Abstract
A composite material based on polyvinyl alcohol (PVA) and brookite-phase titanium dioxide (TiO2) was synthesized using a straightforward method that involved combining the polymer with a sol as a filler. The composites were analyzed using Fourier transform infrared (FTIR) spectroscopy, scanning electron microscopy (SEM), atomic force microscopy (AFM), differential scanning calorimetry (DSC), and mechanical testing. The effects of treating the sol with underwater discharge plasma utilizing different electrode materials on the surface morphology, mechanical properties, thermal stability, and optical (photochromic) characteristics of the composites were investigated. FTIR spectral analysis indicated the presence of a chemical bond between the polymer matrix and the filler particles, as evidenced by the appearance of new peaks in the region of 700–500 cm−1. Preliminary plasma treatment was shown to enhance the thermal stability, strength, and elasticity of the PVA-based composite. These improvements resulted from the modification of the filler (sol) due to plasma activity. The resulting composites exhibited a low photocolorization rate and a high bleaching rate. Such composites represent a promising material for use as inks in 3D printing.
1. Introduction
Composite materials that incorporate polymers and inorganic fillers demonstrate significant potential for a variety of applications, owing to the synergistic properties of both the polymers and the fillers involved [1]. The selection of fillers for the polymer matrix is influenced by the intended applications of the composites. Layered double hydroxides serve as effective fillers in the production of reinforced composite materials. The enhancement of mechanical properties is attributed to the intercalation of polymer molecules within the interlayer space, as well as the strong interphase adhesion with anions. An examination of published data indicates that, depending on the characteristics of Me2+, layered structures may function as either strengthening agents or plasticizers [2,3,4].
Polyvinyl alcohol is an attractive material due to its low cost, flexibility, transparency, and biodegradability [5]. However, the thermal properties of this polymer need improvement because the melting and decomposition temperatures are closely aligned. To address this issue, various composite materials based on PVA and different fillers—both organic and inorganic—have been developed, which influence not only the thermal properties but also the mechanical and optical characteristics [6]. This expansion of properties allows for a broader range of applications for such composites [7].
Titanium dioxide plays a crucial role as a heterogeneous photocatalyst. Early studies examined the photocatalytic properties of the three modifications of titanium dioxide: anatase, rutile, and brookite [8,9,10]. In addition to its photocatalytic capabilities, titanium dioxide also exhibits photochromic properties [11,12]. When combined with polymers, different oxides of Ti (Ti2O3, TiO2 (anatase, rutile, brookite), Ti4O7) can serve as membranes for various applications or function as gamma ray shields [13,14,15,16,17,18,19,20,21,22,23,24,25]. Published results from the thermal measurements of composites based on PVA and TiO2 reveal the effects of the phase composition and structure. The study referenced as [16] demonstrated that the incorporation of anatase increases the melting temperature. Furthermore, the addition of mixed-phase TiO2 (comprising 80% anatase and 20% rutile) results in an elevation in the glass transition temperature while leaving the melting temperature (Tm) values unchanged [17]. The inclusion of amorphous titanium dioxide as a filler appears to have a minimal impact on the thermal properties of PVA [18].
An analysis of published data indicates that the mechanical properties of polymer composites can be either enhanced or diminished based on factors such as the filler concentration, phase composition, and the size of filler particles. Alfahed et al. determined that a polymer composite was only reinforced at a concentration of 0.04% TiO2, within the range of 0.01–0.04 wt%. In a study conducted by Zamani et al., a reduction in mechanical properties was observed at filler concentrations of 1% and 2% (anatase, ~20 nm) when compared to the native polymer [10]. Conversely, the incorporation of anatase (10–12 nm) at concentrations ranging from 0.2% to 0.6% resulted in a significant improvement in the mechanical properties of polyvinyl alcohol (PVA) [12]. The authors demonstrated in a separate study that the introduction of just 1% TiO2 (<10 nm) leads to a 1.5-fold increase in tensile stress [14]. Bozdogan et al. showed that the mechanical properties of composites containing 5% TiO2 (rutile, 28 nm) declined when compared to both the original polymer and the composite with 50% filler [15].
The brookite phase was long considered thermodynamically unstable until Arnal et al. proposed a low-temperature sol–gel method to obtain this phase [26]. Recently published data on the PVA-TiO2 composite (brookite) are limited to the general properties of the obtained material (X-ray, IR, AFM/TEM, spectroscopy). In this work, we present for the first time a method for the preparation of a composite based on a polymer matrix and a sol. Polyvinyl alcohol was used as the matrix and a titanium dioxide sol (brookite) as the filler without and after underwater plasma treatment at a low temperature. Pre-treatment with underwater plasma facilitates the creation of doped TiO2 structures [27,28,29]. Utilizing underwater plasma to modify both organic and inorganic materials is regarded as an environmentally friendly method, as the primary modifier is the plasma itself, along with the electrode materials [30,31,32]. The thermal, mechanical, and photochromic properties of the composites were evaluated and compared to those of the untreated sol composite.
2. Materials and Methods
2.1. Preparation of Samples
Titanium oxide was synthesized using sol–gel technology. The detailed procedure is provided in the Supporting Information (SI) and has been described in greater detail elsewhere [27]. The prepared sols were subjected to an underwater diaphragm discharge using an alternating current. Two metal electrodes were immersed in a volume of liquid sol, with one electrode placed in a quartz ampoule featuring a small hole (diaphragm) with a diameter of 2 mm. When a voltage was applied to the electrodes in the diaphragm zone, a vapor–gas bubble was formed, within which an electric discharge occurred (plasma zone). The formation of the vapor–gas bubble interrupted the electric circuit, resulting in an electrical discharge inside the bubble. The subsequent collapse of the bubble generated sound and shock waves that propagated along the diameter of the membrane. This collapse also induced the convective flows of plasmolysis products (chemically active particles) into the main volume of the solution due to temperature and concentration gradients. Consequently, this resulted in the localized heating of the polymer, which facilitated subsequent processes involving chemically active particles, such as polymerization, depolymerization, and degradation. Conversely, the collapse of the bubble led to the spraying of the electrodes, with the speed of this process being determined by the material used. Plasma treatment durations varied from 1 to 5 min. In the experiments involving titanium oxide sols, molybdenum (Mo), tungsten (W), and niobium (Nb) wires were employed as electrodes. The dopant content was determined by the rate of sputtering of the electrode material under specific parameters of the underwater diaphragm discharge (I = 45 mA; U = 0.6 kV). X-ray phase analysis indicated that titanium dioxide had been successfully synthesized in the brookite phase (see Figure S1 in the Supplementary Information). The plasma treatment of the sols did not result in the formation of new phases but did cause changes in the intensities of the main peaks.
Poly(vinyl alcohol) (PVA) with a molecular weight of 2 × 105, grade 16/1 (Khimreactive, Nizhny Novgorod, Russia), was dissolved in distilled water heated to 80 °C. Sols, both with and without plasma treatment, were added to the polymer solution while maintaining constant stirring. The resulting solutions were then poured into polystyrene Petri dishes (PERINT). The obtained films were dried at 40 °C for 48 h. The filler concentration was set at 1 wt%. A total of five samples were produced, including the original polymer. The designations of the samples are presented in Table 1.
Table 1.
Experimental conditions.
2.2. Physical Measurements
Fourier transform infrared (FTIR) spectra were registered using the Fourier spectrometer FT-801 (Simeks, Novosibirsk, Russia) in the range of 4000–400 cm−1 with a resolution of 0.5 cm−1. The thermal properties of the samples were studied through differential scanning calorimetry using the DSC 204 F1 t-sensor (NETZSCH, Selb, Germany) in the temperature range of 25–250 °C at a heating rate of 10 K min−1 in an argon atmosphere. The degree of crystallinity of the samples was calculated using [33,34]
Here, ΔHm is the measured enthalpy of melting from the DSC analysis, is the enthalpy of 100% crystalline PVA melting (138.6 J g−1) [35], and n is the mass fraction of the filler’s structures.
The morphology of composite films was investigated using atomic force microscopy (AFM) (Solver P47-PRO, Zelenograd, Russia) and scanning electron microscopy (SEM) (Quattro S, Thermo Fisher Scientific, Praha, Czech Republic). AFM analysis was carried out in the contact mode with a resolution of 3 μm and scanning area of 30 × 30 μm2.
Mechanical properties were examined at room temperature using a Criterion C42 universal tensile testing machine (MTS System, Eden Prairie, MN, USA). The film size was 10 × 55 mm. The cross-head speed was 20 mm min−1. Measurements were carried out according to a standard test (ASTM D882) [36].
Polymer composite films were irradiated with light (wavelengths of 254 and 365 nm). The samples were placed on the substrate at a distance of 10 cm from the radiation source (15W, NDTRADE, Saint Petersburg, Russia). The reversibility of the photochromism effect was studied at room temperature. The absorption spectra of irradiated composite films were studied using the spectrophotometer SF 2000 in the range of 400–1100 nm, which was equipped with a thin film sample holder for six samples (SDB Spectr, Saint Petersburg, Russia).
The morphology of the polymer composites was studied using atomic force microscopy (AFM) (Solver P47-PRO) in the contact mode with a resolution of 3 μm (area of 30 × 30 μm).
3. Results
3.1. FTIR Measurements
The investigation into the chemical functional composition of the composites was conducted using Fourier transform infrared (FTIR) spectroscopy measurements (Figure S2, Table 2). The incorporation of fillers led to alterations in the shapes, intensities, and positions of the principal peaks. The emergence of new peaks within the 800–400 cm⁻¹ range indicates the formation of oxide structures. Shifts in the peaks associated with -CH2 bending vibrations suggest a chemical interaction between the polymer matrix and the oxide structures, indicative of a cross-linking process. Variations in the peak intensity related to C-O stretching vibrations (within the C-O-H group) signify changes in the polymer’s degree of crystallinity. A decrease in the intensity of the O-H bands (3100–3600 cm⁻¹) was observed, indicating a reduction in the quantity of hydroxyl (OH) groups within the polymer matrix (PVA). This reduction may be attributed to the cross-linking process. Similar findings were reported in a series of studies on the physicochemical properties of composites based on PVA and TiO2 (anatase + rutile) [37,38], which contrast with the results presented in another study [39], where the authors could not confirm the chemical interaction between the PVA polymer matrix and titanium dioxide.
Table 2.
FTIR characteristic peaks (cm−1) of samples.
3.2. Thermal Analysis
The thermal study data are presented in Figure 1 and Table 3. The introduction of a titanium dioxide sol without plasma treatment led to a reduction in the glass transition temperature and degree of crystallinity, a phenomenon that may be attributed to the plasticization effect. The incorporation of fillers following plasma treatment facilitated the production of composites with improved heat resistance. Conducting a comparative analysis with previously published data poses challenges due to the variability in the reported effects among different authors. In reference [19], it was observed that composites based on TiO2 (anatase) and PVA exhibit a melting point of approximately 250 °C, with cross-linking resulting in the formation of an amorphous structure within the composite. Ahmad et al. noted that the melting temperature values remained constant with the addition of mixed-phase TiO2 (80% anatase and 20% rutile), while the degree of crystallinity of the composites increased [20]. As this is the first time that thermal data have been obtained for composites made of PVA and brookite, our results are qualitatively consistent with the results of studies [19,20,21].
Figure 1.
DSC analysis of samples.
Table 3.
DSC data of composites.
The data presented in Table 3 indicate that TiO2 fillers facilitate the nucleation of the polymer matrix at early stages, specifically at high temperatures during the cooling cycle (Tc), when compared to native PVA. Among the fillers, undoped TiO2 exhibited a relatively low Tc value. The initial phase of crystallization is the nucleation stage. Once the critical size of the nuclei is attained, they serve as centers for the crystallization of the polymer. The overall crystallization rate is the sum of the nucleation and growth rates, with the degree of cooling (Tm − Tc) being a crucial factor. A lower (Tm − Tc) corresponds to a higher overall crystallization rate [40]. Consequently, the high degree of cooling observed in sample 2 correlates with a low overall crystallization rate, which is reflected in a reduced degree of crystallinity. This suggests that a titanium dioxide sol is not an effective nucleating agent for PVA in the absence of plasma treatment. This inefficacy may be attributed to the morphology of the filler particles (refer to Section 3.3). Currently, no consistent relationship between the crystallization rate and the degree of crystallization has been identified. Nevertheless, similar trends have been noted in the variations in the melting point values and degrees of crystallinity [41,42].
3.3. Surface Morphology
AFM measurements indicated that the incorporation of any filler altered the surface roughness (Table 4) without inducing local inhomogeneities (Figure 2). The surface of pure PVA had the lowest roughness (Figure 2a). The increase in the surface roughness observed in the composite (sample 2) was likely related to the shape of the particles (see Figure 2b and Figure 3a). The variations in the roughness values of the films from samples 3–5 (sols after plasma treatment used as fillers) (Figure 2c–e) may be attributed to changes in the molecular weight of the stabilizer and the cross-linking process between the polymer and the filler [29]. As demonstrated in reference [43], the surface roughness increases with a higher cross-linking density. The use of sols promotes a uniform distribution of filler particles within the polymer matrix. Taking into account the scale of 2D AFM images, they are consistent with the SEM analysis data (Figure 3).
Table 4.
Roughness of composites (nm).
Figure 2.
AFM images of samples 1 (a), 2 (b), 3 (c), 4 (d), and 5 (e).
Figure 3.
SEM images of sample 2 (a), sample 3 (b), sample 4 (c), and sample 5 (d).
Figure 3 presents scanning electron microscopy (SEM) images of films containing fillers. The filler was uniformly distributed in samples 2, 3, and 5, although its shape varied. In the absence of plasma treatment, the filler particles in the sol exhibited a disk-like morphology (sample 2, Figure 3a). Following plasma treatment, the sol could either form a nearly continuous layer on the polymer surface (sample 3, Figure 3b) or aggregate into small and large rod-shaped structures within the polymer matrix (sample 5, Figure 3d). The sol demonstrated uneven aggregation both on the surface and within the volume of the polymer after plasma treatment with niobium electrodes (sample 4, Figure 3c). A change in the shape of the titanium dioxide particles was observed post-plasma treatment, likely due to alterations in the molecular weight of the stabilizer under the influence of the plasma [29]. This hypothesis is supported by previously published data indicating that the molecular weight of the stabilizer affects the shape of the nanoparticles [44,45,46].
3.4. Mechanical Properties
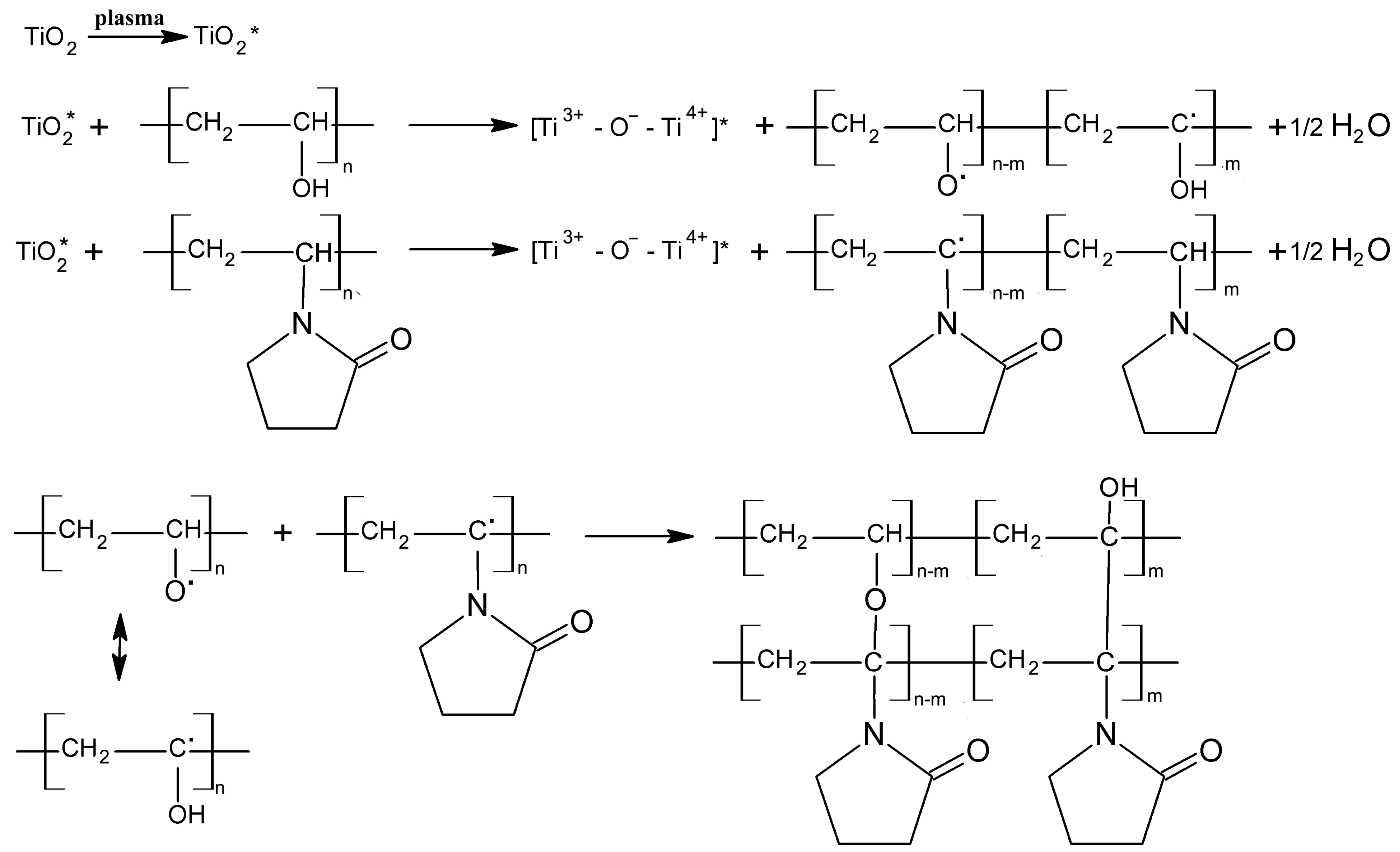
The mechanical test results are presented in Figure 4, Table 5, Figure S3, and Table S1 (refer to the SI file), indicating that the incorporation of titanium-containing fillers significantly influenced the mechanical properties of the composites compared to the original polyvinyl alcohol (PVA). The changes in the mechanical properties of the composites relative to the native PVA cannot be attributed to local filler aggregation phenomena (refer to Section 3.3). Furthermore, the plasma pre-treatment of the sols affected the mechanical properties. A notable reduction in the mechanical properties of sample 2 compared to the original PVA (sample 1) may have been due to insufficient mechanical adhesion between TiO2 and the polymer matrix (PVA), which can be attributed to the surface and shape characteristics of the filler. Another contributing factor could have been the lack of chemical bonding between PVA molecules and titanium dioxide. The introduction of sols after plasma treatment significantly enhanced the mechanical strength. The preliminary plasma treatment of the sols led to modifications in both the stabilizer (polyvinylpyrrolidone, PVP) and the oxide structures. Plasma treatment resulted in the formation of additional defective oxide structures, thereby improving chemical bonding with the polymer matrix. Conversely, plasma treatment induced the depolymerization of PVP [29]. The interaction of the stabilizer with PVA during cross-linking via the radical mechanism (Scheme 1) [47] resulted in a modification of the syndiotacticity of the polymer matrix. Data from the thermal analysis (melting points, the degree of crystallization) [48] and mechanical tests (samples 3–5 compared to sample 2) support this conclusion. A similar assumption was established previously [49]. The findings are consistent with previously published data [13,14,18]. Increasing the filler concentration further enhanced the elasticity of the resulting composites (Figure S3 and Table S1). The increase in the elasticity of the composite with a TiO2 filler without plasma treatment may have resulted from the formation of oval micropores near the disk-shaped filler particles, which elongated upon stretching. An analysis of the data from the thermal and mechanical tests indicates that the obtained composites can be considered non-toxic analogs of ink for 3D printers (Figure S4).
Figure 4.
Mechanical properties of samples.
Table 5.
Mechanical properties of composites.
Scheme 1.
PVA and PVP’s cross-linking mechanism.
3.5. Photochromic Properties
In the absorption spectra of the irradiated composite films (Figure 5a), a poorly resolved band in the range of 500–530 nm could be identified. In comparison to the absorption spectra of the liquid sols after irradiation, which exhibited a maximum at 530–550 nm (with a shoulder at 650 nm) [29], the absorption maximum in the composite films was shifted toward the shorter wavelength region. This shift is attributed to the presence of monomeric and dimeric photochromic titanium dioxide particles [50,51]. The photochromism observed in the polymer composites suggests the existence of intermolecular interactions between the polymer matrix and the oxide structures.
Figure 5.
Absorption spectra of composites after 15 min of light irradiation (a) and typical kinetic curves of photocoloration and bleaching of composites with TiO2 structures (b).
Studies on the dynamics of photocoloring and bleaching have demonstrated that composites containing tungsten and molybdenum oxide structures exhibit a slow coloring process under light irradiation, yet they possess a significantly high rate of discoloration (see Figure 5b). It is important to note that composites with untreated fillers display a lower coloring rate, taking approximately 7 to 8 h. Conversely, plasma treatment does not influence the rate of discoloration. Previous research involving colloidal solutions of defective anatase (characterized by oxygen vacancies and the presence of Ti3+) and rutile indicated that noticeable coloration occurred after 45 and 15 h, respectively [49,51].
In previous studies examining the photochromic properties of composites composed of polymer matrices and transition metal oxides, the coloring process was regarded as a redox reaction involving the oxidation of polymer matrix units. However, the presence of oxidation products was not documented [52]. Further research into the mechanisms of photochromism suggested that photocoloration could result from two processes: (1) excitation by a photon leading to the formation of an excited state of the metal oxide, and (2) the abstraction of one or two electrons from the organic matrix without decomposition, followed by the subsequent addition of an electron, resulting in the formation of the Me(n−1)+ state.
Discoloration in the absence of light is a process of oxidation influenced by atmospheric oxygen. Polyvinyl alcohol (PVA) exhibits a low oxygen permeability [53], which would typically result in low bleaching rates. However, the unexpectedly high rates of discoloration observed in composites containing TiO2 fillers are noteworthy. This phenomenon may be attributed to the cross-linking effect, as it is known that the chemical cross-linking of PVA enhances its permeability to oxygen [53].
Currently, filaments made of polylactide (PLA) or acrylonitrile butadiene styrene (ABS) are used in 3D printers. When using PLA, the substrate must be heated, and in the case of ABS, the room must be ventilated. In this respect, PVA–brookite-based composites are promising materials for 3D printing, as their temperature properties are on average between those of ABS and PLA, they are non-toxic, and the substrate does not need to be heated.
4. Conclusions
The thermal, mechanical, and optical properties of the first synthesized composites based on PVA and a brookite sol were studied. The composite material properties were compared depending on the preliminary plasma modification of the filler. It was found that the brookite sol was a plasticizer of PVA. The plasma modification of the filler improved the thermal and mechanical properties of the composite. The photochromic properties of PVA–brookite composites were studied for the first time. It was shown that the modification of the brookite sol had a positive effect on the optical properties. The obtained results of the thermal and mechanical tests showed that such composites can be considered as non-toxic analogs of ink for 3D printers.
Supplementary Materials
The following supporting information can be downloaded at: https://www.mdpi.com/article/10.3390/jcs9010007/s1, Figure S1: XRD patterns of TiO2 sols before (sample 1) and after plasma treatment (samples 2–5) with different electrode’s material; Figure S2: FTIR spectra of obtained composites; Figure S3: Effect of filler’s concentration on the mechanical properties of polymer composites (samples 2 and 3 as examples); Table S1: Mechanical properties of composites with 5% fillers; Figure S4: S4 Example of using PVA-brookite composite as ink for 3D printer.
Author Contributions
Conceptualization, A.K. (Anna Khlyustova); methodology, N.S.; investigation, A.K. (Anton Kraev), N.S., A.E., V.S. and A.M.; writing—original draft preparation, A.K. (Anna Khlyustova); writing—review and editing, A.K. (Anna Khlyustova) and N.S.; supervision, A.K. (Anna Khlyustova) and A.M.; project administration, A.K. (Anna Khlyustova). All authors have read and agreed to the published version of the manuscript.
Funding
This study was supported by the Russian Science Foundation under grant 23-23-00051.
Data Availability Statement
The dataset is available on request from the authors.
Acknowledgments
The authors would like to thank Yu. Fadeeva for conducting the FTIR measurements and M. Gruzdev for performing the DSC analysis at the center of joint use of scientific equipment (the Upper Volga Regional Center for Physical-Chemical Research, Russia). The authors express their gratitude to Agafonov A. for their assistance in the synthesis of the sol.
Conflicts of Interest
The authors declare no conflicts of interest.
References
- Hsissou, R.; Seghiri, R.; Benzekri, Z.; Hilali, M.; Rafik, M.; Elharfi, A. Polymer composite materials: A comprehensive review. Compos. Struct. 2021, 262, 113640. [Google Scholar] [CrossRef]
- Ramaraj, B.; Nayak, S.K.; Yoon, K.R. Poly(vinyl alcohol) and layered double hydroxide composites: Thermal and mechanical properties. J. Appl. Polym. Sci. 2010, 116, 1671–1677. [Google Scholar] [CrossRef]
- Khlyustova, A.; Sirotkin, N.; Kraev, A.; Agafonov, A.; Titov, V. Composites based on PVA and Al–Zn structures with excellent mechanical properties. Polym. Compos. 2022, 43, 4029–4037. [Google Scholar] [CrossRef]
- Agafonov, A.V.; Titov, V.A.; Evdokimova, A.V.; Shibaeva, V.D.; Kraev, A.S.; Sirotkin, N.A.; Khlyustova, A.V. Composites based on biodegradable polymers and layered structures. Polym. Sci. B 2023, 65, 692–699. [Google Scholar] [CrossRef]
- Yang, M.; Wang, Z.; Li, M.; Yin, Z.; Butt, H.A. The synthesis, mechanisms, and additives for bio-compatible polyvinyl alcohol hydrogels: A review on current advances, trends, and future outlook. J. Vinyl Addit. Technol. 2023, 29, 939–959. [Google Scholar] [CrossRef]
- Chang, J.H. Comparative analysis of properties of PVA composites with various nanofillers: Pristine clay, organoclay, and functionalized graphene. Nanomaterials 2019, 9, 323. [Google Scholar] [CrossRef] [PubMed]
- Aslam, M.; Kalyar, M.A.; Raza, Z.A. Polyvinyl alcohol: A review of research status and use of polyvinyl alcohol based nanocomposites. Polym. Eng. Sci. 2018, 58, 2119–2132. [Google Scholar] [CrossRef]
- Chen, D.; Cheng, Y.; Zhou, N.; Chen, P.; Wang, Y.; Li, K.; Huo, S.; Cheng, P.; Peng, P.; Zhang, R.; et al. Photocatalytic degradation of organic pollutants using TiO2-based photocatalysts: A review. J. Clean. Prod. 2020, 268, 121725. [Google Scholar] [CrossRef]
- Kandiel, T.A.; Robben, L.; Alkaima, A.; Bahnemann, D. Brookite versus anatase TiO2 photocatalysts: Phase transformations and photocatalytic activities. Photochem. Photobiol. Sci. 2013, 12, 602–609. [Google Scholar] [CrossRef] [PubMed]
- Di Paola, A.; Bellardita, M.; Palmisano, L. Brookite, the least known TiO2 photocatalyst. Catalysts 2013, 3, 36–73. [Google Scholar] [CrossRef]
- Biancardo, M.; Argazzi, R.; Bignozzi, C.A. Solid-state photochromic device based on nanocrystalline TiO2 functionalized with electron donor–acceptor species. Inorg. Chem. 2005, 44, 9619–9621. [Google Scholar] [CrossRef]
- Belhomme, L.; Duttine, M.; Labrugère, C.; Coicaud, E.; Rougier, A.; Penin, N.; Dandre, A.; Ravaine, S.; Gaudon, M. Investigation of the photochromism of WO3, TiO2, and composite WO3–TiO2 nanoparticles. Inorg. Chem. 2024, 63, 10079–10091. [Google Scholar] [CrossRef] [PubMed]
- Zamanian, M.; Sadrnia, H.; Khojastehpour, M.; Hosseini, F.; Thibault, J. Effect of TiO2 nanoparticles on barrier and mechanical properties of PVA films. J. Membr. Sci. Res. 2021, 7, 67–73. [Google Scholar] [CrossRef]
- Alfahed, R.K.F.; Mohammad, K.K.; Majeed, M.S.; Badran, H.A.; Ali, K.M.; Kadem, B.Y. Preparation, morphological, and mechanical characterization of titanium dioxide (TiO2)/polyvinyl alcohol (PVA) composite for gamma-rays radiation shielding. J. Phys. Conf. Ser. 2019, 1279, 012019. [Google Scholar] [CrossRef]
- Vishwas, M.; Rao, K.N.; Priya, D.N.; Raichur, A.M.; Chakradhar, R.; Venkateswarlu, K. Effect of TiO2 nano-particles on optical, electrical and mechanical properties of poly(vinyl alcohol) films. Procedia Mater. Sci. 2014, 5, 847–854. [Google Scholar] [CrossRef][Green Version]
- Khalid, F.; Roy, A.S.; Parveen, A.; Castro-Muñoz, R. Fabrication of the cross-linked PVA/TiO2/C nanocomposite membrane for alkaline direct methanol fuel cells. Mater. Sci. Eng. B 2024, 299, 116929. [Google Scholar] [CrossRef]
- Beenarani, B.B.; Sugumaran, C.P. The electrochemical performance of simple, flexible and highly thermally stable PVA-TiO2 nanocomposite in an all-solid-state supercapacitor. IEEE Trans. Nanotechnol. 2021, 20, 215–223. [Google Scholar] [CrossRef]
- Bozdoğan, A.; Aksakal, B.; Yargi, O. Film formation and mechanical properties of an opaque titanium dioxide and transparent polyvinyl alcohol composite films. Polym. Compos. 2020, 41, 939–950. [Google Scholar] [CrossRef]
- Aparicio, G.M.; Vargas, R.A.; Bueno, P.R. Protonic conductivity and thermal properties of cross-linked PVA/TiO2 nanocomposite polymer membranes. J. Non-Cryst. Solids 2019, 522, 119520. [Google Scholar] [CrossRef]
- Ahmad, J.; Deshmukh, K.; Habib, M.; Hägg, M.B. Influence of TiO2 nanoparticles on the morphological, thermal and solution properties of PVA/TiO2 nanocomposite membranes. Arab. J. Sci. Eng. 2014, 39, 6805–6814. [Google Scholar] [CrossRef]
- Radoicic, M.; Saponjic, Z.; Marinovic-Cincovic, M.; Ahrenkiel, S.; Bibic, N.; Nedeljkovic, J. The influence of shaped TiO2 nanofillers on thermal properties of polyvinyl alcohol. J. Serbian Chem. Soc. 2012, 77, 699–714. [Google Scholar] [CrossRef]
- Khlyustova, A.; Sirotkin, N.; Kusova, T.; Kraev, A.; Titov, V.; Agafonov, A. Doped TiO2: The effect of doping elements on photocatalytic activity. Mater. Adv. 2020, 1, 1193–1201. [Google Scholar] [CrossRef]
- Bi, D.; Li, Y.; Yao, Y.; Tao, T.; Liang, B.; Lu, S. Preparation and characterizations of flexible photothermal Ti2O3-PVA nanocomposites. J. Alloy Compd. 2020, 825, 153998. [Google Scholar] [CrossRef]
- Shang, M.; He, Y.; Yu, J.; Yan, J.; Xie, H.; Li, J. Preparation, Characterization and Photothermal Study of PVA/Ti2O3 Composite Films. J. Wuhan Univ. Technol.-Mater. Sci. Ed. 2024, 39, 658–663. [Google Scholar] [CrossRef]
- Xu, X.; Zhao, Q.; Liu, Q.; Qiu, J.; Li, J.; Zheng, W.; Cao, J.; Wang, L.; Wang, W.; Yuan, S.; et al. Full-spectrum-responsive Ti4O7-PVA nanocomposite hydrogel with ultrahigh evaporation rate for efficient solar steam generation. Desalination 2024, 577, 117400. [Google Scholar] [CrossRef]
- Arnal, P.; Corriu, R.J.P.; Leclercq, D.; Mutin, P.H.; Vioux, A. Preparation of anatase, brookite and rutile at low temperature by non-hydrolytic sol–gel methods. J. Mater. Chem. 1996, 6, 1925–1932. [Google Scholar] [CrossRef]
- Khlyustova, A.; Sirotkin, N.; Kraev, A.; Kusova, T.; Titov, V.; Agafonov, A. Mo-doped TiO2 using plasma in contact with liquids: Advantages and limitations. J. Chem. Technol. Biotechnol. 2021, 96, 1125–1131. [Google Scholar] [CrossRef]
- Khlyustova, A.; Evdokimova, A.; Sirotkin, N.; Shibaeva, V. Green Method of Doping Photochromic TiO2. Appl. Sci. 2024, 14, 8877. [Google Scholar] [CrossRef]
- Lv, K.; Li, Y.; Sirotkin, N.; Agafonov, A.; Evdokimova, A.; Shibaeva, V.; Khlyustova, A. An underwater diaphragm discharge: A new tool for ZnFe LDH obtaining. Appl. Clay Sci. 2024, 258, 107482. [Google Scholar] [CrossRef]
- Agafonov, A.; Alekseeva, O.; Vokhidova, N.; Evdokimova, A.; Kraev, A.; Shibaeva, V.; Khlyustova, A. Effect of production method on the properties of PVA/Ag–Cu composites. Polym. Bull. 2024, 81, 6457–6472. [Google Scholar] [CrossRef]
- Sirotkin, N.; Khlyustova, A. The electrophysical characteristics of underwater impulse discharge plasma in the processes of creating multifunctional composites. Plasma Chem. Plasma Proc. 2023, 43, 561–575. [Google Scholar] [CrossRef]
- Balaganapathi, T.; KaniAmuthan, B.; Vinoth, S.; Thilakan, P. Synthesis, characterization and dye adsorption studies of porous brookite and mixed brookite with rutile TiO2 using PEG assisted sol-gel synthesis process. Mater. Res. Bull. 2017, 91, 114–121. [Google Scholar] [CrossRef]
- Arbelaiz, A.; Fernández, B.; Valea, A.; Mondragon, I. Mechanical properties of short flax fibre bundle/poly (ε-caprolactone) composites: Influence of matrix modification and fibre content. Carbohydr. Polym. 2006, 64, 224–232. [Google Scholar] [CrossRef]
- Finch, C.A. Polyvinyl Alcohol; Properties and Applications; John Wiley & Sons: Hoboken, NJ, USA, 1973. [Google Scholar]
- Abdel-Hady, E.E.; Mohamed, H.F.; Abdel-Hamed, M.O.; Gomaa, M.M. Physical and electrochemical properties of PVA/TiO2 nanocomposite membrane. Adv. Polym. Technol. 2018, 37, 3842–3853. [Google Scholar] [CrossRef]
- ASTM D882-10; ASTM Subcommittee D20. 10 on Mechanical Properties. Standard Test Method for Tensile Properties of Thin Plastic Sheeting. American Society for Testing and Materials: West Conshohocken, PA, USA, 1995.
- Agalya, K.; Vijayakumar, S.; Vidhya, E.; Prathipkumar, S.; Mythil, R.; Devanesan, S.; AlSalhi, M.; Kim, W. Fabrication of PVA/TiO2 Composites Via Green Synthesis and Assessment of their Photodegradation and Anti-Germ Capabilities. Waste Biomass Valorization 2024, 15, 6441–6451. [Google Scholar] [CrossRef]
- El-Desoky, M.M.; Morad, I.; Wasfy, M.H.; Mansour, A.F. Synthesis, structural and electrical properties of PVA/TiO2 nanocomposite films with different TiO2 phases prepared by sol–gel technique. J. Mater. Sci. Mater. Electr. 2020, 31, 17574–17584. [Google Scholar] [CrossRef]
- Feldstein, M.M.; Shandryuk, G.A.; Kuptsov, S.A.; Platé, N.A. Coherence of thermal transitions in poly (N-vinyl pyrrolidone)–poly (ethylene glycol) compatible blends 1. Interrelations among the temperatures of melting, maximum cold crystallization rate and glass transition. Polymer 2000, 41, 5327–5338. [Google Scholar] [CrossRef]
- Mohammed, G.; El Sayed, A.M.; Morsi, W.M. Spectroscopic, thermal, and electrical properties of MgO/polyvinyl pyrrolidone/polyvinyl alcohol nanocomposites. J. Phys. Chem. Solids 2018, 115, 238–247. [Google Scholar] [CrossRef]
- Restrepo, I.; Medina, C.; Meruane, V.; Akbari-Fakhrabadi, A.; Flores, P.; Rodríguez-Llamazares, S. The effect of molecular weight and hydrolysis degree of poly (vinyl alcohol)(PVA) on the thermal and mechanical properties of poly (lactic acid)/PVA blends. Polímeros 2018, 28, 169–177. [Google Scholar] [CrossRef]
- Nam, E.; Wong, E.H.; Tan, S.; Fu, Q.; Blencowe, A.; Qiao, G.G. Antifogging Surface Facilitated by Nanoscale Coatings with Controllable Hydrophobicity and Cross-Linking Density. Macromol. Mater. Eng. 2017, 302, 1600199. [Google Scholar] [CrossRef]
- Song, Y.J.; Wang, M.; Zhang, X.Y.; Wu, J.Y.; Zhang, T. Investigation on the role of the molecular weight of polyvinyl pyrrolidone in the shape control of high-yield silver nanospheres and nanowires. Nanoscale Res. Lett. 2014, 9, 17. [Google Scholar] [CrossRef]
- Díaz-Cruz, C.; Nuñez, G.A.; Espinoza-Gómez, H.; Flores-López, L.Z. Effect of molecular weight of PEG or PVA as reducing-stabilizing agent in the green synthesis of silver-nanoparticles. Eur. Polym. J. 2016, 83, 265–277. [Google Scholar] [CrossRef]
- Logutenko, O.A.; Titkov, A.I.; Vorob’yov, A.M.; Balaev, D.A.; Shaikhutdinov, K.A.; Semenov, S.V.; Lyakhov, N.Z. Effect of molecular weight of sodium polyacrylates on the size and morphology of nickel nanoparticles synthesized by the modified polyol method and their magnetic properties. Eur. Polym. J. 2018, 99, 102–110. [Google Scholar] [CrossRef]
- Mansour, L.M.; Taj, B.M.; Mokhtari, M. Synthesis and swelling characterization of cross-linked PVP/PVA hydrogels. Iran. Polym. J. 2005, 14, 1022–1030. [Google Scholar]
- Yurovskikh, S.V.; Chvalun, S.N.; Lyoo, W.S. Structure and properties of poly (vinyl alcohol) of different stereoregularity. Polym. Sci. A 2001, 43, 278–284. [Google Scholar]
- Nunes, R.W.; Martin, J.R.; Johnson, J.F. Influence of molecular weight and molecular weight distribution on mechanical properties of polymers. Polym. Eng. Sci. 1982, 22, 205–228. [Google Scholar] [CrossRef]
- Ohtani, B.; Adzuma, S.; Nishimoto, S.I.; Kagiya, T. Ultraviolet and visible light-induced photochromic action of poly (vinyl alcohol) film containing colloidal and suspended semiconductor materials. J. Polym. Sci. C Polym. Lett. 1987, 25, 383–387. [Google Scholar] [CrossRef]
- Russo, M.; Rigby, S.E.; Caseri, W.; Stingelin, N. Pronounced photochromism of titanium oxide hydrates (hydrous TiO2). J. Mater. Chem. 2010, 20, 1348–1356. [Google Scholar] [CrossRef]
- Nussbaumer, R.J.; Caseri, W.R.; Smith, P. Reversible photochromic properties of TiO2-polymer nanocomposites. J. Nanosci. Nanotechnol. 2006, 6, 459–463. [Google Scholar] [CrossRef] [PubMed]
- George, S.C.; Thomas, S. Transport phenomena through polymeric systems. Prog. Polym. Sci. 2001, 26, 985–1017. [Google Scholar] [CrossRef]
- Tretinnikov, O.N.; Sushko, N.I. Preparation and photochromic properties of nanocomposites based on chemically cross-linked polyvinyl alcohol and phosphotungstic acid. Russ. J. Phys. Chem. A 2011, 85, 2177–2182. [Google Scholar] [CrossRef]
Disclaimer/Publisher’s Note: The statements, opinions and data contained in all publications are solely those of the individual author(s) and contributor(s) and not of MDPI and/or the editor(s). MDPI and/or the editor(s) disclaim responsibility for any injury to people or property resulting from any ideas, methods, instructions or products referred to in the content. |
© 2025 by the authors. Licensee MDPI, Basel, Switzerland. This article is an open access article distributed under the terms and conditions of the Creative Commons Attribution (CC BY) license (https://creativecommons.org/licenses/by/4.0/).





