Next Article in Journal
Vision-Based Deep Reinforcement Learning of Unmanned Aerial Vehicle (UAV) Autonomous Navigation Using Privileged Information
Previous Article in Journal
Conceptual Design of a Novel Autonomous Water Sampling Wing-in-Ground-Effect (WIGE) UAV and Trajectory Tracking Performance Optimization for Obstacle Avoidance
 
 
Font Type:
Arial Georgia Verdana
Font Size:
Aa Aa Aa
Line Spacing:
Column Width:
Background:
Article

A Smart Contract-Based Algorithm for Offline UAV Task Collaboration: A New Solution for Managing Communication Interruptions

1
School of Information and Communication Engineering, University of Electronic Science and Technology of China, Chengdu 611731, China
2
Yangtze Delta Region Institute (Quzhou), University of Electronic Science and Technology of China, Quzhou 324003, China
3
Department of Fintech, Shanghai Normal University Tianhua College, Shanghai 201815, China
*
Author to whom correspondence should be addressed.
Drones 2024, 8(12), 781; https://doi.org/10.3390/drones8120781
Submission received: 5 November 2024 / Revised: 7 December 2024 / Accepted: 19 December 2024 / Published: 21 December 2024
(This article belongs to the Section Drone Communications)

Abstract

Environmental factors and electronic interference often disrupt communication between UAV swarms and ground control centers, requiring UAVs to complete missions autonomously in offline conditions. However, current coordination schemes for UAV swarms heavily depend on ground control, lacking robust mechanisms for offline task allocation and coordination, which compromises efficiency and security in disconnected settings. This limitation is especially critical for complex missions, such as rescue or attack operations, underscoring the need for a solution that ensures both mission continuity and communication security. To address these challenges, this paper proposes an offline task-coordination algorithm based on blockchain smart contracts. This algorithm integrates task allocation, resource scheduling, and coordination strategies directly into smart contracts, allowing UAV swarms to autonomously make decisions and coordinate tasks while offline. Experimental simulations confirm that the proposed algorithm effectively coordinates tasks and maintains communication security in offline states, significantly enhancing the swarm’s autonomous performance in complex, dynamic scenarios.

1. Introduction

With the rapid advancement of UAV technology, UAV swarm systems are being increasingly deployed in diverse mission scenarios, such as disaster rescue, logistics, and military operations, due to their efficiency and flexibility [1]. In particular, there have been significant advantages in flexible response in complex environments. However, environmental factors and electronic interference often interfere with the communication between the drone cluster and the ground control center, causing communication interruption. At this time, the drone needs to complete the task without central control [2]. This places extremely high demands on the autonomous and collaborative capabilities of the drone. Therefore, it is crucial for drone swarms to have efficient offline autonomous decision-making and collaborative capabilities in complex environments. Most current research relies on ground control support and focuses on UAV collaboration under continuous communication, lacking systematic exploration of task allocation and coordination mechanisms in offline environments. This limitation compromises task efficiency and communication security, particularly when UAV swarms perform complex missions in disconnected settings [3].
In recent years, research has increasingly explored the use of blockchain and smart contracts to address the need for autonomous task execution in offline unmanned aerial vehicle (UAV) systems [4]. Blockchain, as a decentralized and tamper-resistant ledger technology, offers a secure environment for data exchange within UAV swarms, ensuring mission data are transmitted and stored safely and effectively mitigating data security risks in offline scenarios. In such settings, traditional centralized control mechanisms often struggle with information flow and task continuity due to a lack of real-time communication and remote support. By contrast, the censorship-resistant, distributed nature of blockchain provides a more resilient operational foundation for UAV swarms. The timestamping capability of blockchain enables each task step to be precisely recorded, protecting against potential data tampering. Furthermore, blockchain’s immutability and transparency allow all mission-related information and decisions to be verified independently by each node, enhancing transparency and trustworthiness throughout mission execution.
Smart contracts further enable automation of predefined coordination rules, supporting key processes for UAV swarms operating offline [5]. Unlike traditional manual intervention or centralized control, smart contracts ensure that the rules and conditions set during mission planning are strictly followed, facilitating automated task response. This is particularly valuable in scenarios requiring UAV swarms to make autonomous decisions and respond immediately to emergencies. For instance, tasks like route adjustments and dynamic resource allocation can be handled swiftly through the self-executing nature of smart contracts, ensuring efficient task completion.
However, despite these advantages, current research has not yet fully exploited the potential of blockchain smart contracts to enhance collaborative decision-making within UAV swarms in offline conditions. Particularly in complex and dynamic task environments, maintaining coherent decision-making and secure communication offline remains a pressing challenge. Current solutions primarily apply blockchain and smart contracts to basic data exchange and simple task scheduling, without leveraging their potential in complex decision-making, such as facilitating efficient multi-UAV collaboration and flexible adaptation without real-time communication. Therefore, developing a method that fully utilizes blockchain to enhance task continuity and communication security in offline settings is essential. This approach would improve UAV systems’ autonomy and collaboration during missions and support their intelligent, autonomous development for more demanding scenarios, equipping UAV systems with adaptive capabilities for dynamic environments and ensuring stable, efficient operation under varied mission conditions.
Therefore, the main contributions of this paper are as follows:
  • Development of a Blockchain-Based Autonomous Collaboration Algorithm for Offline UAV Swarms: To improve task execution efficiency of UAV swarms in offline environments, this paper presents an autonomous collaboration mechanism, including algorithms for task allocation, resource scheduling, and collaborative decision-making. These algorithms are embedded within smart contracts to enable autonomous task coordination and efficient execution under offline conditions.
  • Design of an Automatic Smart Contract Triggering Mechanism for Unforeseen Offline States: Addressing task interruptions and communication failures in offline UAV swarm environments, this paper introduces an automatic triggering mechanism within smart contracts. This mechanism initiates the autonomous collaboration processes based on predefined conditions and rules, ensuring uninterrupted task execution even in offline states.
  • Performance and Robustness Validation of the Algorithm in Offline Environments: Through simulation experiments, this paper validates the algorithm’s effectiveness in enhancing task continuity and communication security in offline conditions, demonstrating its applicability across various offline mission scenarios.
The remainder of this paper is organized as follows: Section 2 reviews related research on offline coordination in UAV swarms. Section 3 presents the blockchain-based UAV network architecture, and Section 4 details the design of the proposed autonomous task-coordination algorithm based on blockchain smart contracts. Section 5 describes the simulation and performance evaluation of the algorithm. Finally, Section 6 concludes the paper and provides suggestions for future research directions.

2. Related Work

2.1. Challenges in Offline Communication for UAV Swarms

Due to their flexibility, mobility, and cost-effectiveness, UAV swarms have seen widespread application in areas such as military operations, disaster response, and logistics [6]. However, their deployment presents significant communication challenges, particularly in establishing high-speed communication links and developing efficient collaborative decision-making algorithms [7]. Achieving decentralized communication among UAVs requires the integration of sensor arrays and advanced routing algorithms to enable autonomous operation without relying on a central base station, thus ensuring quality of service (QoS) [8]. Continuous communication is essential for task coordination, especially in critical scenarios like disaster relief and military operations [9]. Studies have shown that communication failures often lead to mission failure, whereas effective information-sharing enhances collaboration and conflict resolution in multi-agent systems, ultimately improving decision-making and operational efficiency [10,11].
Despite advancements in UAV communication and collaboration technology, several challenges persist. UAVs need to establish high-speed links, ensure secure data transmission, and maintain reliable control strategies [7]. Additionally, UAVs are prone to interference and have limited payload capacity, which further complicates integration with existing communication infrastructure [12]. UAV communication networks (FANETs) face numerous issues in security, resource management, and physical constraints, which are exacerbated by the dynamic nature of UAV operations [13,14]. Secure communication is especially critical; robust encryption and authentication mechanisms are essential to defend against potential attacks [12,15,16]. In multi-UAV systems, collaborative communication is vital for mission success, yet achieving intelligent UAVs with autonomous coordination capabilities remains technically challenging [13,14].
The challenges become even more pronounced when UAVs lose communication with the ground control center or other UAVs. Electromagnetic interference (EMI) often leads to communication instability in air-to-ground applications. Additionally, given the small size, limited battery life, and high-speed maneuverability of UAVs, maintaining reliable communication in complex environments is even more difficult [17]. Multi-UAV collaborative communication, forming an “aerial network”, is seen as a crucial approach to improving communication reliability [18]. As shown in Table 1, designing network topologies suited for UAV swarms is essential to ensure the safe and efficient operation of UAVs when communication interruptions occur.

2.2. Limitations of Centralized Control Systems in Dynamic Environments

In dynamic environments, centralized control systems face significant limitations, primarily due to their reliance on pre-programmed decision logic that lacks the flexibility to adapt to unpredictable and complex scenarios. This inherent inflexibility makes centralized systems slow to respond to rapid environmental changes and uncertainties, often resulting in inefficient task execution or even mission failure [19,20]. This challenge is especially critical in Unmanned Aerial Systems (UASs), where real-time responsiveness and high adaptability are essential.
Given these challenges, decentralized and autonomous control methods present a more promising alternative. By distributing decision-making authority across multiple agents, each agent can independently adjust its behavior based on local information without relying on a central command, enhancing the system’s flexibility and scalability [21,22]. In the field of unmanned aerial vehicles (UAVs), decentralized control methods have been successfully applied in navigation and formation control [23,24]. For instance, techniques such as virtual spring-damper models and rotational force fields facilitate autonomous navigation and obstacle avoidance in complex environments, allowing UAV swarms to operate effectively even during communication outages [25].
Furthermore, decentralized control also offers advantages in security management. Issues like electromagnetic interference and data encryption are more effectively managed in a distributed framework, underscoring the limitations of centralized control systems.

2.3. Autonomy and Collaboration in Offline UAVs

The autonomy and collaboration capabilities of offline UAVs are crucial for executing complex multi-UAV tasks with greater efficiency and effectiveness. Integrating game-theoretic methods and multi-agent systems plays a central role in achieving these capabilities. For example, game-theoretic learning frameworks enable dynamic, decentralized task planning, allowing UAVs to autonomously coordinate and allocate tasks efficiently, as demonstrated in multi-UAV inspection tasks [26,27]. Similarly, Multi-Agent Reinforcement Learning (MARL) addresses collaborative task execution challenges in UAV networks, focusing on energy efficiency and trajectory optimization to ensure task completion even in dynamic environments [28]. Distributed or decoupled collaborative autonomy frameworks (D2CAF) further support multi-agent task allocation solutions, enabling communication and task execution among physically disconnected agents [29].
Moreover, integrating ground and aerial robots in disaster response highlights the complementary capabilities of robotic systems, where UAVs provide rapid environmental mapping while ground robots conduct detailed tasks based on gathered data [30]. Autonomous collaborative decision-making systems, which incorporate threat assessment, task planning, and negotiation modules, enhance the capacity of UAV swarms to operate independently and make real-time decisions [31]. Together, these advancements underscore the importance of autonomy and collaboration in offline UAV operations, allowing UAVs to undertake complex tasks with minimal human intervention and maximize task efficiency through intelligent coordination and resource management.

2.4. Application of Blockchain Technology in UAVs

Blockchain technology is increasingly integrated into UAV systems to address challenges related to security, data integrity, and operational efficiency. One major application is enhancing the security and verifiability of UAV surveillance systems. By leveraging blockchain’s decentralized and tamper-resistant properties, UAVs can ensure data reliability and trustworthiness, with smart contracts managing data access and privacy [32]. In the context of Industry 5.0, blockchain frameworks are transforming UAV communication by providing secure and efficient channels essential for human–machine collaboration in industrial applications [33].
Blockchain also supports federated learning initiatives by transferring training tasks to local servers and using new consensus algorithms like Proof-of-Energy to manage UAV participation, thereby safeguarding data and protecting user privacy [34]. Additionally, IoT and blockchain integration improves UAV operational efficiency by increasing data transmission rates and reducing energy consumption [35]. Privacy-preserving blockchain authentication frameworks are under development to secure UAV operations by providing unique digital identities and processing authentication requests through smart contracts, enhancing resilience against unauthorized access and attacks [36].
In multi-UAV networks, blockchain-assisted zero-trust authentication schemes like BAZAM ensure continuous UAV identity verification, preventing data breaches and system failures [37]. Decentralized PKI frameworks, based on blockchain, eliminate single points of failure in UAV communication systems, improving the security and reliability of spatial crowdsourcing services [38]. For UAV swarms, dynamic consensus algorithms like DTPBFT enhance scalability and fault tolerance, enabling efficient management of large-scale UAV networks [39]. Lightweight blockchain solutions are also being developed for UAV ad hoc networks to support secure collaborative computation and efficient task allocation [40]. In smart agriculture, blockchain integration within UAV networks strengthens data integrity and confidentiality, ensuring secure communication and reducing the risk of unauthorized data access [5]. Overall, blockchain technology has proven to be essential for enhancing the security, efficiency, and reliability of UAV systems across various applications.

2.5. Reputation-Based Consensus Mechanism

The reputation mechanism in blockchain leverages the inherent characteristics of the technology—transparency, immutability, and traceability—to enhance trust in decentralized systems. Various models have been proposed, such as the intrinsically integrity-driven rating model, which uses economic mechanisms to incentivize honest behavior and address issues like fake ratings in peer-to-peer markets [41]. Reputation-aware consensus algorithms, including Reputation-Aware Randomized Consensus (RARC) and Proof of Reputation (PoR), have also been developed to improve the performance and security of blockchain networks by evaluating nodes based on their reputation scores [42,43,44]. The Lightweight Blockchain Reputation System (LIBRE) introduces a decentralized approach to assign reputation scores to UAVs based on peer feedback, ensuring fairness and auditability through blockchain technology [45]. Similarly, the Distributed Drone Reputation Management (DDRM) framework uses a dual-token system to enable verifiable service reviews, effectively combating reputation fraud and enhancing service reliability [46]. Traditional centralized reputation systems have been criticized for their limitations in dynamic environments, highlighting the need for decentralized solutions that can address the unique challenges of UAV networks [47]. Additionally, mechanisms that incentivize user participation based on reputation scores have been shown to improve overall network performance [48].

2.6. Smart Contract-Driven Task Allocation Strategy

Smart contracts play a critical role in enhancing task allocation across various domains by ensuring transparency, fairness, and efficiency. In distributed software engineering, smart contracts facilitate decentralized frameworks that allow developers to bid on tasks based on their expertise, improving collaboration and reducing documentation issues [49]. Similarly, in blockchain-based crowdsourcing, reverse auction mechanisms powered by smart contracts ensure fair task allocation while mitigating risks associated with centralized platforms [50,51]. In IoT environments, smart contracts enable runtime task verification, automate processes, and ensure secure access control among heterogeneous devices [52]. Additionally, in mobile edge computing, smart contracts create a trusted ecosystem for task offloading, rewarding honest participants, and penalizing misconduct, thus fostering collaboration among resource-constrained devices [53]. Existing smart contract-based task allocation algorithms exhibit varying performance in terms of efficiency and security, especially in decentralized environments like fog and cloud computing. For instance, the Particle Swarm Optimization (PSO) algorithm has demonstrated exceptional efficiency in task allocation, significantly reducing latency and enhancing resource utilization in fog computing scenarios [54]. In contrast, the Hybrid Genetic Algorithm with Simulated Annealing (GASA) addresses security threats by integrating data confidentiality into task allocation, showing improved convergence rates and network longevity [55]. Furthermore, machine learning-based methods in multi-cloud environments emphasize secure task allocation by employing Naive Bayes modules for attack detection, while optimizing performance metrics such as task span and cost [56].
Overall, while efficiency is often prioritized, the integration of security measures is essential for safeguarding data in smart contract applications. This underscores the need for algorithms that effectively balance both aspects [57]. In this paper, we propose a smart contract-based task allocation strategy. To highlight the advantages of our approach, we compare it with existing smart contract-based task allocation methods, specifically analyzing its improvements in task execution efficiency and offloading security, as shown in Table 2.

3. Blockchain-Based UAV Networks

This paper addresses the challenges of autonomous task execution and secure communication for UAV swarms operating in offline environments, focusing on two scenarios: one in which the entire UAV swarm loses connection with the ground station, and another where an individual UAV disconnects from the swarm. To tackle these issues, a blockchain-based network architecture for UAVs is proposed. This architecture integrates the Flying Ad Hoc Network (FANET) with a reputation-based consensus algorithm, enabling efficient data transmission and a reliable consensus mechanism. As a result, the UAV swarm gains improved autonomous collaboration and secure communication capabilities even in the absence of ground control. The proposed architecture integrates hardware and software layers to create a highly autonomous and secure UAV system by leveraging blockchain technology and smart contracts.
On the hardware level, each UAV is equipped with an advanced onboard computing unit that manages flight control, data processing, and blockchain operations. Each UAV also includes a wireless communication module supporting the FANET protocol, allowing ad hoc network connections between drones. Additionally, UAVs are outfitted with various sensors and actuators—including GPS, IMU, and cameras—to enable environmental awareness and task execution. An energy management system further supports sustained operation for high-power consumption tasks.
The system architecture, illustrated in Figure 1, comprises two main layers at the network level: the communication network layer and the blockchain network layer. In the communication network layer, the UAV swarm utilizes the FANET’s mesh-based multi-hop communication for direct inter-node communication and information sharing. This flexible topology allows for the network to sustain connectivity amidst frequent node additions or departures, which supports reliable information exchange for tasks in complex, dynamic environments.
On the blockchain network layer, the system integrates a distributed ledger, smart contract modules, and a reputation-based consensus mechanism. Each UAV node maintains a partial copy of the blockchain and utilizes smart contracts for automating task allocation, coordination strategies, and resource management. The reputation-based consensus algorithm is tightly integrated with the FANET, safeguarding data security and consistency throughout task distribution and execution. This decentralized design empowers the UAV swarm to maintain autonomous coordination and task scheduling via smart contracts, even in the absence of a ground control center.
To enhance collaborative capabilities in resource-limited and dynamic environments, the blockchain network architecture emphasizes efficient resource use and streamlined collaboration. Given the UAV nodes’ limited computational power and battery constraints, the blockchain system employs lightweight nodes that store only essential task-related data and block headers. The reputation-based consensus protocol improves efficiency by scoring nodes based on their resource status, reducing unnecessary communication load [58]. Data pruning techniques further reduce storage requirements by deleting non-essential historical data, retaining only critical information. These optimizations substantially decrease storage and computational overhead, enhancing overall task execution efficiency.

Smart Contract Mechanism Design

The smart contract execution mechanism is crucial for achieving autonomous collaboration within UAV swarms. UAV nodes initiate task execution according to preset consensus rules. To support autonomous collaboration across tasks, the smart contracts offer various templates designed for different mission types, including patrol, search and rescue, supply transport, and attack operations. For example, in search and rescue missions, the contract outlines the UAV’s area search patterns, target identification techniques, and coordinated rescue steps upon locating a target. Collaboration strategies also include contingency protocols for UAV disconnection or failure, ensuring mission continuity. Each smart contract template is designed as a minimal functional unit, which can be assembled into sets of contracts as needed. This modular approach supports inter-contract activation and invocation, enhancing both task flexibility and execution efficiency.
As shown in Figure 2, this paper adopts a smart contract deployment strategy that combines full replication and partial replication. In the full replication mode, all UAV nodes store essential smart contracts (e.g., Node 1) to ensure that any node can independently execute core tasks. In partial replication mode, certain contracts are stored only on selected nodes (e.g., Nodes 2, 3, and 4) based on each UAV’s resources and assigned roles, conserving storage space. Each smart contract template clearly specifies task objectives, resource requirements, execution procedures, and coordination strategies (see algorithm in Section 4.3).
In offline conditions, smart contract execution depends on the UAVs’ autonomous decision-making capabilities and the FANET. A FANET allows direct communication between UAVs, so even if some nodes are disconnected, other nodes can maintain network-wide connectivity through multi-hop communication. This environment supports the continued effectiveness of the reputation-based consensus algorithm (DVRC) [48], ensuring that smart contract execution results are consistently agreed upon across the network. The primary differences in mainstream blockchain-based UAV network architectures lie in the choice of consensus algorithms, with consensus latency being a critical issue in the communication process. Therefore, we compared the suitability of various consensus algorithms for UAV applications, as summarized in Table 3.
Moreover, smart contract execution is designed with integrated security and reliability features. During contract execution, UAVs use encryption and authentication mechanisms to ensure only authorized nodes can participate in specific tasks. The system’s redundancy and fault tolerance capabilities further enhance the stability of the UAV swarm, enabling it to withstand single or multiple node failures.
In Table 3, we compare several mainstream blockchain-based UAV network architectures, including PBFT, DPoS, and our proposed architecture, which combines reputation-based consensus (DVRC) with Flying Ad Hoc Networks (FANETs). The comparison focuses on the following key factors:
  • Adaptation to UAV Resource Limitations: UAVs typically have limited computational power and battery life. Our architecture adopts a lightweight, reputation-based consensus mechanism to reduce computational and communication overhead, thus extending the operational time of UAVs.
  • High Fault Tolerance: In offline environments, communication interruptions and node failures are common challenges. By combining the self-organizing capabilities of a FANET with the reputation mechanism, the architecture can quickly reassign tasks, ensuring that when a UAV disconnects or fails, the system remains stable and task continuity is maintained.
  • Support for Smart Contracts: Smart contracts play a key role in our architecture, automating task allocation, resource scheduling, and collaborative decision-making. This reduces the reliance on centralized control, enhancing the system’s autonomy and responsiveness.
  • Dynamic Adaptability: The dynamic nature of UAV swarms requires a highly adaptable network architecture. By leveraging the FANET’s multi-hop communication and flexible network topology, our system can dynamically adjust to the addition or removal of nodes, maintaining network connectivity and communication efficiency.

4. Design of Autonomous Collaborative Algorithms Based on Smart Contracts

Offline autonomous task execution by drone swarms in real-world applications involves addressing a range of complex requirements and challenges. Operating in highly dynamic and unpredictable environments, drone swarms must exhibit high levels of autonomy and collaboration, particularly when communication with ground control centers is unavailable. In these offline conditions, drones need to manage a variety of tasks effectively, including efficient task allocation, reliable data sharing, stable communication, and robust collaboration mechanisms. To meet these demands, this paper presents an autonomous collaboration algorithm that efficiently addresses task allocation, resource scheduling, and collaborative decision-making complexities. The algorithm is designed to reduce energy consumption, ensure efficient task execution, enhance swarm collaboration in complex environments, and minimize the computational load on smart contracts.
As illustrated in Figure 3, the autonomous collaboration algorithm includes three sub-algorithms, which operate in the following coordinated sequence:
  • Step 1: When tasks are registered and added to the task pool, the task allocation algorithm immediately assesses all available drone nodes based on resource status (e.g., battery level, current task load) and selects the highest-scoring node to execute the task.
  • Step 2: If the designated node fails during task execution, the resource scheduling algorithm reallocates the task to a suitable alternative node (Step 5).
  • Step 3: For tasks requiring multiple nodes, the collaborative decision-making algorithm selects an optimal group of nodes to execute the task jointly (Step 7).
  • Step 4: If any node in this group fails, the resource scheduling algorithm replaces it with a new node (Step 6) to maintain uninterrupted task execution (Step 7).
To implement this algorithm effectively, key performance metrics are defined for both drone nodes and task requirements, as shown in Table 4 and Table 5. The sets of metrics are as follows:
  • UAV Node Set: Let there be N UAV nodes, denoted as the set N = { n 1 , n 2 , , n N } .
  • Task Set: Let there be M tasks, denoted as the set T = { t 1 , t 2 , , t M } .

4.1. Task Allocation Algorithm

The task allocation algorithm initiates the autonomous collaboration process and is critical to efficient task execution within the UAV swarm. By scoring each node’s resource status, the algorithm identifies the most suitable node to execute a given task, optimizing resource utilization and aligning node selection with task requirements.
The task allocation algorithm operates as outlined in Figure 4:
  • Information Collection: Each UAV node collects its resource status information, while the smart contract identifies task requirements.
  • Resource Scoring: Each node’s metrics are normalized, and a scoring function calculates its resource status score.
  • Optimal Node Selection: Based on resource scores, an initial set of qualified UAV nodes is selected, from which the optimal node is chosen. To prevent overload, a dynamic load adjustment mechanism recalculates scores based on each node’s current load, balancing task allocation. The final optimal node is determined through an optimization model.
  • Task Assignment Execution: The optimal node is then assigned the task.
  • Task Allocation Consensus: Upon successful task allocation, a consensus is recorded on the blockchain to confirm the assignment’s validity and the node’s acceptance of the task.

4.1.1. Resource Status Scoring

This paper utilizes a reputation-based consensus algorithm to identify UAV nodes with high scores (indicating strong resource availability) for task execution. The consensus threshold can be adjusted to facilitate rapid selection of high-scoring nodes. A UAV node’s score is calculated using five key metrics: remaining energy, task load, computational power, communication bandwidth, and communication delay. Thus, nodes with higher scores indicate greater available resources.
As shown in Table 4, the scoring process consists of two stages. First, normalization adjusts for differences in units and value ranges across metrics. Then, a resource status scoring function, S i , evaluates each node’s suitability by computing a weighted sum of the normalized metrics:
S i = w 1 E i norm + w 2 L i norm + w 3 C i norm + w 4 B i norm + w 5 Δ T i norm
where the weight coefficients w k = { w 1 , w 2 , w 3 , w 4 , w 5 } satisfy:
k w k = 1 ,      w k 0
The weight coefficients can be dynamically adjusted based on task requirements:
  • For urgent tasks, increase w 2 to prioritize nodes with lower load.
  • For compute-intensive tasks, increase w 3 to prioritize nodes with higher computational power.
  • For tasks requiring high reliability, increase w 5 .

4.1.2. Optimal Node Selection

The smart contract selects the UAV node with the highest resource score to execute the task, provided it meets the task’s requirements. This method maximizes the efficient use of UAV resources. Once the task is assigned, a consensus is reached within the UAV swarm, ensuring consistent understanding among nodes and minimizing potential miscommunication during execution.
For a given task t j , the goal is to select a UAV that meets the task requirements. Specifically, we aim to find a node n i * within the feasible set N j feasible that maximizes the scoring function S i j . Thus, n i * is the node with the highest score S i j in the feasible set, defined as:
n i * = arg max n i N j feasible S i j
The feasible node set N j feasible , which meets the task requirements, is defined as:
N j feasible = n i E i E j req C i C j req B i B j req T i j est T j ddl
where, E j req , C j req , and B j req represent the minimum requirements for remaining energy, computational power, and communication bandwidth, respectively, to complete task t j . T i j est is the estimated time for node n i to complete the task, and T j ddl is the task deadline. The estimated completion time T i j est is calculated as:
T i j est = D i j V i + W j C i + Δ T i + f E i
where D i j V i denotes the estimated flight time for node n i to reach the task location, W j C i represents the estimated execution time for task t j , W j is the workload of t j , and f E i captures the effect of energy consumption on execution time.

4.1.3. Multi-Objective Constraints for Task Allocation

In multi-task, multi-node scenarios, task allocation becomes an optimization problem aimed at maximizing overall task execution utility. The utility function U is defined as the weighted sum of resource status scores and task priorities for all task–node combinations:
U = j = 1 M n i N j feasible x i j S i · P j · U j
where x i j is a decision variable, with x i j = 1 if node n i is assigned task t j , and x i j = 0 otherwise. Here, P j represents the priority of task t j , and U j represents its urgency.
To ensure feasible and efficient task allocation, the following constraints must be satisfied:
  • Unique Task Assignment: Each task t j is assigned to only one node n i .
  • Node Resource Limits: Node resource limits, including computational power, communication bandwidth, and remaining energy, must not be exceeded.
  • Task Deadline with Penalty: If the estimated completion time T i j est exceeds the task deadline T j ddl , a penalty is applied to the node’s score S i , reducing its likelihood of selection. This mechanism ensures timely completion of high-priority tasks.
  • Decision Variable Restriction: x i j is constrained to x i j { 0 , 1 } .
Constraints :   A : n i N j feasible x i j = 1 ,   t j T t j T x i j · C j req C i , n i N B : t j T x i j · B j req B i , n i N t j T x i j · E j req E i , n i N C : x i j · T i j est T j ddl , n i N , t j T D : x i j { 0 , 1 }
where C j req is the computational requirement of task t j , and C i is the available computational power of node n i ; B j req is the communication bandwidth requirement of task t j , and B i is the available bandwidth of node n i ; and E j req is the energy requirement of task t j , and E i is the remaining energy of node n i . The estimated completion time T i j est for node n i to execute task t j must meet the deadline T j ddl .
In summary, the optimization objective for task allocation is max x i j U . This process constitutes an Integer Linear Programming (ILP) problem, as the decision variable x i j is binary and both the objective function and constraints are linear. By incorporating task priority P j , urgency U j , and node resource status S i , the algorithm prioritizes high-priority, urgent tasks, ensuring they are allocated to the most suitable nodes.

4.2. Resource Scheduling Algorithm

The resource scheduling algorithm manages task execution dynamically. While tasks are initially assigned to specific nodes, a node’s resource status can change due to factors like rapid battery depletion, task load increases beyond capacity, or external changes (e.g., signal fluctuations). In such cases, the resource scheduling mechanism assesses real-time node status and reallocates resources as needed to maintain task continuity and stability.
As illustrated in Figure 5, the resource scheduling algorithm follows these steps:
  • Node Resource Change: When a node’s resource status changes, the system evaluates its ability to continue the task, triggering adjustments or reallocation if necessary.
  • System State Monitoring: Nodes continuously monitor their resource statuses E i , L i , C i , B i , Δ T i while the system periodically aggregates global parameters such as available node ratio ρ N , task density λ T , and averages of computational power C ¯ , bandwidth B ¯ , and delay Δ T ¯ .
  • Dynamic Threshold Update: Using current system parameters, dynamic thresholds E th and L th are calculated.
  • Node Status Assessment: Nodes compare their resource status with dynamic thresholds. If a node’s status falls below the threshold, task reassignment is triggered; otherwise, the node continues executing the task.
  • Task Reallocation: For nodes that do not meet requirements ( δ i 1 ), the system identifies pending tasks T i pending and estimates remaining workload for reassignment.
  • New Node Selection: Pending tasks return to the task pool, where a new node n k is selected based on resource status score S k and optimization objectives.
  • Task Migration and Execution: The original node n i transfers task data to the new node n k , which begins execution. The system updates task allocation consensus.
  • System Status Update: Resource statuses and task allocations are updated, preparing for the next monitoring and adjustment cycle.

4.2.1. Global Dynamic Threshold Setting

To enable flexible resource management, dynamic thresholding based on the DVRC consensus algorithm adjusts thresholds according to the system’s overall state. When task density is high or available nodes are limited, thresholds are lowered to expand the pool of nodes eligible for tasks. Conversely, when task density is low or node availability is high, thresholds are raised to ensure optimal allocation. This dynamic threshold mechanism improves resource scheduling efficiency and reduces computational overhead.
Key parameters used for dynamic threshold setting include available node ratio ρ N and task density λ T :
ρ N = N avail N total   and   λ T = M pending N avail
where N avail represents available UAV nodes (those not overloaded and with sufficient resources), N total is the total number of nodes, and M pending is the number of pending tasks, reflecting resource demand relative to availability.
For adaptive management, thresholds for key resources, such as battery level E i and task load L i , adjust dynamically based on system parameters. Average communication delay Δ T ¯ , computational power C ¯ , and bandwidth B ¯ are also considered for more accurate UAV node selection.
C ¯ = 1 N avail n i N avail C i B ¯ = 1 N avail n i N avail B i Δ T ¯ = 1 N avail n i N avail Δ T i
where, C i , B i , and Δ T i represent the computational power, bandwidth, and delay metrics of node n i , respectively.
The battery threshold E th is defined as a function of ρ N and λ T :
E th = E min + w 1 ( 1 ρ N ) + w 2 λ T + w 3 ( 1 C ¯ ) + w 4 ( 1 B ¯ ) + w 5 ( 1 Δ T ¯ ) · ( E max E min )
where E min and E max are the minimum and maximum battery levels, respectively, and w 1 , w 2 , w 3 , w 4 , w 5 0 are weight coefficients reflecting the influence of available node ratio and task density.
Similarly, the task load threshold L th is defined as:
L th = L max w 1 ( 1 ρ N ) + w 2 λ T + w 3 ( 1 C ¯ ) + w 4 ( 1 B ¯ ) + w 5 ( 1 Δ T ¯ ) · ( L max L min )
where L min and L max are the minimum and maximum task loads, respectively, with w 1 , w 2 , w 3 , w 4 , w 5 0 as weight coefficients for the task load threshold.
Threshold Adjustment Explanation:
  • When ρ N decreases (indicating fewer available nodes) or λ T increases, E th is lowered, allowing nodes with lower battery levels to participate and expanding the resource pool.
  • An increase in L th permits nodes with higher loads to continue accepting tasks, meeting high-demand scenarios.
This adaptive thresholding approach enhances resource allocation and optimizes UAV task management in dynamic environments.

4.2.2. Dynamic Task Adjustment Algorithm

During task execution, nodes continuously monitor their resource status. When a node’s resources fall below specified thresholds, a smart contract automatically triggers task reallocation, redirecting incomplete tasks to other eligible nodes. This process ensures continuity and system robustness, preventing task failures due to resource depletion at individual nodes.
To determine if UAV nodes meet threshold requirements, a composite status function (including battery status and task load) is defined for each node n i :
Battery Status Indicator δ E i :
δ E i = 1 , if   E i E th 0 , if   E i > E th
Task Load Status Indicator δ L i :
δ L i = 1 , if   L i L th 0 , if   L i > L th
Composite Status Indicator δ i :
δ i = δ E i + δ L i
If δ i 1 , the resource status of node n i falls below the threshold, activating the dynamic task adjustment mechanism. The task adjustment strategy proceeds with the following steps:
  • Identify Uncompleted Tasks: Define T i as the set of tasks currently assigned to node n i . Identify the subset of uncompleted tasks, T i pending .
  • Estimate Remaining Workload: For each uncompleted task t j T i pending , calculate the remaining workload W i j rem : W i j rem = W j total W i j completed , where W j total is the total workload of task t j , and W i j completed is the workload completed by node n i .
  • Trigger Task Reallocation: Reassign each uncompleted task t j T i pending to the task pool, making it available for other qualified nodes.
  • Select New Node: Based on the resource status score S k j , select the highest-scoring eligible node n k for task t j .
In reallocating tasks, it is crucial to minimize delay and resource consumption. When transferring task status and intermediate data from node n i to n k , the estimated task completion time T k j est for n k combines task execution and data transfer times:
min n k T k j est = min n k D i j data B i k + W i j rem C k
where D i j data is the data volume (task status and intermediate results) to transfer, B i k the communication bandwidth between n i and n k , W i j rem the remaining workload of task t j , and C k the computational power of n k .
Similarly, to minimize resource consumption during task migration, the total energy consumption E total includes energy for data transfer and task execution:
min n k E total = min n k P i k comm · D i j data B i k + P k comp · W i j rem C k
where P i k comm is the communication power, P k comp the computational power consumption rate of the new node, D i j data B i k the data transfer energy, and W i j rem C k the task execution energy.
In practical applications, multiple objectives are optimized simultaneously to select an appropriate new node n k for task reassignment. A comprehensive objective function, incorporating resource status score S k (see Section 4.3.1), is formed with each objective combined in a weighted form:
min n k U ( n k ) = min n k λ 1 T k j est + λ 2 E total λ 3 S k
where λ 1 , λ 2 , λ 3 0 are weight coefficients indicating the importance of each objective. This composite objective seeks to minimize time and energy consumption while maximizing the resource status score, achieving optimal task reassignment under task allocation constraints (see Equation (7)).

4.3. Collaborative Decision-Making Algorithm

Collaborative decision-making is essential for effective multi-node coordination during task execution, especially in complex environments where multiple nodes must work together. While the task allocation phase assigns initial nodes and establishes mechanisms to handle potential failures, dynamic conditions often require multi-node collaboration. This study employs a multi-attribute decision-making (MADM) approach to identify optimal task plans and node combinations, as outlined below:
  • Information Collection: Nodes report their attribute metrics and reputation scores, while the smart contract provides task requirements and candidate plans.
  • Decision Matrix Construction: Attribute metrics for each node are collected, forming a decision matrix for each plan.
  • Weighted Standardization of the Decision Matrix: The decision matrix is standardized, then weighted according to attribute importance.
  • Identifying Ideal Solutions: Calculate the positive ideal solution (PIS) and negative ideal solution (NIS) for each attribute.
  • Relative Closeness Calculation: Compute each node’s relative closeness to the ideal solutions, resulting in support scores for each plan.
  • Node Selection with Constraints: Based on support scores and constraints (e.g., resource limits, connectivity), select suitable nodes for task execution.
  • Optimal Plan Selection: Calculate each plan’s total score and select the plan with the highest score.
  • Task Execution: Nodes execute tasks according to the assigned plan.
  • Feedback and Reputation Update: Upon task completion, update each node’s reputation score.

4.3.1. Problem Definition

The goal of collaborative decision-making is to select the optimal plan o j * and the participating node set N j for each task t j , maximizing task execution efficiency. The UAV node set N = { n 1 , n 2 , , n N } contains N nodes, and the task set T = { t 1 , t 2 , , t M } contains M tasks. Each task t j has a set of candidate plans O j = { o j 1 , o j 2 , , o j L } .

4.3.2. Constructing the Initial Decision Matrix

For each candidate plan o j l of task t j , node performance is evaluated based on its attributes, forming the decision matrix X j l , where rows represent nodes n i and columns represent K attribute metrics. The matrix is structured as follows:
X j l = x 11 x 12 x 1 K x 21 x 22 x 2 K x N 1 x N 2 x N K
where each element x i k represents the original value of the k-th attribute metric for node n i .

4.3.3. Weighted Standardization of the Decision Matrix

To eliminate measurement scale differences, the decision matrix is standardized using a cost-based normalization method. The standardized decision matrix R j l is:
R j l = r 11 r 12 r 1 K r 21 r 22 r 2 K r N 1 r N 2 r N K
where r i k is the standardized value of the k-th attribute for node n i .
Next, the standardized decision matrix R j l is multiplied by the weight vector w = { w 1 , w 2 , , w k } , where weights are calculated based on attribute dispersion, resulting in the weighted standardized decision matrix V j l :
V j l = v 11 v 12 v 1 K v 21 v 22 v 2 K v N 1 v N 2 v N K
The determination of the weight coefficient w k primarily depends on the specific requirements and the importance of the task attributes, as follows:
  • Urgent Tasks: When the urgency level U j of a task is high, the weight w 2 for task load L i is increased. This prioritizes UAV nodes with lower current loads, ensuring that urgent tasks are quickly assigned and executed.
  • Compute-Intensive Tasks: For tasks requiring higher computational capacity C j r e q , the weight w 3 for computational capacity C i is increased. This prioritizes UAV nodes with greater computational power, ensuring efficient task execution.
  • High-Reliability Tasks: For tasks demanding high reliability, the weight w 5 for communication delay T i is increased. This ensures the selection of nodes with lower communication delays and better communication performance, guaranteeing stable and reliable data transmission during task execution.
Therefore, the relationship of the three matrices is:
  • X j l : Initial decision matrix containing the original attribute metrics of nodes.
  • R j l : Standardized decision matrix derived from X j l .
  • V j l : Weighted standardized matrix, obtained by multiplying r i k with weight w k .

4.3.4. Calculating Positive and Negative Ideal Solutions

The ideal solutions identify the best and worst values for each attribute.
Positive Ideal Solution A + (Best Case): Composed of the maximum values for each attribute:
A + = v 1 + , v 2 + , , v K + ,   v k + = min i v i k
Negative Ideal Solution A (Worst Case): Composed of the minimum values for each attribute:
A = v 1 , v 2 , , v K ,   v k = max i v i k

4.3.5. Calculating Node Relative Closeness

For each node n i , calculate the Euclidean distances to the positive ideal solution S i + and the negative ideal solution S i . The support score V i l for candidate plan o j l is defined as:
S i + = k = 1 K v i k v k + 2 ,     S i = k = 1 K v i k v k 2
V i l = S i S i + + S i ,     0 V i l 1
A larger V i l indicates closer proximity to the positive ideal solution, signifying stronger support for the plan.

4.3.6. Node Selection and Constraints

Select nodes based on support scores and constraints to participate in task execution. Rank nodes by their relative closeness C i , and select those with higher scores, ensuring the task’s required number of collaborative nodes is met: K j min N j K j max .
Verify that selected nodes meet resource constraints and communication connectivity requirements. Define a connectivity matrix A i k , where A i k = 1 if nodes n i and n k can communicate; otherwise, A i k = 0 . A cooperation variable y i j k represents multi-node cooperation relationships:
y i j k x i j , y i j k x k j y i j k A i k , y i j k x i j + x k j + A i k 2
where y i j k { 0 , 1 } signifies whether nodes n i and n k are cooperating in task t j , with x i j = 1 indicating node selection and connectivity.

4.3.7. Optimal Plan Selection

Calculate each candidate plan’s score by combining support scores V i l and weighted reputation scores S i for all nodes:
V l = i = 1 N W i V i l
The objective of collaborative decision-making is to select the highest-scoring plan as the optimal choice o j * :
o j * = arg max o j l O j V l
In the optimal plan, each selected node must meet resource and task requirements, ensuring no node is overloaded and that all selected nodes are communicatively connected.
By solving this optimization model, the system identifies the optimal set of nodes for task collaboration. If a selected node encounters a failure, the resource scheduling algorithm reallocates the task to maintain continuity, followed by feedback and reputation updates.
Finally, the collaborative decision-making algorithm can be expressed as the following optimization problem:
Choose   the   best   solution :   o * = arg max o l O V l Where   V l = i = 1 N W i V i l Node   support :   V i l = S i S i + + S i Voting   weight :   W i = R i j = 1 N R j Node   selection   satisfies : K j min N j K j max ,       j E i E j req + E reserve ,       i C i C j req ,       i B i B j req ,       i y i j k x i j ,     y i j k x k j ,     y i j k A i k ,     y i j k x i j + x k j + A i k 2 x i j , y i j k { 0 , 1 } ,     i , k , j
In Table 6, we compare other algorithms based on smart contracts, with the analysis as follows:
  • Execution Efficiency: The algorithm proposed in this paper uses a reputation-based consensus mechanism to reduce consensus time, making it suitable for real-time UAV operations. In Airspace Contract, PoW has low efficiency, while PoS shows higher efficiency but also a higher error rate. AerialBC improves PBFT, reducing consensus delays.
  • Resource Consumption: The algorithm in this paper is designed for resource-constrained UAVs, with low computational and energy consumption. Airspace Contract’s PoW consumes a lot of resources, while PoS has lower consumption but is not optimized for UAVs. AerialBC employs a lightweight blockchain solution with moderate resource consumption.
  • Communication Overhead: The algorithm in this paper has low communication overhead, requiring minimal message exchanges. Airspace Contract’s PoW incurs high communication overhead, while PoS has lower overhead. AerialBC reduces the number of messages by 76% through its improved PBFT algorithm.
  • Fault Tolerance: The algorithm in this paper offers high fault tolerance, suitable for offline and dynamic networks. Airspace Contract shows moderate fault tolerance, relying on network connectivity and stake distribution. AerialBC tolerates up to one-third malicious nodes, providing relatively high fault tolerance.
  • Security: The algorithm in this paper provides good security but requires protections against attacks on the reputation system. Airspace Contract’s PoW has high security but low efficiency, while PoS poses potential centralization risks. AerialBC enhances security through trust evaluation.
  • Scalability: The algorithm in this paper has moderate scalability, and is suitable for small-to-medium-scale networks. Airspace Contract’s PoW has poor scalability, while PoS performs better but may lead to centralization. AerialBC’s performance may degrade in ultra-large-scale networks.
  • Applicability: The algorithm in this paper is particularly suitable for resource-constrained UAV swarms requiring high fault tolerance and offline operations. Airspace Contract is suitable for airspace allocation scenarios. AerialBC fits collaborative computing in UAV self-organizing networks (UANETs).

5. Comprehensive Overview of Contributions

This paper addresses the critical challenges of autonomous task execution and secure communication for UAV swarms operating in offline environments. Building upon the foundational network architecture presented in Section 3 and the autonomous collaborative algorithms detailed in Section 4, this section provides a high-level synthesis of the key contributions of our research. These contributions are structured to systematically resolve the identified challenges, enhancing the coordination efficiency, system stability, and security of UAV swarms in dynamic and resource-constrained settings.
  • Ensuring Autonomous Task Continuity and Effective Execution in Offline Conditions: UAV swarms frequently encounter scenarios where they lose connection with ground control centers or experience individual UAV disconnections, disrupting task execution and collaboration. To address this, we propose a blockchain-based UAV network architecture that integrates Flying Ad Hoc Networks (FANETs) with a reputation-based Distributed Verification and Reputation Consensus (DVRC) algorithm. This architecture ensures that UAV swarms can maintain autonomous collaboration and secure communication without reliance on ground control by facilitating efficient data transmission and reliable consensus mechanisms. Consequently, UAV swarms achieve sustained task execution and robust communication even in the absence of external control.
  • Facilitating Autonomous Collaboration through Smart Contracts: Effective collaboration within UAV swarms requires automated and flexible task allocation, coordination strategies, and resource management to minimize human intervention and prevent allocation errors. To this end, we design a smart contract mechanism optimized for various task types, including patrol, search and rescue, supply transport, and attack operations. By employing both full and partial replication strategies, the storage and execution of smart contracts are made more efficient, reducing storage space and enhancing execution performance. This mechanism automates task distribution, improving response speed and accuracy, and ensures that tasks are allocated to the most suitable UAV nodes based on their resource status and reputation.
  • Optimizing Resource Utilization and Enhancing Fault Tolerance: UAVs operate under stringent resource constraints, including limited computational power and battery life, which can impede efficient task execution and system stability. To address this, we introduce lightweight nodes and data pruning techniques to reduce the computational and storage overhead of the blockchain system. Combined with the FANET’s self-organizing capabilities and the DVRC reputation mechanism, this approach significantly enhances resource utilization and system fault tolerance. The system remains resilient to node failures and network interruptions, ensuring continuous task execution and maintaining overall system stability in dynamic and resource-constrained environments.
  • Developing Autonomous Collaborative Algorithms for Efficient Task Management: Offline autonomous task execution involves complex requirements such as efficient task allocation, reliable data sharing, stable communication, and robust collaboration mechanisms, which are challenging to manage in dynamic environments. In Section 4, we present the design and implementation of a smart contract-based autonomous collaboration algorithm that encompasses efficient task allocation, dynamic resource scheduling, and collaborative decision-making. By evaluating UAV node resources and optimizing task assignments through a reputation mechanism, the algorithm enhances task execution efficiency and accuracy. Additionally, the resource scheduling algorithm dynamically adjusts task assignments in response to real-time resource changes, while the collaborative decision-making algorithm ensures optimal multi-node coordination for secure and efficient task execution.
  • Automating and Decentralizing Task Management with Enhanced Security: Manual task management and centralized control in UAV networks can lead to inefficiencies and vulnerabilities, particularly in securing data transmission and preventing unauthorized access. To mitigate these issues, we integrate smart contracts to automate and decentralize task allocation, resource scheduling, and collaborative decision-making. The smart contract templates are optimized for different task types and deployed using a combination of full and partial replication strategies to balance flexibility and storage efficiency. Furthermore, security features such as encryption and authentication mechanisms are incorporated to prevent unauthorized node participation and ensure data integrity and confidentiality. This integration enhances the overall security and reliability of the UAV network, safeguarding against data tampering and unauthorized access.
Coordination Between Network Architecture and Collaborative Algorithms. Section 3 and Section 4 are intricately linked, with Section 3 laying the foundational blockchain-based network architecture that addresses the overarching challenges of autonomous task execution and secure communication. Section 4 builds upon this architecture by introducing specific algorithms that operationalize the architecture’s capabilities. The task allocation, resource scheduling, and collaborative decision-making algorithms detailed in Section 4 are designed to work seamlessly within the blockchain-based network framework established in Section 3. This coordinated approach ensures that the UAV swarm can efficiently manage tasks, adapt to dynamic resource conditions, and maintain robust collaboration and communication even in the absence of centralized control.
Through the integration of the FANET and DVRC in the network architecture and the development of autonomous collaborative algorithms, this research effectively addresses the key challenges of autonomous task execution and secure communication for UAV swarms in offline and resource-constrained environments. The smart contract-driven mechanisms enhance task management automation and decentralization, while optimized resource utilization and fault tolerance ensure system stability and efficiency. These contributions collectively advance the capabilities of UAV swarms, demonstrating significant improvements in coordination efficiency, system reliability, and security, thereby showcasing their broad applicability and high practical value in real-world UAV operations.

6. Simulation and Analysis

6.1. Algorithm Simulation

To evaluate the autonomous collaboration algorithm based on smart contracts, we deployed the algorithm within a blockchain-based smart contract environment. The simulation setup includes 10 UAV nodes and 5 tasks. Additional parameters are generated randomly within specified ranges, all of which comply with predefined constraints. This setup simulates real-time fluctuations in UAV node status and potential failures, as shown in Table 7.
As shown in Figure 6, the task allocation algorithm assigns tasks based on each node’s reputation score S i , giving priority to tasks with higher urgency and importance. In the simulation, node n 9 , with the highest reputation score ( S i = 0.8 ), is assigned to task t 4 , which has a priority P j and urgency U j of 3. This approach effectively directs high-priority tasks to nodes with the best reputation scores.
Similarly, as shown in Figure 7, the resource scheduling algorithm continuously monitors each node’s resource status after tasks are initially assigned. If a node becomes unable to continue due to a failure or lack of resources, the scheduling algorithm reassigns the task to a more suitable node. For instance, as node n 1 ’s reputation score S k declines and its task load L i increases, it reaches the minimum resource threshold needed for task t 5 . This triggers the resource scheduling algorithm to reassign the task to node n 3 , which meets the resource constraints and successfully takes over the task during time steps [1–3].
The collaborative decision-making algorithm is illustrated in Figure 8. When tasks require collaboration from multiple UAVs, the algorithm dynamically forms a collaborative node set based on the current task requirements. To simulate the random occurrence of collaborative tasks, random numbers control their generation in the simulation; thus, only tasks t 2 and t 5 trigger collaboration. As time progresses, the number of collaborative nodes for task t 5 increases. Notably, node n 4 participates in tasks t 1 , t 2 , and t 5 . Due to variations in task priority and urgency, the resource scheduling algorithm continues to assign node n 4 to different tasks as it completes each one, showing that node n 4 has ample resources and remains within its operational threshold.
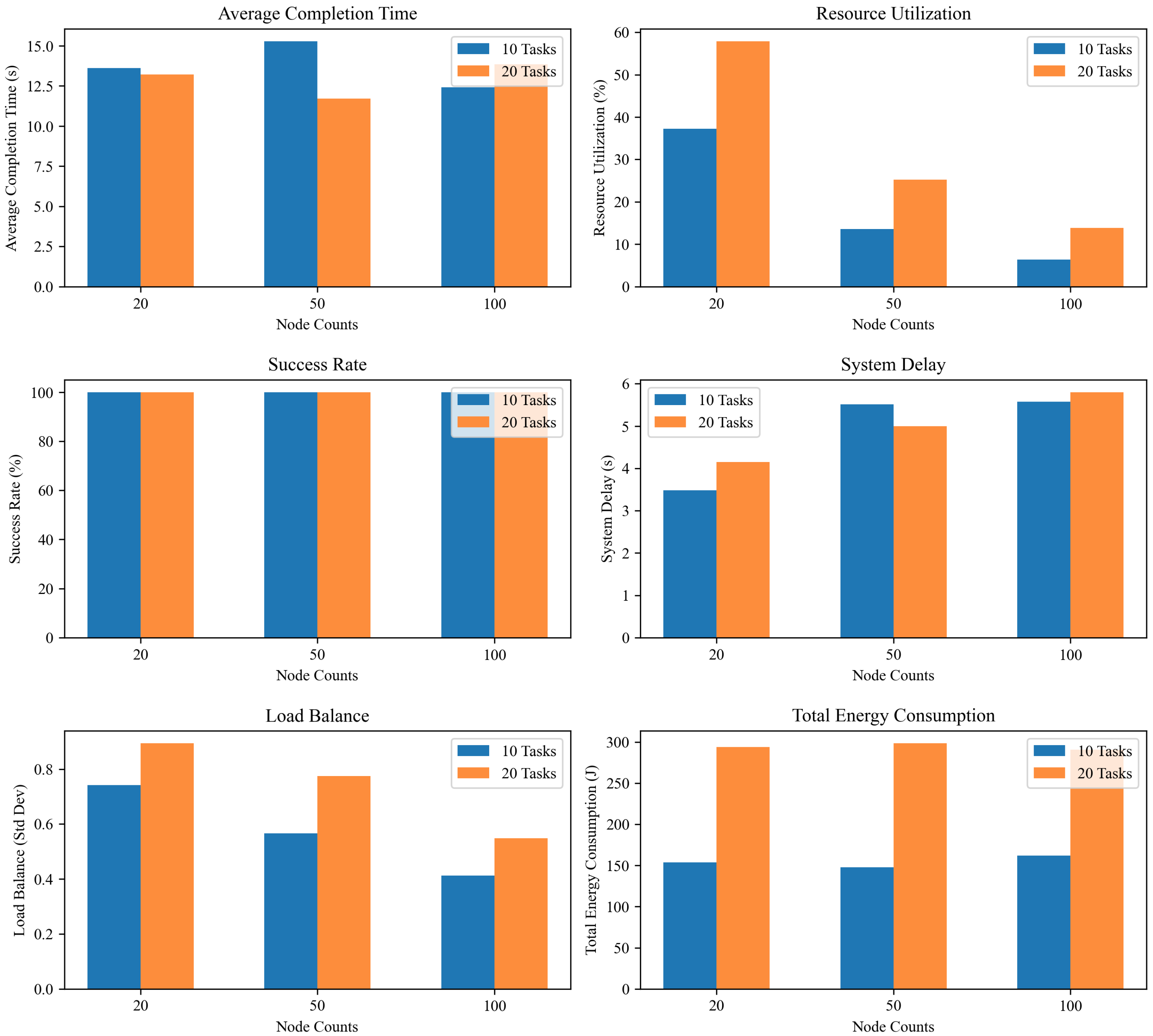
The above described the collaborative process involving 10 UAVs and 5 tasks. To validate the simulation for large-scale UAV networks, we increased the number of nodes (20, 50, 100) and tasks (10, 20) in the experiments to evaluate the algorithm’s performance in large-scale scenarios. The evaluation metrics included average task completion time, resource utilization, task success rate, system latency, load balancing, and total energy consumption.
Figure 9 illustrates the performance evaluation of the UAV swarm under varying node counts (20, 50, 100) and task quantities (10, 20). The six subplots showcase trends in key metrics: average task completion time, resource utilization, task success rate, system latency, load balancing, and total energy consumption.
  • Average Task Completion Time (Top Left): Increasing the number of tasks reduces the average task completion time, suggesting more efficient resource utilization during scheduling. However, once the number of nodes reaches 100, the completion time stabilizes, indicating that the system’s scheduling capacity is saturated.
  • Resource Utilization (Top Right): Resource utilization is highest with 20 nodes, especially with 20 tasks, where it peaks near 60%. As node count increases, utilization declines, highlighting potential resource redundancy and greater load imbalance in larger networks.
  • Task Success Rate (Middle Left): The task success rate remains consistently close to 100%, demonstrating the robustness and reliability of the task allocation algorithm in offline scenarios, regardless of node or task count.
  • System Latency (Middle Right): System latency increases slightly with node count and is consistently higher with 20 tasks compared to 10. This indicates that higher task loads modestly impact scheduling efficiency.
  • Load Balancing (Bottom Left): Load balancing, measured by the standard deviation of node loads, is least effective with 20 nodes, showing the largest disparities in resource distribution. As the node count grows to 100, balancing improves, suggesting that more nodes help distribute workload evenly.
  • Total Energy Consumption (Bottom Right): Energy consumption rises with task count but shows minimal variation across different node counts, indicating that task quantity is the primary driver of energy consumption.
In conclusion, these experimental results confirm the effectiveness and robustness of the proposed blockchain-based smart contract mechanism for offline task collaboration. The mechanism achieves a high task success rate while balancing system latency and optimizing resource utilization during task scheduling and load management.

6.2. Algorithm Performance Analysis

To evaluate the reliability of the autonomous collaboration algorithm in task allocation, resource scheduling, and collaborative decision-making, simulations were conducted with 20, 50, and 100 UAV nodes performing 25 tasks. Performance metrics, including task completion rate, remaining UAV energy, and smart contract response time, were measured to assess task execution efficiency, collaboration, and overall system reliability.
As shown in Figure 10, the task completion rate increases significantly with a higher number of nodes. The steep curve illustrates the algorithm’s efficiency: fewer inflection points reflect smoother algorithm performance. For example, with 100 nodes, the task completion rate quickly reaches 100%, while with 50 nodes, it achieves 100% after a slightly longer duration. In the case of 20 nodes, the completion rate rose more slowly, reaching only 80% over the same time period. This indicates that the task allocation and resource scheduling load exceeds the number of UAVs indicated by the smaller number of nodes.
Figure 11 shows that nodes in smaller UAV swarms experience a more rapid decrease in remaining energy during task execution. With an increased number of nodes, the average remaining energy per node is higher, suggesting that a larger node count helps extend the operating time of each node. For heavy task loads, a higher node configuration is recommended to reduce energy consumption per node and extend the system’s overall task duration. These results demonstrate that the autonomous collaboration algorithm distributes task load more effectively with a larger node count, improving energy efficiency and task sustainability across the system.
Figure 12 also illustrates that upon triggering the smart contract, the collaborative algorithm initializes within 0–0.5 s. With 100 nodes, the initial delay reaches 24 ms, which is relatively high due to the large node count. After reaching a stable state, response times for all configurations fluctuate around 5 ms, indicating the monitoring phase for UAV status. Overall, while initial load fluctuations may impact the smart contract response time, it stabilizes quickly to maintain a low response time, ensuring the system’s real-time responsiveness and efficiency.

6.3. Virtual Simulation and Performance Analysis

To verify the effectiveness of the proposed blockchain-based UAV network architecture and autonomous collaboration algorithms, we built a comprehensive simulation platform. This platform utilizes Microsoft’s AirSim + UE simulation software along with the NS3 simulation tool for FANET networking, enabling the modeling of UAV swarm flight, communication, and task execution in complex environments. In this study, we created a 3D simulation environment in AirSim featuring a maritime defense platform to simulate UAV flight behavior under various obstacle conditions. Autonomous navigation, task execution, and collaboration functions were achieved using task-specific plugins and scripts.
For network communication, we enhanced the NS3 simulation tool to support data transmission and inter-node communication based on a reputation-based consensus algorithm. This integrated setup effectively utilizes the FANET’s communication features to improve data synchronization and consensus efficiency, closely replicating UAV communication processes.
In terms of blockchain and smart contract implementation, we employed the lightweight blockchain framework FISCO BCOS, streamlining the blockchain data structure to retain only essential task information and consensus mechanisms. Smart contracts were designed as modular templates that can be customized for different task types. Finally, we conducted performance testing through virtual simulations, recording metrics such as the relationship between task completion rate and bandwidth/packet loss rate, as well as between consensus time and network latency. The performance of the centralized control system was compared with that of the distributed collaborative system, focusing on task completion rate and network stability.
Figure 13 illustrates the integration of the NS3-based communication simulation with the blockchain network for the UAV swarm. Under normal conditions, the nodes are fully interconnected using a mesh topology, with the blockchain embedded in the communication network and operating on a reputation-based consensus algorithm. When Node 0 initiates a consensus request to other nodes, Node 5, for instance, records the consensus data upon receipt and subsequently sends a verification message to confirm that other nodes have recorded the same consensus data, thereby achieving network-wide blockchain consensus. In the event of disconnection from the ground station or similar failures, the UAV swarm restricts the FANET, blocking external signals and executing only the predefined tasks and algorithms embedded in the smart contracts.
Figure 14 presents the AirSim+UE virtual simulation platform. To validate the effectiveness of the proposed autonomous collaboration algorithm, an offline scenario was defined, simulating the loss of ground control. In the event of an attack on the UAV swarm, smart contracts are automatically activated to assess the situation and, based on the autonomous collaboration algorithm, assign tasks to coordinate a phased counterattack. Throughout this process, performance tests were conducted on the virtual simulation platform to evaluate the algorithm’s real-world effectiveness.
Figure 15 illustrates the system’s task completion rate across different bandwidth conditions, showing an increase in completion rate with higher bandwidth. At lower bandwidths (e.g., 1 Mbps), the task completion rate is approximately 90%, while at 10 Mbps or higher, the rate nears 99%. Bandwidth is a critical factor influencing communication efficiency and data synchronization speed within the UAV swarm. Increased bandwidth allows for larger data transmission volumes, effectively minimizing communication bottlenecks. In this system, efficient communication is essential for blockchain data synchronization and smart contract execution. When bandwidth is ample, data exchanges between nodes become smoother, thereby improving the efficiency of task allocation and resource scheduling, which leads to a higher task completion rate.
Figure 16 shows the impact of network latency on consensus time. As latency increases from 10 ms to 200 ms, consensus time rises slightly but remains relatively stable. At a latency of 10 ms, the average consensus time is around 1 s, while at 200 ms, it is approximately 1.5 s. Network latency affects message transmission between nodes, which in turn influences the efficiency of the consensus algorithm. However, the coupling of the reputation-based consensus algorithm with the FANET’s communication mechanism provides a level of latency tolerance within the system. This enables nodes to exchange critical information efficiently, even under high-latency conditions, thereby minimizing the negative impact of latency on the consensus process. Consequently, consensus time increases only slightly, and overall system performance remains stable.
Figure 17 illustrates the system’s task completion rate under different packet loss rates. The results indicate a slight decline in task completion rate from 99% to 95% as the packet loss rate increases from 0% to 20%. Even with a high packet loss rate of 20%, the task completion rate remains at a relatively high level. High packet loss can lead to unreliable data transmission, impacting task allocation, status updates, and consensus achievement. However, our system mitigates this issue through several mechanisms:
  • Data Redundancy and Retransmission: The communication protocol includes data redundancy and an Automatic Repeat reQuest (ARQ) mechanism, ensuring that critical task data can still be successfully received despite packet loss.
  • Fault-Tolerant Consensus Algorithm: The reputation-based consensus algorithm is designed with fault tolerance, enabling consensus even when data from some nodes are missing.
  • Multipath Communication in FANET: The FANET supports multi-hop and multipath communication, allowing data to reroute through alternative paths if a specific communication link fails.
Based on the architecture described above, we designed a virtual simulation environment. Table 8 outlines the virtual simulation environment, while Table 9 details the simulation parameter settings.
As shown in Figure 18, the radar chart normalizes eight key evaluation indicators to compare the performance of the DVRC-based smart contract method, the PBFT-based smart contract method, and the traditional PSO algorithm:
  • Task Execution Efficiency: The DVRC-based smart contract method achieves the highest task execution efficiency (4.75), followed by the traditional PSO algorithm (4.50), while the PBFT-based smart contract method performs slightly lower (4.25).
  • Communication Overhead: The DVRC-based method demonstrates the lowest communication overhead (5.0), outperforming the traditional PSO algorithm (2.5) and the PBFT-based method (0). Higher values indicate lower communication overhead.
  • Fault Tolerance: The DVRC-based method exhibits strong fault tolerance (3), the PBFT-based method is moderate (2), and the traditional PSO algorithm shows the lowest fault tolerance (1).
  • Security: The DVRC-based method excels in security (3), whereas the PBFT-based method is moderate (2) and the traditional PSO algorithm ranks lower (1).
  • Resource Consumption: Both the DVRC-based and PBFT-based methods achieve low resource consumption (2), while the traditional PSO algorithm achieves the highest resource efficiency (3). Higher values indicate lower resource consumption.
  • System Stability: The DVRC-based method provides moderate system stability (3), whereas both the PBFT-based method and the traditional PSO algorithm exhibit lower stability (2).
  • Scalability: The traditional PSO algorithm performs best in scalability (3), the DVRC-based method is moderate (2), and the PBFT-based method shows poor scalability (1).
  • Applicability: The DVRC-based method is particularly suited for resource-constrained and offline UAV swarms (3), the PBFT-based method is better for highly mobile and dynamic UAV networks (2), and the traditional PSO algorithm is ideal for multi-cloud environments and dynamic task allocation scenarios (2).
However, the DVRC-based method still has room for improvement in scalability, particularly when applied to large-scale networks, where its performance remains at a moderate level. Future research could focus on optimizing the algorithm to enhance its adaptability in ultra-large-scale networks. By incorporating comparative experiments with the PBFT-based blockchain method and the traditional PSO algorithm, and using radar charts to visually present the performance differences across key metrics, we have clearly demonstrated the advantages of the DVRC-based smart contract method in terms of task execution efficiency, communication overhead, fault tolerance, security, resource consumption, and system stability.

7. Discussion

This paper introduces an offline collaborative decision-making framework for UAV swarms based on blockchain and smart contracts, showcasing its potential to significantly enhance task execution efficiency and data security in offline conditions. Compared to traditional centralized control systems, this approach excels in offline scenarios. Traditional methods rely on ground control centers, resulting in substantial performance degradation when communication is interrupted. In contrast, the integration of blockchain and smart contracts in this framework removes the dependence on ground control, allowing UAV swarms to maintain autonomous decision-making and task coordination in offline environments. This leads to higher task completion rates and improves the system’s robustness and security.
Current research primarily focuses on applying blockchain for data exchange and basic task scheduling, with limited investigation into complex multi-UAV collaborative decision-making in offline settings. This study fills that gap, offering a new perspective on task execution and communication security for offline UAV swarm operations. The results underscore the extensive applicability of blockchain and smart contracts in enhancing UAV swarm autonomy and intelligence, particularly in scenarios requiring high levels of autonomy and security, such as rescue, reconnaissance, and logistics. Furthermore, with its lightweight design and dynamic resource management strategies, this framework is highly scalable, making it suitable for large-scale UAV swarm applications.

8. Future Work

In future work, in order to further improve the performance of the blockchain-based offline drone collaboration framework, we will focus on studying the automated methods for generating and optimizing smart contracts, the topological control of drones during flight, and the construction of a physical drone platform (combining real drone equipment and a blockchain lightweight framework) for actual testing, so as to more comprehensively evaluate the applicability and feasibility of the framework in real scenarios.

9. Conclusions

In the context of complex task execution by UAV swarms, existing ground-control-based coordination mechanisms are insufficient for offline environments due to factors like environmental variability and communication interruptions. To address this, we propose an offline UAV collaborative decision-making framework based on blockchain smart contracts. This framework enables UAV swarms to autonomously allocate tasks, collaborate, and secure data communication even in offline states.
The main contributions and innovations of this work are summarized as follows:
  • Blockchain-Based Distributed Communication Network: By integrating blockchain, we developed a distributed, tamper-proof communication network that ensures task data security in offline environments, enhancing UAV information sharing and coordination during task execution.
  • Smart Contract-Driven Collaborative Algorithm: A smart contract-based collaboration algorithm was designed, encompassing task allocation, resource scheduling, and collaborative decision-making. Smart contracts enable UAVs to autonomously execute predefined collaboration rules offline, facilitating efficient task distribution and resource utilization.
  • Algorithm Performance Validation: Simulation experiments validated the proposed algorithm’s effectiveness and reliability. Results across various task scenarios show that the algorithm effectively increases task completion rates as the number of UAV nodes grows, extends node endurance, and maintains low smart contract response times.

Author Contributions

L.Z.: Conceptualization, methodology, writing, project administration, funding acquisition; L.H.: formal analysis, investigation, resources, data curation; K.Z.: visualization, supervision; Y.W.: software, validation. All authors have read and agreed to the published version of the manuscript.

Funding

This work was partly funded by the Municipal Government of Quzhou (No. 2023D029 and 2023D045), the Quzhou Science and Technology Bureau Soft Science Project (No. 2023r006), the Chenguang Plan of the Shanghai Municipal Education Commission (No. 21CGB08), and the Science and Technology Innovation Plan of the Shanghai Science and Technology Commission (No. 23YF1431200).

Institutional Review Board Statement

Not applicable.

Informed Consent Statement

Not applicable.

Data Availability Statement

Dataset available on request from the authors.

Conflicts of Interest

The authors declare no conflicts of interest.

References

  1. Mohsan, S.A.H.; Khan, M.A.; Noor, F.; Ullah, I.; Alsharif, M.H. Towards the unmanned aerial vehicles (UAVs): A comprehensive review. Drones 2022, 6, 147. [Google Scholar] [CrossRef]
  2. Sebbane, Y.B. Intelligent Autonomy of UAVs: Advanced Missions and Future Use; CRC Press: Boca Raton, FL, USA, 2018. [Google Scholar]
  3. Li, J.; Yue, Q.; Huang, Z.; Xie, X.; Yang, Q. Vulnerability Analysis of UAV Swarm Network with Emergency Tasks. Electronics 2024, 13, 2005. [Google Scholar] [CrossRef]
  4. Alladi, T.; Chamola, V.; Sahu, N.; Guizani, M. Applications of blockchain in unmanned aerial vehicles: A review. Veh. Commun. 2020, 23, 100249. [Google Scholar] [CrossRef]
  5. Peddibhotla, U.; Kumar, R.; Sobin, C.; Kumar, P.; Javeed, D.; Islam, N. Securing Agricultural Communications: Blockchain Integration in UAV Networks for Smart Farming. In Proceedings of the 2024 IEEE International Conference on Communications Workshops (ICC Workshops), Denver, CO, USA, 9–13 June 2024; IEEE: Piscataway, NJ, USA, 2024; pp. 1443–1449. [Google Scholar]
  6. Telli, K.; Kraa, O.; Himeur, Y.; Ouamane, A.; Boumehraz, M.; Atalla, S.; Mansoor, W. A comprehensive review of recent research trends on unmanned aerial vehicles (UAVs). Systems 2023, 11, 400. [Google Scholar] [CrossRef]
  7. Javaid, S.; Saeed, N.; Qadir, Z.; Fahim, H.; He, B.; Song, H.; Bilal, M. Communication and control in collaborative UAVs: Recent advances and future trends. IEEE Trans. Intell. Transp. Syst. 2023, 24, 5719–5739. [Google Scholar] [CrossRef]
  8. Javed, F.; Khan, H.Z.; Anjum, R. Communication capacity maximization in drone swarms. Drone Syst. Appl. 2023, 11, 1–12. [Google Scholar] [CrossRef]
  9. Vassiliou, M.S.; Alberts, D.S.; Shah, S. Mission success: Assured communications and agile organizations. In Proceedings of the 2016 IEEE International Carnahan Conference on Security Technology (ICCST), Orlando, FL, USA, 24–27 October 2016; IEEE: Piscataway, NJ, USA, 2016; pp. 1–7. [Google Scholar]
  10. Degbor, D.; Bedi, A.; Zhang, S.; Chabot, E. Communication-Facilitated Coordination in Agent Team Rescue Mission. In Proceedings of the 2023 Congress in Computer Science, Computer Engineering, & Applied Computing (CSCE), Las Vegas, NV, USA, 24–27 July 2023; IEEE: Piscataway, NJ, USA, 2023; pp. 19–22. [Google Scholar]
  11. Zadeh, R.B.; Zaslavsky, A.; Loke, S.W.; MahmoudZadeh, S. A multiagent mission coordination system for continuous situational awareness of bushfires. IEEE Trans. Autom. Sci. Eng. 2022, 20, 1275–1291. [Google Scholar] [CrossRef]
  12. Thasnim, J.; ElGhanam, E.; Hassan, M.S.; Osman, A. Towards Efficient Collaborative Delivery Solutions Using Drones and Ground Transportation: A Review. In Proceedings of the 2024 International Telecommunications Conference (ITC-Egypt), Cairo, Egypt, 22–25 July 2024; IEEE: Piscataway, NJ, USA, 2024; pp. 727–732. [Google Scholar]
  13. Pasandideh, F.; Costa, J.P.J.d.; Kunst, R.; Hardjawana, W.; de Freitas, E.P. A systematic literature review of flying ad hoc networks: State-of-the-art, challenges, and perspectives. J. Field Robot. 2023, 40, 955–979. [Google Scholar] [CrossRef]
  14. Nguyen, H.; Nguyen, M.; Truong, L.H.; Le, T.; Tran, T. UAV communication networks: Benefits, research challenges and opening issues. ICSES Trans. Comput. Netw. Commun. 2021, 7, 30–35. [Google Scholar]
  15. Hassija, V.; Chamola, V.; Agrawal, A.; Goyal, A.; Luong, N.C.; Niyato, D.; Yu, F.R.; Guizani, M. Fast, reliable, and secure drone communication: A comprehensive survey. IEEE Commun. Surv. Tutor. 2021, 23, 2802–2832. [Google Scholar] [CrossRef]
  16. Koulouris, C.; Dimitrios, P.; Al-Darraji, I.; Tsaramirsis, G.; Khadidos, A.O.; Khadidos, A.O.; Papageorgas, P. A Survey Study and Comparison of Drones Communication Systems. In International Conference on Flexible Electronics for Electric Vehicles; Springer: Berlin/Heidelberg, Germany, 2022; pp. 351–361. [Google Scholar]
  17. Chai, S.; Yang, Z.; Huang, J.; Li, X.; Zhao, Y.; Zhou, D. Study on Cooperative Air-to-Ground Surveillance Planning and Controlling for Unmanned Aerial Vehicles. In Proceedings of the 2022 22nd International Conference on Control, Automation and Systems (ICCAS), Jeju, Republic of Korea, 27 November–1 December 2022; IEEE: Piscataway, NJ, USA, 2022; pp. 905–910. [Google Scholar]
  18. Haas, Z.J.; Zheng, Z. Engineering a Network in the Sky. In Proceedings of the 2021 International Conference on Information Networking (ICOIN), Jeju Island, Republic of Korea, 13–16 January 2021; IEEE: Piscataway, NJ, USA, 2021; pp. 237–242. [Google Scholar]
  19. Abdallaoui, S.; Ikaouassen, H.; Kribèche, A.; Chaibet, A.; Aglzim, E.H. Advancing autonomous vehicle control systems: An in-depth overview of decision-making and manoeuvre execution state of the art. J. Eng. 2023, 2023, e12333. [Google Scholar] [CrossRef]
  20. Andruseac, G.C.; Tătulea, L.A. Centralized control or distributed control—Do we need a paradigm shift? In Proceedings of the International Scientific Conference Strategies XXI, Bucharest, Romania, 28–30 June 2022; Carol I National Defence University Publishing House: Bucharest, Romania, 2022; Volume 18, pp. 162–170. [Google Scholar]
  21. Schmid, S. Distributed Agent-Based Control in Dynamic Environments. In Proceedings of the 2023 IEEE 43rd International Conference on Distributed Computing Systems (ICDCS), Hong Kong, China, 18–21 July 2023; IEEE: Piscataway, NJ, USA, 2023; pp. 969–970. [Google Scholar]
  22. Saravanos, A.D.; Aoyama, Y.; Zhu, H.; Theodorou, E.A. Distributed differential dynamic programming architectures for large-scale multiagent control. IEEE Trans. Robot. 2023, 39, 4387–4407. [Google Scholar] [CrossRef]
  23. Miyazaki, R.; YASUTA, Y.; Xiao, H.; Tomita, K.; Kamimura, A. Decentralized Multi-UAV Formation Control and Navigation over a Self-Organizing Coordination Network. In Proceedings of the 2023 IEEE/SICE International Symposium on System Integration (SII), Atlanta, GA, USA, 17–20 January 2023; IEEE: Piscataway, NJ, USA, 2023; pp. 1–6. [Google Scholar]
  24. Wu, W.; Zhang, X.; Miao, Y. Starling-behavior-inspired flocking control of fixed-wing unmanned aerial vehicle swarm in complex environments with dynamic obstacles. Biomimetics 2022, 7, 214. [Google Scholar] [CrossRef]
  25. Puzicha, A.; Buchholz, P. Dynamic Mission Control for Decentralized Mobile Robot Swarms. In Proceedings of the 2022 IEEE International Symposium on Safety, Security, and Rescue Robotics (SSRR), Sevilla, Spain, 8–10 November 2022; IEEE: Piscataway, NJ, USA, 2022; pp. 257–263. [Google Scholar]
  26. Pascarella, D.; Castrillo, V.; Iudice, I.; Pigliasco, G.; Vozella, A. Game-theoretic learning for the coordination of drone teams in autonomous cooperative inspection. In Journal of Physics: Conference Series; IOP Publishing: Bristol, UK, 2024; Volume 2716, p. 012058. [Google Scholar]
  27. Castrillo, V.U.; Pascarella, D.; Pigliasco, G.; Iudice, I.; Vozella, A. Learning-in-Games Approach for the Mission Planning of Autonomous Multi-Drone Spatio-Temporal Sensing. IEEE Access 2024, 12, 77586–77604. [Google Scholar] [CrossRef]
  28. Li, Y.; Li, C.; Chen, J.; Roinou, C. Energy-Aware Multi-Agent Reinforcement Learning for Collaborative Execution in Mission-Oriented Drone Networks. In Proceedings of the 2022 International Conference on Computer Communications and Networks (ICCCN), Honolulu, HI, USA, 25–28 July 2022; IEEE: Piscataway, NJ, USA, 2022; pp. 1–9. [Google Scholar]
  29. Furfaro, T.C. A distributed framework for embedded collaborative autonomy. In Proceedings of the OCEANS 2018 MTS/IEEE Charleston, Charleston, SC, USA, 22–25 October 2018; IEEE: Piscataway, NJ, USA, 2018; pp. 1–6. [Google Scholar]
  30. Rajapakshe, S.; Wickramasinghe, D.; Gurusinghe, S.; Ishtaweera, D.; Silva, B.; Jayasekara, P.; Panitz, N.; Flick, P.; Kottege, N. Collaborative Ground-Aerial Multi-Robot System for Disaster Response Missions with a Low-Cost Drone Add-On for Off-the-Shelf Drones. In Proceedings of the 2023 IEEE International Conference on Autonomous Robot Systems and Competitions (ICARSC), Tomar, Portugal, 26–27 April 2023; IEEE: Piscataway, NJ, USA, 2023; pp. 75–80. [Google Scholar]
  31. Wang, W.; Huang, B.; Wu, Y. Design of a Multi-unmanned Aerial Vehicle Cooperative Hunting System Based on MADDPG. In International Conference on Man-Machine-Environment System Engineering; Springer: Berlin/Heidelberg, Germany, 2024; pp. 480–486. [Google Scholar]
  32. Arshad, U.; Faheem, Y.; Shaheen, R. Futuristic Blockchain-based Secure and Verifiable Drone Surveillance System: Chain in the Sky. IPSI Trans. Internet Res. 2024. [Google Scholar] [CrossRef]
  33. Gowda, V.D.; Kauser, S.H.; Shaik, N.; Prasad, K.; Bhardwaj, R. Advancing Drone Communication Frameworks with Blockchain in Industry 5.0 Applications. In Drone Applications for Industry 5.0; IGI Global: Hershey, PA, USA, 2024; pp. 111–129. [Google Scholar]
  34. Jing, J.; Yang, Y.; Li, M.; Li, B.; Zhang, J.; Ma, J. Blockchain-based federal learning program for drone safety. In Proceedings of the International Conference on Computer Network Security and Software Engineering (CNSSE 2024), Sanya, China, 6 June 2024; SPIE, 2024; Volume 13175, pp. 421–430. [Google Scholar]
  35. Mehta, S.; Kundra, D. Improving Drone Operational Efficiency through IoT-Blockchain Integration. In Proceedings of the 2023 4th International Conference on Intelligent Technologies (CONIT), Bangalore, India, 21–23 June 2024; IEEE: Piscataway, NJ, USA, 2024; pp. 1–5. [Google Scholar]
  36. Saroopa, P.; Poongodi, K.; Saranya, V.; Subaash, S. Securing Drones with Blockchain-Enabled Privacy-Preserving Authentication. In Proceedings of the 2024 International Conference on Knowledge Engineering and Communication Systems (ICKECS), Chikkaballapur, India, 18–19 April 2024; IEEE: Piscataway, NJ, USA, 2024; Volume 1, pp. 1–6. [Google Scholar]
  37. Xie, M.; Chang, Z.; Alfarraj, O.; Yu, K.; Chen, T.; Li, H. BAZAM: A Blockchain-Assisted Zero-Trust Authentication in Multi-UAV Wireless Networks. arXiv 2024, arXiv:2407.00630. [Google Scholar]
  38. Akram, J.; Anaissi, A. Decentralized pki framework for data integrity in spatial crowdsourcing drone services. In Proceedings of the 2024 IEEE International Conference on Web Services (ICWS), Shenzhen, China, 7–13 July 2024; IEEE: Piscataway, NJ, USA, 2024; pp. 643–653. [Google Scholar]
  39. Han, P.; Wu, X.; Sui, A. DTPBFT: A dynamic and highly trusted blockchain consensus algorithm for UAV swarm. Comput. Netw. 2024, 250, 110602. [Google Scholar] [CrossRef]
  40. Xiong, R.; Xiao, Q.; Wang, Z.; Xu, Z.; Shan, F. Leveraging lightweight blockchain for secure collaborative computing in UAV Ad-Hoc Networks. Comput. Netw. 2024, 251, 110612. [Google Scholar] [CrossRef]
  41. Wen, H.; Sun, S.; Huang, T.; Xiao, D. An intrinsic integrity-driven rating model for a sustainable reputation system. Expert Syst. Appl. 2024, 249, 123804. [Google Scholar] [CrossRef]
  42. Zhang, J.; Sun, Y.; Guo, D.; Luo, L.; Li, L.; Nian, Q. A Reputation Awareness Randomization Consensus Mechanism in Blockchain Systems. IEEE Internet Things J. 2024, 11, 32745–32758. [Google Scholar] [CrossRef]
  43. Zhang, J.; Sun, Y.; Zhang, Z.; Ren, W.; Luo, L. A Reputation-Aware Randomization Consensus Algorithm for Performance Optimization in Blockchain Systems. In Proceedings of the 2024 27th International Conference on Computer Supported Cooperative Work in Design (CSCWD), Tianjin, China, 8–10 May 2024; IEEE: Piscataway, NJ, USA, 2024; pp. 1615–1620. [Google Scholar]
  44. Zhang, X. Application of Blockchain Consensus Algorithm Based on Reputation Mechanism in Logistics Cloud Platform. In Proceedings of the 2023 3rd International Signal Processing, Communications and Engineering Management Conference (ISPCEM), Montreal, QC, Canada, 25–27 November 2023; IEEE: Piscataway, NJ, USA, 2023; pp. 587–592. [Google Scholar]
  45. Ogunbunmi, S.; Hatmai, M.; Xu, R.; Chen, Y.; Blasch, E.; Ardiles-Cruz, E.; Aved, A.; Chen, G. A lightweight reputation system for uav networks. In Security and Privacy in Cyber-Physical Systems and Smart Vehicles, Proceedings of the First EAI International Conference, SmartSP 2023, Chicago, IL, USA, 12–13 October 2023; Springer: Berlin/Heidelberg, Germany, 2023; pp. 114–129. [Google Scholar]
  46. Akram, J.; Anaissi, A. Ddrm: Distributed drone reputation management for trust and reliability in crowdsourced drone services. In Proceedings of the 2024 IEEE International Conference on Web Services (ICWS), Shenzhen, China, 7–13 July 2024; IEEE: Piscataway, NJ, USA, 2024; pp. 921–931. [Google Scholar]
  47. Ogunbunmi, S.; Chen, Y.; Blasch, E.; Chen, G. A Survey on Reputation Systems for UAV Networks. Drones 2024, 8, 253. [Google Scholar] [CrossRef]
  48. Zhang, L.; Hang, L.; Zu, K.; Wang, Y.; Yang, K. Dynamic Vehicle Reputation Consensus: Enhancing IoV Communication with a Blockchain Algorithm. IEEE Trans. Veh. Technol. 2024, 1–20. [Google Scholar] [CrossRef]
  49. Gupta, C.; Gupta, V. A decentralized framework for managing task allocation in distributed software engineering. Appl. Sci. 2021, 11, 10633. [Google Scholar] [CrossRef]
  50. Pang, X.; Guo, D.; Wang, Z.; Sun, P.; Zhang, L. Towards fair and efficient task allocation in blockchain-based crowdsourcing. CCF Trans. Netw. 2020, 3, 193–204. [Google Scholar] [CrossRef]
  51. Lu, F.; Jiang, R.; Bi, H.; Gao, Z. Order Distribution and Routing Optimization for Takeout Delivery under Drone–Rider Joint Delivery Mode. J. Theor. Appl. Electron. Commer. Res. 2024, 19, 774–796. [Google Scholar] [CrossRef]
  52. Hang, L.; Kim, D.H. Reliable task management based on a smart contract for runtime verification of sensing and actuating tasks in IoT environments. Sensors 2020, 20, 1207. [Google Scholar] [CrossRef] [PubMed]
  53. Singh, R.; Chowdhury, D.R.; Nandi, S.; Nandi, S.K. ATOM: A Decentralized Task Offloading Framework for Mobile Edge Computing through Blockchain and Smart Contracts. In Proceedings of the 2023 IEEE International Conference on Metaverse Computing, Networking and Applications (MetaCom), Kyoto, Japan, 26–28 June 2023; IEEE: Piscataway, NJ, USA, 2023; pp. 408–412. [Google Scholar]
  54. Jadhav, A.; Mini, S. Algorithms for Task Allocation in Fog Computing. In Proceedings of the 2024 2nd World Conference on Communication & Computing (WCONF), Raipur, India, 12–14 July 2024; IEEE: Piscataway, NJ, USA, 2024; pp. 1–6. [Google Scholar]
  55. Yu, W.; Huang, Y.; Yang, Y.; Garcia-Ortiz, A. Hybrid Genetic Algorithm Combining Simulated Annealing for Task Allocation with Data Security. In Proceedings of the 2023 19th International Conference on Distributed Computing in Smart Systems and the Internet of Things (DCOSS-IoT), Pafos, Cyprus, 19–21 June 2023; IEEE: Piscataway, NJ, USA, 2023; pp. 134–141. [Google Scholar]
  56. Patil, B.; Ket, S. Machine learning based secure and efficient task allocation in multi-cloud. Concurr. Comput. Pract. Exp. 2023, 35, e7848. [Google Scholar] [CrossRef]
  57. Alshahrani, N.M.; Kiah, M.; Zaidan, B.; Alamoodi, A.H.; Saif, A. A review of smart contract blockchain based on multi-criteria analysis: Challenges and motivations. arXiv 2023, arXiv:2302.08496. [Google Scholar] [CrossRef]
  58. Sarfaraz, A.; Chakrabortty, R.K.; Essam, D.L. Reputation based proof of cooperation: An efficient and scalable consensus algorithm for supply chain applications. J. Ambient. Intell. Humaniz. Comput. 2023, 14, 7795–7811. [Google Scholar] [CrossRef]
  59. Zhang, Y.; Wang, W.; Shi, F. Reputation-based Raft-Poa layered consensus protocol converging UAV network. Comput. Netw. 2024, 240, 110170. [Google Scholar] [CrossRef]
  60. Liao, S.; Wu, J.; Li, J.; Bashir, A.K.; Yang, W. Securing collaborative environment monitoring in smart cities using blockchain enabled software-defined internet of drones. IEEE Internet Things Mag. 2021, 4, 12–18. [Google Scholar] [CrossRef]
  61. Song, M.; Li, C.; Ye, J.; Gong, X.; Luo, Y. Efficient consensus algorithm based on improved DPoS in UAV-assisted mobile edge computing. Comput. Commun. 2023, 207, 86–99. [Google Scholar] [CrossRef]
  62. Hashemi, S.M.; Botez, R.M.; Ghazi, G. Blockchain PoS and PoW consensus algorithms for airspace management application to the UAS-S4 Ehécatl. Algorithms 2023, 16, 472. [Google Scholar] [CrossRef]
Figure 1. Offline UAV Network Architecture.
Figure 1. Offline UAV Network Architecture.
Drones 08 00781 g001
Figure 2. Smart Contract Deployment Methods.
Figure 2. Smart Contract Deployment Methods.
Drones 08 00781 g002
Figure 3. The Collaborative Process of Autonomous Collaborative Algorithms.
Figure 3. The Collaborative Process of Autonomous Collaborative Algorithms.
Drones 08 00781 g003
Figure 4. Design of the Task Allocation Algorithm.
Figure 4. Design of the Task Allocation Algorithm.
Drones 08 00781 g004
Figure 5. Resource Scheduling Algorithm Process.
Figure 5. Resource Scheduling Algorithm Process.
Drones 08 00781 g005
Figure 6. Simulation of task allocation algorithm.
Figure 6. Simulation of task allocation algorithm.
Drones 08 00781 g006
Figure 7. Resource Scheduling Algorithm Simulation.
Figure 7. Resource Scheduling Algorithm Simulation.
Drones 08 00781 g007
Figure 8. Collaborative Decision-Making Algorithm Simulation.
Figure 8. Collaborative Decision-Making Algorithm Simulation.
Drones 08 00781 g008
Figure 9. Six Performance Indicators of Collaborative Decision-making Algorithms.
Figure 9. Six Performance Indicators of Collaborative Decision-making Algorithms.
Drones 08 00781 g009
Figure 10. Task Completion Rate over Time for Different Node Counts.
Figure 10. Task Completion Rate over Time for Different Node Counts.
Drones 08 00781 g010
Figure 11. NodePower Utilization over Time for Different Counts.
Figure 11. NodePower Utilization over Time for Different Counts.
Drones 08 00781 g011
Figure 12. Smart Contract Response Time over Time for Different Node Counts.
Figure 12. Smart Contract Response Time over Time for Different Node Counts.
Drones 08 00781 g012
Figure 13. Drone Blockchain Communication Simulation.
Figure 13. Drone Blockchain Communication Simulation.
Drones 08 00781 g013
Figure 14. UAV Virtual Simulation Platform Based on AirSim.
Figure 14. UAV Virtual Simulation Platform Based on AirSim.
Drones 08 00781 g014
Figure 15. Relationship Between Task Completion Rate and Bandwidth.
Figure 15. Relationship Between Task Completion Rate and Bandwidth.
Drones 08 00781 g015
Figure 16. The Relationship Between Consensus Time and Network Latency.
Figure 16. The Relationship Between Consensus Time and Network Latency.
Drones 08 00781 g016
Figure 17. Relationship Between Task Completion Rate and Packet Loss Rate.
Figure 17. Relationship Between Task Completion Rate and Packet Loss Rate.
Drones 08 00781 g017
Figure 18. Radar Chart Comparing with Other Methods.
Figure 18. Radar Chart Comparing with Other Methods.
Drones 08 00781 g018
Table 1. Drone Network Comparison.
Table 1. Drone Network Comparison.
CharacteristicMesh NetworkFANETMANETIntegrated Reputation Consensus (FANET/MANET)
Self-organization CapabilityHighHighHighHigh
Multi-hop CommunicationSupportedSupportedSupportedHigh
Node TopologyStatic or slow-changingHighly dynamicModerate dynamicsFANET High
Latency RequirementsModerateLow-latencyLow-to-moderateFANET High
Energy ConstraintsUnrestrictedBattery-limitedRestrictedModerate
Application ScenariosHome, urbanMilitary, disaster, monitoringMilitary, disaster, transportFANET High
Table 2. Comparison with Existing Smart Contract Task Allocation Methods.
Table 2. Comparison with Existing Smart Contract Task Allocation Methods.
Evaluation IndicatorsThis Article’s AlgorithmPSO AlgorithmGASA Algorithm
Task Execution EfficiencySmart contracts automate task allocation, reduce manual intervention, and optimize decisions using a reputation mechanism.Highly efficient in specific environments but limited in dynamic networks.Offers fast convergence but overall efficiency depends on implementation specifics
Offload SecurityReputation-based consensus identifies malicious nodes, ensuring data integrity and confidentiality.Focus on attack detection, with security relying on model accuracy.Enhances security via data confidentiality but may lack adaptability in dynamic environments.
Table 3. Comparison Chart of Blockchain-Based UAV Network Architectures.
Table 3. Comparison Chart of Blockchain-Based UAV Network Architectures.
Algorithm TypeConsensus MechanismCommunication EfficiencyFault ToleranceResource ConsumptionApplicable Scenarios
AerialBC [40]PBFT [59]MediumHighMediumHighly mobile and dynamic UANET
SD-IoD [60]DPoS [61]MediumMediumMediumCross-vendor collaboration and interoperability in smart cities
This PaperDVRC [48]HighHighHighFast consensus, Low latency
Table 4. Resource Status Metrics for Each UAV Node n i .
Table 4. Resource Status Metrics for Each UAV Node n i .
MetricDescriptionNormalized
E i UAV Remaining Energy E i norm
L i UAV Task Load L i norm
C i UAV Computational Power C i norm
B i UAV Communication Bandwidth B i norm
Δ T i UAV Communication Delay Δ T i norm
Table 5. Task Requirements for Each Metric t j .
Table 5. Task Requirements for Each Metric t j .
MetricTask DescriptionRange
P j Task Priority P min , P max
U j Task Urgency U min , U max
C j req Required Computational Power-
B j req Task Required Bandwidth-
E j req Task Required Energy-
T j ddl Task Deadline-
Table 6. Comparison of Collaborative Algorithms Based on Smart Contracts.
Table 6. Comparison of Collaborative Algorithms Based on Smart Contracts.
Evaluation IndicatorsThis Article’s Algorithm (DVRC) [48]Airspace Contract (PoW/PoS-Based) [62]AerialBC (Trust-Enhanced PBFT) [40]
Execution EfficiencyHighLow (PoW), High (PoS)High
Resource ConsumptionLowHigh (PoW), Low (PoS)Medium
Communication OverheadLowHigh (PoW), Low (PoS)Low
Fault ToleranceHighMediumHigh
SecurityGoodHigh (PoW), Risk (PoS)High
ScalabilityMediumPoor (PoW), Good (PoS)Limited
ApplicabilityResource-constrained, Offline drone groupsAirspace allocationUANET collaborative computing
Table 7. Simulation Parameters for UAV Nodes and Tasks.
Table 7. Simulation Parameters for UAV Nodes and Tasks.
Metric E i L i C i B i P j U j C j req B j req E j req
Parameter Range[0, 100][0, 50][1, 5][0, 20][1, 5][1, 5][1, 5][0, 10][0, 20]
Table 8. Experimental Environment and Parameters.
Table 8. Experimental Environment and Parameters.
EnvironmentDescription
OSWindows 10 64-bit
Processori7-10700
Memory32G
Graphics ProcessorRTX 3070 Ti
Simulation SoftwareAirSim + UE + NS3
Table 9. Experimental Parameters.
Table 9. Experimental Parameters.
ParameterDescription
Number of Drone Nodes50
Number of Tasks100
Mission TypesAttack Operations
Communication Range500 m
Data Transmission Rate10 Mbps
Power100 units
Computing Power50 units
Bandwidth20 units
Simulation Time1000 s
Disclaimer/Publisher’s Note: The statements, opinions and data contained in all publications are solely those of the individual author(s) and contributor(s) and not of MDPI and/or the editor(s). MDPI and/or the editor(s) disclaim responsibility for any injury to people or property resulting from any ideas, methods, instructions or products referred to in the content.

Share and Cite

MDPI and ACS Style

Zhang, L.; Hang, L.; Zu, K.; Wang, Y. A Smart Contract-Based Algorithm for Offline UAV Task Collaboration: A New Solution for Managing Communication Interruptions. Drones 2024, 8, 781. https://doi.org/10.3390/drones8120781

AMA Style

Zhang L, Hang L, Zu K, Wang Y. A Smart Contract-Based Algorithm for Offline UAV Task Collaboration: A New Solution for Managing Communication Interruptions. Drones. 2024; 8(12):781. https://doi.org/10.3390/drones8120781

Chicago/Turabian Style

Zhang, Linchao, Lei Hang, Keke Zu, and Yi Wang. 2024. "A Smart Contract-Based Algorithm for Offline UAV Task Collaboration: A New Solution for Managing Communication Interruptions" Drones 8, no. 12: 781. https://doi.org/10.3390/drones8120781

APA Style

Zhang, L., Hang, L., Zu, K., & Wang, Y. (2024). A Smart Contract-Based Algorithm for Offline UAV Task Collaboration: A New Solution for Managing Communication Interruptions. Drones, 8(12), 781. https://doi.org/10.3390/drones8120781

Article Metrics

Back to TopTop