Abstract
Material removal processes, or machining (encompassing milling, turning, and drilling), constitute an indispensable facet of manufacturing. To attain optimal machining performance—characterized by a high material removal rate, minimal tool wear, and superior surface finish—cutting conditions (such as the depth of the cut, feed rate, and cutting speed) must be meticulously optimized. Traditionally, this optimization has been contingent upon datasets collected from a singular, reliable source. However, in the paradigm of smart manufacturing, this data dependency is transitioning from a single source to a confluence of heterogeneous, open sources. Accordingly, this study elucidates a systematic approach for harnessing open-source machining datasets in a cogent and efficacious manner. Specifically, an open data source pertaining to turning operations, comprising 1013 records related to tool wear, is studied. From this corpus, 289 records corresponding to mild steel (JIS code: S45C) undergo rigorous analysis via Analysis of Variance (ANOVA), Signal-to-Noise Ratio (SNR), and possibility distributions. The empirical findings reveal that possibility distributions exhibit superior efficacy over ANOVA and SNR in extracting salient insights for optimization. Nevertheless, in certain scenarios, an integrative approach leveraging all three methods is requisite to attain optimal results. This study thus proffers a pragmatic computational framework, augmenting the optimization of machining within the purview of smart manufacturing.
Keywords:
machining; optimization; open data; ANOVA; SNR; possibility distribution; fuzzy number; uncertainty; interpretability 1. Introduction
Manufacturing processes transform raw materials into finished products and are broadly categorized into three types: (1) additive manufacturing (material is added layer by layer to create a shape), (2) subtractive manufacturing (material is removed to create a shape), and (3) formative manufacturing (material is reshaped without material addition or removal) [1,2,3,4]. Among these, subtractive manufacturing—commonly known as machining—remains fundamental to industrial production, enabling precise material removal to achieve desired geometries and surface qualities.
Figure 1 schematically illustrates the concept of optimization in machining. As seen in Figure 1, in a machining operation, a cutting tool removes material from a workpiece. This operation is governed by process parameters such as the cutting speed (vc), feed rate (f), radial/axial depth of cut (ap/ae), and spindle speed (N).
Figure 1.
Context of optimization in machining.
These parameters, which directly influence the machining, are sometimes referred to as Control Variables (CVs) [2,5]. As such, CVs define the input conditions of a machining operation, and their selection significantly impacts machining performance. As machining progresses, the interaction between the tool and the workpiece gives rise to various phenomena, such as chip formation, tool wear, heat generation, and cutting force. These phenomena, in turn, affect measurable performance indicators, such as surface roughness, cutting force, material removal rate (MRR), and tool wear. These indicators are referred to as evaluation variables (EVs) since they quantify machining performance [2,5]. As seen in Figure 1, the relationship between CVs and EVs is not always straightforward. For instance, an increase in f generally leads to an increase in both surface roughness and MRR. While a higher MRR is desirable for improved productivity, increased roughness negatively impacts surface quality. This behavior highlights the fundamental problem of machining optimization: how should f be selected to achieve a balance between maximizing MRR and minimizing surface roughness? Section 2 presents a literature review on machining optimization and relevant methods.
From the viewpoint of smart manufacturing [6,7,8], machining optimization can be approached through the integration of open data (OD)—publicly available machining datasets contributed by multiple sources, including research institutions, industries, and digital manufacturing platforms. Instead of relying solely on locally acquired CV-EV-centric data, OD enable a broader, data-driven perspective where insights can be derived from diverse machining setups, tools, and conditions. Figure 2 shows an OD lifecycle that can be followed for enabling OD-driven optimization.
Figure 2.
Open data (OD) lifecycle.
As seen in Figure 2, the upstream of the lifecycle creates OD (also described in [6]). This includes the documentation of CV-EV-centric data, wrangling the data into a structured, machine-readable format such as JSON and/or XML, and storing the machine-readable data in a cloud-based repository to ensure accessibility. Through this process, OD become part of a larger interconnected ecosystem, often referred to as the Digital Manufacturing Commons (DMC) [7,9]—a shared infrastructure where manufacturing data (process-relevant data, CAD models, systems, algorithms, and alike) are openly available for analysis and application across different workspaces. As seen in Figure 2, the downstream of the lifecycle focuses on utilizing the created OD. This involves acquiring OD, analyzing them to extract relevant insights, and adapting the extracted knowledge for specific machining optimization tasks as needed. At this stage, analyzing OD raises key research questions, such as whether CV-EV-centric OD provide sufficient information to determine optimal CV settings, whether their analysis can yield actionable knowledge, and to what extent existing methods are suitable for OD analysis. This study investigates these questions by employing three methods: two conventional methods, Analysis of Variance (ANOVA) [10,11,12,13] and Signal-to-Noise Ratio (SNR) [13,14,15,16], and a non-conventional method, possibility distribution (PD) [17,18], to analyze CV-EV-centric OD. The rationale behind selecting these methods is described in Section 3.
Since OD serve as the foundation for this study, their availability is critical for conducting the analyses. However, OD of machining remain largely unavailable, as efforts to create and structure such data are still emerging. Currently, OD have been developed specifically for turning [6], making them a suitable dataset for this type of analysis. Therefore, this study considers turning as a demonstration case to explore the applicability of OD-driven analysis. By leveraging OD for turning, this study further contributes to the exploration of OD-driven machining optimization and their potential role in data-driven manufacturing research.
For a better understanding, the rest of this article is organized as follows. Section 2 provides a literature review on machining optimization. Section 3 presents the mathematical settings of the optimization methods employed in this study. Section 4 presents the structure and contents of a machining OD source and the underlying optimization results. Section 5 discusses the implications of the results obtained while also addressing the limitations encountered and suggesting avenues for future research. Section 6 provides the concluding remarks of this study.
2. Literature Review
This section presents a literature review on optimization machining operations. For this, a bibliographic dataset from Scopus®, a well-known bibliographic database, was acquired, analyzed, and studied. The dataset was acquired using the following search criteria. Keywords: machining optimization; subject area: engineering; document type: article; source type: journal; publication stage: final; year: 2000–2025. Data related to 7361 (seven thousand three hundred sixty-one) journal articles were collected. Figure A1 in Appendix A illustrates the annual publication trends from 2000 to 2024. To further examine the dataset, Section 2.1 provides an overall summary, while Section 2.2 delves into selected studies, describing how different methods were applied for the sake of optimization.
2.1. Overview
The abovementioned bibliographic dataset was analyzed to understand (1) which data analysis methods are used frequently for optimization, (2) which processes are considered frequently for optimization, and (3) which CV-EVs are considered frequently for optimization. For this, the number of occurrences of the relevant keywords (here, ‘Index Keywords’) was evaluated. Figure A2, Figure A3 and Figure A4 (see Appendix A) show some of the results, respectively. Figure A2 shows that the frequently used methods include ANOVA, genetic algorithms (GAs), neural networks (NNs), Grey Relational Analysis (GRA), regression analysis, Particle Swarm Optimization (PSO), SNR, Principal Component Analysis (PCA), and fuzzy inference. Figure A3 shows that frequently considered processes include grinding, milling, cutting, Electrical Discharge Machining (EDM), and turning. Figure A4 shows that frequently considered CV-EVs include surface roughness, surface properties, tool wear, wear of materials, MRR, energy utilization, energy efficiency, cutting speed, feed rate, spindle speed, depth of cut, and machining time.
Though the above keyword-based analysis provides a comprehensive outlook on the methods, processes, and CV-EVs, the role of different methods in process optimization is yet to be understood. Are the methods used to perform the same task while optimizing? Or do the methods have different roles? How do they complement each other in optimization tasks? Keeping this in mind, the acquired articles were further studied as follows.
Optimization of machining operations typically begins with a Design of Experiments (DoE) approach, where CVs are systematically varied using structured experimental designs like Taguchi’s orthogonal arrays [10,19,20,21,22], Full Factorial Designs [23,24], and Response Surface Methodology (RSM) [11,14]. Based on the DoE, experiments were conducted, and EV data were collected. This creates a CV-EV-centric data matrix. The CV-EV-centric data were then analyzed using statistical methods to determine the effects of CVs on the EVs. These methods include an ANOVA for identifying significant CVs [10,11,12,13,25,26,27], SNR for evaluating variability and identifying optimal CV states [13,14,15,16,28], and regression models for developing predictive CV-EV relationships [20,28]. In some cases, techniques like PCA and clustering methods like Support Vector Machine (SVM) are also used to interpret complex datasets [29,30,31,32,33,34]. Additionally, GRA is often applied when multiple EVs need to be evaluated together. GRA converts multiple EVs into a single ranking index, helping to determine the optimal CVs for the experimental run without requiring complex computations [33,35,36,37].
Beyond the abovementioned statistical methods, machine learning models like Artificial Neural Networks (ANN) and Support Vector Regression (SVR) are also used to learn patterns directly from CV-EV-centric data [10,19,25,38,39,40]. When the CV-EV space is large and involves multiple local optima, metaheuristic algorithms (GA, PSO, and Simulated Annealing (SA)) are used to iteratively explore the optimal conditions [19,25,37,38,41,42]. In the case of evaluating multiple EVs together, multi-objective optimization methods like NSGA-II and MO-GA are used [37,43,44]. They generate a Pareto front, providing a set of optimal trade-offs rather than a single solution. For the sake of real-time adaptation, where EVs such as tool wear, material hardness, and cutting forces change dynamically, machine learning models such as Reinforcement Learning (RL) are employed [41,42]. RL learns from sensor feedback and past outcomes and updates the CVs dynamically.
Now, returning to DoE, while it provides a structured way to explore CV-EV relationships through planned experimentation, Bayesian Optimization (BO) offers a flexible, data-driven alternative [19,45,46]. Unlike DoE, BO does not require a predefined CV matrix but instead adapts test conditions iteratively based on prior results. If a historic CV-EV dataset is available, BO leverages these data to identify CV settings, reducing the need for additional experiments. If no prior data exist, BO begins with a few initial exploratory trials and then refines subsequent test conditions based on the observed outcomes. This approach is particularly useful when experimentation is costly or when the search space is large, making BO a complementary strategy to DoE.
Additionally, to handle uncertainty inherent to machining decisions, methods such as fuzzy inference [5,47,48,49] and PD [17,18] are used to facilitate expert-driven reasoning. These methods use fuzzy membership functions to handle imprecise CV-EV relationships, generating linguistic rules for the sake of optimization.
Table A1 (see Appendix A) summarizes the methods discussed above, categorized by type and their purpose, along with references. While Table A1 highlights common applications of these methods, it does not imply a rigid or universal framework for optimization. The selection and combination of methods depend on the objectives and constraints of a given task rather than a predefined sequence. Some tasks may require statistical techniques to identify key factors, while others may focus on predictive modeling or search-based optimization. The literature reflects this diversity, showcasing varied methodological choices tailored to different optimization challenges.
2.2. Selected Studies
As discussed in Section 2.1 (which can also be seen in Table A1 in Appendix A), machining optimization involves a diverse set of methods, each addressing different challenges. Statistical methods such as ANOVA, SNR, and regression models help quantify the influence of CVs on EVs, while machine learning techniques like ANN, SVR, and RL enable predictive modeling and real-time adaptation. Metaheuristic algorithms such as GA, PSO, and NSGA-II explore large search spaces, and fuzzy-based methods provide decision making flexibility in uncertain conditions. While these methods serve distinct roles in machining optimization, their practical applications vary across studies. To examine how they are implemented, some selected studies are reviewed and summarized in Table A2 (see Appendix A). In particular, Table A2 presents an overview of machining, methods applied, and optimization criteria used in each study.
As outlined in Table A2, Agarwal et al. [13] studied CNC turning of 16MnCr5 steel using TiN-coated TNMG160404 carbide inserts to determine the optimal CVs (cutting speed, feed rate, and depth of cut) for maximizing the EV (MRR) and minimizing the EV (surface roughness). Experiments were conducted based on Taguchi L9 DoE. ANOVA and SNR were applied to analyze the influence of CVs on the EVs and optimal CV states, respectively.
Perumal et al. [11] studied CNC turning of AA359 alloy using titanium carbonitride–coated CBN inserts to determine the optimal CVs (spindle speed, feed rate, and depth of cut) for maximizing the EV (MRR) and minimizing the EV (surface roughness). Experiments were conducted based on Taguchi L16 DoE. ANOVA was applied to analyze the influence of CVs, while the General Linear Model (GLM) and RSM were used to determine their optimal states.
Gangwar et al. [28] studied dry turning of EN31 steel using CNMA 120208 tungsten carbide inserts to determine the optimal CVs (cutting speed, feed rate, and depth of cut) for maximizing the EV (MRR) and minimizing the EV (surface roughness). Experiments were conducted based on Taguchi L18 DoE. SNR analysis was used to assess the impact of CVs on the EVs, while ANOVA developed regression equations describing their relationship. These equations were then used as the objective function in the Grasshopper Optimization Algorithm (GOA) to determine the optimal CVs.
Saleem and Mehmood [50] studied the turning of Inconel 718 using TiAlN PVD-coated SNMG 120408 NN LT 10 inserts to determine the optimal CVs (cutting speed, feed rate, and air pressure) for minimizing the EVs (tool wear and surface roughness). Experiments were conducted based on Taguchi L9 DoE. ANOVA was applied to analyze the influence of CVs on the EVs, and mean value calculations were used to determine optimal CV states.
Chanie et al. [38] studied wire cut EDM of mild steel AISI 1020 using a DK7732C machine to determine the optimal CVs (peak current, pulse on/off time, and wire feed rate) for maximizing the EV (MRR) and minimizing the EV (surface roughness). Experiments were conducted based on Taguchi L9 DoE. An ANN model was developed and integrated with a multi-objective GA for the optimization of CVs.
Teimouri et al. [12] studied rotary turning with ultrasonic vibration of an aluminum 7075 aerospace alloy using tungsten carbide RCMT10T3 MO Lamina Co inserts to determine the optimal CVs (cutting velocity, tool rotary speed, and feed rate) for minimizing the EVs (cutting force and surface roughness). Experiments were conducted based on Taguchi L9 DoE. ANOVA was applied to analyze the influence of CVs on EVs, and the Desirability Function Approach (DFA) was used to determine the optimal CV levels.
Banerjee and Maity [15] studied the turning of Nitronic-50 using MT-PVD inserts to determine the optimal CVs (cutting velocity, feed, and depth of cut) for minimizing the EV (tool wear and surface roughness) while maximizing the EV (MRR). Twenty experiments were conducted, resulting in CV-EV-centric data. ANOVA was applied to analyze the influence of CVs on EVs. The Multi-Objective Optimization by Ratio Analysis (MOORA), Teaching-Learning-Based Optimization (TLBO), and SNR techniques were used to determine the optimal CV levels.
Sun et al. [51] studied the milling of TC4 (Ti-6Al-4V) using flat-end and ball-end cutters to determine the optimal CVs (spindle speed, feed, and axial/radial depth of cut) for maximizing cutting efficiency while minimizing the EVs (surface roughness and cutting force). The Technique for Order Preference by Similarity to an Ideal Solution (TOPSIS) was first applied to identify significant CV levels. A combined TOPSIS and Adversarial Interpretive Structural Modeling (TOPSIS-AISM) method was then used for optimization. Finally, the results of traditional TOPSIS and TOPSIS-AISM were compared.
Wang et al. [36] studied the grinding of AISI 1045 steel using a WA60L6 V grinding wheel to determine the optimal CVs (feed velocity, depth of cut, and cooling/lubrication conditions) for minimizing the EVs (residual stress, surface roughness, production cost, and CO₂ emission) while maximizing the EVs (production rate and operator health). Experiments were conducted based on Taguchi L9 DoE. GRA was applied to analyze the influence of CVs on EVs and determine their optimal levels.
Karthick et al. [26] studied the milling of Inconel 718 using ACK 300 Sumitomo carbide-coated ball nose milling inserts to determine the optimal CVs (traverse speed, torch height, arc current, and gas pressure) for minimizing the EVs (kerf deviation and surface roughness) while maximizing the EV (micro hardness). Experiments were conducted based on a DoE approach called Box–Behnken Designs. ANOVA was applied to analyze the influence of CVs on EVs, followed by Moth-Flame Optimization (MFO) to determine optimal CV levels. The results from ANOVA and MFO were then compared.
Boga and Koroglu [25] studied the milling of high-strength carbon fiber composite plates under dry conditions using TiAlN-coated and Mikrograin Carbide-C10 tools to determine the optimal CVs (cutting tool, feed rate, and spindle speed) for minimizing the EV (surface roughness). Experiments were conducted using a Taguchi mixed orthogonal array L32 (21 × 42). ANOVA was applied to analyze the influence of CVs on EVs, identifying cutting tools and feed rates as the most significant factors. The optimal CV combination was found to be a TiAlN-coated tool, 5000 rpm spindle speed, and 250 mm/rev feed rate. A feed-forward backpropagation NN was also developed to estimate EV values, with a GA-aided parameter selection approach.
Kechagias [16] studied end milling of aluminum alloy 5083 using a carbide tool to determine the optimal CVs (feed rate, cutting speed, and depth of cut) for minimizing the EV (surface roughness). Experiments were conducted based on Taguchi L27 DoE. Analysis of Means (ANOMs) was applied to identify significant CVs affecting EVs, while SNR was used to determine their optimal levels.
Mohanta et al. [37] studied the CNC turning of Al 7075 using CVD-coated carbide inserts to determine the optimal CVs for minimizing the EVs (surface roughness and cutting force). GRA and DFA were first applied to optimize CVs. Multi-Objective Genetic Algorithm (MOGA) and Multi-Objective Particle Swarm Optimization (MOPSO) were then used for further optimization.
Kosarac et al. [10] studied the milling of titanium alloy Ti-6Al-4V using a spindle milling cutter (HF 16E2R030A16-SBN10-C) to determine the optimal CVs (cutting speed, feed rate, depth of cut, and cooling/lubricating method) for minimizing the EV (surface roughness). Experiments were conducted based on Taguchi L27 DoE. ANOVA was applied to analyze the influence of CVs on EVs, identifying the feed rate as the most significant factor. SNR analysis was used to determine the optimal CV levels. Additionally, NN and Random Forest (RF) were used to develop a predictive model for surface roughness based on the collected dataset, with RF performing better on small datasets.
Tanvir et al. [35] studied the turning of AISI 304 stainless steel using a high-speed steel single-point cutting tool to determine the optimal CVs (cutting speed, feed rate, and depth of cut) for maximizing the EV (MRR) while minimizing the EVs (surface roughness, cutting force, power consumption, heat rate, and peak tool temperature). Simulations and experiments were conducted to obtain EV values across different machining settings. A hybrid multi-objective optimization approach integrating GRA with the Whale Optimization Algorithm (WOA) was then applied to determine the optimal CV levels.
Mongan et al. [19] studied CNC end milling of aluminum 6061 using a 4-flute solid carbide square end mill with a titanium nitride coating to determine the optimal CVs (feed per tooth, cutting speed, and depth of cut) for maximizing the EV (MRR) while minimizing the EV (surface roughness). A full factorial parametric study was conducted, and ANOVA was applied to analyze the influence of CVs on EVs. An Ensemble Neural Network (ENN) was then developed using GA-optimized ANN base models, with hyperparameters tuned via BO. The trained ENN was used to identify optimal CV combinations for achieving a predefined surface roughness while maximizing MRR.
Chowdhury et al. [18] studied rotary ultrasonic machining of Ti6Al4V alloys to analyze the effects of CVs (ultrasonic power, feed rate, spindle speed, and tool diameter) on EVs (cutting force, tool wear, overcut error, and cylindricity error). Experiments were conducted following a Taguchi L36 DoE approach, and the effects of CVs were evaluated using a PD-based approach. The trapezoidal fuzzy numbers induced from the PD were used to quantify uncertainty and identify optimal CVs.
Bouhali et al. [20] studied the dry turning of a 2017A aluminum alloy using a carbide-cutting tool to determine the optimal CVs (cutting speed, feed rate, and depth of cut) for minimizing the EVs (surface roughness and cutting temperature). Experiments were conducted using the Taguchi L16 DoE approach with three factors and four levels. The signal-to-noise (S/N) ratio and ANOVA were applied to analyze the influence of CVs on EVs, identifying the depth of the cut as the most significant factor. Regression analysis was then used to develop mathematical models for predicting surface roughness and cutting temperature and for determining optimal cutting conditions.
Ullah and Harib [5,49] argued that optimizing machining operations using CV-EV-centric data requires transparency rather than relying solely on black-box machine-learned models. They demonstrated this using an ID3-based decision tree, which effectively extracts patterns but inherently excludes certain CVs, leaving their relationship with the EV unknown. This lack of interpretability creates operational challenges, as crucial factors may remain hidden. To address this, they proposed a human-assisted knowledge extraction system integrating probabilistic and fuzzy reasoning, ensuring user involvement. This underscores a broader concern with black-box methods, which optimize outcomes without revealing decision processes, making insights difficult to apply [7,52,53,54,55]. Unlike statistical methods that allow direct human reasoning, many machine-learned models operate independently after data input, limiting user engagement. Maintaining transparency and involving users in knowledge extraction ensures that optimization remains interpretable and actionable.
In sum, the literature review highlights various methods used in machining optimization, including statistical techniques, machine learning techniques, metaheuristic algorithms, and fuzzy inference and uncertainty quantification techniques. These methods are typically applied in controlled environments with structured DoE frameworks. However, these methods have not yet been applied in the context of machining-related open data (OD). As outlined in Section 1, OD lack predefined structures and integrates data from multiple sources, introducing considerable uncertainty regarding the effectiveness of existing methods in OD-driven analysis. To this end, this study explores the effectiveness of two widely used methods (ANOVA and SNR) and one relatively novel method (PD) in optimizing machining operations through open data (OD) analysis. The next section presents the rationale and mathematical formulations of the methods.
3. Methods
As mentioned above, OD lack predefined structures and integrates data from multiple sources, making it unclear how well existing methods perform in OD-driven analysis. To investigate this, suitable analytical methods must be selected. In machining optimization, most studies focus on understanding CV-EV relationships and determining optimal CV states, frequently using ANOVA and SNR (see Section 2). These methods are widely recognized in the literature and are also evident in graphical analyses of existing studies, making them natural choices as conventional methods for this study.
In addition, this study considers a non-conventional method, PD, because it provides a fuzzy reasoning framework to analyze uncertainty and variability, both of which are critical in OD. Unlike structured experimental setups where CV-EV-centric data follow a predefined orthogonal array (e.g., L36 Taguchi), OD consist of datasets aggregated from multiple independent sources, each with its own experimental design. For instance, consider a scenario where the same machining, workpiece, tools, CVs, and EVs are studied across different sources, but one experiment follows an L9 Taguchi array, another an L36, and a third an L36. The resulting OD would contain 9 + 36 + 36 = 81 rows of CV-EV-centric data, yet they would not conform to any single Taguchi design or controlled DoE structure, as the CV levels, interactions, and experimental coverage vary across sources. Since OD are compiled post hoc rather than planned as a unified study, inconsistencies in parameter distributions, data granularity, and experimental conditions introduce inherent variability and uncertainty. Given this characteristic of OD, PD is selected as a method that can account for such variability and uncertainty in analysis when appropriate.
Another key factor in selecting the above methods (ANOVA, SNR, and PD) is their interpretability. As discussed above, OD analysis is fundamentally different from conventional data-driven optimization due to its lack of a predefined experimental structure and its inherent variability and uncertainty. OD cannot simply be fed into a black-box algorithm without human intervention because meaningful analysis requires an understanding of the inconsistencies across sources, differences in parameter distributions, and missing or uncertain values. As such, transparent analytical methods are essential. This also aligns with the human-in-the-loop context of smart manufacturing, ensuring that insights are interpretable and actionable rather than purely algorithm-driven [5,7,49,52,53,54,55]. Additionally, accessibility is crucial—OD are intended to be open and available to all, meaning that their analysis should not require high-end computational resources. The selected methods are computationally feasible and can be applied using basic tools like spreadsheets, ensuring that even Small- and Medium-sized Enterprises (SMEs) and organizations without advanced computing capabilities can leverage OD effectively. This also addresses data inequality concerns, ensuring that OD-driven insights remain accessible beyond large enterprises with sophisticated infrastructure [7,8,17].
Nevertheless, the following subsections (Section 3.1, Section 3.2, and Section 3.3) describe the selected methods—ANOVA, SNR, and PD—along with their respective mathematical formulations.
3.1. Analysis of Variance (ANOVA)
Analysis of Variance (ANOVA) is a generic name for a set of statistical methods to know whether two or more groups of datasets are statistically different [56,57]. The most commonly used types of ANOVA include (1) Single-Factor (One-Way), (2) Two-Factor with Replication, and (3) Two-Factor without Replication [56,58,59]. Using ANOVA, it is possible to know whether an independent variable significantly affects a given dependent variable. For this reason, these three types of ANOVA have been extensively used in manufacturing process optimization. For a better understanding, the abovementioned ANOVA types are described below.
‘Single-Factor ANOVA’ tests whether a given independent variable significantly affects a given dependent variable. For example, consider one independent variable, called cutting speed, and one dependent variable, called tool wear. Single-Factor ANOVA then tests whether the cutting speed significantly affects tool wear. In this case, Single-Factor ANOVA may consider the datasets of the cutting speed for (say) three states, 200 m/min, 300 m/min, and 400 m/min, and the corresponding tool wear. As far as ‘Two-Factor ANOVA with Replication’ is concerned, it tests whether two given independent variables significantly affect a given dependent variable. For example, consider two independent variables, called cutting speed and material removal rate, and one dependent variable, called tool wear. Two-Factor ANOVA with Replication then tests whether the cutting speed and the material removal rate collectively affect the tool wear and to what extent. In this case, Two-Factor ANOVA with Replication considers the datasets of cutting speed for (say) three states, 200 m/min, 300 m/min, and 400 m/min, and three states of material removal rate, 10 cm3/min, 15 cm3/min, and 20 cm3/min, and the corresponding tool wear. As far as ‘Two-Factor ANOVA without Replication’ is concerned, it tests whether two given independent variables significantly affect a dependent variable when there is only one observation for each combination of variable states. For example, consider two independent variables, called cutting speed and material removal rate, and one dependent variable, called tool wear. Two-Factor ANOVA without Replication evaluates whether the cutting speed, material removal rate, and their interaction significantly affect tool wear. In this case, Two-Factor ANOVA without Replication considers cutting speed datasets for (say) three states, 200 m/min, 300 m/min, and 400 m/min, and three states of material removal rate, 10 cm3/min, 15 cm3/min, and 20 cm3/min, with a single measurement taken for each combination.
Among the three ANOVA types mentioned above, Single-Factor (One-Way) ANOVA is the most commonly used in manufacturing process optimization [58,59]. Therefore, in this study, ANOVA refers specifically to Single-Factor (One-Way) ANOVA, which is also employed in this study for data analysis (see Section 4). Accordingly, the following discussion outlines its methodological framework and mathematical formulation to provide a comprehensive understanding.
Figure 3 schematically illustrates the methodological framework underlying the Single-Factor ANOVA. As seen in Figure 3, the Single-Factor ANOVA method consists of nine (9) calculation steps. The goal of these calculations is to determine the value of a probability, denoted as P. An independent variable significantly affects a given dependent variable when P is less than a given level of significance (e.g., α = 0.05) [58,60,61,62,63]. The step-by-step formulation of how to calculate P is presented below.
Figure 3.
Outline of Single-Factor (One-Way) ANOVA method.
Let G be the set of groups of datasets, i.e., G = {Gj | j = 1,…,m}, where Gj denotes the j-th group (also denoted as state). Each group consists of some numerical data, denoted as Gj = { | i = 1,…,nj}. The group mean (strictly speaking, the group average), denoted as MGj, is calculated as follows:
The overall mean, denoted as OM, is calculated as follows:
The weighted sum of squares between groups, denoted as SSBs, is calculated as follows:
The sum of square deviations within groups, denoted as SSWs, is calculated as follows:
The mean square between groups, denoted as MSBs, is calculated as follows:
The mean square within groups, denoted as MSWs, is calculated as follows:
The F-statistics value, denoted as F, is calculated as follows:
The p-value, denoted as P, is calculated as follows:
In Equation (8), B represents the beta function, represents the degrees of freedom between groups, and represents the degrees of freedom within groups. and are calculated as follows.
Figure 4 shows the F-distribution curve with the F-critical value. In Figure 4, the x-axis represents the F-value, and the y-axis represents the probability density. Considering d1 = 3, d2 = 15, and α = 0.05, the F-critical value is 3.28, as shown in Figure 4. If the F-value is larger than this F-critical value, then it implies that the corresponding independent variable significantly affects the dependent variable [60,61,62].
Figure 4.
F-distribution curve with F-critical value.
3.2. Signal-to-Noise Ratio (SNR)
The Taguchi method was developed by a Japanese scientist named Dr. Genichi Taguchi during the 1950s and 1960s [64]. Different fields of engineering use this method to optimize manufacturing processes and systems. The Taguchi method utilizes a set of orthogonal arrays to make a relationship between independent variables and dependent variables with as few experiments as possible [10,19,20]. Orthogonal arrays consider states in independent variable(s) to ensure all states independently tested with minimal experimental runs. For example, the Taguchi method considers one independent variable, called cutting speed, for (say) three states, 200 m/min, 300 m/min, and 400 m/min. Then, the Taguchi method uses a statistical measure of performance called the Signal-to-Noise Ratio (SNR) to identify the optimal state of independent variable(s). The SNR is the ratio of signal and noise. The term ‘Signal’ represents the mean, and ‘Noise’ represents the standard deviation from mean. The SNR finds the optimal state of independent variables by converting the experimental result of dependent variables into a value. The largest value of SNR means the optimal state of independent variables [10,15,16,65,66]. There are three types of SNR used for analysis, namely, the Smaller-the-Better, the Optimal-the-Better, and the Larger-the-Better. For the sake of better understanding, these three types of SNR are described in Section 3.2.1, Section 3.2.2 and Section 3.2.3, respectively.
3.2.1. Smaller-the-Better (STB)
Smaller-the-Better (STB) SNR finds the optimal state of a given independent variable for minimizing given a dependent variable. For example, consider one independent variable, called cutting speed, and one dependent variable, tool wear. In this case, STB-SNR may consider the datasets of cutting speed for (say) three states, 200 m/min, 300 m/min, and 400 m/min, as well as the corresponding tool wear. STB-SNR then finds the optimal state of cutting speed for minimizing tool wear. For each state, the STB-SNR, denoted as , is calculated as follows.
In Equation (11), represents the Smaller-the-Better S/N ratio of j-th group (also denoted as state). . represents the individual numerical data of j-th group of the dependent variable, and represents the total amount of data of the group. The largest value of indicates the optimal state of independent variable for minimizing the dependent variable.
3.2.2. Larger-the-Better (LTB)
Larger-the-Better (LTB) SNR finds the optimal state of a given independent variable for maximizing a given dependent variable. For example, consider one independent variable, cutting speed, and one dependent variable, material removal rate. In this case, LTB-SNR may consider the datasets of cutting speed for (say) three states, 200 m/min, 300 m/min, and 400 m/min, as well as the corresponding material removal rate. LTB-SNR then finds the optimal state of cutting speed for maximizing the material removal rate. For each state, the LTB-SNR, denoted as , is calculated as follows.
The largest value of indicates the optimal state of the independent variable for maximizing the dependent variable.
3.2.3. Nominal-the-Better (NTB)
Nominal-the-Better (NTB) SNR finds the optimal state of a given independent variable to obtain the target value of a given dependent variable. For example, consider one independent variable, called cutting speed, and one dependent variable, called surface roughness. In this case, NTB-SNR may consider the datasets of cutting speed for (say) three states, 200 m/min, 300 m/min, and 400 m/min, as well as the corresponding surface roughness. NTB-SNR then finds the optimal state of cutting speed to obtain the value of the surface roughness. For each state, the NTB-SNR, denoted as , is calculated as follows:
In Equation (13), t presents the target value of dependent variable. The largest value of indicates the optimal state of the independent variable to obtain the target value of the dependent variable.
3.3. Possibility Distribution (PD)
A possibility distribution (PD) is a probability-neutral representation of uncertainty in a dataset, often associated with fuzzy set theory [67,68,69,70]. It is used when precise probabilistic data are unavailable, providing a structured way to express the plausibility of different values, particularly in cases of scarce, incomplete, or difficult-to-quantify data. In fuzzy systems, it represents degrees of possibility rather than strict probabilities, making it applicable to engineering, materials science, environmental modeling, and decision making under epistemic uncertainty. Studies have used it to analyze material properties [71,72], surface roughness models, and the surface of bi-metal components [73,74], CO2 emissions [75], sensor signal-based digital twins [76], and machining optimization [17,18].
Nevertheless, accordingly to [69], the mathematical formulations for inducing a possibility distribution (or a triangular fuzzy number) from a given set of numerical data are presented as follows.
Let be n data points in j-th group, as shown in Figure 5. A return map consisting of points { | } is created, as shown in Figure 6.
Figure 5.
Time series representation of a given set of data points .
Figure 6.
A return map of the given data points.
The universe of discourse is set so that and .
Let and be two square boundaries. The vertices of and (in the anti-clockwise direction) are ((), (), (), ()) and ((), (), (), ()), respectively, . Therefore, A and B coincide at a vertex .
For the two boundaries, A and B, two subjective probability functions, () and , can be defined as follows:
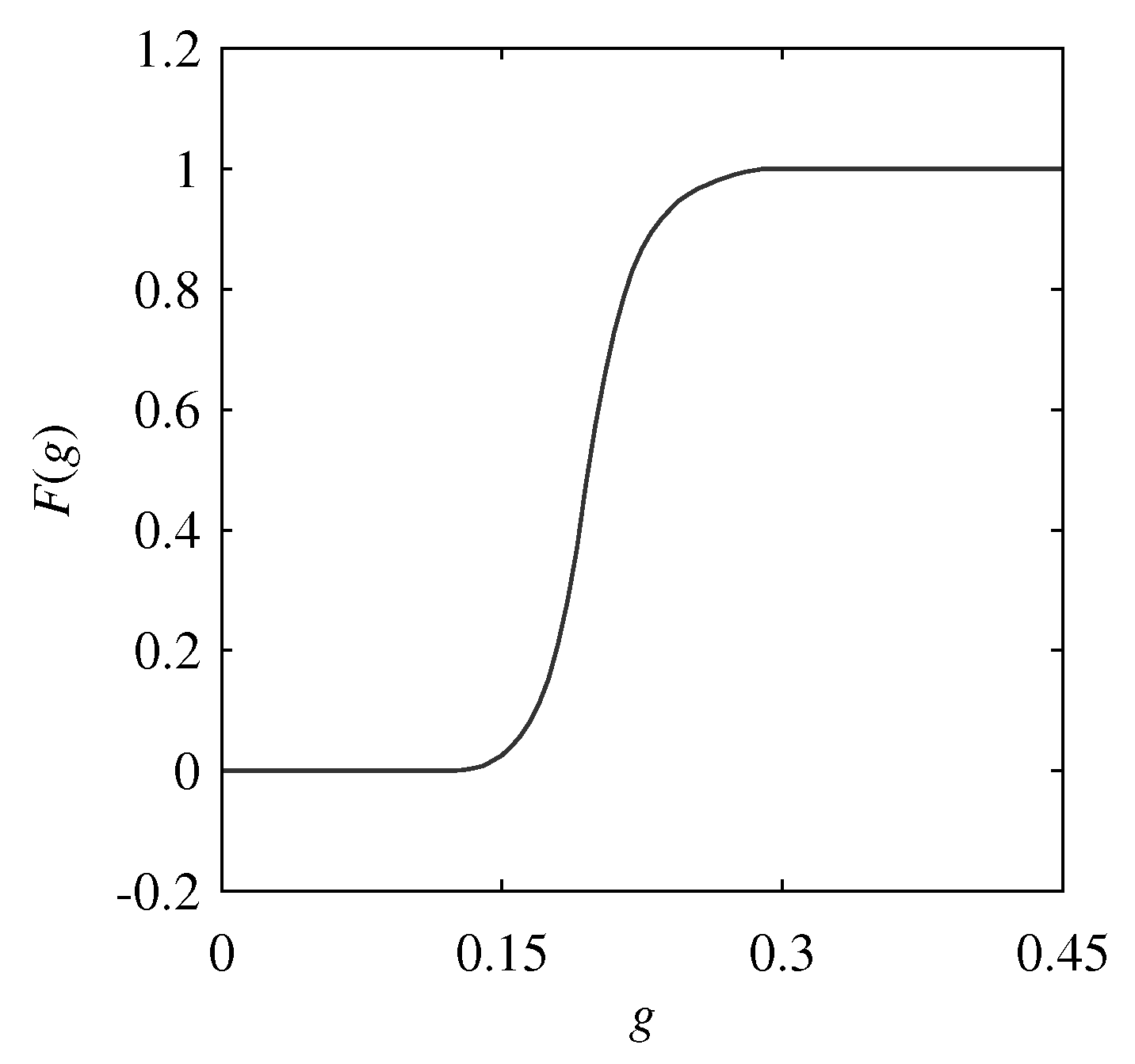
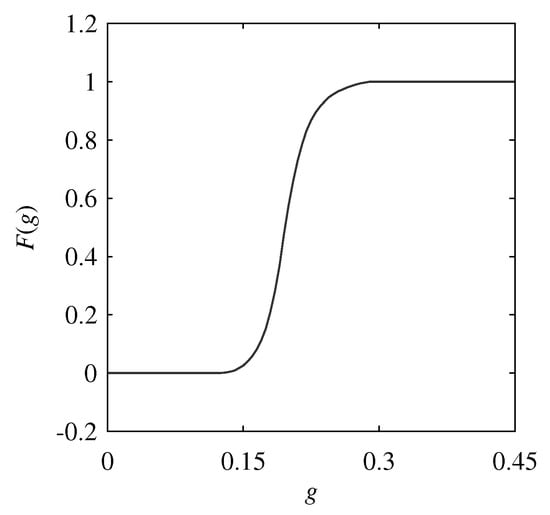
A typical representation of the functions is shown in Figure 7, which reflects Figure 6. As seen in Figure 7, ( increases with the increase in . The other function, (), exhibits the opposite trend. The remarkable thing is that the summation of these two functions, (( ≠ 1 (see Figure 8), i.e., ((, is not the cumulative probability function. For constructing a cumulative probability function, the following formulation can be used.
Figure 7.
The subjective probability distributions.
Figure 8.
The summation of subjective probability distributions and their minimal function.
First, define a function m(g) as follows:
In Equation (16), , if all data points are the same; otherwise, . Figure 8 shows for the given ( and (). The area under is given by
In order to normalize Q, function can defined as follows:
becomes a cumulative probability function, as shown in Figure 9. Thus, the probability of , , can be calculated as follows:
Figure 9.
Cumulative probability function corresponding to Figure 8.
Figure 10.
The probability distribution corresponding to Figure 9.
Using the probability distribution, , a possibility distribution given by the membership function can be defined as follows
Figure 11 shows the possibility distribution corresponding to the probability distribution, , in Figure 10. The induced probability and possibility distributions have identical shapes, as shown in Figure 10 and Figure 11. Alternative formulations to Equation (20) may be considered, as other authors suggest [68,70].
Figure 11.
The possibility distribution corresponding to Figure 10.
The two points, u and w (u < w), corresponding to = 0, a point, v, corresponding to = 1, as shown in Figure 12, can be used as a support and core of a triangular fuzzy number. The membership function of this induced fuzzy number is as follows:
Figure 12.
Representation of triangular fuzzy number corresponding to Figure 11.
In sum, ANOVA identifies the significant independent variables, SNR determines optimal states underlying the significant variables, and PD represents uncertainty in cases where precise probabilistic information is unavailable and data are scarce. These methods have been applied in closed-domain scenarios, where experimental data are systematically collected under controlled conditions. However, as introduced and described earlier, this study extends the scope by investigating machining optimization using open data (OD), which refer to data publicly available and accessible. Unlike controlled experimental data in closed domains, OD may exhibit greater variability, inconsistencies, and gaps, raising questions about how well existing methods (ANOVA, SNR, and PD) perform in such contexts. This emerging question related to analyzing OD has yet to be explored in detail. As such, this study aims to understand how these methods help optimize a machining operation using OD. Figure 13 schematically shows the relevant methodology.
Figure 13.
Outlining the methodology used in this study.
As seen in Figure 13, the methodology begins with the creation and preparation of OD for a machining operation. In this study, the machining operation under consideration is turning. The details of this process, along with the steps involved in OD creation and preparation, are described in the following section, specifically Section 4.1. Once the OD are prepared, as shown in Figure 13, they are analyzed using three selected methods: ANOVA, SNR, and PD. These methods, along with their mathematical formulations, have already been detailed in this section (Section 3). The analyses produce some outcomes, which are presented in Section 4.2. Finally, as shown in Figure 13, these outcomes are critically examined to assess how well the methods perform in extracting meaningful insights from OD. Consequently, the findings are discussed in Section 5.
4. Results
This section presents a case study where different data analysis methods, namely, ANOVA, SNR, and PD (described in Section 3), are used to analyze OD related to machining, called ‘turning’, for the sake of optimization. In particular, Section 4.1 describes the OD and their preparation. Section 4.2 presents the results of the analyses.
4.1. Open Data (OD) and Their Preparation
The concept of open data (OD), introduced in 1995, refers to publicly available data that can be accessed and utilized, often free of charge [77,78]. Within the framework of Digital Manufacturing Commons (DMC) [7,9]—a digital ecosystem where stakeholders contribute manufacturing data, such as process-relevant datasets, sensor signals, digital models, and analytical tools—OD foster collaboration, innovation, and data-driven decision-making. This is particularly beneficial for SMEs, which often lack proprietary data resources, as seen in a survey of the Japanese manufacturing industry [6,8], where nearly 80% of large companies can access and utilize proprietary data, while SME participation remains minimal. OD help address this inequality by making data more accessible, allowing organizations to leverage external information for decision making.
To support OD utilization, a method has been devised for creating, organizing, and storing OD in a structured, machine-readable format to ensure accessibility and usability [6]. This involves ontology-driven documentation, digitization into machine-readable formats such as XML and JSON, seamless integration into cloud-based repositories, and data access through APIs and URLs. While this framework provides a foundation for OD-driven manufacturing, the effectiveness of existing analysis methods—such as ANOVA, SNR, and PD, which are widely applied in controlled environments—remains an open question in OD contexts. Evaluating their performance in OD analysis is essential for integrating effective methods into open manufacturing ecosystems.
In this study, OD related to a machining operation, called turning, is considered. One may refer to the work described in [6] for details on how this OD is created, structured, and stored. Figure 14 illustrates the turning process (see segment ‘A’), followed by the JSON data that were created and stored for open access (see segment ‘B’).
Figure 14.
Creating CV-EV-centric open data (OD) for a machining operation (re-arranged from [6]).
As seen in segment ‘A’ of Figure 14, a turning experiment involves machining a workpiece using a cutting tool controlled by a set of CVs. These include parameters such as cutting speed (vc, m/min), feed (f, mm/rev), and machining time (Tm, min). The process outcome is measured in terms of EVs such as tool wear (Tw, mm) and the material removal rate (MRR, cm3/min). Segment ‘B’ of Figure 14 indicates that these CV-EV-centric data are collected from multiple independent sources (research organizations, denoted as A, …, I), wrangled, and structured into a machine-readable format, i.e., JSON. These data are then stored in a cloud-based repository and made publicly available to create the CV-EV-centric OD. Hence, these OD contribute to the DMC ecosystem. It is important to note that while each source conducted the same machining (in this case, turning), variations in the workpiece and tool materials, as well as distinct sets of CVs and EVs, resulted in a diverse dataset. One may access the above-mentioned OD at the following URLs: (1) https://github.com/KIT-AMEL/OD-Turning.git (accessed on 19 February 2025). (2) https://www.kit-amel-mc.jp/data-center/process#h.8jfj4opge1a (accessed on 19 February 2025).
Figure 15 shows a visualization of the above CV-EV-centric OD, where colors represent different workpiece–tool combinations, regardless of the source. Bubbles of the same color indicate datasets associated with the same combination, while variations in bubble size reflect the number of sources contributing to the data. As such, identically sized bubbles indicate data from the same source, whereas differing sizes suggest multiple sources. Figure 15 also shows individual bubble charts for each source (denoted as Organization A,…,I). This visualization system, developed using Tableau Public® (Tableau Desktop, Public Edition, Version: 2024.3.3, Tableau Software, LLC, Seattle, Washington, DC, USA), has also been made publicly available at https://www.kit-amel-mc.jp/data-center/process#h.8jfj4opge1a (accessed on 19 February 2025). Users can interact with the system by hovering over bubbles to access details such as the process type, workpiece material, tool material, source information, and CV-EV-centric data. Multiple filters and highlighters (can also be seen in Figure 15) allow users to refine their views based on process attributes, facilitating efficient interpretation.
Figure 15.
A visualization of the CV-EV-centric open data (OD).
After interpreting and understanding the above OD, users can download and prepare them as needed for their specific domain and analyze them for decision making. This study follows such an approach, using the above OD to conduct an analysis relevant to process optimization. The next section describes how these OD are prepared for the analysis presented later in this study.
Table 1 presents the workpiece materials in the OD, comprising 16 materials across metals, alloys, and ceramics, each denoted as WM1,…,WM16, along with their corresponding data points. As outlined in Table 1, Carbon Steel for Machine Structure (S45C) (WM1) has the highest number of data points (289), followed by Gray Cast Iron (FC20) (WM2), with 142. In contrast, Silicon Nitride (Si3N4) (WM15) and Carbon Silicon (SiC) (WM16) contain only four and three data points, respectively.
Table 1.
Workpiece materials in the open data (OD).
To ensure statistical reliability and robust method evaluation, datasets with sufficient data density are preferred, as studies suggest that larger sample sizes improve comparative analysis, reduce variability, and enhance result reliability [56]. Based on this criterion, WM1 is selected for further investigation.
Table 2 summarizes the tool materials used for machining WM1, denoted as TM1–TM11, along with their respective data points. As outlined in Table 2, Cermet: TiN-TaN (TM1) has the highest number (68), followed by ceramics: TiCN-30TiB₂-1TaN (TM2), with 42. In contrast, tool materials such as ceramics: Si3N4-9Al2O3 (TM10) and ceramics: Si3N4-7Al₂O₃-25Si (TM11) contain only seven and three data points, respectively. Using the same criterion as above, TM1 and TM2 are selected for further investigation.
Table 2.
Tool materials for Carbon Steel for Machine Structure (S45C) in open data (OD).
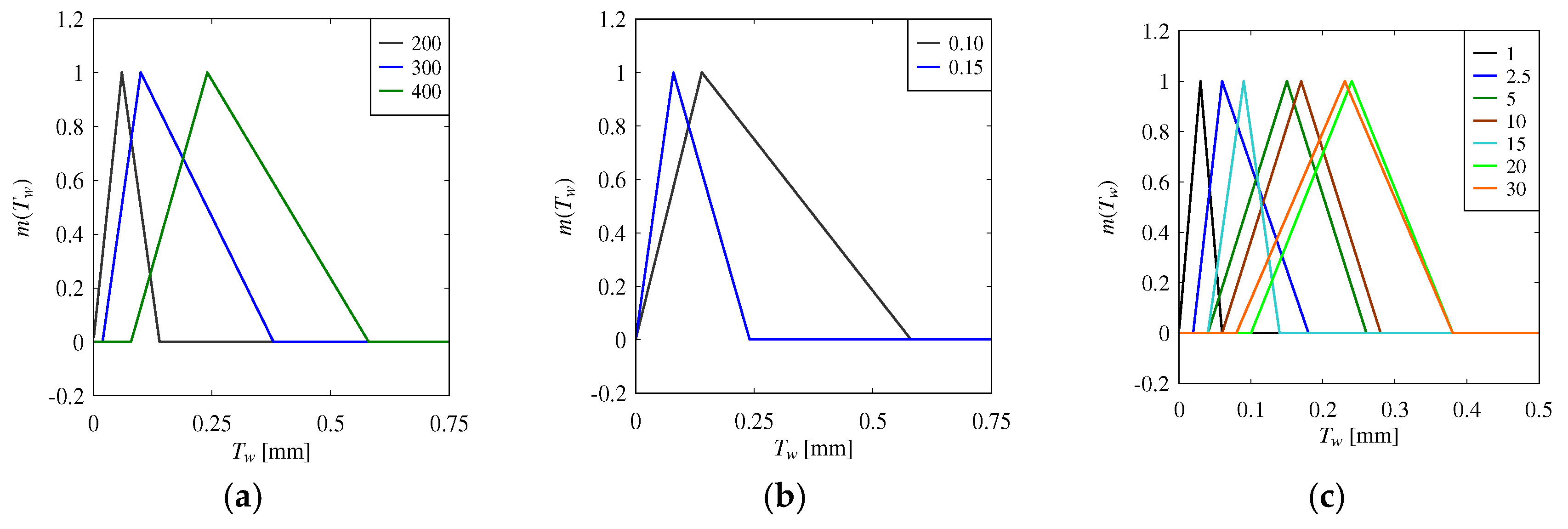
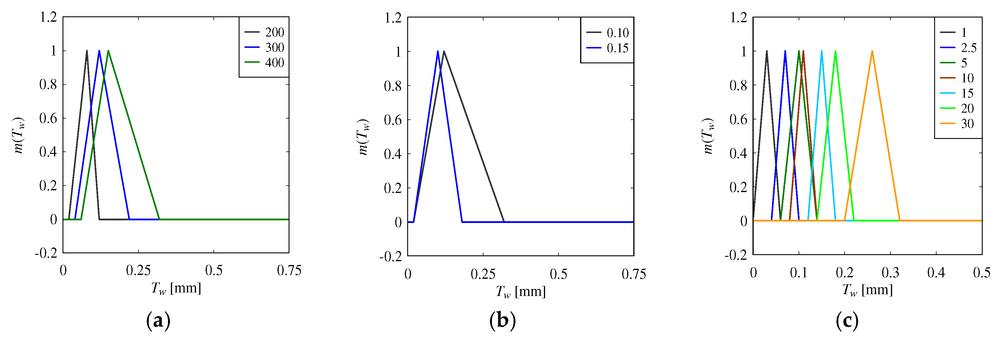
Thus, Table 3 outlines the CV-EV-centric data used for the selected workpiece–tool combinations: WM1-TM1 and WM1-TM2. The CVs include the cutting speed (vc, m/min) at three states (200, 300, and 400), the feed rate (f, mm/rev) at two states (0.1 and 0.15), and the machining time (Tm, min) at seven states (1, 2.5, 5, 10, 15, 20, and 30). The EV indicates tool wear (Tw, mm), measured to evaluate tool degradation under these CVs while machining the WM1 using the TM1 and TM2. (The CV-EV-centric OD can also be seen from Figure 16 and Figure 17, respectively.)
Table 3.
Outlining the control and evaluation variables (CV-EVs).
Figure 16.
Open data (OD) relevant to the workpiece–tool combination considering Carbon Steel for Machine Structure (S45C) and Cermet: TiN-TaN (WM1-TM1).
Figure 17.
Open data (OD) relevant to the workpiece–tool combination considering Carbon Steel for Machine Structure (S45C) and ceramics: TiCN-30TiB2-1TaN (WM1-TM2).
This study considers the abovementioned CV-EV-centric OD related to WM1-TM1 and WM1-TM2. Figure 16 and Figure 17 show the relevant data underlying the OD for WM1-TM1 and WM1-TM2, respectively. It is important to note that Figure 16 and Figure 17 are created from the visualization system shown in Figure 15, highlighting the WM1-TM1- and WM1-TM2-relevant OD only. Nevertheless, the objective is to explore the corresponding machining (in this case, turning) from an optimization perspective, focusing on minimizing the EV (Tw), given that CVs (vc, f, and Tm) influence it (Tw).
In machining, CVs and EVs interact, meaning that adjusting certain CVs directly impacts the EV. For instance, if increasing vc accelerates Tw while decreasing f helps minimize it, then selecting the optimal combination of vc and f is crucial for reducing Tw. Identifying such relationships allows for data-driven process optimization by determining the optimal CV settings for achieving the desired performance (e.g., minimal Tw). In controlled environments, where structured data are readily available, such dependencies are typically analyzed to optimize a process. However, in OD contexts, it remains uncertain whether similar insights can be extracted. Do OD provide sufficient information to determine the optimal CV settings? Can OD-based analysis yield actionable knowledge? Furthermore, are the analysis methods themselves suitable for analyzing OD, and to what extent? Given an OD environment, how should one set the states of vc, f, and Tm to achieve minimal Tw when machining WM1 using TM1 or TM2? This study explores these questions by applying the methods outlined in Section 3—ANOVA, SNR, and PD—to examine the CV-EV interactions in the abovementioned OD. The following subsection presents the relevant results.
4.2. Analyses
This section presents the results obtained from ANOVA, SNR, and PD analyses of CV-EV-centric OD underlying the workpiece and tool material combinations (WM1-TM1 and WM1-TM2, as described in Section 4.1) in two subsequent sections, Section 4.2.1 and Section 4.2.2, respectively.
4.2.1. WM1-TM1
Table 4 shows the results for Tw at different states of vc, f, and Tm for TM1, obtained using ANOVA. As shown in Table 4, when vc is varied, the p-value (1.4 × 10−6) is lower than the significance level (α = 0.05). It is worth mentioning that a lower p-value than α indicates that the corresponding CV is significant for the EV (described in Section 3.1). This means that vc significantly affects Tw. For the case of f and Tm, the p-values (0.002 and 0.019, respectively) are also lower than the significance level (α = 0.05), indicating that f and Tm also significantly affect Tw.
Table 4.
Results from ANOVA for TM1.
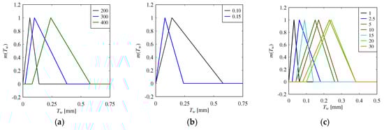
Figure 18a–c shows the results for Tw at different states of vc, f, and Tm for TM1, respectively, obtained from SNR. As far as vc is concerned, Figure 18a shows that SNR is maximum when vc is 200 m/min. In contrast, SNR is minimum when vc is 400 m/min. It is worth mentioning that a maximum SNR indicates that the corresponding state is optimal (described in Section 3.2). Hence, here, vc = 200 m/min is considered optimal compared to other vc states (300 and 400 m/min). As far as f is concerned, Figure 18b shows that SNR is maximum when f is 0.15 mm/rev. In contrast, SNR is minimum when f is 0.1 mm/rev. Hence, here, f = 0.15 mm/rev is considered optimal compared to the other state of f (0.1 mm/rev). As far as Tm is concerned, Figure 18c shows that SNR is maximum when Tm is 1 min. In contrast, SNR is minimum when Tm is 30 min. Hence, here, Tm = 1 min is considered optimal compared to other Tm states (2.5, 5, 10, 15, 20, and 30 min).
Figure 18.
Results from SNR for TM1. (a) Effect of vc on Tw, (b) effect of f on Tw, and (c) effect of Tm on Tw.
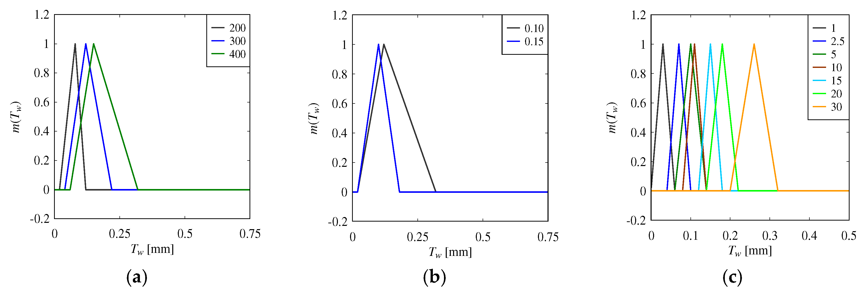
Figure 19a–c shows the results for Tw at different states of vc, f, and Tm for TM1, respectively, obtained from PD. These figures illustrate the induced triangular fuzzy numbers corresponding to the PDs (described in Section 3.3) for different states of vc, f, and Tm. As far as vc is concerned, Figure 19a shows that vc = 200 m/min provides better control over Tw than vc = 300 and 400 m/min. At vc = 200 m/min, Tw is lower, and its variability (support of the induced fuzzy number) is also less than of the other states. Similarly, as seen in Figure 19b,c, f = 0.15 mm/rev and Tm = 1 min provide better control over Tw, respectively.
Figure 19.
Results from PD for TM1. (a) Effect of vc on Tw, (b) effect of f on Tw, and (c) effect of Tm on Tw.
4.2.2. WM1-TM2
Table 5 shows the results for Tw at different states of vc, f, and Tm for TM2, obtained from ANOVA. As shown in Table 5, when vc is varied, the p-value (0.006) is lower than the significance level (α = 0.05). This means that vc significantly affects Tw. A similar result is observed in the case of Tm, where the p-value (4.56 × 10−6) is lower than α. This means that Tm also significantly affects Tw. In contrast, for the case of f, the p-value (0.286) is higher than α. This means that f is nonsignificant for Tw.
Table 5.
Results of ANOVA for TM2.
Figure 20a–c shows the results for Tw at different states of vc, f, and Tm for TM2, respectively, obtained from SNR. As far as vc is concerned, Figure 20a shows that SNR is maximum when vc is 200 m/min. In contrast, SNR is minimum when vc is 400 m/min. Hence, here, vc = 200 m/min is considered optimal compared to other vc states (300 and 400 m/min). As far as f is concerned, Figure 20b shows that SNR is maximum when f is 0.15 mm/rev. In contrast, SNR is minimum when f is 0.1 mm/rev. Hence, here, f = 0.15 mm/rev is considered optimal compared to another f state (0.1 mm/rev). As far as Tm is concerned, Figure 20c shows that SNR is maximum when Tm is 1 min. In contrast, SNR is minimum when Tm is 30 min. Hence, here Tm = 1 min is considered optimal compared to other Tm states (2.5, 5, 10, 15, 20, and 30 min).
Figure 20.
Results from SNR for TM2. (a) Effect of vc on Tw, (b) effect of f on Tw, and (c) effect of Tm on Tw.
Figure 21a–c shows the results for Tw at different states of vc, f, and Tm for TM2, respectively, obtained from PD. These figures illustrate the induced triangular fuzzy numbers corresponding to the PDs (described in Section 3.3) for different states of vc, f, and Tm. As far as vc is concerned, Figure 21a shows that vc = 200 m/min provides better control over Tw than vc = 300 and 400 m/min. At vc = 200 m/min, Tw is lower, and its variability (support of the induced fuzzy number) is also lower than that of the other states. Similarly, as seen in Figure 21b,c, f = 0.15 mm/rev and Tm = 1 min provide better control over Tw, respectively.
Figure 21.
Results from PD for TM2. (a) Effect of vc on Tw, (b) effect of f on Tw, and (c) effect of Tm on Tw.
5. Discussions
This section critically examines the results obtained (see Section 4) from ANOVA-, SNR-, and PD-based analyses on the CV-EV-centric OD for WM1-TM1 and WM1-TM2, focusing on the relationship between the CVs (vc, f, and Tm) and the EV (Tw). The objective is to determine how these variables interact and which conditions lead to minimizing Tw.
For WM1-TM1, ANOVA results (Table 4) indicate that all three CVs—vc, f, and Tm—are statistically significant with respect to Tw. For WM1-TM2, ANOVA results (Table 5) show that vc and Tm are significant, while f is not. ANOVA is effective in determining whether a CV has a statistically significant effect on Tw, but it does not provide insights into which specific parameter values (0.1 vs. 0.15) or general trends (higher vs. lower) minimize Tw. While statistical significance confirms that a CV plays a role, it does not indicate how adjusting that CV influences Tw or whether choosing a higher or lower state leads to the desired optimization.
SNR analysis provides additional insights by identifying which states of each CV correspond to minimizing Tw. For WM1-TM1 (Figure 18), SNR results indicate that a lower vc (200 m/min among 200, 300, and 400 m/min), a higher f (0.15 mm/rev among 0.1 and 0.15 mm/rev), and a lower Tm (1 min among 1, 2.5, 5, 10, 15, 20, and 30 min) are optimal for minimizing Tw. A similar trend is observed for WM1-TM2 (Figure 20), where a lower vc, higher f, and lower Tm are optimal for minimizing Tw. However, an interesting contradiction emerges: for WM1-TM2, ANOVA results indicate that f is not significant with respect to Tw, whereas SNR suggests that selecting a higher f contributes to minimizing Tw.
This situation presents a challenge. On the one hand, ANOVA indicates that f does not have a statistically significant impact, suggesting that changing f should not meaningfully affect Tw. On the other hand, SNR suggests that a higher f contributes to minimizing Tw, implying that it may still play a role in optimization. As a user, this contradiction is difficult to interpret: should f be adjusted or not? If ANOVA says f is nonsignificant, does that mean its effect is negligible? Or is it possible that while the impact of f is not strong enough to be statistically significant, it still influences Tw in a meaningful way? Relying on ANOVA alone may lead to overlooking a potentially beneficial adjustment, while relying on SNR alone does not clarify how much f affects Tw or whether its effect is stable. Even when using both methods together, the ambiguity remains—one method suggests ignoring f, while the other implies that a higher f is preferable.
PD analysis provides a way to interpret these conflicting insights. It represents the effect of different CV states using Triangular Fuzzy Numbers (TFNs), where the centroid of each triangle represents the average Tw, and the spread of the triangle (or support of the TFN, as described in Section 3.3) captures the variability. This is particularly useful in handling the abovementioned duality observed for f in WM1-TM2. As seen in Figure 21b, the centroids of the triangles corresponding to high and low f are relatively close (0.10 and 0.15), indicating that the average Tw is nearly the same in both cases. This aligns with ANOVA’s conclusion that f is not a major influencing CV. However, the shape of the fuzzy numbers provides a deeper understanding: the triangle for low f has a greater spread, meaning that the results are more uncertain, while the triangle for high f is more compact, meaning the results are more stable. This suggests that even though the average values of Tw are similar, selecting a higher f ensures more consistent and predictable Tw outcomes. This aligns with SNR’s conclusion that a higher f contributes to minimizing Tw.
Thus, PD reconciles the apparent contradiction between ANOVA and SNR by revealing that although a higher f does not drastically reduce Tw, it minimizes uncertainty, making it a more reliable choice. This level of interpretability is absent in ANOVA and SNR alone, as neither method accounts for how much variability exists within different CV states.
A similar issue arises with machining time Tm, which plays a crucial role in tool wear Tw. Regardless of workpiece–tool material combinations, i.e., WM1-TM1 and WM1-TM2, both SNR and PD analyses suggest that ‘Tm = 1 min’ is the optimal condition for minimizing Tw. However, in real-world manufacturing, machining operations often require longer durations, making such a crisp optimization value impractical. Unlike variables such as vc or f, where selecting a distinct ‘high’ or ‘low’ level might be feasible, the machining time (Tm) requires a broader understanding—specifically, how long machining can continue before tool wear (Tw) accelerates significantly.
For WM1-TM2, PD results (Figure 21c) indicate that after 10 min, Tw begins to increase sharply, suggesting a threshold beyond which tool degradation accelerates. This observation is further quantified as follows. By computing the centroid of each TFN, the x coordinate of the centroid, denoted as Cx, provides the average Tw at each Tm. Similarly, the spread of TFN, denoted as S, represents the variability in Tw and is determined by the width of the triangle. Figure 22a,b shows the computed values, which present the average Tw and variability in Tw, respectively. As seen in Figure 22a,b, for Tm ≤ 10 min, both the average Tw (Cx(TFN)) and its variability (S(TFN)) remain relatively low. However, beyond 10 min, Cx shifts significantly toward higher Tw values, and S increases sharply, indicating that both tool wear and its uncertainty escalate beyond this threshold. This quantification aligns with the PD visualization and provides a linguistic rule or guideline: ‘while reducing Tm is beneficial, machining beyond 10 min should be avoided to prevent excessive wear.’
Figure 22.
Quantified average tool wear (Tw) and its variability with machining time (Tm) for WM1-TM2. (a) Average Tw from the centroid (Cx) of each TFN. (b) Variability in Tw from the spread (S) of each TFN.
Similarly, for WM1-TM1, PD results (Figure 19(c)) indicate that Tw increases rapidly after 5 min, which aligns with expectations. However, an anomaly is also observed at 15 min, where PD shows both a lower average Tw and reduced variability, contradicting the increasing trend seen at 10, 20, and 30 min. These observations are also quantified by following the same abovementioned procedure. Figure 23 shows the relevant outcomes. Nevertheless, the unexpected behavior observed in this case suggests that certain factors may be influencing Tw differently at this specific Tm (15 min). One possible explanation is localized stability, where a temporary stabilization effect occurs due to process dynamics such as thermal softening or changes in tool–workpiece interaction. Another possibility is measurement or data variation, where the observed reduction in tool wear at 15 min might be a result of experimental variability rather than a genuine trend. In controlled environments, data collection follows a structured process, making it easier to verify and attribute inconsistencies to specific CVs. However, in OD contexts, data are aggregated from diverse sources, and the mechanisms behind their collection may not always be fully known or verifiable. As a result, such anomalies could stem from variations in data quality or inconsistencies in how the CV-EV-centric data were recorded. Other underlying process conditions, such as chip formation, tool edge geometry changes, or intermittent cooling effects, could also contribute to this deviation. This reinforces the need for further investigation into whether this is a true process effect or an experimental irregularity.
Figure 23.
Quantified average tool wear (Tw) and its variability with machining time (Tm) for WM1-TM1. (a) Average Tw from the centroid (Cx) of each TFN. (b) Variability in Tw from the spread (S) of each TFN.
Nevertheless, the above scenario makes the Tm effect more complex to interpret in the case of WM1-TM1 than WM1-TM2. While the latter clearly shows a threshold beyond which Tw accelerates, the former suggests a mostly increasing trend with an unexpected dip at 15 min. PD allows such thresholds to be interpreted, as well as anomalies to be observed and questioned, which would be difficult using ANOVA or SNR alone.
The findings discussed above demonstrate that while ANOVA and SNR provide valuable insights into statistical significance and optimal CV states, PD enhances interpretability by visualizing the variability explicitly. Its ability to capture variability in CV selection and highlight threshold effects makes it useful in process optimization, where variability is inherent. Moreover, PD inherently integrates ANOVA and SNR functionalities, providing a unified framework for interpreting statistical significance and factor-level optimization. Its visual representation further aids human comprehension, facilitating informed decision making.
This study utilizes two widely recognized mathematical techniques (ANOVA and SNR) alongside a relatively newer method (PD) to analyze the OD of machining. In smart manufacturing, there is a strong recommendation for utilizing computational intelligence techniques such as artificial neural networks, genetic algorithms, decision trees, neuro-fuzzy adaptive optimization, and particle swarm optimization to tackle decision making challenges. However, the current limitations in data availability for a given workpiece material can restrict the practical application of these techniques. To overcome this challenge, researchers must enhance the availability and richness of OD of machining in both volume and variety.
Accordingly, it is strongly advocated that appropriate data-wrangling instruments be provisioned to machining data generators (researchers and practitioners) to facilitate the transformation of datasets into machine-readable formats. Concurrently, the establishment of well-curated, centralized repositories is imperative, wherein global stakeholders in the machining domain can both contribute and retrieve standardized, machine-readable datasets for informed decision making. In this regard, exemplary paradigms such as the GenBank open data repository (e.g., https://www.ncbi.nlm.nih.gov/datasets/ (accessed on 20 March 2025)) may serve as instructive precedents, thereby augmenting the operational efficacy and interoperability within the paradigm of smart manufacturing.
The open data (OD) utilized in this study include tool wear as the evaluation variable (EV). However, other critical variables, such as carbon dioxide (CO₂) footprints and surface roughness, are also widely employed to assess the efficiency and sustainability of machining. Therefore, to enable more comprehensive optimization, the generation of OD must incorporate records of these additional EVs. Integrating such variables into existing OD can be approached in two distinct ways. The first is an explicit method, which involves conducting targeted experiments to obtain the necessary datasets of missing EVs. The second is an implicit approach, which may rely on artificial intelligence-based inference engines to infer the values of these variables from existing datasets. These considerations will be delved into in the next phase of this study.
6. Conclusions
This study explored the use of open data (OD) for machining optimization, considering a process called turning. Two different workpiece–tool combinations were analyzed: (1) a workpiece made of Carbon Steel for Machine Structure (S45C) with a ceramic tool (TiCN-30TiB2-1TaN) and (2) a workpiece made of Carbon Steel for Machine Structure (S45C) with a Cermet tool (TiN-TaN). Three methods were deployed—Analysis of Variance (ANOVA), Signal-to-Noise Ratio (SNR), and possibility distribution (PD)—to evaluate OD’s effectiveness in optimizing. The objective was to determine whether OD provide sufficient information for selecting optimal settings, whether their (OD) analysis yields actionable knowledge, and how suitable the abovementioned methods are for OD-driven optimization.
The results indicate that OD can facilitate optimization. ANOVA identified significant Control Variables (CVs), while SNR determined optimal CV states. PD, however, provided a more integrated approach, incorporating significance assessment and state identification. It also offered transparency in handling certain CVs. This was particularly evident for the machining time, where PD enabled the formation of linguistic rules for optimization—an aspect not directly achievable through ANOVA or SNR alone. Additionally, PD’s ability to visualize variability helped in understanding OD-driven optimization beyond what other methods offer.
However, challenges emerged when applying OD to certain relationships. For example, interpreting the role of the machining time on tool wear was difficult when the workpiece–tool combination was Carbon Steel for Machine Structure (S45C) and Cermet (TiN-TaN), regardless of the method used. While this highlighted the complexities of OD-based analysis, PD better exposed the uncertainty in the data, making the issue more apparent. This emphasizes a broader consideration—trust in OD. While OD provide an opportunity to leverage machining insights from multiple workspaces, its effectiveness depends on factors such as data completeness, consistency, and interpretability.
The findings imply that, in addition to conventional methods like ANOVA and SNR, non-conventional methods such as PD enhance transparency and interpretability in OD-driven analysis. PD also facilitates human-in-the-loop decision making, which is relevant for Industry 5.0-relevant systems. This supports the development of futuristic systems for handling OD-driven machining optimization.
Author Contributions
Conceptualization, M.T., A.K.G. and S.U.; methodology, M.T., A.K.G. and S.U.; software, M.T. and A.K.G.; validation, M.T. and A.K.G.; formal analysis, M.T.; investigation, A.K.G.; resources, S.U.; data curation, A.K.G. and S.U.; writing—original draft preparation, M.T.; writing—review and editing, M.T., A.K.G. and S.U.; visualization, M.T.; supervision, A.K.G. and S.U.; project administration, S.U.; funding acquisition, S.U. All authors have read and agreed to the published version of the manuscript.
Funding
This research received no external funding.
Data Availability Statement
The datasets used in this study are available from the following URLs: (1) https://github.com/KIT-AMEL/OD-Turning.git (accessed on 19 February 2025). (2) https://www.kit-amel-mc.jp/data-center/process#h.8jfj4opge1a (accessed on 19 February 2025).
Acknowledgments
The first author expresses gratitude to Japan’s Ministry of Education, Culture, Sports, Science and Technology for providing financial support through the MEXT scholarship.
Conflicts of Interest
The authors declare no conflicts of interest.
Appendix A. Section 2 (Literature Review)—Related Figures and Tables
Figure A1.
Number of published journal articles from 2000 to 2024.
Figure A2.
Frequencies of the methods used.
Figure A3.
Frequencies of relevant machining operations.
Figure A4.
Frequencies of the considered machining parameters.
Table A1.
Summary of the methods used for machining optimization.
Table A2.
Summary of the selected studies related to machining optimization.
References
- Gupta, H.N. Manufacturing Process, 2nd ed.; New Age International Ltd.: New Delhi, India, 2009; ISBN 978-81-224-2844-5. [Google Scholar]
- Kalpakjian, S.; Schmid, S.R. Manufacturing Engineering and Technology; Eighth edition in SI Units; Pearson Education Limited: Harlow, UK, 2023; ISBN 978-1-292-42224-4. [Google Scholar]
- Tlusty, J. Manufacturing Processes and Equipment; Prentice Hall: Upper Saddle River, NJ, USA, 2000; ISBN 978-0-201-49865-3. [Google Scholar]
- Ullah, A.M.M.S. On the Interplay of Manufacturing Engineering Education and E-Learning. Int. J. Mech. Eng. Educ. 2016, 44, 233–254. [Google Scholar] [CrossRef]
- Ullah, A.M.M.S.; Harib, K.H. Manufacturing Process Performance Prediction by Integrating Crisp and Granular Information. J. Intell. Manuf. 2005, 16, 317–330. [Google Scholar] [CrossRef]
- Iwata, T.; Ghosh, A.K.; Ura, S. Toward Big Data Analytics for Smart Manufacturing: A Case of Machining Experiment. Proc. Int. Conf. Des. Concurr. Eng. Manuf. Syst. Conf. 2023, 2023, 33. [Google Scholar] [CrossRef]
- Ghosh, A.K.; Fattahi, S.; Ura, S. Towards Developing Big Data Analytics for Machining Decision-Making. J. Manuf. Mater. Process. 2023, 7, 159. [Google Scholar] [CrossRef]
- Kazuyuki, M. Survey of Big Data Use and Innovation in Japanese Manufacturing Firms (Online). 2025. Available online: https://www.rieti.go.jp/jp/publications/pdp/17p027.pdf (accessed on 19 February 2025).
- Beckmann, B.; Giani, A.; Carbone, J.; Koudal, P.; Salvo, J.; Barkley, J. Developing the Digital Manufacturing Commons: A National Initiative for US Manufacturing Innovation. Procedia Manuf. 2016, 5, 182–194. [Google Scholar] [CrossRef]
- Kosarac, A.; Tabakovic, S.; Mladjenovic, C.; Zeljkovic, M.; Orasanin, G. Next-Gen Manufacturing: Machine Learning for Surface Roughness Prediction in Ti-6Al-4V Biocompatible Alloy Machining. J. Manuf. Mater. Process. 2023, 7, 202. [Google Scholar] [CrossRef]
- Perumal, S.; Amarnath, M.K.; Marimuthu, K.; Subramaniam, P.; Rathinavelu, V.; Jagadeesh, D. Titanium Carbonitride–Coated CBN Insert Featured Turning Process Parameter Optimization during AA359 Alloy Machining. Int. J. Adv. Manuf. Technol. 2025, 136, 45–56. [Google Scholar] [CrossRef]
- Teimouri, R.; Amini, S.; Mohagheghian, N. Experimental Study and Empirical Analysis on Effect of Ultrasonic Vibration during Rotary Turning of Aluminum 7075 Aerospace Alloy. J. Manuf. Process. 2017, 26, 1–12. [Google Scholar] [CrossRef]
- Agarwal, S.; Suman, R.; Bahl, S.; Haleem, A.; Javaid, M.; Sharma, M.K.; Prakash, C.; Sehgal, S.; Singhal, P. Optimisation of Cutting Parameters during Turning of 16MnCr5 Steel Using Taguchi Technique. Int. J. Interact. Des. Manuf. IJIDeM 2024, 18, 2055–2066. [Google Scholar] [CrossRef]
- Chen, L.; Li, J.; Ma, Z.; Jiang, C.; Yu, T.; Gu, R. Grinding Performance and Parameter Optimization of Laser DED TiC Reinforced Ni-Based Composite Coatings. J. Manuf. Process. 2025, 134, 466–481. [Google Scholar] [CrossRef]
- Banerjee, A.; Maity, K. Hybrid Optimization Strategies for Improved Machinability of Nitronic-50 with MT-PVD Inserts. J. Manuf. Process. 2025, 137, 221–251. [Google Scholar] [CrossRef]
- Kechagias, J. Multiparameter Signal-to-Noise Ratio Optimization for End Milling Cutting Conditions of Aluminium Alloy 5083. Int. J. Adv. Manuf. Technol. 2024, 132, 4979–4988. [Google Scholar] [CrossRef]
- Fattahi, S.; Ullah, A.S. Optimization of Dry Electrical Discharge Machining of Stainless Steel Using Big Data Analytics. Procedia CIRP 2022, 112, 316–321. [Google Scholar] [CrossRef]
- Chowdhury, M.A.K.; Ullah, A.M.M.S.; Anwar, S. Drilling High Precision Holes in Ti6Al4V Using Rotary Ultrasonic Machining and Uncertainties Underlying Cutting Force, Toolwear, and Production Inaccuracies. Materials 2017, 10, 1069. [Google Scholar] [CrossRef]
- Mongan, P.G.; Hinchy, E.P.; O’Dowd, N.P.; McCarthy, C.T.; Diaz-Elsayed, N. An Ensemble Neural Network for Optimising a CNC Milling Process. J. Manuf. Syst. 2023, 71, 377–389. [Google Scholar] [CrossRef]
- Bouhali, R.; Bendjeffal, H.; Chetioui, K.B.; Bousba, I. Multivariable Optimization Based on the Taguchi Method to Study the Cutting Conditions in Aluminum Turning. Int. J. Interact. Des. Manuf. IJIDeM 2024. [Google Scholar] [CrossRef]
- Usgaonkar, G.G.S.; Gaonkar, R.S.P. GRA and CoCoSo Based Analysis for Optimal Performance Decisions in Sustainable Grinding Operation. Int. J. Math. Eng. Manag. Sci. 2025, 10, 1–21. [Google Scholar] [CrossRef]
- Ranganathan, R.; Saiyathibrahim, A.; Velu, R.; Jatti, V.S.; Mohan, D.G.; Vijayakumar, P. Achieving Multi-Response Optimization of Control Parameters for Wire-EDM on Additive Manufactured AlSi10Mg Alloy Using Taguchi-Grey Relational Theory. Eng. Res. Express 2025, 7, 015404. [Google Scholar] [CrossRef]
- Agarwal, D.; Yadav, S.; Singh, R.K.; Sharma, A.K. To Investigate the Effect of Discharge Energy and Addition of Nano-Powder on Processing of Micro Slots Using EDM Assisted µ-Milling Operation. Mater. Manuf. Process. 2025, 40, 80–94. [Google Scholar] [CrossRef]
- Fan, L.; Yang, G.; Zhang, Y.; Gao, L.; Wu, B. A Novel Tolerance Optimization Approach for Compressor Blades: Incorporating the Measured out-of-Tolerance Error Data and Aerodynamic Performance. Aerosp. Sci. Technol. 2025, 158, 109920. [Google Scholar] [CrossRef]
- Boga, C.; Koroglu, T. Proper Estimation of Surface Roughness Using Hybrid Intelligence Based on Artificial Neural Network and Genetic Algorithm. J. Manuf. Process. 2021, 70, 560–569. [Google Scholar] [CrossRef]
- Karthick, M.; Anand, P.; Siva Kumar, M.; Meikandan, M. Exploration of MFOA in PAC Parameters on Machining Inconel 718. Mater. Manuf. Process. 2022, 37, 1433–1445. [Google Scholar] [CrossRef]
- Kantheti, P.R.; Meena, K.L.; Chekuri, R.B.R. Maximizing Machining Efficiency and Quality in AA7075/Gr/B4 C HMMCs through Advanced DS-EDM Parameter Optimization Strategies. Eng. Res. Express 2024, 6, 045504. [Google Scholar] [CrossRef]
- Gangwar, S.; Mondal, S.C.; Kumar, A.; Ghadai, R.K. Performance Analysis and Optimization of Machining Parameters Using Coated Tungsten Carbide Cutting Tool Developed by Novel S3P Coating Method. Int. J. Interact. Des. Manuf. IJIDeM 2024, 18, 3909–3922. [Google Scholar] [CrossRef]
- Wan, L.; Chen, Z.; Zhang, X.; Wen, D.; Ran, X. A Multi-Sensor Monitoring Methodology for Grinding Wheel Wear Evaluation Based on INFO-SVM. Mech. Syst. Signal Process. 2024, 208, 111003. [Google Scholar] [CrossRef]
- Fu, X.; Li, K.; Zheng, M.; Wang, C.; Chen, E. Research on Dynamic Characteristics of Turning Process System Based on Finite Element Generalized Dynamics Space. Int. J. Adv. Manuf. Technol. 2024, 131, 4683–4698. [Google Scholar] [CrossRef]
- Cai, M.; Chen, M.; Gong, Y.; Gong, Q.; Zhu, T.; Zhang, M. Optimizing Grinding Parameters for Surface Integrity in Single Crystal Nickel Superalloys Using SVM Modeling. Int. J. Adv. Manuf. Technol. 2024, 135, 315–335. [Google Scholar] [CrossRef]
- Mohanta, D.K.; Sahoo, B.; Mohanty, A.M. Experimental Analysis for Optimization of Process Parameters in Machining Using Coated Tools. J. Eng. Appl. Sci. 2024, 71, 38. [Google Scholar] [CrossRef]
- Pathapalli, V.R.; Pittam, S.R.; Sarila, V.; Burragalla, D.; Gagandeep, A. Multi-Objective Parametric Optimization of AWJM Process Using Taguchi-Based GRA and DEAR Methodology. Proc. Inst. Mech. Eng. Part E J. Process Mech. Eng. 2024, 238, 2845–2853. [Google Scholar] [CrossRef]
- Chan, T.-C.; Wu, S.-C.; Ullah, A.; Farooq, U.; Wang, I.-H.; Chang, S.-L. Integrating Numerical Techniques and Predictive Diagnosis for Precision Enhancement in Roller Cam Rotary Table. Int. J. Adv. Manuf. Technol. 2024, 132, 3427–3445. [Google Scholar] [CrossRef]
- Tanvir, M.H.; Hussain, A.; Rahman, M.M.T.; Ishraq, S.; Zishan, K.; Rahul, S.T.T.; Habib, M.A. Multi-Objective Optimization of Turning Operation of Stainless Steel Using a Hybrid Whale Optimization Algorithm. J. Manuf. Mater. Process. 2020, 4, 64. [Google Scholar] [CrossRef]
- Wang, Z.; Zhang, T.; Yu, T.; Zhao, J. Assessment and Optimization of Grinding Process on AISI 1045 Steel in Terms of Green Manufacturing Using Orthogonal Experimental Design and Grey Relational Analysis. J. Clean. Prod. 2020, 253, 119896. [Google Scholar] [CrossRef]
- Mohanta, D.K.; Sahoo, B.; Mohanty, A.M. Optimization of Process Parameter in AI7075 Turning Using Grey Relational, Desirability Function and Metaheuristics. Mater. Manuf. Process. 2023, 38, 1615–1625. [Google Scholar] [CrossRef]
- Chanie, S.E.; Bogale, T.M.; Siyoum, Y.B. Optimization of Wire-Cut EDM Parameters Using Artificial Neural Network and Genetic Algorithm for Enhancing Surface Finish and Material Removal Rate of Charging Handlebar Machining from Mild Steel AISI 1020. Int. J. Adv. Manuf. Technol. 2025, 136, 3505–3523. [Google Scholar] [CrossRef]
- Wang, J.; Liu, H.; Qi, X.; Wang, Y.; Ma, W.; Zhang, S. Tool Wear Prediction Based on SVR Optimized by Hybrid Differential Evolution and Grey Wolf Optimization Algorithms. CIRP J. Manuf. Sci. Technol. 2024, 55, 129–140. [Google Scholar] [CrossRef]
- Tamang, S.K.; Chauhan, A.; Banerjee, D.; Teyi, N.; Samanta, S. Developing Precision in WEDM Machining of Mg-SiC Nanocomposites Using Machine Learning Algorithms. Eng. Res. Express 2024, 6, 045435. [Google Scholar] [CrossRef]
- Painuly, M.; Singh, R.P.; Trehan, R. Investigation into Electrochemical Machining of Aviation Grade Inconel 625 Super Alloy: An Experimental Study with Advanced Optimization and Microstructural Analysis. Aircr. Eng. Aerosp. Technol. 2025, 97, 137–148. [Google Scholar] [CrossRef]
- Mahanti, R.; Das, M. Sustainable EDM Production of Micro-Textured Die-Surfaces: Modeling and Optimizing the Process Using Machine Learning Techniques. Measurement 2025, 242, 115775. [Google Scholar] [CrossRef]
- Wang, Y.; Xu, H.; Ou, Z.; Liu, J.; Wang, G. Analysis of Root Residual Stress and Total Tooth Profile Deviation in Hobbing and Investigation of Optimal Parameters. CIRP J. Manuf. Sci. Technol. 2025, 58, 20–39. [Google Scholar] [CrossRef]
- Nguyen, V.-H.; Le, T.-T.; Nguyen, A.-T.; Hoang, X.-T.; Nguyen, N.-T.; Nguyen, N.-K. Optimization of Milling Conditions for AISI 4140 Steel Using an Integrated Machine Learning-Multi Objective Optimization-Multi Criteria Decision Making Framework. Measurement 2025, 242, 115837. [Google Scholar] [CrossRef]
- Guidetti, X.; Rupenyan, A.; Fassl, L.; Nabavi, M.; Lygeros, J. Plasma Spray Process Parameters Configuration Using Sample-Efficient Batch Bayesian Optimization. In Proceedings of the 2021 IEEE 17th International Conference on Automation Science and Engineering (CASE), Lyon, France, 23 August 2021; IEEE: Piscataway, NJ, USA, 2021; pp. 31–38. [Google Scholar]
- Ao, S.; Xiang, S.; Yang, J. A Hyperparameter Optimization-Assisted Deep Learning Method towards Thermal Error Modeling of Spindles. ISA Trans. 2025, 156, 434–445. [Google Scholar] [CrossRef]
- Kumar, S.; Dvivedi, A.; Tiwari, T.; Tewari, M. Predictive Modeling of Tool Wear in Rotary Tool Micro-Ultrasonic Machining. Proc. Inst. Mech. Eng. Part E J. Process Mech. Eng. 2024, 238, 2160–2172. [Google Scholar] [CrossRef]
- Bousnina, K.; Hamza, A.; Yahia, N.B. Design of an Intelligent Simulator ANN and ANFIS Model in the Prediction of Milling Performance (QCE) of Alloy 2017A. Artif. Intell. Eng. Des. Anal. Manuf. 2024, 38, e23. [Google Scholar] [CrossRef]
- Ullah, A.M.M.S.; Harib, K.H. A Human-Assisted Knowledge Extraction Method for Machining Operations. Adv. Eng. Inform. 2006, 20, 335–350. [Google Scholar] [CrossRef]
- Saleem, M.Q.; Mehmood, A. Eco-Friendly Precision Turning of Superalloy Inconel 718 Using MQL Based Vegetable Oils: Tool Wear and Surface Integrity Evaluation. J. Manuf. Process. 2022, 73, 112–127. [Google Scholar] [CrossRef]
- Sun, W.; Zhang, Y.; Luo, M.; Zhang, Z.; Zhang, D. A Multi-Criteria Decision-Making System for Selecting Cutting Parameters in Milling Process. J. Manuf. Syst. 2022, 65, 498–509. [Google Scholar] [CrossRef]
- Leese, M. The New Profiling: Algorithms, Black Boxes, and the Failure of Anti-Discriminatory Safeguards in the European Union. Secur. Dialogue 2014, 45, 494–511. [Google Scholar] [CrossRef]
- d’Alessandro, B.; O’Neil, C.; LaGatta, T. Conscientious Classification: A Data Scientist’s Guide to Discrimination-Aware Classification. Big Data 2017, 5, 120–134. [Google Scholar] [CrossRef]
- Emmert-Streib, F.; Yli-Harja, O.; Dehmer, M. Artificial Intelligence: A Clarification of Misconceptions, Myths and Desired Status. Front. Artif. Intell. 2020, 3, 524339. [Google Scholar] [CrossRef]
- Bzdok, D.; Altman, N.; Krzywinski, M. Statistics versus Machine Learning. Nat. Methods 2018, 15, 233–234. [Google Scholar] [CrossRef]
- Tabachnick, B.G.; Fidell, L.S. Using Multivariate Statistics, 6th ed.; Always Learning; International ed.; Pearson: Boston, MA, USA; Munich, Germany, 2013; ISBN 978-0-205-89081-1. [Google Scholar]
- Miller, R.G.; Brown, B.W. Beyond ANOVA: Basics of Applied Statistics, 1st ed.; Chapman & Hall Texts in Statistical Science Series; Chapman & Hall: London: New York, NY, USA, 1997; ISBN 978-0-412-07011-2. [Google Scholar]
- Dang, X.; Al-Rahawi, M.; Liu, T.; Mohammed, S.T.A. Single and Multi-Response Optimization of Scroll Machining Parameters by the Taguchi Method. Int. J. Precis. Eng. Manuf. 2024, 25, 1601–1614. [Google Scholar] [CrossRef]
- Igwe, N.C.; Ozoegwu, C.G. Analyzing Empirically and Optimizing Surface Roughness and Tool Wear during Turning Aluminum Matrix/Rice Husk Ash (RHA) Composite. Int. J. Adv. Manuf. Technol. 2024, 134, 1563–1580. [Google Scholar] [CrossRef]
- Zhujani, F.; Abdullahu, F.; Todorov, G.; Kamberov, K. Optimization of Multiple Performance Characteristics for CNC Turning of Inconel 718 Using Taguchi–Grey Relational Approach and Analysis of Variance. Metals 2024, 14, 186. [Google Scholar] [CrossRef]
- Muthukrishnan, N.; Davim, J.P. Optimization of Machining Parameters of Al/SiC-MMC with ANOVA and ANN Analysis. J. Mater. Process. Technol. 2009, 209, 225–232. [Google Scholar] [CrossRef]
- Sureshkumar, B.; Navaneethakrishnan, G.; Panchal, H.; Manjunathan, A.; Prakash, C.; Shinde, T.; Mutalikdesai, S.; Prajapati, V.V. Effects of Machining Parameters on Dry Turning Operation of Nickel 200 Alloy. Int. J. Interact. Des. Manuf. IJIDeM 2024, 18, 6023–6038. [Google Scholar] [CrossRef]
- Azawqari, A.A.; Amrani, M.A.; Hezam, L.; Baggash, M.; Abidin, Z.Z. Multi-Objectives Optimization of WEDM Parameters on Machining of AISI 304 Based on Taguchi Method. Int. J. Adv. Manuf. Technol. 2024, 134, 5493–5510. [Google Scholar] [CrossRef]
- Pal, S.; Malviya, S.K.; Pal, S.K.; Samantaray, A.K. Optimization of Quality Characteristics Parameters in a Pulsed Metal Inert Gas Welding Process Using Grey-Based Taguchi Method. Int. J. Adv. Manuf. Technol. 2009, 44, 1250–1260. [Google Scholar] [CrossRef]
- Singh, J.; Gill, S.S.; Mahajan, A. Experimental Investigation and Optimizing of Turning Parameters for Machining of Al7075-T6 Aerospace Alloy for Reducing the Tool Wear and Surface Roughness. J. Mater. Eng. Perform. 2024, 33, 8745–8756. [Google Scholar] [CrossRef]
- Xie, Y.; Chang, G.; Yang, J.; Zhao, M.; Li, J. Process Optimization of Robotic Polishing for Mold Steel Based on Response Surface Method. Machines 2022, 10, 283. [Google Scholar] [CrossRef]
- Zadeh, L.A. Fuzzy Sets as a Basis for a Theory of Possibility. Fuzzy Sets Syst. 1999, 100, 9–34. [Google Scholar] [CrossRef]
- Dubois, D.; Foulloy, L.; Mauris, G.; Prade, H. Probability-Possibility Transformations, Triangular Fuzzy Sets, and Probabilistic Inequalities. Reliab. Comput. 2004, 10, 273–297. [Google Scholar] [CrossRef]
- Sharif Ullah, A.M.M.; Shamsuzzaman, M. Fuzzy Monte Carlo Simulation Using Point-Cloud-Based Probability–Possibility Transformation. Simulation 2013, 89, 860–875. [Google Scholar] [CrossRef]
- Mauris, G.; Lasserre, V.; Foulloy, L. A Fuzzy Approach for the Expression of Uncertainty in Measurement. Measurement 2001, 29, 165–177. [Google Scholar] [CrossRef]
- Ullah, A.; Shahinur, S.; Haniu, H. On the Mechanical Properties and Uncertainties of Jute Yarns. Materials 2017, 10, 450. [Google Scholar] [CrossRef]
- Shahinur, S.; Ullah, A.S. Quantifying the Uncertainty Associated with the Material Properties of a Natural Fiber. Procedia CIRP 2017, 61, 541–546. [Google Scholar] [CrossRef]
- Ullah, A.M.M. Surface Roughness Modeling Using Q-Sequence. Math. Comput. Appl. 2017, 22, 33. [Google Scholar] [CrossRef]
- Sharif Ullah, A.M.M.; Fuji, A.; Kubo, A.; Tamaki, J.; Kimura, M. On the Surface Metrology of Bimetallic Components. Mach. Sci. Technol. 2015, 19, 339–359. [Google Scholar] [CrossRef]
- Ullah, A.M.M.S. A Fuzzy Monte Carlo Simulation Technique for Sustainable Society Scenario (3S) Simulator. In Sustainability Through Innovation in Product Life Cycle Design; Matsumoto, M., Masui, K., Fukushige, S., Kondoh, S., Eds.; EcoProduction; Springer: Singapore, 2017; pp. 601–618. ISBN 978-981-10-0469-8. [Google Scholar]
- Ghosh, A.K.; Ullah, A.S.; Teti, R.; Kubo, A. Developing Sensor Signal-Based Digital Twins for Intelligent Machine Tools. J. Ind. Inf. Integr. 2021, 24, 100242. [Google Scholar] [CrossRef]
- National Research Council; Committee on Geophysical and Environmental Data. On the Full and Open Exchange of Scientific Data; National Academies Press: Washington, DC, USA, 1995; p. 18769. ISBN 978-0-309-30427-6. [Google Scholar]
- Orlowski, C. Smart Cities and Open Data. In Management of IOT Open Data Projects in Smart Cities; Elsevier: Amsterdam, The Netherlands, 2021; pp. 1–41. ISBN 978-0-12-818779-1. [Google Scholar]
Disclaimer/Publisher’s Note: The statements, opinions and data contained in all publications are solely those of the individual author(s) and contributor(s) and not of MDPI and/or the editor(s). MDPI and/or the editor(s) disclaim responsibility for any injury to people or property resulting from any ideas, methods, instructions or products referred to in the content. |
© 2025 by the authors. Licensee MDPI, Basel, Switzerland. This article is an open access article distributed under the terms and conditions of the Creative Commons Attribution (CC BY) license (https://creativecommons.org/licenses/by/4.0/).


























