Bach-Type Polycondensation with the Aid of Hemoglobin as an Oxygen Supplier, and Synthetic/Bio-Composite
Abstract
:1. Introduction
2. Materials and Methods
2.1. Materials
2.1.1. Synthesis of Polyazobenzene
2.1.2. Synthesis of Polyazobenzene/Hemoglobin
3. Results and Discussion
3.1. Infrared Absorption Spectroscopy (IR)
3.2. Electrical Conductivity
3.3. Surface Temperature
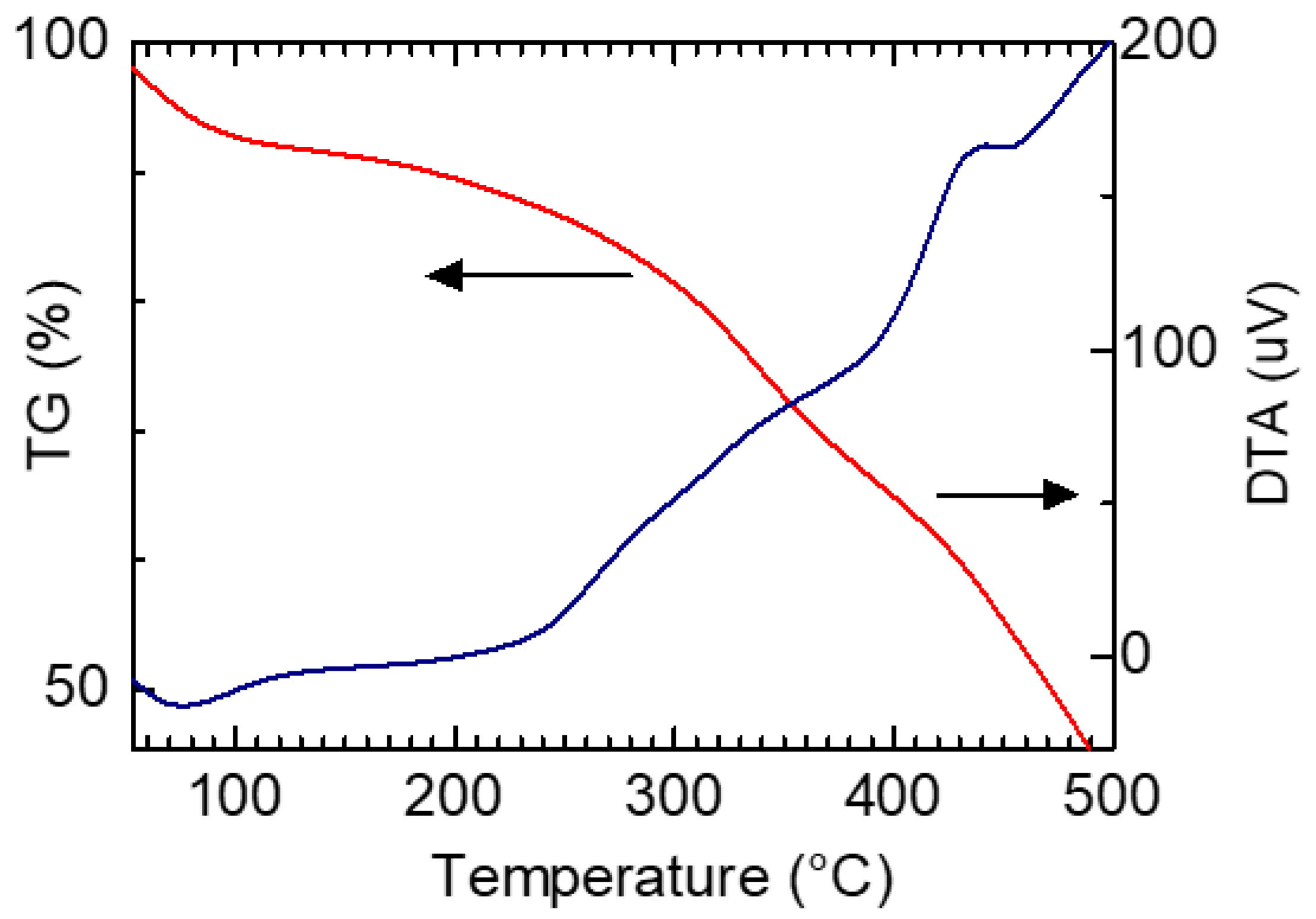
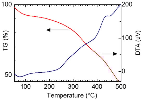
3.4. Thermal Analysis
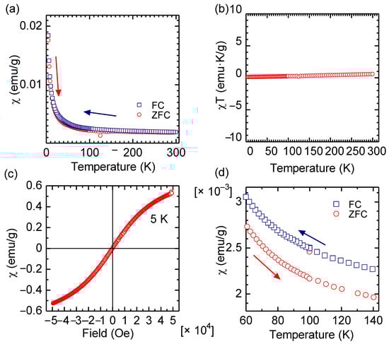
3.5. Biocompatibility
4. Conclusions
5. Techniques
Author Contributions
Funding
Institutional Review Board Statement
Informed Consent Statement
Data Availability Statement
Acknowledgments
Conflicts of Interest
References
- Bach, H.C. Oxidative coupling of primary aromoatic diamines-aromatic azopolymers. ACS Polym. Prep. 1966, 7, 576–581. [Google Scholar]
- Selvaraj, V.; Karthika, T.S.; Mansiya, C.; Alagar, M. An over review on recently developed techniques, mechanisms and intermediate involved in the advanced azo dye degradation for industrial applications. J. Mol. Struct. 2021, 1224, 129195. [Google Scholar] [CrossRef]
- Mehvish Ajaz, M.; Shakeel, S.; Rehman, A. Microbial use for azo dye degradation a strategy for dye bioremediation. Int. Microbiol. 2020, 23, 149–159. [Google Scholar] [CrossRef]
- Rawat, D.; Sharma, R.S.; Karmakar, S.; Arora, L.S.; Mishra, V. Ecotoxic potential of a presumably non-toxic azo dye. Ecotoxicol. Environ. Saf. 2018, 148, 528–537. [Google Scholar] [CrossRef]
- Harichandran, G.; Prasad, S. SonoFenton degradation of an azo dye, Direct Red. Ultrason. Sonochem. 2016, 29, 178–185. [Google Scholar] [CrossRef]
- Masashi Otaki, M.; Kumai, R.; Sagayama, H.; Goto, H. Synthesis of Polyazobenzenes Exhibiting Photoisomerization and Liquid Crystallinity. Polymers 2019, 11, 348. [Google Scholar] [CrossRef] [Green Version]
- Kuenstler, A.S.; Clark, K.D.; Alaniz, J.R.; Hayward, R.C. Reversible actuation via photoisomerization-induced melting of a semicrystalline poly(azobenzene). ACS Macro Lett. 2020, 9, 902–909. [Google Scholar] [CrossRef]
- Dowds, M.; Bank, D.; Strueben, J.; Soto, D.P.; Sönnichsen, F.D.; Renth, F.; Temps, F.; Staubitz, A. Efficient reversible photoisomerisation with large solvodynamic size-switching of a main chain poly(azobenzene-alt-trisiloxane). J. Mater. Chem. 2020, 8, 1835–1845. [Google Scholar] [CrossRef]
- Zhang, Y.; Zhao, X.; Yuan, J.; An, X.; Sun, X.; Yi, J.; Song, X.M. Fast and self-recoverable photoinduced deformation behavior of azobenzene-containing poly(arylene ether)s with binaphthalene groups. J. Mater. Chem. C 2021, 9, 14139–14145. [Google Scholar] [CrossRef]
- Mosim Ansari, M.; Bera, R.; Mondal, S.; Das, N. Triptycene-Derived Photoresponsive Fluorescent Azo-Polymer as Chemosensor for Picric Acid Detection. ACS Omega 2019, 4, 9383–9392. [Google Scholar] [CrossRef] [Green Version]
- Oliveira, A.O.; Seraphim, P.M.; Teixeira, M.F.S. Methylated DNA impedimetric immunosensor based on azo-polymer-AuNPs dots and 5-methylcytosine antibody using dissolved oxygen as a redox probe. Electrochem. Commun. 2022, 136, 107242. [Google Scholar] [CrossRef]
- Alauddin, S.M.; Aripin, N.F.K.; Velayutham, T.S.; IrakliChaganava, I.; Alfonso, M.F. The role of conductivity and molecular mobility on the photoanisotropic response of a new azo-polymer containing sulfonic groups. J. Photochem. Photobiol. A 2020, 389, 112268. [Google Scholar] [CrossRef]
- Masuda, K.; Shinozaki, R.; Shiraishi, A.; Ichijo, M.; Yamane, K.; Miyamoto, K.; Omatsu, T. Picosecond optical vortex-induced chiral surface relief in an azo-polymer film. J. Nanophotonics 2020, 14, 016012. [Google Scholar] [CrossRef] [Green Version]
- Hu, X.; Tang, K.; Liu, S.G.; Zhang, Y.Y.; Zou, G.L. Hemoglobin biocatalysts synthesis of a conducting polyaniline. Reac. Funct. Polym. 2005, 65, 239–248. [Google Scholar] [CrossRef]
- Dong, J.; Li, X.; Zhou, Y.; Lu, Y.; Lv, Y.; Chi, Y.; He, O. Interactions of gallic acid with porcine hemoglobin: Effect on the redox state and structure of hemoglobin. J. Agric. Food Chem. 2021, 69, 397–403. [Google Scholar] [CrossRef]
- Xu, X.; Cui, Y.; Bu, H.; Chen, J.; Li, Y.; Tang, G.; Wang, L.Q. A photosensitizer loaded hemoglobin–polymer conjugate as a nanocarrier for enhanced photodynamic therapy. J. Mater. Chem. B 2018, 6, 1825–1833. [Google Scholar] [CrossRef]
- Mott, N.F.; Davis, E.A. Electronic Process in Non-Crystalline Materials, 2nd ed.; Oxford University Press: Oxford, UK, 1971. [Google Scholar]
- Komaba, K.; Goto, H. Soliton excitations in liquid crystal polyacetylene. Mol. Cryst. Liq. Cryst. 2020, 703, 69–78. [Google Scholar] [CrossRef]












Publisher’s Note: MDPI stays neutral with regard to jurisdictional claims in published maps and institutional affiliations. |
© 2022 by the authors. Licensee MDPI, Basel, Switzerland. This article is an open access article distributed under the terms and conditions of the Creative Commons Attribution (CC BY) license (https://creativecommons.org/licenses/by/4.0/).
Share and Cite
Ichikawa, M.; Miyashita, R.; Goto, H. Bach-Type Polycondensation with the Aid of Hemoglobin as an Oxygen Supplier, and Synthetic/Bio-Composite. J. Compos. Sci. 2022, 6, 217. https://doi.org/10.3390/jcs6080217
Ichikawa M, Miyashita R, Goto H. Bach-Type Polycondensation with the Aid of Hemoglobin as an Oxygen Supplier, and Synthetic/Bio-Composite. Journal of Composites Science. 2022; 6(8):217. https://doi.org/10.3390/jcs6080217
Chicago/Turabian StyleIchikawa, Mai, Ryo Miyashita, and Hiromasa Goto. 2022. "Bach-Type Polycondensation with the Aid of Hemoglobin as an Oxygen Supplier, and Synthetic/Bio-Composite" Journal of Composites Science 6, no. 8: 217. https://doi.org/10.3390/jcs6080217
APA StyleIchikawa, M., Miyashita, R., & Goto, H. (2022). Bach-Type Polycondensation with the Aid of Hemoglobin as an Oxygen Supplier, and Synthetic/Bio-Composite. Journal of Composites Science, 6(8), 217. https://doi.org/10.3390/jcs6080217

