Photocatalytic Biohydrogen Production Using ZnO from Aqueous Glycerol Solution with Aid of Simultaneous Cu Deposition
Abstract
:1. Introduction
2. Materials and Methods
2.1. Chemicals and Materials
2.2. Photocatalytic Hydrogen Production
3. Results and Discussion
3.1. Effect of Glycerol Concentration
3.2. Effect of Cu Ion Concentration
3.3. Effect of Temperature
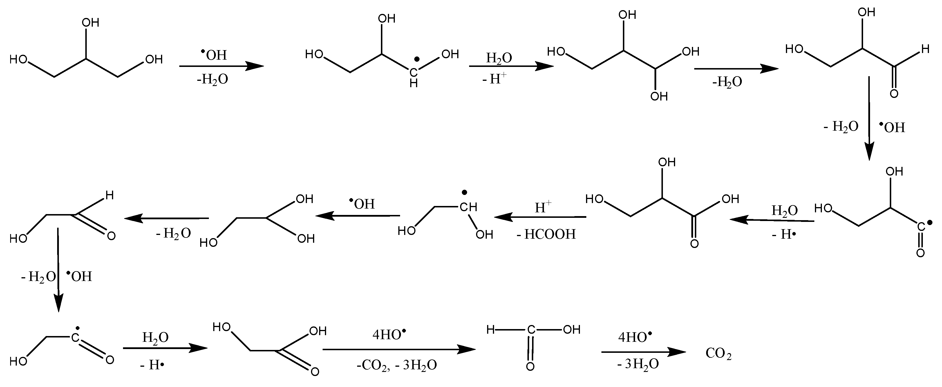
3.4. Reaction Mechanism
4. Conclusions
Author Contributions
Funding
Institutional Review Board Statement
Informed Consent Statement
Data Availability Statement
Acknowledgments
Conflicts of Interest
References
- Manzoor, M.F.; Ahmed, E.; Ahmad, M.; Ahmad, I.; Rana, A.M.; Ali, A.; Ghouri, M.I.; Manzoor, M.S.; Aziz, M.T. Enhanced Photocatalytic Activity of Hydrogen Evolution through Cu Incorporated ZnO Nano Composites. Mater. Sci. Semicond. Process 2020, 120, 105278. [Google Scholar] [CrossRef]
- Choi, S.; Do, J.Y.; Lee, J.H.; Ra, C.S.; Kim, S.K.; Kang, M. Optical Properties of Cu-Incorporated ZnO (CuxZnyO) Nanoparticles and Their Photocatalytic Hydrogen Production Performances. Mater. Chem. Phys. 2018, 205, 206–209. [Google Scholar] [CrossRef]
- Chang, C.J.; Lin, Y.G.; Weng, H.T.; Wei, Y.H. Photocatalytic Hydrogen Production from Glycerol Solution at Room Temperature by ZnO-ZnS/Graphene Photocatalysts. Appl. Surf. Sci. 2018, 451, 198–206. [Google Scholar] [CrossRef]
- Pal, D.B.; Singh, A.; Bhatnagar, A. A Review on Biomass Based Hydrogen Production Technologies. Int. J. Hydrog. Energy 2022, 47, 1461–1480. [Google Scholar] [CrossRef]
- Keskin, T.; Hallenbeck, P.C. Hydrogen Production from Sugar Industry Wastes Using Single-Stage Photofermentation. Bioresour. Technol. 2012, 112, 131–136. [Google Scholar] [CrossRef]
- Fujita, S.; Kawamori, H.; Honda, D.; Yoshida, H.; Arai, M. Photocatalytic Hydrogen Production from Aqueous Glycerol Solution Using NiO/TiO2 Catalysts: Effects of Preparation and Reaction Conditions. Appl. Catal. B Environ. 2016, 181, 818–824. [Google Scholar] [CrossRef]
- Zhao, H.; Yu, X.; Li, C.F.; Yu, W.; Wang, A.; Hu, Z.Y.; Larter, S.; Li, Y.; Golam Kibria, M.; Hu, J. Carbon Quantum Dots Modified TiO2 Composites for Hydrogen Production and Selective Glucose Photoreforming. J. Energy Chem. 2022, 64, 201–208. [Google Scholar] [CrossRef]
- Zhou, C.H.; Beltramini, J.N.; Fan, Y.X.; Lu, G.Q. Chemoselective Catalytic Conversion of Glycerol as a Biorenewable Source to Valuable Commodity Chemicals. Chem. Soc. Rev. 2008, 37, 527–549. [Google Scholar] [CrossRef]
- Hashaikeh, R.; Butler, I.S.; Kozinski, J.A. Selective Promotion of Catalytic Reactions during Biomass Gasification to Hydrogen. Energy Fuels 2006, 20, 2743–2747. [Google Scholar] [CrossRef]
- Davda, R.R.; Shabaker, J.W.; Huber, G.W.; Cortright, R.D.; Dumesic, J.A. A Review of Catalytic Issues and Process Conditions for Renewable Hydrogen and Alkanes by Aqueous-Phase Reforming of Oxygenated Hydrocarbons over Supported Metal Catalysts. Appl. Catal. B Environ. 2005, 56, 171–186. [Google Scholar] [CrossRef]
- Dauenhauer, P.J.; Salge, J.R.; Schmidt, L.D. Renewable Hydrogen by Autothermal Steam Reforming of Volatile Carbohydrates. J. Catal. 2006, 244, 238–247. [Google Scholar] [CrossRef]
- Deluga, G.A.; Salge, J.R.; Schmidt, L.D.; Verykios, X.E. Renewable Hydrogen from Ethanol by Autothermal Reforming. Science 2004, 303, 993–997. [Google Scholar] [CrossRef] [PubMed]
- Byrd, A.J.; Pant, K.K.; Gupta, R.B. Hydrogen Production from Glycerol by Reforming in Supercritical Water over Ru/Al2O3 Catalyst. Fuel 2008, 87, 2956–2960. [Google Scholar] [CrossRef]
- Lyubina, T.P.; Markovskaya, D.V.; Kozlova, E.A.; Parmon, V.N. Photocatalytic Hydrogen Evolution from Aqueous Solutions of Glycerol under Visible Light Irradiation. Int. J. Hydrog. Energy 2013, 38, 14172–14179. [Google Scholar] [CrossRef]
- Liu, S.; Wang, X.; Wang, K.; Lv, R.; Xu, Y. ZnO/ZnS-PdS Core/Shell Nanorods: Synthesis, Characterization and Application for Photocatalytic Hydrogen Production from a Glycerol/Water Solution. Appl. Surf. Sci. 2013, 283, 732–739. [Google Scholar] [CrossRef]
- Wichasilp, C.; Phuruangrat, A.; Thongtem, S. Influence of pH on the Synthesis ZnO Nanorods and Photocatalytic Hydrogen Production from Glycerol Solution. J. Indian Chem. Soc. 2022, 99, 100472. [Google Scholar] [CrossRef]
- Corredor, J.; Rivero, M.J.; Rangel, C.M.; Gloaguen, F.; Ortiz, I. Comprehensive Review and Future Perspectives on the Photocatalytic Hydrogen Production. J. Chem. Technol. Biotechnol. 2019, 94, 3049–3063. [Google Scholar] [CrossRef]
- Beltram, A.; Romero-Ocaña, I.; Josè Delgado Jaen, J.; Montini, T.; Fornasiero, P. Photocatalytic Valorization of Ethanol and Glycerol over TiO2 Polymorphs for Sustainable Hydrogen Production. Appl. Catal. A Gen. 2016, 518, 167–175. [Google Scholar] [CrossRef]
- Zhao, W.; Wang, X.; Sang, H.; Wang, K. Synthesis of Bi-Doped TiO2 Nanotubes and Enhanced Photocatalytic Activity for Hydrogen Evolution from Glycerol Solution. Chin. J. Chem. 2013, 31, 415–420. [Google Scholar] [CrossRef]
- Montini, T.; Gombac, V.; Sordelli, L.; Delgado, J.J.; Chen, X.; Adami, G.; Fornasiero, P. Nanostructured Cu/TiO2 Photocatalysts for H2 Production from Ethanol and Glycerol Aqueous Solutions. ChemCatChem 2011, 3, 574–577. [Google Scholar] [CrossRef]
- Vaiano, V.; Iervolino, G. Photocatalytic Hydrogen Production from Glycerol Aqueous Solution Using Cu-Doped ZnO under Visible Light Irradiation. Appl. Sci. 2019, 9, 2741. [Google Scholar] [CrossRef]
- Suhag, M.H.; Tateishi, I.; Furukawa, M.; Katsumata, H.; Khatun, A.; Kaneco, S. Photocatalytic Hydrogen Production from Formic Acid Solution with Titanium Dioxide with the Aid of Simultaneous Rh Deposition. ChemEngineering 2022, 6, 43. [Google Scholar] [CrossRef]
- Suhag, M.H.; Tateishi, I.; Furukawa, M.; Katsumata, H.; Khatun, A.; Kaneco, S. Application of Rh/TiO2 Nanotube Array in Photocatalytic Hydrogen Production from Formic Acid Solution. J. Compos. Sci. 2022, 6, 327. [Google Scholar] [CrossRef]
- Gomathisankar, P.; Yamamoto, D.; Katsumata, H.; Suzuki, T.; Kaneco, S. Photocatalytic Hydrogen Production with Aid of Simultaneous Metal Deposition Using Titanium Dioxide from Aqueous Glucose Solution. Int. J. Hydrog. Energy 2013, 38, 5517–5524. [Google Scholar] [CrossRef]
- Gomathisankar, P.; Hachisuka, K.; Katsumata, H.; Suzuki, T.; Funasaka, K.; Kaneco, S. Enhanced Photocatalytic Hydrogen Production from Aqueous Methanol Solution Using ZnO with Simultaneous Photodeposition of Cu. Int. J. Hydrog. Energy 2013, 38, 11840–11846. [Google Scholar] [CrossRef]
- Jung, M.; Hart, J.N.; Boensch, D.; Scott, J.; Ng, Y.H.; Amal, R. Hydrogen Evolution via Glycerol Photoreforming over Cu-Pt Nanoalloys on TiO2. Appl. Catal. A Gen. 2016, 518, 221–230. [Google Scholar] [CrossRef]
- Slamet; Tristantini, D.; Valentina; Ibadurrohman, M. Photocatalytic hydrogen production from glycerol–water mixture over Pt-N-TiO2 nanotube photocatalyst. Int. J. Energy Res. 2013, 37, 1372–1381. [Google Scholar] [CrossRef]
- Korzhak, A.V.; Ermokhina, N.I.; Stroyuk, A.L.; Bukhtiyarov, V.K.; Raevskaya, A.E.; Litvin, V.I.; Kuchmiy, S.Y.; Ilyin, V.G.; Manorik, P.A. Photocatalytic Hydrogen Evolution over Mesoporous TiO2/Metal Nanocomposites. J. Photochem. Photobiol. A Chem. 2008, 198, 126–134. [Google Scholar] [CrossRef]
- Kim, G.; Choi, H.J.; Kim, H.I.; Kim, J.; Monllor-Satoca, D.; Kim, M.; Park, H. Temperature-Boosted Photocatalytic H2 Production and Charge Transfer Kinetics on TiO2 under UV and Visible Light. Photochem. Photobiol. Sci. 2016, 15, 1247–1253. [Google Scholar] [CrossRef]
- Toe, C.Y.; Tsounis, C.; Zhang, J.; Masood, H.; Gunawan, D.; Scott, J.; Amal, R. Advancing Photoreforming of Organics: Highlights on Photocatalyst and System Designs for Selective Oxidation Reactions. Energy Environ. Sci. 2021, 14, 1140–1175. [Google Scholar] [CrossRef]
- Avilés-García, O.; Mendoza-Zepeda, A.; Regalado-Méndez, A.; Espino-Valencia, J.; Martínez-Vargas, S.L.; Romero, R.; Natividad, R. Photo-Oxidation of Glycerol Catalyzed by Cu/TiO2. Catalysts 2022, 12, 8. [Google Scholar] [CrossRef]
- Colmenares, J.C.; Luque, R. Heterogeneous Photocatalytic Nanomaterials: Prospects and Challenges in Selective Transformations of Biomass-Derived Compounds. Chem. Soc. Rev. 2014, 43, 765–778. [Google Scholar] [CrossRef] [PubMed]
- Morales-Mendoza, J.E.; Herrera-Pérez, G.; Fuentes-Cobas, L.; Hermida-Montero, L.A.; Pariona, N.; Paraguay-Delgado, F. Synthesis, Structural and Optical Properties of Cu Doped ZnO and CuO–ZnO Composite Nanoparticles. Nano-Struct. Nano-Objects 2023, 34, 100967. [Google Scholar] [CrossRef]
- Yang, Z.; Zhong, W.; Chen, Y.; Wang, C.; Mo, S.; Zhang, J.; Shu, R.; Song, Q. Improving Glycerol Photoreforming Hydrogen Production Over Ag2O-TiO2 Catalysts by Enhanced Colloidal Dispersion Stability. Front. Chem. 2020, 8, 342. [Google Scholar] [CrossRef] [PubMed]
- Wang, C.; Cai, X.; Chen, Y.; Cheng, Z.; Lin, P.; Yang, Z.; Sun, S. Improved Hydrogen Production by Glycerol Photoreforming over Ag2O-TiO2 Nanocomposite Mixed Oxide Synthesized by a Sol-Gel Method. Energy Procedia 2017, 105, 1657–1664. [Google Scholar] [CrossRef]






| Photocatalyst | Medium | Light Source | H2 Generation (µmol h−1 g−1) | Ref. |
|---|---|---|---|---|
| Ag2O-TiO2 | Glycerol | 300W Xe | 104 | [34] |
| Ag2O-TiO2 | Glycerol | 50W Xe | 234 | [35] |
| Cu/ZnO | Methanol | UV | 6.9 | [1] |
| Cu/ZnO | Methanol | 365 nm | 5.84 | [2] |
| Cu/ZnO | Methanol | UV | 59.3 | [25] |
| Cu/ZnO | Methanol | >400 nm | 0.4 | [25] |
| in situ Cu-deposited ZnO | Glycerol | Black light | 72 | This work |
Disclaimer/Publisher’s Note: The statements, opinions and data contained in all publications are solely those of the individual author(s) and contributor(s) and not of MDPI and/or the editor(s). MDPI and/or the editor(s) disclaim responsibility for any injury to people or property resulting from any ideas, methods, instructions or products referred to in the content. |
© 2023 by the authors. Licensee MDPI, Basel, Switzerland. This article is an open access article distributed under the terms and conditions of the Creative Commons Attribution (CC BY) license (https://creativecommons.org/licenses/by/4.0/).
Share and Cite
Suhag, M.H.; Tateishi, I.; Furukawa, M.; Katsumata, H.; Khatun, A.; Kaneco, S. Photocatalytic Biohydrogen Production Using ZnO from Aqueous Glycerol Solution with Aid of Simultaneous Cu Deposition. J. Compos. Sci. 2023, 7, 361. https://doi.org/10.3390/jcs7090361
Suhag MH, Tateishi I, Furukawa M, Katsumata H, Khatun A, Kaneco S. Photocatalytic Biohydrogen Production Using ZnO from Aqueous Glycerol Solution with Aid of Simultaneous Cu Deposition. Journal of Composites Science. 2023; 7(9):361. https://doi.org/10.3390/jcs7090361
Chicago/Turabian StyleSuhag, Mahmudul Hassan, Ikki Tateishi, Mai Furukawa, Hideyuki Katsumata, Aklima Khatun, and Satoshi Kaneco. 2023. "Photocatalytic Biohydrogen Production Using ZnO from Aqueous Glycerol Solution with Aid of Simultaneous Cu Deposition" Journal of Composites Science 7, no. 9: 361. https://doi.org/10.3390/jcs7090361
APA StyleSuhag, M. H., Tateishi, I., Furukawa, M., Katsumata, H., Khatun, A., & Kaneco, S. (2023). Photocatalytic Biohydrogen Production Using ZnO from Aqueous Glycerol Solution with Aid of Simultaneous Cu Deposition. Journal of Composites Science, 7(9), 361. https://doi.org/10.3390/jcs7090361

