Abstract
Protein hydrolysates (PH) and humic substances (HS) are biostimulants that promote crop growth. Despite the widening of knowledge and insights provided by research activities over the past thirty years, there are still uncertainties concerning the possible direct absorption by plants of organic nitrogen as amino acids (AA) delivered as PH and the role of HS. This study aimed to assess the impact of PH treatment on the amino acid profile of maize seedlings and the influence of HS on amino acid uptake. Maize seedlings were treated with either PH from the yeast of the sugarcane fermentation process or a synthetic mixture of amino acids mimicking the PH composition using dual-labeled amino acids (13C, 15N glutamic acid) combined with commercially available humic substances. The amino acid profile was analyzed using HPLC, and plant tissues were examined for 15N using nuclear magnetic resonance (NMR) and mass spectrometry. The application of PH stimulated maize growth, with a more significant effect observed in the presence of humic substances. The treatments significantly altered the plants’ total amino acid content and composition profile. Maize seedlings actively uptake amino acids, representing 21% of the total nitrogen composition. The ascertained improvement of amino acid uptake stimulated by humic substances is associated with their effect on the differential expression of amino permease transporters and plasma membrane H+-ATPase. PH and amino acids enhance maize growth by significantly increasing amino acid uptake. The addition of humic substances further improved the biostimulant effects.
1. Introduction
Nitrogen is an acknowledged limiting factor for crop growth in tropical regions. Increasing crop yield requires large quantities of nitrogen input, linked with potential unplayable losses and can burden the production cycle with environmental energy and economic costs. Plant biostimulants are considered environmentally friendly agronomic tools with the potential to reduce the dependency on chemical fertilizers [1] using locally accessible organic ingredients including amino acids (AA), protein hydrolysates (PH), and humic substances (HS) [2].
Plant biostimulants are a sustainable agricultural practice that maintains crop yield under reduced fertilizer conditions [3]. However, it is unclear how AA and PH promote these effects, as plants prefer an inorganic source for nitrogen uptake and synthesis of the various N- based metabolites, such as proteins, peptides, pigments, nucleotides, enzyme co-factors, hormones, structural components, and defensive agents [4]. Exogenous AA can support various plant functions, acting as stress-reducing agents, nitrogen sources, hormone precursors, and signaling factors for different physiological pathways [5]. The effects of PH include primary carbon and N metabolism, photosynthesis, nutrient uptake, and developmental processes. This eliciting role involves the differential transcription of genes related to secondary metabolism, detoxification from reactive oxygen species and xenobiotics, and defense response against abiotic and biotic stress [6]. Some studies have shown direct amino acid uptake by adapted plants in particular environments [7,8] and in agricultural plants under controlled conditions [9].
The meta-analysis of Liu et al. [10] with field trial data suggests that AA and PH applied directly to leaves at low soil N concentrations may be actively taken up in shoot tissues. Additionally, while the effects of N-uptake and assimilatory metabolism by HS have been well described [11,12,13,14], there is a surprising scarcity of research on the combined use of PH and HS on plants.
This study hypothesizes that HS facilitates the absorption of free amino acids added directly to plants. We observed changes in the AA profile of maize seedlings treated with AA and PH in combination with humic substances isolated from large-scale compost. A dual-labelled 15N,13C glutamic acid was utilized to track absorption, while bidimensional NMR was employed to observe changes in N-assimilation.
2. Materials and Methods
2.1. Plant Biostimulants (PB)
Ferrari Agroindústria Ltda (Pirassununga, São Paulo, Brazil) manufactured the plant biostimulant used in the current study. The protein hydrolysate (PH) was produced through a fully controlled enzymatic hydrolysis using yeast residue generated with the fermentation of sugar cane. The humic substances (HS) were commercially available (), produced from industrial composted plants, isolated with KOH and characterized herein.
2.2. Characterization of the Protein Hydrolysate (PH)
Moisture was determined by weight loss at 105 °C; ash by residue on ignition at 600 °C; pH in water (3/50, w/v); electrical conductivity (EC) in water (1/10, w/v); and total organic carbon and total dissolved nitrogen (TOC, TDN) by dry oxidation using Total C analyzer from Shimadzu (Tokyo, Japan). Free amino acids (FAA) were extracted using 0.1 M HCl for 1 h and determined by RP-HPLC after derivatization with FMOC [15], and the composition is shown in Figure 1.
Figure 1.
Amino acids composition (%, w:w) in the protein hydrolysates (PH) used in this study as plant biostimulant. Aspartic acid (Asp), glutamic acid (Glu), serine (Ser), glycine (Gly), histidine (Hyp), taurine (Tau), threonine (Thr), alanine (Ala), proline (Pro), tyrosine (Tyr), valine (Val), methionine (Met), cystine (Cys), isoleucine (Ile), leucine (Leu), phenylalanine (Phe), lysine (Lys), hydroxyproline (Hyp), and tryptophane (Trp). Three injections of 10 μL were performed, and the peak areas were integrated and compared with commercial standards (n = 3, CV: 2.75%).
2.3. Characterization of the Humic Substances (HS)
HS (Ecohumic®, Pirassununga, Brazil) was obtained from a commercial compost plant from Usina Ferrari SA. The total organic carbon was determined by dry combustion using a Total Organic Carbon analyzer from Shimadzu (Tokyo, Japan). Diffuse reflectance infrared Fourier transform spectroscopy (DRIFT) spectra of samples were recorded with a Prestige 21 spectrometer (Shimadzu, Tokyo, Japan), equipped with a diffuse reflectance accessory, accumulating up to 100 scans with a resolution of 2 cm−1. Before DRIFT analysis, dry samples were obtained by freeze drying, finely ground, and diluted with a KBr powder (1/100, w/w) and an agate mortar.
2.4. Plant Assay
Maize (Zea mays cv. UENF 506-11) seeds were surface-sterilized with 70% ethanol for 30 s, rinsed five times in deionized water, soaked in aerated deionized water for six hours, and then allowed to germinate on a double layer of moistened paper at 25 °C in the dark. The results of preliminary experiments showed that the best dilution in water of protein hydrolysate was 1:1000 (v:v). Germinated seeds, with approximately 1.5 cm of radicle length, after 4 days of growth, were transferred into individual pot with 500 mL of dilute nutrient solution (25%) with following composition: (μmol L−1: 100 NO3 + NH4; 45 P; 2.310 K; 527 Ca; 855 Mg; 587 S; 25 B; 77 Fe; 9.1 Mn; 0.63 Cu; 0.83 Mo; 2.29 Zn; 1.74 Na; and 75 EDTA). A complementary test was carried out with a mixture of amino acids (AAM) with a similar composition found in the PH (Figure 1) blended with a 13C and 15N dual-labeled glutamic acid (1, 2-13C- 15N-glutamic acid (96–99% of 15N and 98% 13C, Sigma-Aldrich, Brazil) as the isotopic tracer. A completely randomized experimental design was used with five treatments and six replications (n = 6). The treatments included (i) control, (ii) PH, (iii) AAM, (iv) PH+HS, and (v) AAM+HS. After 48 h, the maize seedlings were collected. Any materials adhering to the root were removed by gentle agitation in 0.01 M NaOH for 1 min, then thoroughly washed under tap water to remove tracers adsorbed on the surfaces. All roots and shoots were homogenized with a mortar and pestle in the presence of liquid N2, and the samples were stored at −70 °C.
2.5. Total Free Amino Acids
Ninhydrin assay [16] measured total free amino acids using absorbance at 570 nm. Amino acids were extracted using 200 mg of frozen leaf/root tissue. The sample was powdered in a mortar and pestle with liquid nitrogen, adding 1 mL of 80% of methanol and homogenizing by grinding. The homogenate was transferred to a 2 mL microcentrifuge tube. The mortar was rinsed with 1 mL of 80% methanol, transferred to a 2ml tube, and incubated on ice for 20 min. The homogenate was centrifuged for 15 min at 10,000× g at 4 °C. The supernatant was transferred to a fresh tube and stored at −80 °C until quantification with ninhydrin assay.
2.6. Amino Acid Profile Using Ultra-High Performance Liquid Chromatography and Fluorescence Detection of O-Phthaldialdehyde Derivatives (OPA-UPLC)
Samples of maize leaves and roots were subjected to acid hydrolysis to extract free amino acids. First, 50 mg of sample and 5 mL of 0.1 M HCl were added. The material was stirred and remained in a water bath for 3 h at 50 °C. Then, the extracts were centrifuged at 10,000 g, and the supernatants were collected, filtered, and evaporated in the sample concentrator. The extracts were washed three times with Milliq-type ultrapure water to remove HCl. The product was resuspended in 0.5 mL of ultrapure water [17]. The extracts were pre-derivatized off-line using the OPA reagent (o-phthaldialdehyde). The derivatization solution was prepared by mixing 100 mg of OPA reagent (Sigma-Aldrich, Rio de Janeiro, Brazil,) with 9 mL of methanol, 1 mL of borate buffer, and 100 µL of mercaptoethanol. A 100 µL aliquot of the derivatization solution was mixed with 50 µL of the extract and immediately injected into the Shimadzu Prominence-xR UFLC (UPLC) UHPLC chromatography. The column used for separation was Luna Omega (phenomenex, Torrance, CA, USA,) 1.6 µm PS C18 100 Å (100 × 2.1 mm). The mobile phase used was 50 mM sodium acetate (A) and methanol–water 60:40 (v:v) (B) according to the gradient described in Table 1.
Table 1.
Mobile phase gradient used for chromatographic separation.
The injected volume was 5 µL, the running time was 60 min, and the flow rate was 0.1 mL/min. The detectors were fluorescence (emission: 445 nm and excitation: 330 nm) and ultraviolet (UV) at 230 nm. A synthetic mixture of standards purchased from (Sigma-Aldrich, Rio de Janeiro, Brazil), was also injected, and the standard amino acids profile is shown in Figure 2.
Figure 2.
Standard amino acids (Sigma-Aldrich, Brazil) chromatogram. Amino acids were dissolved in a 0.1 M HCl solution at a concentration of 2.5 μmol of 0.1 M HCl, except for cysteine, which was examined at a concentration of 1.25 μmol. The mixture is composed of 17 amino acids: aspartic acid (1), arginine (2), cysteine (3), glutamic acid (4), glycine (5), lysine (6), serine (7), isoleucine (8), tyrosine (9), methionine (10), valine (11), leucine (12), threonine (13), alanine (14), proline (15), asparagine (16), and phenylalanine (17).
2.7. Isotopic Measurement
C, N, 13C, and 15N amounts were determined by isotope-ration mass spectrometry Thermo Finnigan (Thermo Scientific, Swedesboro, NJ, USA). Atom% values and N concentrations were used to calculate moles of 15N in excess of the atomic standard described in Ge et al. ([18], 2007). Atom% excess 15N was calculated as the difference between 15N in the microcosm injected with 13C-15N-labeled glutamic acid samples and 15N in the corresponding samples from the control. A completely randomized experimental design was used with three replications (n = 3) for treatment. The shoot and root tissues were dried until constant weight in a forced-air oven at 60 °C.
2.8. Two-Dimensional NMR HMQC, Heteronuclear Multiple-Quantum Coherence
Two-dimensional 1H/15N NMR was performed according to Boelens et al. [19] with little modifications. Root and leaf extracts were dissolved with deuterated methanol to achieve a final concentration of 150 mg/mL. NMR spectra were acquired at a temperature of 25 ± 1 °C through a 600 MHz (14.1T) magnet. 1H-15N 2D NMR HSQC spectra were obtained through a Hsqctetf3gpsi pulse sequence by setting 54 scans, acquiring 1024 points in 200 experiments and setting 90 Hz as JNH short-range proton–nitrogen coupling.
2.9. The Differential Transcription Level of Amino Acids Permeases and H+-ATPase with RTq-PCR
A sample of 100 mg of fresh root tissues was homogenized with a mortar and pestle in liquid N2. The homogenate was transferred to new RNAse-free microcentrifuge tubes (1.5 mL), and the RNA was extracted using the mini-plant RNeasy Qiagen® kit (Germantown, PA, USA) according to the provider’s instructions. Primers for two amino permeases (ZmAPP4, ZmAPP54), H+-ATPases (ZmMha) and tubulin (ZmTUB α and ZmTUB β), were designed with the Primer3 program and their characteristics were evaluated in Oligothech program and synthesized by IDT technology. About the real-time PCR (RT-qPCR): Two independent tests were performed in the thermal cycler StepOne™ System, with mRNA extracted from the independent experiments, for statistical validation. A completely randomized experimental design was used with three biological replications (n = 3) for treatment. The data presented are the mean followed by the standard deviation (bars). The comparison of each transcription level was humic substances treatment against control (untreated) by pair-wise F-test.
2.10. Data Analysis
The obtained data were statistically analyzed using one-way ANOVA at a significance level of p < 0.05. Significant means treatments were subject to the LSD test, except for PH and AAM plant dose optimal response, where we performed regression curves test with a quadratic model adjustment (R2 = 0.678, p < 0.001), and the best concentration (dx/dy) was calculated. We used the F-test (significant at p < 0.001) for pair-wise gene expression to define statistical significance between treatments.
3. Results
3.1. Root and Shoot Growth
Based on preliminary tests, the best effective rate of 100 mg C L−1 was chosen for applying HS on seedling growth. A dose–response curve experiment was performed to evaluate the impact of the PH solution on plants (Figure 3). The quadratic model used to adjust both shoot and root data issued the following equations: for shoot y = −0.033x2 + 2.098x + 0.3118, with an adjusted R2 value of 0.52 (p < on 0.05); for root y = 0.014x2 − 0.015x + 0.2086 ( R2 of 0.51, p < 0.05). The screening of analytical outputs indicated a maximum close to the 1:1000 (v:v) dilution as a reference for the bioactive assays. The influence on plant growth of applying protein hydrolysates and the synthetic mixture of amino acids alone or combined with HS concerning control treatment are shown in Figure 4 and Figure 5 for PH and amino acids, respectively.
Figure 3.
Maize seedlings root (○) and shoot (●) fresh weight resulting from the treatment with different concentrations of protein hydrolysate (PH) in the growth medium (CaCl2 2 mM pH 5.6). The dilutions of PH concentration in CaCl2 2mM (v:v) were 1:10, 1:100, 1:1000, 1:10,000, and 1:100,000. The values represent the mean (n = 6) and standard deviation (bars). Fresh weight data were centered versus the control (0 mM C L−1) and expressed as a difference (%) concerning the control. The equation can be adjusted to a quadratic model (R adjusted = 0.678, p < 0.001), and the best concentration (dx/dy) is calculated.
Figure 4.
Maize seedlings root and shoot fresh weight (g plant−1) treated or not (control) with protein hydrolysate (PH) and humic substances (HS) at optimal concentrations (100 mg C L−1). The data represent the mean (n = 6) followed by standard deviation. Treatments with different letters indicate statistical differences between mean values, according to one-way ANOVA followed by LSD test (p = 0.05). ns = no significance. For shoot and roots analysis, CV values are 6.9 and 8.3%, respectively. Treatments with different letters indicate statistical differences between mean values, according to one-way ANOVA followed by LSD
Figure 5.
Shoot and root fresh weigh for maize seedlings treated with amino acids mixture (AAM) and AAM in the presence of humic substances (AMM+HS) (100 mg C L−1). Fresh weight data were centered versus the control (CaCl2 2 mM C L−1) and expressed as a difference (±%) concerning the control. Treatments with different letters indicate statistical differences between mean values, according to one-way ANOVA followed by LSD test (p = 0.05). ns = no significance. For shoot and roots analysis, CV values are 6.5 and 6.0%, respectively.
3.2. Free Amino Acid Content
PH did not increase the leaves’ and roots’ total free amino acid content (Figure 6). However, when combined with HS, there was a significant increase in the content of free amino acids in both leaves and roots. On the other hand, using the synthetic amino acid mixture directly in the growth medium increased the content of free amino acids in leaves and roots. In the presence of HS, the content of free amino acids decreased, unveiling an antagonistic effect.
Figure 6.
The concentration of total free amino acids (mg g−1 fresh weight) in leaves (A) and roots (B) of maize seedlings treated with protein hydrolysates (PH) and with a mixture of commercial amino acids (AAM) in the presence or absence of humic substances (HS 8 mM C L−1). The ninhydrin method determined the free amino acid concentration using L-alanine as a standard. Data represent the mean (n = 6) and standard deviation (bars). Treatments with different letters indicate statistical differences between mean values, according to one-way ANOVA followed by LSD test (p = 0.05). CV of 16 and 11% for shoot and root analysis, respectively.
3.3. Amino Acids Profile
The amino acid profile of maize seedling leaves treated with PH in the presence or absence of HS was significantly altered compared to control plants. Figure 7 displays a representative chromatogram of each treatment. Overall, there was a noticeable change in N metabolism, with a significant increase in amino acids eluted in the first 20 min (retention time, RT). The modification led to a loss of chromatogram resolution, possibly due to overlapping absorption of different amino acids caused by the increased concentration in the column. Aspartic acid, arginine, cysteine, glutamic acid, glycine, and lysine were found in the chromatogram of standards between 10 and 20 min retention time. The addition of PH to the solution resulted in a widened shoulder in the chromatogram of the leaves, indicating an increase in concentration. This broadening was shorter in samples treated with PH+HS.
Figure 7.
Representative chromatographic profile of amino acids extracts from leaves of maize seedlings treated with protein hydrolysates (PH) and amino acids mixture (AAM) in the presence of humic substances (HS). The extracts were obtained from six plants (n = 6) and injected as described in materials and methods.
Figure 7 shows the chromatograms of the samples treated with a mixture of free amino acids, with and without HS. The chromatographic peaks shifted to a lower TR and lost peak resolution even more in the presence of HS. This may be attributed to HS interacting with analytes, thus limiting their retention extent on the stationary phase and determining their faster release. This increase may have caused interaction between the amino acids and changes in their behavior with the column. Additionally, the addition of HS led to an increase in the production of analysis artifacts. Artifacts are products of the interaction between the extract and the column, eluted outside the chromatographic run time, i.e., before 5 min. When maize seedlings were treated with amino acids + HS, an additional absorption peak was observed between 4.5 and 5.0 min, resembling the peak observed in the standard chromatogram for aspartic acid. The increase in fresh leaf mass was accompanied by changes in the content and composition of free amino acids, as shown in Figure 3, Figure 4, Figure 5, Figure 6 and Figure 7.
3.4. Isotopic Composition
The incorporation of 13C and 15N isotopes in plant tissues was verified using double-labeled glutamic acid (Glu-13C, 15N) in the presence or absence of HS.
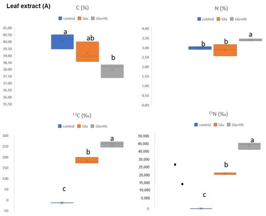
Figure 8 shows that the carbon and nitrogen incorporation was much higher in the roots than in the leaves. The presence of HS increased the direct incorporation of both isotopes into plant tissues. The isotopic composition values (13C ‰) indicated that approximately 12.5% of the 13C in the labeled amino acid was found in the roots. When 13C was administered to the growth medium in the presence of HS, 31.3% was recovered in the root tissues, demonstrating increased efficiency of amino acid incorporation. The study found that although the incorporation of isotopes in the leaves was lower, it was still significant. This indicates the transport and metabolism of glutamic acid from the roots to the leaves. On average, 23.0% of 13C was recovered in leaves treated with Glu and 22.5% in the treatment with Glu + HS, which is 2.5 times more incorporated isotope. The amount of 15N recuperated from the growth medium was higher than that of the 13C isotope. Approximately 27% of the 15N added was found in the roots and 19.7% in the leaves. The presence of HS increased the recuperation of labeled 15N to 43% in roots and 31.4% in leaves.

Figure 8.
Carbon (C%) and nitrogen (N%) contents, as well as the isotopic composition (13C‰ and 15N‰), were measured in the leaves (A) and roots (B) of maize seedlings. The treatments included a control group, a group treated with double-labeled glutamic acid (Gluc), and a group treated with double-labeled glutamic acid and humic substances (Gluc + HS). Data represent the mean (n = 3). Treatments with different letters indicate statistical differences between mean values, according to one-way ANOVA followed by LSD test (p = 0.05). CV % varied from 2.6 to 7.9%.
3.5. Analysis of Leaves and Roots Extracts by 2D-NMR Spectroscopy
1H-15N HQMC spectra supported the conclusion that HS aids the absorption, transport, and metabolism of amino acids in plants. Figure 9 shows representative spectra of root (A–C) and leaves (D–F) extracts from plants treated with double-labeled Glu, with or without HS. In both control groups, consisting of leaf and root extracts from corn plants grown only in a 2 mM CaCl2 solution, the number of compounds detectable via15N at natural isotopic abundance was very low and led to peaks characterized by intensities far below the instrumental detection limit (Figure 9A,D). Conversely, in all cases where plant growth media were treated with 15N,13C-Glu, several intense signals were detected in 2D HMQC 1H-15N spectra for both tissue types. From a qualitative point of view, although the detected 1H 15N HMQC correlations did not permit the unambiguous assignment of the peaks of nitrogen-containing compounds, they allowed to draw few considerations. In fact, they proved the production of labeled glutamic acid’s metabolic derivatives, attributable to different free amino acids and small peptides.
Figure 9.
Bidimensional spectra (2-d 15N, 13C) HMQC of root extracts: (A) control; (B) protein hydrolysate; (C) protein hydrolysate + humic substances and leaf extracts: (D) control; (E) protein hydrolysate; (F) protein hydrolysate + humic substances. The extracts of three plants (n = 3) were combined to produce one spectrum.
In particular, the two intense couples of signals in the nitrogen range included within 107 and 111 ppm, which correlated with hydrogen peaks ranging within 6.2 and 7.2 ppm, were attributed to either free glutamine (resulting from a glutamine synthetase conversion) or to different glutamine residues. Notably, the latter ones were no longer in the free form, as shown by their chemical shifts, which resulted in similar but slightly shielded forms in both nitrogen and hydrogen domains. Such a chemical shift drift resulted in those nitrogen nuclei, which, in the oligomeric form, experienced a chemical environment different from the free form. These signals were attributed to glutamine derivatives because they appeared perfectly aligned along the hydrogen dimension, thus indicating that each aligned couple corresponded to two non-magnetically equivalent hydrogens bound to the same nitrogen. Since they resonated in typical hydrogen and nitrogen spectral regions of amide nitrogen, we attributed them to glutamine side chain -C(O)NH2 groups. The other group of signals, at the nitrogen range of 112–127 ppm, are generally ascribable to the monohydrogenated nitrogens composing different residues for the backbone in oligopeptides, resulting from the exogenous application of 15N-labeled glutamate. Presumably, and according to the typical chemical shift measured for this amino acid, residual free glutamate may correspond to the signal ranging within 122–123.8 ppm and 7.6–7.9 ppm in the nitrogen and hydrogen domains, respectively. In fact, this signal was invariably detected in all samples treated with labeled glutamate.
Finally, the integration of signals in 1D projections of 1H-15N HMQC revealed that the total sum of nitrogen signals was 170.26% higher in leaves of plants treated with HS + protein hydrolysate than in samples treated only with protein hydrolysate. Analogously, 15N-labelled nitrogen compounds in root extracts were 240.9% higher for plants treated with HS.
Therefore, our data suggested that 15N Glu was absorbed and used to produce other primary N-based metabolites. Moreover, the treatment with HS elicited the adsorption of amino acids, including labeled glutamate, and promoted a different metabolic response in both leaves and roots. This finding proved that the 1H-15N HMQC profile varied as a function of HS treatment. This outcome fits well with the isotopic composition analysis revealed by mass spectrometry.
3.6. Differential Expression of Amino Acid Transporters
Amino acids use transport proteins to access the interior of cells. This transport requires energy provided by the electrochemical gradient generated by the hydrolysis of ATP by enzymes known as H+-ATPases.
The primary non-specific amino acid transporters belong to the family of proteins known as amino permeases. Figure 10 shows the differential transcription of genes encoding two amino permeases (AAAP54 and AAAP07), and the plasma membrane H+-ATPase isoform Mha1 in maize roots treated with HS induced the transcription of the amino permease AAAP54 and the plasma membrane H+-ATPase, which is compatible with the change in the amino acid profile and the increased absorption verified by the double-labeled amino acid.
Figure 10.
The expression of amino acid transporters (AAAP54 and AAAP07) and plasma membrane H+-ATPase isoform Mha1 in the roots of maize seedlings treated with humic substances (8 mM C L−1). The data were normalized (control plants = 0). The data presented are the mean (n = 3) followed by the standard deviation (bars). The significance levels are denoted as follows: Ns (not significant), * (significant at p < 0.005). The comparison of each transcription level was humic substances treatment against control (untreated) by F-test.
4. Discussion
The effectiveness of PH as biostimulants may vary depending on their origin and characteristics as well as plant-specific factors such as species, cultivar, phenological stage, cropping conditions, concentration, time and method of application, solubility, and leaf permeability [3]. Multiple interacting factors are involved in the biostimulant priming of plant development, even after a short period of treatment exposure. This study evaluated changes in the amino acid profile in plants treated with PH in the presence or absence of HS. The absorption of amino acids was monitored using double-labeled glutamic acid (13C and 15N) to investigate the influence of HS. The results showed a significant effect of PH on plant growth and metabolism, with growth promotion related to the concentration used. Application together with HS amplified the growth-promoting effect.
The absorption of amino acids and small peptides into the internal structures of plants treated with PH is essential for them to be perceived by cellular receptors. Once signaling molecules are detected, typically by protein kinases, as noted by Morris and Walker [20], they can initiate a signal transduction pathway by modulating the endogenous biosynthesis of phytohormones [21]. This study observed that higher PH concentrations strongly inhibit root growth while promoting and stimulating the growth of both roots and shoots at appropriate concentrations (Figure 3 and Figure 4).
Stimulating root growth and altering the architecture of the root system, particularly by increasing the length and density of root hairs, can enhance nutrient use efficiency. This can result in increased total biomass when nutrient availability is limited. Ertani et al. [22] showed that applying PH derived from enzymatic hydrolysis of alfalfa plants for 48 h caused a dose-dependent increase in root dry mass (from 20 to 42%) in maize compared to the untreated control. This response was named “nutrient acquisition”, facilitating the absorption and translocation of N.
Notwithstanding the short-term exposure to treatment with PH + HS, the assessed development of the root system was even higher (+51%) than that recorded by Ertani et al. [22]. Additionally, these plant tissues had a significant positive variation in free amino acid content compared to the control (see Figure 6). Furthermore, the high-resolution mass spectrometry and HQMC NMR revealed a significant absorption, assimilation, and transport of 13C and 15N isotopes from double-labeled glutamic acid into seedlings added with AAM solution, further enhanced by the supplementary bioactivity of HS (Figure 8 and Figure 9). This experimental evidence is consistent with a conceivable improvement of differential transcription of genes that encode the plasma membrane H+-ATPase and amino permeases responsible for the transmembrane transport of amino acids. AAAP transporters belong to the amino acid/auxin permease family and are involved in the translocation of glutamic acid, aspartic acid, and isoleucine. AAP54 transporter expression was significantly induced in the roots, up to more than three times, in seedlings grown under a low-N regime (minimal medium containing only 2 mM CaCl2) with the addition of HS (Figure 10).
Additionally, a positive but non-significant upregulation was observed in the transcription of the AAP07 transporter. The transcription of H+-ATPases and amino acid transporters in roots may be linked to the notable increase in free amino acid content in the roots with PH+HS (Figure 6). Root cells can capture peptides and amino acids present in PH and transport them to the roots in the presence of HS by stimulating permeases and H+-ATPases. In a previous study, Canellas et al. [23] highlighted a rising transcription of AAAP-54 in maize roots treated with humic acids isolated from vermicompost, indicating an effective activation of amino acid transport. Amino permeases are secondary carrier proteins whose activity requires the establishment of an electrochemical gradient. HS plays a crucial role in plant physiology by activating proton pumps [24] responsible for the transmembrane electrochemical gradient. The electrochemical gradient also provides the energy to transport certain organic compounds [25], including amino acids [26].
The mode of action of PH-based biostimulants has been studied, and some target metabolic pathways have already been identified [27,28,29]. PH can promote nitrogen assimilation in plants by regulating C and N metabolism. In a previous study [27], the gain in nitrogen content shown by maize seedlings added with PH from alfalfa plant was accompanied by boosted activity of enzymes related to both carboxylic acids cycle (malate dehydrogenase, isocitrate dehydrogenase, and citrate synthase) as well as to nitrogen assimilation (nitrate reductase, nitrite reductase, glutamine synthetase, glutamate synthase, and aspartate aminotransferase).
After absorbing N-org through permeases driven by proton pumps, it is necessary to incorporate these N units into the carbon skeletons resulting from photosynthesis. The final step is performed by malate dehydrogenase to produce oxaloacetate, the group into which N will be incorporated to form aspartic acid. The other route involved is that of glutamic acid and glycine. Ultra-pressure chromatography showed a significant alteration in the amino acid profile in the region where aspartic acid, glutamic acid, and glycine were expected to be detected (Figure 7). In plants, these amino acids were found in higher concentrations, ranging from 12 to 15 mmol g−1 of dry mass [30].
The direct absorption and incorporation of amino acids favor accumulating reserve proteins the primary metabolic function. They can serve as precursors for synthesizing several primary and secondary metabolism compounds, including organic acids, osmoregulatory compounds, phytohormones, and secondary metabolites that form part of the cell wall. These metabolites are involved in plants’ protection mechanisms against biotic and abiotic stress agents. [31]. Additionally, plants can utilize amino acids as a cost-effective energy source.
The uptake of glutamic acid was stimulated by HS, as demonstrated by the significant change in the isotopic composition of both 15N and 13C. HMQC spectroscopy detected structures related to other compounds, revealing more intense metabolic reactions than in the treatment without HS.
The hastening of seedling growth, stressed by the variation in fresh mass, particularly in the aerial part, stems from the accrual of photo-assimilates for producing carbon skeletons and efficient N assimilation. In the change in the amino acid profile of both leaves and roots in PH and AA application, with the shared standard seed treatment, HS indicates a modification in primary nitrogen metabolism, as shown by the analysis of total free amino acids and U-HPLC.
Tracking the double isotopic marker within plant tissues confirms plant cells’ direct absorption of amino acids, which is positively modulated by using HS accompanied by the stimulation ion the transcription of genes encoding the plasma membrane H+-ATPase and AA carrier proteins.
5. Conclusions
We demonstrated that when combined with humic substances (HS), protein hydrolysates (PH) increase free amino acid contents in maize seedlings, offering action-mode insight into their agricultural benefits. The amino acid profile of maize seedling leaves showed significant alterations with PH treatment, with or without HS, reflecting changes in nitrogen metabolism. The isotopic assay demonstrated amino acid incorporation, with HS significantly enhancing the direct incorporation into plant tissues, suggesting improved absorption, transport, and metabolism of amino acids. Metabolite analysis and 1H-15N HQMC spectra supported the conclusion that HS aids in the absorption and metabolism of amino acids, producing various nitrogen-containing metabolites, including glutamine derivatives. Additionally, HS treatment induced the transcription of genes encoding amino permeases and plasma membrane H+-ATPase in maize roots, aligning with observed changes in amino acid profiles and enhanced absorption of labeled glutamate.
These findings underscore the potential of HS and PH to enhance plant growth and modulate amino acid metabolism, presenting promising applications for sustainable and efficient crop production. The synergistic and antagonistic interactions between PH, HS, and synthetic amino acids highlight the complexity of plant responses, necessitating further research to optimize these treatments for agricultural use. This study contributes to understanding the physiological and molecular mechanisms underlying the beneficial effects of biostimulants on plant health and productivity, ultimately supporting the development of more effective strategies for improving crop yield and quality.
Author Contributions
Conceptualization, L.P.C., F.L.O., R.S. and F.V.; methodology, N.A.C. and P.M.; formal analysis, L.P.C., N.A.C. and P.M.; investigation, L.P.C. and P.M.; resources, L.P.C., F.L.O. and F.V.; data curation, L.P.C.; writing—original draft preparation, L.P.C.; writing—review and editing, F.L.O. and R.S.; funding acquisition, L.P.C. and F.L.O.; All authors have read and agreed to the published version of the manuscript.
Funding
This research was funded by Fundação Carlos Chagas Filho de Amparo à Pesquisa do estado do Rio de Janeiro (FAPERJ)-Programa Cientista do Nosso Estado, Grant number E-26/201.018/2021 (L.P.C.) and Grant number E-26/211.223/2021 (F.L.O.).
Data Availability Statement
Data is contained within the article.
Acknowledgments
To CNRMN-Cenabio-UFRJ and LCA-CBB-UENF for facilities for RMN and isotopic analysis.
Conflicts of Interest
The authors declare no conflicts of interest.
References
- Ma, Y.; Freitas, H.; Dias, M.C. Strategies and prospects for biostimulants to alleviate abiotic stress in plants. Front. Plant Sci. 2022, 13, 1024243. [Google Scholar] [CrossRef] [PubMed]
- du Jardin, P. Plant biostimulants: Definition, concept, main categories and regulation. Sci. Hortic. 2015, 196, 3–14. [Google Scholar] [CrossRef]
- Colla, G.; Nardi, S.; Cardarelli, M.; Ertani, A.; Lucini, L.; Canaguier, R.; Rouphael, Y. Protein hydrolysates as biostimulants in horticulture. Sci. Hortic. 2015, 196, 28–38. [Google Scholar] [CrossRef]
- Noctor, G.; Novitskaya, L.; Lea, P.J.; Foyer, C.H. Co-ordination of leaf minor amino acid contents in crop: Species: Significance and interpretation. J. Exp. Bot. 2002, 53, 939–945. [Google Scholar] [CrossRef] [PubMed]
- Teixeira, W.F.; Fagan, E.B.; Soares, L.H.; Soares, J.N.; Reichardt, K.; Neto, D.D. Seed and foliar application of amino acids improve variables of nitrogen metabolism and productivity in soybean Crop. Front. Plant Sci. 2018, 9, 396. [Google Scholar] [CrossRef] [PubMed]
- Ertani, A.; Schiavon, M.; Nardi, S. Transcriptome-wide identification of differentially expressed genes in Solanum lycopersicon L. in response to an alfalfa-protein hydrolysate using microarrays. Front. Plant Sci. 2017, 8, 1159. [Google Scholar] [CrossRef] [PubMed]
- Persson, J.; Högberg, P.; Ekblad, A.; Högberg, M.N.; Nordgren, A.; Näsholm, T. Nitrogen acquisition from inorganic and organic sources by boreal forest plants in the field. Oecologia 2003, 137, 252–257. [Google Scholar] [CrossRef]
- Jones, D.; Kielland, K. Soil amino acid turnover dominates the nitrogen flux in permafrost-dominated taiga forest soils. Soil Biol. Biochem. 2002, 34, 209–219. [Google Scholar] [CrossRef]
- Gioseffi, E.; de Neergaard, A.; Schjoerring, J.K. Interactions between uptake of amino acids and inorganic nitrogen in wheat plants. Biogeosciences 2012, 9, 1509–1518. [Google Scholar] [CrossRef]
- Li, J.; Van Gerrewey, T.; Geelen, D. A meta-analysis of biostimulant yield effectiveness in field trials. Front. Plant Sci. 2022, 13, 836702. [Google Scholar] [CrossRef]
- Nardi, S.; Concheri, G.; Dell’Agnola, G.; Scrimin, P. Nitrate uptake and ATPase activity in oat seedlings in the presence of two humic fractions. Soil Biol. Biochem. 1991, 23, 833–836. [Google Scholar] [CrossRef]
- Quaggiotti, S.; Ruperti, B.; Pizzeghello, D.; Francioso, O.; Tugnoli, V.; Nardi, S. Effect of low molecular size humic substances on nitrate uptake and expression of genes involved in nitrate transport in maize (Zea mays L.). J. Exp. Bot. 2004, 55, 803–813. [Google Scholar] [CrossRef] [PubMed]
- Vaccaro, S.; Ertani, A.; Nebbioso, A.; Muscolo, A.; Quaggiotti, S.; Piccolo, A.; Nardi, S. Humic substances stimulate maize nitrogen assimilation and amino acid metabolism at physiological and molecular level. Chem. Biol. Technol. Agric. 2015, 2, 5. [Google Scholar] [CrossRef]
- Tavares, O.C.H.; Santos, L.A.; Ferreira, L.M.; Sperandio, M.V.L.; da Rocha, J.G.; García, A.C.; Dobbss, L.B.; Berbara, R.L.L.; de Souza, S.R.; Fernandes, M.S. Humic acid differentially improves nitrate kinetics under low and high-affinity systems and alters the expression of plasma membrane H+-ATPases and nitrate transporters in rice. Ann. Appl. Biol. 2017, 170, 89–103. [Google Scholar] [CrossRef]
- Ruud, A.B.; Jansen, E.J.; Beekman, B.; Koppele, J.M. Amino Acid Analysis by Reverse-Phase High-Performance Liquid Chromatography: Improved Derivatization and Detection Conditions with 9-Fluorenylmethyl Chloroformate. Anal. Biochem. 1996, 240, 2. [Google Scholar]
- Sun, S.W.; Lin, Y.C.; Weng, Y.M.; Chen, M.J. Efficiency improvements on ninhydrin method for amino acid quantification. J. Food Compos. Anal. 2006, 19, 112–117. [Google Scholar] [CrossRef]
- Savych, A.; Nakonechna, S. Determination of amino acids content in two herbal mixtures with antidiabetic activity by GC-MS. Pharmakeftiki 2021, 33, 116–123. [Google Scholar]
- Ge, T.; Song, S.; Roberts, P.; Jones, D.L.; Huang, D.; Iwasaki, K. Amino acids as a nitrogen source for tomato seedlings: The use of dual-labeled (13C, 15N) glycine to test for direct uptake by tomato seedlings. Environ. Exp. Bot. 2009, 66, 357–361. [Google Scholar] [CrossRef]
- Boelens, R.; Burgering, M.; Fogh, R.H.; Kaptein, R. Time-saving methods for heteronuclear multidimensional NMR of (13C, 15N) doubly labeled proteins. J. Biomol. NMR 1994, 4, 201–213. [Google Scholar] [CrossRef]
- Morris, E.R.; Walker, J.C. Receptor-like protein kinases: The keys to response. Curr. Opin. Plant Biol. 2003, 6, 339–342. [Google Scholar] [CrossRef]
- Cavani, L.; Ciavatta, C. Attività biostimolante negli idrolizzati proteici. Inf. Agrar. 2007, 44, 46–52. [Google Scholar]
- Ertani, A.; Cavani, L.; Pizzeghello, D.; Brandellero, E.; Altissimo, A.; Ciavatta, C.; Nardi, S. Biostimulant activity of two protein hydrolysates in the growth and nitrogen metabolism of maize seedlings. J. Plant Nutr. Soil Sci. 2009, 172, 237–244. [Google Scholar] [CrossRef]
- Canellas, L.P.; Canellas, N.O.A.; Soares, T.S.; Olivares, F.L. Humic Acids Interfere with Nutrient Sensing in Plants Owing to the Differential Expression of TOR. J. Plant Growth Regul. 2019, 38, 216–224. [Google Scholar] [CrossRef]
- Nardi, S.; Carletti, P.; Pizzeghello, D.; Muscolo, A. Biological activities of humic substances. In Biophysico-Chemical Processes Involving Natural Nonliving Organic Matter in Environmental Systems, Vol. 2., Part 1: Fundamentals and Impact of Mineral-Organic Biota interactions on the Formation, Transformation, Turnover, and Storage of Natural Nonliving Organic Matter (NOM); Senesi, N., Xing, B., Huang, P.M., Eds.; Wiley: Hoboken, NJ, USA, 2009; pp. 305–339. [Google Scholar]
- Maathuis, F.J.M.; Filatov, V.; Herzyk, P.; Krijger, G.C.; Axelsen, K.B.; Chen, S.X.; Green, B.J.; Li, Y.; Madagan, K.L.; Sanchez-Fernandez, R.; et al. Transcriptome analysis of root transporters reveals participation of multiple gene families in the response to cation stress. Plant J. 2003, 35, 675–692. [Google Scholar] [CrossRef] [PubMed]
- Williams, L.E.; Miller, A.J. Transporters responsible for the uptake and partitioning of nitrogenous solutes. Annu. Rev. Plant Physiol. Plant Mol. Biol. 2001, 52, 659–688. [Google Scholar] [CrossRef] [PubMed]
- Schiavon, M.; Ertani, A.; Nardi, S. Effects of an alfalfa protein hydrolysate on the gene expression and activity of enzymes of the tricarboxylic acid (TCA) cycle and nitrogen metabolism in Zea mays L. J. Agric. Food Chem. 2008, 56, 11800–11808. [Google Scholar] [CrossRef]
- Ertani, A.; Francioso, O.; Tugnoli, V.; Righi, V.; Nardi, S. Effect of commercial lignosulfonate-humate on Zea mays L. metabolism. J. Agric. Food Chem. 2011, 59, 11940–11948. [Google Scholar] [CrossRef]
- Ertani, A.; Pizzeghello, D.; Altissimo, A.; Nardi, S. Use of meat hydrolyzate derived from tanning residues as plant biostimulant for hydroponically grown maize. J. Plant Nutr. Soil Sci. 2013, 176, 287–296. [Google Scholar] [CrossRef]
- Fischer, W.N.; André, B.; Rentsch, D.; Krolkiewicz, S.; Tegeder, M.; Breitkreuz, K.; Frommer, W.B. Amino acid transport in plants. Trends Plant Sci. 1998, 3, 188–195. [Google Scholar] [CrossRef]
- Galili, G.; Amir, R.; Fernie, A.R. The regulation of essential amino acid synthesis and accumulation in plants. Annu. Rev. Plant Biol. 2016, 67, 153–178. [Google Scholar] [CrossRef]
Disclaimer/Publisher’s Note: The statements, opinions and data contained in all publications are solely those of the individual author(s) and contributor(s) and not of MDPI and/or the editor(s). MDPI and/or the editor(s) disclaim responsibility for any injury to people or property resulting from any ideas, methods, instructions or products referred to in the content. |
© 2024 by the authors. Licensee MDPI, Basel, Switzerland. This article is an open access article distributed under the terms and conditions of the Creative Commons Attribution (CC BY) license (https://creativecommons.org/licenses/by/4.0/).










