Mechanical Properties of Iron Powder-Reinforced Polyurea Elastomer
Abstract
1. Introduction
2. Materials and Methods
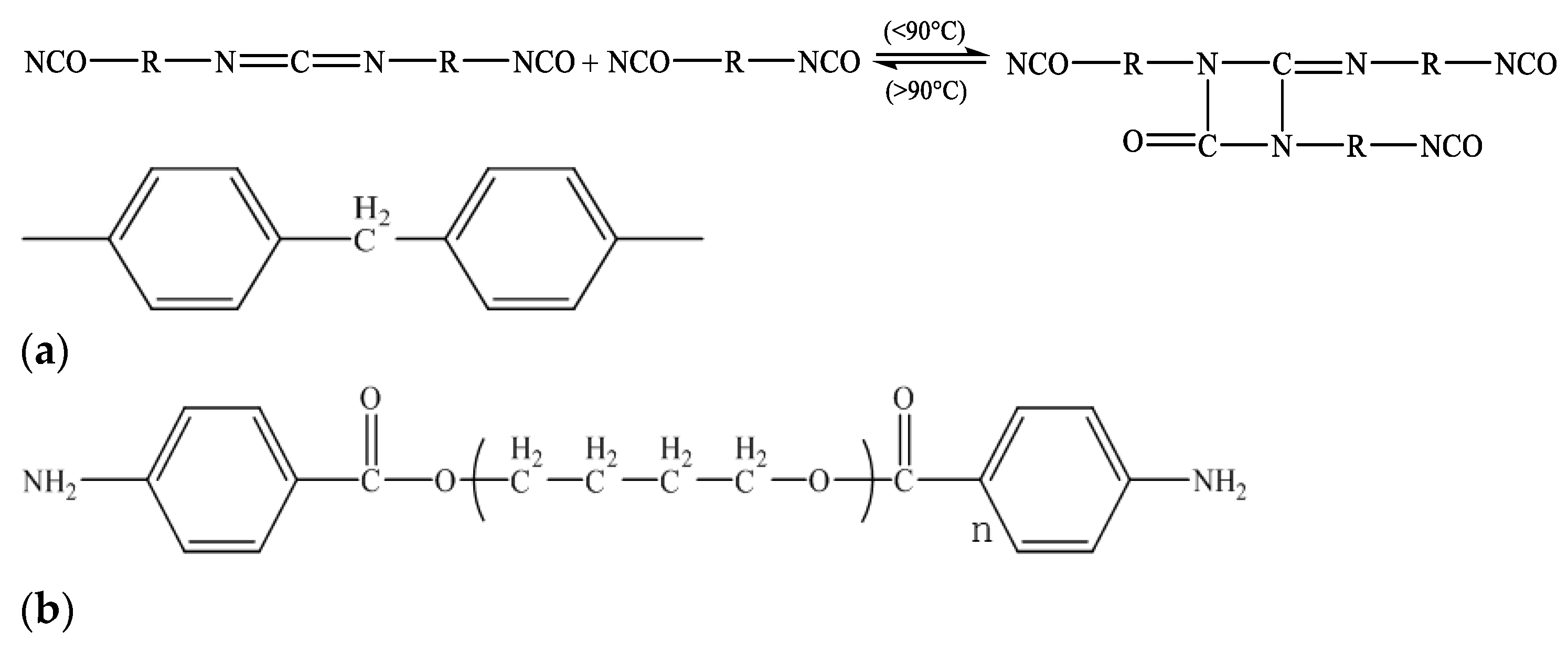
2.1. Materials
2.2. Preparation of the Composites
2.3. Characterization Methods
2.3.1. Density Characterization
2.3.2. Dynamic Mechanical Analysis (DMA)
2.3.3. Quasi-Static Compression Test
2.3.4. Acoustic Test
2.3.5. SEM Analysis
3. Results and Discussion
3.1. Composite Density and Porosity
3.2. Fracture Surface
3.3. Dynamic Mechanical Analysis
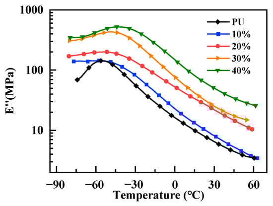
3.3.1. Effect of Filler Volume Fraction on Storage Modulus (E′) and Loss Moduli (E″) with Temperature Change
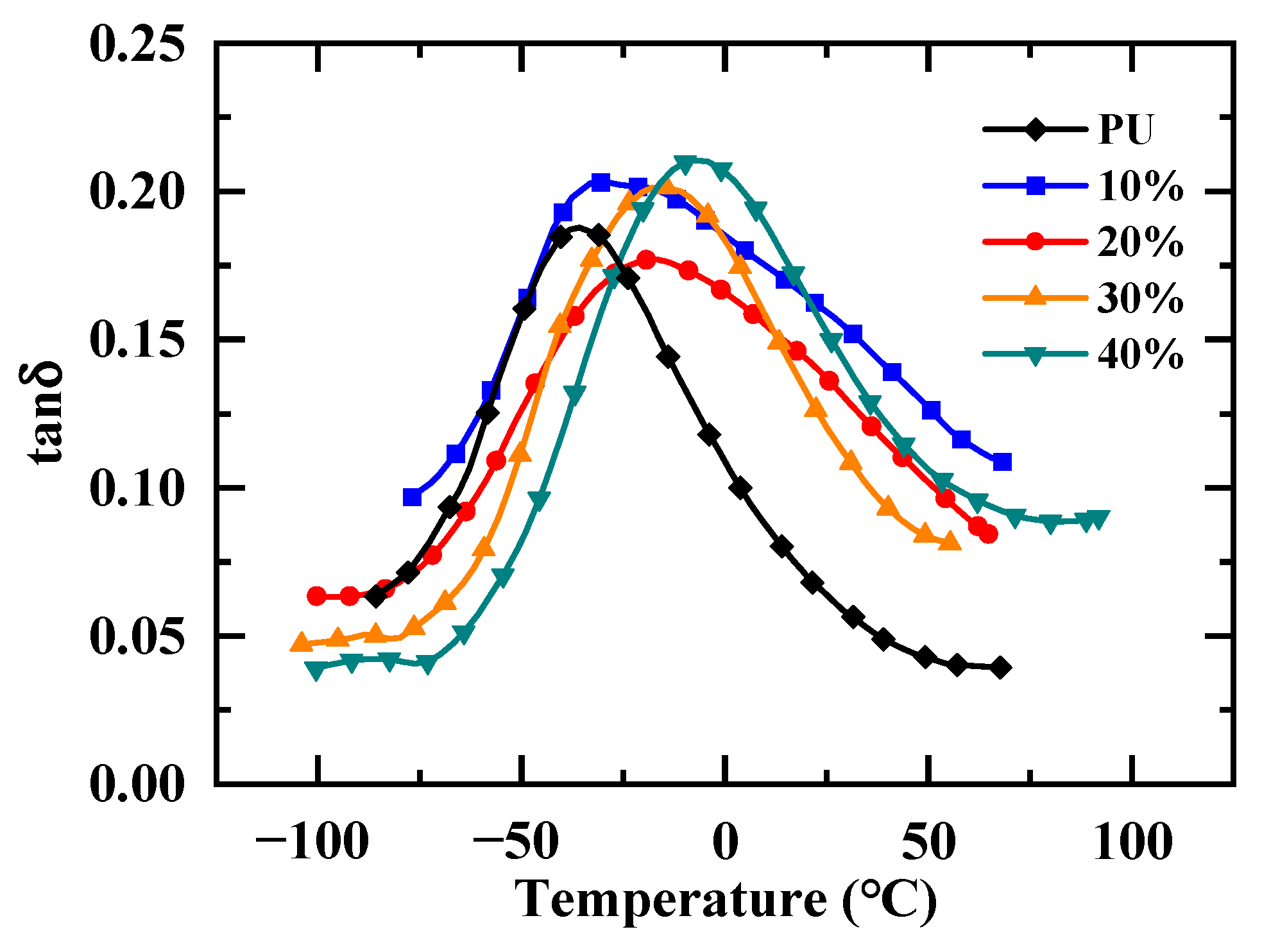
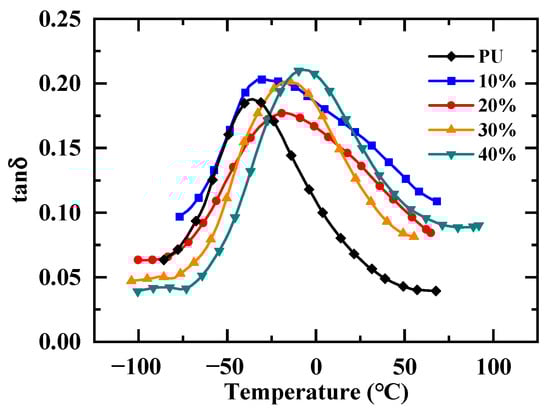
3.3.2. Effect of Filler Volume Fraction on Mechanical Loss Factor (tanδ) with Temperature Change
3.4. Analysis of Quasi-Static Compression Results
3.5. Acoustical Property
4. Conclusions
Author Contributions
Funding
Data Availability Statement
Conflicts of Interest
References
- Shim, J.; Mohr, D. Using Split Hopkinson Pressure Bars to Perform Large Strain Compression Tests on Polyurea at Low, Intermediate and High Strain Rates. Int. J. Impact Eng. 2009, 36, 1116–1127. [Google Scholar] [CrossRef]
- Mirabedini, S.M.; Kiamanesh, A. The Effect of Micro and Nano-Sized Particles on Mechanical and Adhesion Properties of a Clear Polyester Powder Coating. Prog. Org. Coat. 2013, 76, 1625–1632. [Google Scholar] [CrossRef]
- Relosi, N.; Neuwald, O.A.; Zattera, A.J.; Piazza, D.; Kunst, S.R.; Birriel, E.J. Effect of Addition of Clay Minerals on the Properties of Epoxy/Polyester Powder Coatings. Polimeros 2018, 28, 355–367. [Google Scholar] [CrossRef]
- Singh, A.K.; Siddhartha; Yadav, S. Investigation of Sub-Micron Size Cenosphere Fillers and Filler Loading on the Mechanical and Tribological Peculiarity of Polyester Composites. Polym. Adv. Technol. 2017, 28, 1764–1777. [Google Scholar] [CrossRef]
- Qiao, J.; Wu, G. Tensile Properties of Fly Ash/Polyurea Composites. J. Mater. Sci. 2011, 46, 3935–3941. [Google Scholar] [CrossRef]
- Qiao, J.; Nantasetphong, W.; Amirkhizi, A.V.; Nemat-Nasser, S. Ultrasonic Properties of Fly Ash/Polyurea Composites. Mater. Des. 2016, 89, 264–272. [Google Scholar] [CrossRef]
- Lin, J.-H.; Lin, T.A.; Lin, T.R.; Jhang, J.-C.; Lou, C.-W. Processing Techniques and Properties of Metal/Polyester Composite Plain Material: Electromagnetic Shielding Effectiveness and Far-Infrared Emissivity. J. Ind. Text. 2019, 49, 365–382. [Google Scholar] [CrossRef]
- Singh, A.K.; Shishkin, A.; Koppel, T.; Gupta, N. A Review of Porous Lightweight Composite Materials for Electromagnetic Interference Shielding. Compos. B Eng. 2018, 149, 188–197. [Google Scholar] [CrossRef]
- Uluaydin, N.K.; Seker, S.S.; Cerezci, O.; Citkaya, A.Y. Economic Anechoic Chamber Materials with Polyester Acoustic Sponge Matrix. In Proceedings of the 2015 International Conference on Electromagnetics in Advanced Applications, ICEAA 2015, Torino, Italy, 7–11 September 2015; Institute of Electrical and Electronics Engineers Inc.: Piscataway, NJ, USA, 2015; pp. 1292–1295. [Google Scholar]
- Shchegolkov, A.; Shchegolkov, A.; Zemtsova, N.; Vetcher, A.; Stanishevskiy, Y. Properties of Organosilicon Elastomers Modified with Multilayer Carbon Nanotubes and Metallic (Cu or Ni) Microparticles. Polymers 2024, 16, 774. [Google Scholar] [CrossRef]
- Bhavith, K.; Prashanth, P.M.; Sudheed, M.; Ramachandra, C.G.; Maruthi, P.B.H.; Kiran, K.B. The Effect of Metal Filler on the Mechanical Performance of Epoxy Resin Composites. Eng. Proc. 2023, 59, 200. [Google Scholar]
- Botteldooren, D.; Devos, H. Non-Uniform Grids for Acoustical FDTD-Simulations. In Proceedings of the 3rd International Congress on Air- and Structure-Borne Sound and Vibration, Montreal, QC, Canada, 13–15 June 1994; pp. 849–856. [Google Scholar]
- Chen, S.; Jiang, Y.; Chen, J.; Wang, D. The Effects of Various Additive Components on the Sound Absorption Performances of Polyurethane Foams. Adv. Mater. Sci. Eng. 2015, 2015, 317561. [Google Scholar] [CrossRef]
- Cheng, L.; Plantier, G.; Richard, M. Optimal Use of Polymetric Materials in Vibrating Beam Systems with the Consideration of Temperature and Frequency Effects. Can. Acoust. 1992, 20, 17–18. [Google Scholar]
- Li, Z.; Shen, Y.; Gu, X.; Li, J.; Gao, Y. A Novel Underwater Acoustically Transparent Material: Fluorosilicone Polyester Polyurethane. J. Appl. Polym. Sci. 2019, 136, 47894. [Google Scholar] [CrossRef]
- Talebi, Z.; Soltani, P.; Habibi, N.; Latifi, F. Silica Aerogel/Polyester Blankets for Efficient Sound Absorption in Buildings. Constr. Build. Mater. 2019, 220, 76–89. [Google Scholar] [CrossRef]
- Sari, N.H.; Fajrin, J. Acoustic Properties of Sound Absorber from Modified Polyester with Filler Sodium Bicarbonate. Orient. J. Chem. 2018, 34, 2187–2191. [Google Scholar] [CrossRef]
- Seo, Y.; Ko, S.; Ha, H.; Qaiser, N.; Leem, M.; Yoo, S.J.; Jeong, J.H.; Lee, K.; Hwang, B. Stretchable Carbonyl Iron Powder/Polydimethylsiloxane Composites for Noise Suppression in Gigahertz Bandwidth. Compos. Sci. Technol. 2022, 218, 109150. [Google Scholar] [CrossRef]
- Sista, K.S.; Dwarapudi, S.; Kumar, D.; Sinha, G.R.; Moon, A.P. Carbonyl Iron Powders as Absorption Material for Microwave Interference Shielding: A Review. J. Alloys Compd. 2021, 853, 157251. [Google Scholar] [CrossRef]
- Bao, S.; Zhang, M.; Bu, X.; Zhang, W.; Jiang, Z.; Xie, Z. Combinatorial Structural Engineering of Multichannel Hierarchical Hollow Microspheres Assembled from Centripetal Fe/C Nanosheets to Achieve Effective Integration of Sound Absorption and Microwave Absorption. ACS Appl. Mater. Interfaces 2023, 15, 13565–13575. [Google Scholar] [CrossRef]
- Feng, Y.; Qiao, J.; Li, L. Acoustic Behavior of Composites with Gradient Impedance. Mater. Des. 2020, 193, 108870. [Google Scholar] [CrossRef]
- Zhou, D.; Qiu, F.; Wang, H.; Jiang, Q. Manufacture of Nano-Sized Particle-Reinforced Metal Matrix Composites: A Review. Acta Metall. Sin. 2014, 27, 798–805. [Google Scholar] [CrossRef]
- Ye, T.; Xu, Y.; Ren, J. Effects of SiC Particle Size on Mechanical Properties of SiC Particle Reinforced Aluminum Metal Matrix Composite. Mater. Sci. Eng. A 2019, 753, 146–155. [Google Scholar] [CrossRef]
- ISONATETM 143L Modified MDI. Available online: https://www.dow.com/en-us/pdp.isonate-143l-modified-mdi.3010z.html#tech-content (accessed on 4 September 2024).
- VERSALINK® P 1000. Available online: https://www.knowde.com/stores/evonik/products/versalink-p-1000 (accessed on 4 September 2024).
- Qiao, J.; Amirkhizi, A.V.; Schaaf, K.; Nemat-Nasser, S. Dynamic Mechanical Analysis of Fly Ash Filled Polyurea Elastomer. J. Eng. Mater. Technol. Trans. ASME 2011, 133, 011016. [Google Scholar] [CrossRef]
- Marcovich, N.E.; Reboredo, M.M.; Aranguren, M.I. Mechanical Properties of Woodflour Unsaturated Polyester Composites. J. Appl. Polym. Sci. 1998, 70, 2121–2131. [Google Scholar] [CrossRef]
- Cha, Y.-J.; Choe, S. Characterization of Crosslinked Polystyrene Beads and Their Composite in SBR Matrix. J. Appl. Polym. Sci. 1995, 58, 147–157. [Google Scholar] [CrossRef]
- Petrović, Z.; Stojaković, N. Study of Epoxy Resin—Filler Interaction. Polym. Compos. 1988, 9, 42–50. [Google Scholar] [CrossRef]
- Amdouni, N.; Sautereau, H.; Gerard, J.F. Epoxy Composites Based on Glass Beads. I. Viscoelastic Properties. J. Appl. Polym. Sci. 1992, 45, 1799–1810. [Google Scholar] [CrossRef]
- Goyanes, S.N.; Marconi, J.D.; König, P.G.; Martin, M.D.; Mondragon, I. Dynamical Properties of Epoxy Composites Filled with Quartz Powder. J. Alloys Compd. 2000, 310, 374–377. [Google Scholar] [CrossRef]
- Dong, S.; Gauvin, R. Application of Dynamic Mechanical Analysis for the Study of the Interfacial Region in Carbon Fiber/Epoxy Composite Materials. Polym. Compos. 1993, 14, 414–420. [Google Scholar] [CrossRef]
- Padal, K.T.B.; Ramji, K.; Prasad, V.V.S. Dynamic Mechanical Analysis of Jute Nano Fibre Reinforced Composite; Esrsa Publications; IJERT: Gandhinagar, India, 2014. [Google Scholar]
- LIPATOV, I.S.; Demchenko, S.S.; Privalko, V.P. Enthalpy relaxation at the glass-transition of filled polystyrene. Dokl. Akad. Nauk. SSSR 1983, 273, 128–131. [Google Scholar]
- Idicula, M.; Malhotra, S.K.; Joseph, K.; Thomas, S. Dynamic Mechanical Analysis of Randomly Oriented Intimately Mixed Short Banana/Sisal Hybrid Fibre Reinforced Polyester Composites. Compos. Sci. Technol. 2005, 65, 1077–1087. [Google Scholar] [CrossRef]
- Verdejo, R.; Stämpfli, R.; Alvarez-Lainez, M.; Mourad, S.; Rodriguez-Perez, M.A.; Brühwiler, P.A.; Shaffer, M. Enhanced Acoustic Damping in Flexible Polyurethane Foams Filled with Carbon Nanotubes. Compos. Sci. Technol. 2009, 69, 1564–1569. [Google Scholar] [CrossRef]
- Mamtaz, H.; Fouladi, M.H.; Al-Atabi, M.; Namasivayam, S.N. Acoustic Absorption of Natural Fiber Composites. J. Eng. 2016, 2016, 5836107. [Google Scholar] [CrossRef]














| NCO Content (wt.%) | Viscosity (25 °C, cps) | Viscosity Increases (25 °C, cps/mo.) | Density (25 °C, g/cm3) | Boiling Point (°C) |
|---|---|---|---|---|
| 29.2 | 33 | 2–5 | 1.214 | 314 |
| Viscosity (40 °C, cps) | Specific Weight (20 °C) | Melting Point (°C) | Molecular Mass | Equivalent Weight |
|---|---|---|---|---|
| <3000 | 1.01–1.06 | 18–21 | 1238 | 575–625 |
| Volume Fraction (%) | Relative Density (%) | Porosity (%) |
|---|---|---|
| 10 | 99.2 | 0.8 |
| 20 | 96.8 | 3.2 |
| 30 | 92.8 | 7.2 |
| 40 | 91.1 | 8.9 |
| PU | 10% | 20% | 30% | 40% | |
|---|---|---|---|---|---|
| Tg (°C) | −36.1 | −34 | −19.4 | −14.3 | −7.4 |
| Sample | Peak Height | Peak Width (K) |
|---|---|---|
| PU | 0.15 | 59.13 |
| 10% | 0.11 | 85.43 |
| 20% | 0.11 | 88.67 |
| 30% | 0.15 | 70.75 |
| 40% | 0.17 | 76.55 |
Disclaimer/Publisher’s Note: The statements, opinions and data contained in all publications are solely those of the individual author(s) and contributor(s) and not of MDPI and/or the editor(s). MDPI and/or the editor(s) disclaim responsibility for any injury to people or property resulting from any ideas, methods, instructions or products referred to in the content. |
© 2024 by the authors. Licensee MDPI, Basel, Switzerland. This article is an open access article distributed under the terms and conditions of the Creative Commons Attribution (CC BY) license (https://creativecommons.org/licenses/by/4.0/).
Share and Cite
Feng, Y.; Liu, Y. Mechanical Properties of Iron Powder-Reinforced Polyurea Elastomer. J. Compos. Sci. 2024, 8, 440. https://doi.org/10.3390/jcs8110440
Feng Y, Liu Y. Mechanical Properties of Iron Powder-Reinforced Polyurea Elastomer. Journal of Composites Science. 2024; 8(11):440. https://doi.org/10.3390/jcs8110440
Chicago/Turabian StyleFeng, Yiwen, and Yubo Liu. 2024. "Mechanical Properties of Iron Powder-Reinforced Polyurea Elastomer" Journal of Composites Science 8, no. 11: 440. https://doi.org/10.3390/jcs8110440
APA StyleFeng, Y., & Liu, Y. (2024). Mechanical Properties of Iron Powder-Reinforced Polyurea Elastomer. Journal of Composites Science, 8(11), 440. https://doi.org/10.3390/jcs8110440
