- Article
Effects of Nitrate Source (Artificial and Fishpond) and UV Radiation on Physiological, Photosynthetic, and Biochemical Parameters of Porphyra dioica for Sustainable Integrated Multitrophic Aquaculture (IMTA)
- Débora Tomazi Pereira,
- Ignacio Moreu Badia,
- Julia Vega,
- Fabian López Palica,
- David López Paniagua,
- Nathalie Korbee and
- Félix L. Figueroa
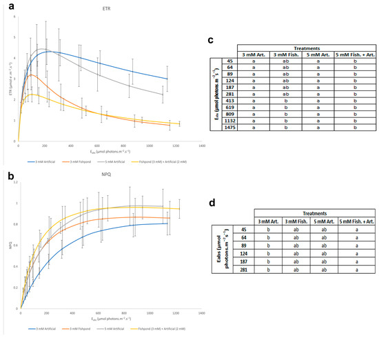
The red macroalga Porphyra plays a key role in Integrated Multi-Trophic Aquaculture (IMTA) systems, acting both as a biofilter and as a source of bioactive compounds (BACs) with nutritional and photoprotective value. This study evaluated how nitrogen...

