An Improved Method for Swing State Estimation in Multirotor Slung Load Applications
Abstract
:1. Introduction
2. System Modeling
2.1. Reference Frames
- 1.
- an Earth-fixed north–east–down frame, : the origin, , is arbitrarily fixed to a point on the Earth’s surface, aims in the direction of geodetic north, points downward along the Earth ellipsoid normal, and completes a right-handed triad. This frame is assumed to be inertial under the assumption of flat and non-rotating Earth;
- 2.
- a body-fixed frame, : the longitudinal axis is positive out the nose of the rotorcraft in its selected plane of symmetry, aims in the direction of fuselage/frame bottom, and completes a right-handed triad.
- 3.
- a rotorcraft structural reference frame, , used to locate and all vehicle components: axes are parallel to the body-fixed frame axes, such that , , and . Stations () are measured positive aft along the longitudinal axis. Buttlines () are lateral distances, positive to the right, and waterlines () are measured vertically, positive upward. Without loss of generality, it is assumed that lies on the top surface of multirotor frame and is aligned vertically with multirotor geometric center over the plane.
2.2. Equations of Motion
3. Filter Recursive Equations
4. Results
4.1. Simulation Results
4.1.1. Simulation Setup
4.1.2. Preliminary Definitions
- Maneuver time, . It is the total time required to conclude the considered maneuver, based on a stop criterion. In the present framework, the simulation is stopped when two conditions are met, namely: (1) the positioning error falls below m and (2) cable oscillation angle remains bounded below 1 deg for a prescribed time of 10 s. In the case when the considered maneuver does not require position stabilization, is calculated on the basis of condition 2 only. Cable oscillation angle is defined as the angle between the local vertical axis and the direction of the cable. Considering the nomenclature adopted in [15], is obtained from the dot product:where is the unit vector directed from the suspension point to the payload.
- Average swing angle, . It is calculated through the integralover maneuver time domain. Although correctly describes the overall oscillation behavior on average, the integral quantity is also accounted to provide an indication of how much and how long the cable remains far from the vertical equilibrium condition.
- Average swing rate, . Let be the swing rate, defined as the time derivative of . Then, is calculated through the integralSimilar to the case of , the integral quantity is also determined to provide a better indication of how much and how long the swing rate remains far from the equilibrium null condition.
- Average trajectory-tracking error, . It is calculated as the integralof the time-dependent variable . In the present case, describes the accuracy of point-to-point positioning maneuvers in the framework of waypoint navigation. Assume A and B are consecutive waypoints, respectively, identified by position vectors and . represents the distance at time t of the vehicle from the direction defined by vector , calculated over the local-horizontal plane .
- Total propulsive energy, . It is the mechanical energy delivered by electrical motors to propellers, evaluated from the integralwhere is the output shaft power generated by the i–th motor, obtained from required torque and angular rate under the assumption of null friction torque.
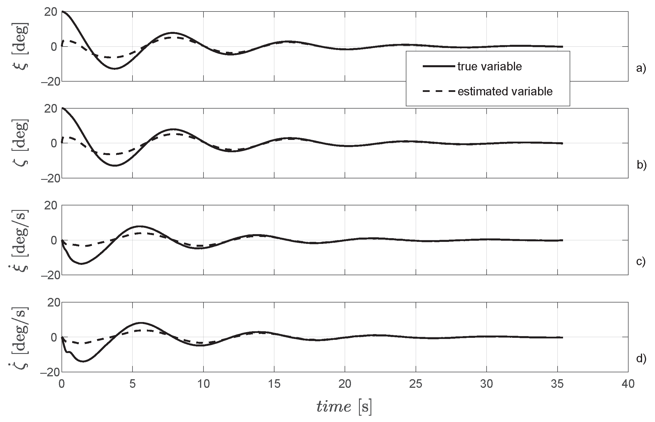
4.1.3. Filter Validation
- specification: MIL-F-8785C;
- model type: continuous Von Kármán (+q +r);
- wind speed at 6 m (used to define the low-altitude wind intensity): 10 m/s;
- wind direction at 6 m (degrees clockwise from north): 90 deg;
- scale length at medium/high altitudes: m (default value);
- band-limited noise sample time: s;
- MR wingspan: m (here intended as the maximum octarotor frontal size);
- load wingspan: 1 m (here intended as the maximum load frontal size).
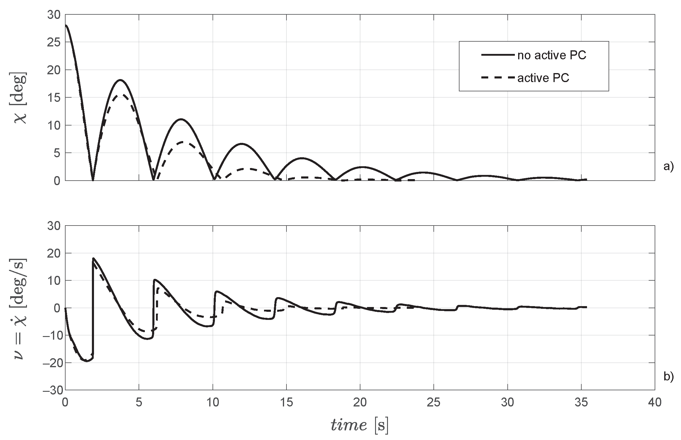
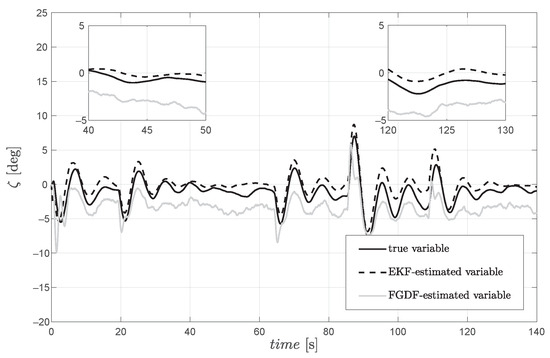
4.2. Experimental Results
5. Conclusions
Author Contributions
Funding
Data Availability Statement
Acknowledgments
Conflicts of Interest
Appendix A. EKF Jacobian Components
References
- Pounds, P.E.I.; Bersak, D.R.; Dollar, A.M. Grasping From the Air: Hovering Capture and Load Stability. In Proceedings of the IEEE International Conference on Robotics and Automation, Shanghai, China, 9–13 May 2011; pp. 2491–2498. [Google Scholar] [CrossRef]
- Chen, H.; Quan, F.; Fang, L.; Zhang, S. Aerial Grasping with a Lightweight Manipulator Based on Multi–Objective Optimization and Visual Compensation. Sensors 2019, 19, 4253. [Google Scholar] [CrossRef] [PubMed]
- Eskandaripour, H.; Boldsaikhan, E. Last–Mile Drone Delivery: Past, Present, and Future. Drones 2023, 7, 77. [Google Scholar] [CrossRef]
- Li, X.; Zhang, J.; Han, J. Trajectory planning of load transportation with multi–quadrotors based on reinforcement learning algorithm. Aerosp. Sci. Technol. 2021, 116, 106887. [Google Scholar] [CrossRef]
- Pounds, P.; Bersak, D.; Dollar, A. Stability of small–scale UAV helicopters and quadrotors with added payload mass under PID control. Auton. Robot. 2012, 33, 129–142. [Google Scholar] [CrossRef]
- Palunko, I.; Fierro, R.; Cruz, P. Trajectory generation for swing–free maneuvers of a quadrotor with suspended payload: A dynamic programming approach. In Proceedings of the IEEE International Conference on Robotics and Automation, Saint Paul, MN, USA, 14–18 May 2012; pp. 2691–2697. [Google Scholar] [CrossRef]
- Dai, S.; Lee, T.; Bernstein, D.S. Adaptive Control of a Quadrotor UAV Transporting a Cable–Suspended load with Unknown Mass. In Proceedings of the the 53rd Conference on Decision and Control (CDC), Los Angeles, CA, USA, 15–17 December 2014; pp. 6149–6154. [Google Scholar] [CrossRef]
- Sreenath, K.; Lee, T.; Kumar, V. Geometric control and differential flatness of a quadrotor UAV with a cable–suspended load. In Proceedings of the the 52nd IEEE Conference on Decision and Control (CDC), Firenze, Italy, 10–13 December 2013; pp. 2269–2274. [Google Scholar] [CrossRef]
- Nicotra, M.M.; Garone, E.; Naldi, R.; Marconi, L. Nested saturation control of an UAV carrying a suspended load. In Proceedings of the the American Control Conference, Portland, OR, USA, 4–6 June 2014; pp. 3585–3590. [Google Scholar] [CrossRef]
- Pizetta, I.H.B.; Brandão, A.S.; Sarcinelli-Filho, M. Modelling and control of a PVTOL quadrotor carrying a suspended load. In Proceedings of the the International Conference on Unmanned Aircraft Systems (ICUAS), Denver, CO, USA, 9–12 June 2015; pp. 444–450. [Google Scholar] [CrossRef]
- Potter, J.; Singhose, W.; Costelloy, M. Reducing swing of model helicopter sling load using input shaping. In Proceedings of the 9th IEEE International Conference on Control and Automation (ICCA), Santiago, Chile, 19–21 December 2011; pp. 348–353. [Google Scholar] [CrossRef]
- Bingöl, Ö.; Güzey, H.M. Finite–Time Neuro–Sliding-Mode Controller Design for Quadrotor UAVs Carrying Suspended Payload. Drones 2022, 6, 311. [Google Scholar] [CrossRef]
- Outeiro, P.; Cardeira, C.; Oliveira, P. Control Architecture for a Quadrotor Transporting a Cable-Suspended Load of Uncertain Mass. Drones 2023, 7, 201. [Google Scholar] [CrossRef]
- de Angelis, E.L.; Giulietti, F.; Pipeleers, G. Two–time–scale control of a multirotor aircraft for suspended load transportation. Aerosp. Sci. Technol. 2019, 84, 193–203. [Google Scholar] [CrossRef]
- de Angelis, E.L.; Giulietti, F. Stability and control issues of multirotor suspended load transportation: An analytical closed–form approach. Aerosp. Sci. Technol. 2023, 135, 108201. [Google Scholar] [CrossRef]
- Guerrero-Sánchez, M.E.; Hernández-González, O.; Lozano, R.; Garcia-Beltrán, C.D.; Valencia-Palomo, G.; López-Estrada, F.R. Energy–Based Control and LMI–Based Control for a Quadrotor Transporting a Payload. Mathematics 2019, 7, 1090. [Google Scholar] [CrossRef]
- Mohiuddin, A.; Taha, T.; Zweiri, Y.; Gan, D. UAV Payload Transportation via RTDP Based Optimized Velocity Profiles. Energies 2019, 12, 3049. [Google Scholar] [CrossRef]
- Cabecinhas, D.; Cunha, R.; Silvestre, C. A trajectory tracking control law for a quadrotor with slung load. Automatica 2019, 106, 384–389. [Google Scholar] [CrossRef]
- Wang, T.; Zhou, J.; Wu, Z.; Liu, R.; Zhang, J.; Liang, Y. A Time–Varying PD Sliding Mode Control Method for the Container Crane Based on a Radial–Spring Damper. Electronics 2022, 11, 3543. [Google Scholar] [CrossRef]
- How, J.P.; Behihke, B.; Frank, A.; Dale, D.; Vian, J. Realtime indoor autonomous vehicle test environment. IEEE Control Syst. 2008, 28, 51–64. [Google Scholar] [CrossRef]
- Lupashin, S.; Hehn, M.; Mueller, M.W.; Schoellig, A.P.; Sherback, M.; D’Andrea, R. A platform for aerial robotics research and demonstration: The flying machine arena. Mechatronics 2014, 24, 41–54. [Google Scholar] [CrossRef]
- Zürn, M.; Morton, K.; Heckmann, A.; McFadyen, A.; Notter, S.; Gonzalez, F. MPC controlled multirotor with suspended slung load: System architecture and visual load detection. In Proceedings of the IEEE Aerospace Conference, Big Sky, MT, USA, 5–12 March 2016; pp. 1–11. [Google Scholar] [CrossRef]
- Ebrahimi, M.; Ghayour, M.; Madani, S.M.; Khoobroo, A. Swing angle estimation for anti–sway overhead crane control using load cell. Int. J. Control Autom. Syst. 2011, 9, 301–309. [Google Scholar] [CrossRef]
- Feng, Y.; Wang, J. GPS RTK Performance Characteristics and Analysis. J. Glob. Position Syst. 2008, 7, 1–8. [Google Scholar] [CrossRef]
- Kim, Y.S.; Hong, K.S.; Sul, S.K. Anti-Sway Control of Container Cranes: Inclinometer, Observer, and State Feedback. Int. J. Control Autom. Syst. 2004, 2, 435–449. Available online: https://cogno.pusan.ac.kr/sites/cogno/download/eng/1_56_IJCAS_v.2_n.4_pp.435-449_2004_Kim-Hong-Sul%20(NRL).pdf (accessed on 25 October 2023).
- Paul, H.; Ono, K.; Ladig, R.; Shimonomura, K. A Multirotor Platform Employing a Three–Axis Vertical Articulated Robotic Arm for Aerial Manipulation Tasks. In Proceedings of the IEEE/ASME International Conference on Advanced Intelligent Mechatronics (AIM), Auckland, New Zealand, 9–12 July 2018; pp. 478–485. [Google Scholar] [CrossRef]
- Lee, S.J.; Kim, H.J. Autonomous Swing–Angle Estimation for Stable Slung–Load Flight of Multi–Rotor UAVs. In Proceedings of the IEEE International Conference on Robotics and Automation (ICRA), Singapore, 29 May–3 June 2017; pp. 4576–4581. [Google Scholar] [CrossRef]
- de Angelis, E.L. Swing angle estimation for multicopter slung load applications. Aerosp. Sci. Technol. 2019, 89, 264–274. [Google Scholar] [CrossRef]
- de Angelis, E.L.; Ferrarese, G.; Giulietti, F.; Modenini, D.; Tortora, P. Terminal height estimation using a Fading Gaussian Deterministic filter. Aerosp. Sci. Technol. 2016, 55, 366–376. [Google Scholar] [CrossRef]
- Lee, S.; Son, H. Antisway Control of a Multirotor With Cable–Suspended Payload. IEEE Trans. Control Syst. Technol. 2021, 29, 2630–2638. [Google Scholar] [CrossRef]
- de Angelis, E.L.; Giulietti, F.; Pipeleers, G.; Rossetti, G.; Van Parys, R. Optimal autonomous multirotor motion planning in an obstructed environment. Aerosp. Sci. Technol. 2019, 87, 379–388. [Google Scholar] [CrossRef]
- Talbot, P.D.; Tinling, B.E.; Decker, W.A.; Chen, R.T.N. A Mathematical Model of a Single Main Rotor Helicopter for Piloted Simulation; NASA Technical Memorandum 84281; NASA: Washington, DC, USA, 1982; pp. 1–52.
- Leishman, J.G. Principles of Helicopter Aerodynamics, 2nd ed.; Cambridge University Press: New York, NY, USA, 2006; Chapters 2 and 5. [Google Scholar]
- Stevens, B.L.; Lewis, F.L.; Johnson, E.N. Aircraft Control and Simulation: Dynamics, Controls Design, and Autonomous Systems, 3rd ed.; Wiley-Blackwell: Hoboken, NJ, USA, 2015; Chapter 1. [Google Scholar]
- Brown, R.G.; Hwang, P.Y.C. Introduction to Random Signals and Applied Kalman Filtering, 3rd ed.; John Wiley & Sons: New York, NY, USA, 1997; pp. 289–293. [Google Scholar]
- Butcher, J.C. Numerical methods for ordinary differential equations in the 20th century. J. Comput. Appl. Math. 2000, 125, 1–29. [Google Scholar] [CrossRef]
- Kim, H.W.; Brown, R.E. A Comparison of Coaxial and Conventional Rotor Performance. J. Am. Helicopter. Soc. 2010, 55, 012004. [Google Scholar] [CrossRef]
- Forsythe, G.E.; Malcolm, M.A.; Moler, C.B. Computer Methods for Mathematical Computations; Prentice-Hall: Hoboken, NJ, USA, 1976; Chapter 7. [Google Scholar]
- NOAA-S/T 76-1562; U.S. Standard Atmosphere. U.S. Government Printing Office: Washington, DC, USA, 1976; pp. 1–241.
- Memon, S.A.; Son, H.; Kim, W.G.; Khan, A.M.; Shahzad, M.; Khan, U. Tracking Multiple Unmanned Aerial Vehicles through Occlusion in Low-Altitude Airspace. Drones 2023, 7, 241. [Google Scholar] [CrossRef]
- PX4 Development Team and Community, PX4 Autopilot User Guide (Main). Available online: https://docs.px4.io/main/en/ (accessed on 20 September 2023).
- Ho, D.; Linder, J.; Hendeby, G.; Enqvist, M. Vertical modeling of a quadcopter for mass estimation and diagnosis purposes. In Proceedings of the 2017 Workshop on Research, Education and Development of Unmanned Aerial Systems (RED-UAS), Linköping, Sweden, 3–5 October 2017; pp. 192–197. [Google Scholar] [CrossRef]
- Fraser, C.T.; Ulrich, S. Adaptive extended Kalman filtering strategies for spacecraft formation relative navigation. Acta Astronaut. 2021, 178, 700–721. [Google Scholar] [CrossRef]
- Hakim, T.M.I.; Arifianto, O. Implementation of Dryden Continuous Turbulence Model into Simulink for LSA–02 Flight Test Simulation. J. Phys. Conf. Ser. 2018, 1005, 012017. [Google Scholar] [CrossRef]
- U.S. Department of Defense. Flying Qualities of Piloted Airplanes, U.S. Military Specification MIL-F-8785C; U.S. Department of Defense: Washington, VA, USA, 1980; pp. 1–95. [Google Scholar]
- U.S. Department of Defense. Flying Qualities of Piloted Aircraft, U.S. Military Handbook MIL-HDBK-1797B; U.S. Department of Defense: Washington, VA, USA, 2012; pp. 1–849. [Google Scholar]
- Higham, N.J. The Scaling and Squaring Method for the Matrix Exponential Revisited. SIAM J. Matrix Anal. Appl. 2005, 26, 1179–1193. [Google Scholar] [CrossRef]





















| Parameter | Symbol | Value | Units |
|---|---|---|---|
| Multirotor | |||
| Mass | m | 70 | kg |
| Center of gravity position | 0 | m | |
| −0.15 | m | ||
| Moments of inertia | 10.61 | kg m2 | |
| 10.31 | kg m2 | ||
| 19.74 | kg m2 | ||
| 0.037 | kg m2 | ||
| −0.043 | kg m2 | ||
| −0.003 | kg m2 | ||
| Center of pressure position | 0 | m | |
| −0.125 | m | ||
| Frame drag areas | 0.22 | m2 | |
| 1.03 | m2 | ||
| Propeller | |||
| Number of blades | 2 | ||
| Radius | R | 0.5 | m |
| Mean aerodynamic chord | 0.086 | m | |
| Chord @ | 0.103 | m | |
| Lift curve slope | a | 5.9 | rad−1 |
| Pre-cone angle | 0 | rad | |
| Root pitch angle | 0.7854 | rad | |
| Total twist | −0.6981 | rad | |
| Load | |||
| Mass | 100 | kg | |
| Reference area | 0.785 | m2 | |
| Drag coefficient (sphere) | 0.5 | ||
| Cable | |||
| Nominal cable length | L | 15 | m |
| Hooke’s constant | K | 90,950 | N/m |
| Hook point position | 0 | m | |
| −0.3 | m |
| Index | No Active PC | Active PC | Error [%] |
|---|---|---|---|
| [s] | 35.4 | 23.9 | −32.6 |
| [deg] | 4.20 | 4.16 | −1 |
| [deg/s] | 5.53 | 5.82 | +5.2 |
| [m] | 0.33 | 0.63 | +90.9 |
| [kJ] | 820.7 | 553.9 | −32.5 |
| Index | No Active PC | Active PC | Error [%] |
|---|---|---|---|
| [s] | 66.9 | 49.0 | −26.8 |
| [deg] | 3.99 | 2.66 | −33.3 |
| [deg/s] | 5.04 | 3.86 | −23.4 |
| [m] | N/A | N/A | N/A |
| [kJ] | 1 553.1 | 1 136.5 | −26.8 |
| i-th Waypoint | [m] | [m] | [m] |
|---|---|---|---|
| 1 | 0 | 0 | −30 |
| 2 | 10 | 0 | −50 |
| 3 | 20 | −10 | −50 |
| 4 | 20 | 10 | −50 |
| 5 | 30 | 0 | −50 |
| 6 | 10 | 0 | −50 |
| 7 | 0 | 0 | −30 |
| Index | No Active PC | Active PC (EKF) | Active PC (FGDF) |
|---|---|---|---|
| [s] | 140.3 | 139.8 (−0.4%) | 140.3 (+0%) |
| [deg] | 2.22 | 1.71 (−23.0%) | 1.77 (−20.3%) |
| [deg/s] | 1.86 | 1.21 (−34.9%) | 1.27 (−31.7%) |
| [m] | 6.49 | 6.48 (−0.2%) | 6.52 (+0.5%) |
| [kJ] | 3242.5 | 3230.1 (−0.4%) | 3249.9 (+0.2%) |
Disclaimer/Publisher’s Note: The statements, opinions and data contained in all publications are solely those of the individual author(s) and contributor(s) and not of MDPI and/or the editor(s). MDPI and/or the editor(s) disclaim responsibility for any injury to people or property resulting from any ideas, methods, instructions or products referred to in the content. |
© 2023 by the authors. Licensee MDPI, Basel, Switzerland. This article is an open access article distributed under the terms and conditions of the Creative Commons Attribution (CC BY) license (https://creativecommons.org/licenses/by/4.0/).
Share and Cite
de Angelis, E.L.; Giulietti, F. An Improved Method for Swing State Estimation in Multirotor Slung Load Applications. Drones 2023, 7, 654. https://doi.org/10.3390/drones7110654
de Angelis EL, Giulietti F. An Improved Method for Swing State Estimation in Multirotor Slung Load Applications. Drones. 2023; 7(11):654. https://doi.org/10.3390/drones7110654
Chicago/Turabian Stylede Angelis, Emanuele Luigi, and Fabrizio Giulietti. 2023. "An Improved Method for Swing State Estimation in Multirotor Slung Load Applications" Drones 7, no. 11: 654. https://doi.org/10.3390/drones7110654
APA Stylede Angelis, E. L., & Giulietti, F. (2023). An Improved Method for Swing State Estimation in Multirotor Slung Load Applications. Drones, 7(11), 654. https://doi.org/10.3390/drones7110654

