Investigating Microstructural and Mechanical Behavior of DLP-Printed Nickel Microparticle Composites
Abstract
1. Introduction
2. Materials and Methods
3. Results and Discussion
3.1. Spectrophotometric Analysis
3.2. Fourier Transform Infrared (FT-IR) Spectroscopy
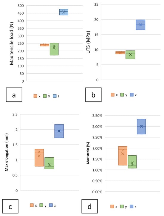
3.3. Tensile Testing
3.4. Surface Roughness and Hardness
3.5. Microstructures and Fracture Mechanism
4. Conclusions
Author Contributions
Funding
Data Availability Statement
Acknowledgments
Conflicts of Interest
Appendix A
| Material Properties | Values | Unit |
|---|---|---|
| Deformation temp | 60 ± 5 | °C |
| Vitrification temp | 55 ± 5 | °C |
| Maximum elongation | 8–12 | % |
| Activation wavelength | 355–410 | nm |
| Viscosity | 150–350 | MPa.s (25 °C) |
| Bending strength | 40–50 | MPa |
| Tensile strength | 35–45 | MPa |
| Machine Specifications | Values | Unit |
|---|---|---|
| Machine weight | 4 | kg |
| Printing dimensions | 165 × 102.4 × 57.6 | mm3 |
| Light source | DLP optical projector | - |
| Z-axis resolution | 0.01 | mm |
| Layer resolution | 0.01~0.15 | mm |
| Control panel | 2.8 | Inch |
| Data input | USB | - |
| Machine dimensions | 383 × 222 × 227 | mm3 |
| Printing technology | DLP (Digital Light Processing) | - |
| Max printing speed | 60 | mm/h |
| XY resolution | 0.08 | mm |
| Project resolution | 1280 × 720 | - |
| Power supply | 12 | W |

References
- Tran, T.Q.; Lee, J.K.Y.; Chinnappan, A.; Jayathilaka, W.; Ji, D.; Kumar, V.V.; Ramakrishna, S. Strong, lightweight, and highly conductive CNT/Au/Cu wires from sputtering and electroplating methods. J. Mater. Sci. Technol. 2020, 40, 99–106. [Google Scholar] [CrossRef]
- Kumar, V.V.; Balaganesan, G.; Lee, J.K.Y.; Neisiany, R.E.; Surendran, S.; Ramakrishna, S. A review of recent advances in nanoengineered polymer composites. Polymers 2019, 11, 644. [Google Scholar] [CrossRef] [PubMed]
- Parveez, B.; Kittur, M.; Badruddin, I.A.; Kamangar, S.; Hussien, M.; Umarfarooq, M. Scientific advancements in composite materials for aircraft applications: A review. Polymers 2022, 14, 5007. [Google Scholar] [CrossRef] [PubMed]
- Krajangsawasdi, N.; Blok, L.G.; Hamerton, I.; Longana, M.L.; Woods, B.K.S.; Ivanov, D.S. Fused deposition modelling of fibre reinforced polymer composites: A parametric review. J. Compos. Sci. 2021, 5, 29. [Google Scholar] [CrossRef]
- Cai, H.; Chen, Y. A Review of Print Heads for Fused Filament Fabrication of Continuous Carbon Fiber-Reinforced Composites. Micromachines 2024, 15, 432. [Google Scholar] [CrossRef] [PubMed]
- Wu, C.; Yi, R.; Liu, Y.J.; He, Y.; Wang, C.C. Delta DLP 3D printing with large size. In Proceedings of the 2016 IEEE/RSJ International Conference on Intelligent Robots and Systems (IROS), Daejeon, Republic of Korea, 9–14 October 2016; IEEE: Piscataway, NJ, USA, 2016. [Google Scholar]
- Petousis, M.; Michailidis, N.; Papadakis, V.; Mountakis, N.; Argyros, A.; Spiridaki, M.; Moutsopoulou, A.; Nasikas, N.K.; Vidakis, N. The impact of the glass microparticles features on the engineering response of isotactic polypropylene in material extrusion 3D printing. Mater. Today Commun. 2023, 37, 107204. [Google Scholar] [CrossRef]
- Iyyadurai, J.; Arockiasamy, F.S.; Manickam, T.S.; Suyambulingam, I.; Siengchin, S.; Appadurai, M.; Raj, E.F.I. Revolutionizing polymer composites: Boosting mechanical strength, thermal stability, water resistance, and sound absorption of cissus quadrangularis stem fibers with nano silica. Silicon 2023, 15, 6407–6419. [Google Scholar] [CrossRef]
- Yuan, S.; Shen, F.; Chua, C.K.; Zhou, K. Polymeric composites for powder-based additive manufacturing: Materials and applications. Prog. Polym. Sci. 2019, 91, 141–168. [Google Scholar] [CrossRef]
- Aryaswara, L.G.; Kusni, M.; Wijanarko, D.; Muflikhun, M.A. Advanced properties and failure characteristics of hybrid GFRP-matrix thin laminates modified by micro glass powder filler for hard structure applications. J. Eng. Res. 2023, in press. [Google Scholar] [CrossRef]
- Vijayan, M.; Selladurai, V.; Vijay Kumar, V.; Balaganesan, G.; Marimuthu, K. Low-Velocity Impact Response of Nano-Silica Reinforced Aluminum/PU/GFRP Laminates. In International Symposium on Plasticity and Impact Mechanics; Springer: Berlin/Heidelberg, Germany, 2022. [Google Scholar]
- Weng, Z.; Zhou, Y.; Lin, W.; Senthil, T.; Wu, L. Structure-property relationship of nano enhanced stereolithography resin for desktop SLA 3D printer. Compos. Part A Appl. Sci. Manuf. 2016, 88, 234–242. [Google Scholar] [CrossRef]
- Nugraha, A.D.; Kumar, V.V.; Gautama, J.P.; Wiranata, A.; Mangunkusumo, K.G.H.; Rasyid, M.I.; Dzanzani, R.; Muflikhun, M.A. Investigating the Characteristics of Nano-Graphite Composites Additively Manufactured Using Stereolithography. Polymers 2024, 16, 1021. [Google Scholar] [CrossRef]
- Ramesh, M.; Niranjana, K.; Selvan, M.T. Wear and Friction Behavior of Biocomposites Fabricated Through Additive Manufacturing. In Tribological Properties, Performance and Applications of Biocomposites; John Wiley & Sons: Hoboken, NJ, USA, 2024; pp. 219–246. [Google Scholar]
- Ha, H.-Y.; Lee, T.-H.; Kim, S.-D.; Jang, J.H.; Moon, J. Improvement of the corrosion resistance by addition of Ni in lean duplex stainless steels. Metals 2020, 10, 891. [Google Scholar] [CrossRef]
- Huang, Y.; Zeng, X.T.; Hu, X.F.; Liu, F.M. Corrosion resistance properties of electroless nickel composite coatings. Electrochim. Acta 2004, 49, 4313–4319. [Google Scholar] [CrossRef]
- Yang, D.; Lei, Y.; Xie, J.; Shu, Z.; Zheng, X. The microbial corrosion behaviour of Ni-P plating by sulfate-reducing bacteria biofouling in seawater. Mater. Technol. 2019, 34, 444–454. [Google Scholar] [CrossRef]
- Feng, Y.; Yang, H.; Yang, Z.; Hu, C.; Wu, C.; Wu, L. A review of the design, properties, applications, and prospects of Ni-based composite powders. Mater. Des. 2021, 208, 109945. [Google Scholar] [CrossRef]
- Fantino, E.; Chiappone, A.; Roppolo, I.; Manfredi, D.; Bongiovanni, R.; Pirri, C.F.; Calignano, F. 3D Printing of Conductive Complex Structures with In Situ Generation of Silver Nanoparticles. Adv. Mater. 2016, 28, 3712–3717. [Google Scholar] [CrossRef]
- Muflikhun, M.A.; Syahril, M.; Mamba’udin, A.; Santos, G.N.C. A novel of hybrid laminates additively manufactured via material extrusion–vat photopolymerization. J. Eng. Res. 2023, 11, 100146. [Google Scholar] [CrossRef]
- Yunus, D.E.; Sohrabi, S.; He, R.; Shi, W.; Liu, Y. Acoustic patterning for 3D embedded electrically conductive wire in stereolithography. J. Micromech. Microeng. 2017, 27, 045016. [Google Scholar] [CrossRef]
- ISO 21920-2:2021; Geometrical product specifications (GPS) — Surface texture: Profile, Edition 1. ISO: Geneva, Switzerland, 2021; pp. 1–78.
- ASTM_D2240-15; Standard Test Method for Rubber Property—Durometer Hardness in ASTM D2240. ASTM: West Conshohocken, PA, USA, 2021; p. 13.
- ASTM_D638; Standard Test Method for Tensile Properties of Plastic. ASTM: West Conshohocken, PA, USA, 2022; p. 17.
- Ganguly, S.; Chakraborty, S. Sedimentation of nanoparticles in nanoscale colloidal suspensions. Phys. Lett. A 2011, 375, 2394–2399. [Google Scholar] [CrossRef]
- Mazzoli, A.; Moriconi, G. Particle size, size distribution and morphological evaluation of glass fiber reinforced plastic (GRP) industrial by-product. Micron 2014, 67, 169–178. [Google Scholar] [CrossRef]
- Chen, T.-H.; Wang, I.-H.; Lee, Y.-R.; Hsieh, T.-H. Mechanical property of polymer composites reinforced with nanomaterials. Polym. Polym. Compos. 2021, 29, 696–704. [Google Scholar] [CrossRef]
- Deng, W.; Xie, D.; Liu, F.; Zhao, J.; Shen, L.; Tian, Z. DLP-based 3D printing for automated precision manufacturing. Mob. Inf. Syst. 2022, 2022, 2272699. [Google Scholar] [CrossRef]
- Hanon, M.M.; Ghaly, A.; Zsidai, L.; Szakál, Z.; Szabó, I.; Kátai, L. Investigations of the mechanical properties of DLP 3D printed graphene/resin composites. Acta Polytech. Hung. 2021, 18, 143–161. [Google Scholar] [CrossRef]
- Vrochari, A.D.; Petropoulou, A.; Chronopoulos, V.; Polydorou, O.; Massey, W.; Hellwig, E. Evaluation of surface roughness of ceramic and resin composite material used for conservative indirect restorations, after repolishing by intraoral means. J. Prosthodont. 2017, 26, 296–301. [Google Scholar] [CrossRef]
- Brinckmann, S.A.; Young, J.C.; Fertig, R.S.; Frick, C.P. Effect of print direction on mechanical properties of 3D printed polymer-derived ceramics and their precursors. Mater. Lett. X 2023, 17, 100179. [Google Scholar] [CrossRef]














| Printing Parameters | Values | Unit |
|---|---|---|
| Exposure time | 2 | s |
| Lifting platform height | 5 | mm |
| Lifting speed | 120 | mm/min |
| Bottom exposure time | 35 | s |
| Layer height | 0.05 | mm |
| Retracting speed | 120 | mm/min |
Disclaimer/Publisher’s Note: The statements, opinions and data contained in all publications are solely those of the individual author(s) and contributor(s) and not of MDPI and/or the editor(s). MDPI and/or the editor(s) disclaim responsibility for any injury to people or property resulting from any ideas, methods, instructions or products referred to in the content. |
© 2024 by the authors. Licensee MDPI, Basel, Switzerland. This article is an open access article distributed under the terms and conditions of the Creative Commons Attribution (CC BY) license (https://creativecommons.org/licenses/by/4.0/).
Share and Cite
Susanto, B.; Kumar, V.V.; Sean, L.; Handayani, M.; Triawan, F.; Rahmayanti, Y.D.; Ardianto, H.; Muflikhun, M.A. Investigating Microstructural and Mechanical Behavior of DLP-Printed Nickel Microparticle Composites. J. Compos. Sci. 2024, 8, 247. https://doi.org/10.3390/jcs8070247
Susanto B, Kumar VV, Sean L, Handayani M, Triawan F, Rahmayanti YD, Ardianto H, Muflikhun MA. Investigating Microstructural and Mechanical Behavior of DLP-Printed Nickel Microparticle Composites. Journal of Composites Science. 2024; 8(7):247. https://doi.org/10.3390/jcs8070247
Chicago/Turabian StyleSusanto, Benny, Vishnu Vijay Kumar, Leonard Sean, Murni Handayani, Farid Triawan, Yosephin Dewiani Rahmayanti, Haris Ardianto, and Muhammad Akhsin Muflikhun. 2024. "Investigating Microstructural and Mechanical Behavior of DLP-Printed Nickel Microparticle Composites" Journal of Composites Science 8, no. 7: 247. https://doi.org/10.3390/jcs8070247
APA StyleSusanto, B., Kumar, V. V., Sean, L., Handayani, M., Triawan, F., Rahmayanti, Y. D., Ardianto, H., & Muflikhun, M. A. (2024). Investigating Microstructural and Mechanical Behavior of DLP-Printed Nickel Microparticle Composites. Journal of Composites Science, 8(7), 247. https://doi.org/10.3390/jcs8070247

