Abstract
Biochar has been widely used in agriculture to improve soil quality, support soil remediation, enhance carbon sequestration, and mitigate climate change. Podzolic soils, such as those in Newfoundland, are typically acidic, low in organic matter, and poor in nutrients, which can limit their agricultural productivity. Applying biochar alongside nitrogen fertilization presents a promising strategy to enhance soil fertility, nutrient uptake, and forage productivity. This study evaluated the effects of spruce bark biochar (SB550) and nitrogen fertilization on soil properties, nutrient uptake, and Festulolium forage growth under greenhouse conditions in podzolic soils of Newfoundland, Canada. Five biochar rates (0%, 2%, 5%, 8%, and 10% by soil volume) were combined with two nitrogen levels (0 and 60 kg N ha−1). Soil analyses included pH, soil organic matter (SOM), cation exchange capacity (CEC), and nutrient availability (Ca, Mg, K, P, S, Zn, Mn, and B). In contrast, forage nutrient uptake, biomass production, and quality were assessed. Results showed that biochar significantly increased soil pH, SOM, CEC, and nutrient availability for key elements such as Ca, Mg, and K, while reducing potentially harmful elements such as Na and Mn. The Festulolium nutrient uptake and biomass improved, with dry matter and root biomass increasing by up to 32%. The combined application of biochar and nitrogen further amplified these benefits. This study highlights the potential of biochar as a sustainable soil amendment for improving soil properties and forage productivity in podzolic soils. The findings suggest that biochar, particularly with nitrogen, can significantly enhance soil fertility and agricultural productivity, making it a viable strategy for sustainable forage production in Newfoundland.
1. Introduction
Biochar is a carbon-rich product derived from the pyrolysis of agricultural biomass, such as crop residues, wood, and waste, under controlled conditions involving high temperatures and limited oxygen supply. It is considered a modern advancement in soil management practices [1,2]. Biochar has been widely studied for its multiple environmental and agricultural benefits, including improving soil fertility, enhancing nutrient retention, mitigating climate change through carbon sequestration, and remediating contaminated soils [3].
Soils in Newfoundland and Labrador (NL), Canada, are generally characterized by very high acidity, low fertility, low CEC, low SOM, very coarse texture, and a high proportion of stones, all of which negatively impact forage crop production. Acidic soils typically exhibit low fertility due to high concentrations of Al and Mn and a limited availability of P, Ca, and Mg, resulting in reduced crop productivity. [4]. Applying biochar as a soil amendment presents a promising strategy for improving forage crop productivity in such challenging soils. Biochar can enhance CEC and SOM, thereby improving the soil’s nutrient retention capacity [5,6]. Its application to the top 0–15 cm of very acidic soils has been shown to considerably boost soil pH and the availability of nutrients, particularly Ca, K, S, and Mn [7]. Similarly, biochar amendments have been found to raise K, Ca, and Mg levels in surface soils [8], while other studies report improvements in CEC, SOM, and nutrient availability (e.g., P and K), leading to better crop growth and yields [9,10].
The effectiveness of biochar in agricultural systems depends heavily on its feedstock and production conditions, which determine its chemical and physical properties. For instance, biochar derived from poultry litter, peanut hulls, or pine chips differs significantly in elemental content, affecting its influence on soil nutrient availability [8,11]. Studies have shown that biochar can release essential nutrients such as K, Ca, Mg, Mn, Cu, and Zn into the soil, which supports plant growth. It also plays a critical role in salt-affected soils by reducing the Na uptake and improving K availability, thus alleviating salt stress [4]. Beyond fertility improvement, biochar can immobilize heavy metals in contaminated soils. For example, Lu et al. (2017) reported that rice straw biochar reduced Cd, Cu, Pb, and Zn concentrations by 11–34% when applied at 5% [12]. Chicken manure biochar has also been shown to increase shoot and root biomass in Indian mustard due to reduced metal toxicity and improved P and K availability [13]. Recent studies have also explored the use of biochar as a nutrient source. Peanut hull biochar, for instance, increased the surface soil concentrations of K, Ca, and Mg, while pine chip biochar had limited effects beyond Ca [8]. Although some biochar shows minimal impact on plant tissue nutrient concentrations, the application rate is a key factor. In tropical regions, plant productivity improved significantly with higher biochar rates [11]. For example, rice husk biochar increased rice yield by approximately 100% in Japanese paddy fields when applied at 40 g per pot [14], and willow biochar at 5% (w/w) increased spinach growth by over 100% in spring and 353% in autumn [15]. These findings demonstrate that the ideal biochar application rate should be tailored to specific soil types and regional conditions to maximize benefits. This optimization can reduce costs, labor, and potential negative impacts, while improving soil health, crop yield, and quality.
Therefore, the objective of this study was to evaluate the effectiveness of biochar as a soil amendment for improving soil fertility, forage yield, forage quality, and nutrient uptake in the podzolic soils of eastern Newfoundland. The findings of this research are expected to support the expansion of local agricultural production and contribute to improving food security in the province.
2. Materials and Methods
2.1. Biochar Production and Characterization
The type of biochar used in this study was selected based on its high nitrate adsorption capacity, which, in a previous experiment, reached 184 mg/g for SB550 biochar [16]. The biochar was sourced from GECA Environnement in Quebec, Canada, and produced from spruce bark, a woody biomass feedstock, at a pyrolysis temperature of 550 °C (SB550), using Abri-Tech technology [17]. Nitrogen and carbon analyses were conducted using the AOAC method 990.03 [18] with a LECO CNS 928 instrument (USA). All other mineral analyses were performed using the dry ash method (AOAC method 985.01) and analyzed with a Teledyne Instruments Leeman Labs Prodigy High Dispersion ICP (USA) (Table 1). Scanning Electron Microscopy (SEM) was conducted using an FEI MLA 650F (FEI Company, Hillsboro, OH, USA), equipped with Bruker XFlash X-ray detectors (Bruker Corporation, Billerica, MA, USA), for compositional analysis (EDS) and a backscattered electron detector (BSE). SEM imaging was used to examine the porous structures of the biochar (Figure S1).
Table 1.
Properties of SB550 biochar: moisture content, pH, cation exchange capacity (CEC), total nitrogen, total carbon, total phosphorus, total potassium, total calcium, total magnesium, total iron, total copper, total manganese, total zinc, total boron, total sodium, and soluble nutrients.
2.2. Experimental Set-Up and Design
The experiment was conducted in a greenhouse at the Memorial University Botanical Garden from December 2018 to April 2019. The forage crop Festulolium was grown in plastic pots with a diameter of 30.48 cm and a height of 27.5 cm. Each pot contained 15 kg of silt loam soil, maintained under greenhouse conditions with an 8–16 h day–night photoperiod and temperatures ranging from 18 to 20 °C. Festulolium was developed by crop scientists through the crossing of Meadow or Tall Fescue with Perennial or Italian Ryegrass [19]. The Festulolium cultivar used in this study was Perseus (Festulolium braunii (K. Richt.) A. Camus), supplied by DLF Pickseed Canada, Inc. The experimental design included one soil type from the Cochrane soil series [20]. Collected from the St. John’s Research and Development Centre (47°31′ N; 52°47′ W; and 115 m above sea level). Soil samples were taken from the top 20 cm, dried in the drying room for 72 h at 35 °C, and sieved through a 9.5 mm sieve to remove large stones. Five rates of biochar application, including a control (0% biochar), and 2%, 5%, 8%, and 10% biochar rates (v/v), were applied to the top 10 cm of soil (Figure S2). Two nitrogen fertilizer rates of Urea (46-0-0) were applied at 0 and 60 kg N ha−1. Two levels of Festulolium (with and without crops) were included. The experimental design followed a factorial treatment structure with five biochar rates × two nitrogen fertilizer rates × two crop presence levels, resulting in a total of 20 treatments (Figure S3). The experiment followed a completely randomized design (CRD) with three replicates per treatment (60 pots in total), as shown in the experimental layout (Figure S3). Biochar was thoroughly mixed with the soil and incorporated into the top 10 cm. Nitrogen fertilizer (Urea, 46-0-0) was then applied to the top 2.5–3.0 cm. Festulolium seeds were uniformly sown in the top 0.5 cm of the recommended field seeding rate of 39 kg per hectare, adjusted to the pot surface area. Festulolium was grown in the experimental pots from December 2018, when the seeds were sown, until April 2019, when the forage crop was harvested.
A preliminary experiment was performed to estimate the amount of water needed to be added to each pot of soil to avoid excess leaching and to measure soil field capacity (F.C.). Soil F.C. was determined to be 35% (g water/g oven-dry soil) using a gravimetric oven drying method. Wet soil samples were collected 24 h after water addition, and soil moisture content was calculated using the standard drying method: 5 g of soil samples were dried for 48 h at 105 °C. To maintain suitable soil water content for crop growth, the soil moisture content of the pots was measured every 3–4 days using the GS3 VWC, temperature, ECw, and ProCheck Sensor Read-Out and Storage System (HOSKIN SCIENTIFIC LTD, Canada). All pots were watered up to the F.C. to ensure that the soil reached at least 20% of the total available water.
While greenhouse pot experiments provide valuable initial insights into plant and soil responses, their short duration, uniform soil conditions, and lack of climatic variability limit the direct application of results to field settings. Consequently, the long-term effects on soil health, such as carbon sequestration, stabilization of cation exchange capacity, and shifts in microbial communities, remain uncertain, indicating that extended field studies would be important to fully understand these processes.
2.3. Soil Sample Preparation for Analysis
A composite soil sample of the original soil was collected from 20 soil samples at a 0–20 cm depth from the field experimental station at the St. John’s Research and Development Center, using a stainless-steel soil sampling auger (76 mm diameter and 305 mm length, IRL Supplies, Canada). Soil samples were air-dried at 35 °C, sieved by a 2 mm mesh, and analyzed for texture, pH, SOM, CEC, total N, total C, and available nutrients of P, K, Ca, Mg, S, Zn, Cu, Na, Fe, B, Mn, and Al before adding any soil amendments. After harvesting the crop, the soil samples were collected at 0–10 cm depths from all experimental pots. Soil samples at harvest were analyzed using the same procedures and methods as those applied to the soil before the addition of any amendments.
The soil in this study had a silt loam texture consisting of 29.31% sand, 17.9% clay, and 52.8% silt. It had a slightly acidic pH of 6.1, moderate levels of SOM, and a low CEC (Table 2). The extractable concentrations of P, K, Ca, Mg, S, Zn, Cu, Na, B, and Mn significantly increased, while Fe and Al concentrations decreased as a result of the study treatments, as shown in Table 3 and Table S1.
Table 2.
Original soil texture, pH, CEC (cmol kg−1), N (%), and C (%) before the addition of any soil amendments.
Table 3.
Original extractable nutrient concentrations (mg/kg) of the soil before any amendments.
2.4. Experiment Evaluations
2.4.1. Soil Analysis
Chemical analyses were conducted after sieving soil sub-samples through a 2 mm mesh. Soil pH was measured for both the original and soil samples at harvest using a 1:1 soil-to-water ratio (w:v) and a pH meter (Thermo Fisher Scientific accumet™ XL250 pH, Canada). CEC was determined using a buffer pH method [21]. Extractable elements, including P, K, Ca, Mg, S, Zn, Cu, Na, Fe, B, Mn, and Al, were analyzed using the Mehlich 3 extraction method [22] and quantified with a Teledyne Prodigy ICP instrument (Teledyne, Thousand Oaks, CA, USA). N and C analyses were conducted using AOAC method 990.03 [18] with a LECO CNS 928 instrument (LECO Corporation, St. Joseph, MI, USA). The particle size distribution of both the original and the soil samples at harvest were determined using the hydrometer method [22], and soil organic matter was determined using the loss on ignition method [23].
2.4.2. Forage and Root Sampling and Their Analysis
A SPAD meter was used to estimate leaf chlorophyll concentration due to its strong correlation with soil nitrogen application [24]. For each pot, SPAD values were recorded from three different leaves at three different times: immediately after harvest, two hours after harvest, and four hours after harvest. A SPAD 502 Plus Chlorophyll Meter (Spectrum Technologies Inc., Aurora, IL, USA) was used for the measurements. Subsequently, the forage crop samples were weighed to determine their wet weight, dried at 60 °C for 72 h, and then reweighed to record their dry weight. The moisture content of the samples was calculated from these measurements. The root biomass was measured after thoroughly washing the roots with running tap water, rinsing them three times with distilled water, and drying them at 60 °C for 72 h. The forage and root samples were then ground using a Wiley Mill equipped with a 1 mm screen. The ground samples were stored in sealed glass containers under cool conditions until they were analyzed for total elemental content.
The physicochemical properties of all forage and root samples were analyzed using various methods and instruments. For example, N and C contents were determined following the AOAC Method 990.03 [18], using a LECO CNS 928 instrument (LECO Corporation, St. Joseph, MI, USA). Nutrient analyses were conducted using the dry ash method (AOAC Method 985.01 [18]) and measured with a Teledyne Instruments Leeman Labs Prodigy High Dispersion ICP (Teledyne Leeman Labs, Mason, OH, USA).
Crude protein (CP) was calculated based on the total N content in the feed material, determined using the combustion method (AOAC 990.03, [18]) with a LECO CNS 928 instrument (LECO Corporation, USA). The CP was derived by multiplying the N percentage by a factor of 6.25. Acid detergent fiber (ADF), which accounts for lignin, cellulose, silica, and insoluble forms of nitrogen, was measured using the reflux method (AOAC 973.18) [18]. Neutral detergent fiber (NDF), which includes cellulose, hemicellulose, lignin, silica, tannins, and cutins, was analyzed using the reflux method (AOAC 2002.04). Both ADF and NDF were determined with the ANKOM 200 Fiber Analyzer (ANKOM Technology, Macedon, NY, USA). At harvest, aboveground forage biomass was collected by cutting plants at a uniform height of 5 cm above the soil surface. Fresh biomass was weighed immediately after cutting to determine fresh matter (FM) yield. Sub-samples were then oven-dried at 65 °C for 72 h to constant weight to determine dry matter (DM) yield, which was expressed in grams per pot.
2.5. Statistical Analysis
Statistical analysis of variance (ANOVA) was performed using a general linear model in Minitab 19 software [25]. The significance of the effects of biochar (B), nitrogen (N), crop (C), and their interactions was evaluated at α ≤ 0.05, considering the completely randomized design (CRD) of the experiment. Before conducting the ANOVA, the assumptions of normality and homogeneity of variance were tested and confirmed. Treatment means were compared using Tukey’s honestly significant difference (HSD) test at a 95% confidence level (p < 0.05). Two- and three-way ANOVA analyses were conducted according to the linear models (Equations (S1) and (S2)), respectively [26].
3. Results
3.1. Chemical Characterization of Acid Podzolic Soil
As expected, biochar application had a significant effect on nutrient concentrations, soil pH, SOM, and CEC by the end of the experiment (Table 4 and Table S1). Soil pH increased significantly with higher biochar application rates, with the 8% and 10% [v/v] treatments reaching 6.8–6.9 and 6.8 pH units, respectively, compared to 6.3–6.4 at the 2% and 5% [v/v] rates, all differing from the control (0% biochar). Nutrient responses to biochar varied: most nutrients, including C, P, K, Ca, Mg, S, Zn, Cu, Na, B, and Mn, increased with higher biochar rates (Table 5 and Table S2). In contrast, Fe and Al concentrations decreased progressively with increasing biochar application rates, both with and without nitrogen addition. Fe declined from 171 mg g−1 in the control (0%) to 167 mg g−1 at 2%, 163 mg g−1 at 5%, 158 mg g−1 at 8%, and 154 mg g−1 at 10% biochar, representing an overall reduction of ~10%. Similarly, Al decreased from 1258 mg g−1 in the control to 1230 mg g−1 at 2%, 1206 mg g−1 at 5%, 1182 mg g−1 at 8%, and 1165 mg g−1 at 10% biochar, corresponding to a reduction of ~7%. Under nitrogen addition, Fe decreased from 166 mg g−1 in the control to 164 mg g−1 at 2%, 162 mg g−1 at 5%, 160 mg g−1 at 8%, and 159 mg g−1 at 10%. Similarly, Al declined from 1287 mg g−1 without biochar to 1258 mg g−1 at 2%, 1235 mg g−1 at 5%, 1213 mg g−1 at 8%, and 1190 mg g−1 at 10% biochar. These results confirm that biochar application consistently suppressed Fe and Al concentrations across all levels, with Fe showing statistically significant reductions.
Table 4.
Soil pH, N (%), C (%), SOM (%), and CEC (cmol kg−1) of soil samples at application as affected by biochar, nitrogen fertilizer, and crop treatments.
Table 5.
Concentrations of available soil nutrients (mg kg−1) in response to biochar, nitrogen fertilizer, crop type, and their interactions.
CEC followed the same trend as most nutrients, increasing with higher biochar rates, while soil N concentrations remained largely unchanged. SOM responses were variable across treatments without a consistent trend (Table 4 and Table S1).
Soil pH was significantly influenced by the application of biochar (p < 0.001). At 8% and 10% (v/v), biochar increased soil pH to 6.8–6.9, which was significantly higher than the 2% and 5% (v/v) rates (6.2–6.7). All biochar treatments also differed significantly from the control (0%), which had a pH of 6.1–6.3. Crop presence further affected the soil pH (p < 0.001), with no-crop treatments showing higher values (6.6–6.9) compared to crop treatments (6.1–6.4). Nitrogen application had a minor but significant effect (p = 0.05), while the interaction of biochar, nitrogen, and the crop was not significant (p = 0.2) (Table 4 and Table S1).
Total soil N was not significantly affected by the biochar, nitrogen, or crop treatments (p > 0.05). Soil N values ranged from 0.5% to 0.7% across all treatments, with the lowest concentrations observed in cropped plots without biochar (0.5%) and slightly higher levels (up to 0.7%) in no-crop plots receiving higher biochar rates. These differences were minor and statistically insignificant. In contrast, soil C, SOM, and CEC were significantly influenced by biochar, nitrogen, and crop presence and their interactions (p < 0.001).
Soil carbon (C) increased markedly with rising biochar application rates. In cropped plots without nitrogen, the mean soil C content rose from 6.70% at 0% biochar to 18.5% at 10% biochar, representing a 176% increase. Similar trends were observed across all nitrogen and crop treatments, with the highest C values (21.3%) recorded in no-crop plots at 10% biochar without nitrogen, corresponding to a 218% increase relative to the control. SOM exhibited a generally positive response to biochar application, reflecting the accumulation of organic carbon in the soil in cropped plots without nitrogen.
The SOM increased from 6.19% at 0% biochar to 8.58% at 2% biochar, followed by variable values of 6.96%, 8.47%, and 6.97% at 5%, 8%, and 10% biochar, respectively. When nitrogen was applied at 60 kg N ha−1, the SOM ranged from 6.62% at 0% biochar to 8.03% at 10% biochar, demonstrating the influence of biochar and nitrogen on organic matter content. In no-crop plots without nitrogen, the SOM increased from 7.66% at 0% biochar to a peak of 8.47% at 2% biochar, with subsequent values of 7.36%, 7.23%, and 6.97% at 5%, 8%, and 10% biochar, respectively. With nitrogen addition, the SOM ranged from 7.63% at 0% biochar to 8.36% at 5% biochar, then slightly declined at higher biochar rates. These trends indicate that moderate biochar application, particularly when combined with nitrogen fertilization, can enhance SOM accumulation. Overall, the results highlight the capacity of biochar to improve soil organic matter in acidic podzolic soils, contributing to enhanced soil fertility and structural quality (Table 4 and Table S1).
CEC exhibited a positive response to biochar application across all treatments, reflecting the improved nutrient-holding capacity of the soil. In cropped plots without nitrogen, the CEC ranged from 17.1 (cmol kg−1) at 5% biochar to 18.3 (cmol kg−1) at 10% biochar, starting from 17.4 (cmol kg−1) in the control. With nitrogen addition, the CEC varied between 14.6 (cmol kg−1) at 5% biochar and 17.7 (cmol kg−1) at 10% biochar, compared to 17.6 (cmol kg−1) in the control. In no-crop plots without nitrogen, CEC values ranged from 15.6 (cmol kg−1) at 2% biochar to 18.0 (cmol kg−1) at 5% biochar, with a control value of 17.1 (cmol kg−1). When nitrogen was applied, the CEC increased from 17.9 (cmol kg−1) in the control to a maximum of 18.6 (cmol kg−1) at 2% biochar, with other treatments ranging between 16.4 and 17.6 (cmol kg−1). Although the magnitude of change across treatments was modest, the increases were statistically significant, confirming that biochar effectively enhances soil CEC and contributes to improved soil fertility and nutrient retention in podzolic soils (Table 4 and Table S1).
Soil nutrient concentrations were significantly influenced by biochar application, nitrogen fertilization, crop presence, and their interactions (p < 0.001 for all factors). Increasing biochar rates led to marked improvements in most nutrients; for example, Ca increased from 1426 mg kg−1 in the control to 2057 mg kg−1 at the highest biochar rate, Mg from 257 mg kg−1 to 450 mg kg−1, and K from 18 mg kg−1 to 251 mg kg−1 across treatments. Crop presence also shaped nutrient distribution, with Ca, Mg, K, Zn, Cu, Fe, Al, and B generally higher in the no-crop treatments, while P, Na, S, and Mn were elevated under crop treatments. Nitrogen levels also had differential effects: Ca, Mg, K, Fe, and Zn were greater at 0 kg N ha−1, whereas Na, Al, and Cu concentrations increased under 60 kg N ha−1. These results indicate that biochar application enhances soil fertility by improving the availability of most essential nutrients, while its effects are further modulated by both crop presence and nitrogen fertilization (Table 5 and Table S2).
3.2. Treatment Effects on Forage Crop Yield
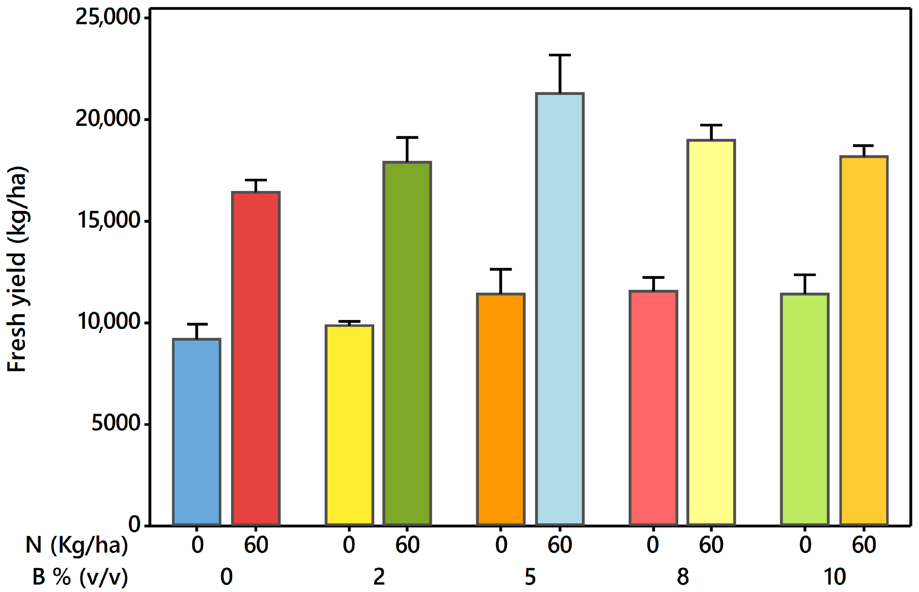
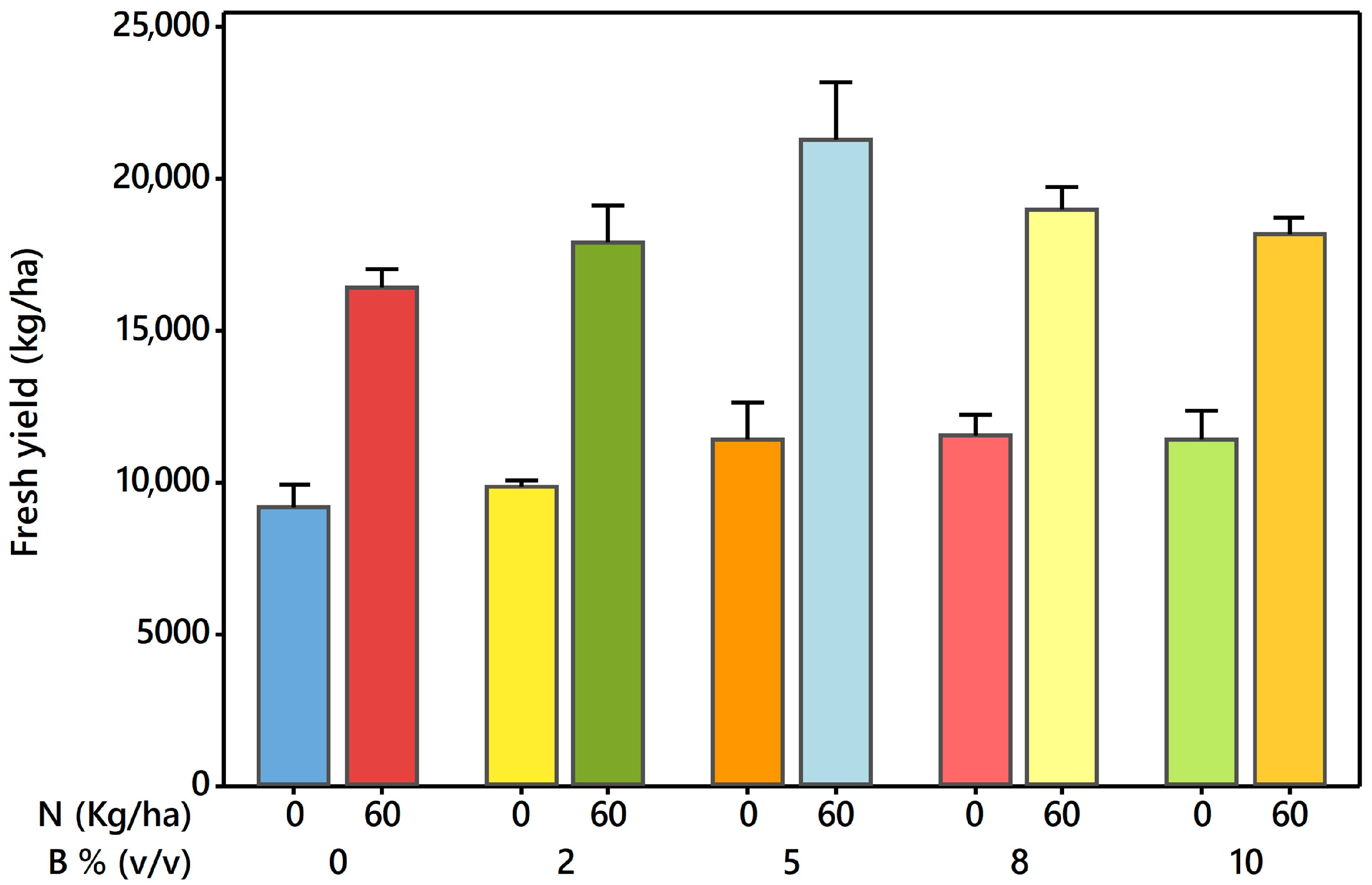
Festulolium forage yields, both fresh and dry matter, were significantly influenced by biochar application and nitrogen fertilization (p < 0.001), while their interaction was not significant (p > 0.05) (Figure 1; Table S3). Tukey’s pairwise comparisons indicated that the 5% (v/v) biochar treatment produced the highest yields, differing significantly only from the control (0% biochar). Compared with the control, biochar application increased the fresh yield by 8.5%, 27.5%, 19.5%, and 15.3% at 2%, 5%, 8%, and 10% (v/v), respectively, while the dry matter yield increased by 18%, 32%, 29%, and 19% at the same biochar rates. Nitrogen fertilization at 60 kg N ha−1 further enhanced yields, increasing fresh matter by 73.6% and dry matter by 70% relative to 0 kg N ha−1 (Figure 1 and Figure S4).
Figure 1.
Effect of biochar and nitrogen applications on the fresh yield of Festulolium forage. Each bar represents the mean (n = 3), and vertical error bars indicate the standard error of the mean (SEM).
3.3. Treatment Effects on SPAD Value
Leaf chlorophyll concentration, measured using a SPAD meter, was strongly correlated with soil nitrogen levels [27,28], responded positively to both biochar application and nitrogen fertilization, reflecting improved nitrogen availability in the soil. In cropped plots without nitrogen, SPAD values increased from 20.8 in the control (0% biochar) to 21.2 at 2% biochar, 30.5 at 5%, 29.5 at 8%, and 29.5 at 10%. With the addition of 60 kg N ha−1, SPAD values were further enhanced across all biochar levels, increasing by 7.3–8.5 units relative to the unfertilized plots, corresponding to an average improvement of approximately 32%. Although the magnitude of change varied among treatments, all increases were statistically significant (p = 0.042 for biochar; p < 0.001 for nitrogen), confirming that both biochar and nitrogen independently enhance leaf chlorophyll content and, by extension, crop nitrogen status (Figure 2; Table S3).
Figure 2.
Effect of biochar and nitrogen applications on the SPAD meter value of Festulolium forage. Each bar represents the mean (n = 3), and vertical error bars indicate the standard error of the mean (SEM).
3.4. Treatment Effects on Forage Quality
Forage quality parameters of Festulolium were significantly influenced by biochar application, whereas nitrogen fertilization and the interaction between biochar and nitrogen had no significant effect (p > 0.05) (Table 6 and Table S4). Crude protein content increased progressively with higher biochar rates, rising from 5.16 to 5.26% in the control (0% biochar) to 5.40% at 2%, 5.50–5.70% at 5%, 5.63–5.76% at 8%, and 6.00–6.13% at 10% biochar. A similar rising trend was observed for the total digestible nutrients (TDN), which increased from 76.56 to 77.86% in the control to 78.40–78.66% at 2% biochar, 78.60–79.03% at 5%, 79.70–79.83% at 8%, and 79.80–80.20% at 10%. Digestible energy (DE) followed the same pattern, increasing from 3.37 to 3.43 Mcal kg−1 in the control to 3.44–3.45 at 2%, 3.46 at 5%, 3.50–3.52 at 8%, and 3.51 at 10% biochar. In contrast, fiber contents decreased significantly with increasing biochar rates. The acid detergent fiber (ADF) declined from 21.80 to 20.73% in the control to 20.40–20.20% at 2% (−5%), 20.23–19.93% at 5% (−6%), 19.03–19.40% at 8% (−10%), and 19.30–19.33% at 10% (−9%). The neutral detergent fiber (NDF) decreased from 37.20 to 37.50% in the control to 34.76–35.00% at 2% (−7%), 34.76–35.13% at 5% (−8%), 33.33–34.36% at 8% (−10%), and 34.06–34.26% at 10% biochar. These results indicate that biochar substantially improves soil fertility, leaf nitrogen status, and forage nutritive value, with improvements increasing proportionally to the biochar application rate, enhancing protein content and digestibility while reducing fiber content.
Table 6.
Forage quality parameters as affected by biochar, nitrogen fertilizer, crop type, and their interactions.
3.5. Treatment Effects on Forage Nutrient Uptake
The effects of biochar application, nitrogen fertilization, and their interaction on Festulolium forage macro- and micronutrient uptake are presented in Table 7 and Table S5. Biochar significantly increased the uptake of N, P, K, Ca, and Mg (p < 0.05) but reduced Na and Mn uptake, with no significant effect on Fe, Cu, or Zn. Nitrogen fertilization enhanced the uptake of N, P, K, and Mg (p < 0.05) while decreasing Na and Mn uptake (p < 0.05) and had no significant effect on Ca or Zn. The biochar nitrogen interaction significantly improved the K, Ca, and Mg uptake (p < 0.05) and reduced Na uptake (p = 0.004) but did not significantly affect N, P, Fe, Cu, Mn, or Zn.
Table 7.
Nutrient uptake of Festulolium forage in response to biochar, nitrogen fertilizer, and their interactions.
Nutrient uptake by Festulolium forage was strongly influenced by both biochar application and nitrogen fertilization (Table 7). Across treatments, the N uptake increased with higher biochar rates and nitrogen addition, ranging from 3.50 kg ha−1 in the control (0% biochar, no N) to 4.27 kg ha−1 at 10% biochar with 60 kg N ha−1. P uptake ranged from 0.75 kg ha−1 (0% biochar, 60 kg N ha−1) to 1.08 kg ha−1 (10% biochar, no N), while K uptake showed a pronounced response to biochar, increasing from 4.38 kg ha−1 (0% biochar, 60 kg N ha−1) to 11.17 kg ha−1 (5% biochar, no N). The Ca uptake was similarly enhanced, rising from 1.60 kg ha−1 in the control with nitrogen to 2.90 kg ha−1 at 10% biochar with nitrogen. Mg uptake followed the same trend, with the highest value of 1.46 kg ha−1 observed at 10% biochar with nitrogen, compared to 0.78 kg ha−1 in the control with nitrogen. Other nutrients, including Na, Fe, Cu, Mn, and Zn, exhibited variable responses depending on biochar and nitrogen treatments. Overall, these results demonstrate that biochar, particularly when combined with nitrogen fertilization, substantially improves the uptake of major macronutrients and select micronutrients in Festulolium forage, highlighting its potential to enhance soil fertility and crop nutritional quality.
3.6. Treatment Effects on Forage Root
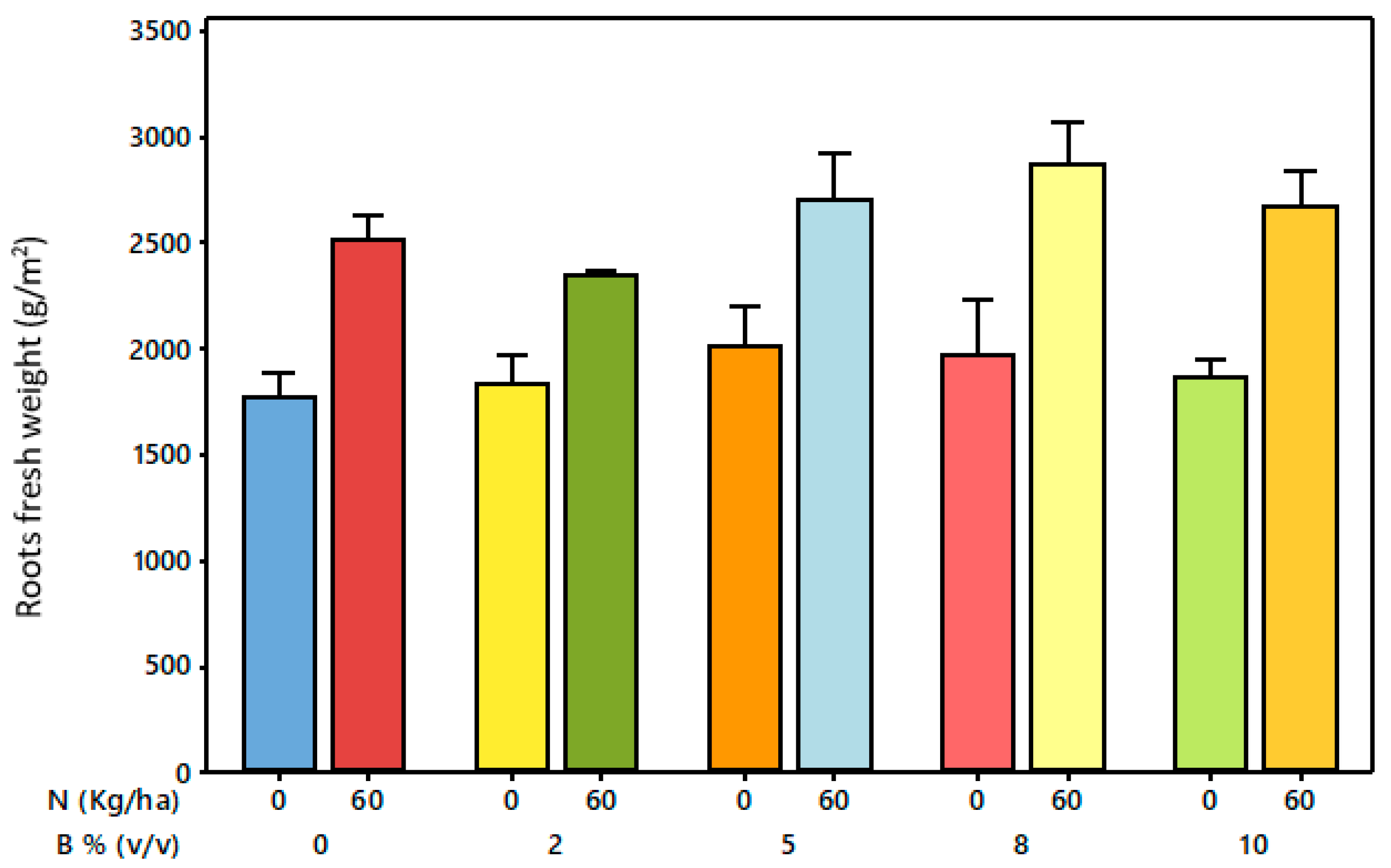
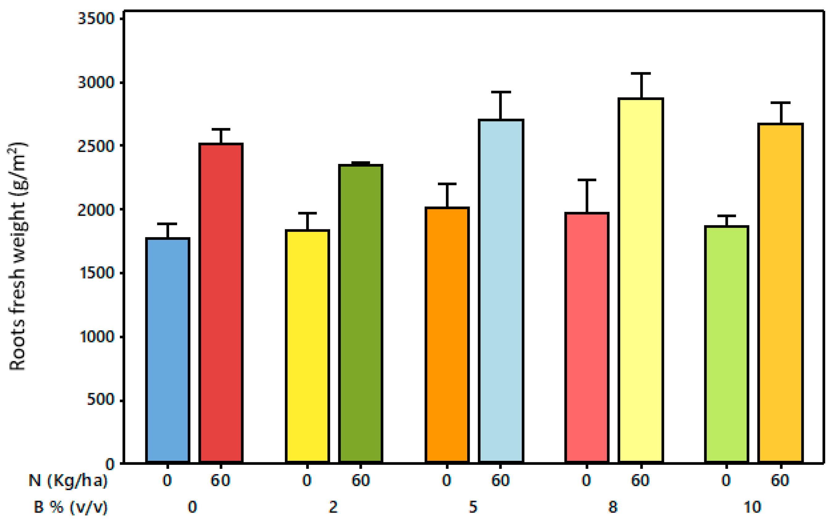
The biomass of Festulolium forage roots was positively influenced by nitrogen fertilization and biochar application. The fresh root weight increased markedly by up to 32% with nitrogen application of 60 kg N ha−1, compared to the unfertilized control of 0 kg N ha−1 (p < 0.001), as shown in Figure 3 and Table S6. In contrast, biochar alone did not significantly affect the fresh root weight, nor was there a significant interaction between the biochar and nitrogen application (p > 0.05). The dry root weight, however, responded significantly to both biochar and nitrogen treatments (p < 0.05) (Figure S4 and Table S6). Nitrogen application consistently enhanced the dry root weight across all biochar levels, with increases of approximately 17% at 0% biochar (from 265 to 310 g m−2), 24.4% at 2% biochar (225 to 280 g m−2), 36.7% at 5% biochar (245 to 335 g m−2), 47.9% at 8% biochar (240 to 355 g m−2), and 32.1% at 10% biochar (280 to 370 g m−2). Despite these significant effects, no significant interaction between biochar and nitrogen was observed for the dry root weight (p > 0.05), indicating that nitrogen promoted root growth independently of biochar levels.
Figure 3.
Effect of biochar and nitrogen applications on the fresh root weight of Festulolium forage. Each bar represents the mean (n = 3), and vertical error bars indicate the standard error of the mean (SEM).
3.7. Treatment Effects on Root Nutrient Uptake
As shown in Table 8, biochar application significantly increased the uptake of several macronutrients by Festulolium roots, including N, P, K, Ca, and Mg (p < 0.001) (Table S7). For example, N uptake increased from 13.02 kg ha−1 in the control to 16.41 kg ha−1 at the highest biochar level without nitrogen and further to 20.75 kg ha−1 when nitrogen was applied. K uptake rose from 14.80 kg ha−1 in the control to 30.78 kg ha−1 at the highest biochar level and to 31.74 kg ha−1 with nitrogen fertilization. Similar trends were observed for Ca and Mg, with Ca increasing from a 8.99 kg ha−1 control to 12.65 kg ha−1 at 10% biochar without nitrogen and reaching 16.67 kg ha−1 under 10% biochar with nitrogen. Mg followed a similar pattern, rising from 1.79 kg ha−1 (control) to 2.36 kg ha−1 at the highest biochar level without nitrogen and 3.26 kg ha−1 at the highest biochar level with nitrogen.
Table 8.
Root nutrient uptake of Festulolium forage in response to biochar, nitrogen fertilizer, and their interactions.
In contrast, biochar application significantly reduced the Na and Mn uptake (p < 0.05). Na decreased from 2.35 kg ha−1 in the control to 1.65 kg ha−1 at high biochar levels, while Mn declined from 195.6 mg kg−1 to 103.3 mg kg−1 across the same treatments. Nitrogen application at 60 kg ha−1 also had significant effects on nutrient uptake (p < 0.05), increasing the N, Ca, Cu, and Zn uptake, while decreasing Mn and Fe in some cases. For instance, Cu increased from 46.66 mg kg−1 in the control to 63.33 mg kg−1 at the highest biochar level with nitrogen, whereas Mn decreased from 195.6 mg kg−1 in the control to 62.33 mg kg−1 under the highest combined treatment. Overall, these results (Table 8) highlight that both biochar and nitrogen significantly and independently affect macro- and micronutrient uptake in Festulolium, with no consistent evidence of a strong interaction between the two factors.
4. Discussion
Biochar application significantly affected both fresh and dry matter yields of Festulolium forage. Yield increases were generally associated with higher biochar application rates, with the 5% [v/v] rate producing the highest values. These results are consistent with previous studies that have demonstrated the positive effects of biochar on crop productivity. For example, Sarfraz et al. (2017) observed that biochar combined with nitrogen fertilization significantly improved fresh and dry matter yields of maize [29]. Similarly, Koyama et al. (2016) reported that biochar application enhanced both grain and straw yields in rice [14]. In a multi-year study, Tian et al. (2018) found that biochar increased seed cotton yields over three consecutive seasons [30]. These improvements were attributed to enhanced nutrient availability, improved soil structure, better moisture retention, and increased soil water-holding capacity, all benefits commonly linked to biochar amendments. The consistent positive impact of biochar application on biomass production has been widely documented in both pot and field experiments [27,31]. In this study, biochar significantly improved yields, especially at moderate application rates, indicating its potential to enhance soil conditions and plant growth. Interestingly, although both biochar and nitrogen independently enhanced yields, their interaction was not statistically significant in this study. This contrasts with reports from some cropping systems where synergistic effects have been observed. Our findings indicate that, under the present conditions, biochar and nitrogen largely act independently, producing additive benefits rather than synergistic effects. This outcome emphasizes the context-dependent nature of biochar nutrient interactions and highlights the need for further research to determine the conditions under which biochar shifts from having an additive effect to exerting a synergistic influence.
Our findings support what many studies have already shown: biochar tends to improve soil conditions in acidic soils with a low CEC by reducing acidity [32], boosting the nutrient-holding capacity [33], and supplying key nutrients like P, K, Ca, and Mg [32]. These changes generally create a better environment for crop growth and higher yields. This matches the well-established idea that biochar works through its “liming effect,” its ability to hold on to nutrients, and its influence on soil structure and moisture [34].
At the same time, it was noticed that Festulolium did not take up more K after biochar addition, even though Oram et al. (2014) reported a strong increase in the K uptake and clover biomass [35]. This difference highlights how plant responses to biochar can vary depending on the crop species, the initial nutrient status of the soil, and how available the nutrients in biochar actually are. In this study, Festulolium may have a more conservative K uptake strategy, or the K in the biochar may not have been as available under these study conditions. Taken together, these results suggest that while biochar reliably improves the overall soil environment, the specific nutrient responses can be much more context dependent.
Leaf chlorophyll content, often estimated using SPAD values, is a widely accepted indicator of plant nitrogen status and photosynthetic capacity. In the present study, both biochar application rates and nitrogen levels led to increased SPAD values in Festulolium forage (Figure 2), indicating an enhanced nitrogen availability and uptake. These findings are consistent with those of Elli et al. (2015), who observed significant increases in SPAD values with higher nitrogen fertilization across wheat varieties [36], and by Chang and Robison (2003), who reported similar responses in hardwood species under nitrogen enrichment [24]. This consistency confirms the close relationship between nitrogen supply and chlorophyll formation. In contrast, studies such as Asai et al. (2009) and Pirtle et al. (2019) reported reductions in SPAD values following biochar application to rice, attributing the effect to nitrogen immobilization caused by biochar with a high C: N ratio. These contrasting outcomes underscore a central theme in biochar research: its effects are not universal but context-dependent, governed by feedstock origin, pyrolysis conditions, and subsequent interactions with soil microbial and chemical processes [27,36]. The positive effect observed in this study suggests that the SB550 biochar used likely enhanced nitrogen availability rather than immobilizing it. This may be explained by improved soil structure and cation exchange capacity, which facilitate nitrogen retention and accessibility, or by reduced leaching losses, as proposed in the previous theoretical frameworks of biochar soil interactions. Consequently, the increase in SPAD values not only indicates a direct nutritional benefit but also points to underlying mechanisms whereby biochar modifies soil physicochemical properties to support crop nitrogen-use efficiency and photosynthetic potential.
The observed improvement in crude protein content with increasing biochar application rates, even under zero nitrogen input, highlights biochar’s role in enhancing nitrogen availability and uptake efficiency. These findings are consistent with Muni et al. (2016), who similarly reported increased crude protein content in cultivated fly ash-amended soils despite reduced nitrogen fertilization [37]. Such results suggest that biochar may improve soil nitrogen dynamics through mechanisms such as enhanced CEC, reduced leaching, and the stimulation of microbial activity, thereby increasing the effective pool of plant available nitrogen.
Beyond protein enhancement, biochar application also improved total digestible nutrients (TDN) and digestible energy (DE), which are key determinants of forage quality. In contrast, reductions in acid detergent fiber (ADF) and neutral detergent fiber (NDF), both negatively correlated with forage digestibility, were observed with higher biochar rates [38]. These findings are consistent with Revell et al. (2012) and Husk and Major (2011), who also reported that biochar incorporation decreased ADF and NDF while increasing crude protein content. Collectively, these trends suggest that biochar may influence forage quality not only through improved nitrogen nutrition but also by modifying soil physicochemical properties and nutrient cycling, which ultimately enhance digestibility and feed value [37,38].
Overall, the results indicate that Festulolium forage quality improved through increased crude protein, TDN, and DE, along with reduced fiber fractions (ADF and NDF), particularly at higher biochar rates. These improvements are consistent with previous studies demonstrating that biochar enhances soil fertility and nutrient availability, primarily through improvements in soil structure, porosity, and the cation exchange capacity (CEC) [39]. Biochar’s capacity to enhance nitrogen retention and availability likely played a key role in boosting crude protein content and promoting overall plant growth, consistent with the well-established link between soil nitrogen dynamics and forage quality [40]. Furthermore, the study observed an increased uptake of essential macro- and micronutrients (C, N, P, K, Ca, Mg, and Cu), suggesting that the positive effects were not solely due to the intrinsic nutrient content of the SB550 biochar but also its capacity to improve root access and soil nutrient-use efficiency. These findings support the concept that biochar acts both as a nutrient source and as a soil conditioner that enhances nutrient retention and availability, consistent with prior reports on biochar-mediated improvements in plant nutrient uptake [41].
Interestingly, the decrease in fiber fractions (ADF and NDF) suggests that the forage became more digestible. This improvement may be partly due to better nitrogen nutrition and overall plant metabolic activity under biochar treatment. These findings are in line with previous studies showing that healthier, nutrient-balanced soils can enhance the biochemical composition and overall quality of forage [42].
Overall, these results show that biochar influences soil in several complementary ways. It helps retain and make nutrients more available, improves soil structure and water-holding capacity, and supports a more efficient nutrient uptake by plants. Together, these effects lead to better quality forage. Our findings align with existing models of how biochar interacts with soil and plants, providing practical evidence that biochar can be a sustainable tool for enhancing both forage productivity and nutritional value.
These findings are consistent with previous studies demonstrating biochar’s positive influence on plant nutrient uptake. For example, Yang et al. (2020) reported an increased uptake of N, P, and K in potato plants with higher biochar application rates [43], while Coumaravel et al. (2015) found that applying 10 t/ha of biochar in combination with NPK fertilizers significantly enhanced the total NPK uptake in maize [44]. Similarly, Maftu and Nursyamsi (2019) and Xiao et al. (2019) also observed a linear increase in maize NPK uptake with increasing biochar rates [44,45]. The enhancement of K, Ca, and Mg uptake in phragmites karka has also been attributed to biochar’s ability to improve soil water retention, increase cation exchange capacity (CEC), and provide a nutrient-rich substrate [29,46]. In the present study, biochar application improved the uptake of several key nutrients, including N, P, K, Ca, Mg, and Cu in Festulolium forage. Conversely, the uptake of Na and Mn decreased with increasing biochar and nitrogen application rates (Table 8 and Table S7). This decline may be due to changes in the soil ionic balance, nutrient competition, or reduced availability of Na and Mn under modified soil conditions. These results highlight that biochar does not affect all nutrients in the same way; its impact depends on the specific nutrient and the soil context. In general, biochar seems to boost nutrient availability and plant uptake by improving soil structure, holding more water, and increasing CEC. However, the way it interacts with soil chemistry, plant physiology, and nutrient dynamics can lead to different responses for different elements.
These findings align well with previous studies on biochar’s effects on soil nutrient dynamics and plant uptake. For instance, the observed reduction in maize Na uptake due to high K, Ca, and Mg content in biochar parallels the findings of Zemanová et al. (2017) [9,15]. A similar trend was observed for Mn, where biochar application decreased its uptake, likely due to the elevated soil pH reducing Mn availability [47,48]. In contrast, Festulolium uptake of Fe, Cu, and Zn was not significantly affected by biochar application, consistent with Win et al. (2019), who reported limited effects on these micronutrients despite pH-induced availability constraints. [47,48]. The lack of significant change in Cu uptake is in agreement with Novak et al. (2009), who reported no significant effect of the biochar on Cu uptake [49], whereas Lentz and Ippolito (2012) observed a decrease in the Cu uptake, potentially due to Cu immobilization through the formation of inorganic metal complexes [49,50].
Additionally, Nitrogen fertilization further influenced micronutrient dynamics, decreasing the Fe and Cu uptake while leaving Zn unaffected, highlighting the complex interactions between biochar and nitrogen in regulating nutrient availability. Overall, the patterns of macro- and micronutrient accumulation in Festulolium leaves mirrored root nutrient uptake, with macronutrients (N, P, K, Ca, and Mg) increasing and several micronutrients (Na, Fe, Cu, Mn, and Zn) decreasing. These shifts likely reflect biochar’s capacity to modify the soil nutrient availability, cation exchange, and pH-mediated uptake mechanisms.
Importantly, the increases in macronutrient concentrations contributed to the improved crude protein content, energy value, and overall forage quality, whereas reductions in micronutrients remained within safe thresholds, not compromising plant or animal health. Thus, the combined application of biochar and nitrogen appears to enhance Festulolium forage quality, primarily through improved macronutrient availability and digestibility, despite nutrient-specific variations in micronutrient uptake. These results support the concept that biochar affects soil chemical properties (e.g., pH, CEC) and nutrient dynamics, ultimately influencing plant nutrient uptake and forage quality.
The observed effects of biochar, nitrogen fertilization, and crop presence on soil pH are consistent with findings from previous studies. The increase in soil pH was observed with higher biochar application rates, likely due to the enhanced retention of base cations (e.g., Ca2+, Mg2+, and K+) in the soil matrix [51]. The application of nitrogen fertilizer also led to an increase in soil pH, which can be attributed to the production of hydroxide (OH−) and ammonium (NH4+) ions during the hydrolysis of Urea [51,52]. Interestingly, crop treatments also had a significant effect on soil pH. Soils in the no-crop treatments exhibited higher pH values compared to those with crops. This observation aligns with prior findings showing that soil pH can vary by up to two units depending on plant and soil interactions. Such variation is particularly evident near the rhizosphere, where root activity alters the chemical environment. Key processes such as the cation–anion exchange, exudation of organic acids, root respiration (e.g., CO2 release), and root-induced redox changes contribute to localized reductions in soil pH [53]. A notable mechanism in this context is the release of protons (H+) from plant roots. When roots absorb more cations than anions, they release (H+) to maintain a charge balance within plant cells, thereby acidifying the rhizosphere. This biological acidification explains why lower pH values were observed in soils with crops compared to uncultivated treatments. Overall, these results underscore the complex interplay between soil amendments, fertilization, and plant physiological processes in regulating soil pH [53].
Most soils in Newfoundland are classified as podzolic, which are typically acidic with low pH values [53,54]. Consequently, agricultural lime is frequently applied, with the required rate depending on the initial soil pH and the type of fertilizers used [20]. In this present study, soil pH increased from 6.1 to 6.9 across different levels of biochar application, nitrogen fertilization, and crop treatments (Table 4). This rise in soil pH was associated with improvements in soil fertility, which subsequently led to higher Festulolium forage yields (Table 4 and Table 5 and Figure 1) and enhanced forage quality (Table 6). Notably, this pH improvement was achieved without lime application, indicating that biochar alone can effectively raise the soil pH. These findings support previous research showing that biochar can raise the soil pH by retaining key base cations (e.g., Ca2+, Mg2+) and buffering soil acidity [39,42]. Improved crop growth and nutrient uptake further suggest that biochar enhances soil structure, nutrient availability, and microbial activity. Beyond pH enhancement, biochar adds value by increasing soil organic carbon and potentially lowering greenhouse gas emissions, highlighting its role as a sustainable alternative to conventional liming for acidic soils.
While the positive effects of biochar on crops have been widely reported, this study specifically demonstrates that spruce bark biochar (SB550) can enhance Festulolium forage growth and quality under greenhouse conditions, even with a reduced nitrogen input. Moderate biochar applications improved soil structure, nutrient availability, and forage quality, highlighting the additive and independent effects of biochar and nitrogen fertilization. Using forestry by-products as biochar supports circular economy principles by converting waste into a valuable soil amendment. Although greenhouse results provide useful initial insights, field trials are needed to evaluate long-term impacts on soil health, carbon sequestration, microbial community shifts, and economic feasibility. These findings underscore the potential of spruce bark biochar to improve soil fertility and forage productivity while contributing to sustainable agricultural practices.
5. Conclusions
This study shows that spruce bark biochar (SB550) can meaningfully improve acidic podzolic soils and boost Festulolium forage growth under greenhouse conditions. Applying biochar increased the soil pH, CEC, SOM, and the availability of key nutrients like Ca, Mg, K, P, S, Zn, and B, while reducing potentially harmful elements such as Na and Mn. The soil carbon content also rose with higher biochar rates, highlighting its potential for carbon storage. Adding nitrogen fertilization further supported forage growth, root development, leaf chlorophyll levels, nutrient uptake, and forage quality, including crude protein, total digestible nutrients (TDN), and digestible energy (DE). Biochar and nitrogen acted largely independently, producing additive benefits rather than synergistic effects under the present experimental conditions. Overall, moderate to high biochar rates (5–10% v/v), especially when applied alongside 60 kg N ha−1, enhanced soil fertility, nutrient retention, and forage productivity in acidic podzolic soils. This study highlights the novel use of spruce bark, a readily available forestry by-product, as biochar, demonstrating its potential to improve acidic soils. The approach promotes sustainable resource use by converting waste into a valuable soil amendment and offers environmental benefits, including enhanced soil quality and contributions to climate change mitigation. Using forestry residues as biochar is a cost-effective and sustainable strategy for improving soil fertility, though its large-scale economic feasibility requires further study. However, since the experiment lasted only four months, conclusions about long-term soil health cannot yet be drawn. Soil biochar interactions, particularly those related to carbon sequestration, CEC stabilization, and microbial community shifts, require long-term assessment. Therefore, future field trials are essential to validate these findings under diverse soils and climates and to refine application strategies for long-term sustainability.
Supplementary Materials
The following supporting information can be downloaded at: https://www.mdpi.com/article/10.3390/nitrogen6030083/s1, Figure S1: Scanning electron microscopy (SEM) images of the biochar used in the study, showing different mineral compounds such as Fe, K, and Ca on the biochar surface. Figure S2: Biochar and mixtures prepared at five application rates added as percentages based on the soil volume [v/v] (0, 2, 5, 8, and 10%) in the top 10 cm of the soil. Figure S3: Experimental layout, showing biochar, nitrogen, and crop levels and the treatment descriptions in a completely randomized design (CRD). Figure S4: Effect of biochar and nitrogen applications on the dry matter yield of Festulolium forage. Each bar represents the mean (n = 3), and vertical error bars indicate the standard error of the mean (SEM). Figure S5: Effect of biochar and nitrogen applications on the dry root weight of Festulolium forage. Each bar represents the mean (n = 3), and vertical error bars indicate the standard error of the mean (SEM). Two- and three-way ANOVA analyses Equations (S1) and (S2). Table S1: Analysis of variance (ANOVA) of estimated final soil pH, % N, % C, % SOM, and CEC in response to the main effects of biochar, nitrogen fertilizer, crop, and interactions. Table S2: Analysis of variance (ANOVA) of estimated soil available nutrients in response to the main effects of biochar, nitrogen fertilizer, crop, and interactions among them. Table S3: Analysis of variance (ANOVA) of estimated fresh yield, dry matter yield, and SPAD value in response to the main effects of biochar, nitrogen fertilizer, and interactions. Table S4: Analysis of variance (ANOVA) of estimated forage quality in response to the main effects of biochar, nitrogen fertilizer, and interactions. Table S5: Analysis of variance (ANOVA) of estimated Festulolium forage nutrients uptake in response to the main effects of biochar, and their interactions. Table S6: Analysis of variance (ANOVA) of the estimated wet and dry weight of Festulolium forage roots in response to the main effects of biochar, nitrogen fertilizer, and interactions. Table S7: Analysis of variance (ANOVA) of estimated Festulolium forage roots nutrients uptake in response to the main effects of biochar, nitrogen fertilizer, and their interactions.
Author Contributions
R.O.E., D.B.M. and J.W. contributed to the conceptualization of the study. The methodology was developed by R.O.E., L.J. and J.W. Formal analysis was conducted by R.O.E., L.J., D.B.M. and J.W., while the investigation was carried out by R.O.E. Resources were provided by D.B.M. and J.W. Data curation was handled by R.O.E. The original draft was prepared by R.O.E., with review and editing contributions from R.O.E., L.J., D.B.M. and J.W. Visualization was performed by R.O.E., L.J., D.B.M. and J.W. Supervision was provided by D.B.M. and J.W., with project administration led by J.W. All authors have read and agreed to the published version of the manuscript.
Funding
This research was funded by the Canadian Agricultural Partnership, Newfoundland and Labrador Foundation (Project ID: CAP1819-0006)—Graduate Research Project: Influence of biochar soil amendments on stabilizing soil fertility, under the Agriculture Growth and Innovation Program of the Canadian Agricultural Partnership. Additional financial support was provided by the Ministry of Higher Education and Scientific Research, Libya, through the Canadian Bureau for International Education (CBIE). J.W. was supported by the Natural Sciences and Engineering Research Council of Canada (NSERC) Discovery Grant (RGPIN-2023-05921).
Data Availability Statement
The original contributions presented in this study are included in the article. Further inquiries can be directed to the corresponding author.
Acknowledgments
This study was conducted at Agriculture and Agri-Food Canada, St. John’s, Research and Development Centre, St. John’s, NL, Canada. The authors thank. Suzanne E. Allaire and Kelly Hawboldt for their support and for providing the biochar used for the study.
Conflicts of Interest
The authors listed in this article have no conflicts of interest to declare. All co-authors have reviewed and agreed with the contents of the manuscript, and there is no financial interest to disclose. We certify that the submission is original work and is not under review by any other publication.
Correction Statement
This article has been republished with a minor correction to the Data Availability Statement. This change does not affect the scientific content of the article.
References
- Gunarathne, V.; Mayakaduwa, S.; Vithanage, M. Biochar’s influence as a soil amendment for essential plant nutrient uptake. In Essential Plant Nutrients; Rakshit, A., Singh, H.B., Sen, A., Eds.; Springer: Cham, Switzerland, 2017; pp. 47–67. [Google Scholar]
- Kookana, R.S.; Sarmah, A.K.; Van Zwieten, L.; Krull, E. Biochar application to soil: Agronomic and environmental benefits and unintended consequences. In Advances in Agronomy; Sparks, D.L., Ed.; Elsevier: Amsterdam, The Netherlands, 2011; Volume 112, pp. 103–143. [Google Scholar]
- Lehmann, J.; Gaunt, J.; Rondon, M. Bio-char sequestration in terrestrial ecosystems: A review. Mitig. Adapt. Strateg. Glob. Change 2006, 11, 403–427. [Google Scholar] [CrossRef]
- Yu, H.; Lu, K.; Harris, J.; Wang, X.; Hu, Z.; Cornelissen, G. Biochar amendment improves crop production in problem soils: A review. J. Environ. Manag. 2019, 232, 8–21. [Google Scholar] [CrossRef] [PubMed]
- Mao, J.D.; Johnson, R.L.; Lehmann, J.; Olk, D.C.; Neves, E.G.; Thompson, M.L. Abundant and stable char residues in soils: Implications for soil fertility and carbon sequestration. Environ. Sci. Technol. 2013, 46, 9571–9576. [Google Scholar] [CrossRef]
- Wan, Q.; Yuan, J.H.; Xu, R.K.; Li, X.H. Pyrolysis temperature influences ameliorating effects of biochars on acidic soil. Environ. Sci. Pollut. Res. 2014, 21, 2486–2495. [Google Scholar] [CrossRef]
- Abedin, J. Enhancing soils of Labrador through application of biochar, fishmeal, and chemical fertilizer. Soil Fertil. Crop Nutr. 2018, 110, 2576–2586. [Google Scholar] [CrossRef]
- Gaskin, J.W.; Steiner, C.; Harris, K.; Das, K.C.; Bibens, B.; Boateng, A. Effect of peanut hull and pine chip biochar on soil nutrients, corn nutrient status, and yield. Agron. J. 2010, 102, 623–633. [Google Scholar] [CrossRef]
- Kim, H.; Kim, S.; Lee, H.; Yang, J.E.; Ok, Y.S.; Skousen, J.; Kim, K.R. Effect of biochar on reclaimed tidal land soil properties and maize (Zea mays L.) response. Chemosphere 2016, 142, 153–159. [Google Scholar] [CrossRef]
- Solaiman, Z.M.; Blackwell, P.; Abbott, L.K.; Storer, P. Direct and residual effect of biochar application on mycorrhizal root colonisation, growth and nutrition of wheat. Aust. J. Soil Res. 2010, 48, 546–554. [Google Scholar] [CrossRef]
- Atkinson, C.J.; Fitzgerald, J.D.; Hipps, N.A. Potential mechanisms for achieving agricultural benefits from biochar application to temperate soils: A review. Plant Soil 2010, 337, 1–18. [Google Scholar] [CrossRef]
- Lu, K.; Yang, X.; Gielen, G.; Bolan, N.; Ok, Y.S.; Smolders, E.; Wang, H. Effect of bamboo and rice straw biochars on the mobility and redistribution of heavy metals (Cd, Cu, Pb and Zn) in contaminated soil. J. Environ. Manag. 2017, 186, 285–292. [Google Scholar] [CrossRef] [PubMed]
- Park, J.H.; Choppala, G.K.; Bolan, N.S.; Chung, J.W.; Chuasavathi, T. Biochar reduces the bioavailability and phytotoxicity of heavy metals. Plant Soil 2011, 348, 439–451. [Google Scholar] [CrossRef]
- Koyama, S.; Katagiri, T.; Minamikawa, K.; Kato, M.; Hayashi, H. Effects of rice husk charcoal application on rice yield, methane emission, and soil carbon sequestration in andosol paddy soil. Jpn. Agric. Res. Q. 2016, 50, 319–327. [Google Scholar] [CrossRef]
- Zemanová, V.; Břendová, K.; Pavlíková, D.; Kubátová, P.; Tlustoš, P. Effect of biochar application on the content of nutrients (Ca, Fe, K, Mg, Na, P) and amino acids in subsequently growing spinach and mustard. Plant Soil Environ. 2017, 63, 322–327. [Google Scholar] [CrossRef]
- Eissa, R.; Jeyakumar, L.; McKenzie, D.B.; Wu, J. Influence of biochar feedstocks on nitrate adsorption capacity. Earth 2024, 5, 1080–1096. [Google Scholar] [CrossRef]
- Lange, S.F.; Allaire, S.E. Substrates Containing Biochar for White Spruce (Picea glauca sp.) Production in Nursery: Plant Growth, Economics, and Carbon Sequestration; Technical Report CRMR-2018-SA-2-EN; Centre de Recherche sur les Matériaux Renouvelables, Université Laval and GECA Environnement: Québec, QC, Canada, 2018. [Google Scholar]
- Horwitz, W.; Latimer, G.W. Official Methods of Analysis of AOAC International, 18th ed.; AOAC International: Rockville, MD, USA, 2005. [Google Scholar]
- Boller, B.; Posselt, U.K.; Veronesi, F. Fodder Crops and Amenity Grasses; Springer: New York, NY, USA, 2010. [Google Scholar]
- Heringa, P.K. Soils of the Avalon Peninsula, Newfoundland; Report No. 3; Research Branch, Agriculture Canada: St. John’s, NL, Canada, 1981. [Google Scholar]
- Adams, F.; Evans, C.E. A Rapid Method for Measuring Lime Requirement of Red-Yellow Podzolic Soils. Soil Sci. Soc. Am. J. 1962, 26, 355–357. [Google Scholar] [CrossRef]
- Carter, M.R.; Gregorich, E.G. Soil Sampling and Methods of Analysis, 2nd ed.; Taylor & Francis Group, LLC: Boca Raton, FL, USA, 2008. [Google Scholar]
- Ball, D.F. Loss-on-ignition as an estimate of organic matter and organic carbon in non-calcareous soils. J. Soil Sci. 1964, 15, 84–92. [Google Scholar] [CrossRef]
- Chang, S.X.; Robison, D.J. Nondestructive and rapid estimation of hardwood foliar nitrogen status using the SPAD-502 chlorophyll meter. For. Ecol. Manag. 2003, 181, 331–338. [Google Scholar] [CrossRef]
- Minitab. Getting Started with Minitab 19 for Windows; Minitab, LLC.: State College, PA, USA, 2019. [Google Scholar]
- Dunn, P.K.; Smyth, G.K. Generalized Linear Models with Examples in R; Springer Nature: New York, NY, USA, 2018. [Google Scholar]
- Pirtle, T.; Rumble, L.; Klug, M.; Walker, F.; Cui, S.; Phillips, N. Impact of Biochar and Different Nitrogen Sources on Forage Radish Production in Middle Tennessee. J. Adv. Agric. 2019, 10, 1594–1610. [Google Scholar] [CrossRef]
- Singh, B.; Singh, Y.; Ladha, J.K.; Bronson, K.F.; Balasubramanian, V.; Singh, J.; Khind, C.S. Chlorophyll meter- and leaf color chart-based nitrogen management for rice and wheat in Northwestern India. Agron. J. 2002, 94, 821–829. [Google Scholar] [CrossRef]
- Sarfraz, R.; Shakoor, A.; Abdullah, M.; Arooj, A.; Xing, S. Impact of integrated application of biochar and nitrogen fertilizers on maize growth and nitrogen recovery in alkaline calcareous soil. Soil Sci. Plant Nutr. 2017, 63, 488–498. [Google Scholar] [CrossRef]
- Tian, X.; Zhang, C.; Yang, L.; Huang, Y.; Zhou, L.; Wang, Y.; Pan, G. Biochar derived from corn straw affected availability and distribution of soil nutrients and cotton yield. PLoS ONE 2018, 13, e0190056. [Google Scholar] [CrossRef]
- Jeffery, S.; Verheijen, F.G.A.; Van Der Velde, M.; Bastos, A.C. A quantitative review of the effects of biochar application to soils on crop productivity using meta-analysis. Agric. Ecosyst. Environ. 2011, 144, 175–187. [Google Scholar] [CrossRef]
- Liu, Q.; Liu, B.; Zhang, Y.; Hu, T.; Lin, Z.; Liu, G.; Wang, X.; Ma, J.; Wang, H.; Jin, H.; et al. Biochar application as a tool to decrease soil nitrogen losses (NH3 volatilization, N2O emissions, and N leaching) from croplands: Options and mitigation strength in a global perspective. Glob. Change Biol. 2019, 655, 2077–2093. [Google Scholar] [CrossRef]
- Medyńska-Juraszek, A. Biochar as a soil amendment. Soil Sci. Annu. 2016, 67, 151–157. [Google Scholar] [CrossRef]
- Radulov, I.; Berbecea, A. Nutrient management for sustainable soil fertility. In Nutrient Management for Sustainable Soil Fertility; IntechOpen: London, UK, 2024. [Google Scholar]
- Oram, N.J.; van de Voorde, T.F.J.; Ouwehand, G.-J.; Bezemer, T.M.; Mommer, L.; Jeffery, S.; Van Groenigen, J.W. Soil amendment with biochar increases the competitive ability of legumes via increased potassium availability. Agric. Ecosyst. Environ. 2014, 191, 92–98. [Google Scholar] [CrossRef]
- Elli, E.F.; Silva, D.D.; Silva, J.A.; Carvalho, F.S.; Santos, R.M.; Oliveira, P.T.; Lima, G.F.; Souza, M.A.; Ferreira, L.C.; Costa, H.R. Effects of growth reducer and nitrogen fertilization on morphological variables, SPAD index, interception of radiation and productivity of wheat. Afr. J. Agric. Res. 2015, 10, 577–582. [Google Scholar] [CrossRef]
- Muni, S.; Rout, K.K.; Parida, R.C. Effect of amendment of soil with fly ash in combination with other nutrients on change in grain yield, crude protein, NPN and true protein contents of rice. Ann. Agric. Res. 2016, 50, 378–381. [Google Scholar] [CrossRef]
- Revell, K.T.; Maguire, R.O.; Agblevor, F.A.; Sites, F. Field trials with poultry litter biochar and its effect on forages, green peppers, and soil properties. Commun. Soil Sci. Plant Anal. 2012, 43, 573–579. [Google Scholar] [CrossRef]
- Lehmann, J.; Joseph, S. (Eds.) Biochar for Environmental Management: Science, Technology and Implementation, 2nd ed.; Routledge: London, UK, 2015. [Google Scholar]
- Glaser, B.; Lehmann, J.; Zech, W. Ameliorating physical and chemical properties of highly weathered soils in the tropics with charcoal: A review. Biol. Fertil. Soils 2002, 35, 219–230. [Google Scholar] [CrossRef]
- Rees, F.; Sterckeman, T.; Morel, J.L. Root development of non-accumulating and hyperaccumulating plants in metal-contaminated soils amended with biochar. Plant Soil 2016, 142, 48–55. [Google Scholar] [CrossRef]
- Agegnehu, G.; Srivastava, A.K.; Bird, M.I. The role of biochar and biochar-compost in improving soil quality and crop performance: A review. Appl. Soil Ecol. 2017, 119, 156–170. [Google Scholar] [CrossRef]
- Yang, Q.; Ravnskov, S.; Andersen, M.N. Nutrient uptake and growth of potato: Arbuscular mycorrhiza symbiosis interacts with quality and quantity of amended biochars. Plant Nutr. Soil Sci. 2020, 183, 220–232. [Google Scholar] [CrossRef]
- Coumaravel, K.; Santhi, R.; Maragatham, S. Effect of biochar on yield and nutrient uptake by hybrid maize and on soil fertility. Int. J. Agric. Sci. 2015, 49, 185–188. [Google Scholar] [CrossRef]
- Maftu, E.; Nursyamsi, D. Effect of biochar on peat soil fertility and NPK uptake by corn. J. Zhejiang Univ. B 2019, 41, 64–73. [Google Scholar] [CrossRef]
- Xiao, Q.; Zhu, L.X.; Zhang, H.P.; Li, X.Y.; Shen, Y.F.; Li, S.Q. Soil amendment with biochar increases maize yields in a semi-arid region by improving soil quality and root growth. Crop Pasture Sci. 2016, 67, 495–507. [Google Scholar] [CrossRef]
- Kloss, S.; Zehetner, F.; Wimmer, B.; Buecker, J.; Rempt, F.; Soja, G. Biochar application to temperate soils: Effects on soil fertility and crop growth under greenhouse conditions. J. Plant Nutr. Soil Sci. 2014, 177, 3–15. [Google Scholar] [CrossRef]
- Win, K.T.; Okazaki, K.; Ookawa, T.; Yokoyama, T.; Id, Y.O. Influence of rice-husk biochar and Bacillus pumilus strain TUAT-1 on yield, biomass production, and nutrient uptake in two forage rice genotypes. PLoS ONE 2019, 14, e0222090. [Google Scholar] [CrossRef]
- Novak, J.M.; Busscher, W.J.; Laird, D.L.; Ahmedna, M.; Watts, D.W.; Niandou, M.A.S. Impact of biochar amendment on fertility of a southeastern coastal plain soil. Soil Sci. 2009, 174, 105–112. [Google Scholar] [CrossRef]
- Lentz, R.D.; Ippolito, J.A. Biochar and manure affect calcareous soil and corn silage nutrient concentrations and uptake. J. Environ. Qual. 2012, 41, 1033–1043. [Google Scholar] [CrossRef]
- Yang, D.; Liu, Y.; Liu, S.; Xixian, H.; Zhongwu, L.; Xiaofei, T. Potential benefits of biochar in agricultural soils: A review. Pedosphere 2017, 27, 645–661. [Google Scholar] [CrossRef]
- Wang, J.; Tu, X.; Zhang, H.; Cui, J.; Ni, K.; Chen, J.; Yi, C.; Zhang, J.; Chang, S.X. Effects of ammonium-based nitrogen addition on soil nitrification and nitrogen gas emissions depend on fertilizer-induced changes in pH in a tea plantation soil. Sci. Total Environ. 2020, 747, 141340. [Google Scholar] [CrossRef] [PubMed]
- Custos, J.M.; Moyne, C.; Sterckeman, T. How root nutrient uptake affects rhizosphere pH: A modelling study. Geoderma 2020, 369, 114314. [Google Scholar] [CrossRef]
- Kedir, A.J.; Zhang, M.; Unc, A. Understanding soil fertility status in Newfoundland from standard farm soil tests. Can. J. Soil Sci. 2021, 101, 517–531. [Google Scholar] [CrossRef]
Disclaimer/Publisher’s Note: The statements, opinions and data contained in all publications are solely those of the individual author(s) and contributor(s) and not of MDPI and/or the editor(s). MDPI and/or the editor(s) disclaim responsibility for any injury to people or property resulting from any ideas, methods, instructions or products referred to in the content. |
© 2025 His Majesty the King in Right of Canada, as represented by the Minister of Agriculture and Agri-Food. Licensee MDPI, Basel, Switzerland. This article is an open access article distributed under the terms and conditions of the Creative Commons Attribution (CC BY) license (https://creativecommons.org/licenses/by/4.0/).


