Mechanical Properties of High-Temperature Fiber-Reinforced Thermoset Composites with Plain Weave and Unidirectional Carbon Fiber Fillers
Abstract
:1. Introduction
2. Methods
2.1. Materials
2.2. Vacuum Bag Molding (VBM) Process
2.3. Composites’ Characterization
2.4. Compression Testing and Failure Characterization of PT 30 Composites
3. Results and Discussions
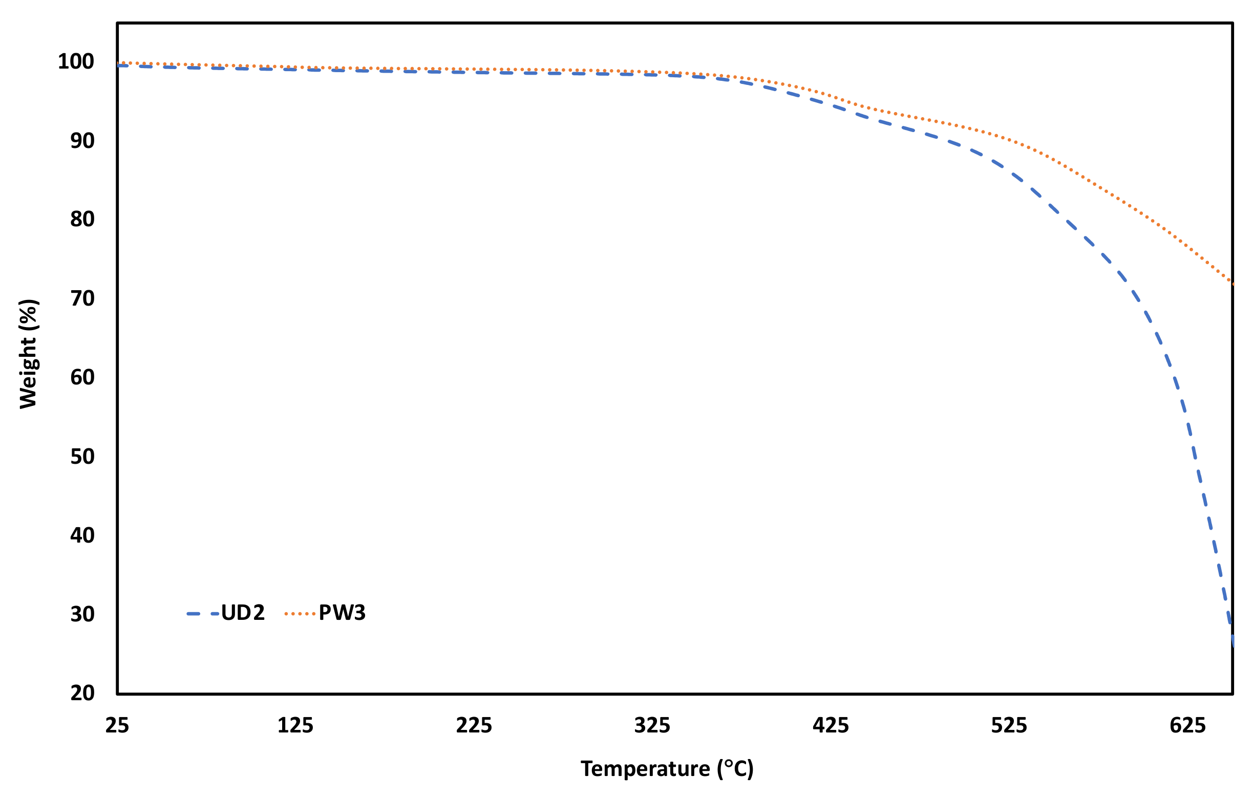
3.1. Manufactured Composites’ Quality
3.2. Compressive Properties of PT30 Composites at Room Temperature
3.3. Effect of Environmental Testing Temperature on Compression Failure Modes in UD and PW Composites
4. Conclusions
Author Contributions
Funding
Conflicts of Interest
References
- Hamerton, I.; Mooring, L. 7-The use of thermosets in aerospace applications. In Thermosets; Guo, Q., Ed.; Woodhead Publishing: Sawston, UK, 2012; pp. 189–227. ISBN 978-0-85709-086-7. [Google Scholar] [CrossRef]
- Mallick, P.K. Chapter 6-Thermoset matrix composites for lightweight automotive structures. In Materials, Design and Manufacturing for Lightweight Vehicles, 2nd ed.; Mallick, P.K., Ed.; Woodhead Publishing: Sawston, UK, 2021; pp. 229–263. ISBN 978-0-12-818712-8. [Google Scholar]
- Hassan, M.S.; Billah, K.M.M.; Hall, S.E.; Sepulveda, S.; Regis, J.E.; Marquez, C.; Cordova, S.; Whitaker, J.; Robison, T.; Keating, J.; et al. Selective Laser Sintering of High-Temperature Thermoset Polymer. J. Compos. Sci. 2022, 6, 41. [Google Scholar] [CrossRef]
- Chavez, L.A.; Ibave, P.; Hassan, S.; Hall-Sanchez, S.E.; Billah, K.M.M.; Leyva, A.; Marquez, C.; Espalin, D.; Torres, S.; Robison, T.; et al. Low-temperature selective laser sintering 3D printing of PEEK-Nylon blends: Impact of thermal post-processing on mechanical properties and thermal stability. J. Appl. Polym. Sci. 2022, 139, 52290. [Google Scholar] [CrossRef]
- Bulgakov, B.; Sulimov, A.; Babkin, A.; Timoshkin, I.; Solopchenko, A.; Kepman, A.; Avdeev, V. Phthalonitrile-carbon fiber composites produced by vacuum infusion process. J. Compos. Mater. 2017, 51, 4157–4164. [Google Scholar] [CrossRef]
- Sun, B.-G.; Lei, Q.; Guo, Y.; Shi, H.-Q.; Sun, J.-B.; Yang, K.-X.; Zhou, H.; Li, Y.-Q.; Hu, N.; Wang, H.; et al. Enhanced mechanical properties at 400 °C of carbon fabric reinforced phthalonitrile composites by high temperature postcure. Compos. Part B Eng. 2019, 166, 681–687. [Google Scholar] [CrossRef]
- Hamerton, I. Chemistry and Technology of Cyanate Ester Resins; Springer Science & Business Media: Berlin/Heidelberg, Germany, 2012; ISBN 978-94-011-1326-7. [Google Scholar]
- Ramirez, M.L.; Walters, R.; Lyon, R.E.; Savitski, E.P. Thermal decomposition of cyanate ester resins. Polym. Degrad. Stab. 2002, 78, 73–82. [Google Scholar] [CrossRef]
- Liu, Z.; Zhang, J.; Tang, L.; Zhou, Y.; Lin, Y.; Wang, R.; Kong, J.; Tang, Y.; Gu, J. Improved wave-transparent performances and enhanced mechanical properties for fluoride-containing PBO precursor modified cyanate ester resins and their PBO fibers/cyanate ester composites. Compos. Part B Eng. 2019, 178, 107466. [Google Scholar] [CrossRef]
- Ren, F.; Song, D.; Li, Z.; Jia, L.; Zhao, Y.; Yan, D.; Ren, P. Synergistic effect of graphene nanosheets and carbonyl iron–nickel alloy hybrid filler on electromagnetic interference shielding and thermal conductivity of cyanate ester composites. J. Mater. Chem. C 2018, 6, 1476–1486. [Google Scholar] [CrossRef]
- Zhang, X.; Yuan, L.; Guan, Q.; Liang, G.; Gu, A. Greatly improving energy storage density and reducing dielectric loss of carbon nanotube/cyanate ester composites through building a unique tri-layered structure with mica paper. J. Mater. Chem. A 2017, 5, 21909–21918. [Google Scholar] [CrossRef]
- Janković, B. Thermal degradation process of the cured phenolic triazine thermoset resin (Primaset® PT-30). Part I. Systematic non-isothermal kinetic analysis. Thermochim. Acta 2011, 519, 114–124. [Google Scholar] [CrossRef]
- Tsiamis, A.; Iredale, R.J.; Backhouse, R.; Hallett, S.R.; Hamerton, I. Liquid Processable, Thermally Stable, Hydrophobic Phenolic Triazine Resins for Advanced Composite Applications. ACS Appl. Polym. Mater. 2019, 1, 1458–1465. [Google Scholar] [CrossRef]
- Goyal, S.; Forrester, M.J.; Coverdell, D.; Torres, S.; Lee, M.W.; Cochran, E.W. High-Temperature-Performance Cyanate Ester Composites with Carboranes. Macromolecules 2021, 54, 9155–9164. [Google Scholar] [CrossRef]
- Bajpai, A.; Saxena, P.; Kunze, K. Tribo-Mechanical Characterization of Carbon Fiber-Reinforced Cyanate Ester Resins Modified with Fillers. Polymers 2020, 12, 1725. [Google Scholar] [CrossRef] [PubMed]
- Mechin, P.-Y.; Keryvin, V.; Grandidier, J.-C. Effect of the nano-filler content on the compressive strength of continuous carbon fibre/epoxy matrix composites. Compos. Part B Eng. 2021, 224, 109223. [Google Scholar] [CrossRef]
- Comas-Cardona, S.; Binetruy, C.; Krawczak, P. Unidirectional compression of fibre reinforcements. Part 2: A continuous permeability tensor measurement. Compos. Sci. Technol. 2007, 67, 638–645. [Google Scholar] [CrossRef]
- Bowles, K.J.; Frimpong, S. Void Effects on the Interlaminar Shear Strength of Unidirectional Graphite-Fiber-Reinforced Composites. J. Compos. Mater. 1992, 26, 1487–1509. [Google Scholar] [CrossRef]
- Kirmse, S.; Kim, K.; Ranabhat, B.; Hsiao, K.-T. Effects of carbon nanofiber z-threads on the longitudinal compressive strength of unidirectional cfrp laminates. In Proceedings of the SAMPE 2019, Charlotte, NC, USA, 20–23 May 2019; Available online: https://par.nsf.gov/biblio/10096112 (accessed on 11 June 2022).
- Uddin, M.F.; Sun, C.T. Strength of unidirectional glass/epoxy composite with silica nanoparticle-enhanced matrix. Compos. Sci. Technol. 2008, 68, 1637–1643. [Google Scholar] [CrossRef]
- Moran, P.M.; Liu, X.H.; Shih, C.F. Kink band formation and band broadening in fiber composites under compressive loading. Acta Metall. Mater. 1995, 43, 2943–2958. [Google Scholar] [CrossRef]
- Reed, K.E. Dynamic mechanical analysis of fiber reinforced composites. Polym. Compos. 1980, 1, 44–49. [Google Scholar] [CrossRef] [Green Version]
- Wang, Y.; Zhang, J.; Zhang, J.; Zhou, Z.; Fang, G.; Wang, S. Compressive behavior of notched and unnotched carbon woven-ply PPS thermoplastic laminates at different temperatures. Compos. Part B Eng. 2018, 133, 68–77. [Google Scholar] [CrossRef]
- Opelt, C.V.; Cândido, G.M.; Rezende, M.C. Fractographic study of damage mechanisms in fiber reinforced polymer composites submitted to uniaxial compression. Eng. Fail. Anal. 2018, 92, 520–527. [Google Scholar] [CrossRef]








| Composites | Density (g/cm3) | Fiber Fraction (%) | Void Fraction (%) |
|---|---|---|---|
| UD1 | 1.37 | 49.59 | 6.23 |
| UD2 | 1.32 | 39.71 | 6.60 |
| UD3 | 1.28 | 24.34 | 3.34 |
| PW1 | 1.46 | 59.86 | 2.80 |
| PW2 | 1.41 | 57.41 | 5.85 |
| PW3 | 1.50 | 61.08 | 0.06 |
Publisher’s Note: MDPI stays neutral with regard to jurisdictional claims in published maps and institutional affiliations. |
© 2022 by the authors. Licensee MDPI, Basel, Switzerland. This article is an open access article distributed under the terms and conditions of the Creative Commons Attribution (CC BY) license (https://creativecommons.org/licenses/by/4.0/).
Share and Cite
Hall, S.E.; Centeno, V.; Favela, S.; Lopez, A.; Gallardo, A.; Pellicotte, J.; Torres, Y.; Coverdell, D.; Torres, S.; Choudhuri, A.; et al. Mechanical Properties of High-Temperature Fiber-Reinforced Thermoset Composites with Plain Weave and Unidirectional Carbon Fiber Fillers. J. Compos. Sci. 2022, 6, 213. https://doi.org/10.3390/jcs6070213
Hall SE, Centeno V, Favela S, Lopez A, Gallardo A, Pellicotte J, Torres Y, Coverdell D, Torres S, Choudhuri A, et al. Mechanical Properties of High-Temperature Fiber-Reinforced Thermoset Composites with Plain Weave and Unidirectional Carbon Fiber Fillers. Journal of Composites Science. 2022; 6(7):213. https://doi.org/10.3390/jcs6070213
Chicago/Turabian StyleHall, Samuel Ernesto, Victoria Centeno, Sergio Favela, Alexis Lopez, Andrew Gallardo, Jacob Pellicotte, Yulianna Torres, Danielle Coverdell, Sabrina Torres, Ahsan Choudhuri, and et al. 2022. "Mechanical Properties of High-Temperature Fiber-Reinforced Thermoset Composites with Plain Weave and Unidirectional Carbon Fiber Fillers" Journal of Composites Science 6, no. 7: 213. https://doi.org/10.3390/jcs6070213
APA StyleHall, S. E., Centeno, V., Favela, S., Lopez, A., Gallardo, A., Pellicotte, J., Torres, Y., Coverdell, D., Torres, S., Choudhuri, A., Lin, Y., & Hassan, M. S. (2022). Mechanical Properties of High-Temperature Fiber-Reinforced Thermoset Composites with Plain Weave and Unidirectional Carbon Fiber Fillers. Journal of Composites Science, 6(7), 213. https://doi.org/10.3390/jcs6070213

