Next Article in Journal
Optimized Porous Carbon Particles from Sucrose and Their Polyethyleneimine Modifications for Enhanced CO2 Capture
Previous Article in Journal
Transformation of Biomass Power Plant Ash into Composite Fertilizers: A Perspective to Prepare a Rain-Controlled Ammonium Ion–Releasing Composite Fertilizer
 
 
Font Type:
Arial Georgia Verdana
Font Size:
Aa Aa Aa
Line Spacing:
Column Width:
Background:
Article

Development of an Energy-Efficient Method of Obtaining Polymer-Modified Bitumen with High Operational Characteristics via Polymer–Bitumen Concentrate Application

by
Andrey Evgenevich Akimov
1,
Valentina Vasilevna Yadykina
1,
Mikhail Sergeevich Lebedev
2,*,
Vasilij Petrovich Denisov
1,
Sergei Sergeevich Inozemtcev
3,
Aleksandr Sergeevich Inozemtcev
3,
Andrey Vladimirovich Korshunov
3 and
Anton Sergeevich Pilipenko
3
1
Department of Automobile Roads and Railroads, Belgorod State Technological University Named after V.G. Shukhov, Kostukov Str., 46, 308012 Belgorod, Russia
2
Research Laboratory of the Theoretical and Applied Chemistry Department, Belgorod State Technological University Named after V.G. Shukhov, Kostukov Str., 46, 308012 Belgorod, Russia
3
Department of Building Materials Science, National Research Moscow State University of Civil Engineering, 26, Yaroslavskoye Shosse, 129337 Moscow, Russia
*
Author to whom correspondence should be addressed.
J. Compos. Sci. 2024, 8(9), 337; https://doi.org/10.3390/jcs8090337
Submission received: 2 July 2024 / Revised: 21 August 2024 / Accepted: 25 August 2024 / Published: 27 August 2024
(This article belongs to the Section Composites Modelling and Characterization)

Abstract

New requirements for the operational reliability of roads make the utilization of polymer-modified bitumen (PMB) more common in road construction. The application of polymer-modified bitumen based on traditional technology for the production of asphalt mixtures is associated with technological and economic difficulties and does not provide proper adhesion to the mixture’s mineral components. In addition, the method of producing a binder over a long time at high process temperatures leads to increased aging, which significantly reduces the service life of the material in the pavement. This paper presents the results of studies on the effect of polymer–bitumen concentrate (PBC) consisting of styrene–butadiene–styrene, plasticizer, and surfactant on the bitumen characteristics. It has been established that the use of PBC in the bitumen binder leads to an increase in the temperature range of plasticity, softening temperature, elasticity, and cohesive strength with a decrease in the viscosity of the modified bitumen. With a complex modifier rational content of 8% by weight of bitumen, the temperature range of plasticity is 79 °C, and elasticity is 82%, which exceeds the parameters of the factory PMB-60 based on SBS polymer. Tests of binders using the Superpave method allow classifying the modified binder to the PG 64-28, which shows an increase in the temperature range of viscoelastic properties by 6 °C compared with the binder produced by traditional methods. Thus, the expediency of using a complex additive containing a polymer and surface-active substances (surfactants) that can be distributed in bitumen without the use of a colloid agitator and plasticizer has been proven to improve the quality of an organic binder.

1. Introduction

The use of polymer-modified bitumens (PMBs) in road construction is dictated by the need to ensure the operational reliability of asphalt pavements under constantly growing impacts, including speed, traffic intensity, and axial load. Experience in the operation of single-layer and two-layer pavements has shown the undoubted effectiveness of polymer-modified asphalt binders compared with asphalt mixtures based on unmodified binders [1,2,3,4,5,6].
Compared to unmodified bitumen, polymer-modified binders provide:
-
Increased mechanical strength under various loading schemes by the binder cohesive strength increasing;
-
Increased resistance to the wear tracks formation (abrasive tracks);
-
Increased resistance to plastic deformation accumulation and low-temperature cracks due to the expansion of the plasticity temperature range;
-
Improvement in fatigue failure resistance by increasing the organic binder’s cohesive strength and increasing its elasticity.
Styrene–butadiene copolymer (SBS) is the most commonly used polymer for modifying bitumen and asphalt concrete. Research in the field of polymer-modified bitumen aims to reduce the cost of components or replace some of them with other additives in order to create a binder with the desired economic and performance characteristics [7]. Additionally, there is a focus on developing binders with a higher mass fraction of polymer for use in harsh working conditions [8,9]. It is also important to explore alternative polymers to create binders with specific properties and efficient manufacturing processes [10,11]. This article focuses on the technological aspects of creating SBS-modified binders.
However, the use of polymer-modified bitumen in road construction is significantly complicated by several factors. Firstly, production processes for polymer-modified bitumen manufacturing using traditional technology require a complex equipment stock, which is inaccessible to small road construction organizations. Secondly, the production of polymer-modified bitumen using traditional techniques requires a considerable time expenditure. Bitumen must be heated to a high temperature and must stand at a high temperature for a long time during the stages of preparation and subsequent maturation of the binder. These aspects of polymer-modified bitumen production lead to an increase in energy and financial costs, reduce the environmental efficiency of production, and cause irreversible destructive processes in the bitumen under the influence of high temperatures. As a result, there is a decrease in important parameters that ensure the reliability and durability of polymer-modified bitumens in road pavements, specifically, the adhesion of the binder to the surface of the stone material, cohesive strength, and the ability of internal stress relaxation [12,13].
Based on the abovementioned information, the following aim of the research is established: to obtain a polymer-modified bitumen that meets the requirements of the technical specifications for this product type without the use of a colloid mill and multi-stage technology.
To successfully achieve this aim, it is necessary to solve the following tasks:
-
Efficient distribution of the polymer in bitumen and maintaining the homogeneity of the resulting system in various thermodynamic states;
-
Reducing the dynamic viscosity of the resulting polymer-modified bitumen in a range of operating temperatures to reduce costs when pumping an organic binder, as well as to ensure effective wetting of the mineral material’s surface in the process of preparing an asphalt mixture;
-
Increasing the resistance to the thermal–oxidative degradation processes during the production of asphalt mixtures.
Achieving this goal allows reducing the energy intensity of the PMB production process. At the same time, on the one hand, the polymer modifier’s production cost would decrease due to energy savings and the use of simplified technology with fewer production processes. On the other hand, the environmental efficiency of the production and application of polymer-modified bitumen will increase by reducing the energy intensity of processes, reducing the duration of “hot” production cycles, and, as a result, reducing the emission of harmful components. In addition, by optimizing the technology, it is possible to reduce the heating and maturation temperatures of polymer-modified bitumen, which will slow down the aging process during production. This would have a positive effect on the performance characteristics of asphalt concrete based on PBC-modified binders.

2. Materials and Methods

2.1. Functional Design of the Modifying Agent—Polymer–Bitumen Concentrate

The main criteria for polymer-modified bitumen component selection are formulated in Table 1.
Based on the information mentioned above, styrene–butadiene–styrene polymer is selected as a structure-forming agent. The SBS-type polymer should impart properties to the modified binder that are difficult to achieve with other types of polymers, namely, high strength and elasticity at operating temperature range and thermoplasticity at high temperatures, good elastic characteristics, and low accumulation of permanent deformations. It should also be noted that these properties can be achieved at low polymer concentrations in order to simplify the technology for obtaining such a modifier and, according to the research data [14], prevent the loss of thermodynamic stability of the system.
The traditional technology for the production of polymer-modified bitumen, as noted above, is characterized by the use of complex equipment and significant energy costs. This is due to the fact that the polymer is dispersed immediately in the oil bitumen. The weak physicochemical affinity of bitumen with the polymer, the low concentration of the polymer, and the large volume of bitumen lead to a decrease in the efficiency of this process.
The proposed technology avoids these difficulties. The polymer will be dispersed in a specialized plasticizer having the best solvent power with respect to the polymer at high concentration. To maintain the thermostable state of such a system, it is proposed to use additional surfactants to prevent reverse aggregation. Further, the resulting concentrate will be dissolved in bitumen directly at the asphalt–concrete plant to obtain a polymer-modified bitumen.
To ensure efficient distribution of the polymer, the plasticizer Uniplast-2, developed by the Selena Scientific and Production Association (Shebekino, Belgorod region, Russian Federation), is chosen as a dispersion medium. This plasticizer consists of a mixture of petroleum and agricultural oils. The presence of petroleum oils ensures the compatibility of the plasticizer with bitumen, while agricultural oils containing triglycerides of fatty acids and phospholipids in their composition not only ensure the maintenance of a stable structure of the modifier but also act as surfactants that improve the adhesion of the obtained polymer modified bitumen with basic and acid aggregates.
To ensure effective mixing of the resulting modifying additive in bitumen, it is necessary to use a surfactant additive as part of the modifier. The composition of the surfactant includes imidazolines, their salts, and other nitrogen-containing organic compounds. The use of surfactants based on amines and imidazolines, due to their ability to peptize asphaltenes, i.e., the destruction of their large supramolecular complexes into smaller particles, ensures stabilization of the binder’s obtained structure.
The selected functional components form the basis of the complex modifier called polymer–bitumen concentrate. It has a gel-like consistency, which makes it possible to form it into briquettes. Using the methods of mathematical planning, a rational ratio of polymer–plasticizer–surfactant and process parameters is selected to obtain the final modifier of maximum efficiency. As a result, the content of the main component—the SBS polymer—amounted to 40% of the total weight of the modifier.
As a result, a technological scheme for the production of the modifier is developed, which includes (Figure 1):
-
Pre-homogenization of plasticizer and surfactant;
-
Heating to the operational temperature with the simultaneous addition of the SBS particles;
-
Mixing the polymer in the resulting medium with a paddle mixer;
-
Lowering the temperature and unloading the finished product.

2.2. Polymer-Modified Bitumen Development Using Polymer–Bitumen Concentrate

The production of a modified bitumen binder includes several successive stages (Figure 2). It should be noted that additional heating of the added additive is not required. The polymer–bitumen concentrate with a gel-like consistency is directly heated from hot bitumen in the mixer, which saves energy resources. Road grade 70/100 bitumen oil was selected as the base binder that meets the requirements of the technical specification.
The balanced amount of polymer–bitumen concentrate in the polymer-modified bitumen is chosen based on the achievement of the maximum temperature range of plasticity. The temperature range of plasticity is considered to be the temperature interval in which bitumen is in a viscoelastic state, i.e., it can effectively absorb the load without causing plastic deformations of asphalt concrete, but it does not become brittle, which makes it possible to relax the internal stresses arising in asphalt and prevent the appearance of cracks. Mathematically, the plasticity temperature range is defined as the algebraic sum between the softening temperature and the brittleness temperature. For this, the following parameters are varied: the content of the polymer–bitumen concentrate in bitumen, the temperature and time of preparation, and the temperature and time of maturation. The percentage of the modifier relative to bitumen weight was 4%, 6%, 8%, and 10%. The mixing time was 5 min, 15 min, and 25 min, and the subsequent maturation time was 15 min, 30 min, and 45 min. For visual perception, the results of selecting the composition of polymer-modified bitumen and the technological parameters of production are presented in Figure 3 as bar charts. The obtained dependencies illustrate the process of choosing compounding and technological factors to identify the optimal temperature range for the viscoelastic state of the modified binder.
The given results show the extreme nature of the dependencies, due to which it is possible to choose the optimal recipe–technological factors. The established rational content of the additive is 8% (Figure 3a). Based on the calculation of the polymer content in the 40% modifier, the amount of SBS in polymer-modified bitumen is 3.2%, which corresponds to the content of this polymer in PMB manufactured using traditional technologies. The production temperature is determined to be 155 °C (Figure 3a) with a mixing time of 15 min until a homogeneous state (Figure 3b). The time of subsequent holding of the binder at a temperature of 155 °C for the structure to stabilize is 30 min (Figure 3b). The homogeneity of the produced binder samples is evaluated by optical microscopy; binder samples that do not have a homogeneous structure are not allowed for further testing.
As objects of comparison, unmodified (base) bitumen grade 70/100 and polymer-modified bitumen PMB 60, produced according to traditional technology, are used.

2.3. Methods

2.3.1. Physicochemical Properties Testing

A bitumen penetration test was performed in accordance with national standard GOST 33136, which is equal to EN 1426:2015. A softening point test was performed according to national standard GOST 33142, which is equal to EN 1427:2015. A brittle point test was performed via the Fraas method according to the national standard GOST 33143, conforming to the requirements of EN 12593:2015. National standard GOST 33138, which conforms to the requirements of EN 13398:2017, is used for bitumen elasticity and ductility measurement. The adhesion evaluation was carried out visually after boiling the bitumen-covered mineral material. Cohesion measurement was performed according to EN 12274-4:2018. In each experiment, the value of the indicator was calculated as the average value of a number of measurements. In the experiment for penetration—8 measurements; for ductility, elasticity, and cohesion—6 measurements each; softening and brittleness temperatures—4 measurements each.

2.3.2. Rheological Properties Testing

Determination of dynamic viscosity was carried out via a DV2T Brookfield viscometer (Brookfield Engineering Laboratories, Inc., Middleboro, MA, USA) using a coaxial spindle No 21. The specified test temperature was maintained using a thermocell. Viscosity measurements are provided at the following temperature points: 80 °C, 90 °C, 100 °C, 135 °C, 165 °C. The instrumental accuracy of the viscosity determination is ±1% of the full scale of the instrument measurement, and the reproducibility of the measurement results is ±0.2%. The tests were carried out on three samples of each composition, the viscosity value is calculated as an average value.
For a direct assessment of the functional properties of the developed polymer-modified bitumen with the PBC modifier, test methods were used according to the requirements of functional design (GOST R 58400.6-2019, GOST R 58400.1-2019) based on the American methodology for designing pavements with long service life, Superior Performing Asphalt Pavements (Superpave). According to this method, the upper limit of plasticity of bitumen (by loss of shear stability) and the lower temperature limit of plasticity (by reaching the maximum allowable stiffness and actual cracking of the binder) were evaluated. In addition, it is of practical interest to classify the obtained binder according to the PG grade and compare the obtained grade with the grades of the original bitumen and factory-made PMB 60. Performance Grade (PG) classification of bituminous binders according to performance criteria is determined at the minimum and maximum design temperatures of the road surface, which is given in GOST R 58400.1-2019 (classification taking into account the temperature range of the binder) and GOST R 58400.2-2019 (classification taking into account the intensity of traffic impact).
The method for determining properties using SmartPave 92 (Anton Paar GmbH, Graz, Austria) dynamic shear rheometer (DSR) includes the following operation. During the measurement process, a movable measuring plate rotates relative to a fixed one, and the binder sample is located between the two plates. The thermal cell provides cooling or heating of the sample to the test temperature. Depending on the temperature of the test, a measuring set of the appropriate size is selected. For the high-temperature limit determination, 25 mm plates are used. All properties of aging bitumen are determined via 8 mm plates. As a result of the tests, the shear stability of the binder at high temperatures, the stiffness of the binder at low temperatures, and the resistance of the binder to high-frequency (oscillating) loads are determined. All tests are carried out according to GOST 58400.10 as well as ASTMD7175-08. During fatigue resistance tests, an oscillatory fluctuation of 10 radian/s is applied to the sample. The principle of the method is to determine the ability of a bituminous binder to resist loading at negative temperatures (stiffness and rate of change of stiffness) by applying a concentrated static load to a bitumen beam of certain dimensions at a low temperature. The test is carried out on a 20-44220 (Infratest Prüftechnik GmbH, Brackenheim-Botenheim, Germany) bending beam rheometer (BBR) according to the AASHTO T 313, which conforms to the requirements of GOST 58400.8.

2.3.3. Evaluation of the Polymer-Modified Bitumen’s Structural Stability

An experiment was carried out to assess the stability of the resulting modified bituminous binder, which consisted of keeping the samples in glass tubes 30 cm high at a temperature of 135 °C for 24 h. After the aging period, samples were taken from the upper, middle, and lower parts for the determination of visual uniformity and key physicochemical characteristics.

2.3.4. Determination of the Polymer-Modified Bitumen’s Thermo-Oxidative Degradation Resistance

To study the intensity of aging processes and their effect on rheological characteristics, modified bitumen samples were kept in a thin layer in an oven type B064-2 (Matest S.p.A., Treviolo, Italy). The samples were subjected to thermal aging in a thin film (TFOT), according to EN 12607-2, for 5 h at 165 °C. To determine the physicochemical properties and classify the binders according to PG, they were also exposed to continuous air flow at 4 l/min for 85 min in a B066N-KIT oven (Matest S.p.A., Treviolo, Italy) at 163 °C, using the Rolling Thin Film Oven Test (RTFOT method) according to EN 12607-1 as well as GOST 33140.

2.3.5. Study of the Change in the Qualitative Composition of the Binder after Aging

The change in the qualitative composition of the binder after aging was studied using Fourier transform infrared spectroscopy (FTIR). FTIR spectra were recorded using a Vertex 70 spectrometer (Bruker Optik GmbH, Ettlingen, Germany). Compressed tablets from a mixture of the material with potassium bromide were used as test samples. As a result, absorption spectra in the range of 400–4000 cm−1 were recorded.

3. Results and Discussion

3.1. Physicochemical Properties

The main physical and chemical characteristics of the polymer-modified binder sample product using a PBC additive in the amount of 4, 6, 8, and 10%, as well as unmodified bitumen (0% PBC), were determined. All test results are presented in Table 2.
To assess the effect of PBC concentration on the penetration of an organic binder, the change in this indicator was calculated as the difference between the value of a modified binder and an unmodified one (0% PBC), divided by the initial penetration depth of the initial bitumen. The obtained calculation results are shown in Figure 4. It shows that the use of a complex additive reduces the penetration viscosity of bitumen at both 25 °C and 0 °C.
The reduction in the relative viscosity of PMB with the application of a complex additive compared with the use of unmodified bitumen is from 1.4 to 11.3% at a temperature of 25 °C and from 10.7 to 39.3% at a temperature of 0 °C (Figure 4). More pronounced changes in penetration at a test temperature of 0 °C are explained by the influence of the complex modifier PBC on the low-temperature properties of bitumen. An increase in the penetration viscosity at 0 °C ensures the presence of a polymer structure of the SBS, which retains its viscoelastic state in the low-temperature range. The presence of a plasticizer of a specific composition also has an effect, which increases the degree of peptization of asphaltenes and reduces the tendency of oils and resins in bitumen to early embrittlement.
However, typical changes in penetration with an increase in the content of SBS in the composition of the polymer-modified bitumen, given in the work of V.A. Zolotarev [14], indicate a decrease in penetration, especially in the area up to 3% polymer content, while the softening temperature naturally increases.
The apparent inconsistency of the obtained results with the above is obviously due to the presence of surfactants containing amines and imidazolines in the composition of the developed additive, and also, possibly, the content of an increased amount of plasticizer. This is confirmed by the results of A.S. Kolbanovskaya [15], who found that the introduction of an additive of aliphatic amines adsorbed on the lyophobic areas of the asphaltene surface leads to blocking of the places of their possible contacts, stabilization of the system, and a decrease in its viscosity. Other researchers have also observed a similar phenomenon [16].
The trends of softening temperature and brittleness are shown in Figure 5. The figure shows the results of changes in the corresponding indicators relative to the initial values of the initial bitumen (0% PBC), calculated similarly to the values of the change in penetration (Figure 4).
The ductility of binders naturally decreases with the introduction of the polymer (Table 2). That is, the stiffness of bitumen increases due to the formation of a spatial polymer grid in the bitumen. As a result, the received modified binder acquires a new characteristic—elasticity, which is characteristic only for PMB [17,18]. The results presented in Table 2 indicate that with the introduction of a 4% complex additive, the elasticity reaches 72%, and with an 8% content of the modifier, this indicator exceeds the requirements of GOST for PMB on the traditional SBS polymer. It has also been established that an increase in the concentration of the PBC additive in the composition of the polymer-modified bitumen is accompanied by an increase in its cohesive strength.
As a result of the studies, it is found that the use of PBC as part of a bituminous binder allowed increasing the temperature range of plasticity by 5, 8, 13, and 11 °C at concentrations of 4, 6, 8, and 10%, respectively. Graphically, the change in the temperature range of plasticity is shown in Figure 6. With a rational content of a complex modifier of 8% by weight of bitumen, the temperature range of plasticity is 79 °C, which is 2 °C higher than the factory PMB 60. The expansion of the plasticity interval should have a positive effect on the strength and deformation characteristics of asphalt concrete.
A significant increase in adhesion is explained by the complex effect of the components of the PBC modifier. Firstly, the phospholipids contained in the modifier are ampholytic surfactants that improve the interaction of the bituminous binder with the surface of stone materials from both acidic and basic rocks. Secondly, surfactants based on imidazolines used as a stabilizer of the dispersed structure of the binder improve the adhesion of the modified bitumen to the surface of acidic rocks. Additionally, a decrease in the modified binder viscosity at a temperature above 165 °C has a positive effect, due to which the process of mineral material wetting surface is more efficient. A significant contribution to the stability of the bitumen film on the surface of the mineral material is also made by the high cohesive strength of PMB with a complex additive.
The results obtained show that the introduction of surfactants into the polymer-modified bitumen leads to a change in their structural and physicochemical properties in a wide temperature range.
Due to the adsorption of amines on the polar regions of asphaltenes at high temperatures, the interaction between individual asphaltenes weakens and disappears; as a result, the bitumen coagulation framework is destroyed. At the same time, at low temperatures, the influence of the stabilizing (destructuring) additive has almost no effect [15].

3.2. Rheological Properties

Viscosity change curves based on measurement results are shown in Figure 7.
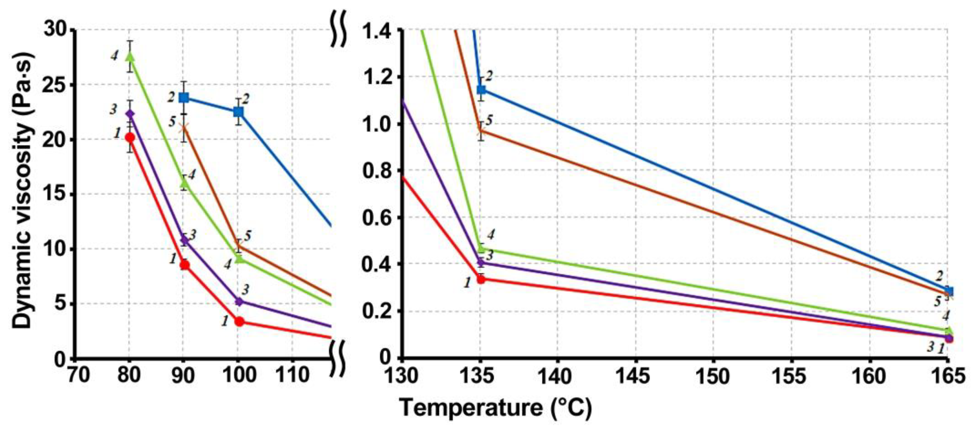
It can be seen from the presented results (Figure 7) that in the process temperature range (135–165 °C), the viscosity of bitumen modified with the PBC complex additive is much lower than that of PMB 60 and only slightly exceeds the viscosity of the base bitumen grade 70/100. Consequently, the asphalt mixture based on the PBC-modified binder will be effectively mixed and compacted at lower temperatures compared to PMB 60. When the measurement temperature is reduced to the limits approaching the operating temperatures, a significant increase in the viscosity of the polymer-modified asphalt binder is observed, which outperforms not only the original bitumen but also PMB 60 in viscosity increase. Due to this, an increase in cohesive strength and its stability with temperature rise occurs. Due to the noted changes, asphalt based on the studied binder will be characterized by improved shear resistance, heat resistance, and increased strength, especially via the tensile loading test [19].
As a result of changing the dynamic viscosity of bitumen in the field of process temperatures, the temperature of preparation and compaction of the asphalt mixture decreases. The results of calculating the mixing and compaction temperatures are presented in Table 3.
Rheological properties testing results are shown in Table 4.
Binder tests using the Superpave method showed that compared to factory-produced PMB with equal results when evaluating the upper limit of the temperature range (64 °C), the value of the critical cracking temperature differs by almost 6 degrees. As a result, the studied binder can recategorized as higher PG grade. According to the technical requirements of GOST 58400.1-2019, the binder obtained using PBC has the grade PG 64-28, the tested factory analog of PMB has the grade PG 64-22, and the base bitumen 70/100 before modification corresponds to grade 52-16. Thus, the investigated binder has a temperature range of the viscoelastic state of 92 °C, while this parameter for the factory analog is 86 °C. Expanding the range of the PG brand allows for increasing the scope of the developed binder in terms of climatic conditions and the depth of the layer from the surface of the pavement.

3.3. Thermodynamic Stability Polymer-Modified Bitumen with PBC

An important technological quality of polymer-modified bitumen is resistance to polymer segregation, or thermodynamic stability. This indicator characterizes the possibility of maintaining a homogeneous state of PMB during its storage and transportation in a heated form. The results are presented in Table 5.
The obtained data (Table 5) show that during long-term storage of PMB in a heated state, the studied binder has much more stable physicochemical characteristics of samples taken from different sectors of the storage volume compared to the control sample of the factory PMB 60. This is achieved by reducing asphaltene aggregates under the action of structuring the influence of surfactants, as well as a more uniform distribution of the polymer inside the dispersed structure of bitumen. In addition, imidazolines interacting with the polymer end groups prevent its coalescence, which imparts increased stability to the binder structure and, consequently, to its properties [20].

3.4. PBC-Modified Binder’s Thermal–Oxidative Degradation Processes Research

One of the main factors determining pavement destruction processes during the operation of roads is bitumen aging in asphalt mixtures [8,15,17].
Bitumen aging is usually divided into two stages: aging at the stage of bituminous binder and asphalt mixture preparation, so-called technological aging, and aging during the operation of asphalt concrete. It is known [21,22] that the processes of thermal–oxidative degradation of the binder proceed most intensively during the technological processing of bitumen. Long-term heating of the binder to high temperatures during the preparation of an asphalt mixture causes significant changes in its structure and properties.
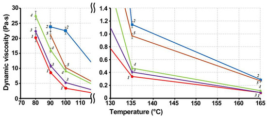
To investigate the effect of aging processes on the modified organic binder test samples, the dynamic viscosity after TFOT-aging is determined compared with factory-produced PMB 60. The measurement results are shown in Figure 8.
The curves of polymer-modified bitumen dynamic viscosity changes, shown in Figure 8, indicate that the polymer-modified bitumen with the PBC complex additive has more stable rheological characteristics compared to factory-made PMB. The reason for the slowdown of destructive processes in the binder containing polymer–bitumen concentrate is the presence of an adhesive additive containing amides and imidazolines in its composition. The adsorption of these surfactants on the lyophobic regions of the asphaltene surface leads to the blocking of possible contacts, which prevents the formation of a structural network and the oxidation of the terminal functional groups of asphaltene macromolecules [21,22]. To quantify the degree of aging, the rheological stability index of the binder is used, which is the ratio of the dynamic viscosity before aging to the dynamic viscosity after aging. The results of calculating the rheological stability index are shown in Table 6.
The research results show that the binder obtained by distributing the polymer–bitumen concentrate in the original bitumen has a higher resistance to process temperatures compared to the control sample of the binder.
The change in the qualitative composition of the binder after aging is studied using Fourier transform infrared spectroscopy. The FTIR spectra of the base and modified binder are shown in Figure 9.
The results of the rheological properties measurement confirm the FTIR spectroscopy data. Changes in the absorption intensity at 1030 cm−1 and 1700 cm−1 indicate a change in the content of S=O and C=O chemical bonds (Figure 9) [23,24]. An increase in absorption in these ranges indicates that the active components of bitumen containing sulfur and carbon are oxidized by adding air oxygen. At the same time, the optical density in the area of 1030 cm−1 of the base bitumen after aging is 0.156, and the modified binder is 0.123 (Figure 9b). A similar indicator for the region of 1700 cm−1 is 0.121 and 0.105, respectively. The results indicate that the oxidation process is more intense on the base bitumen.

3.5. Technological and Environmental Aspects of the Production of PBC-Modified Binder

In modern conditions, much attention is paid to the observance of the principles of rational environmental management in the development of new materials and technologies. Such principles may include the following:
-
Reduction in the use of non-renewable natural raw materials in the production;
-
Partial or complete replacement of natural raw materials with man-made wastes;
-
Reduction of waste and unused by-products;
-
Reduction of production demand for electric or thermal energy.
Technological processes of the traditional method of PMB production are costly in terms of the energy intensity of technological operations. In the production process, it is required to preheat and maintain the temperature of bitumen and plasticizer during the preparation of the binder, dispersion of the polymer in a colloid mill in one or two stages, and maintain the temperature at the stage of binder maturation. In addition, during the transition from one stage of production to another, it is necessary to ensure multiple pumpings of the polymer-modified bitumen and its components through the pipeline system. All this leads to an increase in energy costs per unit of output and an increase in the consumption of electricity and natural gas, which, in turn, leads to an increase in the cost of PMB. In addition, as a result of long-term technological processes associated with maintaining a high temperature of the binder, the emission of combustion products, carbon dioxide, and evaporation of volatile bitumen compounds into the atmosphere increases, which does not comply with the policy of rational environmental management.
As the first criterion, the emission of components of the base part of bitumen during heating and maintaining the process temperature during the entire PMB production will be considered. To evaluate this parameter, the binder samples are kept at process temperatures for a time equal to the technological cycle of the corresponding technology. The results are shown in Table 7.
In addition, the mixing of bitumen with PBC occurs at a lower temperature (155 °C versus 175 °C). These features lead to a significant reduction in the emission of volatile components of bitumen during the production process. The mass loss as a result of simulating the technological processes of preparing a modified binder decreased by 5 times, which, under the conditions of mass production of PMB, will significantly reduce the burden on the environment.
To assess the savings of fossil fuels and carbon dioxide emissions, the energy capacity of PMB production is calculated using the traditional and proposed technology based on data on the average carbon intensity of obtaining 1 kW of electrical energy [25]. The evaluation results are shown in Table 8.
The results obtained indicate a 2.17 times decrease in carbon dioxide emissions during the transition to the technology for obtaining PMB using the studied modifier. In addition, fossil fuel savings also contribute to better environmental management.
Reducing the time spent on production and lowering the temperature of PMB preparation using the technology under study can significantly reduce the emission of bitumen volatile components, which contain compounds harmful to health and the environment, into the atmosphere. The use of less energy-intensive technological processes in the preparation of PMB using the developed technology makes it possible to reduce carbon dioxide emissions and save fossil fuels.
Thus, the proposed technology allows for the production of polymer-modified bitumen in a shorter time, at a lower temperature, and with lower energy consumption compared to a factory-produced binder. The improvements in physicochemical and rheological properties identified will reduce the temperature of preparation and compaction of asphalt mixes.
At the same time, there are several challenges limiting the widespread use of PBC at this stage of development.
-
An inconvenient commercial form (briquettes) that reduces the manufacturability of the modifier in asphalt concrete production. To address this issue, a granular form of the modifier must be developed.
-
The need to select a quality composition of PMB that significantly alters the properties of the base bitumen.
Despite this, a pilot batch of the polymer–bitumen concentrate was produced using a Pfaudler reactor in a controlled environment. The produced modifier was used to construct experimental sections of public roads, and their technical condition is currently under monitoring. According to the proven pilot production technology, it is possible to organize large-scale mass production. Further research will focus on studying the impact of the developed polymer-modified bitumen composition on asphalt characteristics, including durability. Efforts will also be made to solve identified problems and optimize the developed technology.

4. Conclusions

1. By optimizing the process of polymer dispersion in the plasticizer (there is no need to knead the polymer in a large volume of bitumen), the efficiency of the production of polymer-modified bitumen is increased as follows:
-
There is no need to use a colloid mill;
-
Multi-stage pumping of bitumen is not required;
-
PMB preparation time and bitumen heating temperature are reduced.
2. The mechanism of influence of the complex additive is proposed, which explains the improvement in the properties of the polymer-modified bitumen and asphalt based on it. When the PBC modifier is introduced into the organic binder, styrene–butadiene–styrene creates a spatial structural network of the polymer in the bitumen, which provides an increase in the elasticity and temperature range of PMB plasticity. The plasticizer and the addition of surfactants help to increase the homogeneity of the mixture, providing stabilization of the structure.
3. The polymer-modified bitumen obtained by the proposed technology is characterized by improved rheology, which reduces the cost of pumping the binder and lowers the temperature of preparation and compaction of asphalt. The increased resistance of the developed binder to aging will have a positive effect on the durability of asphalt mixtures that are affected by traffic loads and weather and climatic factors.
4. The data obtained provide a theoretical foundation for the production of effective polymer-modified bitumen and asphalt mixtures with increased durability.
5. By reducing the production time and reducing the temperature of mixing and ripening of the binder, the emission of volatile components of the binder is reduced. Reducing the energy costs for the production of a binder with the studied modifier allows not only reducing the consumption of electrical energy but also reducing the emission of carbon dioxide associated with the combustion of fuel to obtain this energy.
6. In the context of pilot production, a batch of a polymer–bitumen concentrate was released, which was used to construct experimental sections of public roads. The technical condition of these sections is currently being monitored. Based on the proven process of pilot production, mass production can be organized on the required scale. However, there are some challenges associated with the release form of the modifier, control of base bitumen, and selection of the composition of the polymer-modified binder when changing the bitumen quality or supplier.

Author Contributions

Conceptualization, A.E.A. and V.V.Y.; methodology, A.E.A. and V.P.D.; validation, M.S.L., S.S.I. and A.V.K.; investigation, A.E.A., V.P.D. and A.S.P.; resources, V.V.Y. and V.P.D.; data curation, A.E.A. and M.S.L.; writing—original draft preparation, A.E.A. and V.V.Y.; writing—review and editing, A.E.A., M.S.L., S.S.I. and A.S.I.; visualization, A.E.A. and M.S.L.; supervision, M.S.L.; project administration, M.S.L.; funding acquisition, S.S.I., A.S.I., A.V.K. and A.S.P. All authors have read and agreed to the published version of the manuscript.

Funding

The research was funded by the National Research Moscow State University of Civil Engineering (2024 grant for fundamental and applied scientific research done by the members and strategic partners of the Industry consortium “Construction and Architecture” contract No. BSTU/K-24).

Data Availability Statement

Data are contained within the article.

Acknowledgments

The work was realized using equipment of the High Technology Center at BSTU, named after V.G. Shukhov.

Conflicts of Interest

The authors declare no conflicts of interest. The funders had no role in the design of the study, in the collection, analyses, or interpretation of data, in the writing of the manuscript, or in the decision to publish the results.

References

  1. Zhu, J.; Birgisson, B.; Kringos, N. Polymer Modification of Bitumen: Advances and Challenges. Eur. Polym. J. 2014, 54, 18–38. [Google Scholar] [CrossRef]
  2. Elwardany, M.; Habbouche, J.; Andriescu, A.; Mensching, D.J.; Hajj, E.Y.; Piratheepan, M. Comprehensive Performance Evaluation of High Polymer-Modified Asphalt Binders beyond Linear Viscoelastic Rheological Surrogates. Constr. Build. Mater. 2022, 351, 128902. [Google Scholar] [CrossRef]
  3. Almusawi, A.; Shoman, S.; Lupanov, A.P. Assessment of the Effectiveness and the Initial Cost Efficiency of Hot Recycled Asphalt Using Polymer Modified Bitumen. Case Stud. Constr. Mater. 2023, 18, e02145. [Google Scholar] [CrossRef]
  4. Wu, W.; Jiang, W.; Xiao, J.; Yuan, D.; Wang, T.; Ling, X. Investigation of LAS-Based Fatigue Evaluation Methods for High-Viscosity Modified Asphalt Binders with High-Content Polymers. Constr. Build. Mater. 2024, 422, 135810. [Google Scholar] [CrossRef]
  5. Xu, J.; Pei, J.; Cai, J.; Liu, T.; Wen, Y. Performance Improvement and Aging Property of Oil/SBS Modified Asphalt. Constr. Build. Mater. 2021, 300, 123735. [Google Scholar] [CrossRef]
  6. Navolokina, S.; Yadykina, V.; Gridchin, A. Crawler-Mastic Asphalt Concrete With the Use of Bitumen Modified By Sevileen. Bull. Belgorod State Technol. Univ. Named V. G. Shukhov 2021, 6, 8–16. [Google Scholar] [CrossRef]
  7. Xu, X.; Sreeram, A.; Leng, Z.; Yu, J.; Li, R.; Peng, C. Challenges and Opportunities in the High-Quality Rejuvenation of Unmodified and SBS Modified Asphalt Mixtures: State of the Art. J. Clean. Prod. 2022, 378, 134634. [Google Scholar] [CrossRef]
  8. Wu, W.; Cavalli, M.C.; Jiang, W.; Kringos, N. Differing Perspectives on the Use of High-Content SBS Polymer-Modified Bitumen. Constr. Build. Mater. 2024, 411, 134433. [Google Scholar] [CrossRef]
  9. Sun, G.; Ma, T.; Hu, M.; Sun, X.; Cao, Z.; Zhao, R. An Evaluation Proposal for the Fatigue and Healing Performances of High-Viscosity Polymer-Modified Bitumen Based on Continuous Multiple Linear Amplitude Sweep. Constr. Build. Mater. 2024, 411, 134632. [Google Scholar] [CrossRef]
  10. Gupta, A.; Lastra-Gonzalez, P.; Rodriguez-Hernandez, J.; González González, M.; Castro-Fresno, D. Critical Assessment of New Polymer-Modified Bitumen for Porous Asphalt Mixtures. Constr. Build. Mater. 2021, 307, 124957. [Google Scholar] [CrossRef]
  11. Joohari, I.B.; Giustozzi, F. Waste Tyres Crumb Rubber as a Sustainability Enhancer for Polymer-Modified and Hybrid Polymer-Modified Bitumen. Int. J. Pavement Eng. 2022, 23, 4357–4371. [Google Scholar] [CrossRef]
  12. Dalhat, M.A.; Al-Adham, K. Review on Laboratory Preparation Processes of Polymer Modified Asphalt Binder. J. Traffic Transp. Eng. (Eng. Ed.) 2023, 10, 159–184. [Google Scholar] [CrossRef]
  13. D’Angelo, S.; Ferrotti, G.; Oliviero Rossi, C.; Caputo, P.; Canestrari, F. Characterization of Aged Bitumen Recovered from In-Situ Polymer-Modified HMA and WMA Using Advanced Technologies. Constr. Build. Mater. 2023, 409, 133951. [Google Scholar] [CrossRef]
  14. Zolotarev, V.A.; Kudryavtseva, S.V.; Efremov, S.V. Influence of the Joint Introduction of Polymers and Adhesive Additives on the Properties of Bitumens. Bull. Kharkiv Natl. Automob. Road Univ. 2008, 40, 68–75. [Google Scholar]
  15. Kolbanovskaya, A.S.; Mikhailov, V.V. Road Bitumen; Transport: Moscow, Russia, 1973; 264p. [Google Scholar]
  16. Zieliński, K.; Babiak, M.; Ratajczak, M.; Kosno, J. Impact of Chemical and Physical Modification on Thermoplastic Characteristics of Bitumen. Procedia Eng. 2017, 172, 1297–1304. [Google Scholar] [CrossRef]
  17. Airey, G.D. Rheological Properties of Styrene Butadiene Styrene Polymer Modified Road Bitumens. Fuel 2003, 82, 1709–1719. [Google Scholar] [CrossRef]
  18. Yan, C.; Xi, J.; Ai, C.; Leng, Z. Investigating the Unique Entropy-Elasticity of Polymer Modified Asphalt. Clean. Mater. 2024, 11, 100216. [Google Scholar] [CrossRef]
  19. Denisov, V.P.; Akimov, A.E.; Yadykina, V.V. The Advantages of Using Polymer-Bituminous Concentrate for the Production of Polymer- Bituminous Binders. IOP Conf. Ser. Mater. Sci. Eng. 2020, 945, 012050. [Google Scholar] [CrossRef]
  20. Niu, Y.; Zhu, Z.; Xiao, J.; Liu, Z.; Liang, B. Evaluation of Storage Stability of Styrene-Butadiene-Styrene Block Copolymer-Modified Asphalt via Electrochemical Analysis. Constr. Build. Mater. 2016, 107, 38–43. [Google Scholar] [CrossRef]
  21. Xu, J.; Sun, L.; Pei, J.; Xue, B.; Liu, T.; Li, R. Microstructural, Chemical and Rheological Evaluation on Oxidative Aging Effect of SBS Polymer Modified Asphalt. Constr. Build. Mater. 2021, 267, 121028. [Google Scholar] [CrossRef]
  22. Tarefder, R.A.; Yousefi, S.S. Rheological Examination of Aging in Polymer-Modified Asphalt. J. Mater. Civ. Eng. 2016, 28, 1–12. [Google Scholar] [CrossRef]
  23. Dondi, G.; Mazzotta, F.; Simone, A.; Vignali, V.; Sangiorgi, C.; Lantieri, C. Evaluation of Different Short Term Aging Procedures with Neat, Warm and Modified Binders. Constr. Build. Mater. 2016, 106, 282–289. [Google Scholar] [CrossRef]
  24. Wang, X.; Guo, H.; Yang, B.; Chang, X.; Wan, C.; Wang, Z. Aging Characteristics of Bitumen from Different Bituminous Pavement Structures in Service. Materials 2019, 12, 530. [Google Scholar] [CrossRef] [PubMed]
  25. Peters, G.P.; Andrew, R.M.; Canadell, J.G.; Friedlingstein, P.; Jackson, R.B.; Korsbakken, J.I.; Le Quéré, C.; Peregon, A. Carbon Dioxide Emissions Continue to Grow amidst Slowly Emerging Climate Policies. Nat. Clim. Chang. 2020, 10, 3–6. [Google Scholar] [CrossRef]
Figure 1. Technological scheme for the production of a polymer–bitumen concentrate.
Figure 1. Technological scheme for the production of a polymer–bitumen concentrate.
Jcs 08 00337 g001
Figure 2. Technological scheme for the production of polymer-modified bitumen using the developed modifier.
Figure 2. Technological scheme for the production of polymer-modified bitumen using the developed modifier.
Jcs 08 00337 g002
Figure 3. Selection of optimal formulation (a) and technological factors: production temperature (a) and mixing and maturing time (b) for the production of polymer-modified bitumen using polymer–bitumen concentrate. (b) Shows the results for binders with an optimal modifier content of 8%.
Figure 3. Selection of optimal formulation (a) and technological factors: production temperature (a) and mixing and maturing time (b) for the production of polymer-modified bitumen using polymer–bitumen concentrate. (b) Shows the results for binders with an optimal modifier content of 8%.
Jcs 08 00337 g003
Figure 4. Penetration changes at various PBC amounts.
Figure 4. Penetration changes at various PBC amounts.
Jcs 08 00337 g004
Figure 5. (a) Brittle and (b) softening point changes at various PBC amounts.
Figure 5. (a) Brittle and (b) softening point changes at various PBC amounts.
Jcs 08 00337 g005
Figure 6. Graphical display of the plasticity temperature range.
Figure 6. Graphical display of the plasticity temperature range.
Jcs 08 00337 g006
Figure 7. Binders’ dynamic viscosity 1—base bitumen; 2—polymer-modified bitumen PMB 60; 3—polymer-modified bitumen with 6% of PBC; 4—polymer-modified bitumen with 8% of PBC; 5—polymer-modified bitumen with 10% of PBC.
Figure 7. Binders’ dynamic viscosity 1—base bitumen; 2—polymer-modified bitumen PMB 60; 3—polymer-modified bitumen with 6% of PBC; 4—polymer-modified bitumen with 8% of PBC; 5—polymer-modified bitumen with 10% of PBC.
Jcs 08 00337 g007
Figure 8. The influence of TFOT-aging on dynamic viscosity at different temperatures of factory-produced PMB and the studied modified organic binder.
Figure 8. The influence of TFOT-aging on dynamic viscosity at different temperatures of factory-produced PMB and the studied modified organic binder.
Jcs 08 00337 g008
Figure 9. FTIR spectra of unmodified bitumen before and after aging (a) and unmodified and modified bitumen after aging (b).
Figure 9. FTIR spectra of unmodified bitumen before and after aging (a) and unmodified and modified bitumen after aging (b).
Jcs 08 00337 g009
Table 1. Selection criteria for PMB components.
Table 1. Selection criteria for PMB components.
CriterionDefinition
Component compatibilityAll polymer-modified bitumen components must have close chemical affinity, ensuring the most efficient distribution of components within the bitumen.
Kinetic stabilityThe components should not differ in density at process temperatures from bitumen by more than 10% to prevent segregation.
Polymer dispersion sizeTo prevent the coalescence of the polymer in the bitumen system, the maximum particle size of the polymer after swelling should not exceed 100 nm.
Components fire safetyThe flash point of the components used must not come close to the lower temperature limit of technological processes.
Temperature stabilityAll polymer-modified bitumen components must retain the required physical and chemical properties and reactivity when kept over the entire range of process temperatures.
The ability to form a spatial structurePolymer-modified bitumen components should promote the formation of a three-dimensional elastic structure at the lowest possible polymer concentration.
End product propertiesThe resulting polymer-modified bitumen must have the required elasticity and temperature range of the viscoelastic state.
Table 2. The influence of the amount of polymer–bitumen concentrate on the physical and chemical properties of the bitumen binder.
Table 2. The influence of the amount of polymer–bitumen concentrate on the physical and chemical properties of the bitumen binder.
CriterionRegulatory Requirements for PMB 60Additive Concentration, %
046810
Penetration, 0.1 mm:
at 25 °CMin 6071 ± 1.370 ± 1.872 ± 1.378 ± 2.079 ± 1.5
at 0 °CMin3228 ± 1.531 ± 1.134 ± 1.737 ± 1.339 ± 1.8
Ductility, cm
at 25 °CMin2588 ± 2.267 ± 1.864 ± 1.947 ± 2.343 ± 2.2
at 0 °CMin 114.5 ± 0.515 ± 0.914 ± 1.714 ± 1.313.5 ± 1.0
Brittle point, °CMax-20−17 ± 1.5−19 ± 1.2−20 ± 1.2−23 ± 1.5−23 ± 1.4
Softening point, °CMin 5449 ± 1.652 ± 1.454 ± 1.856 ± 1.654 ± 1.2
Temperature range of plasticity, °CNot defined6671747977
Elasticity, %Min 80-72 ± 2.575 ± 2.082 ± 2.387 ± 2.7
Adhesion, pointNot defined24555
Cohesion, NNot defined15 ± 0.516 ± 0.616.2 ± 0.716.5 ± 0.717 ± 0.5
Table 3. Mixing and compaction temperature ranges.
Table 3. Mixing and compaction temperature ranges.
Bitumen Binder TypeViscosity, Ps·sTemperature Range
at 135 °Cat 165 °CMixingCompaction
Bitumen0.34 ± 0.020.09 ± 0.01153.5–148.1141.9–137.1
Bitumen + 8% PBC0.47 ± 0.020.12 ± 0.01160.1–154.9148.9–144.1
PMB1.15 ± 0.050.29 ± 0.02179.4–174.2168.2–163.5
Table 4. Bitumen Performance Grade Tests Result.
Table 4. Bitumen Performance Grade Tests Result.
ParameterMeasureBitumen with 8% PBCInitial BitumenPMB
Shear stability at temperaturekPa1.12 ± 0.051.90 ± 0.041.36 ± 0.05
°C645264
Critical cracking temperature°C−31.16−21.1−25.4
Fatigue resistancekPa3832 ± 1571503 ± 641420 ± 52
Performance Grade according to GOST R 58400.1PG64-2852-1664-22
Table 5. Polymer segregation testing results.
Table 5. Polymer segregation testing results.
ParameterSampling Area
Top MiddleBottom
PMB-60Bitumen with 8% PBCPMB-60Bitumen with 8% PBCPMB-60Bitumen with 8% PBC
Softening point, °C55 ± 1.956 ± 1.851 ± 1.456 ± 1.447 ± 1.554 ± 1.7
Penetration, 0.1 mm, at 25 °C58 ± 1.478 ± 2.062 ± 2.074 ± 1.869 ± 1.673 ± 1.3
Elasticity, %64 ± 2.182 ± 2.371 ± 2.584 ± 2.155 ± 2.082 ± 2.5
Table 6. Rheological stability index.
Table 6. Rheological stability index.
Testing Temperature, °CBitumen Binder Type
Bitumen 70/100 + 8% PBCPMB 60
900.910.65
1000.910.72
1350.930.77
1651.000.99
Table 7. Evaluation of the emissions of bitumen components in the process of preparing PMB using traditional technology and using the PBC modifier.
Table 7. Evaluation of the emissions of bitumen components in the process of preparing PMB using traditional technology and using the PBC modifier.
SampleBinder Holding Time, minBinder Holding
Temperature, °C
Mass Loss, %
Bitumen with traditional PMB preparation technology2401750.21 ± 0.01
Bitumen when using the PBC modifier601550.04 ± 0.00
Table 8. Estimation of energy costs for the preparation of PBB according to traditional technology and with the use of a complex additive PBC.
Table 8. Estimation of energy costs for the preparation of PBB according to traditional technology and with the use of a complex additive PBC.
MethodThe Total Amount of Energy Spent on 1 Ton of Product, kWCarbon Dioxide Emissions for 1 Ton Product Producing, kg
Traditional485230.38
Using PBC223105.93
Disclaimer/Publisher’s Note: The statements, opinions and data contained in all publications are solely those of the individual author(s) and contributor(s) and not of MDPI and/or the editor(s). MDPI and/or the editor(s) disclaim responsibility for any injury to people or property resulting from any ideas, methods, instructions or products referred to in the content.

Share and Cite

MDPI and ACS Style

Akimov, A.E.; Yadykina, V.V.; Lebedev, M.S.; Denisov, V.P.; Inozemtcev, S.S.; Inozemtcev, A.S.; Korshunov, A.V.; Pilipenko, A.S. Development of an Energy-Efficient Method of Obtaining Polymer-Modified Bitumen with High Operational Characteristics via Polymer–Bitumen Concentrate Application. J. Compos. Sci. 2024, 8, 337. https://doi.org/10.3390/jcs8090337

AMA Style

Akimov AE, Yadykina VV, Lebedev MS, Denisov VP, Inozemtcev SS, Inozemtcev AS, Korshunov AV, Pilipenko AS. Development of an Energy-Efficient Method of Obtaining Polymer-Modified Bitumen with High Operational Characteristics via Polymer–Bitumen Concentrate Application. Journal of Composites Science. 2024; 8(9):337. https://doi.org/10.3390/jcs8090337

Chicago/Turabian Style

Akimov, Andrey Evgenevich, Valentina Vasilevna Yadykina, Mikhail Sergeevich Lebedev, Vasilij Petrovich Denisov, Sergei Sergeevich Inozemtcev, Aleksandr Sergeevich Inozemtcev, Andrey Vladimirovich Korshunov, and Anton Sergeevich Pilipenko. 2024. "Development of an Energy-Efficient Method of Obtaining Polymer-Modified Bitumen with High Operational Characteristics via Polymer–Bitumen Concentrate Application" Journal of Composites Science 8, no. 9: 337. https://doi.org/10.3390/jcs8090337

APA Style

Akimov, A. E., Yadykina, V. V., Lebedev, M. S., Denisov, V. P., Inozemtcev, S. S., Inozemtcev, A. S., Korshunov, A. V., & Pilipenko, A. S. (2024). Development of an Energy-Efficient Method of Obtaining Polymer-Modified Bitumen with High Operational Characteristics via Polymer–Bitumen Concentrate Application. Journal of Composites Science, 8(9), 337. https://doi.org/10.3390/jcs8090337

Article Metrics

Back to TopTop