Next Article in Journal
Rapid Optimization of Active Disturbance Rejection Controller Parameters for Quadrotor UAVs Using Kriging Surrogate Modeling
Previous Article in Journal
Joint Sensing and Communications in Unmanned-Aerial-Vehicle-Assisted Systems
 
 
Font Type:
Arial Georgia Verdana
Font Size:
Aa Aa Aa
Line Spacing:
Column Width:
Background:
Article

Distributed Model Predictive Control Cooperative Guidance Law for Multiple UAVs

1
Unmanned System Research Institute, Northwestern Polytechnical University, Xi’an 710072, China
2
Aviation Engineering School, Air Force Engineering University, Xi’an 710043, China
*
Author to whom correspondence should be addressed.
Drones 2024, 8(11), 657; https://doi.org/10.3390/drones8110657
Submission received: 18 October 2024 / Revised: 3 November 2024 / Accepted: 7 November 2024 / Published: 8 November 2024

Abstract

Aiming at the problem of multiple unmanned aerial vehicles (UAVs) cooperatively intercepting a maneuvering target, this paper proposes a cooperative guidance law with less energy consumption and a newly accurate time-to-go estimation algorithm in the two-dimensional (2D) plane. Firstly, based on the relative motion equations between UAVs and the target on the 2D plane, the line-of-sight (LOS) direction and the LOS normal direction models are established. Then, based on the distributed model predictive control (DMPC) theory, DMPC cooperative guidance laws are designed in two directions. This guidance law can ensure that all UAVs intercept the maneuvering target at the expected LOS angle at the same time and reduce the energy consumption during the guidance process. Then, a new time-to-go estimation algorithm is designed, which can reduce the time-to-go estimation error and improve the cooperative accuracy. Finally, the simulation results show that the DMPC cooperative guidance law reduces energy consumption by more than 50% compared to other guidance laws and the proposed time-to-go estimation algorithm improves the accuracy by 200% compared to traditional methods.

1. Introduction

Multiple UAVs’ cooperative operation is gradually turning into an important mode of operation in modern warfare. Compared with single UAV operation, multiple UAVs’ cooperative operation can make full use of the cooperative advantages to improve the strike capability against maneuvering targets. The design of the cooperative guidance law is the core technology in multiple UAVs’ cooperative operation and thus has attracted the attention of a large number of scholars. This section will give an introduction to the development process of the cooperative guidance law from temporal cooperation to spatial and temporal cooperation and then to the cooperation guidance law considering energy consumption.
In the early research on multiple UAVs’ cooperative interception, the researchers mainly focused on cooperation in time, that is, each UAV can intercept the target simultaneously. In general, the impact time control guidance (ITCG) law is the first study, which was put forward in [1], on achieving simultaneous arrival. Many scholars have obtained various ITCG laws through different control theories, thereby enhancing the performance of ITCG [1,2,3,4,5,6]. The studies in references [1,2,3] are related to closed-loop cooperative guidance. In other words, the UAV’s cooperative time is pre-loaded before taking off, and it does not require information exchange with other UAVs after taking off. The advantage of the close-loop design method is that it is easy to implement, but the disadvantage is the lack of robustness. Therefore, references [4,5,6] have carried out research on the ITCG based on the consensus theory. The UAV exchanges information with other UAVs in communication with it and substitutes the obtained information into the consensus protocol to obtain a consistent time to go, thus achieving cooperation among UAVs. Based on the time-to-go estimation, references [7,8] achieved coordination among each UAV by changing the gain of the proportional navigation guidance (PNG).
The aforementioned studies have achieved temporal cooperation. Nevertheless, temporal cooperation alone cannot fully leverage the advantages of multiple UAVs’ cooperative operations. Consequently, scholars have conducted further research on cooperative guidance law that incorporates both spatial and temporal cooperation [9,10,11,12,13,14,15,16,17,18,19,20,21,22,23]. Reference [9] presents a new guidance law for controlling the impact time and angle in a flight vehicle’s homing problem, applicable to UAV cooperative missions. A cooperative guidance law for a group of UAVs with different field-of-view (FOV) constraints is proposed in reference [10]. Reference [11] deduces an impact time and angle guidance (ITAG) law by means of a small heading error approximation based on optimal control theory. The spatial constraint of multiple UAVs can be transformed into the LOS angle constraint, after which the spatial and temporal cooperative guidance problem is transformed into a tracking control problem. Reference [12] presents a newly developed guidance strategy aimed at intercepting both stationary and constantly moving targets at the desired impact time and angle through a virtual target method, taking into account the nonlinear engagement kinematics and the constraints of lateral acceleration. In [13], an LOS angle profile is designed in the form of an inverse tangent function, and then the LOS angle is tracked through a feedback guidance control law to meet the impact constraint. Reference [14] proposes a finite-time convergence sliding mode guidance law, which can achieve the rapid convergence of guidance errors. Reference [15] proposes a cooperative guidance law under directed communication topologies, which can enable multiple UAVs to intercept the target with the desired LOS angle. Reference [16] proposes a cooperative guidance law based on model predictive control, which further enhances the convergence performance of the guidance law. Based on the assumption that the UAV’s speed can be freely adjusted, references [17,18,19,20,21,22,23] developed distributed cooperative guidance laws with terminal angle constraints, which possess the properties of finite- and fixed-time convergence. Reference [17] and reference [19] propose two finite-time cooperative guidance schemes with impact angle and time constraints for the problem of multiple UAVs cooperatively intercepting a maneuvering target. Aiming at the problem that multiple UAVs attack the stationary target cooperatively under time-varying velocity, the cooperative guidance law with finite-time convergence on a 2D plane is designed in reference [18]. Reference [21] proposes an improved multi-agent deep deterministic policy gradient algorithm to solve the guidance problem of multiple UAVs cooperatively intercepting a target in three-dimensional space. Reference [22] proposes a cooperative guidance law for UAVs which are provided with thrust control to realize a salvo attack that is constrained by the impact angle. At the same time, the speed limit of the UAVs is also taken into consideration. Reference [23] designs a cooperative guidance strategy consisting of two parts, namely, modeling and programming calculations. This strategy enables multiple UAVs at different initial positions to accurately hit the target simultaneously with the ideal impact angle. The above research proved that the method of designing guidance laws in the LOS direction and the normal direction is reasonable and effective and can achieve both the spatial and temporal cooperation of multiple UAVs.
The above research has realized precise cooperative interception by multiple UAVs. However, the energy stored by the UAVs is limited. In some references, it is required to complete an effective interception on a maneuvering target and achieve cooperation, which requires a large amount of control throughout the control process, i.e., it causes a large amount of energy consumption. Therefore, it is very necessary to pay attention to the energy consumption in cooperative interception. Also, a large number of scholars have carried out research work around this issue. Reference [24] proposes a fixed-time 3D guidance law. This guidance law reduces the energy consumption of the guidance process and realizes the constraints of the impact time and angle simultaneously. Reference [25] proposes a cooperative guidance law, which can formulate the generalized linear quadratic optimization problem in minimizing weighted energy consumption while regulating the error distance. In reference [26], it eliminates the reaching phase of the traditional terminal sliding mode and lessens the energy consumption. Reference [27] designs an optimal guidance law for intercepting a near-space hypersonic maneuvering target, which can reduce the energy consumption and the terminal acceleration command effectively. With the natural advantage of handling various constraints, model predictive control (MPC) is a preferred approach in the distributed control of a multi-agent system and has been applied to multiple UAVs’ cooperative guidance [28,29,30,31,32,33,34]. Reference [28] proposes a novel time-constrained guidance method for multiple UAVs by employing the nonlinear MPC. The aim is to synchronize the impact time of a cluster of UAVs when intercepting the stationary target. Two closed-loop cooperative guidance methods are developed in reference [29] by employing the efficient convex optimization technique and receding horizon control (RHC) strategy. Reference [31] also constructs the framework of the distributed RHC scheme. Reference [30] and reference [34] design two different control algorithms for second-order systems based on DMPC. Among them, reference [34] achieved terminal angle constraints. Reference [32] designed a consistency protocol based on MPC. Reference [33] designed a coordinated strategy for the impact time of virtual leader UAVs and follower UAVs, as well as an angle control strategy based on MPC. However, in the above research, there are still few studies that simultaneously integrate the acceleration saturation constraint, impact time, and impact angle control into the design of the cooperative guidance law. In addition, most of the studies based on MPC only focus on the cooperative guidance against stationary or low-maneuverability targets.
In view of the above issues, enhancing the performance of the multiple UAVs’ cooperative guidance law for highly maneuverable targets under the constraints of time cooperation, attack angle, and control input still demands in-depth research. These objectives and constraints typically mirror the practical requirements of combat and are of great significance for enhancing the success rate of cooperative interception and the combat capability of interceptors in different engagement scenarios. Hence, this paper proposes a DMPC cooperative guidance law that enables multiple UAVs to intercept a target simultaneously at the expected LOS angle under input constraints. Additionally, this paper designs a time-to-go estimation algorithm for maneuvering targets, which can improve the time cooperation effect. The main contributions of this paper are as follows:
(1)
The DMPC cooperative guidance law proposed in this paper is used to solve the problem of intercepting highly maneuverable targets with input constraints, time constraints, and angle constraints. This guidance law greatly reduces the demand for overload and energy consumption.
(2)
Different from previous studies, in this guidance law, DMPC is used for the design in the LOS direction, and MPC is used for the design in the LOS normal direction, which is convenient for optimization design and adjustment.
(3)
The time-to-go estimation algorithm is specially designed for intercepting maneuverable targets. This algorithm solves the problem of numerical integration with terminal uncertainty and obtains higher estimation accuracy. And this numerical algorithm is more suitable for application in the DMPC cooperative guidance law.
The remainder of this paper is organized as follows. The preliminaries and problem formulation are introduced in Section 2. In Section 3, the proposed DMPC cooperative guidance laws and time-to-go estimation are derived. Section 4 presents several numerical simulations.

2. Problem Formulation

2.1. Preliminaries

In the engagement scenario where a group of UAVs cooperatively intercept a single maneuvering target in a 2D plane, multiple UAVs share information through specific communication topological structures and rules. In this paper, it is assumed that the communication topological structure is undirected and fully connected, i.e., any UAV can obtain all the information about the other UAVs. The communication topological structure can be represented by the undirected graph  G = U , E , A , where  U = U 1 , U 2 , , U n  denotes the set of all nodes of the undirected graph.  E ( U i , U j ) : U i , U j U  denotes the connecting line between the nodes. And  A = [ a i j ] R n × n  denotes the weight matrix; if there is information interaction between  U i  and  U j , then  a i j = a j i = 1 ; otherwise,  a i j = a j i = 0 .
The Laplace matrix  L = [ l i j ] R n × n  of undirected graph  G  is defined as
l i j = a i j , i j k = 1 , k i n a i k , i = j
The matrix  L  has the following properties:
Lemma 1 
([35]). If  λ 2 ( L )  is the next smallest eigenvalue of   L , then we have   λ 2 ( L ) > 0 .
Lemma 2 
([36]). Define  ξ = [ ξ 1 , ξ 2 , , ξ n ] T R n ; if   i = 1 n ξ i = 0 , then   ξ T L ξ λ 2 ( L ) ξ T ξ , and it can be calculated by the following equation:
ξ T L ξ = 1 2 i = 1 n j = 1 n a i j ( ξ j ξ i ) 2

2.2. Engagement Dynamics

In Figure 1, a schematic geometry of UAVs and a target in the 2D plane is depicted, where  A X Y  is the inertial reference frame.  U i  and  T  represent the UAV  i  and target, respectively. In Figure 1 r i  is the relative distance between the UAV  i  and the target;  q i  is the LOS angle of the UAV  i θ i  and  θ t  are the flight path angles of the UAV  i  and the target, respectively;  V m i  and  V t  are the velocities of the UAVs and the target, respectively; and  a x m i  and  a y m i  are the acceleration of the UAV  i  in the flight path coordinate system.
The engagement kinematics between the target and UAV  i  in the 2D plane can be expressed in the polar coordinate system  ( r i , q i )  as
r ˙ i = V t cos q i θ t V m i cos q i θ i r i q ˙ i = V m i sin q i θ i V t sin q i θ t
where  θ ˙ i = a y m i V m i θ ˙ t = a y t V t V ˙ m i = a x m i , and  V ˙ t = a x t .
Equation (3) is derived as follows:
r ¨ i = r i q i 2 a r i + d r i q ¨ i = 1 r 2 r ˙ i q ˙ i + a q i d q i
where  d r i = a t sin q i θ t  and  d q i = a t cos q i θ t  are the perturbations induced by the target maneuvers in the LOS direction and LOS normal direction, respectively.
The estimated value of the time to go of the UAV  i  is defined as  t g o i , and the total interception time is defined as  t f i :
t g o i = r i r ˙ i , t ˙ g o i = 1 + r i 2 r ˙ i 2 q ˙ i 2 r i r ˙ i 2 a r i + r i r ˙ i 2 d r i t f i = t + t g o i , t ˙ f i = 1 + t ˙ g o i = r i 2 r ˙ i 2 q ˙ i 2 r i r ˙ i 2 a r i + r i r ˙ i 2 d r i
Combining Equations (4) and (5), and defining  x 1 i = t f i t f i d , x 2 i = q i q i d , x 3 i = q ˙ i  as state variables, we obtain
x ˙ 1 i = t ˙ f i d u r i + d r i x ˙ 2 i = x 3 i x ˙ 3 i = 2 r ˙ i r i x 3 i u q i + d q i
where  d r i = d r i r i / r ˙ i 2 , d q i = d q i / r i  is considered a generalized perturbation,  t f i d  is the desired interception time of the UAV  i , and  u q i = a q i / r i  is the input which is normal to the LOS. In particular, let  u r i = a r i r / r ˙ i 2 r i q ˙ i 2  such that Equation (6) can decouple into two directions: the LOS direction and the LOS normal direction. The aims are to design control laws such that  x 1 i , x 2 i , x 3 i  converge to  0 , i.e.,  t f i t f i d , q i q i d , q ˙ i 0 .

2.3. Problem Formulation

On the basis of Equation (6), through redefining the state variables  e 1 i = t f i t f i d e 2 i = q i q i d , e 3 i = q ˙ i , the following state equations can be acquired:
e ˙ 1 i = t ˙ f i d u r i + d r i e ˙ 2 i = e 3 i e ˙ 3 i = 2 r ˙ i r i e 3 i u q i + d q i
Assumption 1. 
Disturbance observers are designed in the LOS direction and the normal direction, which can obtain the accurate estimation value of the disturbance  d r i  and  d q i , which is caused by the target’s maneuver. At the same time, a consensus protocol  u i n o m  is designed, and letting  t ˙ f i d = u i n o m  can ensure that the attack times of each UAV converge to be consistent.
Based on Assumption 1, Equation (7) can be rewritten:
e ¯ ˙ 1 i = u ¯ r i e ¯ ˙ 2 i = e ¯ 3 i e ¯ ˙ 3 i = 2 r ˙ i r i e ¯ 3 i + u ¯ q i
where  u ¯ r i = u i n o m u r i + d ^ r i  and  u ¯ q i = u q i + d ^ q i  are newly defined control inputs. Equation (8) can be expressed in the form of a state equation:
e ¯ ˙ 1 i = u ¯ r i e ¯ ˙ 2 i e ¯ ˙ 3 i = 0 1 0 2 r ˙ i r i e ¯ 2 i e ¯ 3 i + 0 1 u ¯ q i
where, in Equation (9), the first term is the LOS direction subsystem, and the second term is the LOS normal direction subsystem. For the convenience of subsequent equation derivation, the state value is redefined as  x i q = [ e ¯ 2 i , e ¯ 3 i ] T x i r = e ¯ 1 i . Then, Equation (9) can be rewritten as
x ˙ i q = A x i q + B u ¯ q i x ˙ i r = u ¯ r i
In this paper,  t f i d q i d , and  q ˙ i d  are the expected interception time, expected LOS angle, and expected LOS angle rate, respectively. Therefore, the goal of this paper is to design appropriate  u ¯ q i  and  u ¯ r i  while considering energy constraints so that the states in system Equation (10) can converge to zero, i.e.,
lim t t f i x i q = 0 , lim t t f i x i r = 0 min 0 t f i u ¯ i T R i u ¯ i d t
where  u ¯ i = [ u ¯ q i , u ¯ r i ] T .
This paper presents an energy suboptimal cooperative guidance law based on DMPC. The flow chart is as follows.
Figure 2 is the flow chart of the DMPC cooperative guidance law. The cooperative guidance law is designed in two directions: the LOS direction and the LOS normal direction. The optimal control sequences are obtained through MPC in the LOS normal direction and through DMPC in the LOS direction. Rolling optimization is continuously performed in the time sequence to obtain the control input.

3. Design of DMPC Cooperative Guidance Law and Time-to-Go Estimation Algorithm

3.1. Guidance Law Design in LOS Normal Direction

Model predictive control (MPC) has received extensive attention because it is suitable for handling the control problems of complex dynamic systems and optimal control problems under constraints and has robustness. The cooperative guidance system is a complex dynamic system. Therefore, this paper selects MPC to design the cooperative guidance law.
For the first term in Equation (10),  x ˙ i q = A x i q + B u ¯ q i , the LOS normal subsystem is discretized by the forward Euler method:
x i q ( k + 1 ) = A ¯ x i q ( k ) + B ¯ u ¯ q i ( k )
where  A ¯ = I 1 + Δ T A , and  B ¯ = Δ T B k  represents the current moment.  Δ T  is the discretization time interval.  k + m  represents the moment after the  m Δ T  time is recursively backward from the current moment.  I  represents the unit matrix.
According to Equation (12), the state in the next step can be obtained by recursively using the current state and control input. Assuming that there is a prediction interval length of  N , then the state quantity  X i q k  and control  U i q k  within the entire prediction interval can be defined as
X i q k = x i q ( k | k ) x i q ( k + 1 | k ) x i q ( k + N | k ) , U i q k = u ¯ q i ( k | k ) u ¯ q i ( k + 1 | k ) u ¯ q i ( k + N 1 | k )
where  x i q ( k + m | k )  and  u ¯ q i ( k + m | k )  denote the state and control input, respectively, corresponding to the forward prediction of  m  steps at time  k . According to Equation (12), the model prediction recurrence equation within the prediction interval can be established:
      x i q ( k | k ) = x i q k   x i q ( k + 1 | k ) = A ¯ x i q k + B ¯ u ¯ q i ( k | k )   x i q ( k + 2 | k ) = A ¯ 2 x i q k + A ¯ B ¯ u ¯ q i ( k | k ) + B ¯ u ¯ q i ( k + 1 | k )       x i q ( k + N | k ) = A ¯ N x i q k + A ¯ N 1 B ¯ u ¯ q i ( k | k ) + + B ¯ u ¯ q i ( k + N 1 | k )
By introducing the state and control input in the prediction interval defined by Equation (13), Equation (14) can be rewritten as the recursive state equation within the prediction interval:
X i q k = M q x ¯ i k + C q U i q k
where  M q  and  C q  are as follows:
M q = I 1 A ¯ A ¯ 2 A ¯ N , C q = 0 0 0 B ¯ 0 0 A ¯ B ¯ B ¯ 0 B ¯ 0 A ¯ N 1 B ¯ A ¯ N 2 B ¯ B ¯
Within the prediction interval, the objective function is designed according to the state and control input in the prediction interval in the LOS normal direction:
J q = m = 0 N 1 [ x i q ( k + m | k ) T Q q x i q ( k + m | k ) + m = 0 N 1 u ¯ q i ( k + m | k ) T R q u ¯ q i ( k + m | k ) + x i q ( k + N | k ) T F q x i q ( k + N | k )
where the first term in Equation (17) is the weighted sum of system state errors, which characterizes the convergence of the state tracking error. The second term is the weighted sum of the control input, which can characterize the system energy consumption caused by the LOS normal control input. The third term is the weighted sum of the terminal error, which characterizes the tracking error at the end point of the prediction interval.  Q q R q , and  F q  are the weighted matrix.  Q q  determines the weight of the state tracking error,  R q  determines the weight of the control input, and  F q  determines the weight of the terminal error. The three matrices  Q q R q , and  F q  are diagonal matrices, and the elements within them should all be positive constants. By adjusting the weighted matrix, the weights of the above three terms in the objective function can be adjusted. By minimizing the objective function, the system can obtain the energy suboptimal control quantity.
Equation (17) is expanded as follows:
J q = x i q ( k | k ) x i q ( k + 1 | k ) x i q ( k + N | k ) T Q q 0 0 0 0 Q q 0 0 0 Q q 0 0 0 F q x i q ( k | k ) x i q ( k + 1 | k ) x i q ( k + N | k ) + u ¯ q i ( k | k ) u ¯ q i ( k + 1 | k ) u ¯ q i ( k + N 1 | k ) T R q 0 0 0 0 R q 0 0 0 R q 0 0 0 R q u ¯ q i ( k | k ) u ¯ q i ( k + 1 | k ) u ¯ q i ( k + N 1 | k )
The symmetric matrices  Q ¯ q  and  R ¯ q  are redefined, then the above formula can be rewritten as  J q = X i k T Q ¯ q X i k + U i k T R ¯ q U i k . And then, Equation (15) is substituted into  J q :
J q = x i q k T M q T Q ¯ q M q x i q k + 2 x i q k T C q T Q ¯ q M q U i q k + U i q k T ( C q T Q ¯ q C q + R ¯ q ) U i q k
G q = M q T Q ¯ q M q E q = C q T Q ¯ q M q  and  H q = C q T Q ¯ q C q + R ¯ q  are defined, then Equation (19) can be rewritten as
J q = x i q k T G q x i q k + 2 x i q k T E q U i q k + U i q k T H q U i q k
In Equation (20), only the  U i q k  is unknown. The optimal control sequence  U i q k  can be obtained by minimizing the objective function  J q .
At the same time, due to the physical characteristics of the guidance process, the UAV has a limited ability to generate overload. Therefore, the input control quantity is constrained. The constraint on the control quantity is defined as
u ¯ q i _ min u ¯ q i u ¯ q i _ max
Combining Equations (20) and (21), the standard quadratic programming form can be obtained:
U i q k = arg min J q ( U i q k ) s . t . u ¯ q i _ min u ¯ q i u ¯ q i _ max
The control sequence  U i q k , which obtained by solving the constrained standard quadratic programming problem, is the control sequence. The first value of this control sequence is the energy suboptimal control input corresponding to the current state.

3.2. Guidance Law Design in LOS Direction

Similarly, for the second part in Equation (10), that is, the guidance law design for the LOS direction subsystem, the forward Euler method is used to discretize  x ˙ i r = u ¯ r i :
x i r ( k + 1 ) = x i r ( k ) + Δ T u ¯ r i ( k )
where  Δ T  is the discretization time interval.  k + m  represents the moment after the  m Δ T  time is recursively backward from the current moment. When  m = 0 , it represents the current moment.
All states and control inputs within the prediction interval in the LOS direction are defined as
X i r k = x i r ( k | k ) x i r ( k + 1 | k ) x i r ( k + N | k ) , U i r k = u ¯ r i ( k | k ) u ¯ r i ( k + 1 | k ) u ¯ r i ( k + N 1 | k )
According to Equation (23), the model prediction recurrence equation within the prediction interval is established as
      x i r ( k | k ) = x i r   x i r ( k + 1 | k ) = x i r + Δ T u ¯ r i ( k )   x i r ( k + 2 | k ) = x i r + Δ T u ¯ r i ( k | k ) + Δ T u ¯ r i ( k + 1 | k )     x i r ( k + N | k ) = x i r + Δ T u ¯ r i ( k | k ) + + Δ T u ¯ r i ( k + N 1 | k )
Similar to the design method in the LOS normal direction, the recursive state equation within the prediction interval in the LOS direction can be obtained.
X i r k = M r x ¯ i r + C r U i r k
where the  M r  and  C r  are as follows
M r = 1 1 1 1 , C r = 0 0 0 Δ T 0 0 Δ T Δ T 0 0 Δ T Δ T Δ T
Within the prediction interval, the objective function is designed according to the state and control input in the prediction interval in the LOS direction:
J r = m = 0 N 1 Q r x i r ( k + m | k ) 2 + m = 0 N 1 R r u ¯ r i ( k + m | k ) 2 + F r x i r ( k + N | k ) 2
Q r R r , and  F r  are the weighted matrix of the objective function in the LOS direction. By selecting different values, the weights of each term in the objective function can be adjusted.
Similarly, the objective function represented by Equation (28) can be expanded into the following form:
J r = x i r ( k | k ) x i r ( k + 1 | k ) x i r ( k + N | k ) T Q r 0 0 0 0 Q r 0 0 0 Q r 0 0 0 F r x i r ( k | k ) x i r ( k + 1 | k ) x i r ( k + N | k )       + u ¯ r i ( k | k ) u ¯ r i ( k + 1 | k ) u ¯ r i ( k + N 1 | k ) T R r 0 0 0 0 R r 0 0 0 R r 0 0 0 R r u ¯ r i ( k | k ) u ¯ r i ( k + 1 | k ) u ¯ r i ( k + N 1 | k )
Equation (26) is substituted into Equation (29):
J r = x i r k T G r x i r k + 2 x i r k T E r U i r k + U i r k T H r U i r k
where  G r = M r T Q ¯ r M r E r = C r T Q ¯ r M r , and  H r = C r T Q ¯ r C r + R ¯ r .
In Equation (30), only the  U i r k  is unknown. The  U i r k  can be obtained by minimizing the objective function  J r . Similarly, the control quantity in the LOS direction is also limited by physical constraints. Suppose its range is
u ¯ r i _ min u ¯ r i u ¯ r i _ max
To sum up, the standard quadratic programming form in the LOS direction is
U i r k = arg min J r ( U i r k ) s . t . u ¯ r i _ min u ¯ r i u ¯ r i _ max
By solving the above standard quadratic programming problem, the control sequence within the prediction interval  U i r k  can be obtained.
Remark 1. 
By comparing Equations (12) and (23), the LOS direction system Equation (23) can be regarded as a special case of Equation (12) under the condition of  A ¯ = 1  and  B ¯ = Δ T .
Remark 2. 
The objective function of the LOS normal direction only contains its own state information, and each UAV solves its own objective function optimization problem. Therefore, it is a decentralized model predictive control problem [31].
Remark 3. 
In the LOS direction, the update of the state  x i r ( k + 1 )  depends on the state  x i r ( k )  and  u r i ( k )  at the previous moment. And  u r i ( k )  is updated through a consensus protocol. In the consensus protocol, not only the state of the UAV itself is included but also the state values of other UAVs communicating with it. Therefore, the objective function in the LOS direction contains the state information of other UAVs. That is, the problem in the LOS direction is a distributed model predictive control problem (DMPC).
According to Remark 3, the state recurrence relationship in the LOS direction is given as
x i r ( k + 1 ) = x i r ( k ) + Δ T u r i ( k ) u r i ( k + 1 ) = u i n o m ( k ) u r i ( k ) + d r i ( k ) u i n o m ( k ) = sgn j = 1 n a i j [ x i r ( k ) x i r ( k ) ] j = 1 n a i j [ x i r ( k ) x i r ( k ) ] α i

3.3. TRSV Time-to-Go Estimation Algorithm

In the above cooperative guidance law design, the key to the UAVs’ temporal cooperation lies in the design of the guidance law in the LOS direction. The estimation accuracy of the time to go is particularly important for the performance of the guidance law. However, the traditional method estimates the time to go through  t g o = r / V . There is a large error between its estimated value and the true value. Therefore, we propose an accurate time-to-go estimation algorithm to improve the time cooperative performance of the UAVs.
One of the difficulties in estimating the time to go lies in the uncertainty of the terminal time when the UAVs intercept the target. Reference [37] proposed a numerical method for estimating the time to go by taking the relative distance between the UAVs and the target as an independent variable. The advantage of taking the relative distance as a state variable (TRSV) is that the end value and the start value are known, which is convenient for numerical integration. However, this method is aimed at stationary targets and is not suitable for the design method of realizing coordination in the LOS direction. Therefore, inspired by this, this paper designs a numerical algorithm for estimating the time to go for maneuvering targets.
The state vector for estimating the time to go is defined as
ζ i = [ t , q i , V m i , θ i ] T
where  t  represents time, and  q i V m i , and  θ i  are the LOS angle, velocity, and flight path angle, respectively. For their geometric meanings, refer to Figure 1.
Then, the derivative of  ζ i  with respect to  r i  is
d ζ i d r i = f ( ζ i )
ζ i ( )  denotes the  * t h  component of  ζ i . According to Equation (35), we can obtain
f ( ζ i ) = f 1 f 2 f 3 f 4 = 1 V t cos ζ i ( 2 ) θ t ζ i ( 3 ) cos ζ i ( 2 ) ζ i ( 4 ) ζ i ( 3 ) sin ζ i ( 2 ) ζ i ( 4 ) V t sin ζ i ( 2 ) θ t r i V t cos ζ i ( 2 ) θ t ζ i ( 3 ) cos ζ i ( 2 ) ζ i ( 4 ) a r cos ( ζ i ( 4 ) ζ i ( 2 ) ) + a q sin ( ζ i ( 4 ) ζ i ( 2 ) ) V t cos ζ i ( 2 ) θ t ζ i ( 3 ) cos ζ i ( 2 ) ζ i ( 4 ) a q cos ( ζ i ( 4 ) ζ i ( 2 ) ) a r sin ( ζ i ( 4 ) ζ i ( 2 ) ) ζ i ( 3 ) V t cos ζ i ( 2 ) θ t ζ i ( 3 ) cos ζ i ( 2 ) ζ i ( 4 )
where  V t  and  θ t  are the velocity and flight path angle of the target, respectively, and they will be estimated later.  a r  and  a q  are the accelerations of the UAV in the LOS direction and the normal direction, respectively, which can be obtained by
a q i = u q i r i a r i = ( u r i + r i q ˙ i 2 ) r ˙ i 2 r i
where
u r i = u i n o m u ¯ r i + d ^ r i u q i = u ¯ q i + d ^ q i
Then, the prediction of the time to go is essentially an initial-value problem of the first component in Equation (34). Considering the trade-off between accuracy and efficiency, it can be solved by the improved Euler method.
In order to facilitate the integral solution, the  r i  is evenly divided into  H  parts within its range interval  r i s , 0 , and then the step size of each step is  τ = r i s / H . The discretized relative distance and the state vector for estimating the time to go are denoted as  r i [ j ]  and  ζ i [ j ] , respectively, where  r i [ j ] = r i [ 0 ] + j τ , and  j { 0 , 1 , 2 , , H } . When the state of the time-to-go estimate at the  j t h  step is given, the predicted state at the next step can be obtained by
ζ ˜ i [ j + 1 ] = ζ i [ j ] + τ f ( ζ i [ j ] )
ζ i [ j + 1 ] = ζ i [ j ] + τ 2 f ( ζ i [ j ] ) + f ( ζ ˜ i [ j + 1 ] )
By iterating according to Equations (39) and (40), the final estimated time-to-go state end value  ζ i [ H ]  can be obtained. Then, the time to go can be obtained by
t g o i = ζ i [ H ] ( 1 ) ζ i [ 0 ] ( 1 )
Equation (41) contains not only the information of the UAV itself but also the information of the target  θ t  and  V t . These two quantities are required when using it for state prediction. Therefore, the following introduces the estimation methods of the target information  θ t  and  V t .
According to the geometric relationship in Figure 3, it can be concluded that
θ t = π arctan Δ y t Δ x t   = π arctan ( y m i y m i ) + [ r m i sin ( q i ) r m i sin ( q i ) ] ( x m i x m i ) + [ r m i cos ( q i ) r m i cos ( q i ) ]
where  q i  and  q i  are  ζ i [ j + 1 ] ( 2 )  and  ζ i [ j ] ( 2 ) , respectively. And the speed of the target can be estimated by
V t = r ˙ i + ζ i ( 3 ) cos ( ζ i ( 2 ) ζ i ( 4 ) ) cos ( ζ i ( 2 ) θ t )
The pseudo-code of the improved time-to-go estimation algorithm is as follows.
Algorithm 1 estimates the time to go by establishing the derivative relationship of the estimated state with respect to the UAV–target relative distance, using the improved Euler method to perform numerical integration within the uniform interval of the UAV–target relative distance, and fully considering the impact caused by target maneuvers, making its estimation of the time to go more accurate. In summary, both Algorithm 1 and the DMPC cooperative guidance law are designed for the same scenario, namely, the target maneuvering scenario. Moreover, Algorithm 1 does not lead to an increase in the amount of computation. Consequently, Algorithm 1 is applicable to the DMPC cooperative guidance law.
Algorithm 1: TRSV time-to-go estimation algorithm
1: Input:  r i ζ i = [ t , q i , V m i , θ i ] T a q i  and  a r i  
2: Initialize: (1)  ζ i [ 0 ] ζ , initialize  V t [ 0 ] , θ t [ 0 ]  by Equations (42) and (43)
(2) initialize  r ˙ i [ 0 ]  
3: For  j = 0 , 1 , , H 1  do
4:   Solve  f ( ζ i [ j ] )  through Equation (36)
5:   Substitute  f ( ζ i [ j ] )  into Equation (39) for updating  ζ ˜ i [ j + 1 ]  
6:   Substitute  ζ ˜ i [ j + 1 ]  into Equation (36) for getting  f ( ζ ˜ i [ j + 1 ] )  
7:   Update  ζ i [ j + 1 ]  through Equation (40)
8:   Update  V t [ j + 1 ] , θ t [ j + 1 ]  through Equations (42) and (43)
9: End for
10:     t g o i ζ i [ H ] ( 1 ) ζ i [ 0 ] ( 1 )  
11: Output:  t f i = t + t g o i  

4. Simulation

In this section, simulation is carried out. Firstly, in the case of a single UAV, the effectiveness of the proposed time-to-go estimation algorithm is verified. Subsequently, in the engagement scenario where a group of n UAVs cooperatively intercept a single cosine maneuvering target in a 2D plane, simulations are carried out to verify the effectiveness of the designed cooperative guidance law. Moreover, assuming that the energy consumption in the cooperative guidance process is mainly caused by control variables, a simulation is carried out in comparison with the fixed-time-convergent cooperative guidance law [36], which verifies that the designed guidance law has less energy consumption.

4.1. Assumptions and Parameters

Assumption 2. 
The multiple UAV cluster confronts the target at an altitude of  5   km ; the speed of sound at this altitude is  V s = 320.53   m / s , and the acceleration of gravity is approximately  g = 9.8   m / s 2  according to the U.S. Standard Atmosphere (1976) parameter table.
Assumption 3. 
The maximum overload of the UAV is 30 g, and the maximum overload of the target is 4 g.
Assumption 4. 
The three UAVs communicate in the communication topology shown in Figure 4, and the communication among the UAVs is undirected and without delay. The weight matrix of the communication topology shown in Figure 1 is  A = 0   1   1 ; 1   0   0 ; 1   0   0 . The second smallest eigenvalue of the Laplace matrix of the communication topology is 2.
The initial parameters of the UAVs and target are shown in Table 1.
The parameters of the objective function are shown in Table 2.
The discretization time is set as  Δ T = 0.1   s , the prediction interval is set as  N = 10 , and the UAVs’ acceleration constraints are set as  u i m i n = [ 200 , 300 ] T  and  u i max = [ 200 , 300 ] T . This represents that the maximum overload of the UAV in the LOS direction is 20 g, and the overload in the normal direction of the line of sight is 30 g. Simulation experiments are conducted under the above assumptions, initial conditions, and parameters.

4.2. Simulation of the Time-to-Go Estimation Algorithm

To verify the effectiveness and accuracy of the improved time-to-go estimation algorithm, in this subsection, firstly, simulation is carried out in the case where a single UAV attacks a cosine maneuvering target to verify the effectiveness of the proposed algorithm. Secondly, Monte Carlo simulation is carried out to verify the robustness of the proposed algorithm.
Remark 4. 
During the UAVs’ cooperative process, the estimation of the time to go will affect the cooperative effect in the LOS direction and further affect the actual time. That is, different time-to-go estimation algorithms will result in different actual times, so it is not conducive to compare. In this subsection, in order to verify the accuracy of the proposed time-to-go estimation algorithm, comparative simulation is required. Therefore, a single UAV is selected to attack the target using the proportional navigation guidance (PNG) law so as to illustrate the advantages of the proposed algorithm with a more scientific comparison method. In the subsequent UAVs’ cooperative simulation, it can be seen from the simulation results that the proposed time-to-go estimation algorithm is effective in UAVs’ cooperation.
The simulation results are as follows.
Figure 5 shows the simulation results of the time-to-go estimation. It can be seen from Figure 5a that the time to go estimated by the algorithm proposed in this paper is closer to the actual time to go. Figure 5b can further prove that the estimation error of the algorithm proposed in this paper is smaller, that is, the time to go is estimated more accurately.
A deviation of  ± 0.5   km  is applied to the initial position of the UAVs, and at the same time, a deviation of  ± 10   deg  is applied to the initial path angle of the UAVs. Under the mentioned simulation conditions, 1000 Monte Carlo simulation experiments are carried out. The experimental results are as follows.
Figure 6 and Figure 7 are the maximum error and the RMSE error of 1000 Monte Carlo simulations, respectively. It can be seen that the maximum error of the 1000 Monte Carlo simulations is maintained within 1.7 s, and the RMSE is maintained within 0.75 s, which can prove that the proposed time-to-go estimation algorithm is accurate and robust.

4.3. Scenarios for Target Cosine Maneuvers

The target’s maneuvering overload command is set as  a y t = 4 g cos ( 0.5 t )   m / s 2 . This is a typical form of target maneuver. It indicates that the target moves according to such an overload instruction, representing a cosine maneuver pattern. Employing such maneuvers can effectively consume the energy of the intercepting UAV and evade its interception. Under the above-mentioned simulation conditions, a simulation experiment is carried out, and the obtained results are as follows.
It can be seen from Figure 8a,b that the three UAVs can intercept the target, and their trajectories are relatively straight, and the relative distances converge to a small value at the same time. It can be seen from Figure 9 that the overloads of the UAVs are relatively smooth and remain within a relatively small range, meeting the overload constraints. It can be seen from Figure 10 that the terminal interception time of the UAVs eventually tends to be the same, and the time to go also converges to be the same very quickly.
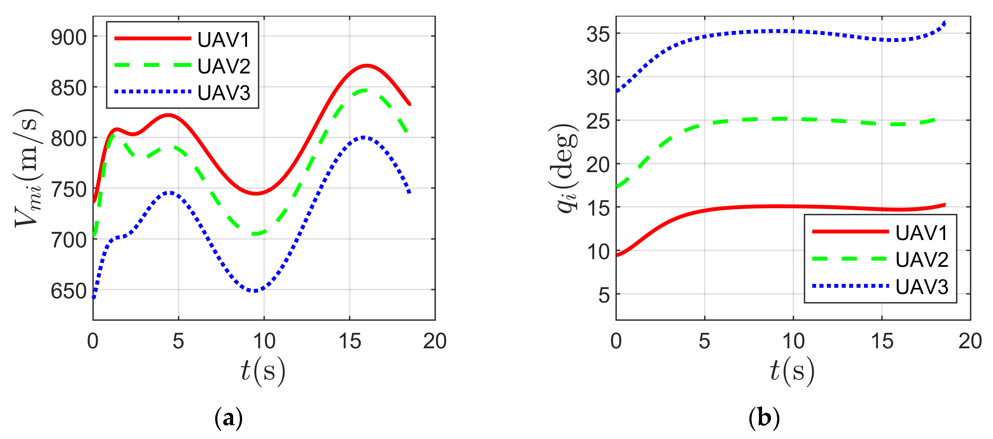
It can be seen from Figure 11a that, with the design method in this paper, the velocity of UAVs will change, especially decelerate, which should be noted in follow-up research. It can be seen from Figure 11b that the LOS angle of UAVs can converge to the expected value.
As shown in Figure 11 and Table 3, the simulation results show that the designed cooperative guidance law can achieve good guidance accuracy. And it can achieve cooperation in the LOS direction. In the LOS normal direction, the LOS angle can converge to the expected value, achieving the design objective.

4.4. Comparative Simulation

In order to verify the superiority of the cooperative guidance law designed (hereinafter referred to as MPCCGL) in terms of energy saving, a comparative simulation experiment is carried out. Firstly, the conditions of the simulation experiment and the parameters of the guidance law are the same as above. At the same time, the fixed-time cooperative guidance law [38] (hereinafter referred to as PTCGL) is selected as the control group, and the PTCGL is amplitude-limited. It is assumed that all the energy consumed is caused by the control quantity, and the energy consumption is replaced by the following:
E i = t 0 t f a i 2 d t
where  E i  is used to represent the magnitude of energy consumption and has no actual physical meaning, and  a i  is the acceleration of the UAV. In the design of the guidance law, the control input determines the magnitude of the acceleration of the UAVs. And the acceleration of the UAVs will affect the energy consumption of the UAVs, with a positive correlation between them. Therefore, the above formula can be used to represent the energy consumption [39].
The results of the comparative simulation experiment are as follows.
Figure 12 and Figure 13 are the comparison of the overload commands in the velocity direction and the normal velocity direction, respectively, and Figure 14 and Figure 15 are the comparison of the energy consumption in the velocity direction and the normal velocity direction, respectively. It can be seen from Figure 12, Figure 13, Figure 14 and Figure 15 that the guidance law proposed in this paper generates smaller overloads and has less energy consumption, showing superiority in terms of energy consumption.
It can be seen from Table 4 that the total energy consumed by the guidance law designed in this paper is far less than that consumed by the PTCGL, and the design objective can be achieved with less energy consumption.

5. Conclusions

This paper proposes a DMPC cooperative guidance law for multiple UAVs to cooperatively intercept maneuvering targets, with special consideration of the energy consumption. Moreover, this paper proposes an accurate time-to-go estimation algorithm for maneuvering targets which can enhance the effect of cooperation. The miss distance of the DMPC cooperative guidance law designed in this paper is less than 0.5 m, and the maximum convergence error of the LOS angle is no more than 0.7 deg, and the energy consumption is reduced by 50% compared to the PTCGL. The maximum error of the proposed time-to-go estimation algorithm is no more than 1.7 s, and the RMSE is no more than 0.75 s. Compared with the traditional time-to-go estimation algorithm, the estimation accuracy is improved by more than 200%. To sum up, the method proposed in this paper greatly improves the performance of the cooperative guidance law and has certain reference value. Furthermore, this paper is designed under the assumption of decoupling in the LOS direction and the normal direction. Therefore, future research will focus on studying the design of guidance laws with full consideration of the coupling relationship between the two directions.

Author Contributions

Software, H.H. and Y.D.; formal analysis, H.Z., B.D. and Y.D.; investigation, B.D.; resources, B.D. and H.C.; data curation, H.H. and H.Z.; writing—original draft, Y.D.; writing—review and editing, H.Z, H.C. and B.D. All authors have read and agreed to the published version of the manuscript.

Funding

This research was funded by the National Natural Science Foundation of China, Grant Number 62176214, 62003268, 62303380, and 62101590. The APC was funded by the National Natural Science Foundation of China, Grant Number 62176214.

Data Availability Statement

The data presented in this study are available on request from the corresponding author.

Conflicts of Interest

The authors declare no conflicts of interest.

References

  1. Jeon, I.S.; Lee, J.I.; Tahk, M.J. Impact-Time-Control Guidance Law for Anti-Ship Missiles. IEEE Trans. Control Syst. Technol. 2006, 14, 260–266. [Google Scholar] [CrossRef]
  2. Kumar, S.R.; Ghose, D. Impact Time Guidance for Large Heading Errors Using Sliding Mode Control. IEEE Trans. Aerosp. Electron. Syst. 2015, 51, 3123–3138. [Google Scholar] [CrossRef]
  3. Cho, D.; Kim, H.J.; Tahk, M.J. Nonsingular Sliding Mode Guidance for Impact Time Control. J. Guid. Control Dyn. 2016, 39, 61–68. [Google Scholar] [CrossRef]
  4. Zhao, S.; Zhou, R. Cooperative Guidance for Multi-missile Salvo Attack. Chin. J. Aeronaut. 2008, 21, 533–539. [Google Scholar]
  5. Zhou, J.; Yang, J. Distributed Guidance Law Design for Cooperative Simultaneous Attacks with Multiple Missiles. J. Guid. Control Dyn. 2016, 39, 2439–2447. [Google Scholar] [CrossRef]
  6. He, S.; Wang, W.; Lin, D.; Lei, H. Consensus-Based Two-Stage Salvo Attack Guidance. IEEE Trans. Aerosp. Electron. Syst. 2018, 54, 1555–1566. [Google Scholar] [CrossRef]
  7. Jeon, I.S.; Lee, J.I.; Tahk, M.J. Homing Guidance Law for Cooperative Attack of Multiple Missiles. J. Guid. Control Dyn. 2010, 33, 275–280. [Google Scholar] [CrossRef]
  8. Dong, W.; Wang, C.; Wang, J.; Xin, M. Varying-Gain Proportional Navigation Guidance for Precise Impact Time Control. J. Guid. Control Dyn. 2023, 46, 535–552. [Google Scholar] [CrossRef]
  9. Lee, J.I.; Jeon, I.S.; Tahk, M.J. Guidance Law to Control Impact Time and Angle. IEEE Trans. Aerosp. Electron. Syst. 2007, 43, 301–310. [Google Scholar]
  10. Chen, Y.; Guo, D.; Wang, J.; Shan, J.; Xin, M. Cooperative Circular Guidance with Nonuniform Field-of-View Constraints. J. Guid. Control Dyn. 2022, 45, 1435–1450. [Google Scholar] [CrossRef]
  11. Chen, X.; Wang, J. Optimal Control Based Guidance Law to Control both Impact Time and Impact Angle. Aerosp. Sci. Technol. 2019, 84, 454–463. [Google Scholar] [CrossRef]
  12. Hu, Q.; Han, T.; Xin, M. New Impact Time and Angle Guidance Strategy via Virtual Target Approach. J. Guid. Control Dyn. 2018, 41, 1755–1765. [Google Scholar] [CrossRef]
  13. Wang, P.; Guo, Y.; Ma, G.; Lee, C.H.; Wie, B. New Look-Angle Tracking Guidance Strategy for Impact Time and Angle Control. J. Guid. Control Dyn. 2022, 45, 545–557. [Google Scholar] [CrossRef]
  14. Chen, Z.Y.; Chen, W.C.; Liu, X.M.; Cheng, J. Three-Dimensional Fixed-Time Robust Cooperative Guidance Law for Simultaneous Attack with Impact Angle Constraint. Aerosp. Sci. Technol. 2021, 110, 514–523. [Google Scholar] [CrossRef]
  15. Lyu, T.; Guo, Y.; Li, C.; Ma, G.F.; Zhang, H.B. Multiple Missiles Cooperative Guidance with Simultaneous Attack Requirement under Directed Topologies. Aerosp. Sci. Technol. 2019, 89, 100–110. [Google Scholar] [CrossRef]
  16. Bu, X.; Jiang, B. Fragility-Free Prescribed Performance Control Without Approximation Applied to Waverider Aerocraft. IEEE J. Miniaturization Air Space Syst. 2023, 4, 146–156. [Google Scholar] [CrossRef]
  17. Zhang, S.; Guo, Y.; Liu, Z.; Wang, S.; Hu, X. Finite-Time Cooperative Guidance Strategy for Impact Angle and Time Control. IEEE Trans. Aerosp. Electron. Syst. 2021, 57, 806–819. [Google Scholar] [CrossRef]
  18. Jiang, Z.; Ge, J.; Xu, Q.; Yang, T. Terminal Impact Time Control Cooperative Guidance Law for UAVs under Time-Varying Velocity. Drones 2021, 5, 100. [Google Scholar] [CrossRef]
  19. Dong, W.; Wang, C.; Wang, J.; Zuo, Z.; Shan, J. Fixed-Time Terminal Angle-Constrained Cooperative Guidance Law Against Maneuvering Target. IEEE Trans. Aerosp. Electron. Syst. 2022, 58, 1352–1366. [Google Scholar] [CrossRef]
  20. Bu, X. Saturated Control with Variable Prescribed Performance Applied to the Manipulator of UAV. IEEE J. Miniat. Air Space Syst. 2023, 4, 212–220. [Google Scholar] [CrossRef]
  21. Cai, H.; Li, X.; Zhang, Y.; Gao, H. Interception of a Single Intruding Unmanned Aerial Vehicle by Multiple Missiles Using the Novel EA-MADDPG Training Algorithm. Drones 2024, 8, 524. [Google Scholar] [CrossRef]
  22. Chen, Y.; Wang, J.; Shan, J.; Xin, M. Cooperative Guidance for Multiple Powered Missiles with Constrained Impact and Bounded Speed. J. Guid. Control Dyn. 2021, 44, 825–841. [Google Scholar] [CrossRef]
  23. Li, A.; Hu, X.; Yang, S.; Dong, K. Adaptive Terminal Time and Impact Angle Constraint Cooperative Guidance Strategy for Multiple Vehicles. Drones 2024, 8, 134. [Google Scholar] [CrossRef]
  24. Yu, H.; Dai, K.; Li, H.J. Three-Dimensional Adaptive Fixed-time Cooperative Guidance Law with Impact Time and Angle Constraints. Aerosp. Sci. Technol. 2022, 123, 107–130. [Google Scholar] [CrossRef]
  25. Li, C.; Wang, J.; Huang, P. Optimal Cooperative Line-of-Sight Guidance for Defending a Guided Missile. Aerospace 2022, 9, 232. [Google Scholar] [CrossRef]
  26. Yu, H.; Dai, K.; Li, H.J.; Zou, Y. Cooperative Guidance Law for Multiple Missiles Simultaneous Attacks with Fixed-time Convergence. Int. J. Control 2023, 96, 2167–2180. [Google Scholar] [CrossRef]
  27. Zhang, B.; Zhou, D. Optimal Predictive Sliding-mode Guidance Law for Intercepting Near-space Hypersonic Maneuvering Target. Chin. J. Aeronaut. 2022, 35, 320–331. [Google Scholar] [CrossRef]
  28. Zhao, J.; Zhou, S.; Zhou, R. Distributed Time-Constrained Guidance Using Nonlinear Model Predictive Control. Nonlinear Dyn. 2016, 84, 1399–1416. [Google Scholar] [CrossRef]
  29. Jiang, H.; An, Z.; Yu, Y. Cooperative Guidance with Multiple Constraints using Convex Optimization. Aerosp. Sci. Technol. 2018, 79, 426–440. [Google Scholar] [CrossRef]
  30. Dai, L.; Cao, Q.; Xia, Y. Distributed MPC for Formation of Multi-Agent Systems with Collision Avoidance and Obstacle Avoidance. J. Franklin Inst. 2017, 354, 2068–2085. [Google Scholar] [CrossRef]
  31. Zhao, J.; Zhou, R. Distributed Three-dimensional Cooperative Guidance via Receding Horizon Control. Chin. J. Aeronaut. 2016, 29, 972–983. [Google Scholar] [CrossRef]
  32. Kang, S.; Wang, J.; Li, G. Optimal Cooperative Guidance Law for Salvo Attack: An MPC-based Consensus Perspective. IEEE Trans. Aerosp. Electron. Syst. 2018, 54, 2397–2410. [Google Scholar] [CrossRef]
  33. Cong, M.; Cheng, X.; Zhao, Z. Studies on Multi-Constraints Cooperative Guidance Method Based on Distributed MPC for Multi-missiles. Appl. Sci. 2021, 11, 10857. [Google Scholar] [CrossRef]
  34. Jiang, Z.J.; Yang, X.X.; Wang, C. A DMPC-based Three-Dimensional Cooperative Guidance Scheme with Impact Time and Impact Angle Constraints. Meas. Control 2024, 32, 152–168. [Google Scholar] [CrossRef]
  35. Chen, L.M.; Lv, Y.Y.; Li, C.J. Cooperatively Surrounding Control for Multiple Euler-Lagrange Systems Subjected to Uncertain Dynamics and Input Constraints. Chin. Phys. B 2016, 25, 525–533. [Google Scholar] [CrossRef]
  36. Wang, L.; Xiao, F. Finite-Time Consensus Problems for Networks of Dynamic Agents. IEEE Trans. Autom. Control 2010, 55, 950–955. [Google Scholar] [CrossRef]
  37. Dong, W.; Deng, F.; Wang, C.Y.; Wang, J.A. Three-Dimensional Spatial–Temporal Cooperative Guidance Without Active Speed Control. J. Guid. Control Dyn. 2023, 46, 1981–1996. [Google Scholar] [CrossRef]
  38. Wang, Z.K.; Fang, Y.W.; Fu, W.X. Prescribed-Time Cooperative Guidance Law Against Maneuvering Target with Input Saturation. ISA Trans. 2022, 96, 1177–1189. [Google Scholar]
  39. Ye, D.; Sun, J.; Xiao, Y.; Sun, Z. Energy Optimal Guidance for Proximity Approach with Obstacle Avoidance. Aerosp. Sci. Technol. 2022, 130, 107–121. [Google Scholar] [CrossRef]
Figure 1. Two-dimensional schematic geometry of cooperative interception.
Figure 1. Two-dimensional schematic geometry of cooperative interception.
Drones 08 00657 g001
Figure 2. Flow chart of energy suboptimal cooperative guidance law based on DMPC.
Figure 2. Flow chart of energy suboptimal cooperative guidance law based on DMPC.
Drones 08 00657 g002
Figure 3. Geometric relationship for θt estimation.
Figure 3. Geometric relationship for θt estimation.
Drones 08 00657 g003
Figure 4. Communication topology.
Figure 4. Communication topology.
Drones 08 00657 g004
Figure 5. The simulation results of time-to-go estimation algorithm. (a) The time-to-go estimation curve; (b) the time-to-go estimation error curve.
Figure 5. The simulation results of time-to-go estimation algorithm. (a) The time-to-go estimation curve; (b) the time-to-go estimation error curve.
Drones 08 00657 g005
Figure 6. The maximum time-to-go estimation error in Monte Carlo simulation.
Figure 6. The maximum time-to-go estimation error in Monte Carlo simulation.
Drones 08 00657 g006
Figure 7. The RMSE of time-to-go estimation error in Monte Carlo simulation.
Figure 7. The RMSE of time-to-go estimation error in Monte Carlo simulation.
Drones 08 00657 g007
Figure 8. The trajectory and relative distance of UAVs. (a) Three UAVs’ trajectories in 2D plane for intercepting target; (b) the relative distance between three UAVs and target.
Figure 8. The trajectory and relative distance of UAVs. (a) Three UAVs’ trajectories in 2D plane for intercepting target; (b) the relative distance between three UAVs and target.
Drones 08 00657 g008
Figure 9. The overload curve of UAVs. (a) The overload of the three UAVs along the normal direction of velocity, which determines the change in velocity direction; (b) the overload of the three UAVs along the velocity direction, which determines the changes in velocity magnitude.
Figure 9. The overload curve of UAVs. (a) The overload of the three UAVs along the normal direction of velocity, which determines the change in velocity direction; (b) the overload of the three UAVs along the velocity direction, which determines the changes in velocity magnitude.
Drones 08 00657 g009
Figure 10. The terminal interception time and the time to go of UAVs. (a) The terminal interception time of the three UAVs, which is the terminal moment when the UAV intercepts the target; (b) the time to go of the three UAVs along the velocity direction, which is the difference between the terminal interception moment and the current moment.
Figure 10. The terminal interception time and the time to go of UAVs. (a) The terminal interception time of the three UAVs, which is the terminal moment when the UAV intercepts the target; (b) the time to go of the three UAVs along the velocity direction, which is the difference between the terminal interception moment and the current moment.
Drones 08 00657 g010
Figure 11. The changes in UAVs’ velocity and LOS angle. (a) The UAVs’ velocity; (b) the UAVs’ LOS angle.
Figure 11. The changes in UAVs’ velocity and LOS angle. (a) The UAVs’ velocity; (b) the UAVs’ LOS angle.
Drones 08 00657 g011
Figure 12. UAVs’ overload in velocity direction (comparison between PTCGL and MPCCGL).
Figure 12. UAVs’ overload in velocity direction (comparison between PTCGL and MPCCGL).
Drones 08 00657 g012
Figure 13. UAVs’ overload in velocity normal direction (comparison between PTCGL and MPCCGL).
Figure 13. UAVs’ overload in velocity normal direction (comparison between PTCGL and MPCCGL).
Drones 08 00657 g013
Figure 14. UAVs’ energy consumption in velocity direction (Evxi is used to represent the magnitude of energy consumption and has no actual physical meaning).
Figure 14. UAVs’ energy consumption in velocity direction (Evxi is used to represent the magnitude of energy consumption and has no actual physical meaning).
Drones 08 00657 g014
Figure 15. UAVs’ energy consumption in velocity normal direction (Evyi is used to represent the magnitude of energy consumption and has no actual physical meaning).
Figure 15. UAVs’ energy consumption in velocity normal direction (Evyi is used to represent the magnitude of energy consumption and has no actual physical meaning).
Drones 08 00657 g015
Table 1. Simulation initial conditions.
Table 1. Simulation initial conditions.
Coordinates (km)Velocity (m/s)Path Angle (deg)Desired LOS (deg)
UAV 1(0, 2)7372015
UAV 2(2, 0)7052025
UAV 3(5, −2)6412035
Target(18, 5)480150--
Table 2. The parameters of the objective function.
Table 2. The parameters of the objective function.
Parameters in LOS Normal Direction Parameters in LOS Direction
Qq[50 0;0 50]TQr50
Rq[30 0;0 30]TRr30
Fq[50 0;0 50]TFr50
Table 3. Terminal data of simulation.
Table 3. Terminal data of simulation.
UAVsMiss Distance (m)Terminal Time (s)LOS Angle (deg)LOS Angle Error (deg)
UAV10.371818.593615.14550.1455
UAV20.387118.595225.63860.6386
UAV30.457518.580635.68520.6852
The simulation stops when the miss distances of the three UAVs are all less than 0.5 m, and the miss distances in this table are the data when the simulation stops.
Table 4. Energy consumption of comparative simulation.
Table 4. Energy consumption of comparative simulation.
UAVsEi of the MPCCGLEi of the PTCGL
UAV 1105088201271
UAV 2166797297413
UAV 3892091195985
Ei = Evxi +Evyi is used to represent the magnitude of energy consumption and has no actual physical meaning. Evxi and Evyi are the energy consumptions represented in Figure 14 and Figure 15, respectively.
Disclaimer/Publisher’s Note: The statements, opinions and data contained in all publications are solely those of the individual author(s) and contributor(s) and not of MDPI and/or the editor(s). MDPI and/or the editor(s) disclaim responsibility for any injury to people or property resulting from any ideas, methods, instructions or products referred to in the content.

Share and Cite

MDPI and ACS Style

Huang, H.; Dong, Y.; Cui, H.; Zhou, H.; Du, B. Distributed Model Predictive Control Cooperative Guidance Law for Multiple UAVs. Drones 2024, 8, 657. https://doi.org/10.3390/drones8110657

AMA Style

Huang H, Dong Y, Cui H, Zhou H, Du B. Distributed Model Predictive Control Cooperative Guidance Law for Multiple UAVs. Drones. 2024; 8(11):657. https://doi.org/10.3390/drones8110657

Chicago/Turabian Style

Huang, Hanqiao, Yue Dong, Haoran Cui, Huan Zhou, and Bo Du. 2024. "Distributed Model Predictive Control Cooperative Guidance Law for Multiple UAVs" Drones 8, no. 11: 657. https://doi.org/10.3390/drones8110657

APA Style

Huang, H., Dong, Y., Cui, H., Zhou, H., & Du, B. (2024). Distributed Model Predictive Control Cooperative Guidance Law for Multiple UAVs. Drones, 8(11), 657. https://doi.org/10.3390/drones8110657

Article Metrics

Back to TopTop