Next Article in Journal
Towards the Internet of Augmented Things: An Open-source Framework to Interconnect IoT Devices and Augmented Reality Systems
Previous Article in Journal
Portable ECG System Design Using the AD8232 Microchip and Open-Source Platform
 
 
Font Type:
Arial Georgia Verdana
Font Size:
Aa Aa Aa
Line Spacing:
Column Width:
Background:
Proceeding Paper

Underwater Acoustic Communication for The Marine Environment’s Monitoring †

1
Departamento de Electrónica, Tecnología de Computadores y Proyectos, Universidad Politécnica de Cartagena (UPCT), 30202 Cartagena, Murcia, Spain
2
Centro Tecnológico Naval y del Mar (CTN), 30320 Fuente Álamo, Murcia, Spain
*
Author to whom correspondence should be addressed.
Presented at the 6th International Electronic Conference on Sensors and Applications, 15–30 November 2019; Available online: https://ecsa-6.sciforum.net/.
Proceedings 2020, 42(1), 51; https://doi.org/10.3390/ecsa-6-06642
Published: 14 November 2019

Abstract

:
Within the possibilities of non-linear acoustics, the parametric effect offers a range of acoustic applications that are currently being exploited in different areas. In underwater acoustics, environmental monitoring and security are one of the applications that can benefit from these technologies, allowing the transmission of information in a directivity controlled and efficient manner. An essential aspect for the optimal functioning of these technologies is the choice of the modulation that best suits the needs of communication. In the present work, different modulation techniques are explained, through their non-linear propagation, that allows generating the signals to be propagated. Among the modulations presented in this work, we have Amplitude Modulation (AM), Continuous Phase Frequency Shift Keying (CPFSK), and Linear Frequency Modulation (LFM) modulations normally used in communications. These modulations are performed with a modulating signal (sine and sine-sweeps type) whose non-linear demodulation determines the shape of the 1 and 0 bits, through the transmission of a bit string. With all this, comparisons are made between each technique, to obtain a more precise detection and discrimination of the bits.

1. Introduction

Parametric sources are of special interest since they give rise to a set of non-linear characteristics of the resulting acoustic field that can be used for different purposes. With respect to communication purposes, a high-frequency modulated wave (primary beam) is used in order to obtain a non-linear low-frequency signal (secondary beam) with similar directivity and greater efficiency. Indeed, under this so-called scattering of sound by sound, the frequency of the secondary wave is equal to the difference frequency of the primary emitted waves, i.e., f d = f 1 f 2 .
This document presents a general approach of some modulation techniques for parametric transmission from the theoretical point of view and later, obtain an analysis of the experimental signals. With this, it starts from three modulations such as Continuous Phase Frequency Shift Keying (CPFSK), Linear Frequency Modulation (LFM), and Amplitude Modulation (AM) and is studied with the cross-correlation method to detect bits 1 and 0, when a bit string is sent to the communication channel.

2. Theoretical Foundations of the Parametric Effect

When an acoustic signal interacts in a non-linear medium, secondary frequencies are formed that are addition and subtraction of the original frequencies. This phenomenon was studied for the first time by Westervelt [1], who explained that when a wave with a carrier frequency is modulated in amplitude by another low frequency, [2] the medium is responsible for demodulating the wave resulting in another type of frequencies not present in the emission but that bear some relation with the modulating frequency. This is known as a parametric effect; subsequently, it was developed and applied in different conditions [3,4].
The fundamental characteristic of this effect is the increase of directivity with a narrow angle of aperture being similar to that of high frequencies, since the secondary wave generated in the medium inherits certain properties of the primary wave as the beam of propagation; this is due to the fact that the emitted wave has a high carrier frequency (primary beam), absorbing quickly in the medium, allowing the low frequencies that form (secondary beam) to propagate over greater distances. In contrast to these characteristics, there is poor conversion efficiency, since only a small fraction of the acoustic power generated in the primary frequencies appears in the difference frequency.
Theoretical studies for transient or broadband parametric acoustic sources based on the Westervelt formulations and developed by Moffett and Mello [3,5] are useful for designing primary transient signals that generate parametric signals with predetermined characteristics. The distribution of the pressure along the axis for the secondary beam generated through the parametric emission of the transient signals is deduced through the following equation, where the shape of the signal resulting from the secondary beam (Pparam) is proportional to the second derivative of the envelope to the square of the emitted signal [6], its amplitude being proportional to the square of the primary beam:
p p a r a m = ( 1 + B 2 A ) p 2 S 16 π ρ c 4 α x   δ 2 δ t 2   [ E ( t x c ) ] 2   ~   δ 2 δ t 2   E 2
where S is the area of the vibrating surface of the transducer, E is the envelope of the modulation defined by the modulating wave, x is the distance to the source along the acoustic axis, and t is the time, B / A is the non-linearity parameter of the medium, ρ is the density, c is the speed of sound, and α is the absorption coefficient in the medium for the primary frequency.
As discussed in the introduction, this work aims to study different modulation techniques in order to transport information about a given carrier wave, normally a sine wave. These techniques allow better use of the communication channel, which makes it possible to transmit more information simultaneously, protecting it from possible interferences using non-linear signals to be applied in acoustic communications.
In this non-linear communication approach, the technique consists of causing a change in the modulation signal according to the change in the data transmitted (1 or 0) and this change can be detected through the resulting parametrical signal. In this article, we start from suitably modulated waves so that in the medium, the encodings type CPFSK, LFM, and AM are generated parametrically, which will be studied in the next subsections.
In the process of obtaining the suitable modulated signal z ( t ) and its envelope E ( t ) , a double integration is carried out, which does not always make it possible to use all the modulations that are used in underwater acoustic communications in the linear range. The modulations CPFSK, LFM, and AM present no problems in this development and can be used without any inconvenience.
In what follows, the analytical expressions of the studied modulating signals will be shown to be obtained through the parametric effect.

2.1. CPFSK Modulation

This modulation uses a signal with two carrier frequencies (that represent bits 1 and 0) that alternate, maintaining the continuous phase, which represents the corresponding bit change linked until reproducing the desired binary code. This modulation can be described as:
p C P F S K ( t ) = { sin ( 2 π f b i t 1 t + φ b i t 1 ) , t = t b i t 1 sin ( 2 π f b i t 0 t + φ b i t 0 ) ,   t = t b i t 0
Applying the expression (1), this signal can be obtained parametrically using a modulated signal whose modulation p C P F S K ( t ) corresponds, alternatively, to two signals of frequencies f m 1 and f m 0 , that must be half of the frequencies associated with each one of the bits that we want to receive, which is, properly, another parametric-type signal [7]. Thus, through this non-linear technique, by modulating a carrier with a CPFSK, another CPFSK of twice the frequency is obtained.
In this work, we used non-linear modulations of type CPFSK with a carrier frequency f p of 200 kHz (the same in all the studies) and two modulations linked to the half of the desired parametric which, for this case, is 15 kHz for bit 1 and 20 kHz for bit 0, with 1 ms duration for each bit (transfer rate of 1 kbit/s). Figure 1 presents the signals that were used to encode bit 1. These consist of one parametric tone expected at the frequencies of 30 kHz.

2.2. LFM Modulation

LFM modulation is a technique in which the frequency of the emitted signal varies quadratically with time for a given duration τ. The idea is to use this technique as a modulation of the primary signal using a central difference frequency equivalent to the modulating frequency, fdc = fm and a bandwidth Δf. The LFM modulation is represented as:
p L F M ( t ) = sin ( 2 π f m t + 0.5 μ t 2 )
where μ = 2 π Δ f / τ is the frequency coefficient, the time of a bit in between τ / 2 t     τ / 2 . Applying Equation (1), this type of signal can be obtained parametrically by using a modulated signal whose modulation p L F M ( t ) corresponds to the spectrum of the modulator components that is twice that of the signal to be obtained [7] and complies with the rule that the amplitude of the frequency difference is proportional to the square of the carrier frequency.
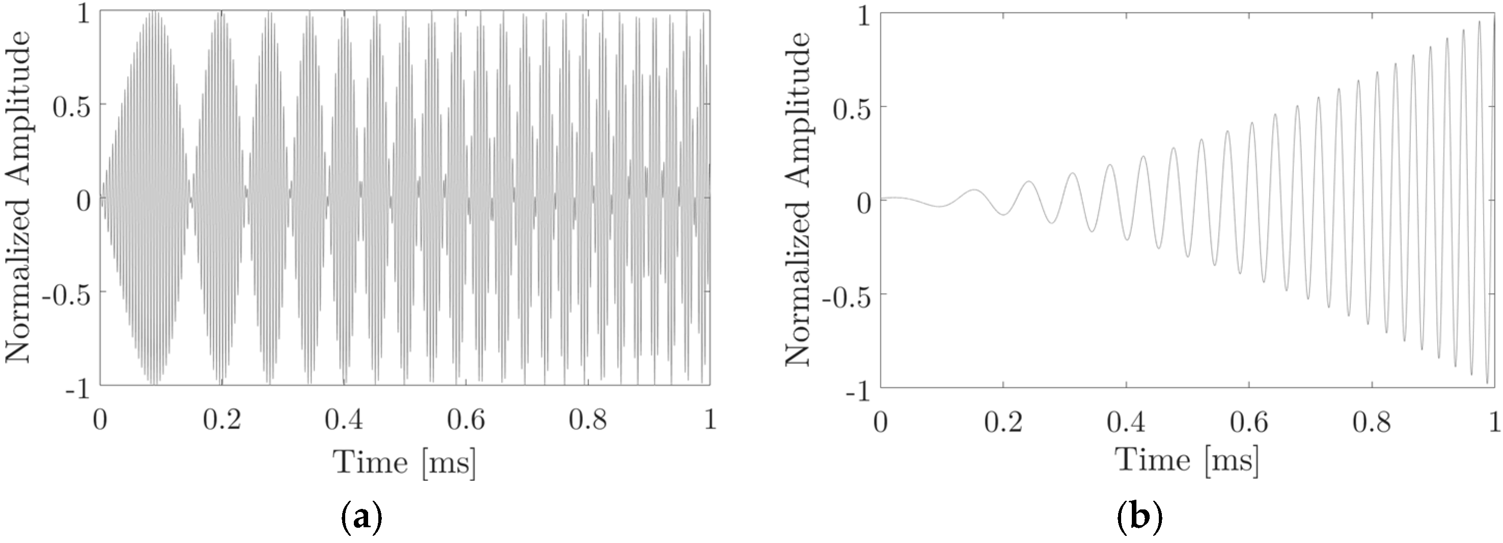
The following Figure 2 show an example of LFM modulation and the signal that we want to obtain parametrically. The expected modulating frequency is f m = 22   kHz and the frequency bandwidth Δ f = 36   kHz .

2.3. AM Modulation

This modulation consists of changing the amplitude of the carrier signal as a function of the modulating signal (information). In this work, to improve the behavior of the previous modulations, two sine sweeps are used as a modulating signal, one ascending (bit 1) and other descending (bit 0). The expression that defines the modulating signal is expressed as:
z A M ( t ) = s i n [ 2 π ( | f m 2 f m 1 | T · t + f m 1 ) t ]
where f m 1 and f m 2 are the initial and final frequency of the sweep, respectively, and T is the total sine sweep duration.
Figure 3 shows an example of the one-bit signal, in this case bit 1. The expected parametric signal is presented when sending with the AM modulation.

3. Experimental Setup

The experimental set-up was carried out at the Centro Tecnológico Naval y del Mar (CTN) in agreement with the Universidad Politécnica de Cartagena in Murcia, Spain in a lake of tapered shape with a 10 m depth and a diameter of 20 m. The next Figure 4 is a picture of the experimental setup. An ITC 1032 transducer was used as a receiver with a receiving sensitivity of −194 dB re 1 V/μPa, without much variation at the resonance frequency region at 33 kHz and below, and thus was quite sensitive to the low frequencies willing to be detected. The Airmar P19 plane transducer was chosen as acoustic transmitter. In this study, the carrier frequency used in all signals is 200 kHz, with a sampling frequency of 20 Ms/s.

4. Results

Next, the results of the study of a 16-bit string organized as follows are presented [1010010110010110]. The detection and discrimination analyses of this bit string are presented with a duration time for each 1 ms bit.

4.1. CPFSK Modulation Detection

Since the expected frequencies of each bit 1 and 0 are 40 and 30 kHz, respectively, before correlating, a filter is made to the received signal centered on each of these frequencies. These signals are correlated with each of the expected bits, obtaining the cross correlations shown in Figure 5.
It is observed that the correlation peaks are quite wide (in the order of the duration of each bit, approximately) because this type of modulation is, in essence, a pure tone that changes in frequency. This can be observed in the spectrum of the signal received in Figure 5a, where two peaks appear at low frequencies that correspond to each parametric tone. The correlations with narrow band signals are characterized by not being too efficient in their detection and temporal discrimination. However, the location of each bit is correctly obtained with a deviation of less than 1.5% to the expected time.

4.2. LFM Modulation Detection

To try to overcome these limitations of the correlation peak width that introduces some error in the detection of equal bits followed (CPFSK), as well as in the detection of each bit individually, some authors have studied the LFM [7,8]. This modulation, since it has a greater width of spectral components, is presented at much narrower correlation peaks, but on the contrary, it will worsen the capacity of distinction between bits 1 and 0. Before correlating, a unique filter passes to the received signal was applied because the expected parametric frequencies of both bits oscillate between 22 and 38 kHz shown in Figure 6.
It is observed that the correlation peaks, although being much narrower than those obtained with the CPFSK modulations, do not allow clear discrimination between correct bits and false bits.

4.3. AM Modulation Detection

Detection of AM modulation in a search for new modulation techniques that allow both temporarily locating each of bits 1 and 0, as well as discriminating between them, AM modulation is applied by applying parametric sweeps. Given their robustness, these signals have been used recently as non-linear acoustic communication techniques [9,10]. Therefore, these signals will be analyzed by applying the 16-bit string to determine if the correlation detection is still appropriate for this type of signals. As in the previous case, a single band pass filter is made between 4 and 40 kHz before correlating shown in Figure 7.
On the one hand, it is observed that the peaks of the correlation are much narrower than in the case of the CPFSK modulations and, on the other hand, the correct bits with respect to the false ones are much clearer to discern than in the case of modulation analyzed in the previous section, the LFM. In fact, in this case, there is a deviation of the detection instants of each bit with respect to the expected instants of 1%.

5. Conclusions

This work presented a general study of some techniques of parametric generation modulation focused on the field of transmission in underwater acoustic communications from a theoretical point of view, to later perform the analysis by the method of cross-correlation with signals measured experimentally. Based on this, the correlation was obtained for a 16-bit message (1 and 0) with the modulations CPFSK, LFM, and AM, thus obtaining the maximum correlation peak for each of the bit positions. In this sense, the three different modulations used in the analyses are compared, in non-linear regime, used in underwater acoustic communications:
  • CPFSK: Being signals practically modulated sines, fairly wide correlation peaks are obtained, therefore, its behavior is identical to that of the parametric sinuses, making detection somewhat difficult.
  • LFM: In some detection positions of bit 1, the amplitudes are not far from those of bit 0. The same happens when the correlation maxima are detected for bit 0, where some amplitudes of these are close to that of the bits 1.
  • AM: The maximum correlation behaves more closely, the signal is amortized much faster; therefore, it has a correlation amplitude and a much more defined width.
With all this, it is concluded that AM modulation with parametric sine sweeps is a suitable alternative for use in nonlinear underwater acoustic communications for the marine environment’s monitoring; it provides a very high maximum correlation of the true bits with respect to the false ones with very narrow peak amplitudes to the broad frequency bandwidth used.

Author Contributions

M.C.-V. and I.F. conceived and designed the experiments; M.C.-V. performed the experiments; M.C.-V. and I.F. analyzed the data; M.C.-V. wrote the paper; M.C.-V. and I.F. review and editing. All authors have read and agreed to the published version of the manuscript.

Conflicts of Interest

The authors declare no conflict of interest.

References

  1. Westervelt, P.J. Scattering of Sound by Sound. J. Acoust. Soc. Am. 1957, 29, 199–203. [Google Scholar] [CrossRef]
  2. Adrián-Martínez, S. Design and Development of an Acoustic Calibrator for Deep-Sea Neutrino Telescopes and First Search for Secluded Dark Matter with ANTARES. Ph.D. Thesis, Universitat Politècnica de València, EPSG Gandía, España 2015. [Google Scholar]
  3. Moffett, M.B.; Mellen, R.H. Model for parametric acoustic sources. J. Acoust. Soc. Am. 1976, 61, 325–337. [Google Scholar] [CrossRef]
  4. Berktay, H.O.; Leahy, D.J. Farfield performance of parametric transmitters. J. Acoust. Soc. Am. 1974, 55, 539–546. [Google Scholar] [CrossRef]
  5. Moffett, M.; Mello, P. Parametric acoustic sources of transient signals. J. Acoust. Soc. Am. 1979, 66, 1182–1187. [Google Scholar] [CrossRef]
  6. Saldaña-Coscollar, M. Acoustic System Development for Neutrino Underwater Detectors. Ph.D. Thesis, Universitat Politècnica de València, EPSG Gandía, España, 2017. [Google Scholar]
  7. Li, S. Pre-processing methods for parametric array to generate wideband difference frequency signals. In Proceedings of the OCEANS 2008, Quebec City, QC, Canada, 15–18 September 2008. [Google Scholar]
  8. Kopp, L.; Cano, D.; Loubet, G.; Vial, F.; Essebbar, A. Parametric Transmission of Wide-band Signals. In Proceedings of the OCEANS 96 MTS/IEEE Conference Proceedings. The Coastal Ocean - Prospects for the 21st Century, Fort Lauderdale, FL, USA, 23-26 September 1996; pp. 839–844. [Google Scholar]
  9. Campo-Valera, M.; Ardid, M.; Felis, I.; Tortosa, D.D.; Llorens, C.D.; Martínez-Mora, J.A. Underwater Communication Using Acoustic Parametric Arrays. In Proceedings of the 4th International Electronic Conference on Sensors and Applications, 15–30 November 2017; pp. 1–7. [Google Scholar]
  10. Campo-Valera, M.; Ardid, M.; Tortosa, D.D.; Felis, I.; Martínez-Mora, J.A.; Llorens, C.D.; Cervantes, P. Acoustic Parametric Signal Generation for Underwater Communication. Sensors 2018, 18, 1–11. [Google Scholar] [CrossRef] [PubMed]
Figure 1. Bit 1 example. (a) CPFSK modulation; (b) CPFSK type signals that want to obtain parametrically.
Figure 1. Bit 1 example. (a) CPFSK modulation; (b) CPFSK type signals that want to obtain parametrically.
Proceedings 42 00051 g001
Figure 2. Bit 1 example. (a) FM modulation; (b) LFM type signals that want to obtain parametrically.
Figure 2. Bit 1 example. (a) FM modulation; (b) LFM type signals that want to obtain parametrically.
Proceedings 42 00051 g002
Figure 3. Bit 1 example. (a) AM modulation; (b) parametric signals expected when sending the AM modulation.
Figure 3. Bit 1 example. (a) AM modulation; (b) parametric signals expected when sending the AM modulation.
Proceedings 42 00051 g003
Figure 4. Location where the experimental measurements were made. (a) Lake; (b) Airmar P19 emitter; (c) ITC 1032 receiver.
Figure 4. Location where the experimental measurements were made. (a) Lake; (b) Airmar P19 emitter; (c) ITC 1032 receiver.
Proceedings 42 00051 g004
Figure 5. Frequency and correlation analysis; (a) spectrum of the signal received and filtered at 30 and 40 kHz; (b) cross-correlations between the received signal filtered at 40 kHz and the expected 1 bit; (c) cross-correlations between the received signal filtered at 30 kHz and the expected 0 bit.
Figure 5. Frequency and correlation analysis; (a) spectrum of the signal received and filtered at 30 and 40 kHz; (b) cross-correlations between the received signal filtered at 40 kHz and the expected 1 bit; (c) cross-correlations between the received signal filtered at 30 kHz and the expected 0 bit.
Proceedings 42 00051 g005
Figure 6. Frequency and correlation analysis. (a) Filter of the received signal between 22 and 38 kHz; (b) cross correlation between the received signal and bit 1; (c) cross correlation between the received signal and bit 0.
Figure 6. Frequency and correlation analysis. (a) Filter of the received signal between 22 and 38 kHz; (b) cross correlation between the received signal and bit 1; (c) cross correlation between the received signal and bit 0.
Proceedings 42 00051 g006
Figure 7. Frequency and correlation analysis. (a) Filter of the received signal between 4 and 40 kHz; (b) cross correlation between the received signal and bit 1; (c) cross correlation between the received signal and bit 0.
Figure 7. Frequency and correlation analysis. (a) Filter of the received signal between 4 and 40 kHz; (b) cross correlation between the received signal and bit 1; (c) cross correlation between the received signal and bit 0.
Proceedings 42 00051 g007
Publisher’s Note: MDPI stays neutral with regard to jurisdictional claims in published maps and institutional affiliations.

Share and Cite

MDPI and ACS Style

Campo-Valera, M.; Felis, I. Underwater Acoustic Communication for The Marine Environment’s Monitoring. Proceedings 2020, 42, 51. https://doi.org/10.3390/ecsa-6-06642

AMA Style

Campo-Valera M, Felis I. Underwater Acoustic Communication for The Marine Environment’s Monitoring. Proceedings. 2020; 42(1):51. https://doi.org/10.3390/ecsa-6-06642

Chicago/Turabian Style

Campo-Valera, María, and Ivan Felis. 2020. "Underwater Acoustic Communication for The Marine Environment’s Monitoring" Proceedings 42, no. 1: 51. https://doi.org/10.3390/ecsa-6-06642

APA Style

Campo-Valera, M., & Felis, I. (2020). Underwater Acoustic Communication for The Marine Environment’s Monitoring. Proceedings, 42(1), 51. https://doi.org/10.3390/ecsa-6-06642

Article Metrics

Back to TopTop