An Experimental Study on Electrical Properties of Self-Sensing Mortar
Abstract
:1. Introduction
2. Materials and Methods
2.1. Materials
2.1.1. Addition of Brass Fibres
2.1.2. Addition of Hybrid Brass and Carbon Fibres
2.2. Casting of Specimen
2.2.1. Addition of Brass Fibres
2.2.2. Addition of Hybrid Brass and Carbon Fibres
2.3. Test Method
2.4. Temperature Study
2.5. Micro-Characterization
3. Discussion and Findings
3.1. Compression Test
3.1.1. Brass Fibre Addition
3.1.2. Addition of Hybrid Brass and Carbon Fibres
3.2. Electrical Measurements
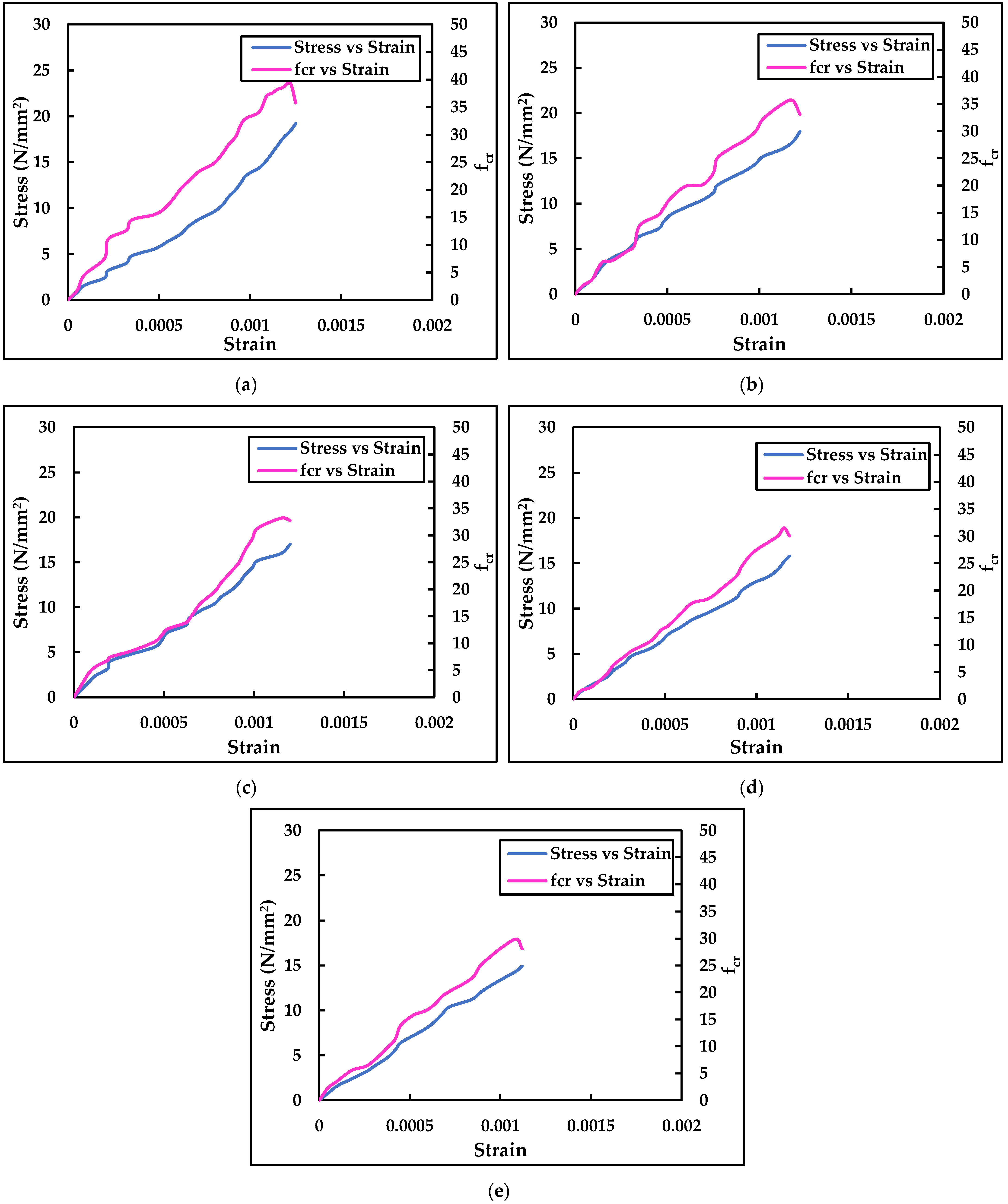
3.2.1. Addition of Brass Fibres
3.2.2. Addition of Hybrid Brass and Carbon Fibres
3.3. Temperature Study
3.4. Micro-Characterization
4. Conclusions
- The addition of brass fibres to ordinary mortar enhanced the compressive strength of the mortar, and when carbon fibres were added to traditional mortar, together with brass fibres, the compressive strength was lower than when only brass fibres were added.
- The presence of steel mesh in the mortar samples resulted in high compressive strength values in all the mortar mixes.
- The addition of 0.25% brass fibres to the conventional mortar and the addition of 95% brass fibres, along with 5% carbon fibres, to the conventional mortar improved the piezo resistance.
- Addition of hybrid brass and carbon fibres to the conventional mortar showed similar behaviour in electrical measurements when compared with brass fibre added mortar.
- Under elevated temperatures, the compressive strength of the mortar decreases as the temperature increases. Similarly, when the temperature is increased, the fcr value also reduces in conventional mortar, as well as in a smart mortar.
- In hybrid brass carbon fibres added to mortar cubes, the carbon fibres were not seen in the specimens placed at 800 °C as the carbon fibres turn into ash.
Author Contributions
Funding
Institutional Review Board Statement
Informed Consent Statement
Data Availability Statement
Conflicts of Interest
References
- Han, B.; Ding, S.; Yu, X. Intrinsic self-sensing concrete and structures: A review. Measurement 2015, 59, 110–128. [Google Scholar] [CrossRef]
- Dong, W.; Li, W.; Tao, Z.; Wang, K. Piezoresistive properties of cement-based sensors: Review and perspective. Constr. Build. Mater. 2019, 203, 146–163. [Google Scholar] [CrossRef]
- Vipulanandan, C.; Mohammed, A. Smart cement modified with iron oxide nanoparticles to enhance the piezoresistive behavior and compressive strength for oil well applications. Smart Mater. Struct. 2015, 24, 125020. [Google Scholar] [CrossRef]
- Han, B.; Qiao, G.; Jiang, H. Piezoresistive response extraction for smart cement-based composites/sensors. J. Wuhan Univ. Technol. Sci. Ed. 2012, 27, 754–757. [Google Scholar] [CrossRef]
- Chen, M.; Gao, P.; Geng, F.; Zhang, L.; Liu, H. Mechanical and smart properties of carbon fiber and graphite conductive concrete for internal damage monitoring of structure. Constr. Build. Mater. 2017, 142, 320–327. [Google Scholar] [CrossRef]
- Han, B.; Ou, J. Embedded piezoresistive cement-based stress/strain sensor. Sens. Actuators A Phys. 2007, 138, 294–298. [Google Scholar] [CrossRef]
- Han, B.; Zhang, L.; Sun, S.; Yu, X.; Dong, X.; Wu, T.; Ou, J. Electrostatic self-assembled carbon nanotube/nano carbon black composite fillers reinforced cement-based materials with multifunctionality. Compos. Part A Appl. Sci. Manuf. 2015, 79, 103–115. [Google Scholar] [CrossRef]
- Monteiro, A.; Cachim, P.; Costa, P.M. Self-sensing piezoresistive cement composite loaded with carbon black particles. Cem. Concr. Compos. 2017, 81, 59–65. [Google Scholar] [CrossRef]
- Ding, Y.; Liu, G.; Hussain, A.; Pacheco-Torgal, F.; Zhang, Y. Effect of steel fiber and carbon black on the self-sensing ability of concrete cracks under bending. Constr. Build. Mater. 2019, 207, 630–639. [Google Scholar] [CrossRef]
- Jiang, Z.; Ozbulut, O.E.; Xing, G. Self-Sensing Characterization of GNP and carbon black filled cementitious composites. In Proceedings of the ASME 2019 Conference on Smart Materials, Adaptive Structures and Intelligent Systems, Louisville, KY, USA, 9–11 September 2019. [Google Scholar]
- Yıldırım, G.; Sarwary, M.H.; Al-Dahawi, A.; Öztürk, O.; Anıl, O.; Sahmaran, M. Piezoresistive behavior of CF-and CNT-based reinforced concrete beams subjected to static flexural loading: Shear failure investigation. Constr. Build. Mater. 2018, 168, 266–279. [Google Scholar] [CrossRef]
- Guan, X.C.; Han, B.; Tang, M.; Ou, J.P. Temperature and humidity variation of specific resistance of carbon fiber reinforced cement. In Proceedings of the Smart Structures and Materials 2005 Conference, San Diego, CA, USA, 17 May 2005; pp. 1–7. [Google Scholar]
- Borinaga-Treviño, R.; Orbe, A.; Canales, J.; Norambuena-Contreras, J. Experimental evaluation of cement mortars with recycled brass fibres from the electrical discharge machining process. Constr. Build. Mater. 2020, 246, 118522. [Google Scholar] [CrossRef]
- Borinaga-Treviño, R.; Orbe, A.; Canales, J.; Norambuena-Contreras, J. Thermal and mechanical properties of mortars reinforced with recycled brass fibres. Constr. Build. Mater. 2020, 284, 122832. [Google Scholar] [CrossRef]
- Sathyanarayanan, K.S.; Sridharan, N. Self Sensing Concrete using Carbon Fibre for Health Monitoring of Structures under Static loading. Indian J. Sci. Technol. 2016, 9, 1–5. [Google Scholar] [CrossRef]
- Sridharan, N.; Satyanarayanan, K.S. Smart concrete using carbon fibre for stress analysis of Structures under static loading. Int. J. Earth Sci. Eng. 2017, 10, 1045–1060. [Google Scholar]
- Liu, Q.; Wu, W.; Xiao, J.; Tian, Y.; Chen, J.; Singh, A. Correlation between damage evolution and resistivity reaction of concrete in-filled with graphene nanoplatelets. Constr. Build. Mater. 2019, 208, 482–491. [Google Scholar] [CrossRef]
- Ozbulut, O.E.; Jiang, Z.; Harris, D.K. Exploring scalable fabrication of self-sensing cementitious composites with graphene na-noplatelets. Smart Mater. Struct. 2018, 27, 115029. [Google Scholar] [CrossRef]
- Ding, S.; Ruan, Y.; Yu, X.; Han, B.; Ni, Y.-Q. Self-monitoring of smart concrete column incorporating CNT/NCB composite fillers modified cementitious sensors. Constr. Build. Mater. 2019, 201, 127–137. [Google Scholar] [CrossRef]
- D’Alessandro, A.; Rallini, M.; Ubertini, F.; Materazzi, A.L.; Kenny, J.M. Investigations on scalable fabrication procedures for self-sensing carbon nanotube cement-matrix composites for SHM applications. Cem. Concr. Compos. 2016, 65, 200–213. [Google Scholar] [CrossRef]
- Han, B.; Yu, X.; Kwon, E. A self-sensing carbon nanotube/cement composite for traffic monitoring. Nanotechnology 2009, 20, 445501. [Google Scholar] [CrossRef]
- Han, B.; Zhang, K.; Burnham, T.; Kwon, E.; Yu, X. Integration and road tests of a self-sensing CNT concrete pavement system for traffic detection. Smart Mater. Struct. 2013, 22, 015020. [Google Scholar] [CrossRef]
- Azhari, F.; Banthia, N. Cement-based sensors with carbon fibers and carbon nanotubes for piezoresistive sensing. Cem. Concr. Compos. 2012, 34, 866–873. [Google Scholar] [CrossRef]
- Meehan, D.G.; Wang, S.; Chung, D.D.L. Electrical-resistance-based sensing of impact damage in carbon fiber reinforced ce-ment-based materials. J. Intell. Mater. Syst. Struct. 2010, 21, 83–105. [Google Scholar] [CrossRef]
- Faneca, G.; Segura, I.; Torrents, J.; Aguado, A. Development of conductive cementitious materials using recycled carbon fibres. Cem. Concr. Compos. 2018, 92, 135–144. [Google Scholar] [CrossRef]
- Azhari, F.; Banthia, N. Carbon fiber-reinforced cementitious composites for tensile strain sensing. ACI Mater. J. 2017, 114, 129–136. [Google Scholar]
- Liu, B.; Zhang, X.; Ye, J.; Liu, X.; Deng, Z. Mechanical properties of hybrid fiber reinforced coral concrete. Case Stud. Constr. Mater. 2022, 16, e00865. [Google Scholar] [CrossRef]
- Zegardło, B. Heat-resistant concretes containing waste carbon fibers from the sailing industry and recycled ceramic aggregates. Case Stud. Constr. Mater. 2022, 16, e01084. [Google Scholar] [CrossRef]
- Chiarello, M.; Zinno, R. Electrical conductivity of self-monitoring CFRC. Cem. Concr. Compos. 2005, 27, 463–469. [Google Scholar] [CrossRef]
- Konsta-Gdoutos, M.S.; Aza, C.A. Self sensing carbon nanotube (CNT) and nanofiber (CNF) cementitious composites for real time damage assessment in smart structures. Cem. Concr. Compos. 2014, 53, 162–169. [Google Scholar] [CrossRef]
- Erdem, S.; Hanbay, S.; Blankson, M.A. Self-sensing damage assessment and image-based surface crack quantification of carbon nanofibre reinforced concrete. Constr. Build. Mater. 2017, 134, 520–529. [Google Scholar] [CrossRef]
- Wang, H.; Gao, X.; Wang, R. The influence of rheological parameters of cement paste on the dispersion of carbon nanofibers and self-sensing performance. Constr. Build. Mater. 2017, 134, 673–683. [Google Scholar] [CrossRef]
- Wang, H.; Gao, X.; Liu, J.; Ren, M.; Lu, A. Multi-functional properties of carbon nanofiber reinforced reactive powder concrete. Constr. Build. Mater. 2018, 187, 699–707. [Google Scholar] [CrossRef]
- Wang, H.; Shen, J.; Liu, J.; Lu, S.; He, G. Influence of carbon nanofiber content and sodium chloride solution on the stability of resistance and the following self-sensing performance of carbon nanofiber cement paste. Case Stud. Constr. Mater. 2019, 11, e00247. [Google Scholar] [CrossRef]
- Liu, Q.; Xu, Q.; Yu, Q.; Gao, R.; Tong, T. Experimental investigation on mechanical and piezoresistive properties of cementitious materials containing graphene and graphene oxide nanoplatelets. Constr. Build. Mater. 2016, 127, 565–576. [Google Scholar] [CrossRef]
- Sassani, A.; Ceylan, H.; Kim, S.; Arabzadeh, A.; Taylor, P.C.; Gopalakrishnan, K. Development of Carbon Fiber-modified Electrically Conductive Concrete for Implementation in Des Moines International Airport. Case Stud. Constr. Mater. 2018, 8, 277–291. [Google Scholar] [CrossRef]
- Ram Kumar, V.D.; Thirumurugan, K.S. Satyanarayanan. Experimental study on optimization of smart mortar with the addition of brass fibres. Mater. Today Proc. 2022, 50, 388–393. [Google Scholar] [CrossRef]
- Sun, S.; Han, B.; Jiang, S.; Yu, X.; Wang, Y.; Li, H.; Ou, J. Nano graphite platelets-enabled piezoresistive cementitious composites for structural health monitoring. Constr. Build. Mater. 2017, 136, 314–328. [Google Scholar] [CrossRef] [Green Version]
- Liu, X.; Nie, Z.; Wu, S.; Wang, C. Self-monitoring application of conductive asphalt concrete under indirect tensile deformation. Case Stud. Constr. Mater. 2015, 3, 70–77. [Google Scholar] [CrossRef] [Green Version]
- Teomete, E.; Kocyigit, O.I. Tensile strain sensitivity of steel fiber reinforced cement matrix composites tested by split tensile test. Constr. Build. Mater. 2013, 47, 962–968. [Google Scholar] [CrossRef]
- Wen, S.; Chung, D.D.L. A comparative study of steel- and carbon-fibre cement as piezoresistive strain sensors. Adv. Cem. Res. 2003, 15, 119–128. [Google Scholar] [CrossRef]
- Chen, B.; Wu, K.; Yao, W. Conductivity of carbon fiber reinforced cement-based composites. Cem. Concr. Compos. 2004, 26, 291–297. [Google Scholar] [CrossRef]
- Dongyu, X.; Sourav, B.; Yanbing, W.; Shifeng, H.; Xin, C. Temperature and loading effects of embedded smart piezoelectric sensor for health monitoring of concrete structures. Const. Build. Mater. 2015, 76, 87–193. [Google Scholar]
- Baeza, F.J.; Vilaplana, J.L.; Galao, O.; Garcés, P. Sensitivity study of self-sensing strain capacity of alkali-activated blast furnace slag reinforced with carbon fibres. Hormigón Y Acero 2018, 69, 243–250. [Google Scholar]
- Banthia, N.; Djeridane, S.; Pigeon, M. Electrical resistivity of carbon and steel micro-fiber reinforced cements. Cem. Concr. Res. 1992, 22, 804–814. [Google Scholar] [CrossRef]
- Teomete, E. Transverse strain sensitivity of steel fiber reinforced cement composites tested by compression and split tensile tests. Constr. Build. Mater. 2014, 55, 136–145. [Google Scholar] [CrossRef]
- Demircilioğlu, E.; Teomete, E.; Ozbulut, O.E. Characterization of smart brass fiber reinforced concrete under various loading conditions. Constr. Build. Mater. 2020, 265, 120411. [Google Scholar] [CrossRef]
- Teomete, E. The effect of temperature and moisture on electrical resistance, strain sensitivity and crack sensitivity of steel fiber reinforced smart cement composite. Smart Mater. Struct. 2016, 25, 075024. [Google Scholar] [CrossRef]
- Galao, O.; Baeza, F.J.; Zornoza, E.; Garcés, P. Carbon Nanofiber Cement Sensors to Detect Strain and Damage of Concrete Specimens Under Compression. Nanomaterials 2017, 7, 413. [Google Scholar] [CrossRef] [PubMed] [Green Version]
- Demircilioglu, E.; Teomete, E.; Schlangen, E.; Baeza, F.J. Temperature and moisture effects on electrical resistance and strain sensitivity of smart concrete. Constr. Build. Mater. 2019, 224, 420–427. [Google Scholar] [CrossRef]
- Apuzzo, A.; Barretta, R.; Fabbrocino, F.; Faghidian, S.A.; Luciano, R.; De Sciarra, F.M. Axial and Torsional Free Vibrations of Elastic Nano-Beams by Stress-Driven Two-Phase Elasticity. J. Appl. Comput. Mech. 2019, 5, 402–413. [Google Scholar] [CrossRef]
- Boparai, K.S.; Singh, R.; Fabbrocino, F.; Fraternali, F. Thermal characterization of recycled polymer for additive manufacturing applications. Compos. Part B Eng. 2016, 106, 42–47. [Google Scholar] [CrossRef]
- Fabbrocino, F.; Farina, I.; Amendola, A.; Feo, L.; Fraternali, F. Optimal design and additive manufacturing of novel reinforcing elements for composite materials. In Proceedings of the ECCOMAS Congress 2016—European Congress on Computational Methods in Applied Sciences and Engineering, Crete Island, Greece, 5–10 June 2016; pp. 1–16. [Google Scholar] [CrossRef] [Green Version]
- Rajamony Laila, L.; Gurupatham, B.G.A.; Roy, K.B.P.; Lim, J. Effect of super absorbent polymer on microstructural and mechanical properties of concrete blends using granite pulver. Struct. Concr. 2021, 22, E898–E915. [Google Scholar] [CrossRef]
- Rajamony Laila, L.; Gurupatham, B.G.A.; Roy, K.; Lim, J.B.P. Influence of super absorbent polymer on mechanical, rheological, durability, and microstructural properties of self-compacting concrete using non-biodegradable granite pulver. Struct. Concr. 2021, 22, E1093–E1116. [Google Scholar] [CrossRef]
- Lowe, D.; Roy, K.; Das, R.; Clifton, C.G.; Lim, J.B. Full scale experiments on splitting behaviour of concrete slabs in steel concrete composite beams with shear stud connection. Structures 2020, 23, 126–138. [Google Scholar] [CrossRef]
- Madan, C.S.; Munuswamy, S.; Joanna, P.S.; Gurupatham, B.G.A.; Roy, K. Comparison of the Flexural Behavior of High-Volume Fly Ash Based Concrete Slab Reinforced with GFRP Bars and Steel Bars. J. Compos. Sci. 2022, 6, 157. [Google Scholar] [CrossRef]
- Madan, C.S.; Panchapakesan, K.; Anil Reddy, P.V.; Joanna, P.S.; Rooby, J.; Gurupatham, B.G.A.; Roy, K. Influence on the Flexural Behaviour of High-Volume Fly-Ash-Based Concrete Slab Reinforced with Sustainable Glass-Fibre-Reinforced Polymer Sheets. J. Compos. Sci. 2022, 6, 169. [Google Scholar] [CrossRef]
- Sivanantham, P.; Gurupatham, B.G.A.; Roy, K.; Rajendiran, K.; Pugazhlendi, D. Plastic Hinge Length Mechanism of Steel-Fiber-Reinforced Concrete Slab under Repeated Loading. J. Compos. Sci. 2022, 6, 164. [Google Scholar] [CrossRef]
- Roy, K.; Akhtar, A.; Sachdev, S.; Hsu, M.; Lim, J.; Sarmah, A. Development and characterization of novel biochar-mortar composite utilizing waste derived pyrolysis biochar. Int. J. Sci. Eng. Res. 2017, 8, 1912–1919. [Google Scholar]






























Publisher’s Note: MDPI stays neutral with regard to jurisdictional claims in published maps and institutional affiliations. |
© 2022 by the authors. Licensee MDPI, Basel, Switzerland. This article is an open access article distributed under the terms and conditions of the Creative Commons Attribution (CC BY) license (https://creativecommons.org/licenses/by/4.0/).
Share and Cite
Durairaj, R.; Varatharajan, T.; Srinivasan, S.K.; Gurupatham, B.G.A.; Roy, K. An Experimental Study on Electrical Properties of Self-Sensing Mortar. J. Compos. Sci. 2022, 6, 208. https://doi.org/10.3390/jcs6070208
Durairaj R, Varatharajan T, Srinivasan SK, Gurupatham BGA, Roy K. An Experimental Study on Electrical Properties of Self-Sensing Mortar. Journal of Composites Science. 2022; 6(7):208. https://doi.org/10.3390/jcs6070208
Chicago/Turabian StyleDurairaj, Ramkumar, Thirumurugan Varatharajan, Satyanarayanan Kachabeswara Srinivasan, Beulah Gnana Ananthi Gurupatham, and Krishanu Roy. 2022. "An Experimental Study on Electrical Properties of Self-Sensing Mortar" Journal of Composites Science 6, no. 7: 208. https://doi.org/10.3390/jcs6070208
APA StyleDurairaj, R., Varatharajan, T., Srinivasan, S. K., Gurupatham, B. G. A., & Roy, K. (2022). An Experimental Study on Electrical Properties of Self-Sensing Mortar. Journal of Composites Science, 6(7), 208. https://doi.org/10.3390/jcs6070208

