Cryogenic Impact on Carbon Fiber-Reinforced Epoxy Composites for Hydrogen Storage Vessels
Abstract
1. Introduction
2. Cryogenic Temperature Effects
2.1. The Matrix Influence
- -
- The tensile strength (δ) of epoxy resin types was shown to increase in cryogenic temperature (−196 °C) compared to room temperature (Figure 3a).
- -
- This increase in tensile strength at cryogenic temperatures is due to the freezing of the main-chain segment of epoxy polymers and some micromolecular structure units, making them immobile.
- -
- The presence of -CH3 (methyl groups) between benzene rings in bisphenol-A was found to increase steric hindrance, which directly influences the stiffness of the epoxy resin.
- -
- Under cryogenic conditions, the tensile modulus (E) of all epoxy types increased (Figure 3b).
- -
- Certain epoxy types have a higher cryogenic modulus than others as steric hindrance and benzene ring content increased.
- -
- The modulus of epoxy is significantly associated with molecular strand segment packing density and free volume fraction, which influence its mechanical properties at cryogenic temperatures.
- -
- The failure strain (ε) of the epoxy types was found to decrease at freezing conditions, indicating a decrease in toughness (Figure 3c).
- -
- Epoxy becomes brittle and loses hardness at cryogenic temperatures due to the freezing of resin molecules and micromolecular structure units, rendering them immobile.
- -
- The cryogenic elongation at break of some epoxy types decreased as the percentage of soft segments (reactive aliphatic diluent) increased.
- -
- The impact strength (d) of epoxy was shown to be reduced in cryogenic conditions, indicating a decrease in toughness (Figure 3d).
- -
- At cryogenic temperatures, the microstructure of epoxy is critical in determining its impact strength. Factors such as molecular strand segment packing density and free volume fraction influence this structure.
- -
- This study emphasizes the relevance of understanding the microstructure of epoxy in determining its cryogenic mechanical properties.
2.2. Mechanical Properties of CFRP at Cryogenic Temperatures
- -
- The 0° and 90° tensile strength of CFRP increased by 0.2% at −196 °C.
- -
- The increase in tensile strength at cryogenic temperature can be attributed to changes in the microstructure of the resin matrix and carbon fibers, which result in stronger bonding at the fiber-resin interfaces.
- -
- The in-plane shear strength of CFRP increased by 27.5% at −196 °C.
- -
- The roughening of the carbon fiber surface under cryogenic temperatures boosted bonding strength at the fiber-resin interface, resulting in higher interlaminar shear strength.
- -
- CFRP’s compressive strength increased by 8.2% at −196 °C.
- -
- Thermal stress concentration at the fiber–matrix contact and within the matrix between fibers assisted increase compressive strength at cryogenic temperatures.
- -
- The failure strain of CFRP decreased from 1.6% at room temperature to 0.9% at −196 °C.
- -
- The drop in failure strain at cryogenic temperatures was attributed to resin embrittlement, which resulted in decreased toughness and increased brittleness of the composite.
- -
- The fracture surface morphology of CFRP at cryogenic temperatures was smoother and cleaner, indicating a different fracture behavior than at RT (Figure 4b).
- -
- Freezing resin molecular segments and microstructural units at cryogenic temperatures resulted in more brittle fracture behavior, which influenced CFRP’s overall mechanical properties.
- -
- The resin free volume influenced molecular mobility, stress distribution, fracture behavior, and intermolecular forces, all of which contributed to the composite’s toughness at cryogenic temperatures.
2.3. Epoxy Resin’s Effect on CFRP
- -
- The peak at 147 °C on the tan δ vs. temperature curve corresponds to the epoxy resin’s glass transition temperature. This temperature marks the point at which the epoxy resin shifts from a glassy to a rubbery state, resulting in changes in its mechanical properties.
- -
- The peak at −25 °C in the tan δ vs. temperature curve reflects the resin’s secondary transition temperature. This temperature point implies another phase transition in the epoxy resin, possibly due to changes in molecular mobility or structural rearrangements.
- -
- Because −196 °C is substantially lower than the Tg of epoxy and the secondary transition temperature, the main-chain segment of resin molecules and a portion of the micro-molecular structure units freeze and become immobile. Epoxy freezes at temperatures below this range. As a result, epoxy becomes brittle and loses its hardiness. At room temperature, the failure strain is 3.7%, but at −196 °C, it is only 1.1%. CFRP’s cryogenic elongation during break is therefore reduced.
- -
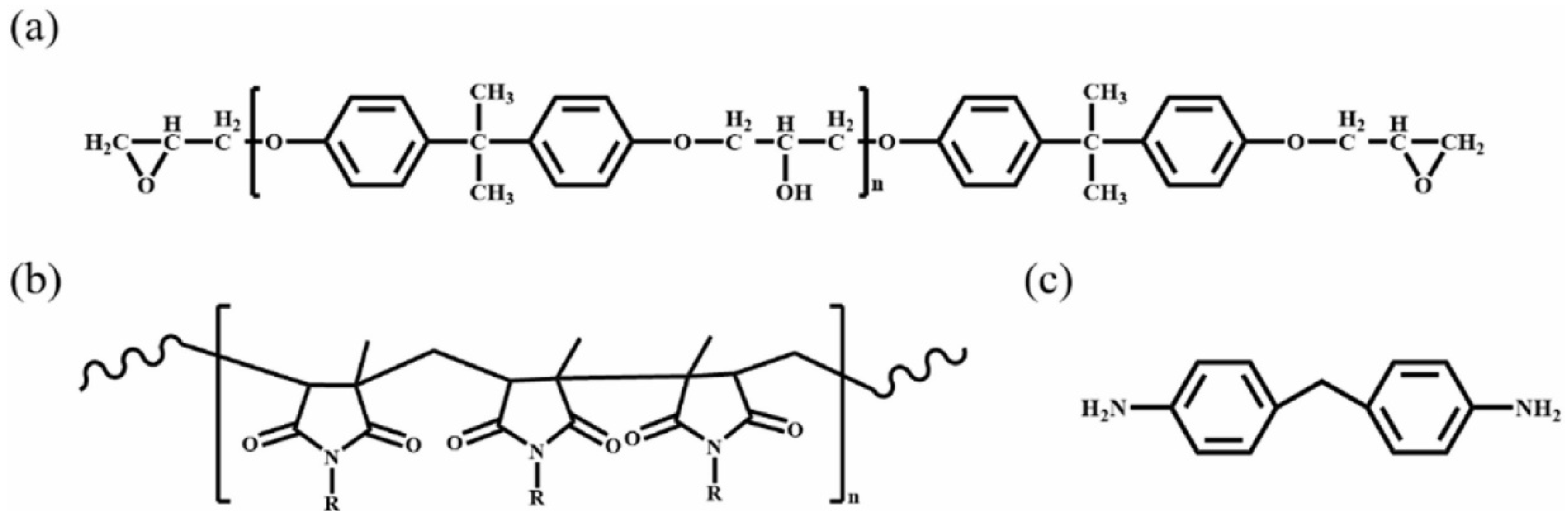
- The molecular structure of epoxy following the curing agent reaction appears amorphous, with molecular strand segments randomly interlocking and tangling. This pattern resembles a reel of thread, implying a complex and interconnected structure of resin molecules. Epoxy resin molecular strand segments are bound together by a variety of intermolecular forces such as physical entanglement, covalent bonds, H-bonds, and van der Waals forces. These forces help to ensure the overall stability and integrity of the resin structure [34].
- -
- Epoxy resin’s molecular strand segment packing contains holes and flaws, which produce free volume within the substance. Adequate free volume allows molecular strand segments to move, whereas excessive free volume can result in stress concentration and structural defects. EP’s molecular structure has free volume, which allows for the mobility of molecular strand segments, which is critical for the material’s deformation and mechanical behavior. Proper molecular mobility enhances the material’s overall flexibility and resilience.
- -
- The mechanical properties of epoxy resin are heavily influenced by its molecular structure, which is defined by intermolecular forces and free volume. The arrangement and interaction of molecular strand segments affect the resin’s strength, stiffness, and durability. The molecular structure of epoxy resin’s post-curing agent response influences the material’s homogeneity and stability. Proper intermolecular interactions and molecular mobility help to create a more homogenous and strong resin matrix in composite materials like CFRP.
- -
- The combination of the EP and curing agent causes the formation of a cross-linked network structure, which improves the material’s mechanical properties and thermal stability. The curing process affects the molecular arrangement and bonding of the resin matrix.
- -
- At room temperature, the tensile failure morphology of epoxy resin exhibits distinctive features such as river patterns that diverge from the breaking point. This pattern represents the direction of crack propagation and the material’s fracture behavior under tensile loading (Figure 7a).
- -
- At −196 °C, epoxy resin has a smoother and neater fracture surface than room temperature. Cryogenic conditions impact the material’s fracture behavior, resulting in a distinct surface appearance (Figure 7b).
- -
- The stress–strain curve of epoxy at room temperature and cryogenic temperature offers information on the material’s mechanical behavior under various temperature settings. A comparison of the curves reveals how temperature affects the material’s response to applied stress (Figure 7c).
3. Interfacial Properties
- -
- This study used a single fiber tension test to examine the link between tensile stress as well as the ERR of carbon fiber (ASTM D-3379) [35]. A multimeter was used to measure the electrical signals for the ERR tests, as well as electrical resistance variations were noted at pre-arranged intervals of tensile strain. To lower the resistance of contact among the copper wire as well as the carbon fiber, silver paste was used.
- -
- The electrical resistance (ER) fragmentation test sample consisted of a carbon fiber embedded in a semi-transparent EP composite (Figure 8). ER was measured during the carbon fiber fracture in this test. A proportionate relationship between tensile stress and ERR was identified, leading the building of an empirical formula. Rapid increase in electrical resistance indicated carbon fiber fracture, while prolonged fracture durations suggested greater interfacial adhesion between carbon fiber and epoxy matrix. These tests tested several epoxy types and temperature tests, including cryogenic temperatures (−150 °C).
- -
- This study used the static contact angle method to determine the wettability of the materials. Contact angles with different epoxy kinds and solvents were measured in order to determine surface energy. The Young equation was used to compute the static contact angle in order to assess the wettability of the materials.
- -
- The findings showed a linear relationship between the ERR and the tensile characteristics of individual carbon fiber samples. In particular, it was demonstrated that the carbon fiber’s ERR and tensile stress were exactly correlated. Single fiber tensile tests were used in experimental research to demonstrate this link.
- -
- An empirical formula was created to measure the connection between both of these parameters based on the proportional correlation that was discovered between tensile stress along with ERR. This method yields a valuable tool for analyzing the behavior of CF/EP composites by offering a means of evaluating the interfacial characteristics of ER fragmentation samples.
- -
- The relationship between ERR and tensile characteristics worked well for calculating the embedded carbon fiber fracture strength in EP. Researchers’ comprehension of the interfacial characteristics of these composite materials increased when they were able to calculate and predict carbon fiber fracture tensile stress utilizing an empirical formula created from experimental data.
- -
- The bisphenol A type epoxy ER fragmentation tests conducted at different temperatures provide important insights into the interfacial characteristics of the composite material. In the ER fragmentation investigations, the ERR exhibited distinct behaviors at RT and CT, indicating changes in interfacial adhesion at varying temperatures.
- -
- The bisphenol A-type EP ER fragmentation results at two distinct temperatures are shown in Figure 9b and Figure 9c, respectively: RT (Figure 9b) and CT (Figure 9c). The ERR grew more quickly at RT than at CT, according to the ER fragmentation data. Additionally, during CT compared to RT, the tensile stress of the ER fragmentation samples increased more quickly. Compared to CT, the CF’s calculated fracture tensile stress was greater at RT. The interfacial properties of CF and bisphenol A declined at CT. Figure 9d,e show the ER fragmentation of bisphenol F type epoxy at RT and CT. Compared to bisphenol A type, bisphenol F type ER fragmentation generated greater electrical signal noise at room temperature. This results from tensile tension during the ER fragmentation test, which causes fiber sliding effects. Compared to bisphenol A-type EP, bisphenol F-type EP exhibited a reduced ERR at fracture time. This implies that the interfacial characteristics of bisphenol A-type EP are better than those of bisphenol F-type EP. The ERR of bisphenol F-type EP and bisphenol A-type EP varied greatly at different temperatures. ERR values for bisphenol F-type EP were similar at RT and CT. These experiments provided insightful data on the behavior and interfacial characteristics of the composite material at different temperatures. The findings for the two types of EPs at different temperatures are displayed in Figure 9, together with the calculated tensile stress of the CF at the fracture site during the ER fragmentation investigations. CF fracture tensile stress of 2742 MPa was anticipated for bisphenol A-type EP, which had an ERR of 0.023 at RT. A little less than the RT value, 1928 MPa, was the projected CF fracture tensile stress at CT. Additionally, the estimated strain of the CF in fragmentation samples was examined in a number of ways. Due to fiber sliding effects, the projected CF strain raised by 0.07% at CT compared to RT. For specimens with a bisphenol F-type EP matrix, the calculated CF fracture tensile stress was 2146 MPa at RT and only marginally dropped (to 2027 MPa) at CT. These findings suggest that bisphenol F-type EP is a better option for CT applications. Figure 11 depicts a tensile loading model for fragmentation specimens with varying interfacial adhesions between fiber and material. The model illustrated the behavior of fragmentation specimens under tensile loading conditions, with a focus on the varying levels of interfacial adhesion between the fiber and material. For specimens with good interfacial adhesion, the model would show minimal fiber slipping and effective stress transfer between the fiber and material during tensile loading. This scenario would result in high predicted CF fracture tensile stress values, indicating strong interfacial properties between the fiber and material. In contrast, for specimens with poor interfacial adhesion, the model would demonstrate significant fiber slipping under tensile loading conditions. This would lead to poor stress transfer between the carbon fiber and the material, resulting in lower predicted carbon fiber fracture tensile stress values compared to specimens with good interfacial adhesion. In summary, the model of tensile loading of fragmentation specimens with different interfacial adhesion levels offers a visual representation of how the interfacial properties between the fiber and material impact the mechanical behavior of composite materials under tensile stress, providing valuable insights for material characterization and optimization.
- -
- Static contact angle tests were used to determine the amount of adhesion between the CF and material. This method involved measuring contact angles for different types of EP with various solvents to assess the wettability and adhesion properties of the composite material. The work of adhesion measurements provided quantitative data on the interfacial interactions between the fiber and the material. Figure 12a shows the surface temperature of EP samples as a function of time after immersion in liquid nitrogen. Temperature affected the static contact angle of a water droplet on the surface of EP samples. EP samples were immersed in a liquid N2 container for 30 min during this study. The specimen’s surface temperature rapidly increased within 15 s of being extracted from the liquid N2 container. After 30 s, vapor condensation began, and one minute later, a droplet of water was frozen. As a result, surface energy measurements on EP specimens should be performed 15–30 s after being removed from the liquid N2 container. Figure 12b depicts the static contact angle data for several EP samples at various temperatures. Figure 12c illustrates the surface energy of various solvents on EP specimens at varying temperatures. Bisphenol F-type EP has a 10° greater static contact angle than bisphenol A-type EP at RT. At CT, the static contact angle of bisphenol F-type EP dropped, whereas that of bisphenol A-type EP rose. The ER fragmentation test method involved conducting tests on fragmentation specimens to evaluate the interfacial properties between the fiber and material. By measuring the electrical resistance changes during CF fracture in the ER fragmentation tests, researchers could assess the stress transfer and interfacial adhesion in the composite material. The method offered a means of quantifying the interfacial properties based on electrical resistance behavior.
- -
- The CNT fiber for the fragmentation test samples was fixed in the center of a silicone mold, as shown in Figure 13a.
- -
- Conductive silver paste was used to connect two copper wires to the CNT fiber.
- -
- Following 30 min of full vacuum at RT, the EP mixed with curing agent was poured into the mold containing the CNT fiber.
- -
- The matrix was allowed to cure for 10 h at 50 °C.
- -
- Cryogenic treatment was conducted at −196 °C.
- -
- The treatment involved decreasing the RT from RT to −196 °C at a cooling rate of 2 °C per minute.
- -
- The samples were kept at −196 °C for 12 h to achieve thermal equilibrium before gradually increasing the temperature back to RT, as shown in Figure 13b.
- -
- The cryogenic-treated epoxy had a 51% higher Young’s modulus compared to the untreated EP.
- -
- The tensile strength of the cryogenic-treated EP increased by 27% compared to the untreated epoxy.
- -
- After cryogenic treatment, the epoxy’s failure strain remained constant.
- -
- The electrical resistances of the CNT fibers before and after the cryogenic process were evaluated to determine the interfacial stress transfer between the CNT fiber and EP. The cryogenic-treated sample’s electrical resistance changed rate with strain, indicating a better fiber/matrix interaction (Figure 14a).
- -
- The composite’s interfacial shearing strength increased by 31% after cryogenic treatment compared to the pristine CNT fiber composite. These numerical values provide specific information about the interfacial properties improved by cryogenic treatment in the CNT fiber composite. The increase in interfacial shearing strength and the enhanced fiber/matrix interaction suggest a more robust and efficient load transfer mechanism within the composite material, which is essential for applications requiring high mechanical performance and reliability.
- -
- After cryogenic treatment, there was a small decrease in the static resistance of the embedded CNT fiber compared to the untreated sample (Figure 14b).
- -
- The gage factor value of the cryogenically treated embedded CNT fiber was significantly greater than that of the untreated sample. The specific numerical values for the gage factor before and after cryogenic treatment were reported as 1.6 for the treated sample and 0.6 for the untreated sample (Figure 14b). These values provide specific insights into the electrical properties of the embedded CNT fiber before and after cryogenic treatment. The decrease in static resistance and the increase in gage factor suggest enhanced interfacial bonding and stress transfer within the composite material, which are crucial for applications requiring reliable load transfer and improved mechanical performance.
- -
- CF fabrics are desized and oxidized to improve the surface for CNT growth.
- -
- The oxidized CF fabrics are immersed in a catalyst solution containing Fe(NO3)3·9H2O and Co(NO3)2·6H2O dissolved in C2H5OH (ethanol).
- -
- Catalyst-coated CF fabrics are placed into a CVD furnace, and the air pressure is reduced to a vacuum before introducing N2 gas.
- -
- The temperature is raised gradually, and a mixture of C2H2 and H2 gases is injected into the furnace at controlled flow rates.
- -
- CNT growth occurs on the surface of the CFs at specific temperatures (e.g., 400–485 °C) for a defined duration.
- -
- During the CNT growth process, the furnace pressure is maintained at 0.01 MPa.
- -
- After the growth period, the injection of gases is stopped, and the remaining carbon source is removed by reducing the air pressure in the furnace.
- -
- The CNTs-coated CF had higher strength and Weibull modulus than desized fibers due to less damage caused by catalysts at low temperatures and the repairing effect of CNTs.
- -
- The ILSS of CNTs-coated CF/EP composites increased by approximately 32.29% compared to desized fiber-based composites (Figure 15a).
- -
- The IFSS of CNTs-coated CF/EP composites increased by approximately 30.73% compared to desized fiber-based composites (Figure 15b).
- -
- The dielectric properties of the materials were improved after the addition of CNTs.
- -
- Three forms of carbon nanotube (CNT) fracture in materials have been identified: breaking, debonding with resin, along with fracture of the CNT/fiber junction. For effective load transfer, a new interphase was formed among CF and the EP matrix as a result of the CNT layer’s improved wettability.
- -
- The radial fracture surface of the composites is shown in Figure 16. The desized CF-reinforced materials’ shearing fracture demonstrates that the fiber-EP matrix interface was clearly separated, with a substantial portion of the fibers broken and dragged out. Simultaneously, a significant amount of holes developed and remained in the matrix, suggesting a poor fiber-EP matrix interaction and the absence of an effective interphase. The formation of CNTs on the surface of CFs resulted in a neat and flat fracture surface for the materials, and the huge fissures between the CF along with the EP matrix disappeared, indicating a considerable improvement in the materials’ interface properties. Moreover, there was a protracted transitional interphase between the CF along with EP due to their close relationship.
- -
- The interface modulus was calculated using the force modulation mode of the AFM in order to verify the existence of the interphase. The circular form of the CF in the material is seen in excellent detail in Figure 17a. The hardness modulus levels in the two locations differ significantly, as seen by the modulus line distribution. The sudden shift in modulus suggested that the material’s interface bonding was inadequate since there was no transitional interphase connecting the two. A fuzzy transition layer that links the CF as well as the EP formed when CNTs were grafted onto CFs (Figure 17b). There was a clear step-like transition in the modulus line distribution, which is known as an interphase region. There was a modulus between the matrix and the reinforcing fiber, and the interphase thickness was 0.41 μm. This demonstrated that the carbon fiber material treated with CNTs created a uniform transition interphase at the interface that was able to distribute, disperse, including absorb stress, enhancing the material’s mechanical characteristics and interface bonding capacities [37].
- -
- One side of the CNT was fully immersed in the EP matrix at the material interface, while the other side was attached to the CF. According to the CNTs’ binding force to the matrix or fiber, Figure 18 depicts three different forms of CNT fracture in materials: (i) A break at the CNT/CF interface. There were still a few raw areas among the mostly resin-coated fiber surfaces (Figure 18a). Because some CNTs made poor contact with the fibers, CNTs were easily removed. Generally speaking, there was no gain in composite bearing capacity as a result of these poor connection positions. (ii) CNTs separate from EP. CNTs that were removed with a greater length and micro-scale perforations (shown by the arrows) on their surface demonstrated this kind. This form of the fracture indicates a poor connection among the CNTs and EP. (iii) CNT fracture. Even with their own fracture around the root, some CNTs that have a close link between them and the EP or fibers are challenging to remove. Usually, a smaller portion of these CNTs stayed on the fiber. When composites broke, types (ii) and (iii) were essential in absorbing more energy, which improved the mechanical properties. The enhancing mechanism of the CNTs may become clearer with more precise pictures of the fracture surface. CNT pull-out and crack bridging are the two toughening mechanisms on the fracture surface, as seen in Figure 18. According to Zhang et al. [38], one or more CNTs are most likely to blame for the filamentous bridging among fibers (Figure 18c). The energy required for this bridging step widens the fracture propagation, increasing the damage resistance of the composites [39,40]. In addition, a single CNT pull-out is shown in Figure 18b,d; it is circled in yellow. As the single CNT pull-out process removes the CNT from the resin until it breaks, it could also take in more energy. According to Yao et al. [41], the particular pull-out energy rose as the length of the CNT inserted grew, suggesting that the absorbed energy increased with the pull-out length. Most CNTs have an embedded length longer than 500 nm, as seen by the length of a single CNT that remains on the carbon fiber surface (Figure 18b,d).




- -
- CFs were desized to remove the epoxide coating or sizing by heating them to 120 °C for 2 h in an oven.
- -
- A cathodic electrophoretic deposition (EPD) unit was built up to deposit GCOOH onto a negatively charged electrode.
- -
- In an aqueous solution of GCOOH and Methyl Violet (MV), CF mats were mounted to hardwood frames as cathodes and stainless-steel plates as anodes.
- -
- Sonication in distilled water produced the GCOOH suspension, which was then charged and dispersed with MV.
- -
- The EPD technique used a constant current of 5A for 30 min.
- -
- After deposition, the GCOOH-coated CF mats were air-dried for 24 h before immersing in acetone for 2 h to remove excess MV.
- -
- Thermal annealing at 140 °C for 2 h was used to increase the adhesion between the nanofillers and fibers.
- -
- The hand lay-up technique was used to create 12-layered laminates with CF reinforcement and epoxy resin matrix.
- -
- The EP and curing agent were mixed in a particular ratio, and the stack of 12 layers was crushed in a hot press at controlled temperatures.
- -
- Laminates containing CFs modified by electrophoretic deposition (EPD) are named after the bath concentration used during the process.
- -
- The laminates were cured at RT for 24 h before being cut to appropriate dimensions for testing.
- -
- During testing at cryogenic temperatures, all of the composites were brittle and failed catastrophically.
- -
- The neat flexural sample showed linear elastic behavior before catastrophic failure, but the changed flexural samples showed pseudo-ductile phenomena before failure at RT.
- -
- The pseudo-ductile behavior seen in modified samples at RT was not identified at CT.
- -
- Experimental results demonstrated that composites with GCOOH-grafted CFs improved ILSS and FS at both RT and CT.
- -
- The composites with the largest improvement in ILSS and FS in the EPD bath contained 1.5 g/L of GCOOH.
- -
- The presence of GCOOH at the fiber–matrix interface increased the composite’s interface/interphase performance.
- -
- The active carboxyl group in GCOOH established bonds with EP and matrix molecules, strengthening the interaction between the fiber and material.
- -
- Graphene-based nanofillers improve the interface between reinforcing CFs and the polymer matrix, resulting in increased interfacial adhesion. This enhanced interface is critical for keeping mechanical properties stable at cryogenic temperatures.
- -
- The incorporation of graphene-based nanofillers can improve the interlaminar shear strength and flexural strength of composites. This improvement in mechanical properties is crucial for applications that demand high specific strength, such as aerospace and cryogenic storage tanks.
- -
- G-COOH nanofillers have been shown to provide homogenous deposition on CFs, resulting in consistent reinforcement throughout the composite.
- -
- Graphene-based nanofillers have shown promise in keeping their properties and performance at low temperatures, making them appropriate for cryogenic applications.
- -
- The use of graphene-based nanofillers in composites can cause pseudo-ductile behavior, which can help minimize catastrophic failures and improve overall toughness.
4. Toughening Methods of Epoxy Resins
4.1. Plastic Materials
4.1.1. Biscitraconimide Resin (BCI)
- -
- Different formulations of DGEBA/BCI composites with varying BCI content (0%, 10%, 15%, 20%, 25%, and 30%) were produced using the processes described in Figure 21.
- -
- DGEBA was warmed at 80 °C for about 30 min with vigorous mechanical stirring.
- -
- Addition of BCI: The determined amount of BCI was progressively added to the preheated EP at 80 °C while stirring to scatter it and create a homogenous mixture.
- -
- The stoichiometric amount of 4,4ʹ-diaminodiphenylmethane (DDM) was added to the DGEBA/BCI mixture using magnetic stirring until it was homogenous.
- -
- The clear homogenous solution was degassed with a vacuum pump and an ultrasonic device to remove any air bubbles that could interfere with the specimen’s properties.
- -
- To prevent sticking, the degassed a mixture was put into hot stainless-steel molds that had been coated with a release agent.
- -
- The blend-containing molds were cured at temperatures ranging from 100 °C to 200 °C for 1 h each to speed up the curing reaction and solidification of the composites.
- -
- The mechanical and thermal properties of the cured samples were evaluated using a variety of characterization techniques, including Fourier transform infrared spectroscopy (FTIR), Thermogravimetric analysis (TGA), Dynamic mechanical analysis (DMA), Scanning electron microscopy (SEM), tensile testing, impact testing, and bending testing.
- -
- The epoxy group in the EP reacts with the amino group in the DDM during the curing process. This reaction results in the creation of chemical bonds between the epoxy and amino groups, which cross-links the polymer network.
- -
- In the FTIR spectra, typical peaks of the EP group at specific wavenumbers disappear, showing that epoxy groups are consumed as a result of the reaction with amino groups (Figure 22a).
- -
- This study also found a Michael addition reaction between the group the double bond in the BCI and curing agent’s amino (DDM).
- -
- This reaction involves adding an amino group to the BCI double bond, which results in the formation of additional chemical bonds and contributes to the modified epoxy system’s toughening mechanism.
- -
- The FTIR spectra revealed characteristic peaks corresponding to the reaction between the double bond in BCI and the amino group, suggesting the presence of the Michael addition reaction (Figure 22b).
- -
- This study discovered a thorough response of the two intermediate products, the EP/DDM and BCI/DDM systems, in epoxy/BCI composites.
- -
- The FTIR spectra of the EP/BCI/DDM materials showed characteristic peaks caused by the reactions between EP and DDM, BCI and DDM, and interactions between the intermediate products.
- -
- The shifts in typical peaks in the FTIR spectra showed complicated chemical interactions and reactions occurring in the modified epoxy system, resulting in the development of a new composite material with improved properties (Figure 22c).
- -
- During the curing process, chemical reactions occur in the EP/BCI materials, resulting in the creation of stronger chemical bonds.
- -
- The reactions involving the epoxy groups, amino groups from the curing agent, and double bonds in BCI produce a well-crosslinked network with improved intermolecular interaction.
- -
- The addition of BCI to the epoxy resin significantly reduces internal stress in the composite.
- -
- BCI increases the cross-linked network’s free volume, allowing for increased molecular chain movement.
- -
- This reduction in internal stress and greater free volume improves the composite’s flexibility and toughness, particularly at cryogenic temperatures.
- -
- BCI, with a unique molecular structure and properties, serves as a toughening agent in the EP system.
- -
- The methyl group in BCI changes the symmetry of the chemical structure, increasing solubility and processing capacities.
- -
- The methyl group’s steric hindrance improves BCI’s impact strength and toughness when compared to standard toughening agents like BMI.
- -
- BCI’s mechanism for improving tensile characteristics was mostly based on energy dissipation [43]. The formation of microcracks and voids induced by BCI debonding was the primary source of energy loss. Nonetheless, unlike previous research, the current study’s BCI was covalently attached to epoxy cross-linked networks rather than simply blending, resulting in stronger interfacial adhesion and easier motility (Figure 23). As a result, applying an adequate amount of BCI increased EP’s tensile qualities significantly.
- -
- The addition of BCI significantly increases the cryogenic tensile strength, fracture toughness, impact strength, and bending strength of EP materials.
- -
- At 77 K, the EP/BCI materials shown significant gains in tensile strength, bending strength, fracture toughness, and impact strength over pure EP, making them appropriate for cryogenic applications.
4.1.2. Polyethylene Glycol (PEG)
- -
- To create a homogenous mixture, 60 g of DGEBA was initially combined with different quantities of PEG-4000 (3.2, 6.7, 10.6, as well as 15.0 g), and the mixture was agitated at 60 °C for 30 min.
- -
- After adding 1.5 g of accelerator benzyl dimethylamine (BDMA) along with 60 g of methyltetrahydrophthalic anhydride (MeTHPA) to the PEG-4000/EP mixtures at 60 °C, the mixtures were vacuum-degassed for 30 min.
- -
- Homogeneous solutions were made and poured into an 80 °C steel mold that had been warmed. After that, they were cured for two hours at 130 °C, ten hours at 150 °C, along with five hours at 170 °C.
- -
- ASTM D638-96 along with ASTM D-256 standards [5] were followed in the preparation of the dumbbell-shaped tensile as well as impact specimens, respectively.
- -
- To conduct impact testing at 77 K, samples were dipped in liquid nitrogen for more than 10 min before testing.
- -
- The samples were characterized using positron annihilation lifetime spectroscopy (PALS) and SEM to evaluate free volume and fracture surfaces, respectively.
- -
- The positronium lifetime (τ3) values increase with increasing PEG-4000 content in the modified EP materials.
- -
- This suggests that the average size of free volumes in PEG-4000 modified epoxy materials improves as the PEG-4000 content increases.
- -
- The increase in τ3 values suggests a correlation with the enhanced mechanical properties, such as ductility and influence resistance, observed in the modified epoxy system.
- -
- Modified EP materials have significantly higher intensity (I3) values than unmodified EP materials. This means that the PEG-4000 modified EP networks have a higher concentration of free volumes than the unmodified system.
- -
- The higher concentration of free volumes in the modified EP sample may contribute to improved energy absorption and impact resistance at cryogenic temperatures.
- -
- The addition of PEG-4000 to EPs creates flexible segments that remain active at low temperatures (77 K). These flexible portions serve to minimize internal stress in the material, allowing for greater deformation before fracture. This greater ductility contributes to higher cryogenic tensile strengths.
- -
- PEG-4000 modification permits free volumes to exist within the cured epoxy system, even at cryogenic temperatures. These free volumes enable the material to absorb energy by allowing for molecular motion during low-temperature impact events. This energy absorption process increases the cryogenic tensile strength of the modified EP sample.
- -
- The modified EP sample with a specified PEG-4000 content exhibits the highest impact strength at 77 K. This implies that there is an ideal PEG-4000 concentration for maximizing the epoxy resin’s cryogenic tensile strength. Beyond this ideal percentage, any increases in PEG-4000 may not give significant benefits and could potentially the material’s mechanical performance.
4.1.3. Polybutylene Terephthalate, Polyetherimide, and Polycarbonate
- -
- The polyetherimide (PEI) or polycarbonate (PC) modification process involves dissolving PEI or PC in dichloromethane, mixing the solution into the epoxy YD-128 (DGEBA) at RT, degassing the mixture in a vacuum oven at 80 °C, adding the curing agent (polyoxypropylenediamine) while stirring, and curing the blend at 80 °C for 4 h.
- -
- The polybutylene terephthalate (PBT) modification process involves adding PBT directly into the epoxy, heating the mixture to 170 °C, adding the curing agent while stirring, and curing the blend at 80 °C for 4 h.
- -
- The preparation of CF/modified epoxy composites involves preparing symmetric laminates with nine plies of carbon fabric and fabricating the composite using vacuum-assisted resin transfer molding (VARTM).
- -
- The impact strengths of thermoplastic-modified epoxies (PC, PBT, and PEI) at 77 K were higher than those of the pristine EP.
- -
- The modified epoxy’s cryogenic impact strength increased as the thermoplastic percentage increased up to 1.5 wt%.
- -
- At CT, the PEI-modified EP demonstrated the maximum impact strength value, which was 45% higher than the pristine EP.
- -
- At RT, the thermoplastics modified epoxies outperformed the neat epoxy in terms of impact strength.
- -
- The impact strength at RT increased as the thermoplastic component increased to 1.5 wt%.
- -
- At RT, the impact strength of the PEI-modified EP increased by approximately 59% over that of the pristine EP.
- -
- The glass transition temperatures (Tg) (°C) for neat epoxy, PEI modified epoxy, PC modified epoxy, and PBT modified epoxy are 77.98 °C, 82.13 °C, 80.65 °C, and 81.77 °C, respectively (Figure 28a).
- -
- The coefficient of thermal expansion (CTE) reduction (%) for PBT modified epoxy, PEI modified epoxy, and PC modified epoxy is 14%, 17%, and 23%, respectively (Figure 28b).
- -
- The storage modulus (MPa) at −150 °C for neat epoxy, PEI modified epoxy, PC modified epoxy, and PBT modified epoxy is 4000 MPa, 5025 MPa (30% higher), 4733 MPa (21% higher), and 4539 MPa (17% higher), respectively (Figure 28c).
- -
- Microcracks propagate normal to the carbon fibers along their length, beginning at the laminate’s outside border and ending at the 0°/90° ply interface. Micro-cracks appear to be wider in the neat EP laminate than in the thermoplastic modified epoxy laminates.
- -
- PBT-induced toughening improved the laminates’ microcrack resistance slightly.
- -
- The PC modified epoxy demonstrated excellent bonding with the EP composite, resulting in increased energy absorption during crack propagation. The dispersed PC reduced the crack density by approximately 37%.
- -
- A phase-separated morphology is visible in the PEI modified epoxy, indicating effective toughening and reduced crack density by about 37%.
4.1.4. Polyurethanes
- -
- The epoxy matrix is formed by mixing the EP and the curing agent.
- -
- To toughen the matrix, the epoxy resin is mixed with hydroxyl-terminated polyurethane (HTPU1 or HTPU2).
- -
- The EP matrix is applied to the CFs using a hand paste method.
- -
- CFRP composites are produced in unidirectional [0°] and [90°/0°/90°] stacking sequence designs.
- -
- The matrices are cured using a hot-press method.
- -
- The curing process begins with 90 min of curing at 80 °C, followed by another 90 min at 140 °C.
- -
- CFRP matrices are post-cured at 140 degrees Celsius for 90 min under a pressure of 5 MPa.
- -
- The contact angles were determined using the micro-Wilhelmy method.
- -
- The average contact angles were 34.3 ± 2.1° for CF-EP, 31.6 ± 1.8° for CF-EP/HTPU1, and 33.9 ± 1.9° for CF-EP/HTPU2.
- -
- The results showed that the presence of HTPU1 and HTPU2 slightly decreased the average contact angle compared to neat EP.
- -
- The decreased contact angle could be due to the lower viscosity of the modified epoxy with HTPU, as well as the chemical similarity between EP/HTPU and the sizing agent on CF surfaces, which improves wettability.
- -
- The transverse (90°) tensile stress–strain graphs of CFRP and CF/EP/HTPU materials were studied at RT and 77 K.
- -
- The stress–strain curves showed linear elastic behavior until failure due to interfacial debonding between CFs and matrix.
- -
- The transverse tensile strength and fracture strain of CF/EP/HTPU materials were compared to pure CFRP composites.
- -
- The results showed that the CF/EP/HTPU composites had higher tensile strength and fracture strain at both RT and 77 K compared to the neat composites.
- -
- The longitudinal tensile properties of the CF/EP/HTPU materials were also assessed.
- -
- The addition of HTPU1 and HTPU2 improved the composites’ tensile strength and fracture strain at both RT and 77 K.
- -
- The CF/EP/HTPU2 composite has the highest tensile strength of any composite at both temperatures due to its unique failure process involving rubber-like particles and cavitations.
- -
- In contrast to the explosive fracture mode at RT (Figure 32a), the CFRP materials’ cryogenic fracture modes (Figure 32b) included splitting, partial CF fracture, and edge delamination. As a result, CFs’ tensile strength was not fully utilized at CT. As a result, the tensile strength and fracture strain of CF/EP/HTPU materials will significantly decrease at 77 K [47]. CF/EP/HTPU2 also had a higher longitudinal tensile strength than CF/EP/HTPU1 at both RT and 77 K.
- -
- The tensile modulus of CF/EP/HTPU1 was slightly greater than that for standard CFRP composites, whereas CF/EP/HTPU2 had a minor decrease.
- -
- The CF/EP/HTPU1 system‘s flexural strength rose approximately 15% at RT in comparison to the pristine system.
- -
- The CF/EP/HTPU2 system‘s flexural strength dropped by around 6% at RT.
- -
- The CF/EP/HTPU1 and CF/EP/HTPU2 composites’ cryogenic flexural strengths were marginally higher than those of pristine CFRP systems, which enhanced the adherence of the matrix to the CF interfacial.
- -
- Compressive fracture in the top part of the area was the main cause of the virgin CFRP and CF/EP/HTPU systems’ failure at RT, as seen in Figure 32c. The tighter CF/EP interface resulting from the thermal contraction of the EP matrix led both tensile and compressive fractures to develop simultaneously inside the upper and lower half-regions at 77 K, as seen in Figure 32d. The two main failure types found were delamination and fiber fracture, indicating that delamination needed more energy [48,49].
- -
- The flexural moduli of the CF/EP/HTPU1 and CF/EP/HTPU2 matrices increased slightly when compared to neat CFRP matrices.
- -
- The improvement in flexural modulus was minimal, demonstrating that toughening with HTPU had little to no effect on the composites’ flexural stiffness.
- -
- The EP/HTPU1 composite has a better tensile strength than the CF/EP/HTPU2 system at both RT and 77 K.
- -
- The tensile strength improvement in EP/HTPU1 composite was attributed to HTPU1′s toughening impact on the EP matrix, which resulted in improved interfacial bonding with CFs.
- -
- The CF/EP/HTPU2 system has a lower tensile strength than the EP/HTPU1 composite at both RT and 77 K.
- -
- The increased tensile strength in the CF/EP/HTPU2 composite was attributed to a unique failure mode involving rubber-like particles and cavitations, which contributed to the composite’s overall mechanical properties.
4.1.5. Polysiloxanes
- -
- DMDMS (0.18 mol) was added to a round-bottomed flask and swirled at 60 °C.
- -
- Dropwise additions of dilute HCl (2 mL) were made, and the reaction was held at 60 °C for 3.0 h.
- -
- After adding KH560 (0.18 mol), diluted HCl (22 mL) was added dropwise.
- -
- At 60 °C, the reaction continued for approximately ten hours.
- -
- To obtain the product EPSE, H2O and CH3OH (a by-product) were removed for approximately two hours at 80 °C under decreased pressure.
- -
- EPSE-epoxy resin (8 wt%) was introduced into the vacuum bag via the inlet.
- -
- The resin was applied uniformly throughout the bag to impregnate the carbon fabrics.
- -
- The composite laminate was cured at prescribed temperatures.
- -
- Temperatures ranged from 100 °C for 2 h to 160 °C for 4 h.
- -
- The addition of EPSE significantly increased the EP matrix’s failure strain at both RT and 77 K.
- -
- At RT, an EPSE concentration of 8 wt% improved the epoxy matrix’s failure strain by 69.4%.
- -
- The EP matrix’s fracture toughness (KIC) value at RT and 77 K increased by 10.4% with the appropriate amount of EPSE.
- -
- The flexible EPSE increased crack resistance and released more fracture energy in the EP matrix.
- -
- The CF/EPSE-EP laminate has a higher flexural strength than the CF/neat EP laminate at 77 K.
- -
- EPSE’s flexible molecular chains reduced thermal stress at the CF/matrix contact, resulting in increased laminate flexural strength at cryogenic temperatures.
- -
- The flexural strength of the CF/EPSE-EP matrix laminate reached its peak as the number of thermal cycles increased.
- -
- Thermal cycling caused interface debonding and microcracks, which contributed to changes in the composite laminate’s flexural strength.
- -
- (a) RT: The SEM image at RT shows a comparatively smooth fracture surface for the neat epoxy resin, showing a low barrier to crack progression.
- -
- (b) 77 K: At 77 K, the SEM picture shows a few crack propagation streaks, indicating some resistance to crack formation at CT.
- -
- (c) RT: At RT, the SEM picture displays a rough fracture surface with denser crack propagation streaks at 45°, indicating increased crack development resistance and a more ductile failure mode.
- -
- (d) 77 K: The SEM image at 77 K shows a relatively rough fracture surface with denser crack propagation streaks, indicating enhanced crack propagation resistance and higher energy dissipation than neat epoxy at CT.
- -
- (e) RT: The optical micrograph following the flexural test at RT reveals matrix debonding and fiber shear breaking, showing the laminate’s failure mode under flexural load at RT.
- -
- (f) At 77 K, the optical micrograph shows delamination, indicating a layer-by-layer breakdown pattern with higher thermal stress at CT.
- -
- (g) RT: The optical micrograph after the flexural test at RT reveals a failure pattern comparable to the CF/neat epoxy laminate, with matrix debonding and fiber shear breaking.
- -
- (h) 77 K: At 77 K, delamination is also seen in the optical micrograph of the CF/EPSE-EP laminate, indicating a layer-by-layer failure mode similar to the neat epoxy laminate at CT.
4.1.6. Hyperbranched Polymers
- -
- The DGEBA (DER332)/methyl nadic anhydride (MNA) (DER332/MNA) mixture was treated with hyperbranched polymer (H204).
- -
- The mixture was swirled for two hours at 120 °C.
- -
- The content of polyester H204 in the mixture varied from zero to 10% in weight.
- -
- The H204/EP mixtures were treated with accelerator (K54) (1 wt%), an accelerator.
- -
- After removing bubbles with a vacuum rotary pump, the mixture was poured into a preheated mold set to 85 °C.
- -
- The samples were cured for 16 h at 80 °C, followed by 4 h at 100 °C and 6 h at 125 °C.
- -
- At RT, tensile strength reduced with the incorporation of 2.5 wt% HPB but remained constant as HPB content increased.
- -
- At 77 K, tensile strength increased with HPB content, peaking at 74.37 MPa with 7.5 wt% HPB, which is 29.9% higher than that of neat EP. At 77 K, thermal shrinkage decreases the free volume of hyperbranched HPB in the matrix, but still remains (Figure 36).
- -
- The use of HPB decreased the crosslinking density of the matrices, influencing their tensile strength at RT.
- -
- At RT, the tensile modulus did not change significantly with HPB content, whereas the cryogenic modulus increased at 77 K due to increased intermolecular adhesion.
- -
- The composites’ impact strength increased by 41.8% at RT and 59.4% at 77 K as compared to pure epoxy resin.
- -
- The cryogenic impact strength of the composites was greater than that of epoxy resin, showing increased toughness at low temperatures.
- -
- At 77 K, the flexible ester group in HPB is not fully frozen [51,52]. The impact energy can still be used by segmental movement, and the smaller free volume at 77 K [51,52] can still absorb a large amount of energy. Both of these properties will improve the cryogenic impact strength of HPB/epoxy composites. At 77 K, the free volume remains, albeit smaller (see Figure 36).
- -
- The compression strength correlated negatively with the size of the free volume hole, demonstrating that larger free volume holes were associated to decreased compression strength.
- -
- The composites’ mechanical properties were linked to their relative fractional free volume.
- -
- At 77 K, the impact strength, tensile strength, and tensile modulus all showed a positive correlation with the relative fraction of free volume.
- -
- Increasing the relative fraction of free volume improved the HPB/EP composites’ impact and tensile properties.
4.1.7. Block Copolymers (BCP)
- -
- The BCP is first dried in an oven at a specific temperature (e.g., 110 °C) for a certain duration (e.g., 3 h) to remove any moisture and ensure optimal performance during blending.
- -
- The dried BCP is blended into the epoxy resin at different concentrations (e.g., 1.0 wt%, 2.5 wt%, 5.0 wt%). The blending process involves constant stirring of the mixture at an elevated temperature (e.g., 90 °C) for a specified duration (e.g., 12 h) to achieve complete dissolution and uniform dispersion of the BCP within the epoxy matrix.
- -
- After the stirring process, the mixture may undergo multiple passes of calendaring to further enhance the dispersion of BCP within the epoxy resin. Calendaring helps improve the distribution of BCP particles and promotes better interfacial interaction between the BCP and EP components.
- -
- Once the BCP is well dispersed in the epoxy resin, a curing agent is added to the mixture at the recommended resin-to-hardener ratio (e.g., 100:30). The curing agent initiates the crosslinking reaction in the epoxy resin, leading to the formation of a cured network structure.
- -
- The BCP/EP blend is subjected to vacuum degassing at RT for a specific duration (e.g., 30 min) to remove any entrapped air bubbles. Vacuum degassing helps improve the quality of the nanocomposite by eliminating voids and ensuring proper impregnation of BCP within the epoxy matrix.
- -
- The BCP/EP blend is cured following a specific curing process recommended by the supplier. This curing process typically involves an initial curing stage at a certain temperature (e.g., 25 °C) for a specified duration, followed by post-curing at a higher temperature (e.g., 120 °C) for a defined period (e.g., 14 h) to achieve the desired mechanical properties and performance of the nanocomposite.
- -
- Multiple layers of unidirectional (UD) dry carbon fiber sheets are stacked onto a mold or substrate.
- -
- The BCP-modified epoxy resin is infused into the carbon fiber layers using vacuum assistance for proper impregnation and consolidation.
- -
- The composite laminate is cured under specific temperature and pressure conditions to achieve desired mechanical properties and microstructure.
- -
- According to the experimental findings, adding a BCP to an EP matrix considerably raises the matrix’s fracture energy by 392% at CT and 563% at ambient temperature. Even in configurations that are prone to microcracking, material laminates created with the BCP-modified may survive CT without matrix microcracking. The enhanced fracture resistance of the material is responsible for the toughening effect of the nanostructured block copolymer at CT.
- -
- The production of free volume in the EP matrix, which reduces brittleness, is one of the toughening processes of BCP at CT. Higher toughness at CT is exhibited by BCP components such polybutadiene and polymethylmethacrylate (PMMA), which adds to the improved toughening effectiveness of BCP.
- -
- Figure 38 shows a graph that contrasts the increase in fracture toughness at CT with RT for both rigid along with soft fillers. In general, rigid particles are proven to have a stronger toughness improvement at CT than at RT. This implies that stiff fillers have a stronger toughening impact in colder climates. Conversely, soft particles perform less well at toughening at CT than at RT. This could be attributed to the reduced effectiveness of the toughening mechanisms associated with soft fillers in extreme cold conditions. While high-stiffness fillers like nanosilica, graphene, and CNTs have been reported to toughen EP at CT, low-stiffness, soft particles may lose their toughening effectiveness at such low temperatures. BCP is highlighted as a promising toughening agent in epoxies, showing effectiveness at RT and demonstrating improved toughening efficiency at CT compared to other soft particles. The discussion highlights the contrasting behavior of rigid and soft fillers in enhancing fracture toughness at different temperatures. While rigid fillers show better performance at CT, soft fillers are more effective at RT. Understanding the temperature-dependent toughening behavior of fillers is crucial for optimizing the mechanical properties of nanocomposites for specific applications that involve varying temperature conditions.
- -
- The fracture energy of BCP-modified epoxy shows a significant increase at −196 °C, with the BCP concentration playing a crucial role in enhancing toughness. Figure 39 depicts the fracture surfaces of CFRP with both a pure and BCP-modified composite. The unmodified epoxy and carbon fiber resulted in evident debonding, as illustrated in Figure 39a,d [54]. The smooth EP phase is found in the space between the fibers. In a similar vein, Figure 39b,e’s laminate with a BCP-modified system displayed typical fiber–matrix debonding. The fibers encountered cohesive fracture failure on the surface when they were wrapped in the modified EP system [55]. Figure 39c–f shows how the fracture surfaces of polymers are different from those of plain EP, with BCP-rich phases evidently scattered throughout. The more ductile fracture model of the laminates created with BCP-modified EP is seen in Figure 39c, where BCP micelles debond and develop voids.
- -
- The BCP was unable to affect the interlaminar fracture energy of the matrix, but it was possible that they may effectively inhibit through-thickness microcracking at CT because of their ability to significantly increase system fracture energy. This is easily seen in Figure 40, which shows transverse microcracking due to thermally generated stress in the 90° inner layer of [04/904]s laminates with a modified EP system consisting of different BCP loadings, following 45 min of liquid nitrogen cooling. As seen in Figure 40a,b,d, through-thickness microcracks are clearly visible in the unmodified laminate as well as laminates with 1.0 wt% along with 5.0 wt% BCP. As seen in Figure 40c, through-thickness fractures were absent from laminates having an EP matrix containing 2.5 weight percent BCP. Agglomeration happens when the BCP concentration is higher than 2.5 weight percent, such at 5.0 weight percent, because the microcracks diverge. The aggregation process has left some parts of the matrix with either very little or no BCP. These matrix sections therefore continue to be untoughened or just slightly toughened. Consequently, at liquid nitrogen temperatures, the ideal BCP loading is 2.5 weight percent, which successfully reduces matrix microcracking.
4.2. Nanomaterials
4.2.1. CNTs and MWCNTs Nanoparticles
- -
- The preparation of MWCNT/EP blends involved mixing MWCNTs into the DGEBA epoxy resin using a Planetary Ball Mill. Various MWCNT contents (0, 0.2, 0.5, 0.8, and 1.0 wt%) were blended with the EP at 60 °C for 6 h.
- -
- The preparation of CF bundles involved treating T-300 carbon fibers (CFs) with acetone to remove the sizing agent before vacuum drying, after which the dry CF bundles were placed in molds to undergo transverse tensile testing.
- -
- The sample fabrication process involved making CF-containing molds by fixing the CFs before adding the mixtures (Figure 42). The specimens were then cured at 80 °C for 6 h, followed by 5 h of post-curing at 130 °C, and subsequently cooled to RT.
- -
- In the vertical view (Figure 43a), a bundle of CFs is connected to both ends of a slide glass with adhesive to ensure the CFs remain straight. A drop of the MWCNT/EP mixture is carefully squeezed out of a syringe and applied to the CF surface, causing the liquid drop to spread over the CF surface and form a partly spherical droplet due to surface tension.
- -
- In the side view (Figure 43b), a different perspective on the contact angle measurement technique is provided. The contact angle is calculated using image analysis software (CAST 2.0), which employs image recognition technology to identify key locations on the droplet, including the right-end point, vertex, and left-end point. The droplet’s width (2r) and height (h) are determined from the coordinates of these points, and the contact angle (θ) is calculated using the formula: θ = 2 arctan (h/r).
- -
- The contact angle measurements show that the average contact angles for 0 wt%, 0.2 wt%, 0.5 wt%, 0.8 wt%, and 1.0 wt% MWCNTs are approximately 76.40°, 69.29°, 63.34°, 66.45°, and 67.17°, respectively.
- -
- The contact angle trend shows an initial decrease with the addition of MWCNTs, reaching a minimum at 0.5 wt% MWCNT content, followed by a gradual increase as the MWCNT content increases. This change in contact angle is attributed to the dispersion and viscosity effects of MWCNTs in the epoxy (EP) matrix.
- -
- 0 wt% MWCNTs have a transverse tensile strength of 39.3 MPa at RT and 48.9 MPa at 77 K.
- -
- Adding 0.5 wt% MWCNTs increases transverse tensile strength by 29.3% to 50.8 MPa at RT and 51.7% to 74.2 MPa at 77 K.
- -
- Transverse tensile strength decreases at both RT and 77 K as the MWCNT content beyond 0.5 wt%.
- -
- The transverse tensile strength follows a similar trend to the contact angle measurements as the MWCNT content increases.
- -
- The greatest improvement in transverse tensile strength is shown at 0.5 wt% MWCNTs, demonstrating better interfacial adhesion at this concentration.
- -
- MWCNTs at an appropriate content improve the cryogenic interfacial normal bond property between CFs and the EP matrix.
- -
- At CT (77 K), all CF/EP composites exhibit brittle fracture behavior, resulting in smooth fracture surfaces.
- -
- Before introducing CNTs into the EP matrix, a little amount of matrix is connected to the CF surfaces.
- -
- After introducing MWCNTs to the epoxy resin, matrix fragments were observed to adhere to the fiber surfaces.
- -
- At 0.5 wt% MWCNT content, the greatest quantity of matrix is bound to the CF surfaces, resulting in improved transverse tensile strength in the composite.
- -
- When the MWCNT content is increased to 1.0 wt%, the viscosity of the CNT/EP mixture significantly increases, making uniform MWCNT dispersion in the EP matrix difficult. This increases CNT aggregates and stress concentrations, resulting in smoother fracture surfaces and decreased interfacial adhesion strength.
- -
- A flask is filled with raw MWCNTs and a specified ratio of H2SO4 and HNO3 acid. The combination is heated and maintained at a specific temperature for a set time. The oxidized MWCNTs are separated, rinsed until neutral pH, and dried. O-MWCNTs are dispersed in deionized water (DI) water and purged with nitrogen. A solution of FeCl3·6H2O and FeSO4·7H2O in DI water is added to the flask. The mixture is transferred to a water bath for more processing (Figure 46a).
- -
- R-MWCNTs (also known as O-MWCNTs or Fe3O4/O-MWCNTs) are vacuum-mixed and sonicated with EP. A curing agent is added to produce a homogenous system (Figure 46b). The mixture is cast into a mold and let to cure at RT before being post-cured in an oven.
- -
- Laminates are prepared using the VARTM technique. During crosslinking, the sample is placed in a magnetic field that remains constant. The post-curing process is done in an oven (Figure 46c).
- -
- Describes the behavior of a CF/EP laminate without any CNT modification (Figure 47a).
- -
- Demonstrates fracture propagation characteristics in a CF/EP laminate using R-MWCNTs. The weak interaction between R-MWCNTs and the epoxy matrix causes cracks to deflect toward the R-MWCNT interface. Crack deflection improves energy absorption and fracture toughness (Figure 47b).
- -
- Shows how cracks propagate in a CF/EP laminate that has been modified using O-MWCNTs. The incorporation of -OH and -COOH groups to the surface of O-MWCNTs promotes covalent interaction with the EP matrix, increasing load transfer capabilities and causing micro-cracks to zigzag in the laminates (Figure 47c).
- -
- Illustrates the crack propagation behavior in a CF/EP laminate modified with Fe3O4/O-MWCNTs. The oriented Fe3O4/O-MWCNTs prevent matrix cracks from extending along the force direction, leading to improved mechanical properties and crack suppression (Figure 47d).
4.2.2. GO Nanoparticles
- -
- The CFs were refluxed in acetone at 80 °C for 72 h in order to eliminate impurities. The CFs were sonicated in deionized water for an hour in order to remove any leftover sizing agent. After that, they were washed multiple times with deionized water and dried in a vacuum for five hours at 90 °C.
- -
- Using a hand paste technique, the treated CFs were covered with the GO-modified EP matrix. For further processing, eight impregnated CF layers were placed in a mold in a [0°] configuration.
- -
- For 1.5 h, the stacked CF/GO-modified EP composite was allowed to cure at 80 °C. After that, it was pressure-cured for 1.5 h at 140 °C (5 MPa). In order to guarantee a thorough chemical reaction among the EP including the curing agent and the creation of a fully cross-linked matrix, the materials were lastly post-cured for ten hours at 130 °C.
- -
- To examine their impacts on mechanical characteristics, different GO amounts (0.0, 0.05, 0.1, 0.2, 0.35, along with 0.5 wt%) were incorporated to the EP matrix of CF/EP composites.
- -
- The ASTM D 7264 standards [61] were followed in cutting the samples from matrix plates for the three-point bending mechanical testing such that they were around 80 mm long, 12.5 mm wide, and 2 mm thick.
- -
- The flexural characteristics of CFRP composites at RT were linearly elastic until the maximum load was reached, at which point they failed with a jagged shape.
- -
- The addition of GO to the EP matrix altered the fracture pattern and offered higher energy dissipation than GO-free CFRP materials at RT.
- -
- At 77 K, the flexural characteristics of CFRP composites showed a significant decrease in load, followed by catastrophic failure.
- -
- The maximum flexural load and displacement at 77 K were much higher than at RT, with CF/0.2 GO-modified EP having a maximum load and displacement that was double that of RT.
- -
- Flexural strength and modulus at 77 K increased with GO content, achieving maximum values at 0.2 wt% GO content.
- -
- At both RT and 77 K, the ILSS of CFPR materials peaked at 0.2 weight percent GO content, having originally risen with GO concentration.
- -
- At RT and 77 K, the inclusion of GO to the EP matrix increased the ILSS by around 17.6% and 8.7%, respectively.
- -
- The formation of H-bonds between GO, EP matrix, and CF resulted in a rise in ILSS, which indicated increased interfacial bonding among the EP matrix as well as CFs.
- -
- At RT, the side view of the macroscopic failure morphology of the CFRP samples revealed delamination and compressive fracture mostly in the top layers of the CF/EP composite.
- -
- The CF/EP matrix showed compressive fracture with some delamination at the top layers, indicating a failure mechanism under bending stress at RT.
- -
- At 77 K, all composites tested experienced both compressive (top layer) and tensile (bottom layer) fractures.
- -
- Compressive and tensile fractures, as well as delamination and fiber fracturing, were observed in CFRP samples at 77 K testing conditions.
- -
- At 77 K, the CF/0.2 GO-modified EP composite showed less delamination and more severe fiber breaking in the tensile fracture region than other composites, demonstrating that GO is beneficial in preventing debonding between CFs and EP matrix under CT.
- -
- This process involves dispersing GO in acetone and then mixing it with EP to form a GO-reinforced EP system.
- -
- The dispersion of GO in the material improves the mechanical properties of the composite by enhancing stress distribution and interfacial adhesion between the matrix and carbon woven fabric (CWF).
- -
- This approach is successful at improving the overall mechanical properties of CFRP matrices, particularly their strength and stiffness.
- -
- Electrophoretic deposition (EPD) is utilized to apply GO directly to the surface of CWF.
- -
- Coating GO onto the CWF surface enhances interfacial adhesion between the reinforcement and matrix, resulting in better transfer of load and mechanical properties for the composites.
- -
- This approach guarantees that GO is distributed uniformly across the surface of the CWF, which can help to improve mechanical performance.
- -
- GO-CWF method tends to be more in improving the mechanical characteristics of CFRP materials compared to the GO-EP method.
- -
- The CWF is first processed by refluxing it in acetone at 80 °C for 72 h to eliminate any impurities.
- -
- It is then rinsed with deionized water and dried in a vacuum oven at 80 °C for 3 h to remove the sizing agent, yielding de-sized CWF.
- -
- To ensure uniform dispersion, GO is dispersed in acetone followed by 3 h of sonication.
- -
- The GO-acetone mixture is then combined with epoxy resin and agitated at 60 °C for 6 h to eliminate excess acetone.
- -
- The mixture is then agitated at 25 °C for 3 h to produce a homogeneous GO-reinforced EP mixture known as GO-EP.
- -
- EPD is utilized to coat GO on the surface of CWF.
- -
- The cathode is an aluminum plate, while the anode is a piece of CWF.
- -
- The EPD procedure is carried out for 15 min at a constant voltage of 10 V with sonication to effectively disperse GO in ethanol.
- -
- To produce GO-coated CWF (GO-CWF), the coated CWF is dried in a vacuum oven at 50 °C for 24 h following deposition.
- -
- GO-EP is infused with de-sized CWF, while GO-CWF is infused with EP via the VARIM.
- -
- To achieve complete cross-linking in the matrix, the composites are pre-solidified at RT in a vacuum for 24 h before being post-cured in a vacuum oven at 60 °C for 6 h.
- -
- The composites are subsequently cut into specimens for mechanical testing in accordance with ASTM D790 [62].
- -
- GO-EP/CWF systems exhibit flexural strengths of 523.67 MPa at RT and 508.09 MPa at CT.
- -
- GO-CWF/EP composites show even higher flexural strength values (609.54 MPa at RT and 602.66 MPa at CT).
- -
- The addition of GO enhances flexural strength, with GO-CWF/EP composites showing superior performance.
- -
- Pristine composites exhibit a flexural modulus of 51.73 GPa at RT and 46.23 GPa at CT.
- -
- GO-EP/CWF composites exhibit a flexural modulus of 54.4 GPa at RT and 52.16 GPa at CT.
- -
- GO-CWF/EP composites exhibit the highest flexural modulus values, measuring 58.21 GPa at RT and 57.00 GPa at CT.
- -
- The addition of GO to the composites increases the flexural modulus, with GO-CWF/EP composites showing the greatest improvement.
- -
- GO-CWF/EP matrices outperform GO-EP/CWF matrices at RT and CT by 16.40% and 18.61%, respectively.
- -
- The presence of GO on the surface of CWF improves the mechanical properties of the matrices by forming a strong bond between CWF and the EP matrix, resulting in better interfacial adhesion and stress transfer.
4.2.3. SiO2 Nanoparticles
- -
- By ultrasonically dispersing it in ethanol (C2H5OH), the nano-SiO2 dispersion solution was created. After that, the dispersion solution was added to a 250 mL three-necked round-bottom flask that was equipped with a reflux condenser along with an electromagnetic stirrer. At the same time, 8.15 g of DMDPS, 12.03 g of DMDMS, along with 23.60 g of KH560 were added. 16 mL of a diluted HCl solution (pH ≈ 2) was added dropwise while stirring after the mixture had heated to 60 °C. The co-hydrolytic reaction of condensation was allowed to finish by keeping the resultant mixture at 60 °C for an additional 12 h. Subsequent reactions were conducted for approximately one hour at 80 °C under decreased pressure in order to remove the generated methanol and water.
- -
- By ultrasonically dispersing EFPS/nano-SiO2 in C2H5OH at RT, a homogeneous EFPS/nano-SiO2 solution was created.
- -
- The NPEF-170 EP was then added to the C2H5OH solution containing the specified amounts of EFPS/nano-SiO2, and it was rapidly stirred for 30 min at 25 °C. For thirty minutes, keep stirring at 80 °C to further disperse the nano-SiO2 and eliminate the C2H5OH. Using a vacuum oven set at 80 °C, the residual ethanol in the EP mixture was extracted.
- -
- The EP mixture was then mixed with a determined amount of DDM, the curing agent, and heated to 80 °C until homogeneity was reached. The mixture was put in a Teflon mold along with cured at 100 °C for two hours, 130 °C for two hours, along with 160 °C for four hours after degassing in a vacuum oven.
- -
- The VARTM process was utilized to manufacture the CF-reinforced epoxy laminate.
- -
- Six plies of the 50 cm by 50 cm CF fabric were laid on a hot plate that had been warmed.
- -
- The carbon textiles were covered with a layer of peel ply and distribution mesh, and then the laminate was sealed with a vacuum bag.
- -
- Using the vacuum assistance approach, the carbon fabric was impregnated with an EP matrix containing 5.0 weight percent EFPS/Nano-SiO2. The resulting composite was subsequently dried at 100 °C for two hours, 130 °C for two hours, and 160 °C for four hours.
- -
- The greatest tensile strength of the EFPS/Nano-SiO2 EP materials was 203.82 MPa at 90 K and 98.80 MPa at RT. These were greater than the pure EP by 9.30% as well as 17.07%, respectively (90.39 MPa at RT as well as 174.10 MPa at 90 K).
- -
- The epoxy composites’ elastic modulus rose with the addition of EFPS/nano-SiO2, increasing their stiffness and structural integrity.
- -
- In terms of failure strain, the EFPS/Nano-SiO2 EP matrices fared better than the clean EP, exhibiting increased ductility as well as deformation capacity.
- -
- The creation of plastic voids and nano-SiO2 debonding, two energy dissipation mechanisms, were responsible for the significant increase in fracture toughness of the EFPS/nano-SiO2 EP matrices. Below are drawings and microfractured morphologies of the failure mechanisms of CF-reinforced pristine EP laminate at 90 K and EFPS/Nano-SiO2 EP laminate:
- -
- The weak interfacial connection among the CFs along with the pristine EP matrix is demonstrated by the microfracture morphology of the pristine EP laminate reinforced with CF at 90 K, which clearly shows debonding and fiber pull-out processes (Figure 61a).
- -
- The EFPS/nano-SiO2 EP laminate reinforced with CF exhibits distinct microfracture morphologies at 90 K, which may suggest enhanced interfacial bonding among the CFs as well as the EFPS/nano-SiO2 EP matrix. Improved bonding may cause more energy to be released as a fracture spreads at the contact (Figure 61c).
- -
- A weak interfacial bonding state is shown in the failure mechanism diagram for the pristine EP laminate reinforced with CF. This leads to low interfacial shear strength and quick crack propagation at the interface (Figure 61b).
- -
- The failure mode schematic of the CF-reinforced EFPS/nano-SiO2 EP laminate shows a better mechanical situation where the EFPS/nano-SiO2 EP material resists rapid crack propagation, transmits shear stress effectively, along with enhances the interfacial bonding that exists among the EP material and the CFs (Figure 61d).
- -
- The EFPS results in a more uniform distribution of NPs by increasing the dispersion capacity of nano-SiO2 particles in the EP matrix. This increased dispersion may help the composite material’s mechanical qualities.
- -
- The tensile strength of epoxy resin may be improved by the use of EFPS/nano-SiO2, especially at CT. The epoxy resin’s internal thermal stress may be released by the flexible molecular chain of EFPS, increasing the material’s tensile strength at low temperatures.
- -
- The EFPS along with nano-SiO2 particles work together to strengthen the EP when they are appropriately distributed and bonded. By using this reinforcing approach, mechanical qualities like fracture toughness along with tensile strength may improve.
- -
- The epoxy resin’s increased fracture toughness can result from the debonding of nano-SiO2 particles, which can improve energy dissipation at the fracture front. In cold settings, this process may be essential for maintaining mechanical integrity.
4.2.4. Metal Oxide Nanoparticles
- -
- Surface functionalization of nCuO particles with a polydopamine (PDA) coating was carried out through the addition of TRIS buffer solution and dopamine monomer in water at 30 °C, when the nCuO particles were added into the solution, PDA polymerized in situ. Figure 64a depicts the schematic for PDA covering of nCuO NPs.
- -
- Rubber molds were used to produce NCs with original nCuO, PDA-coated CuO NPs, and nano-silica. Figure 64b schematically depicts the dispersion of PDA-coated and original CuO NPs in EP via probe sonication. Different weight percentages of nano-silica were employed for manufacturing test specimens.
- -
- Vacuum infusion was used to produce carbon-epoxy composite laminates (Figure 64c). To produce the appropriate compositions, nano-silica, original nCuO, and PDA-coated CuO NPs were mixed into the epoxy resin at varying concentrations.
- -
- Dry CF plies were chopped into pieces and arranged on a glass surface in a specified fiber architecture. A precrack was produced in the laminate, and the stack was put together with bagging materials for resin infusion.
- -
- Resin infusion was performed using several EPs at a certain vacuum pressure. Following curing at RT and post-curing, mechanical testing involved slicing the laminates into double cantilever beam test samples.
- -
- The fracture toughness of nCuO-EP matrices with varying concentrations (1, 2, 4, and 8 wt%) increased at RT and CT. CT showed a higher percentage increase than RT.
- -
- The addition of PDA-coated nCuO NPs at various concentrations (1, 2, 4, and 8 wt%) increased the fracture toughness of the NCs, with a greater percentage increase at CT than at RT.
- -
- PDA-coated nCuO NPs exhibited up to a 260% increase in fracture toughness, surpassing improvements reported in the literature for other NPs.
- -
- The nanocomposites’ tensile strength increased at CT due to the significant compressive stress on the nanoparticle surfaces, resulting in better composite strength.
- -
- Nanoparticle debonding is the separation of NPs from the EP matrix under stress.
- -
- This mechanism allows for energy dissipation and toughening of the material by absorbing energy during debonding.
- -
- Nanoparticle debonding can result in the creation of voids and microcracks, which contribute to nanocomposites’ toughness.
- -
- Plastic void growth involves the expansion of voids within the material due to applied stress.
- -
- As the material deforms, voids form plastically, absorbing energy and enhancing toughness.
- -
- NPs may influence void growth behavior and improve the toughening impact in NCs.
- -
- Matrix shear banding is the creation of localized shear deformation zones inside an EP matrix.
- -
- These shear bands help redistribute stress concentrations and prevent catastrophic failure by promoting plastic deformation.
- -
- The presence of NPs can influence the initiation and propagation of shear bands, contributing to the overall toughness of the NCs.
- -
- ZrW2O8 NPs were weighed to the desired concentration.
- -
- Nanoparticles were mixed with epoxy resin using a three-roll mill at 100 rpm.
- -
- Manual mixing of the epoxy/nanoparticle mixture with the curing agent (ratio of 1:0.3).
- -
- Degassing the EP/NP/curing agent mixture under vacuum pressure of 0.95 atm for 30 min.
- -
- Preparation of tensile test specimens and fracture energy (GIC, bulk) measurements.
- -
- To adhesively bond two material adherends, a 2.5 mm thick layer of unmodified EP or EP matrix containing varying concentrations of uncoated (0.5, 1, 4, and 8 wt%) and PDA-coated (0.5 and 1 wt%) ZrW2O8 NPs was used.
- -
- CFRP laminates were manufactured using unidirectional CF fabrics.
- -
- Formation of a pre-crack using a PTFE film in the laminate stack.
- -
- Infusion of unmodified and modified EPs with ZrW2O8 nanoparticles into the fiber architecture.
- -
- Initial cure at 25 °C for 12 h followed by post-cure at 120 °C for 14 h.
- -
- Fabrication of blocked cross-ply laminates for studying matrix microcracking at cryogenic temperatures (−196 °C).
- -
- ZrW2O8 nanoparticles exhibit negative thermal expansion properties, which can help reduce the thermal residual stresses that occur due to the mismatch in coefficients of thermal expansion between CFs and the EP matrix at CT. This reduction in thermal stresses can prevent the initiation and propagation of microcracks in the CFRP laminate.
- -
- The addition of ZrW2O8 NPs functionalized by PDA can significantly enhance the fracture energy of the EP matrix in CFRPs. This enhancement in fracture energy helps in enhancing the interlaminar fracture toughness of the composite, making it more resistant to microcracking under cryogenic conditions.
- -
- By incorporating these nanoparticles into the EP matrix, the modified matrix effectively suppresses matrix microcracking at CT. This is achieved by reducing the brittleness of the EP polymer and improving its toughness, thereby enhancing the overall performance of the CFRP laminate in cryogenic conditions.
- -
- The tensile strength of the NCs generally increased as the concentration of nanoparticles was increased. However, at higher amounts (e.g., 8 wt% uncoated ZrW2O8 NPs), the tensile strength was found to be roughly equivalent to that of the neat EP. This could be due to poor dispersion and agglomeration of NPs at greater amounts, resulting in stress concentrations and a decrease in tensile strength.
- -
- The Young’s modulus of the nanocomposites showed an increasing trend with the concentration of NPs. The modulus values were higher for nanocomposites containing higher amounts of NPs, indicating a stiffening effect due to the presence of ZrW2O8 nanoparticles. However, agglomeration of nanoparticles at higher concentrations could affect the modulus values.
- -
- A reduction in ductility was observed at CT (approximately −196 °C) compared to RT in the tensile tests. This reduction in ductility at low temperatures can be considered an indication of increased brittleness in the nanocomposites under cryogenic conditions.
- -
- SEM micrographs revealed that agglomeration of nanoparticles increased with higher nanoparticle concentrations. Agglomeration of nanoparticles could lead to stress amounts in the NCs, potentially reducing their tensile strength and affecting mechanical properties (Figure 67).
5. Applications in Hydrogen Storage Vessels
- -
- Typically, the CFRP composite layer, the liner layer, the vacuum insulation layer, together the exterior protective layer makes up the composite layer of a CcH2 storage tank.
- -
- The composite film is subjected to two extreme working conditions: high pressure (35 MPa) and CT (20 K).
- -
- The process begins with the infiltration of carbon fibers in an EP solution to create a ply. This step ensures that the carbon fibers are evenly distributed and impregnated with the modified epoxy resin [81].
- -
- The impregnated carbon fibers are then used to wind the CcH2 storage vessel. The winding process involves layering the impregnated fibers to form the composite layer of the vessel. The winding direction can be hoop winding and longitudinal winding [82], with specific angles and ratios determined based on design requirements. Figure 71b shows the design flow chart for the material film [81].
- -
- The E51 epoxy resins with specific epoxy value (0.51/100 g) and molecular weight (392.2) and curing agent (Triethylenetetramine) are mixed in a specific ratio, and the modifier, Polyethylene glycol 600 (PEG 600), is added at varying concentrations (1 wt%, 3 wt%, and 5 wt%) (Figure 72).
- -
- The mixture is stirred thoroughly to ensure uniform distribution of the modifier.
- -
- The modified EP solution is poured into molds and cured at high temperatures for the specified time.
- -
- The modified epoxy resins are categorized into different groups based on the concentration of PEG 600 added (e.g., MER-1, MER-3, MER-5).
- -
- A control group using neat epoxy resin (EP) is also prepared for comparison.
- -
- Winding plies refer to the layers of carbon fiber composite material that are wound around the vessel to form the composite layer.
- -
- The number of winding plies is determined based on the mechanical properties of the composite, the operating conditions of the vessel, and the desired structural strength.
- -
- The goal is to achieve a balance between the number of winding plies, the material properties, and the structural requirements to ensure the vessel’s safety and performance.
- -
- The optimal number of winding plies is calculated based on stress analysis, material properties, and design standards to meet the vessel’s mechanical requirements
- -
- Stress analysis is conducted to evaluate the distribution of internal stresses within the composite layer of the CcH2 storage vessel.
- -
- The analysis considers factors such as internal pressure, temperature variations, and material properties to determine the stress levels experienced by the composite material.
- -
- The stress analysis helps in identifying critical areas of areas requiring reinforcement, potential failure points, and high stress concentration.
- -
- Understanding the stress distribution is crucial for optimizing the design, material selection, and manufacturing process of the composite layer.
- -
- Displacement refers to the movement or deformation of the composite layer in response to applied loads, such as internal pressure or external forces.
- -
- Analyzing displacement helps in predicting the structural behavior of the tank under different loading conditions and ensuring that deformations are within acceptable limits.
- -
- Excessive displacement can lead to structural instability, leakage, or failure of the storage vessel, highlighting the importance of accurate displacement analysis.
- -
- By considering displacement in the design phase, engineers can optimize the vessel’s geometry, material properties, and reinforcement to minimize deformations and enhance structural performance.
- -
- Through advanced modeling methods, such as finite element analysis (FEA), engineers can simulate the behavior of the composite layer under various loading scenarios.
- -
- By iteratively adjusting the number of winding plies, material properties, and design parameters, designers can optimize the vessel’s structural performance while minimizing weight and material usage.
- -
- The goal of design optimization is to ensure that the CcH2 storage vessel meets safety standards, performance requirements, and durability criteria while maximizing efficiency and reliability.
- -
- Through a variety of tests and analysis, the cryogenic mechanical characteristics of the combined CF materials in the study were assessed. The semi-product of CFs with PE film following hot pressing treatment is depicted in Figure 76a,b. There is no EP connection between the CFs, which keeps them apart. PE melts penetrate the CF layers and create crosslinks after being hot-pressed. A mixed CF and PE region is created as the melted PE envelops the nearby CFs. As the melted PE flows, three regions form successively inside the semi-product’s cross-section: the CF area (fibers), the PE zone (PE polymer), and the mixed region (fibers wrapped in PE). The mixed area has a diameter of approximately 100 μm. A cross-section micrograph of the matrix exhibiting a cross-linked network structure may be found in Figure 76c. The three zones are firmly linked together by the resin once the resin is impregnated and allowed to set, creating a single substance. The boundaries of the mixed zone are less clear at this time. PE grids surround the CFs and resin. The combination is shown in Figure 76d. The resin will cure first since the curing temperature (110 °C) is much lower than the PE melting temperature (180–210 °C). Consequently, CFs and PE are held together in the sandwich structure by the mechanical anchor effect of the resin. But the anchors will weaken at CT, which will cause a delamination flaw. PE sheets are melted by hot pressing and then placed into dry CFs. The CFs are then encircled by the PE, creating a cross-linked network structure inside the matrix. The cross-linking action of PE preserves the laminate’s superior mechanical characteristics at CT while removing its layered structure. The interlayer adhesion forces of the two structures are tested, as shown in Figure 76e,f. The PE and fibers are firmly bonded at RT using resin. The resin creates mechanical anchors by penetrating polyethylene layers and fiber surfaces [87]. There is very little difference in the adhesion force values between the two materials. Nevertheless, CT distorts and shrinks the resin, lessening the anchor effect. Consequently, the adhesion force of the sandwich structure immediately drops by 28.8%. On the other hand, the cross-linked network structure makes use of PE’s cross-linking influence to integrate the multi-layer CFs into a whole. The adhesion force is still quite powerful even if the resin’s anchor impact is diminishing. At CT, a cross-linked network structure has an adhesion force that is 22.7% more than a sandwich structure. Macroscopic photographs of shear contacts are shown in Figure 76g. A portion of the PE sticks to the laminates along the shear plane of the sandwich structure at room temperature. While the PE in cross-linked network structures is strongly attached to the laminates, the PE in sandwich structures totally separates from the laminates under freezing temperatures. The longitudinal along with transverse tensile strengths of the matrices rose by 23.2% and 21.2%, respectively, at CT. This improvement in tensile strength shows how PE coatings may enhance a material’s mechanical qualities in harsh environments.
- -
- One important factor that was assessed to make sure the CF materials in the study were suitable for use in CcH2 storage containers was their H2-barrier characteristic. The concept of the differential pressure technique is shown in Figure 77a. The sample is seen being put between two chambers in Figure 77b. Although the bottom chamber is vacuumed at a value below 10 Pa, the upper half (chamber) is connected to 0.1 MPa of high-pressure gas [88]. The bottom chamber’s pressure is continually monitored by a sensor, and the experiment automatically finishes when pressure equilibrium is attained. A cryogenic fatigue test that was conducted on the laminates to replicate the real-world operational circumstances of the CcH2 storage tank is shown in Figure 77c. Following 10,000 loading cycles, the laminates are cut into circular samples, and the coefficients of hydrogen permeability are determined. The cross sections of the matrix are shown in Figure 77d. Numerous microcracks emerge at cryogenic pressure, facilitating quick H2 penetration. The method in which the materials’ linked microcracks allow gas to escape is seen in Figure 77e. On the other hand, PE film may keep a considerable amount of its toughness at CT, which stops microcracks from propagating through materials. Diffusion is therefore the most typical method of H2 permeation. It has been demonstrated that microcracks produce noticeably more leakage than diffusion [89].
- -
- The epoxy resin (EP model E51) solution was prepared with the specified components.
- -
- Various proportions of PEG and montmorillonite K10 (MMT) were added to the EP solution based on the sample requirements.
- -
- To ensure that the modified fillers were evenly dispersed, the solution was stirred at 1000 r/min at RT for 10 min.
- -
- With each stirring, any bubbles formed were likely removed to maintain a uniform mixture.
- -
- -
- Before starting the experiment, the EP samples’ surfaces were cleaned.
- -
- The samples were placed in a test instrument with upper and lower chambers, and real-time monitoring was performed using pressure sensors.
- -
- The lower chamber (less than 20 Pa) was vacuumed, and He gas was introduced into the upper chamber (0.1 MPa) until pressure balance was achieved [90].
- -
- Figure 79 shows how the gas permeability coefficients of different samples were measured and compared. As the MMT content increases, the gas permeability coefficient decreases. This is due to MMT NPs’ ability to make the gas diffusion and leakage channel in the EP matrix more convoluted, thereby increasing the diffusion path of gas molecules, as shown in Figure 80. As MMT content increases, so does the quantity of nanoparticles, and the diffusion channel becomes more convoluted. As MMT content increases, the gas permeability coefficient decreases. The gas permeability coefficient increases as PEG content increases. Figure 81a depicts two types of nanoparticles used to reduce polymer gas permeability coefficients: intercalation and exfoliation. Exfoliated NPs were widely assumed to have increased disorder and improved gas barrier properties [93]. MMT’s hydrophilicity, on the other hand, made uniform dispersion in the polymer difficult [93,94,95]. As a result, some MMT may exist in the form of agglomerations [96,97]. Mixing PEG, a macromolecular chain, with MMT changed its properties. Figure 81b shows that the macromolecular chain had a less significant effect on the intercalation and exfoliation of montmorillonite nanoparticles than the resin matrix. The inclusion of PEG reduced the amount of resin, resulting in an improvement in the gas permeability coefficient. When enhancing the mechanical properties, the amount of PEG used should be kept to a minimum.
- -
- The tensile strength of the MMT-25 specimen at RT was reported as 23.93 MPa, with a decrease of 57.54% compared to the base EP.
- -
- The Young’s modulus at RT increased by 59.56% to 2.17 GPa, indicating a more brittle material.
- -
- The addition of PEG was aimed at strengthening and toughening the resin matrix due to the observed decrease in mechanical properties.
- -
- The MMT25-PEG10 sample at CT showed a significant improvement in tensile strength, reaching 57.02 MPa, which was a 98.12% increase compared to RT.
- -
- The Young’s modulus decreased by 11.22% to 2.69 GPa at CT, indicating improved toughness and strength of the EP matrix.
- -
- The epoxy resin’s elongation at break increased at RT and CT after the addition of PEG, increasing the material’s toughness.
6. Conclusions and Future Perspective
Author Contributions
Funding
Conflicts of Interest
Abbreviations
| CF | Carbon fiber |
| CFs | Carbon fibers |
| EP | Epoxy resin |
| EPs | Epoxy resins |
| VARTM | Vacuum-assisted resin transfer molding |
| RT | Room temperature |
| TFBT | Transverse fiber bundle tension testing |
| CNT | Carbon nanotube |
| EPD | Electrophoretic deposition |
| CT | Cryogenic temperature |
| ILSS | Interlaminar shear strength |
| MWCNTs | Multi-walled carbon nanotubes |
| FS | Flexural strength |
| DDM | 4,4′-diaminodiphenylmethane |
| TGA | Thermogravimetric analysis, |
| BMI | Bismaleimide resin |
| CTE | Coefficient of thermal expansion |
| GO | Graphene oxide |
| CFRP | Carbon fiber-reinforced polymer |
| ILSS | Interlaminar shear strength |
| DETDA | Diethyl toluenediamine |
| HPB | Hyperbranched polymer |
| DMDPS | Dimethoxydiphenylsilane |
| DMDMS | Dimethyldimethoxysilane |
| EFPS | Epoxy-functionalized polysiloxane |
| NPs | Nanoparticles |
| CWF | Carbon woven fabric |
| EPD | Electrophoretic deposition |
| PALS | Positron annihilation lifetime spectroscopy |
| MeTHPA | Methyltetrahydrophthalic anhydride |
| MW | Molecular weight |
| NCs | Nanocomposites |
| SEM | Scanning electron microscopy |
| DCB | Double cantilever beam |
| SENB | Single-edge notch bending |
| PBT | Polybutylene Terephthalate |
| PEI | Polyetherimide |
| PC | Polycarbonate |
| DMA | Dynamic mechanical analysis |
| TRIS | Tris(hydroxymethyl)aminomethane |
| ERR | Electrical resistance ratio |
| ER | Electrical resistance |
| CVD | Chemical vapor deposition |
| POSS | Polyhedral oligomeric silsesquioxane |
| PMMA | Polymethylmethacrylate |
| PTFE | Polytetrafluoroethylene |
| TPs | Thermoplastics |
| FTIR | Fourier transform infrared spectroscopy |
| KH560 | γ-(2,3-epoxypropoxy) propytrimethoxysilane |
| AFM | Atomic force microscope |
| DGEBA | Diglycidyl ether of bisphenol A |
| FEA | Finite element analysis |
| ERR | Electrical resistance ratio |
| DI water | Deionized water |
| CcH2 | Cryo-compressed hydrogen |
References
- Air, A.; Shamsuddoha, M.; Gangadhara Prusty, B. A Review of Type V Composite Pressure Vessels and Automated Fibre Placement Based Manufacturing. Compos. Part B Eng. 2023, 253, 110573. [Google Scholar] [CrossRef]
- Liu, H.; Chen, Y.; Chai, M.; Wu, Y.; Xue, K.; Liu, L.; Huang, Y. High-Performance Carbon Fiber-Reinforced Epoxy Resin Composites Based on Novel, Environmentally Friendly, Stability, and Heat-Moisture Resistant Nano Emulsion Encapsulated POSS Sizing Agent Interface Modification. Compos. Part B Eng. 2024, 284, 111697. [Google Scholar] [CrossRef]
- Zheng, H.; Zhang, W.; Li, B.; Zhu, J.; Wang, C.; Song, G.; Wu, G.; Yang, X.; Huang, Y.; Ma, L. Recent Advances of Interphases in Carbon Fiber-Reinforced Polymer Composites: A Review. Compos. Part B Eng. 2022, 233, 109639. [Google Scholar] [CrossRef]
- Wetzel, B.; Rosso, P.; Haupert, F.; Friedrich, K. Epoxy Nanocomposites—Fracture and Toughening Mechanisms. Eng. Fract. Mech. 2006, 73, 2375–2398. [Google Scholar] [CrossRef]
- Feng, Q.; Yang, J.; Liu, Y.; Xiao, H.; Fu, S. Simultaneously Enhanced Cryogenic Tensile Strength, Ductility and Impact Resistance of Epoxy Resins by Polyethylene Glycol. J. Mater. Sci. Technol. 2014, 30, 90–96. [Google Scholar] [CrossRef]
- Zhang, Y.; Xu, F.; Zhang, C.; Wang, J.; Jia, Z.; Hui, D.; Qiu, Y. Tensile and Interfacial Properties of Polyacrylonitrile-Based Carbon Fiber after Different Cryogenic Treated Condition. Compos. Part B Eng. 2016, 99, 358–365. [Google Scholar] [CrossRef]
- Unnikrishnan, K.P.; Thachil, E.T. Toughening of Epoxy Resins. Des. Monomers Polym. 2006, 9, 129–152. [Google Scholar] [CrossRef]
- Yan, M.; Liu, Y.; Jiang, W.; Qin, W.; Yan, Y.; Wan, L.; Jiao, W.; Wang, R. Mechanism of Matrix Influencing the Cryogenic Mechanical Property of Carbon Fibre Reinforced Epoxy Resin Composite. Compos. Commun. 2022, 33, 101220. [Google Scholar] [CrossRef]
- Mimura, K.; Ito, H.; Fujioka, H. Improvement of Thermal and Mechanical Properties by Control of Morphologies in PES-Modified Epoxy Resins. Polymer 2000, 41, 4451–4459. [Google Scholar] [CrossRef]
- Qu, C.-B.; Xiao, H.-M.; Huang, G.-W.; Li, N.; Li, M.; Li, F.; Li, Y.-Q.; Liu, Y.; Fu, S.-Y. Effects of Cryo-Thermal Cycling on Interlaminar Shear Strength and Thermal Expansion Coefficient of Carbon Fiber/Graphene Oxide-Modified Epoxy Composites. Compos. Commun. 2022, 32, 101180. [Google Scholar] [CrossRef]
- Zavareh, S.; Samandari, G. Polyethylene Glycol as an Epoxy Modifier with Extremely High Toughening Effect: Formation of Nanoblend Morphology. Polym. Eng. Sci. 2014, 54, 1833–1838. [Google Scholar] [CrossRef]
- Sun, Z.; Xu, L.; Chen, Z.; Wang, Y.; Tusiime, R.; Cheng, C.; Zhou, S.; Liu, Y.; Yu, M.; Zhang, H. Enhancing the Mechanical and Thermal Properties of Epoxy Resin via Blending with Thermoplastic Polysulfone. Polymers 2019, 11, 461. [Google Scholar] [CrossRef] [PubMed]
- Jung, H.-S.; Park, Y.; Nah, C.-W.; Lee, J.-C.; Kim, K.-Y.; Lee, C.S. Evaluation of the Mechanical Properties of Polyether Sulfone-Toughened Epoxy Resin for Carbon Fiber Composites. Fibers Polym. 2021, 22, 184–195. [Google Scholar] [CrossRef]
- Sun, X.; Chen, R.; Gao, X.; Liu, Q.; Liu, J.; Zhang, H.; Yu, J.; Liu, P.; Takahashi, K.; Wang, J. Fabrication of Epoxy Modified Polysiloxane with Enhanced Mechanical Properties for Marine Antifouling Application. Eur. Polym. J. 2019, 117, 77–85. [Google Scholar] [CrossRef]
- Bakar, M.; Kobusińska, J.; Szczerba, J. Mechanical Properties of Epoxy Resin Modified with Polycarbonate and Reactive Polybutadiene. J. Appl. Polym. Sci. 2007, 106, 2892–2897. [Google Scholar] [CrossRef]
- Deng, S.; Djukic, L.; Paton, R.; Ye, L. Thermoplastic–Epoxy Interactions and Their Potential Applications in Joining Composite Structures—A Review. Compos. Part A Appl. Sci. Manuf. 2015, 68, 121–132. [Google Scholar] [CrossRef]
- Yang, G.; Zheng, B.; Yang, J.-P.; Xu, G.-S.; Fu, S.-Y. Preparation and Cryogenic Mechanical Properties of Epoxy Resins Modified by Poly(Ethersulfone). J. Polym. Sci. Part A Polym. Chem. 2008, 46, 612–624. [Google Scholar] [CrossRef]
- Bagheri, R.; Marouf, B.T.; Pearson, R.A. Rubber-Toughened Epoxies: A Critical Review. Polym. Rev. 2009, 49, 201–225. [Google Scholar] [CrossRef]
- Johnsen, B.B.; Kinloch, A.J.; Mohammed, R.D.; Taylor, A.C.; Sprenger, S. Toughening Mechanisms of Nanoparticle-Modified Epoxy Polymers. Polymer 2007, 48, 530–541. [Google Scholar] [CrossRef]
- Tsang, W.L.; Taylor, A.C. Fracture and Toughening Mechanisms of Silica- and Core–Shell Rubber-Toughened Epoxy at Ambient and Low Temperature. J. Mater. Sci. 2019, 54, 13938–13958. [Google Scholar] [CrossRef]
- Mi, X.; Liang, N.; Xu, H.; Wu, J.; Jiang, Y.; Nie, B.; Zhang, D. Toughness and Its Mechanisms in Epoxy Resins. Prog. Mater. Sci. 2022, 130, 100977. [Google Scholar] [CrossRef]
- Guo, L.; Chen, Z.; Han, H.; Liu, G.; Luo, M.; Cui, N.; Dong, H.; Li, M.-Z. Advances and Outlook in Modified Graphene Oxide (GO)/Epoxy Composites for Mechanical Applications. Appl. Nanosci. 2023, 13, 3273–3287. [Google Scholar] [CrossRef]
- Huang, X.; Zhi, C.; Jiang, P.; Golberg, D.; Bando, Y.; Tanaka, T. Polyhedral Oligosilsesquioxane-Modified Boron Nitride Nanotube Based Epoxy Nanocomposites: An Ideal Dielectric Material with High Thermal Conductivity. Adv. Funct. Mater. 2013, 23, 1824–1831. [Google Scholar] [CrossRef]
- Shi, X.; Wu, J.; Wang, X.; Zhou, X.; Xie, X.; Xue, Z. Novel Sound Insulation Materials Based on Epoxy/Hollow Silica Nanotubes Composites. Compos. Part B Eng. 2017, 131, 125–133. [Google Scholar] [CrossRef]
- Kim, M.-G.; Moon, J.-B.; Kim, C.-G. Effect of CNT Functionalization on Crack Resistance of a Carbon/Epoxy Composite at a Cryogenic Temperature. Compos. Part A Appl. Sci. Manuf. 2012, 43, 1620–1627. [Google Scholar] [CrossRef]
- Yan, M.; Jiao, W.; Li, J.; Huang, Y.; Chu, Z.; Chen, X.; Shen, F.; Wang, Y.; Wang, R.; He, X. Enhancement of the Cryogenic-Interfacial-Strength of Carbon Fiber Composites by Chemical Grafting of Graphene Oxide/Attapulgite on T300. Polym. Compos. 2020, 41, 5072–5081. [Google Scholar] [CrossRef]
- Meng, J.; Zheng, H.; Wei, Y.; Liu, D.; Shi, H.; Wang, P.; Lei, H.; Fang, D. Leakage Performance of CFRP Laminate under Cryogenic Temperature: Experimental and Simulation Study. Compos. Sci. Technol. 2022, 226, 109550. [Google Scholar] [CrossRef]
- Guo, F.-L.; Tan, D.; Wu, T.; Huang, P.; Li, Y.-Q.; Hu, N.; Fu, S.-Y. Experimental Characterization and Molecular Dynamics Simulation of Thermal Stability, Mechanical Properties and Liquid Oxygen Compatibility of Multiple Epoxy Systems for Cryotank Applications. Extrem. Mech. Lett. 2021, 44, 101227. [Google Scholar] [CrossRef]
- Zhou, Z.; Qian, J.; Zhang, J.; Cui, Y.; Li, Y.; Tan, D.; Long, J.; Wu, H.; Liu, Q.; Guo, F.; et al. Phosphorus and Bromine Modified Epoxy Resin with Enhanced Cryogenic Mechanical Properties and Liquid Oxygen Compatibility Simultaneously. Polym. Test. 2021, 94, 107051. [Google Scholar] [CrossRef]
- Liu, N.; Wang, H.; Ma, B.; Xu, B.; Qu, L.; Fang, D.; Yang, Y. Enhancing Cryogenic Mechanical Properties of Epoxy Resins Toughened by Biscitraconimide Resin. Compos. Sci. Technol. 2022, 220, 109252. [Google Scholar] [CrossRef]
- Wu, T.; Liu, Y.; Li, N.; Huang, G.-W.; Qu, C.-B.; Xiao, H.-M. Cryogenic Mechanical Properties of Epoxy Resin Toughened by Hydroxyl-Terminated Polyurethane. Polym. Test. 2019, 74, 45–56. [Google Scholar] [CrossRef]
- Chen, Z.-K.; Yang, J.-P.; Ni, Q.-Q.; Fu, S.-Y.; Huang, Y.-G. Reinforcement of Epoxy Resins with Multi-Walled Carbon Nanotubes for Enhancing Cryogenic Mechanical Properties. Polymer 2009, 50, 4753–4759. [Google Scholar] [CrossRef]
- Chang, W.; Rose, L.R.F.; Islam, M.S.; Wu, S.; Peng, S.; Huang, F.; Kinloch, A.J.; Wang, C.H. Strengthening and Toughening Epoxy Polymer at Cryogenic Temperature Using Cupric Oxide Nanorods. Compos. Sci. Technol. 2021, 208, 108762. [Google Scholar] [CrossRef]
- Wang, X.Q.; Jian, W.; Buyukozturk, O.; Leung, C.K.Y.; Lau, D. Degradation of Epoxy/Glass Interface in Hygrothermal Environment: An Atomistic Investigation. Compos. Part B Eng. 2021, 206, 108534. [Google Scholar] [CrossRef]
- Kwon, D.-J.; Wang, Z.-J.; Choi, J.-Y.; Shin, P.-S.; DeVries, K.L.; Park, J.-M. Interfacial Evaluation of Carbon Fiber/Epoxy Composites Using Electrical Resistance Measurements at Room and a Cryogenic Temperature. Compos. Part A Appl. Sci. Manuf. 2015, 72, 160–166. [Google Scholar] [CrossRef]
- Shao, Y.; Xu, F.; Liu, W.; Zhou, M.; Li, W.; Hui, D.; Qiu, Y. Influence of Cryogenic Treatment on Mechanical and Interfacial Properties of Carbon Nanotube Fiber/Bisphenol-F Epoxy Composite. Compos. Part B Eng. 2017, 125, 195–202. [Google Scholar] [CrossRef]
- Gao, B.; Zhang, J.; Hao, Z.; Huo, L.; Zhang, R.; Shao, L. In-Situ Modification of Carbon Fibers with Hyperbranched Polyglycerol via Anionic Ring-Opening Polymerization for Use in High-Performance Composites. Carbon 2017, 123, 548–557. [Google Scholar] [CrossRef]
- Zhang, L.; De Greef, N.; Kalinka, G.; Van Bilzen, B.; Locquet, J.-P.; Verpoest, I.; Seo, J.W. Carbon Nanotube-Grafted Carbon Fiber Polymer Composites: Damage Characterization on the Micro-Scale. Compos. Part B Eng. 2017, 126, 202–210. [Google Scholar] [CrossRef]
- Gojny, F.H.; Wichmann, M.H.G.; Köpke, U.; Fiedler, B.; Schulte, K. Carbon Nanotube-Reinforced Epoxy-Composites: Enhanced Stiffness and Fracture Toughness at Low Nanotube Content. Compos. Sci. Technol. 2004, 64, 2363–2371. [Google Scholar] [CrossRef]
- Garcia, E.J.; Wardle, B.L.; John Hart, A. Joining Prepreg Composite Interfaces with Aligned Carbon Nanotubes. Compos. Part A Appl. Sci. Manuf. 2008, 39, 1065–1070. [Google Scholar] [CrossRef]
- Yao, Z.; Wang, C.; Qin, J.; Su, S.; Wang, Y.; Wang, Q.; Yu, M.; Wei, H. Interfacial Improvement of Carbon Fiber/Epoxy Composites Using One-Step Method for Grafting Carbon Nanotubes on the Fibers at Ultra-Low Temperatures. Carbon 2020, 164, 133–142. [Google Scholar] [CrossRef]
- Patnaik, S.; Gangineni, P.K.; Prusty, R.K. Influence of Cryogenic Temperature on Mechanical Behavior of Graphene Carboxyl Grafted Carbon Fiber Reinforced Polymer Composites: An Emphasis on Concentration of Nanofillers. Compos. Commun. 2020, 20, 100369. [Google Scholar] [CrossRef]
- Li, S.; Chen, D.; Gao, C.; Yuan, Y.; Wang, H.; Liu, X.; Hu, B.; Ma, J.; Liu, M.; Wu, Z. Epoxy-Functionalized Polysiloxane/Nano-SiO2 Synergistic Reinforcement in Cryogenic Mechanical Properties of Epoxy and Carbon Fiber Reinforced Epoxy Laminate. Compos. Sci. Technol. 2020, 198, 108292. [Google Scholar] [CrossRef]
- Zhao, Y.; Huang, R.; Wu, Z.; Zhang, H.; Zhou, Z.; Li, L.; Dong, Y.; Luo, M.; Ye, B.; Zhang, H. Effect of Free Volume on Cryogenic Mechanical Properties of Epoxy Resin Reinforced by Hyperbranched Polymers. Mater. Des. 2021, 202, 109565. [Google Scholar] [CrossRef]
- He, Y.; Li, Q.; Kuila, T.; Kim, N.H.; Jiang, T.; Lau, K.; Lee, J.H. Micro-Crack Behavior of Carbon Fiber Reinforced Thermoplastic Modified Epoxy Composites for Cryogenic Applications. Compos. Part B Eng. 2013, 44, 533–539. [Google Scholar] [CrossRef]
- Qu, C.-B.; Wu, T.; Huang, G.-W.; Li, N.; Li, M.; Ma, J.-L.; Liu, Y.; Xiao, H.-M. Improving Cryogenic Mechanical Properties of Carbon Fiber Reinforced Composites Based on Epoxy Resin Toughened by Hydroxyl-Terminated Polyurethane. Compos. Part B Eng. 2021, 210, 108569. [Google Scholar] [CrossRef]
- Meng, J.; Wang, Y.; Yang, H.; Wang, P.; Lei, Q.; Shi, H.; Lei, H.; Fang, D. Mechanical Properties and Internal Microdefects Evolution of Carbon Fiber Reinforced Polymer Composites: Cryogenic Temperature and Thermocycling Effects. Compos. Sci. Technol. 2020, 191, 108083. [Google Scholar] [CrossRef]
- Jia, Z.; Li, T.; Chiang, F.; Wang, L. An Experimental Investigation of the Temperature Effect on the Mechanics of Carbon Fiber Reinforced Polymer Composites. Compos. Sci. Technol. 2018, 154, 53–63. [Google Scholar] [CrossRef]
- Cheng, X.; Liu, L.; Feng, X.; Shen, L.; Wu, Z. Low Temperature-Based Flexural Properties of Carbon Fiber/Epoxy Composite Laminates Incorporated with Carbon Nanotube Sheets. Macromol. Mater. Eng. 2019, 304, 1900247. [Google Scholar] [CrossRef]
- Li, S.; Chen, D.; Yuan, Y.; Gao, C.; Cui, Y.; Wang, H.; Liu, X.; Liu, M.; Wu, Z. Influence of Flexible Molecular Structure on the Cryogenic Mechanical Properties of Epoxy Matrix and Carbon Fiber/Epoxy Composite Laminate. Mater. Des. 2020, 195, 109028. [Google Scholar] [CrossRef]
- Nishijima, S.; Honda, Y.; Okada, T. Application of the Positron Annihilation Method for Evaluation of Organic Materials for Cryogenic Use. Cryogenics 1995, 35, 779–781. [Google Scholar] [CrossRef]
- Nishijima, S.; Honda, Y.; Tagawa, S.; Okada, T. Study of Epoxy Resin for Cryogenic Use by Positron Annihilation Method. J. Radioanal. Nucl. Chem. 2005, 211, 93–101. [Google Scholar] [CrossRef]
- Wang, J.; Chang, W.; Islam, M.S.; Huang, F.; Wu, S.; Rose, L.R.F.; Zhang, J.; Wang, C.H. Toughening Epoxy by Nano-Structured Block Copolymer to Mitigate Matrix Microcracking of Carbon Fibre Composites at Cryogenic Temperatures. Compos. Sci. Technol. 2024, 251, 110548. [Google Scholar] [CrossRef]
- Islam, M.S.; Benninger, L.F.; Pearce, G.; Wang, C.-H. Toughening Carbon Fibre Composites at Cryogenic Temperatures Using Low-Thermal Expansion Nanoparticles. Compos. Part A Appl. Sci. Manuf. 2021, 150, 106613. [Google Scholar] [CrossRef]
- Carolan, D.; Ivankovic, A.; Kinloch, A.J.; Sprenger, S.; Taylor, A.C. Toughened Carbon Fibre-Reinforced Polymer Composites with Nanoparticle-Modified Epoxy Matrices. J. Mater. Sci. 2017, 52, 1767–1788. [Google Scholar] [CrossRef]
- He, Y.; Zhang, L.; Chen, G.; Li, X.; Yao, D.; Lee, J.H.; Zhang, Y. Surface Functionalized Carbon Nanotubes and Its Effects on the Mechanical Properties of Epoxy Based Composites at Cryogenic Temperature. Polym. Bull. 2014, 71, 2465–2485. [Google Scholar] [CrossRef]
- Quan, D.; Urdániz, J.L.; Ivanković, A. Enhancing Mode-I and Mode-II Fracture Toughness of Epoxy and Carbon Fibre Reinforced Epoxy Composites Using Multi-Walled Carbon Nanotubes. Mater. Des. 2018, 143, 81–92. [Google Scholar] [CrossRef]
- Feng, Q.-P.; Deng, Y.-H.; Xiao, H.-M.; Liu, Y.; Qu, C.-B.; Zhao, Y.; Fu, S.-Y. Enhanced Cryogenic Interfacial Normal Bond Property between Carbon Fibers and Epoxy Matrix by Carbon Nanotubes. Compos. Sci. Technol. 2014, 104, 59–65. [Google Scholar] [CrossRef]
- He, Y.; Yang, S.; Liu, H.; Shao, Q.; Chen, Q.; Lu, C.; Jiang, Y.; Liu, C.; Guo, Z. Reinforced Carbon Fiber Laminates with Oriented Carbon Nanotube Epoxy Nanocomposites: Magnetic Field Assisted Alignment and Cryogenic Temperature Mechanical Properties. J. Colloid Interface Sci. 2018, 517, 40–51. [Google Scholar] [CrossRef]
- Shen, X.-J.; Liu, Y.; Xiao, H.-M.; Feng, Q.-P.; Yu, Z.-Z.; Fu, S.-Y. The Reinforcing Effect of Graphene Nanosheets on the Cryogenic Mechanical Properties of Epoxy Resins. Compos. Sci. Technol. 2012, 72, 1581–1587. [Google Scholar] [CrossRef]
- Qu, C.-B.; Huang, Y.; Li, F.; Xiao, H.-M.; Liu, Y.; Feng, Q.-P.; Huang, G.-W.; Li, N.; Fu, S.-Y. Enhanced Cryogenic Mechanical Properties of Carbon Fiber Reinforced Epoxy Composites by Introducing Graphene Oxide. Compos. Commun. 2020, 22, 100480. [Google Scholar] [CrossRef]
- Hung, P.; Lau, K.; Qiao, K.; Fox, B.; Hameed, N. Property Enhancement of CFRP Composites with Different Graphene Oxide Employment Methods at a Cryogenic Temperature. Compos. Part A Appl. Sci. Manuf. 2019, 120, 56–63. [Google Scholar] [CrossRef]
- Zhu, J.; Imam, A.; Crane, R.; Lozano, K.; Khabashesku, V.N.; Barrera, E.V. Processing a Glass Fiber Reinforced Vinyl Ester Composite with Nanotube Enhancement of Interlaminar Shear Strength. Compos. Sci. Technol. 2007, 67, 1509–1517. [Google Scholar] [CrossRef]
- Zhao, Z.; Teng, K.; Li, N.; Li, X.; Xu, Z.; Chen, L.; Niu, J.; Fu, H.; Zhao, L.; Liu, Y. Mechanical, Thermal and Interfacial Performances of Carbon Fiber Reinforced Composites Flavored by Carbon Nanotube in Matrix/Interface. Compos. Struct. 2017, 159, 761–772. [Google Scholar] [CrossRef]
- He, Y.; Chen, Q.; Yang, S.; Lu, C.; Feng, M.; Jiang, Y.; Cao, G.; Zhang, J.; Liu, C. Micro-Crack Behavior of Carbon Fiber Reinforced Fe3O4/Graphene Oxide Modified Epoxy Composites for Cryogenic Application. Compos. Part A Appl. Sci. Manuf. 2018, 108, 12–22. [Google Scholar] [CrossRef]
- Sprenger, S. Fiber-Reinforced Composites Based on Epoxy Resins Modified with Elastomers and Surface-Modified Silica Nanoparticles. J. Mater. Sci. 2014, 49, 2391–2402. [Google Scholar] [CrossRef]
- Hsieh, T.H.; Kinloch, A.J.; Masania, K.; Taylor, A.C.; Sprenger, S. The Mechanisms and Mechanics of the Toughening of Epoxy Polymers Modified with Silica Nanoparticles. Polymer 2010, 51, 6284–6294. [Google Scholar] [CrossRef]
- Rosso, P.; Ye, L.; Friedrich, K.; Sprenger, S. A Toughened Epoxy Resin by Silica Nanoparticle Reinforcement. J. Appl. Polym. Sci. 2006, 100, 1849–1855. [Google Scholar] [CrossRef]
- Bajpai, A.; Carlotti, S. The Effect of Hybridized Carbon Nanotubes, Silica Nanoparticles, and Core-Shell Rubber on Tensile, Fracture Mechanics and Electrical Properties of Epoxy Nanocomposites. Nanomaterials 2019, 9, 1057. [Google Scholar] [CrossRef]
- Leelachai, K.; Kongkachuichay, P.; Dittanet, P. Toughening of Epoxy Hybrid Nanocomposites Modified with Silica Nanoparticles and Epoxidized Natural Rubber. J. Polym. Res. 2017, 24, 41. [Google Scholar] [CrossRef]
- Liang, W.; Duan, Z.; Sun, K.; Liang, H.; Wang, Z.; Guo, C. Mechanical Performance of Nano-Al2O3-Modified Composites at Cryogenic and Room Temperatures. Polym. Compos. 2018, 39, 3006–3012. [Google Scholar] [CrossRef]
- Sun, T.; Fan, H.; Wang, Z.; Liu, X.; Wu, Z. Modified Nano Fe2O3-Epoxy Composite with Enhanced Mechanical Properties. Mater. Des. 2015, 87, 10–16. [Google Scholar] [CrossRef]
- Li, J.; Peng, C.; Li, Z.; Wu, Z.; Li, S. The Improvement in Cryogenic Mechanical Properties of Nano-ZrO2/Epoxy Composites via Surface Modification of Nano-ZrO2. RSC Adv. 2016, 6, 61393–61401. [Google Scholar] [CrossRef]
- Eker, Y.R.; Özcan, M.; Özkan, A.O.; Kırkıcı, H. The Influence of Al2O3 and TiO2 Additives on the Electrical Resistivity of Epoxy Resin-Based Composites at Low Temperature. Macromol. Mater. Eng. 2019, 304, 1800670. [Google Scholar] [CrossRef]
- Islam, M.S.; Chang, W.; Sha, Z.; Wang, J.; Wu, S.; Rose, L.R.F.; Kinloch, A.J.; Wang, C.H. Mitigating Cryogenic Microcracking in Carbon-Fibre Reinforced Polymer Composites Using Negative Thermal-Expansion Nanoparticles Functionalized by a Polydopamine Coating. Compos. Part B Eng. 2023, 257, 110676. [Google Scholar] [CrossRef]
- Mishra, K.; Gidley, D.; Singh, R.P. Influence of Self-Assembled Compliant Domains on the Polymer Network and Mechanical Properties of POSS-Epoxy Nanocomposites under Cryogenic Conditions. Eur. Polym. J. 2019, 116, 283–290. [Google Scholar] [CrossRef]
- Zhao, Y.; Chen, Z.-K.; Liu, Y.; Xiao, H.-M.; Feng, Q.-P.; Fu, S.-Y. Simultaneously Enhanced Cryogenic Tensile Strength and Fracture Toughness of Epoxy Resins by Carboxylic Nitrile-Butadiene Nano-Rubber. Compos. Part A Appl. Sci. Manuf. 2013, 55, 178–187. [Google Scholar] [CrossRef]
- Andújar, J.M.; Segura, F.; Rey, J.; Vivas, F.J. Batteries and Hydrogen Storage: Technical Analysis and Commercial Revision to Select the Best Option. Energies 2022, 15, 6196. [Google Scholar] [CrossRef]
- Yan, Y.; Zhang, J.; Li, G.; Zhou, W.; Ni, Z. Review on Linerless Type V Cryo-Compressed Hydrogen Storage Vessels: Resin Toughening and Hydrogen-Barrier Properties Control. Renew. Sustain. Energy Rev. 2024, 189, 114009. [Google Scholar] [CrossRef]
- Zhang, J.; Yan, Y.; Zhang, C.; Xu, Z.; Li, X.; Zhao, G.; Ni, Z. Properties Improvement of Composite Layer of Cryo-Compressed Hydrogen Storage Vessel by Polyethylene Glycol Modified Epoxy Resin. Int. J. Hydrogen Energy 2023, 48, 5576–5594. [Google Scholar] [CrossRef]
- Zhao, X.; Yan, Y.; Zhang, J.; Zhang, F.; Wang, Z.; Ni, Z. Analysis of Multilayered Carbon Fiber Winding of Cryo-Compressed Hydrogen Storage Vessel. Int. J. Hydrogen Energy 2022, 47, 10934–10946. [Google Scholar] [CrossRef]
- Xing, J.; Geng, P.; Yang, T. Stress and Deformation of Multiple Winding Angle Hybrid Filament-Wound Thick Cylinder under Axial Loading and Internal and External Pressure. Compos. Struct. 2015, 131, 868–877. [Google Scholar] [CrossRef]
- Zhu, T.; Lu, C.; Lu, X.; Zhi, J.; Song, Y. Curing Process Optimization and Mechanical Properties Improvement of Epoxy Resin Copolymer Modified by Epoxy-Terminated Hyperbranched Polyether Sulfone. Polymer 2022, 241, 124535. [Google Scholar] [CrossRef]
- Zhang, J.; Lei, L.; Zhou, W.; Li, G.; Yan, Y.; Ni, Z. Cryogenic Mechanical and Hydrogen-Barrier Properties of Carbon Fiber Composites for Type V Cryo-Compressed Hydrogen Storage Vessels. Compos. Commun. 2023, 43, 101733. [Google Scholar] [CrossRef]
- Yonemoto, K.; Yamamoto, Y.; Okuyama, K.; Ebina, T. Application of CFRP with High Hydrogen Gas Barrier Characteristics to Fuel Tanks of Space Transportation System. Trans. Jpn. Soc. Aeronaut. Space Sci. Space Technol. Jpn. 2009, 7, Pc_13–Pc_18. [Google Scholar] [CrossRef]
- Lu, Y.; Liu, T.; Wang, S.; Sun, Y.; Zhang, Y.; Kang, J.; Li, B.; Gao, Y.; Gao, X.; Fan, W. A Mild, Environmental, and Low-Destructive Recycling Strategy for the 3D Multiaxial Braided Composites Cured by the Vacuum-Assisted Resin Transformed Molding Process. Compos. Commun. 2022, 35, 101354. [Google Scholar] [CrossRef]
- Zhang, T.; Li, Y.; Yuan, Y.; Cui, K.; Wei, W.; Wu, J.; Qin, W.; Wu, X. Spatially Confined Bi2O3–Ti3C2Tx Hybrids Reinforced Epoxy Composites for Gamma Radiation Shielding. Compos. Commun. 2022, 34, 101252. [Google Scholar] [CrossRef]
- Chang, Y.; Zhu, Y.; Xu, F.; Zhang, M.; Liu, Y.; Wang, H. A β-Phase Crystal Poly (Vinylidene Fluoride) Incorporated Epoxy-Based Composite Coating with Excellent Oxygen Barrier and Anti-Corrosion. Compos. Commun. 2023, 37, 101458. [Google Scholar] [CrossRef]
- Flanagan, M.; Grogan, D.M.; Goggins, J.; Appel, S.; Doyle, K.; Leen, S.B.; Ó Brádaigh, C.M. Permeability of Carbon Fibre PEEK Composites for Cryogenic Storage Tanks of Future Space Launchers. Compos. Part A Appl. Sci. Manuf. 2017, 101, 173–184. [Google Scholar] [CrossRef]
- Lei, L.; Zhang, J.; Li, G.; Ni, Z.; Yan, Y. Improve the Gas-Barrier and Mechanical Performance of Epoxy Resin by Co-Modification from Montmorillonite and Polyethylene Glycol. Int. J. Hydrogen Energy 2024, 65, 751–758. [Google Scholar] [CrossRef]
- van Rooyen, L.J.; Karger-Kocsis, J.; David Kock, L. Improving the Helium Gas Barrier Properties of Epoxy Coatings through the Incorporation of Graphene Nanoplatelets and the Influence of Preparation Techniques. J. Appl. Polym. Sci. 2015, 132, 42584. [Google Scholar] [CrossRef]
- Ogasawara, T.; Ishida, Y.; Ishikawa, T.; Aoki, T.; Ogura, T. Helium Gas Permeability of Montmorillonite/Epoxy Nanocomposites. Compos. Part A Appl. Sci. Manuf. 2006, 37, 2236–2240. [Google Scholar] [CrossRef]
- Azeredo, H.M.C. de Nanocomposites for Food Packaging Applications. Food Res. Int. 2009, 42, 1240–1253. [Google Scholar] [CrossRef]
- Baghitabar, K.; Jamshidi, M.; Ghamarpoor, R. Exfoliation, Hydroxylation and Silanization of Two-Dimensional (2D) Montmorillonites (MMTs) and Evaluation of the Effects on Tire Rubber Properties. Polym. Test. 2023, 129, 108265. [Google Scholar] [CrossRef]
- Ghamarpoor, R.; Jamshidi, M.; Fallah, A.; Eftekharipour, F. Preparation of Dual-Use GPTES@ZnO Photocatalyst from Waste Warm Filter Cake and Evaluation of Its Synergic Photocatalytic Degradation for Air-Water Purification. J. Environ. Manag. 2023, 342, 118352. [Google Scholar] [CrossRef] [PubMed]
- Gu, H.; Ma, C.; Liang, C.; Meng, X.; Gu, J.; Guo, Z. A Low Loading of Grafted Thermoplastic Polystyrene Strengthens and Toughens Transparent Epoxy Composites. J. Mater. Chem. C 2017, 5, 4275–4285. [Google Scholar] [CrossRef]
- Ghamarpoor, R.; Fallah, A.; Jamshidi, M.; Salehfekr, S. Using Waste Silver Metal in Synthesis of Z-Scheme Ag@WO3-CeO2 Heterojunction to Increase Photodegradation and Electrochemical Performances. J. Ind. Eng. Chem. 2023, 128, 459–471. [Google Scholar] [CrossRef]













































































Disclaimer/Publisher’s Note: The statements, opinions and data contained in all publications are solely those of the individual author(s) and contributor(s) and not of MDPI and/or the editor(s). MDPI and/or the editor(s) disclaim responsibility for any injury to people or property resulting from any ideas, methods, instructions or products referred to in the content. |
© 2024 by the authors. Licensee MDPI, Basel, Switzerland. This article is an open access article distributed under the terms and conditions of the Creative Commons Attribution (CC BY) license (https://creativecommons.org/licenses/by/4.0/).
Share and Cite
Dagdag, O.; Kim, H. Cryogenic Impact on Carbon Fiber-Reinforced Epoxy Composites for Hydrogen Storage Vessels. J. Compos. Sci. 2024, 8, 459. https://doi.org/10.3390/jcs8110459
Dagdag O, Kim H. Cryogenic Impact on Carbon Fiber-Reinforced Epoxy Composites for Hydrogen Storage Vessels. Journal of Composites Science. 2024; 8(11):459. https://doi.org/10.3390/jcs8110459
Chicago/Turabian StyleDagdag, Omar, and Hansang Kim. 2024. "Cryogenic Impact on Carbon Fiber-Reinforced Epoxy Composites for Hydrogen Storage Vessels" Journal of Composites Science 8, no. 11: 459. https://doi.org/10.3390/jcs8110459
APA StyleDagdag, O., & Kim, H. (2024). Cryogenic Impact on Carbon Fiber-Reinforced Epoxy Composites for Hydrogen Storage Vessels. Journal of Composites Science, 8(11), 459. https://doi.org/10.3390/jcs8110459

