UV-Curable Polymer Nanocomposites: Material Selection, Formulations, and Recent Advances
Abstract
1. Introduction
2. Raw Materials for UV-Curable Acrylate Inks
2.1. Oligomer Types
- (A)
- Standard Oligomers
- Acrylate oligomers: These less-common oligomers possess an acrylate group (CH2=CH-C=O) as their primary functionality. While they do not directly participate in UV curing, they might be incorporated into the ink formulation to modify properties such as viscosity or wetting behavior.
- Epoxy oligomers: These oligomers are defined by the presence of epoxy rings. They offer excellent chemical resistance because of their functional groups. However, they do not directly participate in the light-triggered UV-curing process. They may contribute to film formation through self-polymerization or by reacting with other components in the ink.
- Polyester oligomers: These standard oligomers have a polyester backbone as their dominant feature. This structure provides a balance between rigidity and flexibility, which makes it suitable for specific applications. In addition, they exhibit good adhesion to various substrates. However, similar to epoxy oligomers, they are not directly cured by UV light alone.
- Urethane oligomers: These oligomers incorporate urethane groups (–NH–CO–O–), which are known for their excellent toughness, flexibility, and abrasion resistance. Unlike some previously mentioned oligomers, urethane acrylates, a specific type of urethane oligomer, can directly participate in UV curing. The acrylate functionality within the urethane molecule readily reacts with UV light, thereby contributing to the overall curing process of the ink. Additionally, urethane oligomers can enhance other properties such as adhesion and chemical resistance.
- (B)
- Combined oligomers
- Epoxy acrylate: Epoxy acrylates are a powerful class of oligomers used extensively in UV-curing inks. They offer a winning combination of properties, making them a popular choice for various printing applications. Epoxy acrylates are unique molecules that combine two functionalities within their structure. The epoxy group is a three-membered ring containing oxygen that contributes to excellent chemical resistance and crosslinking in the cured film. The acrylate group is a reactive group with a C=C double bond that readily participates in the UV-curing process, initiated by light and photoinitiators. As an example, bisphenol A epoxy diacrylates are considered oligomers (the structure is shown in Figure 3). It is important to note that the term “oligomer” refers to a molecule that consists of a small number of repeating units or monomers. In the context of epoxy acrylate oligomers like bisphenol A epoxy diacrylates, while they may not have a traditional long chain with numerous repeating units like polymers do, they still qualify as oligomers due to their molecular size and structures. In fact, oligomers typically have a relatively small molecular weight compared with polymers. Even though bisphenol A epoxy diacrylates may not have a long chain with numerous repeating units, they are larger molecules compared with small molecules like monomers. In addition, bisphenol A epoxy diacrylates are formed by the reaction of bisphenol A diglycidyl ether (BADGE) with acrylic acid or acrylate derivatives. This results in a structure where the epoxy backbone is functionalized with two acrylate groups. This structure, while not long and repetitive like polymers, still consists of a few distinct units (BADGE + acrylate groups), which qualifies it as an oligomer.
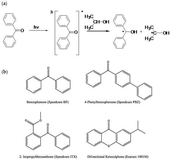
- Polyester acrylate: Polyester acrylates are another important type of oligomer used in UV-curing inks. They offer a good balance of properties between epoxy acrylates and urethane acrylates, making them a versatile choice for many applications. In this oligomer, polyester is a polymer (a chain of repeating units) where the individual units are held together by ester linkages. This chain-like structure provides a good balance of rigidity and flexibility. An acrylate group similar to other acrylate oligomers, it contributes to UV curing through its reactive double bond. The overall process of making polyester acrylate oligomers involves combining polyesterification and acrylation reactions to form an oligomer with both ester and acrylate functionalities (Figure 4, left side). An example of this type of oligomer is PEAM-645, which is a polyester acrylate/methacrylate that exhibits low CTE, high Tg, and high modulus. The oligomer has very high thermal stability and low volatility. The structure of this molecule is shown in Figure 5.
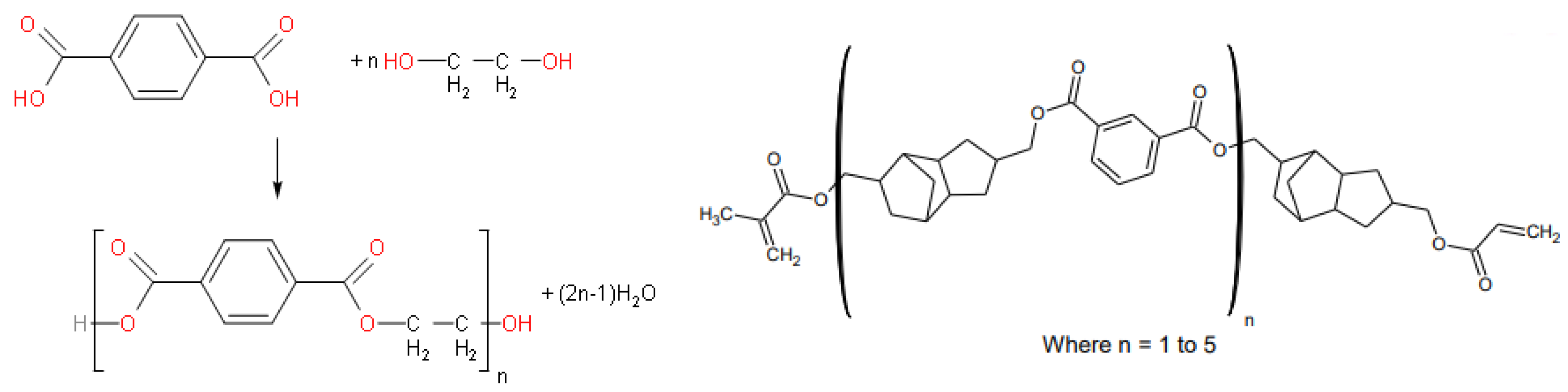
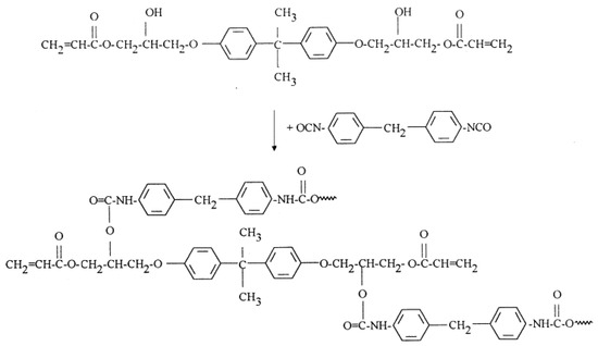
- Epoxy urethane acrylate: Epoxy urethane acrylates are advanced oligomers used in UV-curable formulations, combining the desirable properties of epoxy, urethane, and acrylate chemistries. These oligomers are synthesized by reacting epoxy resins with isocyanates and subsequently end-capping the resulting urethane intermediates with acrylate groups (as shown in Figure 6). This unique chemical structure imparts a balance of mechanical strength, flexibility, and rapid UV-curing capabilities, making epoxy urethane acrylates highly versatile. They are renowned for their excellent adhesion to various substrates, outstanding chemical and abrasion resistance, and superior durability.
2.2. Diluents (Monomers)
- (A)
- Reactive Diluents (Monomers)
- Monofunctional monomers: These are small molecules possessing a single reactive group, often an acrylate or methacrylate moiety (CH2=C(CH3)-C=O or CH2=C(OCH3)-C=O). Unlike their difunctional counterparts, which have two reactive groups and readily participate in crosslinking during polymerization, monofunctional monomers offer a unique advantage—flexibility. Due to their single reactive end, monofunctional monomers primarily act as chain extenders in the polymerization process. They readily react with the growing polymer chains initiated by photoinitiators under UV light, but they cannot form crosslinks with other monomers. This characteristic translates into several key properties. (a) Reduced viscosity: Compared with difunctional monomers, the presence of monofunctional monomers helps to lower the overall viscosity of the resin formulation. This allows for easier processing and application of the UV-curable ink or coating. (b) Enhanced flexibility: By introducing chain extenders with only one reactive end, monofunctional monomers introduce space and limit the formation of a rigid network. This results in a more flexible final cured film, desirable for applications requiring some degree of bendability. (c) Improved adhesion: Certain monofunctional monomers can act as adhesion promoters by chemically bonding to the substrate surface while also participating in the polymer network. This enhances the overall adhesion strength of the cured film. Some examples of common monofunctional monomers are isodecyl acrylate (IDA), phenoxy ethyl acrylate (PEEA), 2-hydroxy ethyl acrylate (2EHA), isobornyl acrylate, and N-vinyl pyrrolidone. Figure 7 shows the structures of common monofunctional monomers.
- Difunctional acrylate monomers: In the world of UV-curable resins, difunctional acrylate monomers serve as the architects of strong, crosslinked networks. These workhorse molecules possess two reactive acrylate groups (CH2=C(CH3)-C=O or CH2=C(OCH3)-C=O) at opposite ends of their structures. This double-headed functionality sets them apart from their monofunctional counterparts and plays a critical role in the curing process. The key characteristic of difunctional acrylates is their ability to participate in crosslinking reactions. During UV light exposure, the acrylate groups readily react with both other difunctional monomers and the growing polymer chains initiated by photoinitiators. This creates a highly branched, three-dimensional network, leading to several important properties. (a) Enhanced strength and rigidity: Crosslinking introduced by difunctional acrylates results in a more rigid and mechanically strong cured film. This characteristic is ideal for applications requiring high mechanical resistance, such as scratch-resistant coatings or impact-resistant adhesives. (b) Improved chemical resistance: The densely crosslinked network formed by difunctional acrylates offers superior resistance to chemicals and solvents. This property makes UV-curable resins based on these monomers suitable for harsh environments. (c) Reduced shrinkage: Due to the tight network formation, difunctional acrylates minimize shrinkage during the curing process. This translates to minimal distortion of the final cured film, maintaining its dimensional integrity. (d) Good pigment-wetting and ink-making properties. Figure 8 shows some common difunctional monomers and their structures. It is worth mentioning that, while difunctional acrylates offer numerous benefits, their potential health risks should not be overlooked. Many of these monomers can cause skin irritation and even sensitization (increased allergic reaction with repeated exposure). This poses a challenge for workers handling these materials. Fortunately, some difunctional acrylates like tripropylene glycol diacrylate (TPGDA) and 1,9-Nonanediol diacrylate (DDA) offer a safer alternative. These monomers exhibit lower skin irritation compared with others, making them preferable choices when handling and safety are paramount.
- Multi-functional acrylate monomers: Multi-functional monomers are chemical compounds that contain more than two reactive groups per molecule, allowing them to form highly crosslinked polymer networks. These monomers are essential in applications where strong, durable, and highly resistant materials are required. Using multi-functional monomers creates a highly branched, three-dimensional network, leading to several important properties. (a) High crosslink density: Multi-functional monomers can form highly crosslinked networks, which enhances the mechanical strength, chemical resistance, and thermal stability of the final polymer. (b) Improved durability: Products made from these monomers are often more durable and resistant to wear, making them suitable for demanding environments. (c) Enhanced performance: In applications like coatings, adhesives, and inks, multi-functional monomers contribute to superior performance characteristics such as gloss, hardness, and resistance to solvents and abrasion. Some common examples of multi-functional monomers and their chemical structures are shown in Figure 9.
- (B)
- Nonreactive Diluents (Monomers)
2.3. Photoinitiators
- (A)
- Free Radical Photoinitiators:
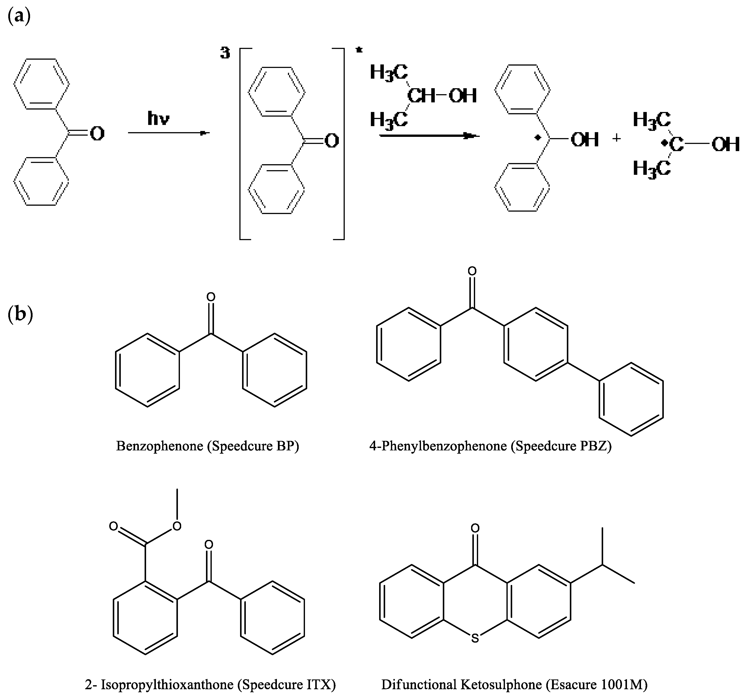
- Type I (cleavage-type) photoinitiators: These photoinitiators undergo bond cleavage when exposed to UV light, producing two free radicals (Figure 11a). Examples include benzoin ethers (e.g., benzoin methyl ether), acetophenones (e.g., 1-Hydroxycyclohexyl phenyl ketone), and benzil ketals (e.g., benzil dimethyl ketal). Benzoin and its derivatives are the most widely used photoinitiators for the radical polymerization of vinyl monomers. Examples are shown in Figure 11b. It is important to note that Type I photoinitiators can be formulated to enhance the dispersion of NFs within the polymer matrix. The reactive radicals can interact with the surface of the NFs, promoting better adhesion between the filler and polymer, thereby improving the overall performance of the nanocomposite.
- Type II (H-transfer) photoinitiators: These photoinitiators interact with a co-initiator (hydrogen donor) to produce free radicals (Figure 12a). These photoinitiating systems consist of a photoinitiator such as benzophenone or thioxanthone and a co-initiator such as alcohol or amine. Radicals are generated in a bimolecular process by the reduction of a photoexcited aromatic carbonyl compound by hydrogen abstraction or electron transfer reactions. Examples include benzophenones (e.g., benzophenone) and thioxanthones (e.g., isopropyl thioxanthone). Some examples are shown in Figure 12b.
- (B)
- Cationic Photoinitiators:
2.4. Nanofillers
2.5. Additives
3. UV-Cured Formulations of Polymer Nanocomposites
3.1. Pre-Dispersing Nanofillers
3.2. Surface Modification Agent
- (A)
- Chemical Surface Modification
- (B)
- Physical Surface Modification
3.3. Blending Nanofillers into UV-Cured Formula
4. Some Examples of Preparing UV-Curable PNCs and Their Applications
5. Challenges and Future Prospects
6. Conclusions
Author Contributions
Funding
Data Availability Statement
Conflicts of Interest
References
- Bastani, S.; Mohseni, M. Chapter 7-UV-Curable Nanocomposite Coatings and Materials. In Handbook of Nanoceramic and Nanocomposite Coatings and Materials; Makhlouf, A.S.H., Scharnweber, D., Eds.; Butterworth-Heinemann: Oxford, UK, 2015; pp. 155–182. [Google Scholar]
- Kang, X.; Li, X.; Li, Y.; Zhang, X.; Duan, Y. Continuous 3D printing by controlling the curing degree of hybrid UV curing resin polymer. Polymer 2021, 237, 124284. [Google Scholar] [CrossRef]
- Patil, R.S.; Thomas, J.; Patil, M.; John, J. To Shed Light on the UV Curable Coating Technology: Current State of the Art and Perspectives. J. Compos. Sci. 2023, 7, 513. [Google Scholar] [CrossRef]
- Schwalm, R. UV Coatings: Basics, Recent Developments and New Applications. Pigm. Resin. Technol. 2008, 37, 6. [Google Scholar]
- Czachor-Jadacka, D.; Pilch-Pitera, B. Progress in development of UV curable powder coatings. Prog. Org. Coat. 2021, 158, 106355. [Google Scholar] [CrossRef]
- Azani, M.R.; Hassanpour, A. High-performance polymer nanocomposites: Advanced fabrication methods and critical insights. J. Polym. Res. 2024, 31, 168. [Google Scholar] [CrossRef]
- Azani, M.R.; Hassanpour, A. Nanotechnology in the fabrication of advanced paints and coatings: Dispersion and stabilization mechanisms for enhanced performance. ChemistrySelect 2024, 9, e202400844. [Google Scholar] [CrossRef]
- El-Molla, M.M. Synthesis of polyurethane acrylate oligomers as aqueous UV-curable binder for inks of ink jet in textile printing and pigment dyeing. Dyes Pigm. 2007, 74, 371–379. [Google Scholar] [CrossRef]
- Hoyle, C.E. Photocurable coatings. In Radiation Curing of Polymeric Materials; American Chemical Society: Washington, DC, USA, 1990; Volume 16. [Google Scholar]
- Elliott, D.J. Ultraviolet Laser Technology and Applications; Elsevier Inc.: Amsterdam, The Netherlands, 1995. [Google Scholar]
- Drobny, J.G. Radiation Technology for Polymers, 3rd ed.; CRC Press: Boca Raton, FL, USA; Taylor and Francis Group: New York, NY, USA, 2021. [Google Scholar]
- Allen, N.S. Photoinitiators for UV and visible curing of coatings: Mechanisms and properties. J. Photochem. Photobiol. A Chem. 1996, 100, 101–107. [Google Scholar] [CrossRef]
- Available online: https://www.threebond.co.jp/en/technical/seminar/ucuringvresin/ (accessed on 1 October 2024).
- Fu, S.; Sun, Z.; Huang, P.; Li, Y.; Hu, N. Some basic aspects of polymer nanocomposites: A critical review. Nano Mater. Sci. 2019, 1, 2–30. [Google Scholar] [CrossRef]
- Kumar, V.; Tang, X. New horizons in nanofiller-based polymer composites II. Polymers 2023, 15, 4259. [Google Scholar] [CrossRef]
- Azani, M.R.; Hassanpour, A. Synthesis of silver nanowires with controllable diameter and simple tool to evaluate their diameter, concentration and yield. ChemistrySelect 2019, 4, 2716. [Google Scholar] [CrossRef]
- Azani, M.R.; Hassanpour, A. Silver nanorings: New generation of transparent conductive films. Chem. Eur. J. 2018, 24, 19195–19199. [Google Scholar] [CrossRef] [PubMed]
- Azani, M.R.; Hassanpour, A.; Tarasevich, Y.Y.; Vodolazskaya, I.V.; Eserkepov, A.V. Transparent electrodes with nanorings: A computational point of view. J. Appl. Phys. 2019, 125, 234903. [Google Scholar] [CrossRef]
- Hasanpour, A.; Mozafari, M.; Azani, M.R.; Hassanpour, A. Study on Bi—Fe3O4 nanocomposite prepared via mechanochem cal processing. Russ. J. Phys. Chem. 2012, 86, 264–267. [Google Scholar] [CrossRef]
- Azani, M.R.; Hassanpour, A.; Plaia, N.; Meshkat, M. Movement-reactor oven and wire mesh filter for large scale solvothermal preparation and purification of silver nanowires with high uniformity in length and diameter to fabricate low and high haze transparent conductive films. Nanoscale Adv. 2019, 1, 2732–2739. [Google Scholar] [CrossRef]
- Azani, M.R.; Hassanpour, A.; Torres, T. Benefits, problems, and solutions of silver nanowire transparent conductive electrodes in indium tin oxide (ITO)-free flexible solar cells. Adv. Energy Mater. 2020, 10, 2002536. [Google Scholar] [CrossRef]
- Azani, M.; Castillo, O.; Gallego, M.L.; Parella, T.; Aullón, G.; Crespo, O.; Laguna, A.; Alvarez, S.; Mas-Ballesté, R.; Zamora, F. The structural diversity triggered by Intermolecular Interactions between AuIS2 groups: Aurophilia and beyond. Chem. Eur. J. 2012, 18, 9965–9976. [Google Scholar] [CrossRef]
- Gentili, D.; Givaja, G.; Mas-Ballesté, R.; Azani, M.R.; Shehu, A.; Leonardi, F.; Mateo-Martí, E.; Greco, P.; Zamora, F.; Cavallini, M. Patterned conductive nanostructures from reversible self-assembly of 1D coordination polymer. Chem. Sci. 2012, 3, 2047–2051. [Google Scholar] [CrossRef]
- Hermosa, C.; Álvarez, J.V.; Azani, M.-R.; Gómez-García, C.J.; Fritz, M.; Soler, J.M.; Gómez-Herrero, J.; Gómez-Navarro, C.; Zamora, F. Intrinsic electrical conductivity of nanostructured metal-organic polymer chains. Nat. Commun. 2013, 4, 1709. [Google Scholar] [CrossRef]
- Pérez Paz, A.; Espinosa Leal, L.A.; Azani, M.R.; Guijarro, A.; Sanz Miguel, P.J.; Givaja, G.; Castillo, O.; Mas-Ballesté, R.; Zamora, F.; Rubio, A. Supramolecular assembly of diplatinum species through weak PtII···PtII intermolecular interactions: A combined experimental and computational study. Chem. Eur. J. 2012, 18, 13787–13799. [Google Scholar] [CrossRef]
- Azani, M.R.; Paz, A.P.; Hermosa, C.; Givaja, G.; Gómez-Herrero, J.; Mas-Ballesté, R.; Zamora, F.; Rubio, A. The isolation of single MMX chains from solution: Unravelling the assembly—Disassembly process. Chem. Eur. J. 2013, 19, 15518–15529. [Google Scholar] [CrossRef] [PubMed]
- Martínez-Periñán, E.; Azani, M.R.; Abad, J.M.; Mateo-Martí, E.; Pariente, F.; Mas-Ballesté, R.; Zamora, F.; Lorenzo, E. Electrochemically generated NPs of halogen-bridgedmixed-valence binuclear metal complex chains. Chem. Eur. J. 2014, 20, 7107–7115. [Google Scholar] [CrossRef] [PubMed]
- Yang, Y.; Cheng, T.; Wu, H.; You, Z.; Shang, D.; Hou, J. Enhanced oil recovery using oleic acid-modified titania nanofluids: Underlying mechanisms and oil-displacement performance. Energy Fuels 2020, 34, 5813–5822. [Google Scholar] [CrossRef]
- Hossain, K.; Florean, L.; Del Tedesco, A.; Cattaruzza, E.; Geppi, M.; Borsacchi, S.; Canton, P.; Benedetti, A.; Riello, P.; Scarso, A. Modification of amorphous mesoporous zirconia NPs with bispho- sphonic acids: A straightforward approach for tailoring the surface properties of the nanoparticles. Chem. Eur. J. 2021, 27, 17941–17951. [Google Scholar] [CrossRef]
- Zhu, M.; Li, S.; Sun, Q.; Shi, B. Enhanced mechanical property, chemical resistance and abrasion durability of waterborne polyurethane based coating by incorporating highly dispersed polyacrylic acid modified graphene oxide. Prog. Org. Coat. 2022, 170, 106949. [Google Scholar] [CrossRef]
- De Menezes, B.R.; Ferreira, F.V.; Silva, B.C.; Simonetti, E.A.N.; Bastos, T.M.; Cividanes, L.S.; Thim, G.P. Effects of octadecylamine functionalization of CNTson dispersion, polarity, and mechanical properties of CNT/HDPE nanocomposites. J. Mater. Sci. 2018, 53, 14311–14327. [Google Scholar] [CrossRef]
- Ahmadi, M.; Monjia, D.; Afshar-Taromi, F. Bio-inspired surface modification of iron oxide nanopartilces for active stabilization in hydrogels. Soft. Matter. 2021, 17, 955–964. [Google Scholar] [CrossRef]
- Aziz, T.; Ullah, A.; Fan, H.; Jamil, M.I.; Khan, F.U.; Ullah, R.; Iqbal, M.; Ali, A.; Ullah, B. Recent progress in silane coupling agent with its emerging applications. J. Polym. Environ. 2021, 29, 3427–3443. [Google Scholar] [CrossRef]
- Ahangaran, F.; Navarchian, A.H. Recent advances in chemical surface modification of Metal oxide nanoparticles with silane coupling agents: A review. Adv. Colloid Interface Sci. 2020, 286, 102298. [Google Scholar] [CrossRef]
- Khinast, J.; Vasiliev, A.N.; Gulliver, E.A.; Riman, R.E. Highly dispersible polymer-coated silver nanomaterial. Surf. Coat. Technol. 2009, 203, 2841–2844. [Google Scholar]
- Ladeira, N.E.; De Melo Furtado, J.G.; Pacheco, E.B. Thermomorphological analysis of Al2O3/HDPE nanocomposites: One approach in function of the processing and vinyltrimethoxysilane (VTMS) content. Polym. Eng. Sci. 2019, 59, 1332–1343. [Google Scholar] [CrossRef]
- Shahbakhsh, S.; Tohidlou, E.; Khosravi, H.J. Yarn evenness parameters optimization in jetring spinning process. Text. Inst. 2020, 111, 550–554. [Google Scholar] [CrossRef]
- Yang, Z.; Tang, Y.; Zhang, J. Surface modification of CaCO3 nanoparticles with silane coupling agent for improvement of the interfacial compatibility with styrene-butadiene rubber (SBR) latex. Chalcogenide Lett. 2013, 10, 131–141. [Google Scholar]
- Qi, L.; Sehgal, A.; Castaing, J.C.; Chapel, J.P.; Fresnais, J.; Berret, J.F.; Cousin, F. Redispersible Hybrid Nanopowders: Cerium Oxide Nanoparticle Complexes with Phosphonated-PEG Oligomers. ACS Nano 2008, 2, 879–888. [Google Scholar] [CrossRef]
- Zhang, Z.J.; Cui, W.; Xu, H.; Xie, L.; Liu, H.; Zhu, L.M.; Li, H.; Ran, R. A free radical assisted strategy for preparing functionalized carbon nanotubes as a highly efficient nucleating agent for poly(l-lactide). RSC Adv. 2015, 5, 16604–16610. [Google Scholar] [CrossRef]
- Agrawal, N.; Low, P.S.; Tan, J.S.J.; Fong, E.W.M.; Lai, Y.; Chen, Z. Durable easy-cleaning and antibacterial cotton fabrics using fluorine-free silane coupling agents and CuO nanoparticles. Nano Mater. Sci. 2020, 2, 281–291. [Google Scholar] [CrossRef]
- Wang, B.; Li, J.; Wang, G.; Liang, W.; Zhang, Y.; Shi, L.; Guo, Z.; Liu, W. Methodology for Robust Superhydrophobic Fabrics and Sponges from In Situ Growth of Transition Metal/Metal Oxide Nanocrystals with Thiol Modification and Their Applications in Oil/Water Separation. ACS Appl. Mater. Interfaces 2013, 5, 1827–1839. [Google Scholar] [CrossRef]
- Roto, R.; Yusran, Y.; Kuncaka, A. Magnetic adsorbent of Fe3O4@SiO2 core-shell nanoparticles modified with thiol group for chloroauric ion adsorption. Appl. Surf. Sci. 2016, 377, 30–36. [Google Scholar] [CrossRef]
- Sundar, S.; Mariappan, R.; Piraman, S. Synthesis and characterization of amine modified magnetite nanoparticles as carriers of curcumin-anticancer drug. Powder Technol. 2014, 266, 321–328. [Google Scholar] [CrossRef]
- Cheng, F.; Sajedin, S.M.; Kelly, A.F.; Lee, A.; Kornherr, A. UV-stable paper coated with APTES-modified P25 TiO2 nanoparticles. Carbohydr. Polym. 2014, 114, 246–252. [Google Scholar] [CrossRef]
- Ahangaran, F.; Hassanzadeh, A.; Nouri, S. Surface modification of Fe3O4@SiO2 microsphere by silane coupling agent. Int. Nano Lett. 2013, 3, 23. [Google Scholar] [CrossRef]
- Obaid, A.N.; Al-Bermany, E. Performance of functionalized graphene oxide to improve anti-corrosion of epoxy coating on 2024-T3 aluminium alloy. Mater. Chem. Phy. 2023, 305, 127849. [Google Scholar] [CrossRef]
- Abbas, S.S.; Rees, G.J.; Kelly, N.L.; Dancer, C.E.J.; Hanna, J.V.; McNally, T. Facile silane functionalization of graphene oxide. Nanoscale 2018, 10, 16231–16242. [Google Scholar] [CrossRef] [PubMed]
- Zhang, Y.; Wang, J.; Zhang, Z.; Wei, K.; Zhang, Z.; Hao, X.; Chen, F. Silane-Modified Graphene Oxide Composite as a Promising Corrosion-Inhibiting Film for Magnesium Alloy AZ31. Front. Mater. 2021, 8, 737792. [Google Scholar] [CrossRef]
- Jiang, H.; Ji, Y.; Gan, J.; Wang, L. Enhancement of Thermal and Mechanical Properties of Bismaleimide Using a Graphene Oxide Modified by Epoxy Silane. Materials 2020, 13, 3836. [Google Scholar] [CrossRef]
- Li, W.; Song, B.; Zhang, S.; Zhang, F.; Liu, C.; Zhang, N.; Yao, H.; Shi, Y. Using 3-Isocyanatopropyltrimethoxysilane to Decorate Graphene Oxide with Nano-Titanium Dioxide for Enhancing the Anti-Corrosion Properties of Epoxy Coating. Polymers 2020, 12, 837. [Google Scholar] [CrossRef] [PubMed]
- Hou, D.; Wu, C.; Yin, B.; Hua, X.; Xu, H.; Wang, X.; Li, S.; Zhou, Y.; Jin, Z.; Xu, W.; et al. Investigation of composite silane emulsion modified by in-situ functionalized graphene oxide for cement-based materials. Constr. Build. Mater. 2021, 304, 124662. [Google Scholar] [CrossRef]
- Chen, C.; Wei, S.; Xiang, B.; Wang, B.; Wang, Y.; Liang, Y.; Yuan, Y. Synthesis of Silane Functionalized Graphene Oxide and Its Application in Anti-Corrosion Waterborne Polyurethane Composite Coatings. Coatings 2019, 9, 587. [Google Scholar] [CrossRef]
- Hou, S.; Su, S.; Kasner, M.L.; Shah, P.; Patel, K.; Madarang, C.J. Formation of highly stable dispersions of silane-functionalized reduced graphene oxide. Chem. Phys. Lett. 2010, 501, 68–74. [Google Scholar] [CrossRef]
- Jia, X.; Ma, J.; Xia, F.; Xu, Y.; Gao, J.; Xu, J. Carboxylic acid-modified metal oxide catalyst for selectivity-tunable aerobic ammoxidation. Nat. Commun. 2018, 9, 933. [Google Scholar] [CrossRef]
- Ma, P.C.; Kim, J.K.; Tang, B.Z. Functionalization of carbon nanotubes using a silane coupling agent. Carbon 2006, 44, 3232–3238. [Google Scholar] [CrossRef]
- Jiang, J.; Mei, C.; Pan, M.; Cao, J. Improved mechanical properties and hydrophobicity on wood flour reinforced composites: Incorporation of silica/montmorillonite nanoparticles in polymers. Polym. Compos. 2020, 41, 1090–1099. [Google Scholar] [CrossRef]
- Jouyandeh, M.; Jazani, O.M.; Navarchian, A.H.; Shabanian, M.; Vahabi, H.; Saeb, M.R. Surface engineering of nanoparticles with macromolecules for epoxy curing: Development of super-reactive nitrogen-rich nanosilica through surface chemistry manipulation. Appl. Surf. Sci. 2018, 447, 152–164. [Google Scholar] [CrossRef]
- Zhao, M.; Ren, Z.Z.; Yang, M.B.; Yang, W. Effects of modified nano-silica on the microstructure of PVDF and its microporous membranes. J. Polym. Res. 2019, 26, 28. [Google Scholar] [CrossRef]
- Cheng, H.L.; Miao, L.; Su, L.F.; Tanemura, S.; Xu, G. Synthesis of Methacryloxypropyltrimethoxysilane Grafting Silica Cryogels Using Xylene as Solvent. Key Eng. Mater. 2012, 512, 563–567. [Google Scholar] [CrossRef]
- Saen, P.; Atai, M.; Nodehi, A.; Solhi, L. Physical characterization of unfilled and nanofilled dental resins: Static versus dynamic mechanical properties. Dent. Mater. 2016, 32, 185–197. [Google Scholar] [CrossRef]
- Wang, C.; Xu, F.; He, M.; Ding, L.; Li, S.; Wei, J. Castor oil-based polyurethane/silica nanocomposites: Morphology, thermal and mechanical properties. Polym. Compos. 2018, 39, e1800–e1806. [Google Scholar] [CrossRef]
- Posthumus, W.; Magusin, P.C.M.M.; Brokken-Zijp, J.C.M.; Tinnemans, A.H.A.; Vander Linde, R. Surface modification of oxidic nanoparticles using 3-methacryloxypropyltrimethoxysilane. J. Colloid Interface Sci. 2004, 269, 109–116. [Google Scholar] [CrossRef]
- Gheonea, R.; Mak, C.; Crasmareanu, E.C.; Simulescu, V.; Plesu, N.; Ilia, G. Surface Modification of SnO2 with Phosphonic Acids. J. Chem. 2017, 1, 2105938. [Google Scholar]
- Manoharan, G.; Bösel, P.; Thien, J.; Holtmannspötter, M.; Meingast, L.; Schmidt, M.; Eickmeier, H.; Haase, M.; Maultzsch, J.; Steinhart, M.; et al. Click-Functionalization of Silanized Carbon Nanotubes: From Inorganic Heterostructures to Biosensing Nanohybrids. Molecules 2023, 28, 2161. [Google Scholar] [CrossRef]
- Hemraj-Benny, T.; Wong, S.S. Silylation of Single—Walled Carbon Nanotubes. Chem. Mater. 2006, 18, 4827–4839. [Google Scholar] [CrossRef]
- Rong, Y.; Chen, H.Z.; Wu, G.; Wang, M. Preparation and characterization of titanium dioxide nanoparticle/polystyrene composites via radical polymerization. Mater. Chem. Phys. 2005, 91, 370–374. [Google Scholar] [CrossRef]
- Shen, X.; Sun, X.; Liu, J.; Hang, J.; Jin, L.; Shi, L. A facile strategy to achieve monodispersity and stability of pigment TiO2 particles in low viscosity systems. J. Colloid Interface Sci. 2021, 581, 586–594. [Google Scholar] [CrossRef]
- Munir, M.U.; Ashraf, M.; Abid, H.A.; Javid, A.; Riaz, S.; Khanzada, H.; Rehman, A.; Iqbal, K. Coating of modified ZnO nanoparticles on cotton fabrics for enhanced functional characteristics. J. Coat. Technol. Res. 2022, 19, 467–475. [Google Scholar] [CrossRef]
- Chen, L.; Xu, J.; Holmes, J.D.; Morris, M.A. A Facile Route to ZnO Nanoparticle Superlattices: Synthesis, Functionalization, and Self-Assembly. J. Phys. Chem. C 2010, 114, 2003–2011. [Google Scholar] [CrossRef]
- Quiñones, R.; Shoup, D.; Behnke, G.; Peck, C.; Agarwal, S.; Gupta, R.K.; Fagan, J.W.; Mueller, K.T.; Iuliucci, R.J.; Wang, Q. Study of Perfluorophosphonic Acid Surface Modifications on Zinc Oxide Nanoparticles. Materials 2017, 10, 1363. [Google Scholar] [CrossRef]
- Maji, P.; Choudhary, R.B.; Majhi, M. Structural, electrical and optical properties of silane-modified ZnO reinforced PMMA matrix and its catalytic activities. J. Non Cryst. Solids 2017, 456, 40–48. [Google Scholar] [CrossRef]
- Azizi, H.; Eslami-Farsani, R. Study of mechanical properties of basalt fibers/epoxy composites containing silane-modified nanozirconia. J. Ind. Text. 2021, 51, 649–663. [Google Scholar] [CrossRef]
- Nguyen, T.C.; Dao, P.H.; Vu, Q.T.; Nguyen, A.H.; Nguyen, X.T.; Ly, T.N.L.; Tran, T.K.N.; Thai, H. Assessment of characteristics and weather stability of acrylic coating containing surface modified zirconia nanoparticles. Prog. Org. Coat. 2022, 163, 106675. [Google Scholar] [CrossRef]
- Feichtenschlager, B.; Pabisch, S.; Svehla, J.; Peterlik, H.; Sajjad, M.; Koch, T.; Kickelbick, G. Epoxy Resin Nanocomposites: The Influence of Interface Modification on the Dispersion Structure—A Small-Angle-X-ray-Scattering Study. Surfaces 2020, 3, 664–682. [Google Scholar] [CrossRef]
- Hwang, Y.; Lee, J.K.; Lee, J.K.; Jeong, Y.M.; Cheong, S.I.; Ahn, Y.C.; Kim, S.H. Production and dispersion stability of nanoparticles in nanofluids. Powder Technol. 2008, 186, 145–153. [Google Scholar] [CrossRef]
- Menbari, A.; Alemrajabi, A.A.; Ghayeb, Y. Experimental investigation of stability and extinction coefficient of Al2O3-CuO binary nanoparticles dispersed in ethylene glycol–water mixture for low-temperature direct absorption solar collectors. Energy Convers. Manag. 2016, 108, 501–510. [Google Scholar] [CrossRef]
- Das, P.K.; Islam, N.; Santra, A.K.; Ganguly, R. Experimental investigation of thermophysical properties of Al2O3–water nanofluid: Role of surfactants. J. Mol. Liq. 2017, 237, 304–312. [Google Scholar] [CrossRef]
- Azoubel, S.; Magdassi, S. The formation of carbon nanotube dispersions by high pressure homogenization and their rapid characterization by analytical centrifuge. Carbon 2010, 48, 3346–3352. [Google Scholar] [CrossRef]
- Bonard, J.M.; Stora, T.; Salvetat, J.P.; Maier, F.; Stöckli, T.; Duschl, C.; Forro, L.; de Heer, W.A.; Chatelain, A. Purification and size-selection of carbon nanotubes †. Adv. Mater. 1997, 9, 827–831. [Google Scholar] [CrossRef]
- Jiang, L.; Gao, L.; Sun, J. Production of aqueous colloidal dispersions of carbon nanotubes. J. Colloid Interface Sci. 2003, 260, 89–94. [Google Scholar] [CrossRef] [PubMed]
- Feng, X.; Lou, X. The effect of surfactants-bound magnetite (Fe3O4) on the photocatalytic properties of the heterogeneous magnetic zinc oxides nanoparticles. Sep. Purif. Technol. 2015, 147, 266–275. [Google Scholar] [CrossRef]
- Ishii, T. Nanoparticle Technology Handbook, 3rd ed.; Elsevier: Amsterdam, The Netherlands, 2018; pp. 715–719. [Google Scholar]
- Vinchhi, P.; Patel, J.K.; Patel, M.M. High-Pressure Homogenization Techniques for Nanoparticles. In Emerging Technologies for Nano-Particle Manufacturing; Patel, J.K., Pathak, Y.V., Eds.; Springer: Berlin, Germany, 2021; pp. 263–285. [Google Scholar]
- Shahmoradi, M.; Rohanizadeh, R.; Sonvico, F.; Ghadiri, M.; Swain, M. Synthesis of stabilized hydroxyapatite nanosuspensions for enamel caries remineralization. Aust. Dent. J. 2018, 63, 356–364. [Google Scholar] [CrossRef]
- Arao, Y.; Mori, F.; Kubouchi, M. Efficient solvent systems for improving production of few-layer graphene in liquid phase exfoliation. Carbon 2017, 118, 18–24. [Google Scholar] [CrossRef]
- Munkhbayar, B.; Nine, M.J.; Jeoun, J.; Bat-Erdene, M.; Hanshik, C.; Hyomin, J. Influence of dry and wet ball milling on dispersion characteristics of the multi-walled carbon nanotubes in aqueous solution with and without surfactant. Powder Technol. 2013, 234, 132–140. [Google Scholar] [CrossRef]
- Yoshio, S.; Tatami, J.; Yamakawa, T.; Wakihara, T.; Komeya, K.; Meguro, T.; Aramaki, K.; Yasuda, K. Dispersion of carbon nanotubes in ethanol by a bead milling process. Carbon 2011, 49, 4131–4137. [Google Scholar] [CrossRef]
- Maria, K.H.; Mieno, T. In CNTs-Recent Progress; InTechOpen: London, UK, 2018. [Google Scholar]
- Chu, W.B.; Yang, J.W.; Liu, T.J.; Tiu, C.; Guo, J. The effects of pH, molecular weight and degree of hydrolysis of poly (vinyl alcohol) on slot die coating of PVA suspensions of TiO2 and SiO2. Colloids Surf. A Physicochem. Eng. Asp. 2007, 302, 1–10. [Google Scholar] [CrossRef]
- Dai, J.; Fernandes, R.M.F.; Regev, O.; Marques, E.F.; Furó, I. Dispersing Carbon Nanotubes in Water with Amphiphiles: Dispersant Adsorption, Kinetics, and Bundle Size Distribution as Defining Factors. J. Phys. Chem. C 2018, 122, 24386–24393. [Google Scholar] [CrossRef]
- Zhang, J.; Gao, L.; Sun, J.; Liu, Y.; Wang, Y.; Wang, J.; Kajiura, H.; Li, Y.; Noda, K. Dispersion of Single-Walled Carbon Nanotubes by Nafion in Water/Ethanol for Preparing Transparent Conducting Films. J. Phys. Chem. C 2008, 112, 16370–16376. [Google Scholar] [CrossRef]
- Othman, S.H.; Rashid, S.A.; Ghazi, T.I.M.; Abdullah, N. Dispersion and Stabilization of Photocatalytic TiO2 Nanoparticles in Aqueous Suspension for Coatings Applications. J. Nanomater. 2012, 2012, 718214. [Google Scholar] [CrossRef]
- Widegren, J.; Bergström, L. Electrostatic Stabilization of Ultrafine Titania in Ethanol. J. Am. Ceram. Soc. 2002, 85, 523–528. [Google Scholar] [CrossRef]
- Monteiro, S.; Dias, A.; Mendes, A.M.; Mendes, J.P.; Serra, A.C.; Rocha, N.; Coelho, J.F.J.; Magalhães, F.D. Stabilization of nano-TiO2 aqueous dispersions with poly (ethylene glycol)-b-poly (4-vinyl pyridine) block copolymer and their incorporation in photocatalytic acrylic varnishes. Prog. Org. Coat. 2004, 77, 1741–1749. [Google Scholar] [CrossRef][Green Version]
- Hak, C.R.C.; Fatanah, D.N.E.; Abdullah, Y.; Meor Sulaiman, M.Y. The effect of surfactants on the stability of TiO2 aqueous suspension. Int. J. Curr. Res. Eng. Sci. Tech. 2018, 1, 172–178. [Google Scholar] [CrossRef]
- Kumar, S.A.; Shankar, J.S.; Gouthaman, S.; Periyasamy, B.K. Effect of electrosteric stabilization of TiO2 nanoparticles on photophysical properties of organic/inorganic hybrid nanocomposite. Mater. Today Commun. 2023, 35, 105533. [Google Scholar] [CrossRef]
- Budarz, J.F.; Turolla, A.; Piasecki, A.F.; Bottero, J.Y.; Antonelli, M.; Wiesner, M.R. Influence of Aqueous Inorganic Anions on the Reactivity of Nanoparticles in TiO2 Photocatalysis. Langmuir 2017, 33, 2770–2779. [Google Scholar] [CrossRef]
- Li, X.; Yoneda, M.; Shimada, Y.; Matsui, Y. Effect of surfactants on the aggregation and stability of TiO2 nanomaterial in environmental aqueous matrices. Sci. Total Environ. 2017, 574, 176–182. [Google Scholar] [CrossRef] [PubMed]
- Tsai, W.B.; Kao, J.Y.; Wu, T.M.; Cheng, W.T. Dispersion of Titanium Oxide Nanoparticles in Aqueous Solution with Anionic Stabilizer via Ultrasonic Wave. J. Nanoparticles 2016, 11, 1–9. [Google Scholar] [CrossRef]
- Costa, J.R.C.; Correia, C.; Góis, J.R.; Silva, S.M.C.; Antunes, F.E.; Moniz, J.; Serra, A.C.; Coelho, J.F.J. Efficient dispersion of TiO2 using tailor made poly (acrylic acid)—Based block copolymers, and its incorporation in water based paint formulation. Prog. Org. Coat. 2017, 104, 34–42. [Google Scholar] [CrossRef]
- Liufu, S.; Xiao, H.; Li, Y. Adsorption of poly (acrylic acid) onto the surface of titanium dioxide and the colloidal stability of aqueous suspension. J. Colloid Interface Sci. 2005, 281, 155–163. [Google Scholar] [CrossRef]
- Krishnakumar, V.; Elansezhian, R. Dispersion stability of zinc oxide nanoparticles in an electroless bath with various surfactants. Mater. Today Proc. 2022, 51, 369–373. [Google Scholar] [CrossRef]
- Hsiang, H.I.; Chang, Y.L.; Chen, C.Y.; Yen, F.S. Silane effects on the surface morphology and abrasion resistance of transparent SiO2/UV-curable resin nano-composites. Appl. Surf. Sci. 2011, 257, 3451–3454. [Google Scholar] [CrossRef]
- Uehara, T.; Nakagawa, M.; Sugihara, O. Preparation of UV-cured organic–inorganic hybrid materials with low refractive index for multilayer film applications. Opt. Mater. Express 2013, 3, 1351–1357. [Google Scholar] [CrossRef]
- Fu, J.; Yu, H.; Wang, L.; Liang, R.; Zhang, C.; Jin, M. Preparation and properties of UV-curable polyurethane acrylate/SiO2 composite hard coatings. Prog. Org. Coat. 2021, 153, 106121. [Google Scholar] [CrossRef]
- Ge, H.; Zhang, J.; Yuan, Y.; Liu, J.; Liu, R.; Liu, X. Preparation of organic–inorganic hybrid silica nanoparticles with contact antibacterial properties and their application in UV-curable coatings. Prog. Org. Coat. 2017, 106, 20–26. [Google Scholar] [CrossRef]
- Chang, C.C.; Oyang, T.Y.; Hwang, F.H.; Chen, C.C.; Cheng, L.P. Preparation of polymer/silica hybrid hard coatings with enhanced hydrophobicity on plastic substrates. J. Non Cryst. Solids 2012, 358, 72–76. [Google Scholar] [CrossRef]
- Wang, Z.; Zhong, R.; Lai, T.; Chen, T. Preparation of UV-Curable Nano-WO3Coating and Its Infrared Shielding Properties. Nanomaterials 2022, 12, 3920. [Google Scholar] [CrossRef] [PubMed]
- Chen, T.; Zhong, R.; Wang, Z. Preparation, Characterization, and Properties of UV-Curable Coating Doped with Nano-SiO2. Materials 2023, 16, 7576. [Google Scholar] [CrossRef] [PubMed]
- Soroushnia, S.; Bastani, S.; Mohseni Bozorgi, M.; Rostami, M. Surface properties and surface patterning of UV-curable coating using perfluorosilane-treated nanosilica. Prog. Org. Coat. 2015, 85, 31–37. [Google Scholar] [CrossRef]
- Hong, H.; Jiang, L.; Tu, H.; Hu, J.; Moon, K.S.; Yan, X.; Wong, C. Rational design and evaluation of UV curable nano-silver ink applied in highly conductive textile-based electrodes and flexible silver-zinc batteries. J. Mater. Sci. Technol. 2022, 101, 294–307. [Google Scholar] [CrossRef]
- Datta, S.; Nanavati, S.; Schuler, N.; Sailer, R.; Vaselaar, D.; Reinholz, A.; Schulz, D.L.; Wells, D.; Webster, D.C. Development of solvent-free UV-curable conductive inks for printed flexible microelectronics. In Proceedings of the Technical Conference Proceedings—UV & EB Technology Expo & Conference, Chicago, IL, USA, 24–26 April 2006; p. 210877062. [Google Scholar]
- Mamat, S.; Abdullah, L.C.; Aung, M.M.; Rashid, S.A.; Salleh, M.Z.; Saalah, S.; Jusoh, E.R.; Rayung, M. Synthesis and Characterization UV-Curable Waterborne Polyurethane Acrylate/Al2O3 Nanocomposite Coatings Derived from Jatropha Oil Polyol. Biointerface Res. Appl. Chem. 2023, 13, 193. [Google Scholar]
- Wang, Y.; Sun, Z.; Yin, P.; Qu, R.; Zhang, Y.; Sun, C. Preparation and Mechanical Properties of UV-Curable Epoxy Acrylate/Modified Aramid Nanofiber Nanocomposite Films. Nanomaterials 2023, 13, 2960. [Google Scholar] [CrossRef]
- Shahriar Chowdhury, M.I.; Autul, Y.S.; Rahman, S.; Hoque, M. 11—Polymer nanocomposites for automotive applications. In Advanced Polymer Nanocomposites; Hoque, M.E., Sharif, K.R.A., Eds.; Woodhead Publishing in Materials; Woodhead Publishing: Sawston, UK, 2022; pp. 267–317. [Google Scholar]
- Bansal, B.; Prakash1, K.; Sharma, K.; Sardana, N.; Kumar, S.; Gupta, N.; Singh, A.K. A Highly Efficient Bilayer Graphene/ZnO/Silicon Nanowire Based Heterojunction Photodetector with Broadband Spectral Response. Nanotechnology 2020, 31, 405205-1–405205-10. [Google Scholar] [CrossRef] [PubMed]
- Mamidi, N.; Delgadillo, R.M.V.; Sustaita, A.O.; Lozano, K.; Yallapu, M.M. Current nanocomposite advances for biomedical and environmental application diversity. Med. Res. Rev. 2024. [Google Scholar] [CrossRef]
- Abu Elella, M.H.; Mohamed, F.; Abdel Gawad, O.F.; Abdallah, H.M. 18—Polymer nanocomposite films and coatings in the textile industry. In Polymer Nanocomposite Films and Coatings; Pandey, M., Deshmukh, K., Hussain, C.H., Eds.; Woodhead Publishing Series in Composites Science and Engineering; Woodhead Publishing: Sawston, UK, 2024; pp. 631–662. [Google Scholar]
- Azani, M.R.; Hassanpour, A. Lectronic textiles (E-Textiles): Types, fabrication methods, and recent strategies to overcome durability challenges (washability & flexibility). J. Mater. Sci. Mater. Electron. 2024, 35, 1897. [Google Scholar]




















| Type of UV-Curable Coating | Description | Advantages | Disadvantages |
|---|---|---|---|
| Water-based | These coatings use water as the primary solvent for the resin and other components. | Low VOC content (environmentally friendly), good adhesion, fast curing times. | Lower water resistance and chemical resistance compared with some solvent-based systems. |
| Solvent-based | These coatings use organic solvents to dissolve the resin and other components. | Excellent durability, excellent chemical resistance, excellent water resistance. | High VOC content (contributes to air pollution); may be subject to stricter regulations. |
| High-solid | These coatings contain a high concentration of resin solids and reactive diluents. The diluents participate in the curing process, reducing the need for traditional solvents. | Lower VOC content compared with traditional solvent-based systems, good performance characteristics, may offer improved scratch and chemical resistance. | May be more expensive than traditional solvent-based systems. Reactive diluents may impact some properties compared with pure resin systems. |
| UV powder | These coatings are similar to traditional powder coatings but cure with UV light instead of heat. They come in dry, free-flowing powder form. | Minimal waste generation (environmentally friendly), efficient application with high transfer efficiency, can offer good chemical and mechanical resistance. | Requires specialized equipment for application and curing. May not be suitable for all applications due to limitations in part geometry or heat sensitivity. |
| Raw Material | Typical % in Ink | Role |
|---|---|---|
| Oligomer | 0–90% | Binds all components together. Forms the backbone of the cured ink film. Can influence properties like flexibility, hardness, and mechanical and chemical properties. |
| Diluent (Monomer) | 0–80% | Lowers viscosity for better flow and printability by adjusting the viscosity of the ink. Contributes to the curing process by reacting with oligomers. |
| Photoinitiator | 0.25–5% | Initiates the curing process by absorbing UV light and generating free radicals. Free radicals then cause oligomers and monomers to react and form a crosslinked network. |
| Nanofillers | 0–45% | Tuning of the composite’s properties to meet specific performance requirements. |
| Additives | 0–5% | Dispersant: Ensures even distribution of pigments throughout the ink. Leveling agent: Promotes smooth and uniform ink film formation. Defoamers: Eliminate air bubbles for better printing quality. Sensitizers: Enhance the photoinitiator’s response to UV light (often used to improve curing depth and speed). Wetting agents: Improve ink adhesion to substrates. Adhesion promoter: Improves the surface slip and scratch resistance of the cured films. Antioxidants: Prevent oxidation of the ink components, improving stability and shelf life. Rheology modifiers: Control the flow and viscosity of the ink, ensuring optimal application properties and printability. |
| Monomer | Modification | Properties | Advantages | Disadvantages | Disadvantages |
|---|---|---|---|---|---|
| Trimethylolpropane triacrylate (TMPTA) | None (unmodified) | High reactivity, excellent mechanical properties, high crosslink density | High strength, chemical resistance, durability | High irritation potential, less flexibility | Lower water resistance and chemical resistance compared with some solvent-based systems |
| Ethoxylated trimethylolpropane triacrylate (ETMPTA) | Ethoxylation | Lower reactivity, increased flexibility, reduced irritation | Reduced skin irritation, improved handling, good mechanical properties | Slightly lower crosslink density, may affect final polymer properties | High VOC content (contributes to air pollution); may be subject to stricter regulations |
| Propoxylated trimethylolpropane triacrylate (PTMPTA) | Propoxylation | May be more expensive than traditional solvent-based systems. Reactive diluents may impact some properties compared with pure resin systems. |
| Type of Monomer | Properties | Advantages | Disadvantages | Examples |
|---|---|---|---|---|
| Monofunctional | Less reactive, lower crosslinking | Less irritating, easier to handle, more flexible | Lower mechanical strength, less chemical resistance | Methyl acrylate, ethyl acrylate, butyl acrylate, N-Vinyl pyrrolidone |
| Difunctional | Moderate reactivity, forms linear or lightly crosslinked polymers | Balanced properties, moderate strength and flexibility | Can be more irritating, less flexible than monofunctional | Triethylene glycol diacrylate (TEGDA), diethylene glycol diacrylate (DEGDA), tripropylene glycol diacrylate (TPGDA) |
| Multi-functional | High reactivity, forms highly crosslinked networks | High strength, excellent chemical and thermal resistance | High potential for irritation, difficult to process, less flexible | Trimethylolpropane triacrylate (TMPTA), pentaerythritol triacrylate (PETA), pentaerythritol tetraacrylate (PETA), dipentaerythritol penta-/hexa-acrylate (DPHA), sorbitol heptaacrylate |
| Type of Nonreactive Plasticizing Diluent | Examples | Uses |
|---|---|---|
| High-boiling esters | Dioctyl phthalate (DOP) | Often used in applications requiring improved thermal stability. |
| Dibutyl phthalate (DBP) | ||
| Dioctyl sebacate (DOS) | ||
| Highly branched alcohols | Isodecyl alcohol | Coatings, paints, inks, and adhesives |
| Isononyl alcohol | ||
| Aromatic ketone family | Benzophenone | Helps protect the cured coating or adhesive from UV-induced degradation over time. |
| Phthalates | Di(2-ethylhexyl) phthalate (DEHP) | Widely used in PVC applications to impart flexibility. |
| Diisononyl phthalate (DINP) | ||
| Adipates | Dioctyl adipate (DOA) | Used in flexible PVC, rubber, and some coatings due to their good low-temperature performance. |
| Diisononyl adipate (DINA) | ||
| Sebacates | Dioctyl sebacate (DOS) | Used in applications requiring low-temperature flexibility and stability, such as aircraft coatings and lubricants. |
| Citrates | Triethyl citrate (TEC) | Often used in food packaging and medical applications due to their low toxicity. |
| Acetyl tributyl citrate (ATBC) | ||
| Polymeric plasticizers | Poly(ethylene glycol) (PEG) | Used in various polymers to improve flexibility and reduce brittleness without leaching out easily. |
| Poly(propylene glycol) (PPG) | ||
| Benzoates | Dipropylene glycol dibenzoate | Used in applications such as sealants, adhesives, and coatings. |
| Diethylene glycol dibenzoate | ||
| Phosphates | Tris(2-ethylhexyl) phosphate (TEHP) | Used in flame-retardant applications and as plasticizers in cellulose-based plastics. |
| Tri-n-butyl phosphate (TBP) |
| Nanofillers | Industry | Application |
|---|---|---|
| Ag | Electronics, healthcare | Antibacterial coatings, conductive films, biosensors |
| Al2O3 | Aerospace, automotive, construction | Flame retardants, wear-resistant components, building materials |
| BaTiO3 | Electronics, energy | Piezoelectric devices, capacitors, energy storage devices |
| CNTs | Electronics, automotive, aerospace | Reinforcing agents for composites, conductive materials, lightweight structures |
| CaCO3 | Packaging, construction, pharmaceuticals | Cost-effective filler, flame retardant, drug delivery carriers |
| Graphene | Electronics, energy, composites | Conductive fillers, transparent electrodes, reinforcement for composites |
| GO | Energy, environmental, biomedical | Supercapacitors, water purification, drug delivery carriers |
| SiO2 | Electronics, construction, healthcare | Flame retardants, scratch-resistant coatings, drug delivery carriers |
| TiO2 | Energy, construction, paints and coatings | Photocatalysts for self-cleaning surfaces, pigments, UV protection in coatings |
| ZnO | Electronics, healthcare, cosmetics | UV absorbers, transparent conductors, sunscreens |
| ZrO2 | Energy, biomedical, ceramics | Solid electrolytes for fuel cells, biocompatible implants, dental |
| Clay | Automotive, packaging, construction | Barrier properties, flame retardants, mechanical reinforcement |
| CNFs | Packaging, automotive, biomedical | Biodegradable composites, lightweight materials, tissue engineering scaffolds |
| Tools | Examples | Principle of Operation | Advantages | Disadvantages | Shear Energy |
|---|---|---|---|---|---|
| Ultrasonic cavitation | Ultrasonic bath (sonicating bath, ultrasound cleaner) | The use of ultrasound waves and cavitations (i.e., the formation, growth, and implosion of bubbles in liquid) in a bath | Cheap, relatively quick in de-agglomeration compared with some other methods, ease of use, non-contact method | Limited scalability; bath format less effective (less shear) compared with probe format; potentially alters the architecture of NPs; heat generation while working for a long time | Medium |
| Ultrasound probe (ultrasonic horn, ultrasonic disruptor, or ultrasonic homogenizer) | Similar to ultrasonic bath but aims to deliver more energy density in a smaller volume in comparison with the corresponding bath format. | Uniform particle size distribution, efficient particle breakdown, reduced agglomeration, speed and real-time control, non-thermal at short time, versatile | Equipment cost, energy consumption, potential for cavitation damage, limited penetration depth in viscose or dense materials, potential for heat generation, sample contamination | High | |
| Stirring | Magnetic stirring | Magnetic stir bar is placed in the liquid to be stirred, and the stirring action is achieved through a rotating magnetic field. | Ease of use, cost-effective, minimal maintenance, variable speed control | Low efficiency, limited shear forces, inefficient for high viscosity, agglomeration concerns, limited scalability, temperature control challenges, uniformity concerns for large samples | low |
| Overhead stirring | It uses a mechanical stirring apparatus mounted overhead, such as a dissolver/blade or impeller disperser. | Efficient agglomerate disruption, rapid processing, versatility, scalability, ease of use | Energy consumption, limited to low-viscosity liquid media, maintenance requirements | Medium | |
| High-shear mixer | High-speed homogenizer | Mechanical shearing forces to break down and disperse particles in a liquid | Efficient particle size reduction, rapid processing, versatility, scalability, uniformity | Heat generation, energy consumption, equipment cost, cavitation, sample contamination, noise generation | High |
| Gyroscopic mixer (high-speed gyro mixer or a gyro mixer) | Uses a rapidly rotating container or vessel to create a gyroscopic effect, promoting efficient mixing and blending of materials. | Uniform mixing, versatility, minimal agglomeration, reduced contamination risk, ease of operation, batch-to-batch consistency | Limited scalability, potential heat generation, equipment cost, limited to low-viscosity materials, maintenance requirements, energy consumption | Medium | |
| Mechanical Milling | Ball milling | The mill imparts a high amount of mechanical energy to the NPs, which causes the agglomerations to break apart. | Uniform particle size reduction, versatility, scalability, ability to adjust parameters to obtain desirable product, high energy efficiency | Time-consuming, heat generation, sample contamination, complexity of optimization, limited to certain materials | High |
| Bead milling | The mill imparts a high amount of mechanical energy to the NPs, which causes the agglomerations to break apart. | High | |||
| Three-roll miller | Material is fed between three horizontally positioned rollers that rotate at different speeds, creating shear forces to break down and disperse particles. | Effective for breaking down agglomerates and achieving fine dispersions, can handle high-viscosity materials, provides consistent and uniform dispersion. | Limited to relatively small batch sizes. Can be time-consuming for large-scale production. Requires careful control to avoid overheating and potential degradation of sensitive materials. | High | |
| High-pressure homogenizer | Microfluidizer | Shear and cavitations provided via increase in the velocity of pressurized liquid stream in micro-channels | Highly efficient dispersion, rapid processing, scalability, versatility, uniformity | Heat generation, energy consumption, equipment cost, cavitation, sample contamination | High |
| Nanomaterials | Anchoring Group | Coupling Agent | Media | Separation | Refs. |
|---|---|---|---|---|---|
| Ag | Thiol and acid | 3-Mercaptopropionic acid (MPA) | Water | Sonication | [35] |
| Al2O3 | Silane | Vinyltrimethoxysilane (VTES) | Methanol | Stirrer | [36] |
| CaCO3 | Silane | 3-glycidoxypropyltrimetoxysilane (3GPTMS) | Ethanol–water | Ultrasonic homogenizer | [37] |
| CaCO3 (50 nm) | Silane | 3-methacryloxypropyltrimethoxysilane (KH570) | Water (pH = 4–5) | Sonication | [38] |
| CeO2 | Phosphonic acid | Phosphonated PEG (PPEG) (phosphonic-acid-terminated PEG oligomers) | Water | Stirrer | [39] |
| CNTs-OH | Silane | 3-methacryloxypropyltrimethoxysilane (KH570) | Water (pH = 4.5) | Sonication/stirrer | [40] |
| CuO | Silane | Aminoethylaminopropyltrimethoxysilane (AEAPTMS) | Methanol | Sonication | [41] |
| Aminopropyltriethoxysilane (APTES) | |||||
| and Methacryloyloxypropyltrimethoxysilane (MPTMS) | |||||
| FeO, CoO, NiO, CuO | Thiol | 1H,1H,2H,2H-perfluorodecane thiol | Anhydrous ethanol | Stirrer | [42] |
| n-Octadecyl thiol | |||||
| Fe3O4@SiO2 | Silane | 3mercaptopropyltrimethoxysilane (3-MPTS) | Toluene | Stirrer | [43] |
| Fe3O4 | Silane | 3-Aminopropyltriethoxy silane (APTES) | Water (pH = 4) | Stir | [44] |
| TiO2 | Silane | 3-Aminopropyltriethoxy silane (APTES) | Xylene | Stir | [45] |
| Fe3O4@SiO2 | Silane | Vinyltriethoxysilane (VTES) | Ethanol + water | Ultrasonic | [46] |
| GO | Silane | 3-Aminopropyltriethoxy silane (APTES) | Water | Stirrer | [47] |
| GO | Silane | Vinyltrimethoxysilane (VTMOS) | Water | Stirrer | [48] |
| GO | Silane | (3-aminopropyl)-triethoxysilane (APS) | Alcohol | Sonication | [49] |
| GO | Silane | 3-glycidyl ether oxypropyl trimethoxysilane | Ethanol + glycol | Sonication | [50] |
| GO | Silane | Isocyanatopropyltrimethoxysilane (IPTMS) | DMF | Sonication/Stirrer | [51] |
| GO | Amine | Dopamine | Water (pH = 8.3) | Sonication | [52] |
| GO | Silane | Vinyltriethoxysilane (VTES) | Water | Sonication/Stirrer | [53] |
| GO | Silane | N-(trimethoxysilylpropyl) ethylenediamine triacetic acid | Ethanol | Sonication/Stirrer | [54] |
| MnOx | Carboxylic acid | n-Hexanoic acid | Acetonitrile | Stir | [55] |
| Acetic acid | |||||
| MWCNTs | Silane | 3-glycidoxypropyltrimethoxy silane (GPTMS) | Toluene | Sonication/Stirrer | [56] |
| SiO2/MMT (Silica/montmorillonite hybrid NPs) | Silane | γ-methacryloxypropyltrimethoxysilane (MPTS) | Ethanol–water | Sonication | [57] |
| SiO2 | Silane | [3-(2,3-epoxypropoxy) propyl] trimethoxysilane (EPPTMS) | Dried DMF | Stir | [58] |
| SiO2 | Silane | 3-(trimethoxysilyl)propylmethacrylate (MPS) (KH570) | Toluene | Ultrasonic | [59] |
| SiO2 | Silane | 3-(trimethoxysilyl)propylmethacrylate (MPS) | Xylene | Magnetic stirring and ultrasonic dispersing | [60] |
| SiO2 | Silane | 3-(trimethoxysilyl)propylmethacrylate (MPS) | Cyclohexane | High-power probe-type ultrasonicator | [61] |
| SiO2 | Silane | 3-glycidoxypropyl-trimethoxysilane (KH560), gmethacryloxypropyltrimethoxysilane (KH570), | Toluene | N/A | [62] |
| SnO, ATO, SiO2 | Silane | 3-(trimethoxysilyl)propylmethacrylate (MPS) | Water–Water/methanol | Commercial water dispersion of NPs | [63] |
| SnO2 | Phosphonic acid | Phenyl-phosphonic acid (PPA) | Water | Stirrer | [64] |
| Vinyl-phosphonic acid (VPA) | |||||
| SWNTs (-COOH) | Silane | 11-bromoundecyltrichlorosilane | Toluene | Stirrer | [65] |
| SWCNTs | Silane | hexaphenyldisilane, trimethoxysilane | Iso-propanol (IPA) | Sonication/stirrer | [66] |
| TiO2 | Silane | 3-(trimethoxysilyl)propylmethacrylate (MPS) | Ethanol | Ultrasonic | [67] |
| TiO2 | Silane | Polymethylhydrosiloxane (PMHS) | Water | Mechanical stirrer | [68] |
| ZnO | Silane | Modified using silanol and tertiary aminebased | Water | N/A | [69] |
| Coupling agents | |||||
| ZnO | Acid/thiol | Oleic acid (OLA) | Toluene | Stir | [70] |
| 1-dodecanethiol (DT) | Methanol (convert OLA to DT) | Stir | |||
| 16-mercaptohexadecanoic acid (MPA) | Methanol (convert OLA to MPA) | Stir | |||
| ZnO | Phosphonic acid | 12-pentafluorophenoxydodecylphosphonic acid (PFPDPA) | THF | Sonication | [71] |
| 2,3,4,5,6pentafluorobenzylphosphonic acid (5FBPA) | |||||
| (1H,1H,2H,2H-Perfluorododecyl)phosphonic acid F21DPPA) | |||||
| ZnO | Silane | 3-Methacryloxy propyl trimethoxy silane (KH-570) | Ethanol–water | Stir | [72] |
| ZrO2 | Silane | 3-methoxy silyl propyl amine | Ethanol 95% + water 5% (pH = 4.5) | Sonication | [73] |
| ZrO2 | Silane | (3-glycidyloxypropyl) triethoxysilane) (GPTES) | Ethanol | Stirrer | [74] |
| ZrO2 | Phosphonic acid | Dodecylphosphonic acid | Water | Sonication | [75] |
| Uncoated NPs (Solid) | Stabilization Type | Stabilization Agent | Media | Separation | Refs. |
|---|---|---|---|---|---|
| Ag | Non-ionic surfactant (steric) | Oleic acid | Siliconoil (DC-704) | High-pressure homogenizer | [76] |
| Al2O3, CuOO | Salt (electrostatic) | Sodium hexametaphosphate (SHMP) | Ethylene glycol/mixture of EG and water (50% each) | Probe sonication | [77] |
| Al2O3 | Surfactants (electrosteric) | CTAB | Water | Magnetic stirrer + probe sonication | [78] |
| SDBS | |||||
| SDS | |||||
| Carbon Black (CB) | Ionic surfactants (electrosteric) | SDS | DI-water | High-pressure homogenizer | [76] |
| CNTs | Non-ionic surfactant (steric) | Ethoxylated octyl phenol | Aqueous solutions | High-pressure homogenizer | [79] |
| CNTs | Ionic surfactants (electrosteric) | SDS | Water | Few minutes after sonication | [80] |
| CNTs | Ionic surfactants (electrosteric) | SDS | Water | Ultrasonication | [81] |
| Fe3O4 | Ionic surfactants (electrosteric) | Tetramethylammonium (TMAH) (cationic surfactant) and citric acid (CA) (anionic surfactant) | Water | Ultrasonic vibration (30 min) | [82] |
| Graphene nanoplates | Non-ionic surfactants (steric) | IGEPAL CO890 | Aqueous solution | Ultrasonic treatment with power of 280 W for 5 min | [83] |
| Graphene oxide (GO) | Ionic surfactants (electrosteric) | SDS | Water | Ball milling with a vibration frequency of 30 Hz for 60 min | [84] |
| Graphite powder | Non-ionic surfactant (steric) | Triton X-100 | Deionized water | High-pressure homogenizer with a D5 diamond nozzle (≈100 µm aperture) | [85] |
| Graphite flakes | Non-ionic surfactant (steric) | Triton X-100 | Water, tetrahydrofuran (THF), DMF, dimethyl sulfoxide (DMSO), acetone, and ethanol | A nozzle-type high-pressure homogenizer | [86] |
| Non-ionic surfactant (steric) | BYK190® | ||||
| Ionic surfactant (electrosteric) | Sodium lauryl sulfate (SDS) | ||||
| Ionic polymer (electrosteric) | Sodium polystyrene sulfonate (PPS) | ||||
| MWCNTs | Ionic surfactants (electrosteric) | SDS | Water | Grinding effects of the planetary-ball milling and ultrasonication | [87] |
| MWCNTs | Ionic polymer (electrosteric) | Poly ethylene imine (EPOMIN SP-103) | Ethanol | Bead milling | [88] |
| MWCNTs, SWCNTs | Non-ionic biomolecule (steric) | Gelatin | Water | Ultrasonic homogenizer equipped with a microtip sonotrode | [89] |
| SiO2, TiO2 | Non-ionic polymer (steric) | Polyvinyl alcohol (PVA) | Water | Stirred for an hour at 2000 rpm using a high-speed mixer | [90] |
| SWCNTs | Non-ionic surfactant (steric) | Pluronic F127 | Water | Sonicated using a Qsonica Q-500 tip sonicator equipped with a 3 mm microtip | [91] |
| SWCNTs | Ionic polymer (electrosteric) | Nafion (perfluorosulfonated cation-exchange polymer) | Water/ethanol (1:1) and (1:3) and pure ethanol | Ultrasonication for 2 h | [92] |
| TiO2 | Polyelectrolyte (electrosteric) | 3% PAA (MW: 2000 g/mol) | Water (pH:8,5) | Ultrasonic homogenizer (probe 13 mm) | [93] |
| Polyelectrolyte (electrosteric) | PAA (MW: 5000 g/mol) | ||||
| Polyelectrolyte (electrosteric) | Ammonium polymethacrylate Darvan C with MW of 13,000 g/mol) | ||||
| TiO2 | Salt (electrostatic) | LiCl | Ethanol | Ultrasonically | [94] |
| TiO2 | Polyelectrolyte (electrosteric) | (Na- PAA) with Mw 2100 g/mol | Water (pH:9) | High-power ultrasound probe | [95] |
| Non-ionic polymers (steric) | mPEG-b-P4VP (amphiphilic copolymers) | ||||
| TiO2 | Surfactant (electrosteric) | SDS (Anionic Surfactant) | Water | Ultrasonic homogenizer | [96] |
| CTAB (Cationic Surfactant) | |||||
| Non-ionic surfactant (steric) | Pluronic F-127 (zwitterionic surfactant) | ||||
| TiO2 | Non-ionic polymer (steric) | Conjugated polymer, (poly(2-methoxy-5-(2-ethylhexyloxy)1,4-phenylenevinylene (MEH-PPV). | THF | (Ultrasonication) in situ polymerization | [97] |
| TiO2 | Salt (electrostatic) | Potassium slats: carbonate, chloride, nitrate, phosphate, and sulfate | Water | Probe sonication | [98] |
| TiO2 | Ionic surfactants (electrosteric) | Anionic sodiumdodecyl sulfate (SDS) | Water | Sonification | [99] |
| Non-ionic surfactants (steric) | Non-ionic nonylphenol ethoxylate (NPEO, Tergitol NP-9) | ||||
| TiO2 | Salt (electrostatic) | Sodium hexametaphosphate (SHMP) | Water | Ultrasonic horn | [100] |
| Polyelectrolyte (electrosteric) | Polyacrylic acid (PAA) | ||||
| TiO2 | Electrostatic | Amphiphilic diblock copolymers of PAA-b-P4VP and PAAb-PDMAEMA (adsorb on TiO2) (electrostatic) | Water | Using sonication (Qsonica | [101] |
| Sonicator Q700, one cycle at 90% for 2 min | |||||
| TiO2 | Electrosteric-polyelectrolyte | PAA | Water | Stirring for 30 min in an ultrasonic bath | [102] |
| ZnO | Non-ionic polymer (steric) | PVP | Water | N/A | [103] |
| Ionic surfactants (electrosteric) | CTAB | ||||
| SDS |
| NMs | Pre-Dispersing NMs/Surface Modification (SM)/SM Process | Monomer | Oligomer/(Pre)polymer | PI | Others (Solvent, etc.) | Blending Methods/Curing | Goal | Refs. |
|---|---|---|---|---|---|---|---|---|
| SiO2 (15 nm) | Stirring and sonication/prehydrolyzed 3-methacryloxypropyltrimethoxysilane (MEMO)/mix and reflux 70 °C-3 h | 1,6-Hexanediol diacrylate (HDDA) is a difunctional acrylate monomer. | Polymer: acrylate resin (4390A, Fonton) | Type 1: 2-hydroxy-2-methyl-1-phenyl propanone | N/A | Simple blending/(12 µm) 150 °C and using medium-pressure Hg lamps (maximum power of 120 W/cm) for 10 min. | Increase abrasion resistance of transparent | [104] |
| Photoinitiator (HDMAP) | SiO2/UV-curable resin nano-composites | |||||||
| Hollow silica 45 nm | None/3-trimethoxysilyl propyl acrylate/centrifugal separator | 1,6-hexanediol diacrylate | N/A | Irgacure 907 (5%) | 1-methoxy-2-propanol | Simple blending/(15 µm) 80 °C for 2 min and then cured by exposure to UV light (100 mW/cm2 monitored at 365 nm) for 10 s | Low refractive index = 1.383 AT 60% NPs | [105] |
| None/3-trimethoxysilyl propyl methacrylate/centrifugal separator | Low refractive index = 1.372 AT 60% NPs | |||||||
| None/3-trimethoxysilyl propyl acrylate/centrifugal separator | 1,6-hexanediol dimethacrylate | Low refractive index = 1.381 AT 60% NPs | ||||||
| None/3-trimethoxysilyl propyl methacrylate/Centrifugal separator | Low refractive index = 1.391 AT 60% NPs | |||||||
| Nano hydrophilic SiO2 | N/A | N/A | Six functionality-based aliphatic polyurethane acrylate oligomer (ETERCURE 6145-100) | Irgacure 184 and Irgacure TPO 4% (ratio 4:1) | IPA | Ultrasonic at R.T. for 10 min/(30 µm) 60 °C for 5 min, high-pressure mercury lamp (800 mJ/cm2) distance 15 cm for 30 s | Hard-coat composite (best hard coat properties were observed from modified hydrophilic sample due to better dispersion and stability) | [106] |
| Ultrasonic 0.5 h/titanate coupling agent (PN-102)/stir 70 °C-5 h | ||||||||
| Nano hydrophobic SiO2 | Ultrasonic 0.5 h/methylsilane/stir 70 °C 5 h | |||||||
| SIO2 (65 nm) | Sonication/grafting ratios of photosensitive groups (modified pentaerythritoltriacrylate (PETA)) and antimicrobial function groups (using quaternary ammonium species)/stir 12 h at R.T. | N/A | CN2302 (hyperbranched polyester acrylate, HBP), SM6103 (acrylated epoxidized soybean oil, AESO) | Irgacure 184 (3%) | Acetone | Simple blending/60 µm by using F300 UVA lamp (UVA intensity of 120 mW cm−2 measured using a UV-int140; DESIGN, Germany) in air | Antibacterial properties | [107] |
| SiO2 | None/3-(trimethoxysilyl)propyl methacrylate (MSMA), and then, NPs were further modified with trimethyethoxysiliane (TMES)/stir 3h at R.T. | 2-Hydroxyethyl methacrylate (2-HEMA) is a monofunctional monomer. | N/A | 2-hydroxy-2- | N/A | Simple blending (mild agitation)/(15 µm) 80 °C for 5 min, followed by UV irradiation at 72 mJ/cm2 | Enhanced hydrophobicity on plastic substrates | [108] |
| methyl-1-phenyl-propan-1-one (Darocure 1173) | ||||||||
| WO3 (10 nm) | None/dispersing in ethyl acetate (EA) by using BYK331/stirring 30 min and ball milling | 1,6-Hexanediol diacrylate (HDDA) is a difunctional acrylate monomer (15% in formula). | Oligomer: polyurethane acrylate (B-619w) (80% in formula) | Irgacure 184 (5% in formula) | Ethyl acetate and ethanol | Simple blending/(Meyer rod 20) 80 °C for 1 min, followed by UV irradiation | Infrared shielding coating | [109] |
| SiO2 | None/dispersing in ethyl acetate (EA) by using polyurethane dispersant Afcona 4071 (a 44–46% solid solution)/stirring and bead milling) | Hexanedioldiacrylate (HDDA) and acrylated dipentaerythritol (DPHA) | Oligomer: polyurethane acrylate (B-619w) | Irgacure 184 (5% in formula) | Ethyl acetate | Simple blending/(Meyer rod 20) 80 °C for 1 min, followed by UV irradiation with mercury light was 365 nm (15 cm-60 s) | A hydrophobic, wear-resistant ultraviolet (UV)-curable coating | [110] |
| Hydrophilic nano-silica (Aerosil 200) (12 nm) | Homogenizer and reflux for 30 min/dispersing NPs with homogenizer and followed perfluoro alkoxysilane ((heptadecafluoro-1,1,2,2-tetra hydrodecyl) triethoxysilane) (AB111156)/reflux 30 min | Trimethylolpropane triacrylate (TMPTA) is a trifunctional monomer. | N/A | TPO, BP photoinitiators | Hexafluoroisopropanol (HFIP) as solvent and amine acrylate as an additive | Zirconium mill for 2 h/(30 µm) evaporate solvent in 15 min and then UV curing | Increase scratch resistance and hydrophobicity | [111] |
| Nano-silver flakes (60% in formula) | γ-(2, 3-Epoxy-propoxy) propytrimethoxysilane (KH-560) added directly to formulation/ 2000 rpm for 1 h at R.T. | Trimethylolpropane triacrylate (TMPTA) and tripropylene glycol diacrylate (TPGDA) (each 5.4% in formula) | Prepolymer: aliphatic polyurethane acrylate (PUA) (24%) | 1-(2- | BYK-555A as defoamer, BYK-333 as leveling agent, KH-560 as surface modifier of NPs and adhesion promoter | 2000 rpm for 1 h at R.T./(screen printed); cured under UV light at an intensity of 250 mw cm−2 for 20 s. | UV-curable conductive inks for wearable electronic applications | [112] |
| hydroxy-5-methylphenyl-1-propanone (1173) (4% in formula) | ||||||||
| Silver nanopowder (<100 nm) and silver flakes (100 nm to 1 μm) | N/A | Tetrahydrofurfuryl acrylate (THFA), cyclohexane-1,2-dicarboxylic acid, 1-methyl-2-propyl ester) (CTMPFA), IBA (isobornyl acrylate) (all mono functional monomer) | N/A | Thermal initiator benzoyl peroxide | Butyl acetate as solvent | Simple blending/heat + UV | UV-curable conductive inks for printed flexible microelectronics | [113] |
| Al2O3 (20 nm) | N/A | Trimethylolpropane triacrylate (TMPTA) (25% in formula) | Oligomer: water-based polyurethane acrylate (WPUA) | Benzophenol 50 wt% (bphenol) (3% in formula) | Water | Sonicated for 35 min/(120 µm) UV-curing machine with a high-pressure mercury lamp, 10 s | The adhesive strength, scratch hardness, and scratch resistance were greatly improved to 5B, 5H, and 2N, respectively. | [114] |
| Aramid nanofibers (ANF) | None/3-(trimethoxysilyl)propyl methacrylate/stir at 80 °C, 24 h A | Tri(propylene glycol) diacrylate (TPGDA) as a difunctional monomer | Oligomer: epoxy acrylate (EA) | Benzophenone (BP): A Type II photoinitiator | Triethanolamine (TEA): A co-initiator or amine synergist | Ultrasonication for 15 min/curing equipment with a Fusion 300 s UV light source (the light intensity was 2.5 W/cm2) | Improving mechanical properties by increasing both tensile stress and Young’s modulus of the films | [115] |
Disclaimer/Publisher’s Note: The statements, opinions and data contained in all publications are solely those of the individual author(s) and contributor(s) and not of MDPI and/or the editor(s). MDPI and/or the editor(s) disclaim responsibility for any injury to people or property resulting from any ideas, methods, instructions or products referred to in the content. |
© 2024 by the authors. Licensee MDPI, Basel, Switzerland. This article is an open access article distributed under the terms and conditions of the Creative Commons Attribution (CC BY) license (https://creativecommons.org/licenses/by/4.0/).
Share and Cite
Azani, M.-R.; Hassanpour, A. UV-Curable Polymer Nanocomposites: Material Selection, Formulations, and Recent Advances. J. Compos. Sci. 2024, 8, 441. https://doi.org/10.3390/jcs8110441
Azani M-R, Hassanpour A. UV-Curable Polymer Nanocomposites: Material Selection, Formulations, and Recent Advances. Journal of Composites Science. 2024; 8(11):441. https://doi.org/10.3390/jcs8110441
Chicago/Turabian StyleAzani, Mohammad-Reza, and Azin Hassanpour. 2024. "UV-Curable Polymer Nanocomposites: Material Selection, Formulations, and Recent Advances" Journal of Composites Science 8, no. 11: 441. https://doi.org/10.3390/jcs8110441
APA StyleAzani, M.-R., & Hassanpour, A. (2024). UV-Curable Polymer Nanocomposites: Material Selection, Formulations, and Recent Advances. Journal of Composites Science, 8(11), 441. https://doi.org/10.3390/jcs8110441
