Dynamic Gelation of Conductive Polymer Nanocomposites Consisting of Poly(3-hexylthiophene) and ZnO Nanowires
Abstract
:1. Introduction
2. Materials and Methods
3. Results and Discussion
4. Conclusions
Author Contributions
Funding
Acknowledgments
Conflicts of Interest
References
- Zhao, Y.; Liu, B.; Pan, L.; Yu, G. 3D nanostructured conductive polymer hydrogels for high-performance electrochemical devices. Energy Environ. Sci. 2013, 6, 2856–2870. [Google Scholar] [CrossRef]
- Zhang, W.; Feng, P.; Chen, J.; Sun, Z.; Zhao, B. Electrically conductive hydrogels for flexible energy storage systems. Prog. Polym. Sci. 2019, 88, 220–240. [Google Scholar] [CrossRef]
- Shi, H.; Dai, Z.; Sheng, X.; Xia, D.; Shao, P.; Yang, L.; Luo, X. Conducting polymer hydrogels as a sustainable platform for advanced energy, biomedical and environmental applications. Sci. Total Environ. 2021, 786, 147430. [Google Scholar] [CrossRef]
- Zhao, F.; Shi, Y.; Pan, L.; Yu, G. Multifunctional Nanostructured Conductive Polymer Gels: Synthesis, Properties, and Applications. Acc. Chem. Res. 2017, 50, 1734–1743. [Google Scholar] [CrossRef] [Green Version]
- Nezakati, T.; Seifalian, A.; Tan, A.; Seifalian, A.M. Conductive Polymers: Opportunities and Challenges in Biomedical Applications. Chem. Rev. 2018, 118, 6766–6843. [Google Scholar] [CrossRef] [PubMed]
- Li, S.; He, K.; Prince, E.; Li, Y.; Seferos, D.S. Selenophene and Thiophene-Based Conjugated Polymer Gels. ACS Mater. Lett. 2020, 2, 1617–1623. [Google Scholar] [CrossRef]
- Bilger, D.W.; Figueroa, J.A.; Redeker, N.D.; Sarkar, A.; Stefkk, M.; Zhang, S. Hydrogen-Bonding-Directed Ordered Assembly of Carboxylated Poly(3-Alkylthiophene)s. ACS Omega 2017, 2, 8526–8535. [Google Scholar] [CrossRef] [Green Version]
- Malik, S.; Jana, T.; Nandi, A.K. Thermoreversible gelation of regioregular poly(3-hexylthiophene) in xylene. Macromolecules 2001, 34, 275–282. [Google Scholar] [CrossRef]
- Chang, M.Y.; Huang, Y.H.; Han, Y.K. Aggregation, crystallization, and resistance properties of poly(3-hexylthiophene-2,5-diyl) solid films gel-cast from CHCl 3/p-xylene mixed solvents. Org. Electron. 2014, 15, 251–259. [Google Scholar] [CrossRef]
- Bilger, D.; Sarkar, A.; Danesh, C.; Gopinadhan, M.; Braggin, G.; Figueroa, J.; Pham, T.V.; Chun, D.; Rao, Y.; Osuji, C.O.; et al. Multi-Scale Assembly of Polythiophene-Surfactant Supramolecular Complexes for Charge Transport Anisotropy. Macromolecules 2017, 50, 1047–1055. [Google Scholar] [CrossRef]
- Danesh, C.D.; Starkweather, N.S.; Zhang, S. In situ study of dynamic conformational transitions of a water-soluble poly(3-hexylthiophene) derivative by surfactant complexation. J. Phys. Chem. B 2012, 116, 12887–12894. [Google Scholar] [CrossRef]
- Zhang, S.; Pfefferle, L.D.; Osuji, C.O. Lyotropic hexagonal ordering in aqueous media by conjugated hairy-rod supramolecules. Macromolecules 2010, 43, 7549–7555. [Google Scholar] [CrossRef]
- Brinkmann, M. Structure and morphology control in thin films of regioregular poly(3-hexylthiophene). J. Polym. Sci. Part B Polym. Phys. 2011, 49, 1218–1233. [Google Scholar] [CrossRef]
- Chen, C.Y.; Chan, S.H.; Li, J.Y.; Wu, K.H.; Chen, H.L.; Chen, J.H.; Huang, W.Y.; Chen, S.A. Formation and thermally-induced disruption of nanowhiskers in poly(3-hexylthiophene)/Xylene gel studied by small-angle X-ray scattering. Macromolecules 2010, 43, 7305–7311. [Google Scholar] [CrossRef]
- Newbloom, G.M.; Weigandt, K.M.; Pozzo, D.C. Structure and property development of poly(3-hexylthiophene) organogels probed with combined rheology, conductivity and small angle neutron scattering. Soft Matter 2012, 8, 8854–8864. [Google Scholar] [CrossRef]
- Newbloom, G.M.; Kim, F.S.; Jenekhe, S.A.; Pozzo, D.C. Mesoscale morphology and charge transport in colloidal networks of poly(3-hexylthiophene). Macromolecules 2011, 44, 3801–3809. [Google Scholar] [CrossRef]
- Newbloom, G.M.; De La Iglesia, P.; Pozzo, L.D. Controlled gelation of poly(3-alkylthiophene)s in bulk and in thin-films using low volatility solvent/poor-solvent mixtures. Soft Matter 2014, 10, 8945. [Google Scholar] [CrossRef] [PubMed]
- Lee, C.K.; Hua, C.C.; Chen, S.A. Phase transition and gels in conjugated polymer solutions. Macromolecules 2013, 46, 1932–1938. [Google Scholar] [CrossRef]
- Ma, Z.; Shi, W.; Yan, K.; Pan, L.; Yu, G. Doping engineering of conductive polymer hydrogels and their application in advanced sensor technologies. Chem. Sci. 2019, 10, 6232–6244. [Google Scholar] [CrossRef] [PubMed] [Green Version]
- Liu, Z.; Zhao, Z.; Xu, A.; Li, W.; Qin, Y. Facile preparation of graphene/polyaniline composite hydrogel film by electrodeposition for binder-free all-solid-state supercapacitor. J. Alloys Compd. 2021, 875, 159931. [Google Scholar] [CrossRef]
- Zhai, D.; Liu, B.; Shi, Y.; Pan, L.; Wang, Y.; Li, W.; Zhang, R.; Yu, G. Highly Sensitive Glucose Sensor Based on Pt Nanoparticle/Polyaniline Hydrogel Heterostructures. ACS Nano 2013, 7, 3540–3546. [Google Scholar] [CrossRef]
- Li, P.; Chen, L.J.; Pan, J.; Niu, G.X.; Zhang, T.; Xiang, J.; Cai, L.; Hu, Y.; Zhang, Y.J.; Wan, K.M.; et al. Dispersion of P3HT gelation and its influence on the performance of bulk heterojunction organic solar cells based on P3HT:PCBM. Sol. Energy Mater. Sol. Cells 2014, 125, 96–101. [Google Scholar] [CrossRef]
- Kim, B.G.; Jeong, E.J.; Park, H.J.; Bilby, D.; Guo, L.J.; Kim, J. Effect of polymer aggregation on the open circuit voltage in organic photovoltaic cells: Aggregation-induced conjugated polymer gel and its application for preventing open circuit voltage drop. ACS Appl. Mater. Interfaces 2011, 3, 674–680. [Google Scholar] [CrossRef] [PubMed]
- Zuo, L.J.; Hu, X.L.; Ye, T.; Andersen, T.R.; Li, H.Y.; Shi, M.M.; Xu, M.; Ling, J.; Zheng, Q.; Xu, J.T.; et al. Effect of solvent-assisted nanoscaled organo-gels on morphology and performance of organic solar cells. J. Phys. Chem. C 2012, 116, 16893–16900. [Google Scholar] [CrossRef]
- Huang, W.Y.; Huang, P.T.; Han, Y.K.; Lee, C.C.; Hsieh, T.L.; Chang, M.Y. Aggregation and gelation effects on the performance of poly(3-hexylthiophene)/fullerene solar cells. Macromolecules 2008, 41, 7485–7489. [Google Scholar] [CrossRef]
- Yang, M.; Ren, X.; Yang, T.; Xu, C.; Ye, Y.; Sun, Z.; Kong, L.; Wang, B.; Luo, Z. Polypyrrole/sulfonated multi-walled carbon nanotubes conductive hydrogel for electrochemical sensing of living cells. Chem. Eng. J. 2021, 418, 129483. [Google Scholar] [CrossRef]
- Cox, R.; Olson, G.T.; Pfau, M.; Eshaghi, N.; Barcus, K.; Ramirez, D.; Fernando, R.; Zhang, S. Solution-Based Large-Area Assembly of Coaxial Inorganic—Organic Hybrid Nanowires for Fast Ambipolar Charge Transport. ACS Appl. Mater. Interfaces 2017, 9, 3–9. [Google Scholar] [CrossRef]
- Redeker, N.D.; Danesh, C.D.; Ding, Y.; Zhang, S. Anisotropic core-shell nanocomposites by direct covalent attachment of a side-functionalized poly(3-hexylthiophene) onto ZnO nanowires. Polymer 2013, 54, 7004–7008. [Google Scholar] [CrossRef]
- Wagner, T.W.; Luo, Y.; Redeker, N.D.; Immoos, C.E.; Zhang, S. Effect of surface-modified zinc oxide nanowires on solution crystallization kinetics of poly(3-hexylthiophene). Polymer 2014, 55, 2008–2013. [Google Scholar] [CrossRef]
- Koppe, M.; Brabec, C.J.; Heiml, S.; Schausberger, A.; Duffy, W.; Heeney, M.; McCulloch, I. Influence of molecular weight distribution on the gelation of P3HT and its impact on the photovoltaic performance. Macromolecules 2009, 42, 4661–4666. [Google Scholar] [CrossRef]
- Xu, W.; Tang, H.; Lv, H.; Li, J.; Zhao, X.; Li, H.; Wang, N.; Yang, X. Sol-gel transition of poly(3-hexylthiophene) revealed by capillary measurements: Phase behaviors, gelation kinetics and the formation mechanism. Soft Matter 2012, 8, 726–733. [Google Scholar] [CrossRef]
- Shafiei-Sabet, S.; Hamad, W.Y.; Hatzikiriakos, S.G. Rheology of nanocrystalline cellulose aqueous suspensions. Langmuir 2012, 28, 17124–17133. [Google Scholar] [CrossRef] [PubMed]
- Yi, H.L.; Hua, C.C. PBTTT-C16 sol-gel transition by rod associations and networking. Soft Matter 2019, 15, 8022–8031. [Google Scholar] [CrossRef] [PubMed]
- Madbouly, S.A.; Otaigbe, J.U. Kinetic analysis of fractal gel formation in waterborne polyurethane dispersions undergoing high deformation flows. Macromolecules 2006, 39, 4144–4151. [Google Scholar] [CrossRef]
- Xie, F.; Weiss, P.; Chauvet, O.; Le Bideau, J.; Tassin, J.F. Kinetic studies of a composite carbon nanotube-hydrogel for tissue engineering by rheological methods. J. Mater. Sci. Mater. Med. 2010, 21, 1163–1168. [Google Scholar] [CrossRef]
- Dudukovic, N.A.; Zukoski, C.F. Gelation of Fmoc-diphenylalanine is a first order phase transition. Soft Matter 2015, 11, 7663–7673. [Google Scholar] [CrossRef]
- Auriemma, F.; De Rosa, C.; Triolo, R. Slow crystallization kinetics of poly(vinyl alcohol) in confined environment during cryotropic gelation of aqueous solutions. Macromolecules 2006, 39, 9429–9434. [Google Scholar] [CrossRef]
- Girolamo, M.; Keller, A.; Miyasaka, K.; Overbergh, N. Gelatin-Crystallization in Isotactic Polystyrene Solutions and Its Implications To Crystal Morphology, To the Origin and Structure of Gels, and To the Chemical Homogeneity of Polyolefins. J. Polym. Sci. 1976, 14, 39–61. [Google Scholar] [CrossRef]
- Normand, V.; Muller, S.; Ravey, J.C.; Parker, A. Gelation kinetics of gelatin: A master curve and network modeling. Macromolecules 2000, 33, 1063–1071. [Google Scholar] [CrossRef]
- Ross-Murphy, S.B. Gelation kinetics—Problems and prospects. J. Macromol. Sci. Part B Phys. 2005, 44, 1007–1019. [Google Scholar] [CrossRef]
- Shibayama, M. Exploration of ideal polymer networks. Macromol. Symp. 2017, 372, 7–13. [Google Scholar] [CrossRef]
- Luo, Y.; Santos, F.A.; Wagner, T.W.; Tsoi, E.; Zhang, S. Dynamic Interactions between Poly(3-hexylthiophene) and Single-Walled Carbon Nanotubes in Marginal Solvent. J. Phys. Chem. B 2014, 118, 6038–6046. [Google Scholar] [CrossRef] [PubMed]
- Zhang, S.; Bunz, U.H.F.; Bucknall, D.G. Chromatic Conductive Polymer Nanocomposites of Poly(p-Phenylene Ethynylene)s and Single-Walled Carbon Nanotubes. J. Compos. Sci. 2021, 5, 158. [Google Scholar] [CrossRef]







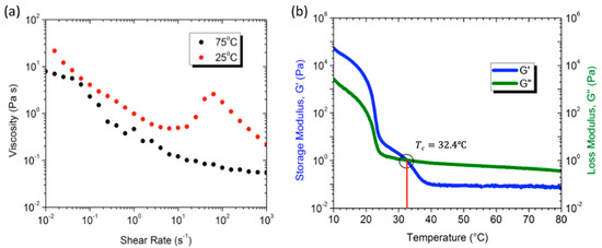
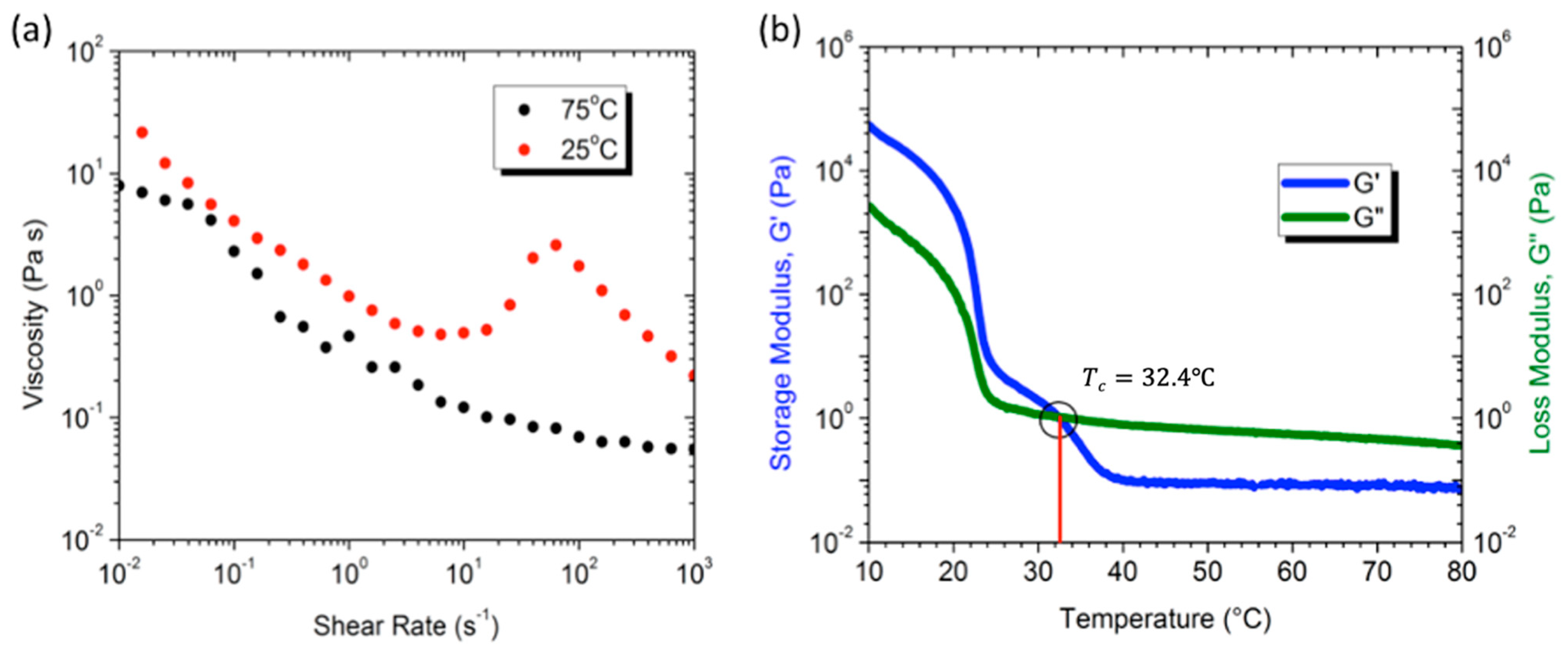
| P3HT/ZnO Gels (a) | 1.0 wt % ZnO | 5.0 wt % ZnO | 10 wt % ZnO |
|---|---|---|---|
| Tc | 21.0 | 21.8 | 32.4 |
Publisher’s Note: MDPI stays neutral with regard to jurisdictional claims in published maps and institutional affiliations. |
© 2021 by the authors. Licensee MDPI, Basel, Switzerland. This article is an open access article distributed under the terms and conditions of the Creative Commons Attribution (CC BY) license (https://creativecommons.org/licenses/by/4.0/).
Share and Cite
Santos, F.A.; Christensen, D.J., II; Cox, R.Y.; Schultz, S.A.; Fernando, R.H.; Zhang, S. Dynamic Gelation of Conductive Polymer Nanocomposites Consisting of Poly(3-hexylthiophene) and ZnO Nanowires. J. Compos. Sci. 2021, 5, 199. https://doi.org/10.3390/jcs5080199
Santos FA, Christensen DJ II, Cox RY, Schultz SA, Fernando RH, Zhang S. Dynamic Gelation of Conductive Polymer Nanocomposites Consisting of Poly(3-hexylthiophene) and ZnO Nanowires. Journal of Composites Science. 2021; 5(8):199. https://doi.org/10.3390/jcs5080199
Chicago/Turabian StyleSantos, Franceska A., Dana J. Christensen, II, Ryan Y. Cox, Spencer A. Schultz, Raymond H. Fernando, and Shanju Zhang. 2021. "Dynamic Gelation of Conductive Polymer Nanocomposites Consisting of Poly(3-hexylthiophene) and ZnO Nanowires" Journal of Composites Science 5, no. 8: 199. https://doi.org/10.3390/jcs5080199
APA StyleSantos, F. A., Christensen, D. J., II, Cox, R. Y., Schultz, S. A., Fernando, R. H., & Zhang, S. (2021). Dynamic Gelation of Conductive Polymer Nanocomposites Consisting of Poly(3-hexylthiophene) and ZnO Nanowires. Journal of Composites Science, 5(8), 199. https://doi.org/10.3390/jcs5080199
