014, 301410. [Google Scholar] [CrossRef]
- Al-Hada, N.M.; Al-Ghaili, A.M.; Kasim, H.; Saleh, M.A.; Elias, S.; Liu, J.; Wang, J. Synthesis and Characterization of Conducting Polyaniline Based on ANI-PVA-MgCl2 Composites Using Gamma Radiation Technique. IEEE Access 2020, 8, 139479–139488. [Google Scholar] [CrossRef]
- Amini, M.; Noghreiyan, A.V.; Dehghani, Z.; Mohammad, H.M.A. Effect of gamma irradiation on the structure characteristics and mass attenuation coefficient of MgO nanoparticles. Radio Chima 2018, 106, 857–864. [Google Scholar] [CrossRef]
- Sinha, M.; Goswami, M.M.; Mal, D.; Middya, T.R.; Tarafdar, S.; Udayan, D.; Chaudhuri, S.K.; Das, D. Effect of gamma irradiation on the polymer electrolyte PEO-NH4ClO4. Ionics 2008, 14, 323–327. [Google Scholar] [CrossRef]
- Kumar, A.; Deka, M.; Banerjee, S. Enhanced ionic conductivity in oxygen ion irradiated poly (vinylidene fluoride hexafluoropropylene) based nanocomposite gel polymer electrolytes. Solid State Ion. 2010, 181, 609–615. [Google Scholar] [CrossRef]
- Raghu, S.; Archana, K.; Sharanappa, C.; Ganesh, S.; Devendrappa, H. Electron beam and gamma ray irradiated polymer electrolyte films: Dielectric properties. J. Radiat. Res. Appl. Sci. 2016, 9, 117–124. [Google Scholar] [CrossRef]
- Babu, M.S.; Sarathi, R.; Vasa, N.J.; Imai, T. Investigation on space charge and charge trap characteristics of gamma-irradiated epoxy micro–nano composites. High Volt. 2020, 5, 191–201. [Google Scholar] [CrossRef]
- Singh, D.; Singh, N.L.; Anjum, Q.; Kulriya, P.; Ambuj, T.; Avasthi, D.K.; Gulluoglu, A.N. Radiation induced modification of dielectric and structural properties of Cu/PMMA polymer composites. J. Non-Cryst. Solids 2010, 356, 856–863. [Google Scholar] [CrossRef]
- Sinha, D.; Sahoo, K.L.; Sinha, U.B.; Swu, T.; Chemseddine, A.; Fink, D. Gamma-Induced Modifications of Polycarbonate Polymer. Radiat. Eff. Defects Solids 2004, 159, 587–595. [Google Scholar] [CrossRef]
- Rao, B.L.; Sangappa, Y. Effect of gamma irradiation on HPMC/ZnO nanocomposite films. Radiat. Eff. Defects Solids 2015, 170, 501–509. [Google Scholar] [CrossRef]
- Paula, M.; Diego, I.; Dionisio, R.; Glória, V.A. Gamma irradiation effects on polycaprolactone/zinc oxide nanocomposite films. Polímeros 2019, 29, 2019014. [Google Scholar] [CrossRef]
- Indluru, A.; Holbert, K.E.; Alford, T.L. Gamma radiation effects on indium-zinc oxide thin-film transistors. Thin Solid Film. 2013, 539, 342–344. [Google Scholar] [CrossRef]
- Parangusan, H. Deep Alekshmi, P.; Al Maadeed, M.A. Investigation on the effect of c-irradiation on the dielectric and piezoelectric properties of stretchable PVDF/Fe–ZnO nanocomposites for self-powering devices. Soft Matter 2018, 14, 8803–8813. [Google Scholar] [CrossRef]
- Abdel-Galil, A.; Ali, H.E.; Balboul, M.R. Nano-ZnO Doping Induced Changes in Structure, Mechanical and Optical Properties of PVA Films. Arab. J. Nucl. Sci. Appl. 2015, 48, 77–89. [Google Scholar]
- Elimat, Z.M. AC-impedance and dielectric properties of hybrid polymer composites. J. Compos. Mater. 2015, 49, 3–15. [Google Scholar] [CrossRef]
- Juwhari, H.K.; Abuobaid, A.; Zihlif, A.M.; Elimat, Z.M. Investigation of Thermal and Electrical Properties for Conductive Polymer Composites. J. Electron. Mater. 2014, 6, 5705–5714. [Google Scholar] [CrossRef]
- Susilawati, S.; Aris, D. Effects of Gamma Radiation on Electrical Conductivity of PVA-CH Composites. Mater. Sci. Forum 2015, 827, 180–185. [Google Scholar] [CrossRef]
- Raju, G.G. Dielectrics in Electric Fields; Marcel Dekker Inc.: New York, NY, USA, 2003. [Google Scholar]
- Prabha, K.; Jayanna, H.S. Study the frequency Dependence of Dielectric Properties of Gamma Irradiated PVA(1-x) Px Polymer Blends. Open J. Polym. Chem. 2015, 5, 47–54. [Google Scholar] [CrossRef][Green Version]
- Shehap, A.; Abd Allah, R.A.A.; Basha, A.F.; El-Kader, F.H.A. Electrical Properties of Gamma-Irradiated, Pure, and Nickel Chloride-Doped Polyvinyl Alcohol Films. J. Appl. Polym. Sci. 1998, 68, 687–698. [Google Scholar] [CrossRef]
- Siljegovic, M.; Kacarevic-Popovic, Z.M.; Bibic, N.; Jovanovic, Z.M.; Maletic, S.; Stchakovsky, M.; Krkljes, A.N. Optical and electric properties of fluorinated ethylene propylene tetrafluoro ethylene–perfluoro(alkoxy vinyl ether) copolymer films modified by low energy N4+ and C4+ ion beams. Radiat. Phys. Chem. 2011, 80, 1378–1385. [Google Scholar] [CrossRef]
Disclaimer/Publisher’s Note: The statements, opinions and data contained in all publications are solely those of the individual author(s) and contributor(s) and not of MDPI and/or the editor(s). MDPI and/or the editor(s) disclaim responsibility for any injury to people or property resulting from any ideas, methods, instructions or products referred to in the content. |
© 2024 by the authors. Licensee MDPI, Basel, Switzerland. This article is an open access article distributed under the terms and conditions of the Creative Commons Attribution (CC BY) license (https://creativecommons.org/licenses/by/4.0/).















