Next Article in Journal
Modeling Analysis for Downlink RIS-UAV-Assisted NOMA over Air-to-Ground Line-of-Sight Rician Channels
Previous Article in Journal
Distributed Model Predictive Control Cooperative Guidance Law for Multiple UAVs
 
 
Font Type:
Arial Georgia Verdana
Font Size:
Aa Aa Aa
Line Spacing:
Column Width:
Background:
Article

Rapid Optimization of Active Disturbance Rejection Controller Parameters for Quadrotor UAVs Using Kriging Surrogate Modeling

1
Liaoning Provincial Key Laboratory of Aerospace Advanced Technology, School of Mechanics and Aerospace Engineering, Dalian University of Technology, Dalian 116024, China
2
Qian Xuesen Space Technology Laboratory, China Academy of Space Technology, Beijing 100094, China
*
Author to whom correspondence should be addressed.
Drones 2024, 8(11), 658; https://doi.org/10.3390/drones8110658
Submission received: 4 October 2024 / Revised: 4 November 2024 / Accepted: 6 November 2024 / Published: 8 November 2024

Abstract

The Active Disturbance Rejection Controller (ADRC), celebrated for its superior resistance to interference, presents itself as an exemplary solution for the development of control systems that are designed to accommodate substantial changes in payload weight for quadrotor Unmanned Aerial Vehicles (UAVs) and to endure robust side winds along with other challenging operational scenarios. Despite the inherent complexity due to the numerous parameters required for the configuration of the ADRC, an innovative method utilizing the Kriging surrogate optimization algorithm has been introduced to automate and expedite the generation of these controller parameters. The development of the ADRC begins with the dynamics model of the quadrotor UAV, followed by the identification of key design parameters. These parameters are then rapidly optimized through the Kriging surrogate optimization algorithm. The controller’s effectiveness is confirmed by implementing the ADRC on Pixhawk flight control hardware, with a comparative analysis of the attitude response under various operating conditions, thereby validating the ADRC’s superior anti-disturbance performance.

1. Introduction

The recent years have witnessed a surge in the development of quadrotor UAVs, which, in contrast to their fixed-wing counterparts, offer remarkable capabilities such as vertical take-off and landing (VTOL) and the ability to hover effortlessly. These vehicles boast superior safety, cost-effectiveness, adaptability to various environments, and ease of deployment [1]. Their widespread application spans across sectors like agricultural surveillance, environmental monitoring, search-and-rescue operations, logistics, and military reconnaissance, thereby establishing a robust foundation for the burgeoning “low-altitude economy”. Characterized as complex multiple-input multiple-output (MIMO) systems with strong coupling and underactuation, the design of control systems for quadrotor UAVs has become a focal point of contemporary research within the aerospace domain [2]. As the utilization of quadrotor UAVs expands, the operational environments they face become increasingly varied and complex. In the realm of agricultural surveillance, these UAVs are required to sustain stable flight paths under a multitude of meteorological conditions, including gusty winds and rainfall, as well as over diverse terrains. Paralleling this, in the context of search-and-rescue missions, they are charged with the duty of identifying targets in the presence of adverse weather conditions and within terrains that pose significant challenges.
To tackle the aforementioned challenges, this paper employs an active-disturbance-rejection-control-based approach to engineer a controller for quadrotor UAVs. The ADRC methodology [3] transcends the need for a detailed object model, relying instead on the object’s input and output data. It adeptly classifies all sources of uncertainty impinging on the control system under the umbrella of “unknown disturbances”, providing a means to effectively counteract them. Over the recent years, a marked surge in research has been observed, focusing on the application of ADRC techniques to the control system design of multi-rotor UAVs. In the quest to address the attitude control challenges of quadrotor UAVs, Wang et al. [4] introduced a Linear Active Disturbance Rejection Controller (LADRC). Recognizing the bandwidth constraints inherent in LADRCs that can limit control precision, they [5] advanced the design by integrating Sliding Mode Control (SMC) with the LADRC, thereby bolstering the system’s robustness and resilience to interference. Liu et al. [6] put forth an ADRC for altitude and attitude control of quadrotor UAVs. Further, Sun and Wang et al. [7,8,9] augmented the ADRC’s control performance by fusing it with intelligent algorithms. Despite the notable theoretical and simulation advancements of ADRC methods for quadrotor UAVs, the intricate interplay and innovation of these methods have compounded the complexity of ADRC design, particularly due to the extensive array of parameters it entails. This paper addresses the challenging issue of parameter tuning in ADRC systems, introducing a practical and efficient parameter optimization strategy designed to streamline the controller design process within engineering applications.
The Kriging surrogate model, alternatively known as the Gaussian stochastic process model, was initially introduced by geologist Krige [10,11] as a statistically grounded, unbiased minimum variance estimation framework. It was subsequently refined by French mathematician Matheron [12], and has since become a cornerstone in high-fidelity analysis across various academic fields. The model’s utility stems from its capacity to streamline and enhance the precision of complex, labor-intensive, and sensitive high-fidelity models. In the realm of control systems, Hou et al. [13] adeptly employed the surrogate model to fine-tune PID controllers, thereby achieving precise tracking of vehicle traverse rates. Similarly, R.P. Liem et al. [14] harnessed the Kriging surrogate optimization algorithm in conjunction with expert predictions to forecast the aerodynamic performance of vehicles during mission flights. These applications underscore the Kriging surrogate optimization method’s prowess in addressing the intricate parameter configuration challenges inherent in complex systems.
In this paper, the key parameters to be determined are sorted out on the basis of the structure of the ADRC. Following this, we introduce the Kriging surrogate optimization algorithm to expedite the computation of these parameters. The practical application of the ADRC for the attitude control of quadrotor UAVs is rigorously validated through Hardware-In-The-Loop (HITL) experiments, which are conducted under scenarios simulating parameter variations and external disturbances. These experiments not only substantiate the enhanced control efficacy of the ADRC but also confirm the practicality of employing the Kriging surrogate optimization algorithm for the configuration of controller parameters.
The manuscript is systematically structured as follows: Section 1 delineates the formulation of the quadrotor UAV’s attitude dynamic model; Section 2 elaborates on the ADRC framework and the critical parameters slated for design; Section 3 details the methodology for generating controller parameters via the Kriging surrogate optimization algorithm; Section 4 presents the experimental validation affirming the controller’s efficacy; and Section 5 encapsulates our conclusive remarks.

2. Attitude Dynamic Modeling for Quadrotor UAV

The airframe structure of the quadrotor UAV is illustrated in Figure 1, where motors propel rotors 1 and 3 to rotate counterclockwise and rotors 2 and 4 to rotate clockwise, thereby generating lift [8,15]. The adjacent rotors’ opposing rotations neutralize the counter-rotational torque exerted by the rotors on the fuselage, ensuring that the fuselage remains stable without rotation even when all four rotors operate at uniform speeds.
When the rotational speed of rotor 1 is increased (decreased) and the rotational speed of rotor 3 is reduced (increased) while keeping the rotational speed of the other two rotors unchanged, the quadrotor UAV performs a roll motion; when the rotational speed of rotor 1 and rotor 3 is increased (decreased) and the rotational speed of rotor 2 and rotor 4 is decreased (increased) at the same time, the quadrotor UAV performs a yaw motion; and when the rotational speeds of four rotors are increased (decreased) at the same time, the quadrotor UAV performs an ascent (descent) motion.
In a schematic diagram of quadrotor drone structure, E ( E x , E y , E z ) represents the ground coordinate system and B ( B x , B y , B z ) represents the airframe coordinate system solidly attached to the center of mass of the UAV. ϕ , θ , ψ stands for three attitude angles of the quadrotor UAV. ϕ is the roll angle of rotation around the B x axis, θ is defined as the pitch angle which is between the body axis B B x and the horizontal plane E E x E y , and ψ is the yaw angle of rotation around the E z axis.
According to Newton’s laws of motion and Euler’s dynamics equations, the dynamics equations of the quadrotor UAV can be analyzed as Equation (1).
x ¨ = ( cos ψ sin θ cos ϕ + sin ψ sin ϕ ) U 1 m y ¨ = ( sin ψ sin θ cos ϕ cos ψ sin ϕ ) U 1 m z ¨ = U 1 cos θ cos ϕ m g p ˙ = ( I y I z ) I x q r + J r I x q Ω + L I x U 2 q ˙ = ( I z I x ) I y r p J r I y p Ω + L I y U 3 r ˙ = ( I x I y ) I z p q + U 4 I z
m denotes the mass of the quadcopter UAV, g denotes the acceleration due to gravity, and x ¨ , y ¨ , z ¨ denotes the acceleration of the UAV along each axis of ground coordinate. p , q , r denotes the angular velocity of the UAV rotating around the B x axis, B y axis, and B z axis, respectively. J r is the rotor moment of inertia, I x , I y , I z denotes the rotor moment of inertia of the UAV rotating around the x-axis, y-axis, and z-axis, respectively. U 1 denotes the throttle channel input value, U 2 is the input value of the roll channel, U 3 is the input value of the pitch channel, U 4 is the input value of the yaw channel, and their calculation expressions are as follows:
U 1 U 2 U 3 U 4 = k l k l k l k l 0 k l 0 k l k l 0 k l 0 k t k t k t k t Ω 1 2 Ω 2 2 Ω 3 2 Ω 4 2
where Ω = ( Ω 1 Ω 2 + Ω 3 Ω 4 ) , Ω i , i = 1 , 2 , 3 , 4 denotes the rotor’s rotating speed, k l denotes the lift coefficient, and k t denotes the counter torque coefficient.
In Equation (1), the attitude angular velocity is related to the quadrotor UAV attitude angle rate as follows:
p q r = cos θ cos ψ sin ψ 0 cos θ sin ψ cos ψ 0 sin θ 0 1 ϕ ˙ θ ˙ ψ ˙
Given that the attitude angle of the quadrotor UAV fluctuates around the zero-degree angle during hovering or in low-speed flight, Equation (3) can be simplified as shown below.
p q r ϕ ˙ θ ˙ ψ ˙
Therefore, Equation (1) can be reduced to the following equation.
x ¨ = ( cos ψ sin θ cos ϕ + sin ψ sin ϕ ) U 1 m y ¨ = ( sin ψ sin θ cos ϕ cos ψ sin ϕ ) U 1 m z ¨ = U 1 cos θ cos ϕ m g ϕ ¨ = ( I y I z ) I x θ ˙ ψ ˙ + J r I x θ ˙ Ω + L I x U 2 θ ¨ = ( I z I x ) I y ψ ˙ ϕ ˙ J r I y ϕ ˙ Ω + L I y U 3 ψ ¨ = ( I x I y ) I z ϕ ˙ θ ˙ + U 4 I z

3. Attitude Active Disturbance Rejection Controller Design

The quadrotor UAV dynamics equations are shown in Equation (5), on the basis of which the design of the attitude 3-channel ADRC will be carried out in this section.

3.1. ADRC Principle

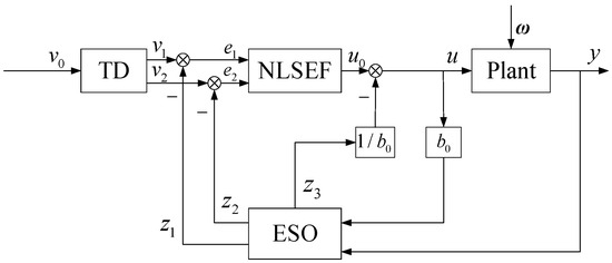
The ADRC is mainly composed of a tracking differentiator (TD), Extended State Observer (ESO), and Nonlinear State Error Feedback (NLSEF) control law [16]. As depicted in Figure 2, the core concept of the ADRC structure revolves around the use of the simple integral series form of the controlled output as a reference standard. Any divergence of the system dynamics from this standard is interpreted as the total perturbation, which includes both internal and external disturbances. By utilizing an Extended State Observer (ESO), this total perturbation is estimated and compensated for in real-time. This methodology facilitates the reversion of the perturbed, uncertain, and nonlinear controlled system to align with the standard integral series form [17,18,19].
In Figure 2, v 0 is the input signal, and v 1 , v 2 are the tracking signal and high-quality differential signal of the input signal, respectively. ω is the external perturbation signal, z 3 is the observation of the external perturbation of the system, y is the output signal of the system, and z 1 , z 2 are its observation signal. e 1 , e 2 are the difference between v 1 , v 2 and z 1 , z 2 , respectively. b 0 are gain parameters, mostly functions of the state- or time-varying parameters. u 0 and u are the control signals before and after error compensation, respectively. In the ADRC, TD is a transition process, which, in addition to obtaining the tracking signal of the input signal and the high-quality differential signal, also plays the role of filtering and reducing the initial errors. The Extended State Observer (ESO) not only can estimate the system state variables, but also estimate the system uncertainty and external disturbances and compensate them accordingly, thus effectively suppressing the system disturbance.

3.2. Design of UAV Attitude Control Algorithm Based on the ADRC

Firstly, the Equation (5) should be rewritten into a form corresponding to ADRC theory.
ϕ ¨ θ ¨ ψ ¨ = f 1 ( ϕ , ϕ ˙ , θ , θ ˙ , ψ , ψ ˙ ) f 2 ( ϕ , ϕ ˙ , θ , θ ˙ , ψ , ψ ˙ ) f 3 ( ϕ , ϕ ˙ , θ , θ ˙ , ψ , ψ ˙ ) + ω 1 ω 2 ω 3 + b 0 ϕ 0 0 0 b 0 θ 0 0 0 b 0 ψ U 2 U 3 U 4
f i is the internal perturbation of the system, ω i is the external perturbation of each channel, and b 0 ϕ , b 0 θ , b 0 ψ indicates the gain parameters for the roll, pitch, and yaw channels, respectively.
Based on Equation (6), the quadrotor Attitude Active Disturbance Rejection Control Law is designed, and the structure block diagram is shown in Figure 3.
The following is an example of the ADRC design methodology for the yaw channel.

3.2.1. Tracking Differentiator

The output signal v 1 of the tracking differentiator is the tracking signal of the input signal v 0 ( ψ d ) . v 2 is the differential signal of v 1 . The discrete form of the tracking differentiator is shown below:
e v ( k ) = v 1 ( k ) ψ d ( k ) f h = f h a n ( e v ( k ) , v 2 ( k ) , r 0 , h 0 ) v 1 ( k + 1 ) = v 1 ( k ) + T v 2 ( k ) v 2 ( k + 1 ) = v 2 ( k ) + T f h
where ψ d is the desired yaw angle, the unit is rad; r 0 is the speed factor to determine the tracking speed; h 0 is the filtering factor; and T is the time step, which has a value of 0.01 s. f h a n ( ) is the maximum speed control synthesis function, and the expression is shown in Equation (8); s i g n ( ) is the symbolic function, and its expression is shown in Equation (9).
d = r h 0 d 0 = h 0 d y = v 1 + h 0 v 2 a 0 = d 2 + 8 r 0 y a = v 2 + a 0 d 2 s i g n ( y ) , y > d 0 v 2 + y h 0 ,         y d 0 f h a n = r 0 s i g n ( a ) , a > d r 0 a d , a d
s i g n ( y ) = 1 y > 0 0 y = 0 1     y < 0
The larger the speed factor r 0 is, the faster the tracker will be, and vice versa. The overshoot can be avoided, so choosing the appropriate speed factor can realize the fast-tracking without overshoot, and take r 0 = 2 out of the consideration of the response speed of the model. The filtering factor h 0 can filter out the noise part of the tracking signal, so that a smooth tracking signal can be obtained for the input signal containing noise or discontinuous signal, which improves the robustness of the system. In the practical situation, it is generally taken that h 0 = 3 T ~ 5 T , where T is the sampling time (which has a value of 0.01   s in this paper).

3.2.2. Extended State Observer

The ESO is used to estimate and compensate for the internal and external perturbations and uncertainties of the system, thus transforming the original system into an integrator series-type controlled system. In Figure 2, z 1 , z 2 is the estimated values of the state quantities v , v ˙ , respectively. z 3 represents the estimation of internal disturbance f i ( ) and external disturbance ω i . The discrete form of the second-order ESO is denoted as follows:
e ( k ) = z 1 ( k ) ψ ( k ) f e = f a l ( e ( k ) , α 1 , δ o ) f e 1 = f a l ( e ( k ) , α 2 , δ o ) z 1 ( k + 1 ) = z 1 ( k ) T ( z 2 ( k ) β o 1 e ( k ) ) z 2 ( k + 1 ) = z 2 ( k ) + T ( z 3 ( k ) β o 2 f e + b 0 u ( k ) ) z 3 ( k + 1 ) = z 3 ( k ) T ( β o 3 f e 1 )
where e ( k ) represents the error between the observed value and the actual value of the yaw angle ψ , f a l ( ) is the nonlinear function and its nonlinearity is decided by α 1 , α 2 , which are generally taken between 0 and 1. In this paper, their values are taken as 0.5 and 0.25. β o 1 , β o 2 , β o 3 are gains of ESO. The expression of the function f a l ( ) is shown in Equation (11).
f a l ( e , α , δ o ) = e δ o α 1 ,           e δ o e α s i g n ( e ) ,   e > δ o
δ o is the length of the interval of the linear segment. The smaller δ o , the more sensitive the response of the function f a l ( ) to small errors. In this paper, δ o = 0.1 . α is the power, reflecting the degree of nonlinearity of the observer.

3.2.3. Nonlinear State Error Feedback Control Law

The basic idea of the NLSEF control law is to use the error to eliminate the error. Its discrete form is expressed as follows:
e 1 ( k ) = v 1 ( k + 1 ) z 1 ( k + 1 ) e 2 ( k ) = v 2 ( k + 1 ) z 2 ( k + 1 ) u 0 ( k ) = k p f a l ( e 1 ( k ) , α c 1 , δ c ) + k d f a l ( e 2 ( k ) , α c 2 , δ c )
where k p , k d are the proportional and differential gain, respectively. α c 1 , α c 2 are similar to α o 1 , α o 2 in ESO, whose values are 0.75 and 1.25, separately. δ c is similar to δ o in ESO, and the value is 0.2.

3.2.4. Disturbance Compensation

Based on the error feedback control quantity u 0 , z 3 , which is the observed disturbance quantity, is used for compensation to realize the anti-disturbance function of the controller. The final output control quantity u is shown in the Equation (13).
u ( k ) = u 0 ( k ) z 3 ( k ) b 0

3.2.5. Key Parameters of the Controller

When adjusting the controller parameters, the 10 parameters which are r 0 , h 0 , β o 1 , β o 2 , β o 3 , α c 1 , α c 2 , k p , k d , b 0 need to be varied according to the actual demand of the system. Since r 0 , h 0 , α c 1 , α c 2 have already been determined, the remaining 6 parameters are mainly calibrated in this paper. Among them, β o 1 , β o 2 , β o 3 , k p , k d can be determined according to the concept of bandwidth [20]. Parameters β o 1 , β o 2 , β o 3 can be related to the bandwidth of the ESO because the characteristic equation of the linear ESO is as follows.
s 3 + β o 1 s 2 + β o 2 s + β o 3 = 0
Generally speaking, Equation (14) is mostly rewritten in the following form in order to better estimate the state of the observed object and the total perturbation.
( s + ω o ) 3 = 0
Therefore, the parameters β o 1 , β o 2 , β o 3 need to satisfy the following relationship.
β o 1 = 3 ω o β o 2 = 3 ω o 2 β o 3 = ω o 3
For k p , k d in the NLSEF control law, they are parameterized to satisfy the following relationship.
s 2 + k d s + k p = ( s + ω c ) 2
Therefore, k p , k d can be obtained.
k p = ω c 2 k d = 2 ω c
ω c is the bandwidth of the Nonlinear State Error Feedback Control law.
To sum it up, since the single-channel ADRC has three key parameters, there are nine key parameters for the roll, pitch, and yaw channels. It is undoubtedly very difficult to generate the above nine parameters using the trial-and-error method. However, since the Kriging surrogate optimization algorithm has the advantages of global optimization, high optimization efficiency, and strong adaptability [21,22,23], it is used for the fast generation of the 3-channel parameters of the attitude of a quadrotor UAV.

4. Generation of ADRC Parameters via Kriging Surrogate Optimization Algorithm

Leveraging the established dynamics model and attitude control structure of the quadrotor UAV, we employ the Kriging surrogate optimization algorithm to swiftly determine the nine pivotal parameters governing the roll, pitch, and yaw channels.

4.1. Theory of Kriging Surrogate Model

The Kriging surrogate model distinguishes itself from other models by its unique ability to forecast unknown function values and concurrently estimate the prediction error, thereby providing a significant advantage in terms of accuracy and reliability. This dual capability makes Kriging an exceptional tool for predictive modeling, especially in contexts where both precision and dependability are paramount [24,25]. The Kriging surrogate model has become extensively adopted across a multitude of fields [26,27,28], due to its remarkable ability to identify globally optimal solutions, effectively approximate nonlinear functions, and offer robust error estimations [24,29,30]. This model has risen to prominence as one of the leading surrogate modeling techniques currently in practice.
The Kriging surrogate model fundamentally operates as an interpolation model, wherein the interpolation outcome is articulated as a linear combination of the response values from known sample functions, weighted appropriately, as shown in Equation (19).
y ^ ( x ) = i = 1 n w i y ^ ( x i )
y ^ ( x i ) is the response value of the i group of samples, and w i is the weight coefficient corresponding to this group of response values. Therefore, as long as the weight coefficients are determined, the predicted value of any design scheme can be obtained.
To compute the weight coefficients w i ,   i = 1 , 2 , , n , the Kriging surrogate model treats the unknown function as a concrete realization of some Gaussian static stochastic process, as shown in Equation (20).
Y ^ ( x ) = i = 1 n f i ( x ) β i + Z ( x ) = f T ( x ) β + Z ( x )
Y ^ ( x ) is the estimate of the objective function, f T ( ) is the trend of the model, which can be any linear or nonlinear function of the design variables x . β is a vector of unknown constants, which represents the mathematical expectation of Y ^ ( x ) . Z ( ) represents the static stochastic process, which is represented by the mean and covariance in Equation (21).
E Z ( x ) = 0 C o v Z ( x i ) , Z ( x j ) = σ 2 R x i , x j
x i ,   x j denotes any two different locations in the design space, R ( x i , x j ) denotes the correlation function, and its expression is shown in Equation (22).
R ( θ , x i , x j ) = k = 1 m R ( θ k , x i k x j k )
θ = θ 1 , θ 2 , , θ m T m is the model parameter to be determined, and k denotes different dimensions. The Kriging surrogate model predictions are shown in Equation (23).
y ^ ( x 0 ) = f T ( x 0 ) β ^ + r T ( x S , x 0 ) R S 1 ( y S F S β ^ )
x 0 denotes the unknown sample points; x S denotes the set of known sample points. Matrix R S represents the correlation matrix, which is constructed from the correlation function values of all known sampling points.
Given that the focal point of this research segment is the parameter generation for the ADRC system, we have chosen to omit the intricate derivations of the Kriging surrogate model’s predictive capabilities and its associated error estimation mechanisms. For an in-depth comprehension of these methodologies, it is recommended that readers refer to the pertinent literature cited within this document [14,24].

4.2. Constructing the Initial Kriging Surrogate Model

The initial step involves crafting a surrogate model that correlates the objective function with the design variables. This objective function is meticulously formulated as a linear weighted sum reflecting the disparity between the commanded attitude angles and the actual response angles across the roll, pitch, and yaw channels [24], as delineated in the Equation (24).
y = w ϕ ϕ d ϕ + w θ θ d θ + w ψ ψ d ψ
In this context, the paradigm weight factors w ϕ , w θ , w ψ represent the differential weights attributed to the deviation between the desired and actual attitude angles for each of the three channels. Meanwhile, ϕ d , θ d , ψ d denote the respective desired attitude angles for the roll, pitch, and yaw channels.
A schematic representation of the parameter generation structure, which leverages the Kriging surrogate optimization algorithm, is depicted in Figure 4. Initially, the Design of Experiments (DoE) approach is employed to sample within the design variable space, thereby acquiring the initial sample point coordinates. Within the scope of this study, the Latin Hypercube Sampling (LHS) technique has been selected to determine these initial sample points, ensuring a uniform distribution of the sample points across the variable space [31,32].
S = [ x 1 , x 2 , , x n ] R 9 × n
S is the initial sample point set. Numerical simulation is performed to gain each sample point’s response values.
Y ^ = [ y ^ ( x 1 ) , y ^ ( x 2 ) , , y ^ ( x n ) ]
At this point, the initial Kriging surrogate model is completed. Subsequently, we need to determine whether there are any response values y ^ ( x i ) in the model that satisfy the termination condition, and if so, we output the corresponding sample points x i . If there is, the corresponding sample point is output. If the objective function value does not meet the termination criteria, the Kriging surrogate model is iteratively refined by identifying and incorporating new sample points based on the additive optimization criterion. This process continues until the value of the objective function aligns with the predefined termination conditions, thereby ensuring the convergence of the model to an optimal solution.
At present, several prevalent criteria are employed for additive optimization, including the Minimizing Surrogate Model Prediction (MSP) criterion, the Expectation Improving (EI) criterion, and the Lower Confidence Bound (LCB) criterion, among others. Among these, the EI criterion is particularly adept at addressing nonlinear problems. Consequently, in this study, the EI criterion is selected to update the Kriging surrogate model.

4.3. Controller Parameters Generation

The core idea of the EI criterion, also known as Efficient Global Optimization (EGO) [21], is to efficiently advance the optimization process by selecting the point with the most potential to improve the current optimal solution for evaluation in each iteration. Set the current optimal objective function value to be y min , and the Kriging surrogate model predictions obey a normal distribution Y ^ ( x ) N y ^ ( x ) , s 2 ( x ) with mean y ^ ( x ) and standard deviation s ( x ) , and its probability density is shown as follows.
P ( Y ^ ( x ) ) = 1 2 π s ( x ) e 1 2 ( Y ( x ) y ^ ( x ) s ( x ) ) 2
For the minimization problem, the objective function improvement I ( x ) is defined as follows.
I = max ( y min Y ^ ( x ) , 0 )
The expected value of the I ( x ) is shown in Equation (29).
E I ( x ) = ( y min y ^ ) Φ ( y min y ^ s ) + s ϕ ( y min y ^ s ) 0
Φ and ϕ are the standard normal cumulative distribution function and the standard normal distribution probability density function, respectively.
Solve the sub-optimization problem of maximizing the value of E I ( x ) as follows
M a x E I ( x ) s . t . x 1 x x u
and a new sample point, x * , can be obtained. The Kriging surrogate model is iteratively refined by incorporating the newly generated sample points. This cycle of updates persists until the model achieves convergence, at which juncture the process is halted, and a set of optimal controller parameters x o p t is produced as output.

5. Results Analysis

To validate the efficiency of the Kriging surrogate optimization algorithm in rapidly determining the parameters for the ADRC system, a controlled experiment was executed. In this experiment, the original outer-loop Proportional-Integral-Derivative (PID) controller was retained, while the inner-loop PID controller was replaced with the ADRC. HITL experiments were meticulously performed by integrating the ADRC with Pixhawk hardware within a MATLAB/Simulink simulation environment.

5.1. Controller Parameter Generation

For the initial phase of our parameter generation process, we strategically selected the number of samples using the Latin Hypercube Sampling method. The time step, denoted as T = 0.01   s , was meticulously calibrated, with the Kriging surrogate model’s computation cycle set to a duration of 15 s. After pre-experimental attempts, the following design domains were chosen to ensure convergence of the optimization process. The range of sample space (upper and lower bounds) is set as shown in Equation (31).
L B = 0.5 10 100 0.9 60 60 1.0 30 10 T U B = 3.5 40 200 3.5 80 160 2.0 70 40 T
The maximized number of the EI criterion sampling is set as 240 times. The optimization would be stopped when the defined maximum iteration number is reached or the minimum objective function remains unchanged for 20 consecutive times. Within the scope of our simulation, a notable discrepancy was observed between the feedback and command signals, particularly with respect to the pitch and yaw angles. To counteract this deviation, we opted to increase the weight coefficients within the objective function. This adjustment was instrumental in accelerating the generation of the controller parameters, thereby enhancing the overall optimization process.
w ϕ = 1 w θ = 10 w ψ = 10
Figure 5 delineates the trend of the objective function’s value in correlation with the number of optimization iterations, while Table 1 presents the final set of parameters for the three control channels—roll, pitch, and yaw—synthesized by the Kriging surrogate optimization algorithm.
In Figure 5a, the red parts represent the initial LHS process, which inherently contains an element of randomness; the blue segments denote the subsequent process of refining the sample point set utilizing the EI criterion. Overall, the controller parameters generated by the EI criterion optimization correspond to significantly smaller objective function values than those obtained through LHS.
Figure 5b demonstrates that an optimal set of parameters for the ADRC can be efficiently generated through the Kriging surrogate optimization algorithm. By iteratively updating the sample points a total of 21 times employing the EI criterion, the algorithm’s swiftness is confirmed, validating its efficiency in the parameter optimization process.
x o p t = ω o ϕ , ω c ϕ , b 0 ϕ , ω o θ , ω c θ , b 0 θ , ω o ψ , ω c ψ , b 0 ψ T
Upon substituting the parameter values in Table 1 into Equations (16) and (18), 15 parameter values for the attitude 3-channel can be obtained.
The parameters of the six-degree-of-freedom dynamics model of the quadrotor UAV are shown in Table 2.
To demonstrate the superior performance of the ADRC across control metrics like response time, adjustment time, and stability, we conducted a comparative analysis with a PID controller. The PID controller’s parameters were optimized through self-tuning, as detailed in Table 3.
The simulation settings are as follows: at the moment of t = 2 s, the roll, pitch, and yaw channels are input with step signals of 15°, 15°, and 10°, respectively, and the simulation time is set to t = 10 s. The attitude angles under different controllers are shown in Figure 6.
The performance indicators comparing the attitude angle step response of the quadrotor UAV under two different controllers are shown in Table 4.
The performance indicators of the control effects for both controllers are presented in Table 4. The findings demonstrate that the UAV integrated with the ADRC surpasses the PID-controlled UAV in terms of rise time, response time, adjustment time, and steady-state error. This comparative experimental analysis confirms the efficacy of the Kriging surrogate optimization algorithm, validating its superiority in enhancing the performance of the UAV’s control system.

5.2. HITL Experiment

For this study, we utilized the Pixhawk 2.4.8 (https://pixhawk.org/) as our hardware platform, integrated with the software environment jMAVSim, and employed QGroundControl 4.0.6 as the ground station. The schematic representation of the hardware-to-software interface is presented in Figure 7.
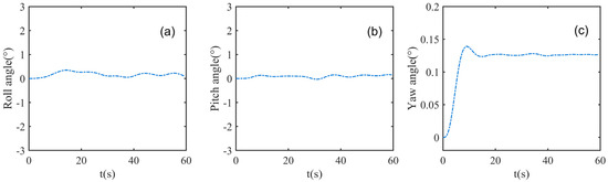
To assess the performance of the Unmanned Aerial Vehicle (UAV) following the application of the Kriging surrogate optimization algorithm for the generation of controller parameters, we conducted simulations to replicate the dynamic changes in mass that the quadrotor UAV experiences throughout its operational phase. Figure 8 depicts the system’s attitude response under these simulated mass variations.
A thorough analysis reveals that the UAV equipped with the ADRC successfully maintains stable attitudes across the roll (Figure 8a), pitch (Figure 8b), and yaw (Figure 8c) axis despite experiencing a reduction in mass. Figure 8 demonstrates the efficacy of the Kriging surrogate optimization algorithm in rapidly generating effective controller parameters.
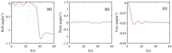
To test the anti-disturbance ability of the quadrotor UAV when facing suddenly lateral wind during operation, horizontal lateral wind with intensity of 4   m / s is added at t = 30   s moment after take-off, and the attitude angle responses of the ADRC are shown in.
Analysis shows that it becomes evident that the introduction of a horizontal lateral wind at a critical moment has a pronounced effect on the roll angle (Figure 9a). The UAV employing the ADRC strategy demonstrates a swift response to this gust, swiftly reaching a steady state and maintaining the roll angle near its desired position. A comparative analysis of the pitch (Figure 9b) and yaw (Figure 9c) channels reveals that the ADRC-equipped UAV exhibits a markedly superior response in both axes. Case 2 confirms the enhanced anti-disturbance capabilities of the ADRC.

6. Conclusions

This paper introduces a novel and rapid method for generating parameters for the ADRC system by employing the Kriging surrogate optimization algorithm, thereby tackling the challenges posed by the multitude and intricacy of ADRC parameter tuning. The Kriging surrogate optimization algorithm has proven its effectiveness by successfully identifying satisfactory values for nine key controller parameters in fewer than 50 iterative enhancements. The ADRC, once refined through this optimization process, has shown improved performance when dealing with both internal parameter fluctuations and external disturbances. Moreover, this work confirms the feasibility of the proposed methodology for the swift acquisition of controller parameters.

Author Contributions

Conceptualization, S.Z. and W.Z.; methodology, S.Z., W.Z. and X.H.; software, S.Z. and X.H.; validation, S.Z., W.Z. and X.H.; formula analysis, S.Z.; resources, S.Z., W.Z. and X.H.; data curation, S.Z.; writing—original draft preparation, S.Z., W.Z. and X.H.; writing—review and editing, S.Z., F.Z., W.Z. and X.H.; supervision, W.Z. and X.H. All authors have read and agreed to the published version of the manuscript.

Funding

This research was financially supported by the Liaoning Province Science and Technology Plan Project, under the grant number 2019JH1/10100028.

Data Availability Statement

The original contributions presented in the study are included in the article, further inquiries can be directed to the corresponding author.

Conflicts of Interest

The authors declare no conflicts of interest.

References

  1. Wang, J.H.; Alattas, K.A.; Bouteraa, Y.; Mofid, O.; Mobayen, S. Adaptive finite-time backstepping control tracker for quadrotor UAV with model uncertainty and external disturbance. Aerosp. Sci. Technol. 2023, 133, 108088. [Google Scholar] [CrossRef]
  2. Zhou, T.; Chen, F. Quadrotor Aircraft Speed Control Based on Active Disturbance Rejection Control. Electron. Opt. Control 2022, 29, 87–92. [Google Scholar]
  3. Yao, J.Y.; Deng, W.X. Active Disturbance Rejection Adaptive Control of Hydraulic Servo Systems. IEEE Trans. Ind. Electron. 2017, 64, 8023–8032. [Google Scholar] [CrossRef]
  4. Wang, Z.; Zhao, T. Adaptive-based linear active disturbance rejection attitude control for quadrotor with external disturbances. Trans. Inst. Meas. Control 2021, 44, 286–298. [Google Scholar] [CrossRef]
  5. Wang, Z.J.; Zhao, T. Based on robust sliding mode and linear active disturbance rejection control for attitude of quadrotor load UAV. Nonlinear Dyn. 2022, 108, 3485–3503. [Google Scholar] [CrossRef]
  6. Liu, Y.-S.; Yang, S.-X.; Wang, W. An active disturbance-rejection flight control method for quad-rotor unmanned aerial vehicles. Control. Theory Appl. 2015, 32, 1351–1360. [Google Scholar] [CrossRef]
  7. Sun, M.; Zhang, A.; Hu, S.; Yang, P. A Quadrotor Control Method Based on Active Disturbance Rejection. Electron. Opt. Control 2024, 31, 33–39. [Google Scholar]
  8. Wang, S.; Han, Y.; Chen, J.; Zhang, Z.; Liu, X. Active disturbance rejection control of UAV attitude based on iterative learning control. Acta Aeronaut. Astronaut. Sin. 2020, 41, 24112. [Google Scholar] [CrossRef]
  9. Wang, S.B.; Chen, J.; He, X.K. An adaptive composite disturbance rejection for attitude control of the agricultural quadrotor UAV. Isa Trans. 2022, 129, 564–579. [Google Scholar] [CrossRef]
  10. Krige, D.G. A statistical approach to some basic mine valuation problems on the witwatersrand. J. S. Afr. Inst. Min. Metall. 1994, 94, 95–111. [Google Scholar]
  11. Zhang, M.; Jiao, J.; Zhang, J.; Zhang, Z.J. High-Efficiency Data Fusion Aerodynamic Performance Modeling Method for High-Altitude Propellers. Drones 2024, 8, 229. [Google Scholar] [CrossRef]
  12. Kleijnen, J.P.C. Kriging metamodeling in simulation: A review. Eur. J. Oper. Res. 2009, 192, 707–716. [Google Scholar] [CrossRef]
  13. Hou, M.; Zhang, Z.; Zhang, Z. PID Control for Yaw Rate of Vehicle Based on Surrogate Model. Mech. Sci. Technol. Aerosp. Eng. 2014, 33, 1214–1218. [Google Scholar]
  14. Liem, R.P.; Mader, C.A.; Martins, J. Surrogate models and mixtures of experts in aerodynamic performance prediction for aircraft mission analysis. Aerosp. Sci. Technol. 2015, 43, 126–151. [Google Scholar] [CrossRef]
  15. Paiva, E.; Soto, J.; Salinas, J.; Ipanaque, W. Modeling, Simulation and Implementation of a modified PID Controller for stabilizing a Quadcopter. In Proceedings of the IEEE International Conference on Automatica (ICA-ACCA), Univ Talca, Curico, Chile, 19–21 October 2016. [Google Scholar]
  16. Tian, M.H.; Wang, B.; Yu, Y.; Dong, Q.H.; Xu, D.G. Adaptive Active Disturbance Rejection Control for Uncertain Current Ripples Suppression of PMSM Drives. IEEE Trans. Ind. Electron. 2024, 71, 2320–2331. [Google Scholar] [CrossRef]
  17. Chen, S.; Chen, Z.; Huang, Y.; Zhao, Z.-L. New design of active disturbance rejection control for nonlinear uncertain systems with unknown control input gain. Sci. China Inf. Sci. 2022, 65, 14220. [Google Scholar] [CrossRef]
  18. Sheng, Z.; Yi, H.; Sen, C.; Lin, D. A novel ADRC-based design for a kind of flexible aerocraft. Control Theory Technol. 2021, 19, 35–48. [Google Scholar] [CrossRef]
  19. Zhao, Y.; Huang, Y.; Gao, Z. On tuning of ADRC with competing design indices: A quantitative study. Control. Theory Technol. 2023, 21, 16–33. [Google Scholar] [CrossRef]
  20. Gao, Z.Q. Scaling and bandwidth-parameterization based controller tuning. In Proceedings of the Annual American Control Conference (ACC 2003), Denver, CO, USA, 4 June 2003; pp. 4989–4996. [Google Scholar]
  21. She, A.Q.; Wang, L.J.; Peng, Y.L.; Li, J.H. Structural reliability analysis based on improved wolf pack algorithm AK-SS. Structures 2023, 57, 105289. [Google Scholar] [CrossRef]
  22. Wang, J.S.; Xu, G.J.; Li, Y.L.; Kareem, A. AKSE: A novel adaptive Kriging method combining sampling region scheme and error-based stopping criterion for structural reliability analysis. Reliab. Eng. Syst. Saf. 2022, 219, 108214. [Google Scholar] [CrossRef]
  23. Wang, W.Z.; Liu, H.L.; Tan, K.C. A Surrogate-Assisted Differential Evolution Algorithm for High-Dimensional Expensive Optimization Problems. IEEE Trans. Cybern. 2023, 53, 2685–2697. [Google Scholar] [CrossRef] [PubMed]
  24. Han, Z. Kriging surrogate model and its application to design optimization: A review of recent progress. Acta Aeronaut. Et Astronaut. Sin. 2016, 37, 3197–3225. [Google Scholar] [CrossRef]
  25. Wang, X.M.; Hu, X.H.; Xing, J.; Zhou, W.Y. Theoretical and experimental investigations on a data-driven trajectory planning scheme for dynamic shape control of piezo-actuated compliant morphing structures. Eng. Struct. 2024, 316, 118608. [Google Scholar] [CrossRef]
  26. Emad, W.; Mohammed, A.S.; Kurda, R.; Ghafor, K.; Cavaleri, L.; Qaidi, S.M.A.; Hassan, A.M.T.; Asteris, P.G. Prediction of concrete materials compressive strength using surrogate models. Structures 2022, 46, 1243–1267. [Google Scholar] [CrossRef]
  27. Li, J.C.; Du, X.S.; Martins, J. Machine learning in aerodynamic shape optimization. Prog. Aerosp. Sci. 2022, 134, 849. [Google Scholar] [CrossRef]
  28. Tian, L.; Hu, L.T.; Wang, D.; Cao, X.Y. Site-scale groundwater pollution risk assessment using surrogate models and statistical analysis. J. Contam. Hydrol. 2024, 261, 4288. [Google Scholar] [CrossRef]
  29. Moness, M.; Abdelghany, M.B.; Mohammed, K.M.; Mohamed, M.; Moustafa, A.M. Surrogate Optimal Fractional Control for Constrained Operational Service of UAV Systems. Drones 2024, 8, 141. [Google Scholar] [CrossRef]
  30. Wang, B.L.; Duan, X.J.; Yan, L.; Deng, J.; Chen, J.T. Rapidly Tuning the PID Controller Based on the Regional Surrogate Model Technique in the UAV Formation. Entropy 2020, 22, 527. [Google Scholar] [CrossRef]
  31. Afshari, S.S.; Enayatollahi, F.; Xu, X.Y.; Liang, X.H. Machine learning-based methods in structural reliability analysis: A review. Reliab. Eng. Syst. Saf. 2022, 219, 8223. [Google Scholar] [CrossRef]
  32. Chang, H.J.; Sun, Y.; Lu, S.Z.; Lin, D.Y. A multistrategy differential evolution algorithm combined with Latin hypercube sampling applied to a brain-computer interface to improve the effect of node displacement. Sci. Rep. 2024, 14, 20420. [Google Scholar] [CrossRef]
Figure 1. Schematic diagram of quadrotor drone structure.
Figure 1. Schematic diagram of quadrotor drone structure.
Drones 08 00658 g001
Figure 2. ADRC structural diagram.
Figure 2. ADRC structural diagram.
Drones 08 00658 g002
Figure 3. Quadrotor attitude control law scheme.
Figure 3. Quadrotor attitude control law scheme.
Drones 08 00658 g003
Figure 4. Block diagram of parameter structure of ADRC generated based on Kriging surrogate optimization algorithm.
Figure 4. Block diagram of parameter structure of ADRC generated based on Kriging surrogate optimization algorithm.
Drones 08 00658 g004
Figure 5. Variation process of objective function value under Kriging surrogate optimization. ((a) shows the variation in the objective function value during optimization iterations, while (b) illustrates the change in the objective function value as the sample point set is updated according to the EI criterion).
Figure 5. Variation process of objective function value under Kriging surrogate optimization. ((a) shows the variation in the objective function value during optimization iterations, while (b) illustrates the change in the objective function value as the sample point set is updated according to the EI criterion).
Drones 08 00658 g005
Figure 6. Attitude angle step response with different controllers. ((a) depicts roll angle response, (b) shows pitch angle response, and (c) illustrates yaw angle response).
Figure 6. Attitude angle step response with different controllers. ((a) depicts roll angle response, (b) shows pitch angle response, and (c) illustrates yaw angle response).
Drones 08 00658 g006
Figure 7. HITL software and hardware connection diagram.
Figure 7. HITL software and hardware connection diagram.
Drones 08 00658 g007
Figure 8. Attitude angle response of a quadrotor under mass variation. ((a) depicts roll angle response, (b) shows pitch angle response, and (c) illustrates yaw angle response).
Figure 8. Attitude angle response of a quadrotor under mass variation. ((a) depicts roll angle response, (b) shows pitch angle response, and (c) illustrates yaw angle response).
Drones 08 00658 g008
Figure 9. Attitude angle response of quadcopter facing gusts under ADRC. ((a) depicts roll angle response, (b) shows pitch angle response, and (c) illustrates yaw angle response).
Figure 9. Attitude angle response of quadcopter facing gusts under ADRC. ((a) depicts roll angle response, (b) shows pitch angle response, and (c) illustrates yaw angle response).
Drones 08 00658 g009
Table 1. ADRC parameters.
Table 1. ADRC parameters.
ChannelParametersValues
roll ω o ϕ 1.95
ω c ϕ 38.58
b 0 ϕ 229.64
pitch ω o θ 1.06
ω c θ 79.31
b 0 θ 33.87
yaw ω o ψ 1.17
ω c ψ 57.36
b 0 ψ 20.85
Table 2. Dynamic parameters of quadrotor drone.
Table 2. Dynamic parameters of quadrotor drone.
ParametersPhysical MeaningValues
m quadrotor mass0.8 kg
g gravitational acceleration9.81 m/s2
L distance from the center of the rotor to the center of mass0.165 m
I x moment of inertia around x-axis0.005 kg ⋅ m2
I y moment of inertia around y-axis0.005 kg ⋅ m2
I z moment of inertia around z-axis0.009 kg ⋅ m2
k l lift coefficient 2.20 × 10 5 N ⋅ s2
k t counter torque coefficient 1.0 × 10 6 N ⋅ m ⋅ s2
Table 3. PID controller parameters.
Table 3. PID controller parameters.
KpKiKd
Roll ChannelAngle loop400
Angular rate loop0.0350.90.0025
Pitch ChannelAngle loop400
Angular rate loop0.0350.90.0025
Yaw ChannelAngle loop200
Angular rate loop0.21.00
Table 4. Controlled experiment performance indicators.
Table 4. Controlled experiment performance indicators.
Rising Time (s)Overshoot (%)
ControllerPIDADRCPIDADRC
Roll Channel0.590.67 4.49
Pitch Channel0.630.60 1.61
Yaw Channel0.330.2716.8311.36
Disclaimer/Publisher’s Note: The statements, opinions and data contained in all publications are solely those of the individual author(s) and contributor(s) and not of MDPI and/or the editor(s). MDPI and/or the editor(s) disclaim responsibility for any injury to people or property resulting from any ideas, methods, instructions or products referred to in the content.

Share and Cite

MDPI and ACS Style

Zhou, W.; Zhang, S.; Hu, X.; Zong, F. Rapid Optimization of Active Disturbance Rejection Controller Parameters for Quadrotor UAVs Using Kriging Surrogate Modeling. Drones 2024, 8, 658. https://doi.org/10.3390/drones8110658

AMA Style

Zhou W, Zhang S, Hu X, Zong F. Rapid Optimization of Active Disturbance Rejection Controller Parameters for Quadrotor UAVs Using Kriging Surrogate Modeling. Drones. 2024; 8(11):658. https://doi.org/10.3390/drones8110658

Chicago/Turabian Style

Zhou, Wenya, Shuyue Zhang, Xinhan Hu, and Fei Zong. 2024. "Rapid Optimization of Active Disturbance Rejection Controller Parameters for Quadrotor UAVs Using Kriging Surrogate Modeling" Drones 8, no. 11: 658. https://doi.org/10.3390/drones8110658

APA Style

Zhou, W., Zhang, S., Hu, X., & Zong, F. (2024). Rapid Optimization of Active Disturbance Rejection Controller Parameters for Quadrotor UAVs Using Kriging Surrogate Modeling. Drones, 8(11), 658. https://doi.org/10.3390/drones8110658

Article Metrics

Back to TopTop