Anti-Gnawing, Thermo-Mechanical and Rheological Properties of Polyvinyl Chloride: Effect of Capsicum Oleoresin and Denatonium Benzoate
Abstract
1. Introduction
2. Materials and Methods
2.1. Materials
2.2. Sample Preparation
2.2.1. CO Extraction
2.2.2. SiCO Preparation
2.2.3. DB/ZnSt Preparation
2.2.4. Anti-Rodent Sample Preparation
2.3. Experimental Design and Anti-Gnawing Test Procedures
Statistical Analysis
2.4. Fourier-Transform Infrared Spectroscopy (FT-IR)
2.5. Morphology
2.6. Tensile Response
2.7. Thermal Properties Analysis
2.7.1. Differential Scanning Calorimetry (DSC)
2.7.2. Thermogravimetric Analysis (TGA)
2.8. Dynamic Rheology
2.9. Accelerated Weathering
3. Results and Discussion
3.1. Characterization
3.1.1. Morphology Response of DB/ZnSt
3.1.2. Morphology Response of PVC and PVC Composites
3.1.3. Fourier-Transform Infrared Spectroscopy (FTIR)
3.2. Anti-Rodent Testing
3.3. Tensile Properties
3.4. Thermal Analysis
3.4.1. Differential Scanning Calorimetry (DSC)
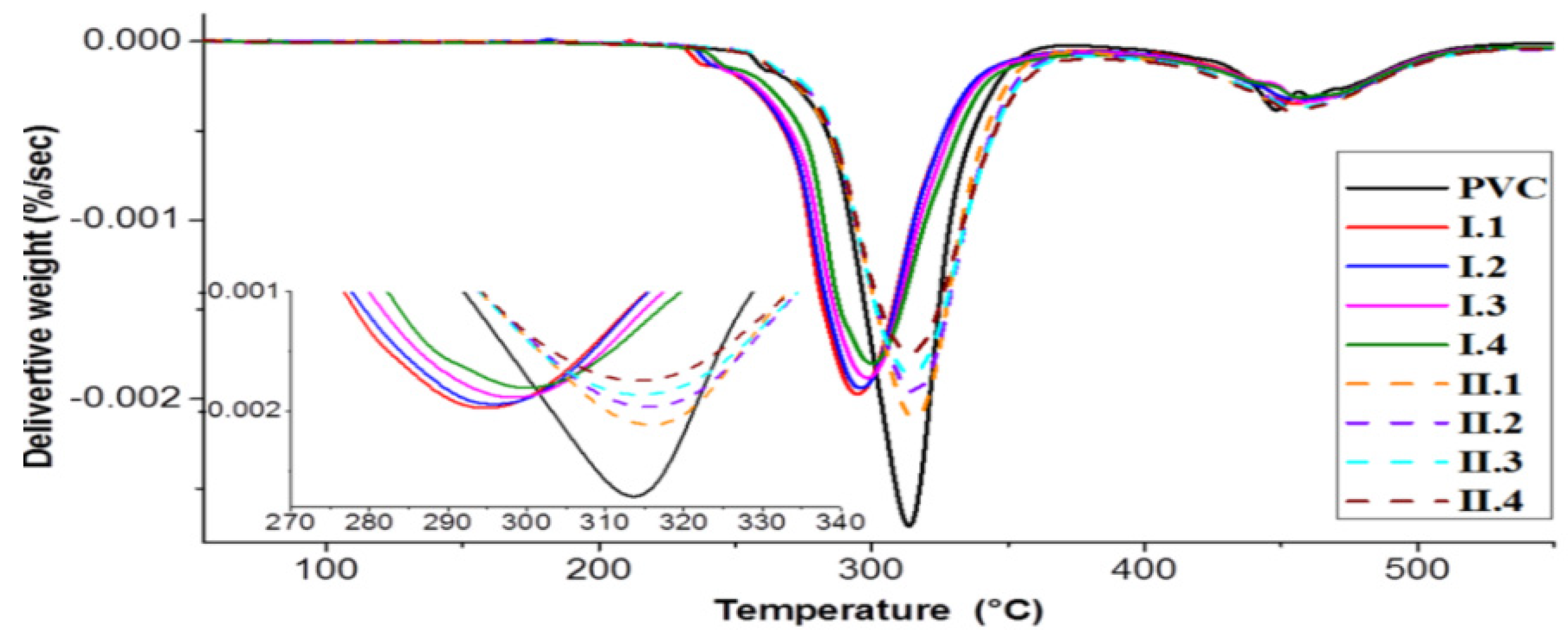
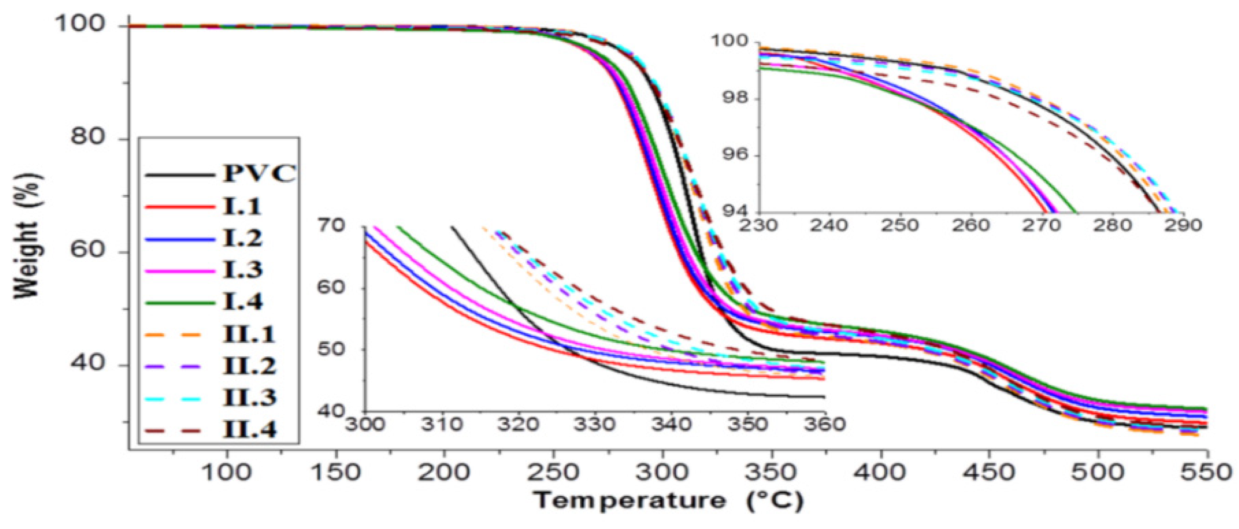
3.4.2. Thermogravimetric Analysis (TGA)
3.5. Rheological Behavior
4. Conclusions
Supplementary Materials
Author Contributions
Funding
Institutional Review Board Statement
Acknowledgments
Conflicts of Interest
References
- Bin, N.-R.; Song, H.; Wu, C.; Lau, M.; Sugita, S.; Eubanks, J.H.; Zhang, L. Continuous Monitoring via Tethered Electroencephalography of Spontaneous Recurrent Seizures in Mice. Front. Behav. Neurosci. 2017, 11, 1–9. [Google Scholar] [CrossRef] [PubMed]
- Folorunso, O.; Emmanuel, O.; France, A. Electrical Arching and Thermal Circuit Breakers: A Review. ABUAD J. Eng. Res. Dev. 2018, 1, 149–155. [Google Scholar]
- Heggs, R.P.; Pierce, B.C.; Balbes, L.M.; McRoberts, K.C.; Streicker, M.A.; Cockerline, K.B. Assessing Rodent Gnawing of Elastomers Containing Soybean Oil Derivatives. ACS Sustain. Chem. Eng. 2020, 8, 18015–18022. [Google Scholar] [CrossRef]
- Sukseree, S.; Schwarze, U.Y.; Gruber, R.; Gruber, F.; Rey, M.Q.D.; Mancias, J.D.; Bartlett, J.D.; Tschachler, E.; Eckhart, L. ATG7 Is Essential for Secretion of Iron from Ameloblasts and Normal Growth of Murine Incisors during Aging. Autophagy 2020, 16, 1851–1857. [Google Scholar] [CrossRef] [PubMed]
- Desoky, A.E.-A.S.S. Genetic Modification Responsible for Continuously Growing Incisors in Rodent. JBGSR 2020, 1. [Google Scholar] [CrossRef]
- Martin, L.F.; Winkler, D.; Tütken, T.; Codron, D.; De Cuyper, A.; Hatt, J.-M.; Clauss, M. The Way Wear Goes: Phytolith-Based Wear on the Dentine–Enamel System in Guinea Pigs (Cavia Porcellus). Proc. R. Soc. B Biol. Sci. 2019, 286, 1–9. [Google Scholar] [CrossRef]
- Walther, B.; Geduhn, A.; Schenke, D.; Schlötelburg, A.; Jacob, J. Baiting Location Affects Anticoagulant Rodenticide Exposure of Non-Target Small Mammals on Farms. Pest Manag. Sci. 2021, 77, 611–619. [Google Scholar] [CrossRef] [PubMed]
- Frankova, M.; Stejskal, V.; Aulicky, R. Efficacy of Rodenticide Baits with Decreased Concentrations of Brodifacoum: Validation of the Impact of the New EU Anticoagulant Regulation. Sci. Rep. 2019, 9, 16779. [Google Scholar] [CrossRef]
- Hansen, S.C.; Stolter, C.; Jacob, J. Effect of Plant Secondary Metabolites on Feeding Behavior of Microtine and Arvicoline Rodent Species. J. Pest Sci. 2016, 89, 955–963. [Google Scholar] [CrossRef]
- Aminkhani, A.; Sharifi, S.; Hosseinzadeh, P. Chemical Constituent, Antimicrobial Activity, and Synergistic Effect of the Stem, Leaf, and Flower Essential Oil of the Artemisiafragrans Willd. from Khoy. Chem. Biodivers. 2021, 18, e2100241. [Google Scholar] [CrossRef] [PubMed]
- Saranya, K.; Uva Dharini, P.; Uva Darshni, P.; Monisha, S. IoT Based Pest Controlling System for Smart Agriculture. In Proceedings of the 2019 International Conference on Communication and Electronics Systems (ICCES), Coimbatore, India, 17–19 July 2019; pp. 1548–1552. [Google Scholar] [CrossRef]
- Zhelev, G.; Koev, K.; Stoyanov, V.; Petrov, V. Electronic Rat-Control Devices—Solution or Scam? Results of Field Trials and a Summary of the Literary Data. AVM 2018, 11, 27–36. [Google Scholar] [CrossRef]
- Holvoet, J.-P. Denatonium Benzoate. Available online: http://www.sentinalco.com/page/denatonium/f1.html (accessed on 29 May 2018).
- Material Safety Data Sheet Denatonium Benzoate MSDS. Available online: http://www.sciencelab.com/msds.php?msdsId=9923674 (accessed on 29 May 2018).
- Marples, N.M.; Roper, T.J. Response of Domestic Chicks to Methyl Anthranilate Odour. Anim. Behav. 1997, 53, 1263–1270. [Google Scholar] [CrossRef]
- Al-Sagheer, F.A.; Ahmad, Z. PVC-Silica Hybrids: Effect of Sol–Gel Conditions on the Morphology of Silica Particles and Thermal Mechanical Properties of the Hybrids. J. Sol-Gel Sci. Technol. 2012, 61, 229–235. [Google Scholar] [CrossRef]
- Payne, H.A.S. Bitrex—A Bitter Solution to Safety. Chem. Ind. 1988, 22, 721–723. [Google Scholar]
- Barceloux, D.G. Pepper and Capsaicin (Capsicum and Piper Species). Dis. Mon. 2009, 55, 380–390. [Google Scholar] [CrossRef] [PubMed]
- Science Lab. Material Safety Data Sheet Oleoresin Capsicum, Natural MSDS, (2013). Available online: https://www.sciencelab.com/msds.php?msdsId=9926319 (accessed on 2 December 2021).
- Barceloux, D.G. Medical Toxicology of Natural Substances: Foods, Fungi, Medicinal Herbs, Plants, and Venomous Animals; John Wiley & Sons: Hoboken, NJ, USA, 2012. [Google Scholar]
- Wesołowska, A.; Jadczak, D.; Grzeszczuk, M. Chemical Composition of the Pepper Fruit Extracts of Hot Cultivars Capsicum annuum L. Acta Sci. Pol. Hortoru. 2011, 10, 171–184. [Google Scholar]
- Nelson, E.K. Capsaicin, The Pungent Principle of Capsicum, and the Detection of Capsicum. J. Ind. Eng. Chem. 1910, 2, 419–421. [Google Scholar] [CrossRef]
- Zhu, S. Ratproof Plastic Drip Irrigation Tube/Belt and Preparation Method Thereof, CN102321284 A. 2012. Available online: http://www.google.com/patents/CN102321284A (accessed on 18 March 2016).
- Xu, Y.; Mu, X.; Xiao, M.; Zhong, W.; Li, Y.; Wu, J. Mouse-proof cable material containing modified capsaicin and its preparing method, CN1971769 A. 2007. Available online: http://www.google.com/patents/CN1971769A (accessed on 8 December 2017).
- Shumake, S.A.; Sterner, R.T.; Gaddis, S.E. Repellents to Reduce Cable Gnawing by Northern Pocket Gophers. J. Wildl. Manag. 1999, 63, 1344. [Google Scholar] [CrossRef][Green Version]
- Ichino, T. Sensorially Active Substance Embedded in Plastic, US6468554 B1. 2002. Available online: http://www.google.com/patents/US6468554 (accessed on 11 April 2016).
- Techawinyutham, L.; Siengchin, S.; Dangtungee, R.; Parameswaranpillai, J. Influence of Accelerated Weathering on the Thermo-Mechanical, Antibacterial, and Rheological Properties of Polylactic Acid Incorporated with Porous Silica-Containing Varying Amount of Capsicum Oleoresin. Compos. B Eng. 2019, 175, 107108. [Google Scholar] [CrossRef]
- Techawinyutham, L.; Dangtungee, R. Anti-Rodent Polymer Composites. Key Eng. Mater. 2019, 818, 1–6. [Google Scholar] [CrossRef]
- Meaney, M.J.; Stewart, J. A Descriptive Study of Social Development in the Rat (Rattus Norvegicus). Anim. Behav. 1981, 29, 34–45. [Google Scholar] [CrossRef]
- Hurst, J.L.; Barnard, C.J.; Tolladay, U.; Nevision, C.M.; West, C.D. Housing and Welfare in Laboratory Rats: Effects of Cage Stocking Density and Behavioural Predictors of Welfare. Anim. Behav. 1999, 58, 563–586. [Google Scholar] [CrossRef] [PubMed]
- Kaynak, C.; Erdogan, A.R. Mechanical and Thermal Properties of Polylactide/Talc Microcomposites: Before and after Accelerated Weathering. Polym. Adv. Technol. 2016, 27, 812–822. [Google Scholar] [CrossRef]
- Brinker, C.J.; Scherer, G.W. Sol-Gel Science: The Physics and Chemistry of Sol-Gel Processing; Academic Press: Boston, MA, USA, 2013. [Google Scholar]
- Al-Oweini, R.; El-Rassy, H. Synthesis and Characterization by FTIR Spectroscopy of Silica Aerogels Prepared Using Several Si(OR)4 and R′′Si(OR′)3 Precursors. J. Mol. Struct. 2009, 919, 140–145. [Google Scholar] [CrossRef]
- Colthup, N.B.; Daly, L.H.; Wiberley, S.E. Chapter 12—Compounds Containing Boron, Silicon, Phosphorus, Sulfur, or Halogen. In Introduction to Infrared and Raman Spectroscopy, 3rd ed.; Colthup, N.B., Daly, L.H., Wiberley, S.E., Eds.; Academic Press: San Diego, CA, USA, 1990; pp. 355–385. [Google Scholar] [CrossRef]
- Colthup, N.B.; Daly, L.H.; Wiberley, S.E. Chapter 13—Major Spectra–Structure Correlations by Spectral Regions. In Introduction to Infrared and Raman Spectroscopy, 3rd ed.; Colthup, N.B., Daly, L.H., Wiberley, S.E., Eds.; Academic Press: San Diego, CA, USA, 1990; pp. 387–481. [Google Scholar] [CrossRef]
- Rajendran, S.; Uma, T. Effect of ZrO2 on Conductivity of PVC–LiBF4–DBP Polymer Electrolytes. Mater. Lett. 2000, 44, 208–214. [Google Scholar] [CrossRef]
- Rajendran, S.; Uma, T. Conductivity Studies on PVC/PMMA Polymer Blend Electrolyte. Mater. Lett. 2000, 44, 242–247. [Google Scholar] [CrossRef]
- Ramesh, S.; Leen, K.H.; Kumutha, K.; Arof, A.K. FTIR Studies of PVC/PMMA Blend Based Polymer Electrolytes. Spectrochim Acta A Mol. Biomo. Spectrosc. 2007, 66, 1237–1242. [Google Scholar] [CrossRef]
- Soman, V.V.; Kelkar, D.S. FTIR Studies of Doped PMM—PVC Blend System. Macromol. Symp. 2009, 277, 152–161. [Google Scholar] [CrossRef]
- Colthup, N.B.; Daly, L.H.; Wiberley, S.E. Chapter 8—Aromatic and Heteroaromatic Rings. In Introduction to Infrared and Raman Spectroscopy, 3rd ed.; Colthup, N.B., Daly, L.H., Wiberley, S.E., Eds.; Academic Press: San Diego, CA, USA, 1990; pp. 261–288. [Google Scholar] [CrossRef]
- Matuana, L.M.; Kamdem, D.P.; Zhang, J. Photoaging and Stabilization of Rigid PVC/Wood-Fiber Composites. J. Appl. Polym. Sci. 2001, 80, 1943–1950. [Google Scholar] [CrossRef]
- Gallouze, N.; Belhaneche-Bensemra, N. Influence of Polluted Atmospheres on the Natural Aging of Poly(Vinyl Chloride) Stabilized with Epoxidized Sunflower Oil. J. Appl. Polym. Sci. 2008, 110, 1973–1978. [Google Scholar] [CrossRef]
- Janorkar, A.V.; Metters, A.T.; Hirt, D.E. Degradation of Poly(L-Lactide) Films under Ultraviolet-Induced Photografting and Sterilization Conditions. J. Appl. Polym. Sci. 2007, 106, 1042–1047. [Google Scholar] [CrossRef]
- Copinet, A.; Bertrand, C.; Govindin, S.; Coma, V.; Couturier, Y. Effects of Ultraviolet Light (315 Nm), Temperature and Relative Humidity on the Degradation of Polylactic Acid Plastic Films. Chemosphere 2004, 55, 763–773. [Google Scholar] [CrossRef] [PubMed]
- Kaynak, C.; Kaygusuz, I. Consequences of Accelerated Weathering in Polylactide Nanocomposites Reinforced with Halloysite Nanotubes. J. Compos. Mater. 2016, 50, 365–375. [Google Scholar] [CrossRef]
- Yang, X.; Jiang, X.; Hu, J.; Wang, F.; Hu, C. Relationship between Physical and Mechanical Properties of Accelerated Weathering and Outdoor Weathering of PVC-Coated Membrane Material under Tensile Stress. J. Ind. Text. 2017, 47, 197–210. [Google Scholar] [CrossRef]
- Pagacz, J.; Chrzanowski, M.; Krucińska, I.; Pielichowski, K. Thermal Aging and Accelerated Weathering of PVC/MMT Nanocomposites: Structural and Morphological Studies. J. Appl. Polym. Sci. 2015, 132, 42090. [Google Scholar] [CrossRef]
- Islam, M.S.; Pickering, K.L.; Foreman, N.J. Influence of Accelerated Ageing on the Physico-Mechanical Properties of Alkali-Treated Industrial Hemp Fibre Reinforced Poly(Lactic Acid) (PLA) Composites. Polym. Degrad. Stab. 2010, 95, 59–65. [Google Scholar] [CrossRef]
- Torres-Huerta, A.M.; Palma-Ramírez, D.; Domínguez-Crespo, M.A.; Del Angel-López, D.; de la Fuente, D. Comparative Assessment of Miscibility and Degradability on PET/PLA and PET/Chitosan Blends. Eur. Polym. J. 2014, 61, 285–299. [Google Scholar] [CrossRef]
- Wongwitdecha, N.; Marsden, C.A. Social Isolation Increases Aggressive Behaviour and Alters the Effects of Diazepam in the Rat Social Interaction Test. Behav. Brain Res. 1996, 75, 27–32. [Google Scholar] [CrossRef]
- Hawkins, M.F.; Fuller, R.D.; Baumeister, A.A.; McCallum, M.D. Effects in the Rat of Intranigral Morphine and DAGO on Eating and Gnawing Induced by Stress. Pharmacol. Biochem. Behav. 1994, 49, 737–740. [Google Scholar] [CrossRef]
- Curiosity Rats, Curiousv. Available online: http://www.curiousv.com/curiosityrats/files/infopsych.html (accessed on 31 May 2018).
- Nevison, C.M.; Hurst, J.L.; Barnard, C.J. Why Do Male ICR(CD-1) Mice Perform Bar-Related (Stereotypic) Behaviour? Behav. Processes 1999, 47, 95–111. [Google Scholar] [CrossRef]
- Zeredo, J.L.; Kumei, Y.; Shibazaki, T.; Yoshida, N.; Toda, K. Measuring Biting Behavior Induced by Acute Stress in the Rat. Behav. Res. Methods 2009, 41, 761–764. [Google Scholar] [CrossRef] [PubMed]
- Crespo, J.E.; Sánchez, L.; García, D.; López, J. Study of the Mechanical and Morphological Properties of Plasticized PVC Composites Containing Rice Husk Fillers. J. Reinf. Plast. Comp. 2008, 27, 229–243. [Google Scholar] [CrossRef]
- Yang, H.-S.; Kim, H.-J.; Park, H.-J.; Lee, B.-J.; Hwang, T.-S. Effect of Compatibilizing Agents on Rice-Husk Flour Reinforced Polypropylene Composites. Compos. Struct. 2007, 77, 45–55. [Google Scholar] [CrossRef]
- Zhu, A.; Cai, A.; Zhang, J.; Jia, H.; Wang, J. PMMA-Grafted-Silica/PVC Nanocomposites: Mechanical Performance and Barrier Properties. J. Appl. Polym. Sci. 2008, 108, 2189–2196. [Google Scholar] [CrossRef]
- Gil, N.; Saska, M.; Negulescu, I. Evaluation of the Effects of Biobased Plasticizers on the Thermal and Mechanical Properties of Poly(Vinyl Chloride). J. Appl. Polym. Sci. 2006, 102, 1366–1373. [Google Scholar] [CrossRef]
- Zurina, M.; Ismail, H.; Bakar, A.A. Partial Replacement of Silica by Rice Husk Powder in Polystyrene–Styrene Butadiene Rubber Blends. J. Reinf. Plast. Comp. 2004, 23, 1397–1408. [Google Scholar] [CrossRef]
- Klapiszewski, Ł.; Pawlak, F.; Tomaszewska, J.; Jesionowski, T. Preparation and Characterization of Novel PVC/Silica–Lignin Composites. Polymers 2015, 7, 1767–1788. [Google Scholar] [CrossRef]
- Fasihi, M.; Arabzadeh, R.; Moghbeli, M.R. Effect of Silica Particles on Adhesion Strength of Polyvinyl Chloride Coatings on Metal Substrates. Iran J. Chem. Chem. Eng. 2017, 14, 74–82. [Google Scholar]
- Jia, P.; Hu, L.; Feng, G.; Bo, C.; Zhou, J.; Zhang, M.; Zhou, Y. Design and Synthesis of a Castor Oil Based Plasticizer Containing THEIC and Diethyl Phosphate Groups for the Preparation of Flame-Retardant PVC Materials. RSC Adv. 2017, 7, 897–903. [Google Scholar] [CrossRef]
- Jia, P.; Hu, L.; Zhang, M.; Feng, G.; Zhou, Y. Phosphorus Containing Castor Oil Based Derivatives: Potential Non-Migratory Flame Retardant Plasticizer. Eur. Polym. J. 2017, 87, 209–220. [Google Scholar] [CrossRef]
- Bueno-Ferrer, C.; Garrigós, M.C.; Jiménez, A. Characterization and Thermal Stability of Poly(Vinyl Chloride) Plasticized with Epoxidized Soybean Oil for Food Packaging. Polym. Degrad. Stabil. 2010, 95, 2207–2212. [Google Scholar] [CrossRef]
- Nihul, P.G.; Mhaske, S.T.; Shertukde, V.V. Epoxidized Rice Bran Oil (ERBO) as a Plasticizer for Poly(Vinyl Chloride) (PVC). Iran Polym. J. 2014, 23, 599–608. [Google Scholar] [CrossRef]
- Xie, X.-L.; Liu, Q.-X.; Li, R.K.-Y.; Zhou, X.-P.; Zhang, Q.-X.; Yu, Z.-Z.; Mai, Y.-W. Rheological and Mechanical Properties of PVC/CaCO3 Nanocomposites Prepared by in Situ Polymerization. Polymers 2004, 45, 6665–6673. [Google Scholar] [CrossRef]
- Mohagheghian, M.; Sadeghi, M.; Chenar, M.P.; Naghsh, M. Gas Separation Properties of Polyvinylchloride (PVC)-Silica Nanocomposite Membrane. Korean J. Chem. Eng. 2014, 31, 2041–2050. [Google Scholar] [CrossRef]
- Lavina, S.; Negro, E.; Pace, G.; Gross, S.; Depaoli, G.; Vidali, M.; Di Noto, V. Dielectric Low-k Composite Films Based on PMMA, PVC and Methylsiloxane-Silica: Synthesis, Characterization and Electrical Properties. J. Non-Cryst Solids. 2007, 353, 2878–2888. [Google Scholar] [CrossRef]
- Varma-Nair, M.; Wunderlich, B. Non Isothermal Heat Capacities and Chemical Reactions Using a Modulated DSC. J. Therm. Anal. Calorim. 1996, 46, 879–892. [Google Scholar] [CrossRef]
- Ari, G.A.; Aydin, I. A Study on Fusion and Rheological Behaviors of PVC/SiO2 Microcomposites and Nanocomposites: The Effects of SiO2 Particle Size. Polym. Eng. Sci. 2011, 51, 1574–1579. [Google Scholar] [CrossRef]
- Levchik, S.V.; Weil, E.D. Overview of the Recent Literature on Flame Retardancy and Smoke Suppression in PVC. Polym. Adv. Technol. 2005, 16, 707–716. [Google Scholar] [CrossRef]
- Liang, G.G.; Cook, W.D.; Sautereau, H.J.; Tcharkhtchi, A. Diallyl Orthophthalate as a Reactive Plasticizer for Improving PVC Processibility, Part II: Rheology during Cure. Polymers 2009, 50, 2635–2642. [Google Scholar] [CrossRef]
- Sugimoto, M.; Hida, H.; Taniguchi, T.; Koyama, K.; Aoki, Y. Rheological Properties of Poly(Vinyl Chloride)/Plasticizer Systems—Relation between Sol–Gel Transition and Elongational Viscosity. Rheol. Actaa 2007, 46, 957–964. [Google Scholar] [CrossRef]
- Kamibayashi, M.; Ogura, H.; Otsubo, Y. Rheological Behavior of Suspensions of Silica Nanoparticles in Associating Polymer Solutions. Ind. Eng. Chem. Res. 2006, 45, 6899–6905. [Google Scholar] [CrossRef]
- Otsubo, Y. Effect of Polymer Adsorption on the Rheological Behavior of Silica Suspensions. J. Colloid Interface Sci. 1986, 112, 380–386. [Google Scholar] [CrossRef]














| Samples | B/ZnSt (wt%) | SiCO (wt%) | |
|---|---|---|---|
| Set I | I.1 | 1.96 | 12.16 |
| I.2 | 1.96 | 14.47 | |
| I.3 | 1.96 | 18.75 | |
| I.4 | 1.96 | 23.53 | |
| Set II | II.1 | - | 12.16 |
| II.2 | - | 14.47 | |
| II.3 | - | 18.75 | |
| II.4 | - | 23.53 | |
| Testing Period Animal Cage | 1st Month | 2nd Month | 3rd Month |
|---|---|---|---|
| Cage 1 | Blank | Set I | Set II |
| Cage 2 | Set I | Set II | Blank |
| Cage 3 | Set II | Blank | Set I |
| Description of Vibrations | Wavenumbers (cm−1) |
|---|---|
| C-H stretching | 2850–2958 |
| C=O stretching vibration | 1722–1725 |
| C-H bending | 1421–1424 |
| C-H rocking | 1257–1260 |
| trans C-H wagging | 961 |
| –C–C– stretch | 870–873 |
| C-Cl stretching | 750–850 |
| cis C-H wagging | 615 |
| Source | DF | Adj SS | Adj MS | F-Value | p-Value |
|---|---|---|---|---|---|
| Sample | 8 | 37,715 | 4714.3 | 23.58 | 0.000 |
| Cage | 2 | 9426 | 4713.2 | 23.57 | 0.000 |
| Month | 2 | 1639 | 819.3 | 4.10 | 0.022 |
| Error | 59 | 11,796 | 199.9 | ||
| Lack-of-Fit | 14 | 7072 | 505.2 | ||
| Pure Error | 45 | 4723 | 105.0 | 4.81 | 0.000 |
| Total | 71 | 60,575 |
| Setting | N | Mean of Weight Loss (%) | Grouping |
|---|---|---|---|
| Blank | 24 | 59.74 | A |
| II.1 | 6 | 32.48 | B |
| II.2 | 6 | 26.52 | B, C |
| I.1 | 6 | 13.09 | B, C |
| II.3 | 6 | 12.65 | B, C |
| I.2 | 6 | 10.92 | B, C |
| I.3 | 6 | 8.70 | B, C |
| I.4 | 6 | 7.01 | B, C |
| II.4 | 6 | 1.68 | C |
| Cage | N | Mean of Weight Loss (%) | Grouping |
|---|---|---|---|
| C3 | 24 | 35.28 | A |
| C2 | 24 | 12.73 | B |
| C1 | 24 | 9.59 | B |
| Month | N | Mean of Weight Loss (%) | Grouping |
|---|---|---|---|
| 1 | 24 | 25.9047 | A |
| 2 | 24 | 16.4909 | A, B |
| 3 | 24 | 15.2018 | B |
| Code | Tensile Strength (MPa) | Elongation at Break (%) | Tensile Modulus (MPa) |
|---|---|---|---|
| PVC | 16.42 ± 1.1 | 522.15 ± 74.1 | 10.76 ± 0.5 |
| I.1 | 12.23 ± 1.0 | 531.21 ± 82.9 | 9.61 ± 0.3 |
| I.2 | 12.03 ± 0.5 | 514.56 ± 42.1 | 9.66 ± 0.9 |
| I.3 | 10.65 ± 0.4 | 459.46 ± 47.0 | 9.72 ± 0.6 |
| I.4 | 8.09 ± 0.8 | 321.49 ± 62.5 | 9.38 ± 0.5 |
| II.1 | 13.13 ± 0.8 | 508.79 ± 64.4 | 8.95 ± 0.5 |
| II.2 | 12.51 ± 0.5 | 489.58 ± 34.0 | 9.25 ± 0.3 |
| II.3 | 11.03 ± 0.5 | 441.64 ± 43.5 | 9.58 ± 0.5 |
| II.4 | 8.41 ± 0.6 | 318.60 ± 51.8 | 9.61 ± 0.4 |
| Sample | Tonset1 (°C) | Tonset2 (°C) | T1% (°C) | T5% (°C) | T50% (°C) | Tmax1 (°C) | Tmax2 (°C) | Ash Content (%wt) |
|---|---|---|---|---|---|---|---|---|
| PVC | 293.59 | 432.53 | 257.87 | 283.57 | 326.55 | 313.66 | 443.34 | 28.66 |
| I.1 | 272.11 | 433.69 | 239.77 | 267.40 | 324.59 | 294.80 | 455.28 | 29.34 |
| I.2 | 273.70 | 430.22 | 243.04 | 268.46 | 328.22 | 297.45 | 457.16 | 29.43 |
| I.3 | 275.25 | 440.48 | 240.91 | 268.85 | 331.45 | 298.30 | 458.72 | 30.50 |
| I.4 | 277.18 | 449.96 | 234.40 | 271.01 | 339.35 | 299.96 | 457.17 | 31.22 |
| II.1 | 291.49 | 454.29 | 260.14 | 284.82 | 337.02 | 315.70 | 457.09 | 25.56 |
| II.2 | 290.81 | 446.31 | 256.56 | 285.67 | 340.25 | 315.37 | 459.66 | 26.67 |
| II.3 | 290.09 | 442.24 | 252.82 | 286.00 | 340.78 | 314.22 | 454.68 | 27.42 |
| II.4 | 288.93 | 430.87 | 242.22 | 283.07 | 348.68 | 314.02 | 453.14 | 27.85 |
Publisher’s Note: MDPI stays neutral with regard to jurisdictional claims in published maps and institutional affiliations. |
© 2021 by the authors. Licensee MDPI, Basel, Switzerland. This article is an open access article distributed under the terms and conditions of the Creative Commons Attribution (CC BY) license (https://creativecommons.org/licenses/by/4.0/).
Share and Cite
Techawinyutham, L.; Prasarnsri, A.; Siengchin, S.; Dangtungee, R.; Rangappa, S.M. Anti-Gnawing, Thermo-Mechanical and Rheological Properties of Polyvinyl Chloride: Effect of Capsicum Oleoresin and Denatonium Benzoate. J. Compos. Sci. 2022, 6, 8. https://doi.org/10.3390/jcs6010008
Techawinyutham L, Prasarnsri A, Siengchin S, Dangtungee R, Rangappa SM. Anti-Gnawing, Thermo-Mechanical and Rheological Properties of Polyvinyl Chloride: Effect of Capsicum Oleoresin and Denatonium Benzoate. Journal of Composites Science. 2022; 6(1):8. https://doi.org/10.3390/jcs6010008
Chicago/Turabian StyleTechawinyutham, Laongdaw, Arnuparb Prasarnsri, Suchart Siengchin, Rapeephun Dangtungee, and Sanjay Mavinkere Rangappa. 2022. "Anti-Gnawing, Thermo-Mechanical and Rheological Properties of Polyvinyl Chloride: Effect of Capsicum Oleoresin and Denatonium Benzoate" Journal of Composites Science 6, no. 1: 8. https://doi.org/10.3390/jcs6010008
APA StyleTechawinyutham, L., Prasarnsri, A., Siengchin, S., Dangtungee, R., & Rangappa, S. M. (2022). Anti-Gnawing, Thermo-Mechanical and Rheological Properties of Polyvinyl Chloride: Effect of Capsicum Oleoresin and Denatonium Benzoate. Journal of Composites Science, 6(1), 8. https://doi.org/10.3390/jcs6010008

