Analysis of Microstructure and Mechanical Properties of CoCrMo Alloys Processed by Metal Binder Jetting Multi-Step Technique
Abstract
1. Introduction
2. Material and Methods
3. Results and Discussion
3.1. Density Analysis
3.2. Mechanical and Microstructure Properties Evaluation
3.3. Surface Roughness Analysis
4. Conclusions
- The average sintered density measured through the Archimedean method was 7.88 ± 0.11 g/cc.
- From the image analysis, the pores, which were randomly dispersed in the different samples, had both irregular and round shapes, with an average size of 24.4 ± 5.3 µm.
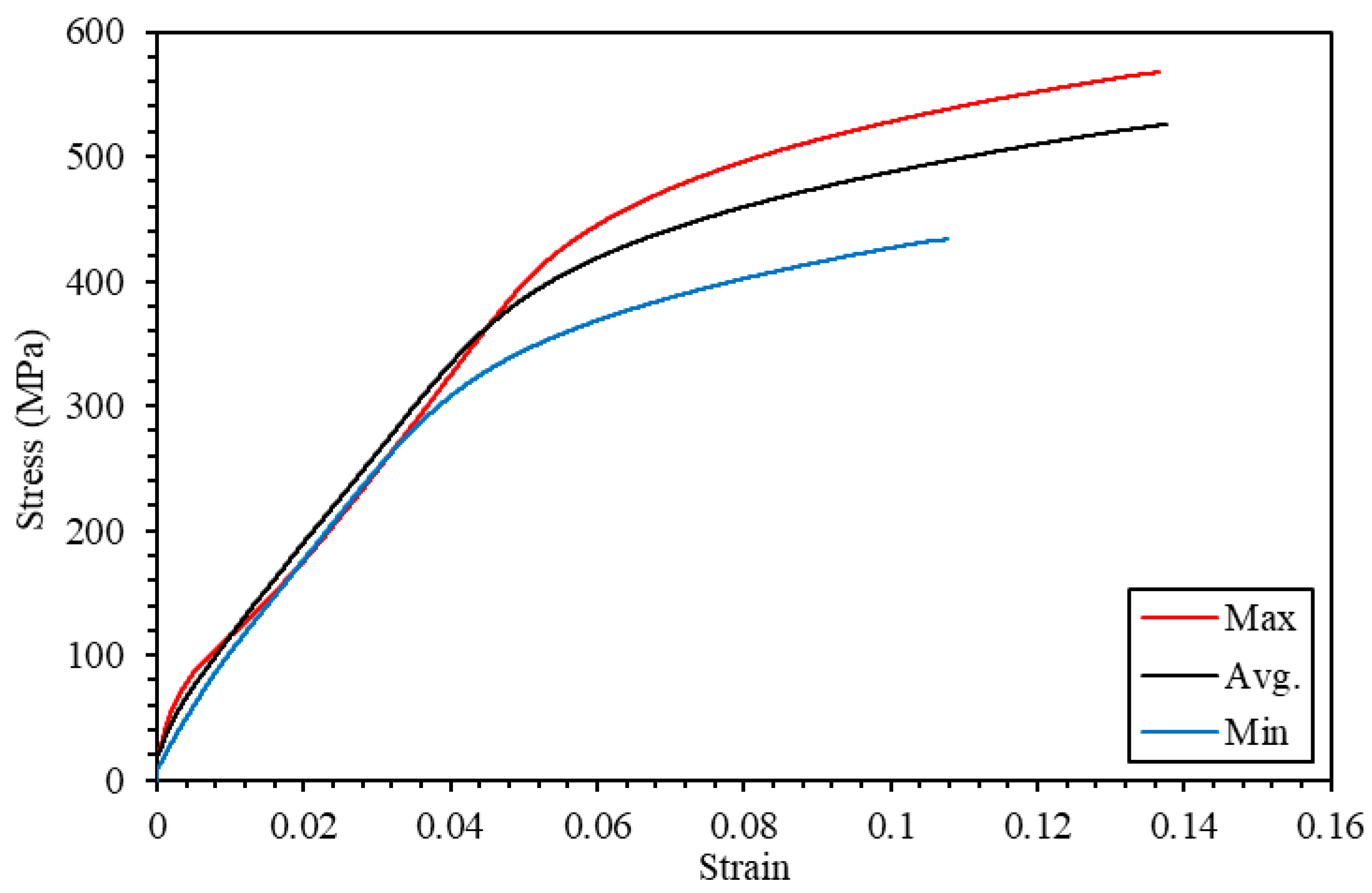
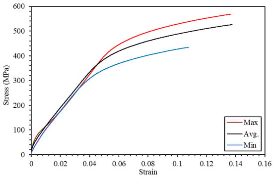
- The tensile test revealed an average ultimate tensile strength equal to 520.5 ± 44.6 MPa and an elongation of 12.2 ± 1.8%. The reduction in UTS (−20.5%) compared to the declared value in the standard was due to an incomplete densification during sintering, confirmed by the presence of pores in the bearing sections.
- The microstructure revealed an average grain size of 182 ± 14.7 µm with a prevalence of the Co-rich matrix. An intergranular Cr-rich phase was observed and a high content of Mo-rich carbides along the grain boundaries and in the Cr-rich phase were detected.
- The surface roughness was, in most cases, lower than 10 µm and it was higher along the printing direction (9.0 ± 1.6 µm) with respect to the top surface (7.9 ± 1.3 µm).
Author Contributions
Funding
Data Availability Statement
Acknowledgments
Conflicts of Interest
References
- Tan, X.P.; Wang, P.; Kok, Y.; Toh, W.Q.; Sun, Z.; Nai, S.M.L.; Descoins, M.; Mangelinck, D.; Liu, E.; Tor, S.B. Carbide Precipitation Characteristics in Additive Manufacturing of Co-Cr-Mo Alloy via Selective Electron Beam Melting. Scr. Mater. 2018, 143, 117–121. [Google Scholar] [CrossRef]
- Pasco, J.; Jiang, L.; Dorin, T.; Keshavarzkermani, A.; He, Y.; Aranas, C. Phase Transformation in Additively Manufactured Co-Cr-Mo Alloy after Solution and Aging Heat Treatment. Mater. Charact. 2024, 207, 113467. [Google Scholar] [CrossRef]
- Ziaee, M.; Crane, N.B. Binder Jetting: A Review of Process, Materials, and Methods. Addit. Manuf. 2019, 28, 781–801. [Google Scholar] [CrossRef]
- Onler, R.; Koca, A.S.; Kirim, B.; Soylemez, E. Multi-Objective Optimization of Binder Jet Additive Manufacturing of Co-Cr-Mo Using Machine Learning. Int. J. Adv. Manuf. Technol. 2022, 119, 1091–1108. [Google Scholar] [CrossRef]
- Munsch, M.; Schmidt-Lehr, M.; Wycisk, E. Evaluation of Sinter-Based Technologies Such as Binder Jetting. 2018. Volume 3. Available online: www.am-power.de/insights (accessed on 18 October 2024).
- Chadha, U.; Abrol, A.; Vora, N.P.; Tiwari, A.; Shanker, S.K.; Selvaraj, S.K. Performance Evaluation of 3D Printing Technologies: A Review, Recent Advances, Current Challenges, and Future Directions. Prog. Addit. Manuf. 2022, 7, 853–886. [Google Scholar] [CrossRef]
- Blunk, H.; Seibel, A. Design Guidelines for Metal Binder Jetting. Prog. Addit. Manuf. 2024, 9, 725–732. [Google Scholar] [CrossRef]
- ISO/ASTM 52900:2015(en); Standard Terminology for Additive Manufacturing—General Principles—Terminology. ASTM International: West Conshohocken, PA, USA, 2022; Volume i. Available online: https://www.iso.org/obp/ui/#iso:std:iso-astm:52900:ed-1:v1:en (accessed on 18 October 2024).
- Li, M.; Du, W.; Elwany, A.; Pei, Z.; Ma, C. Metal Binder Jetting Additive Manufacturing: A Literature Review. J. Manuf. Sci. Eng. 2020, 142, 090801. [Google Scholar] [CrossRef]
- Huber, D.; Vogel, L.; Fischer, A. The Effects of Sintering Temperature and Hold Time on Densification, Mechanical Properties and Microstructural Characteristics of Binder Jet 3D Printed 17-4 PH Stainless Steel. Addit. Manuf. 2021, 46, 102114. [Google Scholar] [CrossRef]
- Rios, A.C.; Hryha, E.; Olevsky, E.; Harlin, P.; Cabo, A.; Hryha, E.; Olevsky, E.; Harlin, P. Sintering Anisotropy of Binder Jetted 316L Stainless Steel: Part II–Microstructure Evolution during Sintering. Powder Metall. 2022, 65, 283–295. [Google Scholar] [CrossRef]
- Yegyan Kumar, A.; Bai, Y.; Eklund, A.; Williams, C.B. The Effects of Hot Isostatic Pressing on Parts Fabricated by Binder Jetting Additive Manufacturing. Addit. Manuf. 2018, 24, 115–124. [Google Scholar] [CrossRef]
- Khademitab, M.; de Vecchis, P.R.; Staszel, P.; Vaicik, M.K.; Chmielus, M.; Mostafaei, A. Structure-Property Relationships of Differently Heat-Treated Binder Jet Printed Co-Cr-Mo Biomaterial. Mater. Today Commun. 2024, 38, 107716. [Google Scholar] [CrossRef]
- Mostafaei, A.; Hughes, E.T.; Hilla, C.; Stevens, E.L.; Chmielus, M. Data on the Densification during Sintering of Binder Jet Printed Samples Made from Water- and Gas-Atomized Alloy 625 Powders. Data Brief. 2017, 10, 116–121. [Google Scholar] [CrossRef]
- Herranz, G.; Berges, C.; Naranjo, J.A.; García, C.; Garrido, I. Mechanical Performance, Corrosion and Tribological Evaluation of a Co–Cr–Mo Alloy Processed by MIM for Biomedical Applications. J. Mech. Behav. Biomed. Mater. 2020, 105, 103706. [Google Scholar] [CrossRef]
- Mao, Y.; Cai, C.; Zhang, J.; Heng, Y.; Feng, K.; Cai, D.; Wei, Q. Effect of Sintering Temperature on Binder Jetting Additively Manufactured Stainless Steel 316L: Densification, Microstructure Evolution and Mechanical Properties. J. Mater. Res. Technol. 2023, 22, 2720–2735. [Google Scholar] [CrossRef]
- Stoyanov, P.; Andre, K.; Prichard, P.; Yao, M.; Gey, C. Microstructural and Mechanical Characterization of Mo-Containing Stellite Alloys Produced by Three Dimensional Printing. In Procedia CIRP; Elsevier B.V.: Amsterdam, The Netherlands, 2016; Volume 45, pp. 167–170. [Google Scholar] [CrossRef]
- Mostafaei, A.; Rodriguez De Vecchis, P.; Buckenmeyer, M.J.; Wasule, S.R.; Brown, B.N.; Chmielus, M. Microstructural Evolution and Resulting Properties of Differently Sintered and Heat-Treated Binder-Jet 3D-Printed Stellite 6. Mater. Sci. Eng. C 2019, 102, 276–288. [Google Scholar] [CrossRef]
- Gilmer, D.; Kim, S.; Goldsby, D.J.; Nandwana, P.; Elliott, A.; Saito, T. Predictive Binder Jet Additive Manufacturing Enabled by Clean Burn-off Binder Design. Addit. Manuf. 2024, 80, 103955. [Google Scholar] [CrossRef]
- ASTM International. Standard Specification for Cobalt-28 Chromium-6 Molybdenum Alloy Castings and Casting Alloy for Surgical Implants (UNS R30075). 2012. Volume 13.01. Available online: https://www.astm.org/f0075-23.html (accessed on 17 October 2024).
- Miao, G.; Moghadasi, M.; Li, M.; Pei, Z.; Ma, C. Binder Jetting Additive Manufacturing: Powder Packing in Shell Printing. J. Manuf. Mater. Process. 2022, 7, 4. [Google Scholar] [CrossRef]
- ASTM E8/E8M-16a; Standard Test Methods for Tension Testing of Metallic Materials 1. ASTM International: West Conshohocken, PA, USA, 2016. [CrossRef]
- Carrozza, A.; Lorenzi, S.; Carugo, F.; Fest-Santini, S.; Santini, M.; Marchese, G.; Barbieri, G.; Cognini, F.; Cabrini, M.; Pastore, T. A Comparative Analysis between Material Extrusion and Other Additive Manufacturing Techniques: Defects, Microstructure and Corrosion Behavior in Nickel Alloy 625. Mater. Des. 2023, 225, 111545. [Google Scholar] [CrossRef]
- Pellegrini, A.; Lavecchia, F.; Guerra, M.G. Additive Manufacturing of Copper Parts Using Extrusion and Sinter-Based Technology: Evaluation of the Influence of Printing Parameters and Debinding Method. Rapid Prototyp. J. 2024, 30, 1451–1461. [Google Scholar] [CrossRef]
- Horke, K.; Meyer, A.; Singer, R.F. Metal Injection Molding (MIM) of Nickel-Base Superalloys. In Handbook of Metal Injection Molding; Elsevier: Amsterdam, The Netherlands, 2019; pp. 575–608. [Google Scholar] [CrossRef]
- SHP-SPC-MDS_CoCrMo-211027. Available online: https://www.desktopmetal.com/uploads/SHP-SPC-MDS_CoCrMo-211027.pdf (accessed on 16 September 2024).
- ASTM B962-13; Standard Test Methods for Density of Compacted or Sintered Powder Metallurgy (PM) Products Using Archimedes’ Principle. ASTM International: West Conshohocken, PA, USA, 2013; pp. 1–7.
- German, R.M. Coarsening in Sintering: Grain Shape Distribution, Grain Size Distribution, and Grain Growth Kinetics in Solid-Pore Systems. Crit. Rev. Solid State Mater. Sci. 2010, 35, 263–305. [Google Scholar] [CrossRef]
- Radhakrishnan, J.; Kumar, P.; Gan, S.S.; Bryl, A.; McKinnell, J.; Ramamurty, U. Microstructure and Tensile Properties of Binder Jet Printed 17–4 Precipitation Hardened Martensitic Stainless Steel. Mater. Sci. Eng. A 2022, 860, 144270. [Google Scholar] [CrossRef]
- Pellegrini, A.; Lavecchia, F.; Guerra, M.G.; Galantucci, L.M. Influence of Aging Treatments on 17–4 PH Stainless Steel Parts Realized Using Material Extrusion Additive Manufacturing Technologies. Int. J. Adv. Manuf. Technol. 2023, 126, 163–178. [Google Scholar] [CrossRef]
- Bettini, E.; Eriksson, T.; Boström, M.; Leygraf, C.; Pan, J. Influence of Metal Carbides on Dissolution Behavior of Biomedical CoCrMo Alloy: SEM, TEM and AFM Studies. Electrochim. Acta 2011, 56, 9413–9419. [Google Scholar] [CrossRef]
- Mostafaei, A.; Stevens, E.L.; Ference, J.J.; Schmidt, D.E.; Chmielus, M. Binder Jetting of a Complex-Shaped Metal Partial Denture Framework. Addit. Manuf. 2018, 21, 63–68. [Google Scholar] [CrossRef]
- Mostafaei, A.; Elliott, A.M.; Barnes, J.E.; Li, F.; Tan, W.; Cramer, C.L.; Nandwana, P.; Chmielus, M. Binder Jet 3D Printing—Process Parameters, Materials, Properties, Modeling, and Challenges. Prog. Mater. Sci. 2021, 119, 100707. [Google Scholar] [CrossRef]










| Chemical Composition (wt.%) | ||||||||||||
|---|---|---|---|---|---|---|---|---|---|---|---|---|
| Source | Co | Cr | Mo | Ni | Fe | C | Si | Mn | W | Al | Tn | N |
| ASTM F75 | Bal. | 27.00–30.00 | 5.00–7.00 | 0.50 | 0.75 | 0.35 | 1.00 | 1.00 | 0.20 | 0.10 | 0.10 | 0.25 |
| TDS | Bal. | 27.00–30.00 | 5.00–7.00 | <0.50 | <0.75 | <0.35 | <1.30 | <1.00 | - | - | - | <0.25 |
| Current study | Bal. | 23.39 ± 0.36 | 7.95 ± 0.36 | 1.51 ± 0.15 | 1.45 ± 0.26 | 1.31 ± 1.05 | 3.31 ± 0.16 | 0.43 ± 0.12 | - | - | - | - |
| N° Sample | Density (g/cc) | Relative Density * (%) |
|---|---|---|
| 1 | 8.02 | 96.6 |
| 2 | 7.99 | 96.2 |
| 3 | 7.85 | 94.5 |
| 4 | 7.78 | 93.7 |
| 5 | 7.79 | 93.9 |
| 6 | 7.82 | 94.3 |
| 7 | 7.78 | 93.7 |
| 8 | 7.79 | 93.8 |
| 9 | 8.09 | 97.5 |
| 10 | 7.89 | 95.1 |
| Property | Value |
|---|---|
| Density (g/cc) | 7.88 ± 0.11 |
| Hardness (HRC) | 18.5 ± 1.8 |
| UTS (MPa) | 520.5 ± 44.6 |
| Elongation (%) | 12.2 ± 1.8 |
Disclaimer/Publisher’s Note: The statements, opinions and data contained in all publications are solely those of the individual author(s) and contributor(s) and not of MDPI and/or the editor(s). MDPI and/or the editor(s) disclaim responsibility for any injury to people or property resulting from any ideas, methods, instructions or products referred to in the content. |
© 2024 by the authors. Licensee MDPI, Basel, Switzerland. This article is an open access article distributed under the terms and conditions of the Creative Commons Attribution (CC BY) license (https://creativecommons.org/licenses/by/4.0/).
Share and Cite
Pellegrini, A.; Lavecchia, F.; Guerra, M.G.; Galantucci, L.M. Analysis of Microstructure and Mechanical Properties of CoCrMo Alloys Processed by Metal Binder Jetting Multi-Step Technique. J. Manuf. Mater. Process. 2024, 8, 292. https://doi.org/10.3390/jmmp8060292
Pellegrini A, Lavecchia F, Guerra MG, Galantucci LM. Analysis of Microstructure and Mechanical Properties of CoCrMo Alloys Processed by Metal Binder Jetting Multi-Step Technique. Journal of Manufacturing and Materials Processing. 2024; 8(6):292. https://doi.org/10.3390/jmmp8060292
Chicago/Turabian StylePellegrini, Alessandro, Fulvio Lavecchia, Maria Grazia Guerra, and Luigi Maria Galantucci. 2024. "Analysis of Microstructure and Mechanical Properties of CoCrMo Alloys Processed by Metal Binder Jetting Multi-Step Technique" Journal of Manufacturing and Materials Processing 8, no. 6: 292. https://doi.org/10.3390/jmmp8060292
APA StylePellegrini, A., Lavecchia, F., Guerra, M. G., & Galantucci, L. M. (2024). Analysis of Microstructure and Mechanical Properties of CoCrMo Alloys Processed by Metal Binder Jetting Multi-Step Technique. Journal of Manufacturing and Materials Processing, 8(6), 292. https://doi.org/10.3390/jmmp8060292

