Next Article in Journal
Optimized Autonomous Drone Navigation Using Double Deep Q-Learning for Enhanced Real-Time 3D Image Capture
Previous Article in Journal
Research on Cooperative Arrival and Energy Consumption Optimization Strategies of UAV Formations
 
 
Font Type:
Arial Georgia Verdana
Font Size:
Aa Aa Aa
Line Spacing:
Column Width:
Background:
Article

Synthetic Dataset Generation for Optimizing Multimodal Drone Delivery Systems

by
Diyar Altinses
1,*,
David Orlando Salazar Torres
1,
Asrat Mekonnen Gobachew
2,
Stefan Lier
2 and
Andreas Schwung
1
1
Department of Automation Technology and Learning Systems, South Westphalia University of Applied Sciences, 59494 Soest, Germany
2
Department of Logistics and Supply Chain Management, South Westphalia University of Applied Sciences, 59872 Meschede, Germany
*
Author to whom correspondence should be addressed.
Drones 2024, 8(12), 724; https://doi.org/10.3390/drones8120724
Submission received: 5 November 2024 / Revised: 27 November 2024 / Accepted: 29 November 2024 / Published: 30 November 2024

Abstract

Street delivery faces significant challenges due to outdated road infrastructure, which was not designed to handle current vehicle volumes, leading to congestion and inefficiencies, especially in last-mile delivery. Integrating drones into the delivery system offers a promising solution by bypassing congested roads, thereby enhancing delivery speed and reducing infrastructure strain. However, optimizing this multimodal delivery system is complex and data-driven, with real-world data often being costly and restricted. To address this, we propose a synthetic dataset generator that creates diverse and realistic delivery scenarios, incorporating environmental variables, customer profiles, and vehicle characteristics. The key contribution of our work is the development of a dynamic generator for multiple optimization problems with diverse complexities or even combinations of optimization problems. This generator allows for the incorporation of real-world factors such as traffic congestion and synthetically generated factors such as wind conditions and communication constraints, as well as others. The primary objective is to establish a foundation for creating benchmark scenarios that enable the comparison of existing and new approaches. We evaluate the generated dataset by applying it to three optimization problems, including facility location, vehicle routing, and path planning, using different techniques to demonstrate the dataset’s effectiveness and operational viability.

1. Introduction

Nowadays, street delivery has become a significant challenge because many road infrastructures were built decades ago and were not designed to address the current volume of vehicles. For instance, when highway bridges were constructed, the heavy daily traffic of trucks that we see today was not expected [1]. This has led to congestion, wear and tear on infrastructure, and inefficiencies in delivery systems, particularly during the last mile of delivery [2].
Last-mile delivery refers to the final stage of the supply chain, where goods are transported from a distribution center to the end customer. This stage is critical, as it often constitutes the highest cost and most complex part of the logistics process [3]. This shift in delivery methods introduces new constraints and opportunities, particularly in optimizing operations to accommodate the unique capabilities of drones. Therefore, addressing the size and weight limitations of drone-based deliveries is necessary, with a focus on lightweight parcels typically under 5 kg, which are ideal for drone transport, including small consumer goods, documents, and e-commerce packages [4].
Integrating drones into the delivery system presents a promising solution to address the delivery challenges. Drones can bypass crowded roads and directly reach customers, reducing the demand on existing road infrastructure and improving delivery speed and efficiency. This innovative approach not only mitigates the limitations of outdated roadways but also offers a more flexible and scalable solution for handling the growing demand for fast and reliable deliveries in urban and rural areas correspondingly [5].
This multimodal delivery system inherently adds complexity to the overall process. Optimizing such a system is challenging, particularly when it comes to tasks like determining the optimal locations for hubs, route optimization, or efficiently scheduling deliveries. By focusing on these optimization tasks, logistics managers can significantly improve the performance of multimodal delivery systems, ensuring that resources are used effectively, costs are minimized, and customer satisfaction is maximized. The complexity and interconnected nature of multimodal logistics necessitate the use of advanced optimization techniques and technologies, such as mathematical modeling, simulation, and data analytics, to achieve these goals.
These problems lie at the core of operational optimization and are heavily dependent on data-driven approaches [6]. However, collecting the necessary data from real-world sources is often costly and may not fully capture the entire range of scenarios or conditions within the domain of interest [7]. Additionally, access to these data is largely restricted due to privacy regulations and limitations imposed by company policies. This is where synthetic data can play an important role in a multimodal delivery system. By generating synthetic data, it is possible to simulate a wide variety of scenarios, allowing for comprehensive testing and optimization of the delivery processes without the problems associated with gathering real-world data [8]. Synthetic data can help fill in the gaps, providing a broader and more diverse dataset that enhances the ability to fine-tune the system for better efficiency and effectiveness in a multimodal delivery environment.
In this paper, we introduce a synthetic dataset generator designed through a combination of static environmental generation and dynamic data modeling within the broader delivery system. This system accounts for a wide array of variables, including the locations of customers and delivery vehicles, such as trucks and drones. Each participant in the system is characterized by its own set of properties, including environmental impact and economic costs. Our approach specifically targets the requirements of various optimization tasks within the overall delivery process, such as optimal locating hubs or job shop scheduling. Additionally, our synthetic dataset addresses combinations of optimization problems. Our key contributions can be summarized as follows:
1.
Defining multimodal logistics scenarios and their key components, along with the corresponding parameters, for our synthetic dataset generator. This includes the integration of mobile micro hubs and the consideration of environmental factors such as wind conditions, communication quality, and others, which play a crucial role in the functionality and optimization of the system.
2.
Introducing a dataset generator capable of producing a vast array of optimization problems. Additionally, our generator enables the creation of datasets that integrate multiple optimization challenges, such as combining the Vehicle Routing Problem with path planning, thereby supporting complex and interconnected problem-solving scenarios.
3.
Expanding scalability, compatibility, and benchmarking capabilities of our dataset generator, which produces real-time routes based on user-defined longitude and latitude ranges. By accounting for diverse traffic constraints across different regions of the world, our generator serves as a universal scenario generator, enabling the creation of globally applicable datasets for optimization problems.
4.
Evaluate the generated dataset [9] by applying it to various optimization problems, including facility location, vehicle routing, and path planning, using different techniques to demonstrate the dataset’s effectiveness and operational viability.
This paper is organized as follows: In the next section, we provide a comprehensive review of the existing literature in this field, highlighting key studies and identifying gaps that our work aims to address. In the Section 2, we present several optimization problems that rely on data for optimization and testing. Following this, we outline our methodology and detail the development of our synthetic dataset generation algorithm, explaining the various steps involved in its construction. We then present our findings, showcasing the results and conducting a statistical evaluation of the dataset to assess its validity and applicability. Finally, we conclude the paper by summarizing our contributions and discussing potential avenues for future research.

Notation

Here, we establish the mathematical notation used throughout the paper to facilitate clear communication of the proposed approach. Vectors are denoted by bold symbols, such as a , and when indexed for a specific purpose, by a i . The i-th entry of a vector is represented as a i , while a ( k ) refers to the vector corresponding to the k-th modality. Similarly, matrices are denoted by bold uppercase symbols, such as A , with matrix indices represented by A i j . The ( i , j ) -th entry of a matrix is written as A i j , and A ( k ) represents the matrix associated with the k-th modality. The transpose of a matrix is indicated by A . The cardinality (or size) of a set is denoted as | · | , and gradients with respect to vectors are written as a . Sets are generally represented using calligraphic letters, such as A , except for L , which specifically denotes the loss or cost function in optimization problems. The expectation operator is symbolized by E , and the function f parameterized by θ is written as f θ . For clarity, we recommend referring back to this section as needed while following the technical details presented in later parts of the paper.

2. Related Work

This section reviews related research on synthetic map generation and synthetic logistical data generation, which are both integral components of the broader synthetic multimodal delivery systems data. Here, we explore how synthetic logistical data are generated to model diverse supply chain scenarios, and how synthetic maps are created to simulate various geographical and environmental conditions.

2.1. Synthetic Logistic Data Generation

The generation of synthetic customer data in logistics is an important field, driven by the need to simulate various scenarios and optimize logistics operations without relying on costly and insufficient real-world data. Financial services for example generate complex datasets due to regulatory and business constraints, limiting data sharing. Assefa et al. highlights the need for effective synthetic data generation that maintains the properties of real data while ensuring privacy [10]. The paper of Merkuryeva et al. [11] presents a methodology and simulation environment for optimizing multi-echelon supply chains in batch and semi-batch industries. The environment supports data management, network construction, and policy optimization, with a business case illustrating its practical application [11].
Many real-world problems can be effectively modeled using the well-known traveling salesman problem, a topic that has been extensively studied in the literature. Numerous instances of this problem have been explored, highlighting its versatility and complexity [12]. Kanda et al. [12] generated a synthetic dataset and proposed a meta-learning-based approach to optimize the selection of algorithms specifically designed for traveling salesman instances. Their work emphasizes the importance of algorithm selection in achieving optimal results. Similarly, He and Xiang [13] analyzed various traveling salesman algorithms using synthetic datasets, providing a comprehensive comparison by also testing their approaches on real-world datasets of different sizes. This dual approach allowed them to assess the robustness and scalability of the algorithms in practical scenarios. Building on these studies, Jozefowiez et al. [14] introduced and tested an innovative approach for the bi-objective TSP with profits. Their research focused on balancing the conflicting objectives of minimizing tour length and maximizing profits, demonstrating the approach’s effectiveness on synthetic data by benchmarking it against leading single-objective methods. Salman et al. extend the classical traveling salesman problem to the precedence-constrained generalized traveling salesman problem that also includes the sequential ordering problem. The authors tested their branch-and-bound algorithm on a set of 23 synthetic instances and five industrial case studies [15].
In this paper, we introduce a versatile dataset generator for benchmarking optimization problems, with a particular focus on complex multimodal logistics scenarios. Unlike previous approaches that are limited to generating data for the traveling salesman problem or other specific applications, our generator can be used for many optimization problems or combinations of optimization problems. We define the key components and parameters essential for multimodal logistics. Additionally, we enhance the scalability and realistic global applicability of the generator by enabling dataset creation based on user-defined geographic ranges, while considering regional traffic and constraints. Our work offers a comprehensive and adaptable solution for optimization research and benchmarking in multimodal logistics.

2.2. Synthetic Map Generation

In many studies on multimodal logistics, researchers often neglect the impact of environmental factors in their optimization processes [16,17,18]. However, diverse environmental conditions such as terrain characteristics, safety restrictions, communication network coverage, and more play a crucial role in real-world multimodal logistics challenges. Incorporating these factors into optimization strategies is essential to develop solutions that are both practical and effective across varying scenarios.
In logistics, weather conditions play a critical role in planning and optimizing delivery operations, especially in scenarios involving last-mile delivery and multimodal logistics systems [5]. Weather data significantly impact routing, vehicle selection, and delivery scheduling. For example, adverse weather conditions such as heavy rain or snow can delay deliveries, increase transportation costs, and necessitate alternative routes or modes of transport. Studies like those by [19,20] highlight the importance of integrating weather variables into logistics optimization but note the lack of readily available datasets for such tasks. This gap has motivated the use of synthetic data generation tools. Therefore, generating synthetic weather data has emerged as a solution for simulating diverse weather conditions to test and improve delivery strategies under controlled realistic conditions [21]. Several approaches to synthetic weather data generation have been proposed, leveraging statistical models, machine learning, and physical simulations. Statistical models like WGEN and LARS-WG use observed climate patterns to simulate variables like temperature and precipitation under diverse conditions. Such tools can be leveraged to simulate delivery challenges under varying weather impacts [22]. Studies like [23] have applied generative adversarial networks to create diverse weather scenarios for urban delivery testing, enabling experimentation across rare and extreme weather conditions that are otherwise difficult to observe in real datasets. Synthetic weather data are particularly valuable in the context of delivery drones and autonomous vehicles. Research by [24] demonstrates how synthetic weather scenarios are used to test UAV navigation systems under varying visibility and wind conditions. Another example is the use of synthetic data for multimodal logistics, where weather simulations help evaluate the robustness of route optimization algorithms across different transportation modes.
Another aspect of map generation is considering the terrain which plays a crucial role in multimodal logistics because it directly impacts the efficiency, cost, and feasibility of transporting goods across different regions. Terrain generation is commonly used in game design, especially in open-world and sandbox games where expansive, randomly generated environments are essential [25]. It has been effectively combined with techniques like Voronoi diagrams to enhance the detail and diversity of these virtual worlds [26]. Procedural methods are key components for generating terrains and continents that have proven successful, as demonstrated in previous studies [27,28]. Some of the techniques used in the procedural generation of terrains and continents include Perlin noise [29], L-systems [30] and fractals [31]. Those techniques can be used alone, combined with each other, or combined with other techniques such as erosion simulation [32]. The procedural generation can also be parametrically controlled to avoid completely random content. The parametrization can be achieved in different ways such as adjusting division limits [33].
This highlights the increasing importance of synthetic weather data in enhancing delivery logistics, especially for testing robust scenarios and developing resilient optimization strategies. Rather than focusing on creating terrain or weather data, our approach models factors such as network quality, safety areas, and other critical elements within logistics scenarios. By simulating environmental influences like traffic density, connectivity, and potential hazards, we reflect real-world conditions that can impact logistical operations. These factors not only provide a more accurate representation of logistical challenges but also affect a variety of optimization problems.

3. Multimodal Logistic Optimization Problems

In this section, we outline four potential optimization challenges within multimodal delivery systems and demonstrate how our approach effectively addresses these issues, providing a framework for testing various algorithms. After gathering all multimodal logistic optimization problems, we can identify the essential parameters and measurements within the dataset. This ensures that our synthetic dataset serves as a versatile benchmark, suitable for evaluating a wide range of optimization problems. Additionally, its flexibility allows researchers and practitioners to adapt it to specific scenarios, making it a valuable tool for performance comparison and algorithm validation.

3.1. Route Optimization

Route optimization focuses on determining the most efficient path for vehicles to take [34]. This task involves minimizing the distance or time traveled, directly influencing fuel consumption, operational costs, and delivery times [35,36]. A common approach is Shortest Path Routing, which uses algorithms like Dijkstra’s or A* to compute the quickest route between two points on a map [37]. However, in real-world logistics, conditions such as traffic congestion, road closures, or environmental hazards may change frequently, necessitating dynamic routing [38]. Dynamic routing algorithms adjust the vehicle’s route in real-time, often incorporating live traffic data, weather information, and vehicle location tracking. This ensures punctual deliveries and helps reduce fuel costs and emissions by avoiding traffic jams or less optimal routes. By integrating both static and dynamic approaches, logistics operators can efficiently manage their fleets across diverse areas [39].
In addition to the traditional route optimization for conventional trucks, there are also route optimizations for other multimodal vehicles [40]. Drones play a crucial role in this context, as they often cannot take a direct path to their target. Certain restrictions apply, such as avoiding specific areas or crossing streets only at orthogonal angles. Additionally, drones may need to bypass regions with poor communication network coverage. Another important factor in drone routing is the consideration of safety zones, which must be strictly regulated as well [5]. Furthermore, it is essential to account for the combination of different transportation modalities as presented in Figure 1. For instance, a truck may deliver goods to a designated station, from which a drone then carries the package to the final destination. This hybrid approach requires careful coordination between different vehicle types to ensure efficiency across the entire route.
To effectively model real-world routing scenarios, a synthetic dataset generator must be capable of producing diverse, realistic datasets that capture the dynamic nature of transportation environments. Specifically, the dataset should include a variety of real-time routes, while also simulating essential environmental factors such as communication network quality, fluctuating traffic densities, and changing weather conditions. These features are necessary for enabling comprehensive analysis of multimodal routing strategies under various conditions. Additionally, to support machine learning applications, the dataset generator should be able to produce large volumes of data. This capability would allow researchers to train algorithms that can predict optimal routing choices, detect traffic pattern trends, and improve overall logistics efficiency.

3.2. Scheduling Optimization

Scheduling optimization in logistics revolves around the efficient allocation of resources such as machines, vehicles, and cargo, ensuring that schedules are made on time and at the lowest possible cost [42]. Scheduling aims to optimize when deliveries are made to meet customer requirements, such as delivery windows, while minimizing the total travel time and ensuring vehicle availability. Proper scheduling also considers external factors like warehouse operating hours or time-sensitive deliveries for specific goods. Vehicle scheduling involves planning vehicle usage, and ensuring that the fleet is deployed in the most efficient way possible as presented in Figure 2. For example, multi-stop deliveries might require scheduling vehicles so that routes are as short as possible while meeting all customer requirements. This becomes even more challenging in multimodal logistics, where different transportation modes must be coordinated. Effective scheduling reduces downtime, ensures optimal fleet utilization, and can reduce operational costs [43].
Additionally, scheduling in multimodal logistic networks, such as those involving both drones and trucks, requires careful resource allocation and coordination between different transport modes. This involves not only determining which vehicle or modality to use for each leg of delivery but also ensuring that all necessary resources such as vehicles, fuel or battery levels, and cargo space are available at the right time. For instance, a truck may need to deliver a package to a transfer point before a drone can take over for the last mile. In such cases, optimizing the timing between modes becomes critical to avoid delays at transfer points and minimize idle time for either vehicle. Moreover, scheduling must account for specific constraints unique to each modality. For example, drone flight schedules might be restricted by battery life, charging times, weather conditions, or airspace regulations, while trucks face different constraints such as traffic conditions, road infrastructure, and driver hours-of-service regulations. Coordinating these constraints across modalities ensures seamless transitions and reduces potential bottlenecks in the logistics network. Furthermore, the integration of real-time data—such as traffic updates, weather forecasts, and live tracking of vehicle status—can enhance the scheduling process, allowing dynamic adjustments to be made as conditions change. This flexibility is crucial in multimodal logistics, where unexpected disruptions can have a ripple effect across the entire delivery chain. By continuously optimizing the schedule in response to real-time conditions, logistics operations can maintain efficiency, meet delivery windows, and reduce overall operational costs [43].
For effective scheduling optimization, a synthetic dataset generator needs to produce a continuous stream of realistic scenarios that incorporate a range of operational constraints and variables. Such a dataset should enable the simulation of various scheduling strategies, allowing for a detailed evaluation of their performance across diverse conditions. By generating data that reflect these complexities, the synthetic dataset can support logistics companies in refining their scheduling processes, ensuring that strategies remain responsive to customer demands while optimizing resource allocation.

3.3. Network Design and Configuration

Network design and configuration are critical for establishing efficient logistics infrastructure. In multimodal logistics networks, apart from the warehouses, intermediate hubs play a crucial role in connecting different transport modes or serving as waypoints for vehicle operations. These hubs can be designed exclusively for road vehicles, for drones, or as hybrid hubs serving both. Depending on the type, the hubs will have distinct characteristics and optimization goals. For instance, the farther a drone’s target is, the more hubs may be required for battery recharging or package transfers over longer distances. Additionally, trucks aim to minimize economic and environmental costs, optimizing for fewer stops and efficient route planning. One example of a micro hub is presented in Figure 3.
In multimodal drone logistics, there are three primary types of micro hubs. Storage hubs function as temporary storage locations, improving inventory management and enabling the swift dispatch of goods [44]. This kind of hub can be used in an unimodal as well as in a multimodal manner. Charging hubs allow vehicles run by the battery to recharge, thereby extending their range for long-distance deliveries [45]. Modality change hubs facilitate the seamless transfer of goods between various transportation modes, enhancing the overall efficiency of the logistics network [46]. These hubs can be designed in various sizes to suit specific environmental and logistical needs. The best example of this is the transition from a truck to various drones for last-mile delivery.
The facility location optimization shown in Figure 4 involves identifying the best locations for distribution centers or transfer hubs, which serve as critical points in the logistics network where goods are sorted and routed to their destinations. Placing hubs in optimal locations can significantly reduce transportation costs and improve service levels [47]. A well-optimized network topology minimizes the total cost of goods movement while maintaining service reliability and flexibility. It is essential to consider various constraints like transportation capacity, demand, and service time windows [48]. The placement of the micro hub, whether by selecting a position from a predefined set of discrete locations or by allowing maximum flexibility through continuous positioning, is shaped by a range of factors. As a central information hub, it requires reliable communication quality and should be located in easily accessible areas, preferably with low traffic. Additionally, weather conditions play a significant role, particularly for drones, even if they have less impact on trucks. Some hubs are mobile, meaning they can transport drones to specific locations, from which the drones can then swarm to their targets. These mobile hubs must also have sufficient drone capacity. Overall, the capacities of drones, hubs, and trucks must be optimized to meet demand efficiently.
To accurately optimize logistics scenarios and estimate the associated optimization costs, a synthetic dataset must provide data that supports realistic modeling of complex logistics processes. In particular, the dataset should be robust enough to enable testing within advanced frameworks, such as reinforcement learning, to identify optimal logistics solutions. In this work, as described in Section 5, we demonstrate a proof of concept by leveraging reinforcement learning to determine the optimal placement of a micro hub, guided by cost considerations.

3.4. Environmental Impact Reduction

All optimization problems can be adapted to multi-objective optimization by incorporating environmental impact as an additional objective to minimize. Environmental impact reduction is an essential aspect of modern logistics, as companies strive to lower their carbon footprint. Sustainable routing focuses on finding routes that minimize fuel consumption and carbon emissions. This involves using alternative routes with less traffic or flatter terrains, which result in less fuel usage [49]. Additionally, integrating electric or hybrid vehicles into the fleet can significantly reduce emissions, although this requires optimization in terms of charging and maintenance schedules. Eco-friendly vehicle utilization involves selecting the right vehicles based on their efficiency, load capacity, and emission levels. It also means ensuring that vehicles are not idling unnecessarily, which leads to wasted fuel and higher emissions [50]. Optimization models help logistics companies make decisions that balance environmental impact with cost-effectiveness, such as determining the optimal number of trips or selecting modes of transport that emit less CO2 [51].
To effectively incorporate environmental considerations into logistics optimization, a synthetic dataset must support the customization of environmental cost factors associated with each vehicle. This capability would enable the adjustment of variables like fuel consumption, emissions, and energy usage, allowing for a detailed modeling of the environmental impact across different logistics scenarios.

4. Synthetic Dataset Generator

In this section, we first define the problem associated with creating a multimodal synthetic logistics dataset. After outlining the problem, we introduce our methods for generating this dataset. We begin by detailing the necessary parameters and the general framework of our synthetic dataset generator. Next, we describe the approach for creating the maps. Finally, we explain the procedures for generating the individual elements involved in the logistics network. Combining each component results in the overall dataset.

4.1. Problem Definition

Let us consider a multimodal logistics network described by a tuple ( G , M , R ) , where G = ( N , E ) is a directed graph representing the network. Here, N is the set of nodes (e.g., warehouses, trans-shipment points) and E N × N is the set of edges that represent possible transportation links. M is the set of available transportation modes (e.g., road, rail, air, water), where each mode m M is characterized by specific properties such as capacity and costs. R is the set of routes, where each route r R is a sequence of edges realized by choosing a mode m r M for each edge. The problem is to generate a synthetic dataset D synthetic that simulates the behavior of the logistics network under different scenarios.
Let C ( s , m , r ) be the cost function that describes the total cost of an order s using mode m along route r. The synthetic dataset D synthetic is intended to be a collection of scenarios { D ω ω Ω } , where each D ω is a realization of the random variables { X s m s S , m M } according to the probability distribution P ω . The aim is to generate D synthetic such that it approximates the properties of the real network sufficiently well, i.e., it should hold the following:
s S , m M , ω Ω : E P ω [ X s m ] E real [ X s m ]
Here, E P ω [ · ] stands for the expected value under the distribution P ω , and E real [ · ] for the expected value based on real data.

4.2. Data Collection and Parameters

In this section, we present a comprehensive set of parameters related to the previously presented optimization problems, organized into four main categories: clients, orders, warehouses, and vehicles. Table 1 outlines the classification of various parameters, forming the foundation for our proposed synthetic dataset generator.
In the following section, we provide an overview of the framework for our multimodal logistics scenario, detailing the overall structure and explaining the generation process for each parameter listed in the table. We will walk through the methods and logic used to produce realistic and varied datasets, capturing the complexities and interactions essential for a multimodal logistic dataset.

4.3. General Framework

The synthetic dataset generator consists of several stages in which different components of the logistics network are randomly generated. These include the creation of environmental constraints and limitations (e.g., communication quality), the definition of nodes (e.g., warehouses, micro hubs, customers), and the definition of vehicles (e.g., trucks, drones). Each of these components is generated using probabilistic models and mathematical distributions, ensuring a diverse range of scenarios that reflect real-world complexities. For example, the network environments are created by simulating various geographical features and layouts, while the nodes are characterized by parameters such as capacity, demand, and position, which can influence the efficiency of the logistics network. In Figure 5, we show all the components of the multimodal delivery framework.
Once all relevant components have been generated, they are integrated to form a comprehensive synthetic dataset, capturing the intricate relationships and interactions within the logistics system. The calculation of the edges, which includes traffic data and potential routes, is performed to further enhance the dataset’s realism. This synthesized dataset enables a benchmark for researchers to evaluate different strategies and operational decisions. Additionally, it serves as an analytical environment for various applications, such as reinforcement learning, allowing for the testing and development of algorithms that can optimize logistics operations under varying conditions and constraints.
The parameters that are not of interest can be deactivated, ensuring they remain constant throughout the data generation process. For example, environmental constraints like network quality, weather conditions, or traffic density can be kept stable across all iterations. Meanwhile, variables such as customer locations and demand can vary with each iteration, adding flexibility to the generation process and enabling dynamic scenario adjustments. These static elements are crucial as they define the fundamental constraints of the multimodal delivery system, establishing a stable framework that persists throughout the data generation process. In our dataset generator, we can also choose to exclude certain non-essential data to save memory and improve processing speed for the underlying task. By selectively skipping optional data, we reduce the computational load and optimize resource usage, which is particularly useful when dealing with large datasets or real-time processing. This flexibility allows us to focus on the most relevant parameters for the task at hand, ensuring efficient data handling without the need for following data processing.

4.4. Design of Environmental Conditions

In order to optimize a multimodal logistics network, information about the position of nodes and edges alone is not enough. Rather, additional data are required that reflect the current situational conditions. The communication quality influences the control and data exchange between vehicles. Low communication quality leads to delays or failures, which is particularly problematic for the real-time navigation of drones. Traffic density directly impacts the speed and route selection of trucks. High densities cause congestion and force route changes that affect the entire network. Wind directions and speeds are crucial for drones as they affect stability and energy consumption. These conditions should also be considered when it comes to the positioning of micro hubs, as these represent a central landing point for different modes of transportation.
Collecting real-world data for complex scenarios, particularly in multimodal logistics where variables like communication quality, traffic density, and environmental influences interact, is challenging. This difficulty arises because real-world logistics data are often lacking and costly. Furthermore, environmental conditions vary unpredictably, making it hard to capture these factors consistently. Synthetic data generation becomes essential under these constraints, as it allows researchers to build controlled, customizable scenarios that are rare or impractical to capture in the real world. Nevertheless, generating realistic environmental conditions for a multimodal synthetic scenario poses a variety of challenges. These variables are highly dependent on local gradients and stochastic variations and cannot simply be represented by static values. Instead, it is necessary to capture realistic variability and dynamics, such as gradient noise and gradient fields.
To simulate these environmental conditions, we employ two distinct approaches. First, we utilize gradient noise to model continuous background variables such as traffic density, communication quality, and forbidden zones. Additionally, we generate gradient vectors to represent more variable elements like wind and other weather conditions.

4.4.1. Gradient Noise for Stochastic Variability

We use a Perlin noise pattern to model gradient noise maps, often used in computer graphics to create natural-looking textures. The main function generates a Perlin noise pattern based on a defined grid of gradients with cells with integer coordinates ( i , j ) . This grid is scaled and wrapped to fit within the unit interval [ 0 , 1 ) :
x ˜ , y ˜ = grid ( x , y ) = x scale , y scale .
At each grid point ( i , j ) , we assign a gradient vector g i , j defined by a random angle θ i , j :
g i , j = cos θ i , j sin θ i , j and θ i , j U ( 0 , 2 π ) ,
where θ i , j is uniformly distributed over [ 0 , 2 π ] . The gradient vector g i , j describes the directional influence of the point ( i , j ) on nearby locations within the cell.
For a given point ( x , y ) within a cell ( i , j ) , we compute the distance vectors from the four nearest grid points (corners of the cell):
d 00 = x ˜ y ˜ 0 0 = x ˜ y ˜ , d 10 = x ˜ y ˜ 1 0 = x ˜ 1 y ˜ , d 01 = x ˜ y ˜ 0 1 = x ˜ y ˜ 1 , d 11 = x ˜ y ˜ 1 1 = x ˜ 1 y ˜ 1 .
These vectors represent the relative positions within the cell with respect to each of the four corners. To determine the noise influence from each corner, we take the dot product of each corner’s gradient vector with its corresponding distance vector. This yields the following:
n 00 = g i , j · d 00 = g i , j ( x ) · x ˜ + g i , j ( y ) · y ˜ , n 10 = g i + 1 , j · d 10 = g i + 1 , j ( x ) · ( x ˜ 1 ) + g i + 1 , j ( y ) · y ˜ , n 01 = g i , j + 1 · d 01 = g i , j + 1 ( x ) · x ˜ + g i , j + 1 ( y ) · ( y ˜ 1 ) , n 11 = g i + 1 , j + 1 · d 11 = g i + 1 , j + 1 ( x ) · ( x ˜ 1 ) + g i + 1 , j + 1 ( y ) · ( y ˜ 1 ) .
These values n 00 , n 10 , n 01 , n 11 represent the noise contributions from each of the four cell corners, weighted by the direction and distance within the cell. To smoothly interpolate between the values n 00 , n 10 , n 01 , n 11 , we apply a fade function f ( t ) = 6 t 5 15 t 4 + 10 t 3 which is based on the original work of Ken Perlin [53]. This specific polynomial is a smooth step function ensuring smooth transitions with zero derivatives at both endpoints t = 0 and t = 1 , providing continuity. With u = f ( x ˜ ) and v = f ( y ˜ ) , we interpolate along the x-axis first and then along the y-axis:
n x 0 = ( 1 u ) · n 00 + u · n 10 , n x 1 = ( 1 u ) · n 01 + u · n 11 , Noise ( x , y ) = ( 1 v ) · n x 0 + v · n x 1 .
The final result, Noise ( x , y ) , is a continuous value that smoothly varies across the grid, creating a natural-looking gradient noise. Lastly, the noise values are then normalized using min–max normalization
q n = ( v min ( v ) ) ( max ( v ) min ( v ) ) · 100 ,
scaling them to a target range, typically [ 0 , 100 ] . This model can be utilized to generate a random map that covers network communication, terrain-based safety features, or other comparable aspects. These maps can either be set as fixed, remaining unchanged once generated, or they can be updated with each new instance. Additionally, a threshold can be used to model forbidden zones, which results in a binary map. Two of these maps are represented in Figure 6.
This gradient noise can not model strong winds or heavy rain. If this is present in a particular location, it may be advisable to position the mobile micro hub elsewhere to enhance operational efficiency. Adverse weather can significantly affect a drone’s battery consumption and overall performance, as drones are not equipped to handle all weather conditions effectively.

4.4.2. Gradient Fields for Weather Conditions

To generate random gradient vectors that model wind behavior, we begin by establishing a two-dimensional grid in the Cartesian coordinate system, which serves as the domain for evaluating wind vectors at various points. We define the grid by specifying x and y coordinates within the interval [ 0 , 2 π ] . Specifically, we let N N denote the number of grid points along each axis, such that x and y can be represented as follows:
x = x i i = 1 N and y = y j j = 1 N .
The mesh grid function is then employed to create matrices X and Y, representing all combinations of these coordinate values. Given two vectors, x and y defined as x = [ x 1 , x 2 , , x N ] and y = [ y 1 , y 2 , , y N ] ; then, the meshgrid creates two matrices X and Y based on these vectors, where X contains repeated rows of x and Y contains repeated columns of y . Mathematically, this can be expressed as X i j = x j and Y i j = y i for i , j = 1 , 2 , , N .
Next, we introduce sources and sinks to simulate the generation and absorption of wind. Let n s and n t be hyperparameters representing the number of sources and sinks, respectively, sampled from a uniform integer distribution n s U ( 0 , 10 ) and n t U ( 0 , 10 ) . The positions of these sources and sinks are generated by sampling from a uniform continuous distribution over the interval [ 0 , 2 π ] . Specifically, the coordinates for sources and sinks are represented as follows:
( s x i , s y i ) U ( 0 , 2 π ) for i = 1 , 2 , , n s ,
( t x j , t y j ) U ( 0 , 2 π ) for j = 1 , 2 , , n t .
To simulate wind behavior, we initialize the wind vector components U and V to zero across the grid. The influence of each source on the wind vectors is calculated by considering the Euclidean distance from the source to each point in the grid. For a source located at ( s x i , s y i ) , the components of the wind vector are updated as follows:
U n e w = U + i = 1 n s X s x i ( X s x i ) 2 + ( Y s y i ) 2 ,
V n e w = V + i = 1 n s Y s y i ( X s x i ) 2 + ( Y s y i ) 2 .
In contrast, the influence of each sink on the wind vectors is computed by creating vectors that point toward the sink. For a sink located at ( t x j , t y j ) , the updates to the wind vector components are made as follows:
U n e w = U j = 1 n t X t x j ( X t x j ) 2 + ( Y t y j ) 2 ,
V n e w = V j = 1 n t Y t y j ( X t x j ) 2 + ( Y t y j ) 2 .
To introduce natural variability that reflects the stochastic nature of wind, we apply small random perturbations to both vector components U and V. This can be conceptualized as drawing from a uniform distribution centered at zero, denoted as ϵ U U ( δ , δ ) and ϵ V U ( δ , δ ) , where δ is a hyperparameter that controls the magnitude of the perturbations. Thus, the final wind vector components can be expressed as follows:
U f i n a l = U + ϵ U and V f i n a l = V + ϵ V .
The outcome is a two-dimensional vector field where the arrows represent the wind direction and magnitude, demonstrating how the presence of randomly placed sources and sinks influences the flow dynamics across the specified area. This methodology represented in Figure 7 effectively integrates mathematical principles with random sampling techniques to create a realistic model of wind behavior, capturing the complexities inherent in natural systems.
By integrating these environmental factors into our logistical modeling, we model better real-world conditions and improve the overall synthetic multimodal logistics network.

4.5. Generation of Nodes

Here, we consider three kinds of nodes: warehouses, micro hubs, and customers, where the micro hubs share the same properties as the logistic centers. The warehouse plays a crucial role in this system, functioning as a central hub where various elements of the logistics network converge. After the goods are efficiently processed and dispatched from the warehouse, the next critical step is their transport to the micro hubs. There, the mode of delivery shifts from truck to drone, allowing the final leg of the journey to the customer to proceed, ensuring timely and precise delivery. In a logistics distribution scenario, customers play the next central role in shaping the logistics strategy, influencing demand patterns, and impacting overall supply chain efficiency. Therefore, we uniformly distribute the amount of the different nodes to cover the complete domain effectively and create diverse scenarios: K Uniform ( 1 , K m a x ) for customers, I Uniform ( 1 , I m a x ) for warehouses, J Uniform ( 1 , J m a x ) for micro hubs. Each created node obtains its ID k K , i I , j J as described in Table 1.
The precise positioning of the warehouses, customers, and micro hubs within the network becomes essential for optimizing the delivery routes and overall system. The positions p R 2 of the nodes are randomly distributed on a two-dimensional surface A R 2 . The coordinates of a node n N are described by independent random variables p n = [ x n y n ] , each of which follows a continuous uniform distribution over A since every point in the surface has the same probability of being the position of a node:
x n Uniform ( a x , b x ) and y n Uniform ( a y , b y ) .
Here, a and b span the surface A and describe geographic coordinates which are also calculated to Cartesian coordinates based on the rectangular projection that maps the spherical coordinates onto a flat surface. This method assumes the Earth is a perfect sphere, which is an approximation.
The number of nodes and the position of the nodes were all the shared parameters. From this point forward, we will examine each type of node individually.

4.5.1. Customers Parameter Sampling

Considering the diverse characteristics of customers enhances service delivery and ultimately achieves customer satisfaction. The demand of a customer k for the transportation of goods is modeled by a discrete uniform distribution:
d k Uniform ( 0 , d max ) .
Here, demand encompasses both the number of orders and the specific attributes of each order b, including importance, sensitivity, weight, and timestamp. The importance ϵ and sensitivity ρ are modeled as discrete values uniformly distributed over the range [ 0 , 100 ] . The weight W, in contrast, follows a continuous uniform distribution within [ 0 , W max ] , where W max denotes the maximum allowable weight. The timestamp is provided in ISO 8601 format [52], an unambiguous, internationally recognized calendar-and-clock format. Every order has also a status parameter which is initially set to 0, which means that this order is open. Lastly, every order is also assigned to a random warehouse or micro hub, where the order is initially stored.
Our scenarios are designed to address both Business-to-Consumer (B2C) and Business-to-Business (B2B) deliveries, with a particular focus on B2C applications, which are most commonly associated with drone-based logistics. B2C and B2B logistics differ significantly in terms of complexity and focus. B2C logistics involves a longer supply chain with multiple intermediaries and focuses on delivering products to individual consumers, prioritizing fast delivery and flexible shipping with many dense nodes. B2B logistics, on the other hand, often involves a shorter and more direct supply chain with fewer intermediaries, focusing on delivering goods to businesses with specific requirements for timing. B2B orders tend to be larger in volume but less in the amount and density of nodes. However, the generator is flexible and can also be adapted for B2B use cases, by specifying the amount of customers and their demand [54].

4.5.2. Warehouse Parameter Sampling

To model the any logistics center i, one key property, the storage capacity C i , needs to be defined:
C i Normal ( μ C I , σ C I 2 ) ,
where μ C I is the average storage capacity of a warehouse and σ C I 2 defines the variance in storage capacity due to factors such as design variability, seasonal demand fluctuations, or operational constraints.
Maintaining this capacity incurs costs. The primary objective of the warehouse is to efficiently manage and store inventory to meet demand while minimizing overall expenses. To account for these costs, we allocate both variable and fixed costs associated with the warehouse according to a log-normal distribution. A log-normal distribution is suitable for costs that can vary widely but are generally positive (e.g., for warehouses with periodic capital investments). This can reflect the skew toward higher costs, as certain maintenance or repairs can add substantially to fixed expenses. This sampling is defined as follows:
ϕ v LogNormal ( μ ϕ v , σ ϕ v 2 ) and ϕ f LogNormal ( μ ϕ f , σ ϕ f 2 ) ,
where μ ϕ v and μ ϕ f represent the means, and σ ϕ v and σ ϕ f represent the variances of variable costs and the fix costs.
Given the increasing urgency around climate change and global warming, businesses are placing greater emphasis on understanding the environmental impact of their activities and processes. To address this, we also model the ecological costs associated with warehouse operations using log-normal distribution. The log-normal distribution is ideal for modeling ecological costs as it captures positive-only, skewed data with typical low-to-moderate values but allows for rare, high-cost events. This reflects the nature of environmental impacts in warehouses, where occasional spikes occur due to unexpected high-energy or resource-intensive activities. The distributions are described as follows:
ψ v LogNormal ( μ ψ v , σ ψ v 2 ) and ψ f LogNormal ( μ ψ f , σ ψ f 2 ) ,
where μ ϕ v , μ ϕ f and σ ϕ v , σ ϕ f represents the means and variances of the impact of the ecologic cost.

4.5.3. Micro Hub Parameter Sampling

In our framework, mobile centers play a critical role in the delivery process, particularly in the context of drone-based last-mile logistics. These mobile centers, or micro hubs, function as storage units that share the same characteristics as a traditional warehouse. They are designed to store and organize goods efficiently, acting as temporary distribution points that facilitate faster deliveries to the final customer. Mobile centers are especially useful in urban areas where they can be strategically placed to optimize delivery routes, reduce travel times, and alleviate congestion. By incorporating these mobile centers into our logistics model, we enhance the flexibility and scalability of the delivery system, ensuring that goods can be stored closer to targets, thus improving overall efficiency in the last-mile delivery process.
The micro hub functions mainly as a storage unit and shares the same characteristics as a traditional warehouse, such as the ability to store and organize goods efficiently. In addition to its core characteristics, the micro hub has an extra parameter representing the number of drone slots available. This enables the micro hub to transport drones to specific locations, where the last-mile delivery is achieved. The number of drone slots C j d is sampled from a uniform distribution Uniform ( 0 , C d max ) . Additionally, each micro hub has a hub-type parameter m j , which specifies whether it serves a single vehicle type, such as trucks (in which case drone slots are set to zero), or accommodates multiple vehicle types. Furthermore, to the warehouse parameters, it possesses the attributes of a vehicle, specifically a truck. The status parameter a j of the micro-hub indicates whether the hub is currently functioning as a mobile vehicle, actively changing position, or as a stationary micro-warehouse. This status also determines the applicable cost model: a time-based model for stationary warehouse operations or a distance-based model for vehicle movement. The specific vehicle-related properties and capabilities of the micro hub are detailed in the following section.

4.6. Generation of Vehicles

Vehicles in a logistics distribution network are diverse, each serving specific roles and functions based on the requirements of the logistics operation. By strategically managing the fleet of vehicles and their properties, we can improve operational performance and drive cost efficiencies within the supply chain. The number of vehicles of a type m u M is also generated randomly similarly as the nodes with a discrete uniform distribution U Uniform ( 1 , U max ) . Then, for each vehicle u, a start position p u is randomly assigned to a warehouse i. The capacities of the vehicles C u , their speed v m , and the weight W m are modeled by normal distributions:
C u Normal ( μ C m , σ C m 2 ) , v u Normal ( μ v m , σ v m 2 ) , W u Normal ( μ W m , σ W m 2 ) .
In this context, the capacity, speed, and weight parameters vary based on the vehicle type m, which specifies whether the vehicle is a drone, truck, or another transport mode. For example, drones typically have lower carrying capacities and weights but higher agility and speed over short distances, while trucks offer greater capacity and weight limits, suitable for longer hauls and larger payloads. Each vehicle type’s unique specifications ensure optimized performance depending on the intended delivery range and payload size.
To determine the maximum range B u of a vehicle, we start by sampling its battery or fuel level L u from a continuous uniform distribution Uniform ( 20 , 100 ) , representing a minimum of 20% capacity. The energy consumption rate η u is then sampled from a normal distribution, η u Normal ( μ η m , σ η m 2 ) , where the mean μ η m and variance σ η m 2 depend on the vehicle type (e.g., drone or truck). The maximum range B u is calculated as B u = L u η u , linking available energy and consumption rate to the distance the vehicle can travel.
The cost structure mirrors that of the warehouse outlined in Section 4.5.2, with the key difference that here costs are based on route distances, while warehouse costs are time-dependent. Consequently, the total duration and route distances are calculated according to the approach described in the following section, which covers the generation of edges.

4.7. Generating the Edges

For each possible pair of nodes ( n i , n j ) we decide whether an edge e i j E exists. This is modeled by real-time traffic for transit between two nodes. Therefore, we take the locations of one pair as input and construct a query to the Open Source Routing Machine OSRM API to obtain routing information specifically for car travel. The API response provides key metrics, including the distance in kilometers and the estimated travel time in minutes. Additionally, if detailed route information is requested, the method retrieves specific nodes along the route to gather further geographic details. These nodes are then cross-referenced with the OpenStreetMap database to obtain their precise latitude and longitude coordinates. The final output consists of the total travel distance, the estimated duration, and, if applicable, a list of the geographic coordinates of the route nodes. Alternatively, for drones, the route depends on the Euclidean distance δ i j = ( x v i x n j ) 2 + ( y n i y n j ) 2 . Each edge e i j is provided with additional attributes that represent, for example, the environmental and economic costs c i j , the travel duration t i j and the safety rating s i j .

5. Evaluation

In this section, we will evaluate the generated dataset to illustrate its characteristics. To evaluate the structure and quality of the synthetic dataset, we focus on a specific instance that models a logistics distribution network. Finally, we will demonstrate the practical application of our dataset by applying it to a classical machine learning and path planning application, showcasing its utility and effectiveness in a real-world context.

5.1. Dataset Instances

To demonstrate the quality and structure of our synthetic dataset [9], we analyze a representative sample graph generated by our model in Figure 8 and Figure 9. This instance contains key properties that reflect the overall characteristics of the samples. In this instance, we consider three key entities: customers, micro hubs, and logistic centers, with a background gradient map representing the relative quality of the connectivity and the wind properties. Darker regions in the gradient indicate lower-quality connections (high latency or poor infrastructure), while lighter regions represent areas with high-quality connections.
Nodes are positioned randomly within predefined regions, each specified by minimum and maximum latitude and longitude boundaries. For each customer, we use the Euclidean distance for each drone, focusing on simplified, straight-line paths that approximate direct air travel. In this scenario, network communication is assumed to be used only for optimizing the placement of micro hubs, allowing efficient coverage across all customer locations, and not for drone routing. In contrast, routes from the main deposits to the micro hubs are managed by trucks, which require real-time route calculations. These truck routes are calculated through the OpenStreetMap (OSM) API, as discussed in Section 4.7, and reflect realistic driving paths. By leveraging OSM’s real-time routing, we capture the influence of road networks, traffic conditions, and other logistical constraints that impact ground transport. This approach of direct drone routes and road-based truck routes allows us to simulate the dynamics of multimodal delivery networks, highlighting the interactions between drones’ air travel capabilities and trucks’ dependence on road infrastructure.
In more realistic scenarios, we can enhance the precision of location-based optimizations by manually defining distinct regions, such as rural areas, urban areas, and zones near highways, which are critical for setting customer locations and determining warehouse placements. Furthermore, given the use of real-time routing, it is also possible to sample data at various times of the day—for instance, morning hours when traffic density is typically higher, and nighttime hours when traffic is generally lighter. This temporal sampling enables to account for daily traffic variations, thereby enhancing the robustness and realism of the optimization process.

5.2. Facility Localization

In this section, we present a proof of concept of our synthetic dataset. This proof of concept is not a fully optimized solution, as we have not performed a comparative analysis. We simply demonstrate the applicability of this dataset generator to reinforcement learning tasks. Therefore, we formalize the reinforcement learning setup of [55] for optimizing micro hub locations using a custom environment that incorporates spatial and network considerations. The problem is framed as a Markov decision process M = ( S , A , P , r , γ ) , where S R c is the continuous state space, representing the environment’s features, such as customer locations, network quality, and distances to warehouses. Each state s t S at time t is a d-dimensional vector: s t = [ x 1 , x 2 , , x d ] , where d is the number of features. We define the continuous action space as A R c , where each action a t A represents the latitude and longitude of a proposed micro hub location and is constrained by A = { a t ( 1 ) , a t ( 2 ) | 6.9 a t ( 1 ) 7.4 , 51.0 a t ( 2 ) 51.5 } to increase the accuracy of positioning and avoid unnecessary calculations in areas outside the relevant area. This reduction makes it possible to reduce the search area and capture the relevant positions more precisely, as the already known area is narrowed down and analyzed in a focused manner. This increases the efficiency of the positioning process by only carrying out an analysis within the restricted area. The transition dynamics P ( s t + 1 | s t , a t ) are deterministic, representing the environment’s response to the proposed micro hub location. The reward function r : S × A R is defined as the negative of the total cost, where
r = ( d t h · k t + b t ) i = 1 n d d c i · k d + b d ,
with d being the distance from truck to hub or drone to customer i, k R the variable cost per km of the truck or drone, and b R representing the base costs of the vehicles. The reward encourages minimizing total distance-based costs and network penalties.
Here, the goal is to learn both an optimal policy π θ ( a t | s t ) , parameterized by θ , and a value function V ϕ ( s t ) , parameterized by ϕ , which estimates the expected future rewards from state s t . The policy network (actor) selects actions, and the value network (critic) evaluates these actions. The actor’s objective is to maximize the expected discounted return:
J ( θ ) = E π t = 0 T γ t r ( s t , a t ) ,
where γ [ 0 , 1 ] is the discount factor. In the actor–critic method, we use the advantage function A ( s t , a t ) = r ( s t , a t ) + γ V ϕ ( s t + 1 ) V ϕ ( s t ) to update the policy:
θ J ( θ ) = E π θ log π θ ( a t | s t ) A ( s t , a t ) .
This advantage function measures how much better or worse the action a t performed compared to the baseline value V ϕ ( s t ) provided by the critic.
The critic’s goal is to approximate the expected future rewards through the value function V ϕ ( s t ) . The critic is updated by minimizing the temporal difference error:
L critic ( ϕ ) = r ( s t , a t ) + γ V ϕ ( s t + 1 ) V ϕ ( s t ) 2 .
This loss encourages the critic to accurately predict future rewards, improving the stability of the actor’s updates. The training procedure is represented in Figure 10.
By separating the actor and the critic, the actor–critic method reduces the variance in policy gradient estimates, providing a more stable and efficient learning process. The critic serves to provide a better estimate of the future reward, helping the actor to adjust its policy more effectively. The optimization results are represented in Figure 11.
Figure 11 shows the reward or negative cost per episode, reflecting the agent’s performance in minimizing the total cost associated with micro hub location optimization. As training progresses, the rewards increase, indicating improved policy decisions by the actor in selecting optimal micro hub positions. Fluctuations in the reward early in training represent exploration, while the steady rise in later episodes demonstrates the convergence of the policy as the agent learns to reduce logistics and network-related costs. Therefore, the application of the synthetic dataset to the micro hub location optimization task demonstrates the dataset’s utility in training machine learning models for logistics network design.

5.3. Vehicle Routing Problem

After determining the location of the micro hub, the subsequent journey to the customers is assumed to be carried out using drones. Drones typically follow direct routes, transforming the problem into a Vehicle Routing Problem (VRP). The VRP is a key optimization challenge in logistics and transportation, focusing on determining the most efficient routes for servicing a given number of customers. The objective is to minimize a cost function, such as total distance traveled or time taken, while adhering to constraints like vehicle capacities, time windows, and route restrictions. In this case, the focus is on minimizing distance.
The Vehicle Routing Problem can be mathematically modeled as a graph G = ( V , E ) , where V = { v 0 , v 1 , , v n } represents the set of nodes, including the depot ( v 0 ) and n customer locations. The edges E = { ( v i , v j ) | i , j V } denote possible routes between nodes, each associated with a cost d i j , typically representing the Euclidean distance or travel time. The objective is to minimize the total cost of all routes:
Minimize Z = i = 1 N j = 1 N d i j x i j ,
where x i j is a binary decision variable indicating whether the route includes travel from node i to node j. The formulation is subject to the following constraints:
1.
Flow Conservation: Each customer is visited exactly once:
j = 1 N x i j = 1 i , i = 1 N x i j = 1 j .
2.
Sub-tour Elimination: Disconnected sub-tours are prohibited, ensuring a single cohesive route:
i S j S x i j | S | 1 S V , | S | > 1 .
3.
Capacity Constraint: The total demand served by any route cannot exceed the vehicle’s capacity Q:
i Route d k Q ,
where d i represents the demand at node i.
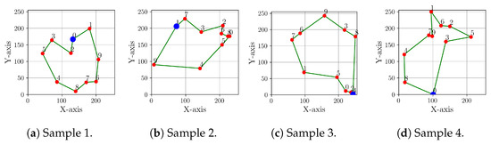
To solve the VRP, we begin by calculating the pairwise distances between nodes using the Euclidean distance formula, forming a distance matrix. Routes are represented as sequences of node indices, and the total distance of a given route is computed by summing the distances between consecutive nodes, including the return to the starting point. This implementation serves as a basic framework for solving the VRP where four examples are represented in Figure 12.
This example demonstrates a classical Vehicle Routing Problem optimization. By incorporating additional features from our synthetic dataset, we can account for factors like network quality and wind conditions. As a result, the routes between customers are no longer direct lines, since they must be adaptable to environmental conditions. Therefore, we introduce a path-planning approach that considers these factors in the following section.

5.4. Path Planning

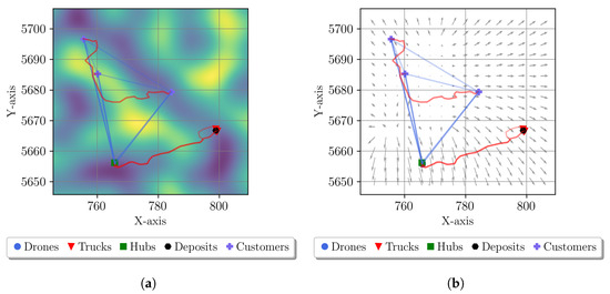
Pathfinding for drones in dynamic environments often involves not only geometric constraints but also environmental factors that influence the traversal cost. The A* algorithm is a graph traversal and path search algorithm. It combines the advantages of Dijkstra’s algorithm (minimizing the path cost) and Greedy Best-First Search (using a heuristic to guide the search). The total cost function f ( n ) at any node n is defined as f ( n ) = g ( n ) + h ( n ) , where g ( n ) is the cost from the start node to n and h ( n ) is a heuristic estimate of the cost from n to the goal. To incorporate dynamic costs based on external factors, specifically internet connectivity and wind conditions, we extend the A* algorithm. These factors influence the movement cost at each grid cell, which the algorithm integrates to find an optimal path. Additionally, we extend the A* algorithm to support diagonal movements, which have a cost of 2 . The heuristic h ( n ) is updated to use the Euclidean distance h ( n ) = ( x goal x ) 2 + ( y goal y ) 2 .
In our approach, the cost function g ( n ) includes additional terms reflecting internet connectivity and wind conditions g ( n ) = g previous ( n ) + move _ cost ( n ) + f env ( n ) where g previous ( n ) is the accumulated cost to reach n, move _ cost ( n ) depends on whether the movement is diagonal ( 2 ) or straight (1), and f env ( n ) = cost internet ( n ) + cost wind ( n ) . The internet connectivity cost penalizes regions with poor signal strength. The value is derived from a predefined grid or real-time signal strength map. High signal strength corresponds to lower costs. The wind cost accounts for wind speed and direction. Movements against strong winds incur higher penalties, while movements with the wind may receive a cost reduction.
We applied the algorithm on the 2D grid of Figure 12 of size 256 × 256 , with internet connectivity and wind cost maps generated using our synthetic data. Figure 13 illustrates the new paths calculated by the algorithm under varying conditions.
Figure 13 demonstrates that the algorithm adapts to environmental factors, choosing paths that minimize total cost even when such paths are geometrically longer. Consequently, the VRP of Figure 12 has no longer direct paths and is modified. Therefore, we demonstrate that our synthetic dataset can also be used for path planning for drones considering different environmental scenarios which may lead to a change in the VRP optimization. Consequently, these two challenges must be addressed simultaneously in real-world scenarios, which can be effectively achieved using our data generator. By leveraging this tool, it becomes possible to simulate diverse and realistic conditions, enabling comprehensive testing and development of solutions that are better suited for practical applications.

6. Conclusions

This paper presents a novel synthetic dataset generator tailored for evaluating logistical optimization scenarios. The generator creates diverse and realistic datasets that simulate various customer distributions, network qualities, and logistical constraints, providing a robust foundation for testing and developing optimization algorithms. By offering detailed control over dataset parameters and incorporating real-world complexity, the synthetic dataset enhances the evaluation of optimization strategies. The demonstrated utility of this dataset in reinforcement learning experiments underscores its potential to advance research in logistics and operations management. Future work may extend this framework to other domains and refine the dataset generator to further align with emerging challenges in logistics optimization, such as job shop scheduling. Finally, the objective of these datasets is to establish a standardized benchmark. The concept is that researchers can leverage the datasets tailored to specific optimization problems detailed in Section 3 to evaluate and compare the performance of their algorithms. We will release datasets for each of the optimization problems in https://doi.org/10.5281/zenodo.14037047 (accessed on 22 November 2024) in a phased manner, ensuring a steady supply for algorithm performance comparison.

6.1. Recommendation for Future Users

We recommend that users utilize this generator to explore various optimization strategies, particularly in areas such as drone-based delivery, route planning, and supply chain management. When using the dataset generator, it is important to consider several factors to ensure the efficient generation of realistic datasets within a reasonable timeframe. One of the key elements affecting the speed of dataset generation is the number of customers. Since the generator calculates all possible delivery routes through an API, having too many customers can significantly slow down the process. To optimize performance, it is recommended to activate routes via the API only when necessary. If generating routes for all customers is essential, reducing the overall number of customers will help ensure that a larger number of samples can be generated more quickly, without compromising the variety needed for testing optimization algorithms.
Another important factor is the size of the geographic area used for deliveries. Larger maps, with expansive longitude and latitude ranges, lead to longer routes, which in turn increases computation time. To improve efficiency, it is advisable to keep the map size within realistic limits, ensuring that the minimum and maximum longitude and latitude values are not excessively large. This will help avoid overly long delivery routes, thus reducing generation time. Additionally, it is essential to maintain a realistic scope for the deliveries. This means ensuring that the distances between customers are appropriate for the type of delivery being simulated and all places should be accessible with any type of vehicle.

6.2. Future Research

This work provides a foundation for analyzing various optimization problems in future research. In future work, we aim to leverage this synthetic data generator to conduct a comprehensive analysis of various optimization problems within multimodal delivery systems. By conducting controlled experiments, we will compare the performance of different algorithms and identify the most promising approaches for real-world applications. This research will enable us to propose novel algorithms and strategies to enhance the efficiency and sustainability of multimodal delivery operations. Looking ahead, ongoing improvement in the dataset generator could further enhance its applicability, especially in addressing emerging challenges in logistics optimization. Specifically, the integration of dynamic and uncertain factors, such as unexpected disruptions in the supply chain. By including these uncertainties, the generator can create more realistic and complex datasets that challenge optimization algorithms to better account for real-world variability. Through these developments, the generator will continue to serve as a valuable tool for testing, comparing, and improving logistical optimization algorithms.

Author Contributions

Methodology: D.A., D.O.S.T. and A.S.; literature review: D.A.; Software: D.A.; validation: D.A.; formal analysis: D.A., D.O.S.T. and A.M.G.; investigation: D.A.; resources: A.S.; writing—original draft preparation: D.A.; writing—review and editing: D.A., D.O.S.T. and A.S.; visualization: D.A.; supervision: A.S.; project administration: A.S.; funding acquisition: A.S. and S.L. All authors have read and agreed to the published version of the manuscript.

Funding

The research project was funded by “The Ministry of the Environment, Nature Conservation and Transport of the State of North Rhine-Westphalia” in Germany and co-financed by the European Union for the research project “SIDDA—Sustainable Intermodal Drone Delivery Airline” with grant number IN-ML-1-013b.

Data Availability Statement

The original data presented in the study are openly available in Zenodo at https://doi.org/10.5281/zenodo.14037047 or [9].

Acknowledgments

We would like to thank J.D. Geck GmbH (Altena, Germany) for their support in the preparation of Figure 3.

Conflicts of Interest

The authors declare no conflicts of interest.

References

  1. Etukudoh, E.A.; Adefemi, A.; Ilojianya, V.I.; Umoh, A.A.; Ibekwe, K.I.; Nwokediegwu, Z.Q.S. A Review of sustainable transportation solutions: Innovations, challenges, and future directions. World J. Adv. Res. Rev. 2024, 21, 1440–1452. [Google Scholar] [CrossRef]
  2. Samouh, F.; Gluza, V.; Djavadian, S.; Meshkani, S.; Farooq, B. Multimodal autonomous last-mile delivery system design and application. In Proceedings of the 2020 IEEE International Smart Cities Conference (ISC2), Piscataway, NJ, USA, 28 September–1 October 2020; pp. 1–7. [Google Scholar]
  3. Eskandaripour, H.; Boldsaikhan, E. Last-mile drone delivery: Past, present, and future. Drones 2023, 7, 77. [Google Scholar] [CrossRef]
  4. Garg, V.; Niranjan, S.; Prybutok, V.; Pohlen, T.; Gligor, D. Drones in last-mile delivery: A systematic review on Efficiency, Accessibility, and Sustainability. Transp. Res. Part D Transp. Environ. 2023, 123, 103831. [Google Scholar] [CrossRef]
  5. Altinses, D.; Salazar Torres, D.O.; Schwung, M.; Lier, S.; Schwung, A. Optimizing Drone Logistics: A Scoring Algorithm for Enhanced Decision Making across Diverse Domains in Drone Airlines. Drones 2024, 8, 307. [Google Scholar] [CrossRef]
  6. Kuang, Y.Y.R. A metaheuristic approach to optimizing a multimodal truck and drone delivery system. Ph.D. Thesis, Massachusetts Institute of Technology, Cambridge, MA, USA, 2019. [Google Scholar]
  7. Altinses, D.; Schwung, A. Multimodal Synthetic Dataset Balancing: A Framework for Realistic and Balanced Training Data Generation in Industrial Settings. In Proceedings of the IECON 2023-49th Annual Conference of the IEEE Industrial Electronics Society, Singapore, 16–19 October 2023; pp. 1–7. [Google Scholar]
  8. Bolón-Canedo, V.; Sánchez-Maroño, N.; Alonso-Betanzos, A. A review of feature selection methods on synthetic data. Knowl. Inf. Syst. 2013, 34, 483–519. [Google Scholar] [CrossRef]
  9. Altinses, D. Synthetic Multimodal Drone Delivery Dataset. Dataset on Zenodo. 2024. Available online: https://zenodo.org/records/14037047 (accessed on 22 November 2024). [CrossRef]
  10. Assefa, S.A.; Dervovic, D.; Mahfouz, M.; Tillman, R.E.; Reddy, P.; Veloso, M. Generating synthetic data in finance: Opportunities, challenges and pitfalls. In Proceedings of the First ACM International Conference on AI in Finance, New York, NY, USA, 15–16 October 2020; pp. 1–8. [Google Scholar]
  11. Merkuryeva, G.; Merkuryev, Y.; Vanmaele, H. Simulation-based planning and optimization in multi-echelon supply chains. Simulation 2011, 87, 680–695. [Google Scholar] [CrossRef]
  12. Kanda, J.; Carvalho, A.; Hruschka, E.; Soares, C. Selection of algorithms to solve traveling salesman problems using meta-learning. Int. J. Hybrid Intell. Syst. 2011, 8, 117–128. [Google Scholar]
  13. He, Y.; Xiang, M. An empirical analysis of approximation algorithms for the euclidean traveling salesman problem. arXiv 2017, arXiv:1705.09058. [Google Scholar]
  14. Jozefowiez, N.; Glover, F.; Laguna, M. Multi-objective meta-heuristics for the traveling salesman problem with profits. J. Math. Model. Algorithms 2008, 7, 177–195. [Google Scholar] [CrossRef]
  15. Salman, R.; Ekstedt, F.; Damaschke, P. Branch-and-bound for the precedence constrained generalized traveling salesman problem. Oper. Res. Lett. 2020, 48, 163–166. [Google Scholar] [CrossRef]
  16. Banister, D. Sustainable transport: Challenges and opportunities. Transportmetrica 2007, 3, 91–106. [Google Scholar] [CrossRef]
  17. Okyere, S.; Yang, J.; Adams, C.A. Optimizing the sustainable multimodal freight transport and logistics system based on the genetic algorithm. Sustainability 2022, 14, 11577. [Google Scholar] [CrossRef]
  18. Derpich, I.; Duran, C.; Carrasco, R.; Moreno, F.; Fernandez-Campusano, C.; Espinosa-Leal, L. Pursuing Optimization Using Multimodal Transportation System: A Strategic Approach to Minimizing Costs and CO2 Emissions. J. Mar. Sci. Eng. 2024, 12, 976. [Google Scholar] [CrossRef]
  19. Guo, Z.; Hong, M.; Zhang, Y.; Shi, J.; Qian, L.; Li, H. Research on safety evaluation and weather routing optimization of ship based on roll dynamics and improved A* algorithm. Int. J. Nav. Archit. Ocean. Eng. 2024, 16, 100605. [Google Scholar] [CrossRef]
  20. Du, W.; Li, Y.; Zhang, G.; Wang, C.; Zhu, B.; Qiao, J. Ship weather routing optimization based on improved fractional order particle swarm optimization. Ocean. Eng. 2022, 248, 110680. [Google Scholar] [CrossRef]
  21. Kuchar, L. Using WGENK to generate synthetic daily weather data for modelling of agricultural processes. Math. Comput. Simul. 2004, 65, 69–75. [Google Scholar] [CrossRef]
  22. Semenov, M.A.; Brooks, R.J.; Barrow, E.M.; Richardson, C.W. Comparison of the WGEN and LARS-WG stochastic weather generators for diverse climates. Clim. Res. 1998, 10, 95–107. [Google Scholar] [CrossRef]
  23. Li, X.; Kou, K.; Zhao, B. Weather GAN: Multi-domain weather translation using generative adversarial networks. arXiv 2021, arXiv:2103.05422. [Google Scholar]
  24. Sharma, A.; Laupré, G.F.; Longobardi, P.; Skaloud, J. Synthetic Wind Estimation for Small Fixed-Wing Drones. Atmosphere 2024, 15, 1339. [Google Scholar] [CrossRef]
  25. Valencia-Rosado, L.O.; Starostenko, O. Methods for procedural terrain generation: A review. In Proceedings of the Pattern Recognition: 11th Mexican Conference, MCPR 2019, Querétaro, Mexico, 26–29 June 2019; Proceedings 11. Springer: Berlin/Heidelberg, Germany, 2019; pp. 58–67. [Google Scholar]
  26. Choure, M.; Jain, H.; Surve, C.; Munot, M.V.; Jaiswal, R. Unsolved Problems in the Field of Procedural Shaders and Procedural Terrain. In Smart Trends in Computing and Communications; Springer: Singapore, 2024; pp. 409–417. [Google Scholar]
  27. Nitsche, M.; Ashmore, C.; Hankinson, W.; Fitzpatrick, R.; Kelly, J.; Margenau, K. Designing procedural game spaces: A case study. Proc. Futur. 2006, 2006. [Google Scholar]
  28. Togelius, J.; De Nardi, R.; Lucas, S.M. Towards automatic personalised content creation for racing games. In Proceedings of the 2007 IEEE Symposium on Computational Intelligence and Games, Honolulu, HI, USA, 1–5 April 2007; pp. 252–259. [Google Scholar]
  29. Perlin, K. An image synthesizer. ACM Siggraph Comput. Graph. 1985, 19, 287–296. [Google Scholar] [CrossRef]
  30. Leitner, D.; Klepsch, S.; Knieß, A.; Schnepf, A. The algorithmic beauty of plant roots–an L-System model for dynamic root growth simulation. Math. Comput. Model. Dyn. Syst. 2010, 16, 575–587. [Google Scholar] [CrossRef]
  31. Xu, T.; Moore, I.D.; Gallant, J.C. Fractals, fractal dimensions and landscapes—A review. Geomorphology 1993, 8, 245–262. [Google Scholar] [CrossRef]
  32. De Carli, D.M.; Bevilacqua, F.; Pozzer, C.T.; d’Ornellas, M.C. A survey of procedural content generation techniques suitable to game development. In Proceedings of the 2011 Brazilian Symposium on Games and Digital Entertainment, Salvador, Brazil, 7–9 November 2011; pp. 26–35. [Google Scholar]
  33. Kamal, K.R.; Uddin, Y.S. Parametrically controlled terrain generation. In Proceedings of the 5th International Conference on Computer Graphics and Interactive Techniques in Australia and Southeast Asia, Perth, Australia, 1–4 December 2007; pp. 17–23. [Google Scholar]
  34. Zhao, Q.; Lu, F.; Wang, L.; Wang, S. Research on Drones and Riders Joint Take-Out Delivery Routing Problem. J. Comput. Eng. Appl. 2022, 58, 269. [Google Scholar]
  35. Lu, F.; Feng, W.; Gao, M.; Bi, H.; Wang, S. The Fourth-Party Logistics Routing Problem Using Ant Colony System-Improved Grey Wolf Optimization. J. Adv. Transp. 2020, 2020, 8831746. [Google Scholar] [CrossRef]
  36. Lu, F.; Chen, W.; Feng, W.; Bi, H. 4PL routing problem using hybrid beetle swarm optimization. Soft Comput. 2023, 27, 17011–17024. [Google Scholar] [CrossRef]
  37. Noto, M.; Sato, H. A method for the shortest path search by extended Dijkstra algorithm. In Proceedings of the SMC 2000 Conference Proceedings. 2000 IEEE International Conference on Systems, Man and Cybernetics. ‘Cybernetics Evolving to Systems, Humans, Organizations, and Their Complex Interactions’, Nashville, TN, USA, 8–11 October 2000; Volume 3, pp. 2316–2320. [Google Scholar]
  38. Hildebrandt, F.D.; Thomas, B.W.; Ulmer, M.W. Opportunities for reinforcement learning in stochastic dynamic vehicle routing. Comput. Oper. Res. 2023, 150, 106071. [Google Scholar] [CrossRef]
  39. Zhang, J.; Van Woensel, T. Dynamic vehicle routing with random requests: A literature review. Int. J. Prod. Econ. 2023, 256, 108751. [Google Scholar] [CrossRef]
  40. Lu, F.; Jiang, R.; Bi, H.; Gao, Z. Order Distribution and Routing Optimization for Takeout Delivery under Drone–Rider Joint Delivery Mode. J. Theor. Appl. Electron. Commer. Res. 2024, 19, 774–796. [Google Scholar] [CrossRef]
  41. Cattaruzza, D.; Absi, N.; Feillet, D.; González-Feliu, J. Vehicle routing problems for city logistics. EURO J. Transp. Logist. 2017, 6, 51–79. [Google Scholar] [CrossRef]
  42. Lassoued, S.; Schwung, A. Introducing PetriRL: An innovative framework for JSSP resolution integrating Petri nets and event-based reinforcement learning. J. Manuf. Syst. 2024, 74, 690–702. [Google Scholar] [CrossRef]
  43. Sun, Y.; Lang, M.; Wang, D. Optimization models and solution algorithms for freight routing planning problem in the multi-modal transportation networks: A review of the state-of-the-art. Open Civ. Eng. J. 2015, 9. [Google Scholar] [CrossRef]
  44. Bosona, T. Urban freight last mile logistics—Challenges and opportunities to improve sustainability: A literature review. Sustainability 2020, 12, 8769. [Google Scholar] [CrossRef]
  45. Chittoor, P.K.; Chokkalingam, B.; Mihet-Popa, L. A review on UAV wireless charging: Fundamentals, applications, charging techniques and standards. IEEE Access 2021, 9, 69235–69266. [Google Scholar] [CrossRef]
  46. Archetti, C.; Peirano, L.; Speranza, M.G. Optimization in multimodal freight transportation problems: A Survey. Eur. J. Oper. Res. 2022, 299, 1–20. [Google Scholar] [CrossRef]
  47. Kramarz, M.; Przybylska, E. Multimodal transport in the context of sustainable development of a city. Sustainability 2021, 13, 2239. [Google Scholar] [CrossRef]
  48. Ni, Q.; Deng, J. A new logistic dynamic particle swarm optimization algorithm based on random topology. Sci. World J. 2013, 2013, 409167. [Google Scholar] [CrossRef] [PubMed]
  49. Sun, Q. Research on the influencing factors of reverse logistics carbon footprint under sustainable development. Environ. Sci. Pollut. Res. 2017, 24, 22790–22798. [Google Scholar] [CrossRef] [PubMed]
  50. Kannan, D.; Diabat, A.; Alrefaei, M.; Govindan, K.; Yong, G. A carbon footprint based reverse logistics network design model. Resour. Conserv. Recycl. 2012, 67, 75–79. [Google Scholar] [CrossRef]
  51. Wang, S.; Tao, F.; Shi, Y. Optimization of location–routing problem for cold chain logistics considering carbon footprint. Int. J. Environ. Res. Public Health 2018, 15, 86. [Google Scholar] [CrossRef]
  52. ISO 8601-1:2019; Date and Time—Representations for Information Interchange. International Organization for Standardization: Geneva, Switzerland, 2019. Available online: https://www.iso.org/standard/70907.html (accessed on 22 November 2024).
  53. Perlin, K. Improving noise. In Proceedings of the 29th Annual Conference on Computer Graphics and Interactive Techniques, San Antonio, TX, USA, 23–26 July 2002; SIGGRAPH ’02. pp. 681–682. [Google Scholar] [CrossRef]
  54. Kumar, V.; Raheja, G. Business to business (b2b) and business to consumer (b2c) management. Int. J. Comput. Technol. 2012, 3, 447–451. [Google Scholar]
  55. Mnih, V.; Badia, A.P.; Mirza, M.; Graves, A.; Lillicrap, T.P.; Harley, T.; Silver, D.; Kavukcuoglu, K. Asynchronous Methods for Deep Reinforcement Learning. arxiv 2016, arXiv:1602.01783. [Google Scholar]
Figure 1. A two-tier distribution system is depicted, with rectangles symbolizing the central depot. The first-tier routes, represented by solid arrows, connect the central depot to second-level depots (micro hubs), shown as triangles. The second-level routes, depicted with dashed arrows, extend from these micro hubs to reach customers, represented by circles [41].
Figure 1. A two-tier distribution system is depicted, with rectangles symbolizing the central depot. The first-tier routes, represented by solid arrows, connect the central depot to second-level depots (micro hubs), shown as triangles. The second-level routes, depicted with dashed arrows, extend from these micro hubs to reach customers, represented by circles [41].
Drones 08 00724 g001
Figure 2. The Gantt chart shows an example of machine allocation schedules and the bottom chart shows AGV allocation schedules. Colors represent different jobs, with numbers indicating the operation sequence within each job.
Figure 2. The Gantt chart shows an example of machine allocation schedules and the bottom chart shows AGV allocation schedules. Colors represent different jobs, with numbers indicating the operation sequence within each job.
Drones 08 00724 g002
Figure 3. An example of a micro hub for package exchange and charging without considering weather conditions. Image created with the support of J.D. Geck GmbH, Altena, Germany.
Figure 3. An example of a micro hub for package exchange and charging without considering weather conditions. Image created with the support of J.D. Geck GmbH, Altena, Germany.
Drones 08 00724 g003
Figure 4. A two-tier distribution system is depicted, with rectangles symbolizing the central depot. The first-tier routes, represented by solid arrows, connect the central depot to second-level depots (micro hubs), shown as triangles. The second-level routes, depicted with dashed arrows, extend from these micro hubs to reach customers, represented by circles. The not-filled triangles represent closed and the solid represents active micro hubs [41].
Figure 4. A two-tier distribution system is depicted, with rectangles symbolizing the central depot. The first-tier routes, represented by solid arrows, connect the central depot to second-level depots (micro hubs), shown as triangles. The second-level routes, depicted with dashed arrows, extend from these micro hubs to reach customers, represented by circles. The not-filled triangles represent closed and the solid represents active micro hubs [41].
Drones 08 00724 g004
Figure 5. The overall multimodal delivery framework. The background can represent different environmental situations, such as communication quality. The nodes H, W, and C represent the hubs, warehouse, and customer respectively.
Figure 5. The overall multimodal delivery framework. The background can represent different environmental situations, such as communication quality. The nodes H, W, and C represent the hubs, warehouse, and customer respectively.
Drones 08 00724 g005
Figure 6. Gradient noise is used to simulate continuous environmental factors, such as communication quality, while binary environmental factors can be modeled to represent constraints like restricted areas. (a) Without a threshold to model continuous behavior. (b) With a threshold to model binary behavior. Here, we use a Gaussian filter to point out the limits.
Figure 6. Gradient noise is used to simulate continuous environmental factors, such as communication quality, while binary environmental factors can be modeled to represent constraints like restricted areas. (a) Without a threshold to model continuous behavior. (b) With a threshold to model binary behavior. Here, we use a Gaussian filter to point out the limits.
Drones 08 00724 g006
Figure 7. Randomized gradient vectors to simulate wind-like behavior with sources and sinks.
Figure 7. Randomized gradient vectors to simulate wind-like behavior with sources and sinks.
Drones 08 00724 g007
Figure 8. Spatial layout of customers, micro hubs, warehouses, and environmental constraints of a simple scenario. (a) Network quality gradient of instance 1, where dark blue represents bad quality and yellow good quality. (b) The wind gradient field of instance 1 is represented by the arrows.
Figure 8. Spatial layout of customers, micro hubs, warehouses, and environmental constraints of a simple scenario. (a) Network quality gradient of instance 1, where dark blue represents bad quality and yellow good quality. (b) The wind gradient field of instance 1 is represented by the arrows.
Drones 08 00724 g008
Figure 9. Spatial layout of customers, micro hubs, warehouses, and environmental constraints of a more complex scenario. (a) Network quality gradient of instance 2, where dark blue represents bad quality and yellow good quality. (b) The wind gradient field of instance 2 is represented by the arrows.
Figure 9. Spatial layout of customers, micro hubs, warehouses, and environmental constraints of a more complex scenario. (a) Network quality gradient of instance 2, where dark blue represents bad quality and yellow good quality. (b) The wind gradient field of instance 2 is represented by the arrows.
Drones 08 00724 g009
Figure 10. The actor–critic reinforcement learning training procedure for optimizing micro hub locations.
Figure 10. The actor–critic reinforcement learning training procedure for optimizing micro hub locations.
Drones 08 00724 g010
Figure 11. The rewards throughout training for the actor–critic reinforcement learning algorithm.
Figure 11. The rewards throughout training for the actor–critic reinforcement learning algorithm.
Drones 08 00724 g011
Figure 12. VRP algorithm applied to our synthetic dataset. The blue point represents the starting point, the red indicates the targets, and the green line is the calculated route.
Figure 12. VRP algorithm applied to our synthetic dataset. The blue point represents the starting point, the red indicates the targets, and the green line is the calculated route.
Drones 08 00724 g012
Figure 13. VRP algorithm applied to our synthetic dataset. The blue point represents the starting point, the red indicates the targets, the green line represents the calculated route, and the red represents the new route considering communication quality (background color) and wind (background arrows).
Figure 13. VRP algorithm applied to our synthetic dataset. The blue point represents the starting point, the red indicates the targets, the green line represents the calculated route, and the red represents the new route considering communication quality (background color) and wind (background arrows).
Drones 08 00724 g013
Table 1. Classification of multimodal delivery parameters: Categorization into clients, orders, warehouses, vehicles, and micro hubs.
Table 1. Classification of multimodal delivery parameters: Categorization into clients, orders, warehouses, vehicles, and micro hubs.
ParameterDomainUnitNote
ClientCustomer ID { k N } -Indicates the customer ID.
Location { p k R 2 90 / 180 p 90 / 180 } degreesGeographical coordinates.
Demand { d k R } kgThe demand of a customer.
Importance { ϵ k N 0 ϵ 100 } %Indicates significance.
OrderOrder ID { s N } -Indicates the order ID.
Customer ID { k N } -Indicates the target customer.
TimestampYYYY-MM-DDThh:mm:ssISO 8601 [52]Order placement date.
Delivery dateYYYY-MM-DDThh:mm:ssISO 8601 [52]Date of delivery.
Status { a s N 0 a s 1 } -Defines if the order is completed.
Capacity { C s R 0 C s C m a x } kg/ m 3 The weight and volume/size of the order.
Importance { ϵ s N 0 ϵ 100 } %Indicates significance of order.
Sensitivity { ρ s N 0 ρ 100 } %Defines sensitivity of the order.
WarehouseWarehouse ID { i N } -Indicates the warehouse ID.
Location { p i R 2 90 / 180 p 90 / 180 } degreesGeographical coordinates.
Capacity { C i R 0 C i C m a x } kg/ m 3 Warehouse weight and volume capacity.
Variable ecologic cost { ψ i v R } g h Variable CO2 emissions.
Fix ecologic cost { ψ i f R } gFix CO2 emissions.
Variable economic cost { ϕ i v R } h Variable costs.
Fix economic cost { ϕ i f R } Fix costs.
VehiclesVehicle ID { u N } -Indicates the vehicle ID.
Location { p u R 2 90 / 180 p 90 / 180 } degreesThe position initialized at a node.
Vehicle type { m u N 0 m 1 } -Zero for truck and one for drone.
Capacity { C u R 0 C u C m a x } kg/ m 3 Vehicle weight and volume capacity.
Range { B u R } kmPossible range of the vehicle ( η u / E u ).
Battery/tank level { L u N 20 L u 100 } %Percentage of battery/tank level.
Charging time { T u c R } sRecharge/refueling time of the vehicle.
Loading time { T u l R } sTime to load the vehicle.
Energy consumption { η u R } % km Percentage of battery/tank per kilometer.
Weight { W u R } kgVehicle weight.
Velocity { v u R } km h The average velocity of the vehicle.
Status { a u N 0 a 1 } -Defines if the vehicle is busy.
Customer route { r u k R } setRoute info to customers (distance, time).
Hub route { r u j R } setRoute info to hubs (distance, time).
Variable ecologic cost { ψ u v R } g km Variable CO2 emissions.
Fix ecologic cost { ψ u f R } gFix CO2 emissions.
Variable economic cost { ϕ u v R } km Variable costs.
Fix economic cost { ϕ u f R } Fix costs.
HubHub ID { j N } -Indicates the hub ID.
Location { p j R 2 90 / 180 p 90 / 180 } degreesGeographical coordinates.
Hub type { m j N 0 m 2 } -Defines the micro-hub type.
Battery/Tank level { L j N 20 L j 100 } %Percentage of Battery/Tank level.
Energy consumption { η j R } % km Percentage of battery/tank per kilometer.
Capacity { C j R 0 C j C m a x } kg/ m 3 Hub weight and volume capacity.
Drone capacity { C j d N 0 C j d C m a x } -Drone slots in the hub.
Range { B j R } kmPossible range ( η j / E j ).
Velocity { v j R } km h The average velocity of the hub.
Status { a j N 0 a 1 } -Defines if the hub is stationary.
Routes { r j k R } setAll route information (distance, time).
Variable ecologic cost { ψ j v ( a j ) R } g km / g h Variable CO2 emissions.
Fix ecologic cost { ψ j f ( a j ) R } gFix CO2 emissions.
Variable economic cost { ϕ j v ( a j ) R } km / h Variable costs.
Fix economic cost { ϕ j f ( a j ) R } Fix costs.
Disclaimer/Publisher’s Note: The statements, opinions and data contained in all publications are solely those of the individual author(s) and contributor(s) and not of MDPI and/or the editor(s). MDPI and/or the editor(s) disclaim responsibility for any injury to people or property resulting from any ideas, methods, instructions or products referred to in the content.

Share and Cite

MDPI and ACS Style

Altinses, D.; Torres, D.O.S.; Gobachew, A.M.; Lier, S.; Schwung, A. Synthetic Dataset Generation for Optimizing Multimodal Drone Delivery Systems. Drones 2024, 8, 724. https://doi.org/10.3390/drones8120724

AMA Style

Altinses D, Torres DOS, Gobachew AM, Lier S, Schwung A. Synthetic Dataset Generation for Optimizing Multimodal Drone Delivery Systems. Drones. 2024; 8(12):724. https://doi.org/10.3390/drones8120724

Chicago/Turabian Style

Altinses, Diyar, David Orlando Salazar Torres, Asrat Mekonnen Gobachew, Stefan Lier, and Andreas Schwung. 2024. "Synthetic Dataset Generation for Optimizing Multimodal Drone Delivery Systems" Drones 8, no. 12: 724. https://doi.org/10.3390/drones8120724

APA Style

Altinses, D., Torres, D. O. S., Gobachew, A. M., Lier, S., & Schwung, A. (2024). Synthetic Dataset Generation for Optimizing Multimodal Drone Delivery Systems. Drones, 8(12), 724. https://doi.org/10.3390/drones8120724

Article Metrics

Back to TopTop