Research on Improving Energy Storage Density and Efficiency of Dielectric Ceramic Ferroelectric Materials Based on BaTiO3 Doping with Multiple Elements
Abstract
1. Introduction
1.1. Comparison of Energy Storage Material Performance
1.2. Classification of Energy Storage Dielectric Materials
- (a)
- Linear dielectrics are materials that exhibit a linear relationship between the applied electric field and the resulting polarization. These materials have a low dielectric constant and do not possess any inherent polarization or ferroelectric properties. They are commonly used in capacitors for their insulation and energy storage capabilities [5]. However, their energy storage density is relatively low compared to other dielectric materials due to their limited polarization response.
- (b)
- Ferroelectrics: Ferroelectric materials are dielectrics that exhibit spontaneous electric polarization that can be reversed by an external electric field. They have a high dielectric constant and hysteresis behavior, making them suitable for energy storage applications. The polarization in ferroelectrics is typically induced by a phase transition and is maintained even after the removal of the electric field. This property allows for high energy storage density and makes ferroelectrics desirable for capacitors in various electronic devices.
- (c)
- Relaxor ferroelectrics: Relaxor ferroelectrics are a special class of ferroelectric material that exhibit a broad and frequency-dependent dielectric response. Unlike traditional ferroelectrics, their polarization response is more disordered and relaxes over a wide temperature range. Relaxor ferroelectrics have high energy storage densities and can withstand high electric fields, making them useful in applications where high energy storage and high-power density are required, such as pulsed power systems.
- (d)
- Antiferroelectrics: Antiferroelectric materials are dielectrics that exhibit alternating regions of electric polarization with opposite directions. Unlike ferroelectrics, antiferroelectrics have zero net polarization even in the presence of an external electric field. However, they can store energy by switching the polarization direction, similar to ferroelectrics. Antiferroelectrics have shown potential for high energy storage density and fast charge–discharge rates, making them promising candidates for capacitors in applications that require rapid energy transfer.
2. Literature Review
2.1. Basic Principles of Dielectric Energy Storage
2.1.1. Dielectrics and Polarization
2.1.2. Parallel Plate Capacitor
2.1.3. Dielectric Loss
2.1.4. Hysteresis Loop and Spontaneous Polarization
2.1.5. Calculation of Energy Storage Density
- (a)
- Charging process
- (b)
- Discharging process
- (c)
- Energy efficiency
2.2. Structural Characteristics of BaTiO3-Based Relaxor Ferroelectric Ceramics
3. Research Methodology
3.1. Sample Preparation
3.2. Sintering Process
3.3. Characterization Techniques
3.3.1. X-ray Diffraction (XRD)
3.3.2. Raman Spectroscopy
3.3.3. Dielectric Measurements
3.3.4. Impedance Measurements
3.3.5. Polarization Measurements
3.3.6. Energy Storage Performance
4. Results and Discussion
4.1. XRD and Raman Spectrum Analysis
4.2. Dielectric Behavior Analysis
4.3. Impedance Analysis
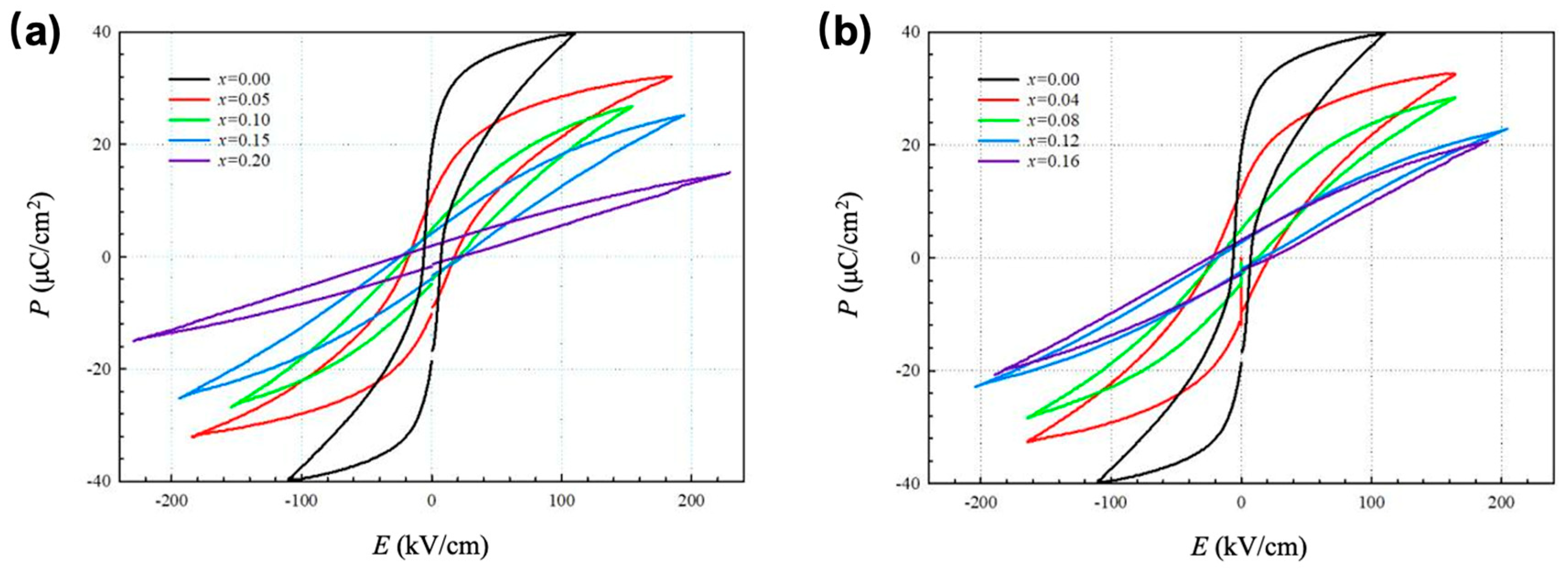
4.4. Polarization Measurements and Energy Storage Performance Analysis
5. Limitation and Future Works
6. Conclusions
Author Contributions
Funding
Institutional Review Board Statement
Informed Consent Statement
Data Availability Statement
Conflicts of Interest
References
- Winter, M.; Brodd, R.J. What are batteries, fuel cells, and supercapacitors? Chem. Rev. 2004, 104, 4245–4270. [Google Scholar] [CrossRef] [PubMed]
- Han, K.; Li, Q.; Chen, Z.; Gadinski, M.R.; Dong, L.; Xiong, C.; Wang, Q. Suppression of energy dissipation and enhancement of breakdown strength in ferroelectric polymer-graphene percolative composites. J. Mater. Chem. C 2013, 1, 7034–7042. [Google Scholar] [CrossRef]
- Yang, L.T.; Kong, X.; Li, F.; Hao, H.; Cheng, Z.; Liu, H.; Li, J.-F.; Zhang, S. Perovskite lead-free dielectrics for energy storage applications. Prog. Mater. Sci. 2019, 102, 72–108. [Google Scholar] [CrossRef]
- Chu, B.J.; Zhou, X.; Ren, K.L.; Neese, B.; Lin, M.; Wang, Q.; Bauer, F.; Zhang, Q.M. A dielectric polymer with high electric energy density and fast discharge speed. Science 2006, 313, 334–336. [Google Scholar] [CrossRef]
- Whittingham, M.S. Materials challenges facing electrical energy storage. MRS Bull. 2008, 33, 411–419. [Google Scholar] [CrossRef]
- Liu, Z.; Lu, T.; Ye, J.M.; Wang, G.; Dong, X.; Withers, R.; Liu, Y. Antiferroelectrics for energy storage applications: A review. Adv. Mater. Technol. 2018, 3, 1800111. [Google Scholar] [CrossRef]
- Hao, X.H. A review on the dielectric materials for high energy-storage application. J. Adv. Dielectr. 2013, 3, 1330001. [Google Scholar] [CrossRef]
- Yao, Z.H.; Song, Z.L.; Hao, H.; Yu, Z.; Cao, M.; Zhang, S.; Lanagan, M.T.; Liu, H. Homogeneous/inhomogeneous-structured dielectrics and their energy-storage performances. Adv. Mater. 2017, 29, 1601727. [Google Scholar] [CrossRef]
- Li, Q.; Han, K.; Gadinski, M.R.; Dong, L.; Xiong, C.; Wang, Q. High energy and power density capacitors from solution-processed ternary ferroelectric polymer nanocomposites. Adv. Mater. 2014, 26, 6244–6249. [Google Scholar] [CrossRef]
- Xiao, S.; Xiu, S.M.; Shen, B.; Zhai, J. Microstructure evolution and energy storage of potassium strontium niobate boroaluminosilicate glass-ceramics by microwave crystallization. J. Eur. Ceram. Soc. 2016, 36, 4071–4076. [Google Scholar] [CrossRef]
- Wang, Y.F.; Cui, J.; Yuan, Q.B.; Niu, Y.; Bai, Y.; Wang, H. Significantly enhanced breakdown strength and energy storage in sandwich-structured Barium Titanate/Poly(vinylidene fluoride) nanocomposites. Adv. Mater. 2015, 27, 6658–6663. [Google Scholar] [CrossRef] [PubMed]
- Zhong, W.L. Ferroelectric Physics; Science Press: Beijing, China, 1996. [Google Scholar]
- Wu, Z.; Cohen, R.E. Pressure-induced anomalous phase transitions and colossal enhancement of piezoelectricity in PbTiO3. Phys. Rev. Lett. 2005, 95, 037601. [Google Scholar] [CrossRef] [PubMed]
- Zhu, L.F. Phase Structure Regulation and Performance Enhancement Mechanism of High-Performance Lead-Free Barium Titanate-Based Piezoelectric Ceramics. Ph.D. Thesis, University of Science and Technology Beijing, Beijing, China, 2015. [Google Scholar]
- Wang, X. Study on the Dielectric Energy Storage Characteristics of Barium Titanate-Based Ferroelectric Ceramics. Ph.D. Thesis, Shandong University, Jinan, China, 2020. [Google Scholar]
- Duan, X.; Luo, W.; Wu, W.; Yuan, J. Dielectric response of ferroelectric relaxors. Solid State Commun. 2000, 114, 597–600. [Google Scholar] [CrossRef]
- Tang, B. Research on the Development and Modification Mechanism of Temperature-Stable MLCC Ceramic Materials. Ph.D. Thesis, University of Electronic Science and Technology of China, Chengdu, China, 2008. [Google Scholar]
- Guo, H.F.; Chen, X.M. Raman spectroscopy study of BaTiO3 ferroelectric phase transition. J. Jiaozuo Univ. 2003, 17, 35–37. [Google Scholar]
- Yue, Y.; Lu, D.Y. Influence of strontium doping on structural phase transition and Raman charge effect of lanthanum barium titanate ceramics. J. Jilin Inst. Chem. Technol. 2013, 30, 42–44. [Google Scholar]
- Yang, J.L. Study on the Dielectric Stability of Barium Titanate-Based Ceramics. Ph.D. Thesis, National University of Defense Technology, Changsha, China, 2019. [Google Scholar]
- Jin, L.; Li, F.; Zhang, S. Decoding the Fingerprint of Ferroelectric Loops: Comprehension of the Material Properties and Structures. J. Am. Ceram. Soc. 2014, 97, 1. [Google Scholar] [CrossRef]
- Kreisel, J.; Bouvier, P.; Maglione, M.; Dkhil, B.; Simon, A. High-pressure Raman investigation of the Pb-free relaxor BaTi0.65Zr0.35O3. Phys. Rev. B 2004, 69, 092104. [Google Scholar] [CrossRef]
- Hu, Q.; Bian, J.; Zelenovskiy, P.S.; Hu, Q.; Bian, J.; Zelenovskiy, P.S.; Tian, Y.; Jin, L.; Wei, X.; Xu, Z.; et al. Symmetry changes during relaxation process and pulse discharge performance of the BaTiO3-Bi(Mg1/2Ti1/2)O3 ceramic. J. Appl. Phys. 2018, 124, 054101. [Google Scholar] [CrossRef]
- Yang, L.Y.; Li, X.Y.; Allahyarov, E.; Taylor, P.L.; Zhang, Q.M.; Zhu, L. Novel polymer ferroelectric behavior via crystal isomorphism and the nanoconfinement effect. Polymer 2013, 54, 1709–1728. [Google Scholar] [CrossRef]
- Raengthon, N.; DeRose, V.J.; Brennecka, G.L.; Cann, D.P. Defect mechanisms in high resistivity BaTiO3-Bi(Zn1/2Ti1/2)O3 ceramics. Appl. Phys. Lett. 2012, 101, 112904. [Google Scholar] [CrossRef]
- Shamim, M.K.; Sharma, S.; Singh, A.; Rai, R.; Rani, R. Study of the structural and electrical behavior of Bi(Mg,Ti)O3 modified (Ba,Ca)TiO3 ceramics. J. Adv. Dielectr. 2016, 6, 1650035. [Google Scholar] [CrossRef]
- Li, Z.; Fan, H. Polaron relaxation associated with the localized oxygen vacancies in Ba0.85Sr0.15TiO3 ceramics at high temperatures. J. Appl. Phys. 2009, 106, 054102. [Google Scholar] [CrossRef]
- Elissalde, C.; Ravez, J. Ferroelectric ceramics: Defects and dielectric relaxations. J. Mater. Chem. 2001, 11, 1957–1967. [Google Scholar] [CrossRef]
- Sinclair, D.C.; West, A.R. Impedance and modulus spectroscopy of semiconducting BaTiO3; showing positive temperature coefficient of resistance. J. Appl. Phys. 1989, 66, 3850–3856. [Google Scholar] [CrossRef]
- Hirose, N.; West, A.R. Impedance Spectroscopy of Undoped BaTiO3 Ceramics. J. Am. Ceram. Soc. 1996, 79, 1633–1641. [Google Scholar] [CrossRef]
- Muhammad, R.; Iqbal, Y.; Reaney, I.M. BaTiO3-Bi(Mg2/3Nb1/3)O3 Ceramics for High-Temperature Capacitor Applications. J. Am. Ceram. Soc. 2016, 99, 2089–2095. [Google Scholar] [CrossRef]
- Chen, J.X. Synthesis and Properties of Perovskite Oxides Based on Barium Titanate. Ph.D. Thesis, East China Normal University, Shanghai, China, 2022. [Google Scholar]













Disclaimer/Publisher’s Note: The statements, opinions and data contained in all publications are solely those of the individual author(s) and contributor(s) and not of MDPI and/or the editor(s). MDPI and/or the editor(s) disclaim responsibility for any injury to people or property resulting from any ideas, methods, instructions or products referred to in the content. |
© 2023 by the authors. Licensee MDPI, Basel, Switzerland. This article is an open access article distributed under the terms and conditions of the Creative Commons Attribution (CC BY) license (https://creativecommons.org/licenses/by/4.0/).
Share and Cite
Sun, J.; Li, Y. Research on Improving Energy Storage Density and Efficiency of Dielectric Ceramic Ferroelectric Materials Based on BaTiO3 Doping with Multiple Elements. J. Compos. Sci. 2023, 7, 233. https://doi.org/10.3390/jcs7060233
Sun J, Li Y. Research on Improving Energy Storage Density and Efficiency of Dielectric Ceramic Ferroelectric Materials Based on BaTiO3 Doping with Multiple Elements. Journal of Composites Science. 2023; 7(6):233. https://doi.org/10.3390/jcs7060233
Chicago/Turabian StyleSun, Jiaxuan, and Yuanzhe Li. 2023. "Research on Improving Energy Storage Density and Efficiency of Dielectric Ceramic Ferroelectric Materials Based on BaTiO3 Doping with Multiple Elements" Journal of Composites Science 7, no. 6: 233. https://doi.org/10.3390/jcs7060233
APA StyleSun, J., & Li, Y. (2023). Research on Improving Energy Storage Density and Efficiency of Dielectric Ceramic Ferroelectric Materials Based on BaTiO3 Doping with Multiple Elements. Journal of Composites Science, 7(6), 233. https://doi.org/10.3390/jcs7060233

