Effects of Nitrate Source (Artificial and Fishpond) and UV Radiation on Physiological, Photosynthetic, and Biochemical Parameters of Porphyra dioica for Sustainable Integrated Multitrophic Aquaculture (IMTA)
Abstract
1. Introduction
2. Materials and Methods
2.1. Biological Material
2.2. Algal Cultivation
2.3. Light Microscopy
2.4. Nitrate Quantification: Nitrate Uptake Efficiency (NUE)
2.5. Relative Growth Rate (RGR)
2.6. Photosynthesis and Energy Dissipation as In Vivo Chlorophyll A Fluorescence
2.7. Bioactive Compounds (BACs) Extraction
2.8. Total Soluble Phycobiliproteins
2.9. Total Soluble Polyphenols
2.10. Antioxidant Activity
2.11. Mycosporine-like Amino Acids (MAAs)
2.12. Total Internal Carbon, Nitrogen, and Sulfur
2.13. Statistical Analysis
3. Results
3.1. Effects on Morphology, Cell Length, Nitrate Uptake Efficiency (NUE) and Relative Growth Rate (RGR)
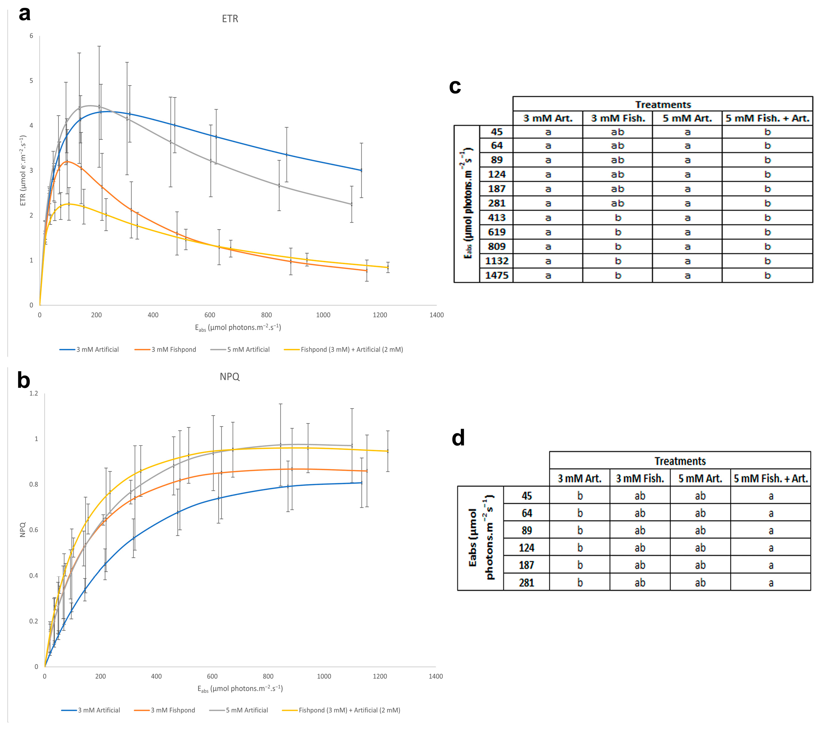
3.2. Effects on Photosynthesis and Energy Dissipation
3.3. Effects on the Quantification of Photosynthetic Pigments: Phycobiliproteins
3.4. Effects on the Quantification of Polyphenols and on Antioxidant Activity (ABTS Assay)
3.5. Effects on Profiles of Mycosporine-like Amino Acids (MAAs)
3.6. Effects on Total Carbon, Nitrogen and Sulfur
3.7. Principal Component Analysis (PCA) from P. dioica Photosynthetic and Biochemical Responses Based on Concentration and Source of Nitrate
4. Discussion
5. Conclusions
Supplementary Materials
Author Contributions
Funding
Data Availability Statement
Acknowledgments
Conflicts of Interest
References
- Blouin, N.; Xiugeng, F.; Peng, J.; Yarish, C.; Brawley, S.H. Seeding nets with neutral spores of the red alga Porphyra umbilicalis (L.) Kützing for use in integrated multi-trophic aquaculture (IMTA). Aquaculture 2007, 270, 77–91. [Google Scholar] [CrossRef]
- Blouin, N.A.; Brodie, J.A.; Grossman, A.C.; Xu, P.; Brawley, S.H. Porphyra: A marine crop shaped by stress. Trends Plant Sci. 2011, 16, 29–37. [Google Scholar] [CrossRef] [PubMed]
- Venkatraman, K.L.; Mehta, A. Health benefits and pharmacological effects of Porphyra species. Plant Foods Hum. Nutr. 2019, 74, 10–17. [Google Scholar] [CrossRef]
- Cai, J.; Lovatelli, A.; Aguilar-Manjarrez, J.; Cornish, L.; Dabbadie, L.; Desrochers, A.; Yuan, X. Seaweeds and Microalgae: An Overview for Unlocking Their Potential in Global Aquaculture Development; FAO Fisheries and Aquaculture Circular No. 1229; FAO: Rome, Italy, 2021. [Google Scholar]
- Benedetti, S.; Benvenuti, F.; Pagliarani, S.; Francogli, S.; Scoglio, S.; Canestrari, F. Antioxidant properties of a novel phycocyanin extract from the blue-green alga Aphanizomenon flos-aquae. Life Sci. 2004, 75, 2353–2362. [Google Scholar] [CrossRef]
- Yu, P.; Wu, Y.; Wang, G.; Jia, T.; Zhang, Y. Purification and bioactivities of phycocyanin. Crit. Rev. Food Sci. Nutr. 2017, 57, 3840–3849. [Google Scholar] [CrossRef]
- Gammoudi, S.; Athmouni, K.; Nasri, A.; Diwani, N.; Grati, I.; Belhaj, D.; Bouaziz-Ketata, H.; Fki, L.; Feki, A.E.; Ayadi, H. Optimization, isolation, characterization and hepatoprotective effect of a novel pigment-protein complex (phycocyanin) producing microalga: Phormidium versicolor NCC-466 using response surface methodology. Int. J. Biol. Macromol. 2019, 137, 647–656. [Google Scholar] [CrossRef]
- Fratelli, C.; Burck, M.; Amarante, M.C.A.; Braga, A.R.C. Antioxidant potential of nature’s “something blue”: Something new in the marriage of biological activity and extraction methods applied to C-phycocyanin. Trends Food Sci. Technol. 2021, 107, 309–323. [Google Scholar] [CrossRef]
- Ismail, G.A.; El-Sheekh, M.M.; Samy, R.M.; Gheda, S.F. Antimicrobial, antioxidant, and antiviral activities of biosynthesized silver nanoparticles by phycobiliprotein crude extract of the cyanobacteria Spirulina platensis and Nostoc linckia. Bionanoscience 2021, 11, 355–370. [Google Scholar] [CrossRef]
- Kazłowska, K.; Hsu, T.; Hou, C.C.; Yang, W.C.; Tsai, G.J. Anti-inflammatory properties of phenolic compounds and crude extract from Porphyra dentata. J. Ethnopharmacol. 2010, 128, 123–130. [Google Scholar] [CrossRef]
- Sushanth, V.R.; Rajashekhar, M. Antioxidant and antimicrobial activities in the four species of marine microalgae isolated from Arabian Sea of Karnataka Coast. Indian J. GeoMarine Sci. 2015, 44, 69–75. [Google Scholar]
- Kageyama, H.; Waditee-Sirisattha, R. Antioxidative, anti-inflammatory, and anti-aging properties of mycosporine-like amino acids: Molecular and cellular mechanisms in the protection of skin-aging. Mar. Drugs 2019, 17, 222. [Google Scholar] [CrossRef]
- Naveen, J.; Baskaran, R.; Baskaran, V. Profiling of bioactives and in vitro evaluation of antioxidant and antidiabetic property of polyphenols of marine algae Padina tetrastromatica. Algal Res. 2021, 55, 102250. [Google Scholar] [CrossRef]
- Raj, S.; Kuniyil, A.M.; Sreenikethanam, A.; Gugulothu, P.; Jeyakumar, R.B.; Bajhaiya, A.K. Microalgae as a source of mycosporine-like amino acids (MAAs); advances and future prospects. Int. J. Environ. Res. Public Health 2021, 18, 12402. [Google Scholar] [CrossRef]
- Kim, S.; Park, B.G.; Jin, H.; Lee, D.; Teoh, J.Y.; Kim, Y.J.; Moh, A.H.; Yoo, D.; Choi, W.; Hahn, J.S. Efficient production of natural sunscreens shinorine, porphyra-334, and mycosporine-2-glycine in Saccharomyces cerevisiae. Metab. Eng. 2023, 78, 137–147. [Google Scholar] [CrossRef] [PubMed]
- Custódio, L.; Soares, F.; Pereira, H.; Barreira, L.; Vizetto-Duarte, C.; Rodrigues, M.J.; Rauter, A.P.; Alberício, F.; Varela, J. Fatty acid composition and biological activities of Isochrysis galbana T-ISO, Tetraselmis sp. and Scenedesmus sp.: Possible application in the pharmaceutical and functional food industries. J. Appl. Phycol. 2014, 26, 151–161. [Google Scholar] [CrossRef]
- De la Coba, F.; Aguilera, J.; Figueroa, F.L.; De Gálvez, M.V.; Herrera, E. Antioxidant activity of mycosporine-like amino acids isolated from three red macroalgae and one marine lichen. J. Appl. Phycol. 2009, 21, 161–169. [Google Scholar] [CrossRef]
- Rastogi, R.P.; Kumar, A.; Tyagi, M.B.; Sinha, R.P. Molecular mechanisms of ultraviolet radiation-induced DNA damage and repair. J. Nucleic Acids 2010, 2010, 592980. [Google Scholar] [CrossRef] [PubMed]
- Rosic, N.; Climstein, M.; Boyle, G.M.; Thanh Nguyen, D.; Feng, Y. Exploring mycosporine-likeamino acid uv-absorbing natural products for a new generation of environmentally friendly sunscreens. Mar. Drugs 2023, 21, 253. [Google Scholar] [CrossRef]
- Bakhsh, H.K.; Chopin, T. A variation on the IMTA theme: A land-based, closed-containment freshwater IMTA system for tilapia and lettuce. Aquac. Can. 2012, 22, 57–60. [Google Scholar]
- Stévant, P.; Rebours, C.; Chapman, A. Seaweed aquaculture in Norway: Recent industrial developments and future perspectives. Aquacul. Int. 2017, 25, 1373–1390. [Google Scholar] [CrossRef]
- Alam, M.M.; Jørgensen, N.O.; Bass, D.; Santi, M.; Nielsen, M.; Rahman, M.A.; Hasan, N.A.; Bablee, A.L.; Bashar, A.; Hossain, M.I.; et al. Potential of integrated multitrophic aquaculture to make prawn farming sustainable in Bangladesh. Front. Sustain. Food Syst. 2024, 8, 1412919. [Google Scholar] [CrossRef]
- Freitas, J.R., Jr.; Morrondo, J.M.S.; Ugarte, J.C. Saccharina latissima (Laminariales, Ochrophyta) farming in an industrial IMTA system in Galicia (Spain). J. Appl. Phycol. 2016, 28, 377–385. [Google Scholar] [CrossRef]
- Zhu, Y.; Wang, N.; Wu, Z.; Chen, S.; Luo, J.; Christakos, G.; Wu, J. The role of seaweed cultivation in Integrated Multi-Trophic Aquaculture (IMTA): The current status and challenges. Rev. Aquacult. 2025, 17, e70042. [Google Scholar] [CrossRef]
- Pereira, D.T.; Korbee, N.; Vega, J.; Figueroa, F.L. Advancing Porphyra linearis (Rhodophyta, Bangiales) culture: Low cost artificial seawater, nitrate supply, photosynthetic activity and energy dissipation. J. Appl. Phycol. 2024, 36, 3509–3523. [Google Scholar] [CrossRef]
- Pereira, R.; Kraemer, G.; Yarish, C.; Sousa-Pinto, I. Nitrogen uptake by gametophytes of Porphyra dioica (Bangiales, Rhodophyta) under controlled-culture conditions. Eur. J. Phycol. 2008, 43, 107–118. [Google Scholar] [CrossRef]
- Kang, Y.H.; Kim, S.; Lee, J.B.; Chung, I.K.; Park, S.R. Nitrogen biofiltration capacities and photosynthetic activity of Pyropia yezoensis Ueda (Bangiales, Rhodophyta): Groundwork to validate its potential in integrated multi-trophic aquaculture (IMTA). J. Appl. Phycol. 2014, 26, 947–955. [Google Scholar] [CrossRef]
- Pereira, D.T.; Schmidt, É.C.; Filipin, E.P.; Pilatti, F.K.; Ramlov, F.; Maraschin, M.; Bouzon, Z.L.; Simioni, C. Effects of ultraviolet radiation on the morphophysiology of the macroalga Pyropia acanthophora var. brasiliensis (Rhodophyta, Bangiales) cultivated at high concentrations of nitrate. Acta Physiol. Plant. 2020, 42, 61. [Google Scholar]
- Pereira, D.T.; Korbee, N.; Vega, J.; Figueroa, F.L. The role of nitrate supply in bioactive compound synthesis and antioxidant activity in the cultivation of Porphyra linearis (Rhodophyta, Bangiales) for future cosmeceutical and bioremediation applications. Mar. Drugs 2024, 22, 222. [Google Scholar] [CrossRef]
- García-Robledo, E.; Corzo, A.; Papaspyrou, S. A fast and direct spectrophotometric method for the sequential determination of nitrate and nitrite at low concentrations in small volumes. Mar. Chem. 2014, 162, 30–36. [Google Scholar] [CrossRef]
- Yong, Y.S.; Yong, W.T.L.; Anton, A. Analysis of formulae for determination of seaweed growth rate. J. Appl. Phycol. 2013, 25, 1831–1834. [Google Scholar] [CrossRef]
- Schreiber, U.; Endo, T.; Mi, H.; Asada, K. Quenching analysis of chlorophyll fluorescence by the saturation pulse method: Particular aspects relating to the study of eukaryotic algae and cyanobacteria. Plant Cell Physiol. 1995, 36, 873–882. [Google Scholar] [CrossRef]
- Vega, J.; Moreira, B.R.; Avilés, A.; Bonomi-Barufi, J.; Figueroa, F.L. Short-term effects of light quality, nutrient concentrations and emersion on the photosynthesis and accumulation of bioactive compounds in Pyropia leucosticta (Rhodophyta). Algal Res. 2024, 81, 103555. [Google Scholar] [CrossRef]
- Figueroa, F.L.; Escassi, L.; Pérez-Rodríguez, E.; Korbee, N.; Giles, A.D.; Johnsen, G. Effects of short-term irradiation on photoinhibition and accumulation of mycosporinelike amino acids in sun and shade species of the red algal genus Porphyra. J. Photochem. Photobiol. B 2003, 69, 21–30. [Google Scholar] [CrossRef]
- Figueroa, F.L.; Domínguez-González, B.; Korbee, N. Vulnerability and acclimation to increased UVB radiation in three intertidal macroalgae of different morpho-functional groups. Mar. Environ. Res. 2014, 97, 30–38. [Google Scholar] [CrossRef]
- Eilers, P.H.C.; Peeters, J.C.H. A model for the relationship between light intensity and the rate of photosynthesis in phytoplankton. Ecol. Modell. 1988, 42, 199–215. [Google Scholar] [CrossRef]
- Pereira, D.T.; García-García, P.; Korbee, N.; Vega, J.; Señoráns, F.J.; Figueroa, F.L. Optimizing the extraction of bioactive compounds from Porphyra linearis (rhodophyta): Evaluating alkaline and enzymatic hydrolysis for nutraceutical applications. Mar. Drugs 2024, 22, 284. [Google Scholar] [CrossRef]
- Kursar, T.A.; Van der Meer, J.; Alberte, R.S. Light-harvesting system of the red alga Gracilaria tikvahiae. I. Biochemical analyses of pigment mutations. Plant Physiol. 1983, 73, 353–360. [Google Scholar] [CrossRef]
- Folin, O.; Ciocalteu, V. On tyrosine and tryptophane determinations in proteins. J. Biol. Chem. 1927, 73, 627–650. [Google Scholar] [CrossRef]
- Re, R.; Pellegrini, N.; Proteggente, A.; Pannala, A.; Yang, M.; Rice-Evans, C. Antioxidant activity applying an improved ABTS radical cation decolorization assay. Free Radic. Biol. Med. 1999, 26, 1231–1237. [Google Scholar] [CrossRef] [PubMed]
- Korbee, N.; Figueroa, F.L.; Aguilera, J. Effect of light quality on the accumulation of photosynthetic pigments, proteins and mycosporine-like amino acids in the red alga Porphyra leucosticta (Bangiales, Rhodophyta). J. Photochem. Photobiol. B 2005, 80, 71–78. [Google Scholar] [CrossRef]
- Chaves-Peña, P.; De La Coba, F.; Figueroa, F.L.; Korbee, N. Quantitative and qualitative HPLC analysis of mycosporine-like amino acids extracted in distilled water for cosmetical uses in four Rhodophyta. Mar. Drugs 2020, 18, 27. [Google Scholar] [CrossRef] [PubMed]
- Vega, J.; Bárcenas-Pérez, D.; Fuentes-Ríos, D.; López-Romero, J.M.; Hrouzek, P.; Figueroa, F.L.; Cheel, J. Isolation of mycosporine-like amino acids from red macroalgae and a marine lichen by high-performance countercurrent chromatography: A strategy to obtain biological UV-filters. Mar. Drugs 2023, 21, 357. [Google Scholar] [CrossRef]
- Karsten, U.; Sawall, T.; Hanelt, D.; Bischof, K.; Figueroa, F.L.; Flores-Moya, A.; Wiencke, C. An inventory of UV-absorbing mycosporine-like amino acids in macroalgae from polar to warm-temperate regions. Bot. Mar. 1998, 41, 443–453. [Google Scholar] [CrossRef]
- La Barre, S.; Roullier, C.; Boustie, J. Mycosporine-like amino acids (MAAs) in biological photosystems. In Outstanding Marine Molecules; Wiley-VCH Verlag GmbH & Co. KGaA: Weinheim, Germany, 2014; pp. 333–360. [Google Scholar]
- Huovinen, P.; Matos, J.; Pinto, I.S.; Figueroa, F.L. The role of ammonium in photoprotection against high irradiance in the red alga Grateloupia lanceola. Aquat. Bot. 2006, 84, 308–316. [Google Scholar] [CrossRef]
- Navarro, N.P.; Mansilla, A.; Figueroa, F.L.; Korbee, N.; Jofre, J.; Plastino, E. Short-term effects of solar UV radiation and NO3− supply on the accumulation of mycosporine-like amino acids in Pyropia columbina (Bangiales, Rhodophyta) under spring ozone depletion in the sub-Antarctic region, Chile. Bot. Mar. 2014, 57, 9–20. [Google Scholar] [CrossRef]
- Navarro, N.P.; Korbee, N.; Jofre, J.; Figueroa, F.L. Short-term variations of mycosporine-like amino acids in the carrageenan-producing red macroalga Mazzaella laminarioides (Gigartinales, Rhodophyta) are related to nitrate availability. J. Appl. Phycol. 2021, 33, 2537–2546. [Google Scholar] [CrossRef]
- Álvarez-Gómez, F.; Korbee, N.; Figueroa, F.L. Effects of UV radiation on photosynthesis, antioxidant capacity and the accumulation of bioactive compounds in Gracilariopsis longissima, Hydropuntia cornea and Halopithys incurva (Rhodophyta). J. Phycol. 2019, 55, 1258–1273. [Google Scholar] [CrossRef]
- Carmona, R.; Kraemer, G.P.; Yarish, C. Exploring northeast american and asian species of Porphyra for use in an integrated finfish–algal aquaculture system. Aquaculture 2006, 252, 54–65. [Google Scholar] [CrossRef]
- Massocato, T.F.; Robles-Carnero, V.; Moreira, B.R.; Castro-Varela, P.; Pinheiro-Silva, L.; Oliveira, W.D.S.; Vega, J.; Avilés, A.; Bonomi-Barufi, J.; Rörig, L.; et al. Growth, biofiltration and photosynthetic performance of Ulva spp. cultivated in fishpond effluents: An outdoor study. Front. Mar. Sci. 2022, 9, 981468. [Google Scholar] [CrossRef]
- Abreu, M.H.; Pereira, R.; Yarish, C.; Buschmann, A.H.; Sousa-Pinto, I. IMTA with Gracilaria vermiculophylla: Productivity and nutrient removal performance of the seaweed in a land-based pilot scale system. Aquaculture 2011, 312, 77–87. [Google Scholar] [CrossRef]
- Streicher, M.D.; Reiss, H.; Reiss, K. Impact of aquaculture and agriculture nutrient sources on macroalgae in a bioassay study. Mar. Pollut. Bull. 2021, 173, 113025. [Google Scholar] [CrossRef]
- Figueroa, F.L.; Korbee, N.; Abdala, R.; Jerez, C.G.; López-de la Torre, M.; Güenaga, L.; Larrubia, L.A.; Gómez-Pinchetti, J.L. Biofiltration of fishpond effluents and accumulation of N-compounds (phycobiliproteins and mycosporine-like amino acids) versus C-compounds (polysaccharides) in Hydropuntia cornea (Rhodophyta). Mar. Poll. Bull. 2012, 64, 310–318. [Google Scholar] [CrossRef]
- Figueroa, F.L.; Aguilera, J.; Niell, F.X. Red and blue light regulation of growth and photosynthetic metabolism in Porphyra umbilicalis (L.) Kützing (Bangiales, Rhodophyta). Europ. J. Phycol. 1995, 30, 11–18. [Google Scholar] [CrossRef]
- Gao, G.; Gao, Q.; Nao, M.; Xu, J.; Li, X. Nitrogen availability modulates the effects of ocean acidification on biomass yield and food quality of a marine crop Pyropia yezoensis. Food Chem. 2019, 271, 623–629. [Google Scholar] [CrossRef] [PubMed]
- Lapointe, B.E.; Ryther, J.H. The effects of nitrogen and seawater flow rate on the growth and biochemical composition of Gracilaria foliifera var. angustissima in mass outdoor culture. Bot. Mar. 1979, 22, 529–537. [Google Scholar]
- Aple, K.; Hirt, H. Reactive oxygen species, metabolism, oxidative stress, and signal transduction. Ann. Rev. Plant Biol. 2004, 55, 373–399. [Google Scholar] [CrossRef]
- Parmar, A.; Singh, N.K.; Dhoke, R.; Madamwar, D. Influence of light on phycobiliprotein production in three marine cyanobacterial cultures. Acta Physiol. Plant. 2013, 35, 1817–1826. [Google Scholar] [CrossRef]
- Hu, X.; Gu, T.; Khan, I.; Zada, A.; Jia, T. Research progress in the interconversion, turnover and degradation of chlorophyll. Cells 2021, 10, 3134. [Google Scholar] [CrossRef]
- Kottuparambil, S.; Shin, W.; Brown, M.T.; Han, T. UV-B affects photosynthesis, ROS production and motility of the freshwater flagellate, Euglena agilis Carter. Aquat. Toxicol. 2023, 122, 206–213. [Google Scholar] [CrossRef] [PubMed]
- Boussiba, S.; Bing, W.; Yuan, J.P.; Zarka, A.; Chen, F. Changes in pigments profile in the green alga Haeamtococcus pluvialis exposed to environmental stresses. Biotechnol. Lett. 1999, 21, 601–604. [Google Scholar] [CrossRef]
- Young, A.J.; Frank, H.A. Energy transfer reactions involving carotenoids: Quenching of chlorophyll fluorescence. J. Photochem. Photobiol. B Biol. 1996, 36, 3–15. [Google Scholar] [CrossRef]
- Deng, J.; Chen, Y.; Lin, S.; Shao, Y.; Zou, Y.; Zheng, Q.; Guo, Z.; Lin, J.; Chen, M.; Ye, Z. Molecular regulation of carotenoid accumulation enhanced by oxidative stress in the food industrial strain Blakeslea trispora. Foods 2025, 14, 1452. [Google Scholar] [CrossRef] [PubMed]
- Dell’Aglio, E. Carotenoid composition affects thylakoid morphology and membrane fluidity. Plant Physiol. 2021, 185, 21–22. [Google Scholar] [CrossRef] [PubMed]
- Prinsi, B.; Negrini, N.; Morgutti, S.; Espen, L. Nitrogen starvation and nitrate or ammonium availability differently affect phenolic composition in green and purple basil. Agronomy 2020, 10, 498. [Google Scholar] [CrossRef]
- Pedra, A.G.L.M.; Ramlov, F.; Maraschin, M.; Hayashi, L. Cultivation of the red seaweed Kappaphycus alvarezii with effluents from shrimp cultivation and brown seaweed extract: Effects on growth and secondary metabolism. Aquaculture 2017, 479, 297–303. [Google Scholar] [CrossRef]
- Shick, J.M.; Dunlap, W.C. Mycosporine-like amino acids and related gadusols: Biosynthesis, accumulation, and UV-protective functions in aquatic organisms. Annu. Rev. Physiol. 2002, 64, 223–262. [Google Scholar] [CrossRef]
- Dróżdż, D.; Malińska, K.; Mazurkiewicz, J.; Kacprzak, M.; Mrowiec, M.; Szczypiór, A.; Postawa, P.; Stachowiak, T. Fish pond sediment from aquaculture production-Current practices and the potential for nutrient recovery: A Review. Int. Agrophys. 2020, 34, 33–41. [Google Scholar] [CrossRef] [PubMed]
- Nederlof, M.A.; Verdegem, M.C.; Smaal, A.C.; Jansen, H.M. Nutrient retention efficiencies in integrated multi-trophic aquaculture. Rev. Aquac. 2022, 14, 1194–1212. [Google Scholar] [CrossRef]





| Treatment | Cell Length (µm) | NUE (%) | RGR (% day−1) |
|---|---|---|---|
| 3 mM Artificial | 21.57 ± 4.39 b | 5.65 ± 0.95 b | 1.84 ± 0.61 a |
| 3 mM Fishpond | 23.76 ± 3.35 a | 5.57 ± 0.84 b | 1.97 ± 0.43 a |
| 5 mM Artificial | 18.32 ± 3.19 c | 8.25 ± 0.62 a | 1.76 ± 0.60 a |
| 5 mM: Fishpond (3 mM) + Artificial (2 mM) | 15.98 ± 2.66 d | 9.41 ± 0.49 a | 1.36 ± 0.33 a |
| Treatment | Fv/Fm | αETR | ETRmax | EkETR | EoptETR | αNPQ | NPQmax | EkNPQ |
|---|---|---|---|---|---|---|---|---|
| 3 mM Artificial | 0.60 ± 0.03 a | 0.10 ± 0.03 a | 4.68 ± 0.21 a | 57.80 ± 9.86 a | 317.15 ± 46.94 a | 0.002 ± 0.0003 c | 0.82 ± 0.11 a | 339.20 ± 26.55 b |
| 3 mM Fishpond | 0.57 ± 0.03 a | 0.08 ± 0.01 a | 2.79 ± 0.01 b | 42.23 ± 10.60 a | 126.49 ± 17.36 b | 0.004 ± 0.0002 b | 0.95 ± 0.23 a | 116.76 ± 8.91 c |
| 5 mM Artificial | 0.59 ± 0.04 a | 0.14 ± 0.02 a | 4.46 ± 1.32 a | 26.26 ± 5.26 a | 227.84 ± 34.75 b | 0.003 ± 0.0008 b | 0.99 ± 0.15 a | 393.08 ± 21.38 a |
| 5 mM: Fishpond (3 mM) + Artificial (2 mM) | 0.59 ± 0.04 a | 0.09 ± 0.02 a | 2.47 ± 0.02 b | 27.16 ± 6.24 a | 117.77 ± 31.15 b | 0.007 ± 0.0003 a | 0.96 ± 0.11 a | 133.28 ± 18.90 c |
| Treatment | ETR124 | EDR124 | ETR124:EDR124 | ETR619 | EDR619 | ETR631:EDR619 | ETR1475 | EDR1475 | ETR1509:EDR1475 |
|---|---|---|---|---|---|---|---|---|---|
| 3 mM Artificial | 3.77 ± 0.38 a | 9.98 ± 0.64 c | 0.38 | 4.01 ± 0.62 a | 62.98 ± 1.08 b | 0.06 | 3.00 ± 0.61 a | 156.33 ± 41.80 a | 0.02 |
| 3 mM Fishpond | 3.20 ± 0.72 ab | 13.30 ± 0.99 a | 0.24 | 1.60 ± 0.48 b | 76.72 ± 2.90 a | 0.02 | 0.77 ± 0.24 b | 144.24 ± 37.42 a | 0.01 |
| 5 mM Artificial | 4.05 ± 0.92 a | 10.88 ± 1.17 bc | 0.37 | 3.64 ± 0.99 a | 70.24 ± 4.24 ab | 0.05 | 2.25 ± 0.41 a | 116.58 ± 22.42 a | 0.02 |
| 5 mM: Fishpond (3 mM) + Artificial (2 mM) | 2.26 ± 0.36 b | 12.45 ± 0.52 ab | 0.18 | 1.47 ± 0.23 b | 79.95 ± 6.52 a | 0.02 | 0.84 ± 0.11 b | 139.86 ± 9.46 a | 0.01 |
| Treatment | Polyphenols (mg·g−1 DW) | ABTS (μmol TEAC·g−1 DW) |
|---|---|---|
| 3 mM Artificial | 2.33 ± 0.23 a | 158.72 ± 15.66 a |
| 3 mM Fishpond | 2.62 ± 0.28 a | 157.56 ± 15.75 a |
| 5 mM Artificial | 2.70 ± 0.30 a | 158.87 ± 11.80 a |
| 5 mM: Fishpond (3 mM) + Artificial (2 mM) | 3.02 ± 0.50 a | 170.42 ± 14.19 a |
| Treatment | % Carbon | % Nitrogen | % Sulfur |
|---|---|---|---|
| 3 mM Artificial | 37.74 ± 1.18 a | 4.59 ± 0.22 a | 1.16 ± 0.16 a |
| 3 mM Fishpond | 37.21 ± 2.18 a | 4.83 ± 0.59 a | 1.16 ± 0.20 a |
| 5 mM Artificial | 37.25 ± 2.66 a | 4.59 ± 0.44 a | 1.02 ± 0.04 a |
| 5 mM: Fishpond (3 mM) + Artificial (2 mM) | 37.52 ± 1.06 a | 5.19 ± 0.44 a | 1.18 ± 0.15 a |
Disclaimer/Publisher’s Note: The statements, opinions and data contained in all publications are solely those of the individual author(s) and contributor(s) and not of MDPI and/or the editor(s). MDPI and/or the editor(s) disclaim responsibility for any injury to people or property resulting from any ideas, methods, instructions or products referred to in the content. |
© 2025 by the authors. Licensee MDPI, Basel, Switzerland. This article is an open access article distributed under the terms and conditions of the Creative Commons Attribution (CC BY) license (https://creativecommons.org/licenses/by/4.0/).
Share and Cite
Pereira, D.T.; Badia, I.M.; Vega, J.; Palica, F.L.; Paniagua, D.L.; Korbee, N.; Figueroa, F.L. Effects of Nitrate Source (Artificial and Fishpond) and UV Radiation on Physiological, Photosynthetic, and Biochemical Parameters of Porphyra dioica for Sustainable Integrated Multitrophic Aquaculture (IMTA). Nitrogen 2025, 6, 108. https://doi.org/10.3390/nitrogen6040108
Pereira DT, Badia IM, Vega J, Palica FL, Paniagua DL, Korbee N, Figueroa FL. Effects of Nitrate Source (Artificial and Fishpond) and UV Radiation on Physiological, Photosynthetic, and Biochemical Parameters of Porphyra dioica for Sustainable Integrated Multitrophic Aquaculture (IMTA). Nitrogen. 2025; 6(4):108. https://doi.org/10.3390/nitrogen6040108
Chicago/Turabian StylePereira, Débora Tomazi, Ignacio Moreu Badia, Julia Vega, Fabian López Palica, David López Paniagua, Nathalie Korbee, and Félix L. Figueroa. 2025. "Effects of Nitrate Source (Artificial and Fishpond) and UV Radiation on Physiological, Photosynthetic, and Biochemical Parameters of Porphyra dioica for Sustainable Integrated Multitrophic Aquaculture (IMTA)" Nitrogen 6, no. 4: 108. https://doi.org/10.3390/nitrogen6040108
APA StylePereira, D. T., Badia, I. M., Vega, J., Palica, F. L., Paniagua, D. L., Korbee, N., & Figueroa, F. L. (2025). Effects of Nitrate Source (Artificial and Fishpond) and UV Radiation on Physiological, Photosynthetic, and Biochemical Parameters of Porphyra dioica for Sustainable Integrated Multitrophic Aquaculture (IMTA). Nitrogen, 6(4), 108. https://doi.org/10.3390/nitrogen6040108

