Influence of the Initial Cell Number on the Growth Fitness of Salmonella Enteritidis in Raw and Pasteurized Liquid Whole Egg †
Abstract
1. Introduction
2. Materials and Methods
2.1. Bacterial Strains and Obtention of Bacterial Suspensions
2.2. Growth Curves
2.3. Thermal Treatments
2.4. Supplementation Assays
2.5. Growth Curve Fitting and Statistical Analysis
3. Results
3.1. Effect of Initial Concentration on the Growth Fitness of Salmonella in Raw and Pasteurized Liquid Whole Egg
3.2. Effect of the Intensity of the Whole Liquid Egg Pasteurization Treatment on the Growth Fitness of Salmonella Enteritidis Cells
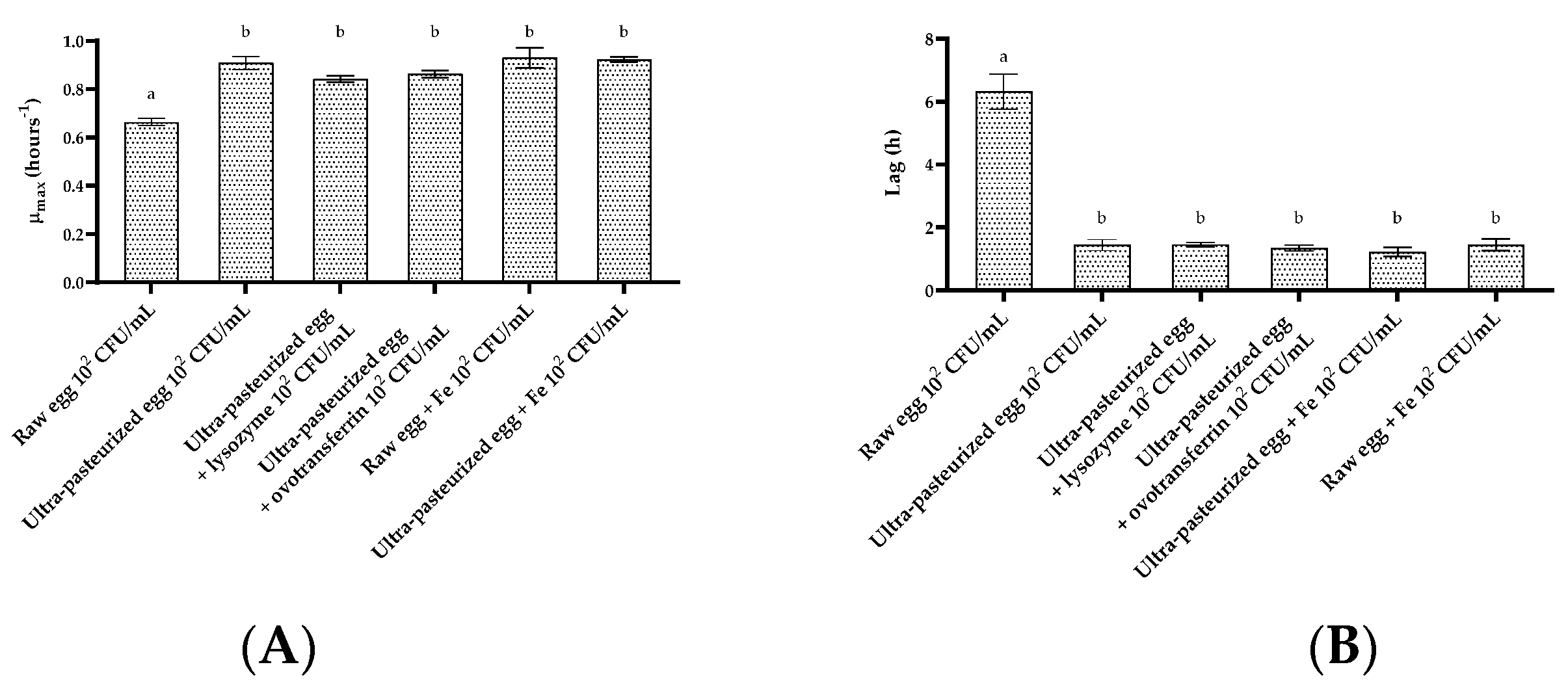
3.3. Effect of the Supplementation with Egg White Proteins with Known Antimicrobial Properties
3.4. Effect of Iron Supplementation
4. Discussion
Author Contributions
Funding
Conflicts of Interest
References
- European Food Safety Authority (EFSA). The European Union One Health 2018 Zoonoses Report. EFSA J. 2019, 17, e05926. [Google Scholar] [CrossRef]
- Gurtler, J.B.; Conner, D.E. Survival and growth of Salmonella Enteritidis in liquid egg products varying by temperature, product composition, and carbon dioxide concentration. Foodborne Pathog. Dis. 2009, 6, 561–567. [Google Scholar] [CrossRef] [PubMed]
- McQuestin, O.J.; Musgrove, M.T.; Tamplin, M.L. Kinetics of growth and inactivation of Salmonella enterica serotype Typhimurium DT104 in pasteurised liquid egg products. Food Microbiol. 2010, 27, 396–402. [Google Scholar] [CrossRef] [PubMed]
- Zaher, S.M.; Fujikawa, H. Growth characteristics of Salmonella Enteritidis in pasteurized and unpasteurized liquid egg products. Biocontrol Sci. 2012, 17, 183–190. [Google Scholar] [CrossRef][Green Version]
- Singh, A.; Korasapati, N.R.; Juneja, V.K.; Subbiah, J.; Froning, G.; Thippareddi, H. Dynamic predictive model for the growth of Salmonella spp. in liquid whole egg. J. Food Sci. 2011, 76, M225–M232. [Google Scholar] [CrossRef] [PubMed]
- Kim, Y.-J.; Moon, H.-J.; Lee, S.-K.; Song, B.-R.; Lim, J.-S.; Heo, E.-J.; Park, H.-J.; Wee, S.-H.; Moon, J.-S. Development and Validation of Predictive Model for Salmonella Growth in Unpasteurized Liquid Eggs. Korean J. Food Sci. Anim. Resour. 2018, 38, 442–450. [Google Scholar] [CrossRef] [PubMed]
- Li, L.; Cepeda, J.; Subbiah, J.; Froning, G.; Juneja, V.K.; Thippareddi, H. Dynamic predictive model for growth of Salmonella spp. in scrambled egg mix. Food Microbiol. 2017, 64, 39–46. [Google Scholar] [CrossRef] [PubMed]
- Guillén, S.; Marcén, M.; Mañas, P.; Cebrián, G. Differences in resistance to different environmental stresses and non-thermal food preservation technologies among Salmonella enterica subsp. enterica strains. Food Res. Int. 2020, 132, 109042. [Google Scholar] [CrossRef] [PubMed]
- Conesa, R.; Periago, P.M.; Esnoz, A.; López, A.; Palop, A. Prediction of Bacillus subtilis spore survival after a combined non-isothermal-isothermal heat treatment. Eur. Food Res. Technol. 2003, 217, 319–324. [Google Scholar] [CrossRef]
- Baron, F.; Nau, F.; Guérin-Dubiard, C.; Bonnassie, S.; Gautier, M.; Andrews, S.C.; Jan, S. Egg white versus Salmonella Enteritidis! A harsh medium meets a resilient pathogen. Food Microbiol. 2016, 53, 82–93. [Google Scholar] [CrossRef] [PubMed]
- Baranyi, J.; Roberts, T.A. A dynamic approach to predicting bacterial growth in food. Int. J. Food Microbiol. 1994, 23, 277–294. [Google Scholar] [CrossRef]
- Zaher, S.M.; Fujikawa, H. Effect of Native Microflora on the Growth Kinetics of Salmonella Enteritidis Strain 04-137 in Raw Ground Chicken. J. Food Prot. 2011, 74, 735–742. [Google Scholar] [CrossRef] [PubMed]
- Baron, F.; Cochet, M.-F.; Alabdeh, M.; Guérin-Dubiard, C.; Gautier, M.; Nau, F.; Andrews, S.C.; Bonnassie, S.; Jan, S. Egg-White Proteins Have a Minor Impact on the Bactericidal Action of Egg White Toward Salmonella Enteritidis at 45 °C. Front. Microbiol. 2020, 11. [Google Scholar] [CrossRef] [PubMed]



Publisher’s Note: MDPI stays neutral with regard to jurisdictional claims in published maps and institutional affiliations. |
© 2020 by the authors. Licensee MDPI, Basel, Switzerland. This article is an open access article distributed under the terms and conditions of the Creative Commons Attribution (CC BY) license (https://creativecommons.org/licenses/by/4.0/).
Share and Cite
Guillén, S.; Marcén, M.; Álvarez, I.; Mañas, P.; Cebrián, G. Influence of the Initial Cell Number on the Growth Fitness of Salmonella Enteritidis in Raw and Pasteurized Liquid Whole Egg. Proceedings 2021, 70, 21. https://doi.org/10.3390/foods_2020-07661
Guillén S, Marcén M, Álvarez I, Mañas P, Cebrián G. Influence of the Initial Cell Number on the Growth Fitness of Salmonella Enteritidis in Raw and Pasteurized Liquid Whole Egg. Proceedings. 2021; 70(1):21. https://doi.org/10.3390/foods_2020-07661
Chicago/Turabian StyleGuillén, Silvia, María Marcén, Ignacio Álvarez, Pilar Mañas, and Guillermo Cebrián. 2021. "Influence of the Initial Cell Number on the Growth Fitness of Salmonella Enteritidis in Raw and Pasteurized Liquid Whole Egg" Proceedings 70, no. 1: 21. https://doi.org/10.3390/foods_2020-07661
APA StyleGuillén, S., Marcén, M., Álvarez, I., Mañas, P., & Cebrián, G. (2021). Influence of the Initial Cell Number on the Growth Fitness of Salmonella Enteritidis in Raw and Pasteurized Liquid Whole Egg. Proceedings, 70(1), 21. https://doi.org/10.3390/foods_2020-07661

