Efficiency of Nitrogen Fertilization in Millet Irrigated with Brackish Water
Abstract
1. Introduction
2. Materials and Methods
2.1. Location and Characterization of the Experimental Area
2.2. Experimental Design and Treatments
2.3. Plant Material and Fertilization
2.4. Irrigation Management
- VI—volume of water to be applied in the irrigation event (mL);
- Vp—volume of water applied in the previous irrigation event (mL);
- Vd—volume of water drained (mL); and,
- LF—leaching fraction of 0.15.
2.5. Gas Exchange and Chlorophyll Index
2.6. Biomass Production
2.7. Mineral Element Concentration
2.8. Data Analysis
3. Results and Discussion
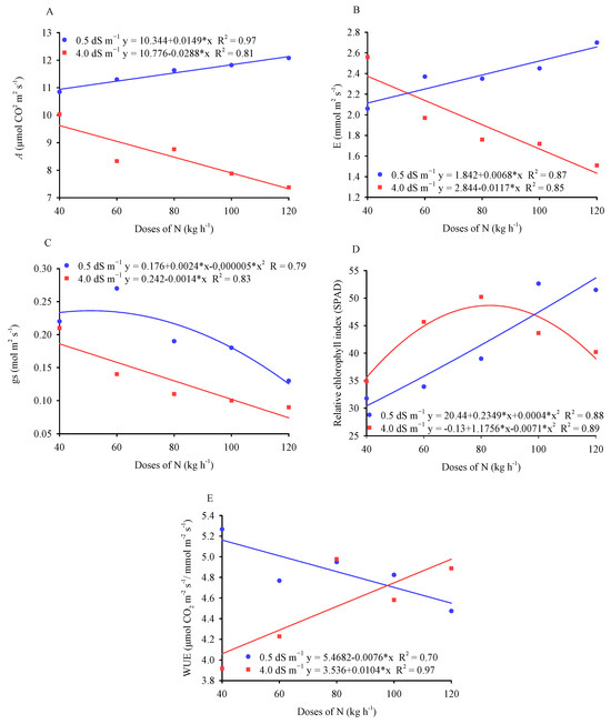
3.1. Leaf Gas Exchange and Biomass Production
3.2. Leaf Concentration of Nutrients
4. Conclusions
Author Contributions
Funding
Data Availability Statement
Acknowledgments
Conflicts of Interest
References
- Marcante, N.C.; Camacho, M.A.; Junior, F.P.P. Teores de nutrientes no milheto como cobertura de solo. J. Biosci. 2011, 27, 196–204. [Google Scholar]
- Jacovetti, R.; França, A.F.S.; Carnevalli, R.A.; Miyagi, E.S.; Brunes, L.C.; Corrêa, D.C. Milheto como silagem comparado a gramíneas tradicionais: Aspectos quantitativos, qualitativos e econômicos. Ciênc. Anim. Bras. 2018, 19, 1–16. [Google Scholar] [CrossRef]
- Ferreira, F.N.; Oliveira, I.C.M.; Andrade, C.L.T.; Simeão, R.M.; Souza, I.R.P. Produção de Silagem de Milheto sob Diferentes Lâminas de Irrigação; Embrapa Milho e Sorgo: Sete Lagoas, Brazil, 2020; 25p. [Google Scholar]
- Holanda, J.S.; Amorim, J.R.A.; Ferreira Neto, M.; Holanda, A.C.; Sá, F.V.S. Qualidade da água para irrigação. In Manejo da Salinidade na Agricultura: Estudos Básicos e Aplicados, 2nd ed.; Gheyi, H.R., Dias, N.S., Lacerda, C.F., Gomes Filho, E., Eds.; INCTSal: Fortaleza, Brazil, 2016; pp. 35–50. [Google Scholar]
- Lima, G.S.; Moreira, B.L.; Silva, A.G.; Diniz Neto, M.L.; Oliveira, D.S.; Cavalcante, A.P. Crescimento e produtividade de algodão de fibra colorida cultivado sob estresse salino e adubação nitrogenada. Rev. Bras. Eng. Agric. Ambient. 2017, 21, 415–420. [Google Scholar] [CrossRef]
- Sousa, G.G.D.; Sousa, H.C.; Lessa, C.I.; Goes, G.F.; Freire, M.H.D.C.; de Souza, M.V.; Schneider, F. Production of watermelon seedlings in different substrates under salt stress. Rev. Bras. Eng. Agric. Ambient. 2023, 27, 343–351. [Google Scholar] [CrossRef]
- FAO. Global Map of Salt Affected Soils; FAO: Rome, Italy, 2021. [Google Scholar]
- Rai, A.K.; Basak, N.; Sundha, P. Saline and Sodic Ecosystems in the Changing World. In Soil Science: Fundamentals to Recent Advances; Rakshit, A., Singh, S., Abhilash, P., Biswas, A., Eds.; Springer: Singapore, 2021. [Google Scholar]
- Cavalcante, Í.H.; Oliveira, F.A.D.; Cavalcante, L.F.; Beckmann, M.Z.; Campos, M.C.; Gondim, S.C. Growth and production of two cotton cultivars irrigated with saline water. Rev. Bras. Eng. Agric. Ambient. 2021, 9, 108–111. [Google Scholar] [CrossRef]
- Li, Y.; Xu, X.; Hu, M.; Chen, Z.; Tan, J.; Liu, L.; Xiong, Y.; Huang, Q.; Huang, G. Modeling water–salt–nitrogen dynamics and crop growth of saline maize farmland in Northwest China: Searching for appropriate irrigation and N fertilization strategies. Agric. Water Manag. 2023, 282, 108271. [Google Scholar] [CrossRef]
- Li, T.; Xie, Y.; Gao, Z.; Hong, J.; Li, L.; Meng, H.; Ma, H.; Jia, J. Year-round film mulching system with monitored fertilization management improve grain yield and water and nitrogen use efficiencies of winter wheat in the dryland of the Loess Plateau, China. Environ. Sci. Pollut. Res. Int. 2019, 26, 9524–9535. [Google Scholar] [CrossRef] [PubMed]
- Sousa, H.C.; Sousa, G.G.; Lessa, C.I.N.; Lima, A.F.S.; Ribeiro, R.M.R.; Rodrigues, F.H.C. Growth and gas exchange of corn under salt stress and nitrogen doses. Rev. Bras. Eng. Agric. Ambient. 2021, 23, 907–913. [Google Scholar] [CrossRef]
- Prado, R.d.M. Nutrição de Plantas, 2nd ed.; Editora Unesp: São Paulo, Brazil, 2020; Volume 1, 414p. [Google Scholar]
- Wang, Y.Y.; Cheng, Y.H.; Chen, K.E.; Tsay, Y.F. Nitrate transport, signaling, and use efficiency. Annu. Rev. Plant Biol. 2018, 69, 85–122. [Google Scholar] [CrossRef]
- Zheng, C.; Liu, C.; Liu, L.; Tan, Y.; Sheng, X.; Yu, D. Effect of salinity stress on rice yield and grain quality: A meta-analysis. Eur. J. Agron. 2023, 144, 126765. [Google Scholar] [CrossRef]
- Sousa, G.G.; Lacerda, C.F.; Cavalcante, L.F.; Guimarães, F.V.A.; Bezerra, M.E.J.; Silva, G.L. Nutrição mineral e extração de nutrientes de planta de milho irrigada com água salina. Rev. Bras. Eng. Agric. Ambient. 2010, 14, 1143–1151. [Google Scholar] [CrossRef]
- Ibrahim, M.E.H.; Zhu, X.; Zhou, G.; Ali, A.Y.A.; Ahmad, I.; Elsiddig, A.M.I. Fertilizante nitrogenado reduz o impacto do cloreto de sódio no rendimento de trigo. J. Agron. 2018, 110, 1731–1737. [Google Scholar] [CrossRef]
- Jiang, X.; Liu, C.; Hu, Y.; Shao, K.; Tang, X.; Zhang, L.; Gao, G.; Qin, B. Climate-induced salinization may lead to increased lake nitrogen retention. Water Res. 2023, 228, 119354. [Google Scholar] [CrossRef] [PubMed]
- Pereira Filho, I.A.; Pereira, A.S.; Coelho, A.M.; Casela, C.R.; Karam, D.; Rodrigues, J.A.S.; Cruz, J.C.; Waquil, J.M. Manejo da Cultura do Milheto; Embrapa-CNPMS. Circular Técnica, 29; Embrapa-CNPMS: Sete Lagoas, Brazil, 2003; 17p. [Google Scholar]
- Ayers, R.S.; Westcot, D.W. A Qualidade da Água na Agricultura, 2nd ed.; Estudos FAO: Irrigação e Drenagem; UFPB: Campina Grande, Brazil, 1999; 153p. [Google Scholar]
- Bernardo, S.; Mantovani, E.C.; Silva, D.D.; Soares, A.A. Irrigation Manual; Editora UFV: Viçosa, Brazil, 2019; 545p. [Google Scholar]
- Rhoades, J.D.; Kandiah, A.; Mashali, A.M. Uso de Águas Salinas para Produção Agrícola; Estudos da FAO, Irrigação e Drenagem; UFPB: Campina Grande, Brazil, 2000; 117p. [Google Scholar]
- Silva, F.C. Manual de Análises Químicas de Solos, Plantas e Fertilizantes; Embrapa Comunicação para Transferência de Tecnologia: Brasília, Brazil, 1999; p. 370. [Google Scholar]
- Richards, L.A. Diagnosis and Improvement of Saline and Alkali Soils; USDA Agriculture Handbook, 60; US Department of Agriculture: Washington, DC, USA, 1954; 160p. [Google Scholar]
- Miyazawa, M.; Pavan, M.A.; Muraoka, T.; Carmo, C.A.; Melo, W.J.D. Análise química de tecido vegetal. In Manual de Análises Químicas de Solos, Plantas e Fertilizantes; Silva, F.C., Ed.; Embrapa Informação Tecnológica: Brasília, Brazil, 2009; Chapter 2; pp. 193–233. [Google Scholar]
- Silva, F.C.; Dasilva, F.C. Manual de Métodos de Análise de Solo, 3rd ed.; Embrapa: Brasília, Brazil, 2009; 573p. [Google Scholar]
- Silva, F.A.S.; Azevedo, C.A.V. The Assistat Software version 7.7 and its use in the analysis of experimental data. Afr. J. Agric. Res. 2016, 11, 733–3740. [Google Scholar]
- Zhang, M.; Wang, Z.J.; Huang, J.C.; Sun, S.; Cui, X.; Zhou, W.; He, S. Salinity-driven nitrogen removal and its quantitative molecular mechanisms in artificial tidal wetlands. Water Res. 2021, 202, 117446. [Google Scholar] [CrossRef]
- Ribeiro, R.M.R.; de Sousa, G.G.; Barbosa, A.S.; de Lacerda, C.F.; Freire, M.H.D.C.; Moraes, J.G.L. Irrigation strategies with saline water and phosphate fertilization in cowpea culture. Rev Bras. Ciên. Agrár. 2022, 17, 1–12. [Google Scholar] [CrossRef]
- Roque, I.A.; Soares, L.A.D.A.; Lima, G.S.D.; Lopes, I.A.P.; Silva, L.D.A.; Fernandes, P.D. Biomass, gas exchange and production of cherry tomato cultivated under saline water and nitrogen fertilization. Rev. Caatinga 2022, 35, 686–696. [Google Scholar] [CrossRef]
- Có, E.G.; de Sousa, G.G.; Gomes, S.P.; Freire, M.H.D.C.; da Silva, F.D. Strategies for the management of irrigation with saline water and nitrogen fertilization in millet crop. Rev. Caatinga 2023, 36, 424–431. [Google Scholar]
- Melo, H.F.D.; Souza, E.R.D.; Duarte, H.H.; Cunha, J.C.; Santos, H.R. Gas exchange and photosynthetic pigments in bell pepper irrigated with saline water. Rev. Bras. Eng. Agric. Ambient. 2017, 21, 38–43. [Google Scholar] [CrossRef]
- Li, Z.; Zhu, L.; Zhao, F.; Li, J.; Zhang, X.; Kong, X.; Zhang, Z. Plant salinity stress response and nano-enabled plant salt tolerance. Front. Plant Sci. 2022, 13, 843994. [Google Scholar]
- Zhou, H.; Kang, S.; Li, F.; Du, T.; Shukla, M.K.; Li, X. Nitrogen application modified the effect of deficit irrigation on tomato transpiration, and water use efficiency in different growth stages. Sci. Hortic. 2020, 263, 09112. [Google Scholar] [CrossRef]
- Adhikari, B.; Dhungana, S.K.; Kim, I.D.; Shin, D.H. Effect of foliar application of potassium fertilizers on soybean plants under salinity stress. J. Saudi Soc. Agric. Sci. 2020, 19, 261–269. [Google Scholar] [CrossRef]
- Morales, F.; Ancín, M.; Fakhet, D.; González-Torralba, J.; Gámez, A.L.; Seminario, A.; Aranjuelo, I. Photosynthetic metabolism under stressful growth conditions as a bases for crop breeding and yield improvement. Plants 2020, 9, 88. [Google Scholar] [CrossRef] [PubMed]
- Taiz, L.; Zeiger, E.; Moller, I.M.; Murphy, A. Fisiologia e Desenvolvimento Vegetal, 6th ed.; ArtMed: Porto Alegre, Brazil, 2017; 888p. [Google Scholar]
- Sousa, G.G.; de Araújo Viana, T.V.; Neto, M.D.O.R.; Da Silva, G.L.; De Azevedo, B.M.; Costa, F.R.B. Características agronômicas do girassol irrigado com águas salinas em substratos com fertilizantes orgânicos. Rev Agrogeoambient. 2017, 9, 1–8. [Google Scholar] [CrossRef][Green Version]
- Chen, Z.; Tao, X.; Khan, A.; Tan, D.K.; Luo, H. Biomass accumulation, photosynthetic traits and root development of cotton as affected by irrigation and nitrogen-fertilization. Front. Plant Sci. 2018, 9, 173. [Google Scholar] [CrossRef] [PubMed]
- Hessini, K.; Issaoui, K.; Ferchichi, S.; Saif, T.; Abdelly, C.; Siddique, K.H.; Cruz, C. Interactive effects of salinity and nitrogen forms on plant growth, photosynthesis and osmotic adjustment in maize. Plant Physiol. Biochem. 2019, 139, 171–178. [Google Scholar] [CrossRef]
- Chen, J.; Liu, L.; Wang, Z.; Zhang, Y.; Sun, H.; Song, S.; Bai, Z.; Lu, Z.; Li, C. Nitrogen fertilization increases root growth and coordinates the root–shoot relationship in cotton. Front. Plant Sci. 2020, 11, 880. [Google Scholar] [CrossRef]
- Bianchet, P.; Sangoi, L.; Souza, C.A.D.; Klauberg Filho, O.; Panison, F. Desenvolvimento vegetativo do arroz irrigado afetado pela inoculação com Azospirillum e aplicação de nitrogênio mineral. Rev. Fac. Agron. 2015, 114, 2015. [Google Scholar]
- Sousa, G.G.D.; Rodrigues, V.D.S.; Soares, S.D.C.; Damasceno, Í.N.; Fiusa, J.N.; Saraiva, S.E. Irrigation with saline water in soybean (Glycine max (L.) Merr.) in a soil with bovine biofertilizer. Rev. Bras. Eng. Agric. Ambient. 2018, 22, 604–609. [Google Scholar] [CrossRef]
- Costa, F.H.; Sousa, G.G.D.; Lima, J.M.D.P.; Almeida, M.D.S.; Sousa, H.C.; Gomes, S.P.; Cruz Filho, E.M.; Azevedo, B.M.D. Frequencies of irrigation in millet crop under salt stress. Rev. Bras. Eng. Agric. Ambient. 2024, 28, 272197. [Google Scholar] [CrossRef]
- Ashraf, M.; Shahzad, S.M.; Imtiaz, M.; Rizwan, M.S. Salinity effects on nitrogen metabolism in plants–focusing on the activities of nitrogen metabolizing enzymes: A review. J. Plant Nutr. 2018, 41, 1065–1081. [Google Scholar] [CrossRef]
- Iqbal, N.; Umar, S.; Khan, N.A. Nitrogen availability regulates proline and ethylene production and alleviates salinity stress in mustard (Brassica juncea). J. Plant Physiol. 2015, 178, 84–91. [Google Scholar] [CrossRef] [PubMed]
- Sousa, G.G.D.; Sousa, H.C.; Santos, M.F.D.; Lessa, C.I.N.; Gomes, S.P. Saline water and nitrogen fertilization on leaf composition and yield of corn. Rev. Caatinga 2022, 35, 191–198. [Google Scholar] [CrossRef]
- Ueda, Y.; Yanagisawa, S. Perception, transduction, and integration of nitrogen and phosphorus nutritional signals in the transcriptional regulatory network in plants. J. Exp. Bot. 2019, 70, 3709–3717. [Google Scholar] [CrossRef] [PubMed]
- Tanveer, K.; Gilani, S.; Hussain, Z.; Ishaq, R.; Adeel, M.; Ilyas, N. Effect of salt stress on tomato plant and the role of calcium. J. Plant Nutr. 2020, 43, 28–35. [Google Scholar] [CrossRef]
- Esmaili, E.; Kapourchal, S.A.; Malakouti, M.J.; Homaee, M. Interactive effect of salinity and two nitrogen fertilizers on growth and composition of sorghum. Plant Soil Environ. 2008, 54, 537–546. [Google Scholar] [CrossRef]
- Nathawat, N.S.; Kuhad, M.S.; Goswami, C.L.; Patel, A.L.; Kumar, R. Interactive effects of nitrogen source and salinity on growth indices and ion content of Indian mustard. J. Plant Nutr. 2007, 30, 569–598. [Google Scholar] [CrossRef]
- Slama, I.; M’Rabet, R.; Ksouri, R.; Talbi, O.; Debez, A.; Abdelly, C. Water deficit stress applied only or combined with salinity affects physiological parameters and antioxidant capacity in Sesuvium portulacastrum. Flora Morphol. Distrib. Funct. Ecol. Plants 2015, 213, 69–76. [Google Scholar] [CrossRef]
- Abbasi, H.; Jamil, M.; Haq, A.; Ali, S.; Ahmad, R.; Malik, Z.; Parveen, Z. Salt stress manifestation on plants, mechanism of salt tolerance and potassium role in alleviating it: A review. Zemdirb.-Agric. 2016, 103, 229–238. [Google Scholar] [CrossRef]
- Rodrigues, V.D.S.; Sousa, G.G.D.; Soares, S.D.C.; Leite, K.N.; Ceita, E.D.; Sousa, J.T.M.D. Gas exchanges and mineral content of corn crops irrigated with saline water. Rev. Ceres. 2021, 68, 453–459. [Google Scholar] [CrossRef]
- Calone, R.; Sanoubar, R.; Lambertini, C.; Speranza, M.; Vittori Antisari, L.; Vianello, G.; Barbanti, L. Salt tolerance and Na allocation in Sorghum bicolor under variable soil and water salinity. Plants 2020, 9, 561. [Google Scholar] [CrossRef] [PubMed]




| Chemical Characteristics | |||||||||
|---|---|---|---|---|---|---|---|---|---|
| OM | N | P | Mg | K | Ca | Na | pH | ESP | ECse |
| kg−1 | mg kg−1 | cmolc dm−3 | (In Water) | (%) | dS m−1 | ||||
| 4.34 | 0.26 | 65 | 1.20 | 0.65 | 1.20 | 0.33 | 6.2 | 7.00 | 1.19 |
| ECw | Ca2+ | Mg2+ | K+ | Na+ | Cl− | HCO3− | pH | SAR | Classification |
|---|---|---|---|---|---|---|---|---|---|
| dS m−1 | mmolc L−1 | mmol L−1 | H2O | (mmolc L−1) | |||||
| 0.3 | 0.6 | 1.4 | 0.2 | 0.4 | 2.5 | 0.1 | 6.9 | 0.4 | C2S1 |
| 4.0 | 8.44 | 10.18 | 2.66 | 20.53 | 33.33 | 1.12 | 7.38 | 7.86 | C4S2 |
| SV | DF | Medium Square | |||||||
|---|---|---|---|---|---|---|---|---|---|
| A | gs | E | WUE | RCI | LDM | SDM | PDM | ||
| Doses of N (D) | 4 | 5.65 ** | 0.01158 ** | 0.597 ** | 1.51 * | 359.44 ** | 62.15 ** | 311.15 ** | 356.35 ** |
| Salinity (S) | 1 | 40.17 ** | 0.03600 ** | 2.148 ** | 0.083 ns | 77.17 * | 14.40 ns | 286.22 ** | 184.90 ns |
| Interaction (D × S) | 4 | 3.89 * | 0.00658 ** | 0.339 ** | 2.27 ** | 164.48 ** | 35.65 ns | 314.22 ** | 268.65 ** |
| Residual | 30 | 1.4 | 0.0007 | 0.033 | 0.43 | 12.01 | 14.53 | 28.67 | 57.03 |
| Total | 39 | ||||||||
| CV (%) | - | 11.88 | 15.24 | 8.16 | 14.64 | 8.03 | 30.26 | 23.77 | 19.9 |
| SV | DF | Mean Square | |||||
|---|---|---|---|---|---|---|---|
| N | P | Ca | Mg | Na | K | ||
| Doses of N (D) | 4 | 239.33 ** | 0.48 ** | 2.44 ** | 5.06 ** | 2.84 ** | 1.62 ns |
| Salinity (S) | 1 | 101.06 ** | 1.06 ** | 6.81 ** | 2.63 ** | 11.07 ** | 41.57 ** |
| Interaction D × S | 4 | 49.92 ** | 0.35 ** | 1.58 ** | 1.70 ** | 2.44 ** | 5.91 ns |
| Residual | 4.63 | 0.81 | 0.32 | 0.15 | 0.13 | 3.35 | |
| CV (%) | 7.65 | 17.12 | 11.52 | 7.98 | 33.97 | 13.48 | |
Disclaimer/Publisher’s Note: The statements, opinions and data contained in all publications are solely those of the individual author(s) and contributor(s) and not of MDPI and/or the editor(s). MDPI and/or the editor(s) disclaim responsibility for any injury to people or property resulting from any ideas, methods, instructions or products referred to in the content. |
© 2024 by the authors. Licensee MDPI, Basel, Switzerland. This article is an open access article distributed under the terms and conditions of the Creative Commons Attribution (CC BY) license (https://creativecommons.org/licenses/by/4.0/).
Share and Cite
Gomes de Sousa, G.; Rodrigues Costa, F.H.; de Sousa, J.T.M.; de Sousa Almeida, M.; Primola Gomes, S.; de Lacerda, C.F.; de Araújo Viana, T.V.; de Oliveira Santos, S.; da Silva Junior, F.B.; Lopes, F.B.; et al. Efficiency of Nitrogen Fertilization in Millet Irrigated with Brackish Water. Nitrogen 2024, 5, 455-467. https://doi.org/10.3390/nitrogen5020029
Gomes de Sousa G, Rodrigues Costa FH, de Sousa JTM, de Sousa Almeida M, Primola Gomes S, de Lacerda CF, de Araújo Viana TV, de Oliveira Santos S, da Silva Junior FB, Lopes FB, et al. Efficiency of Nitrogen Fertilization in Millet Irrigated with Brackish Water. Nitrogen. 2024; 5(2):455-467. https://doi.org/10.3390/nitrogen5020029
Chicago/Turabian StyleGomes de Sousa, Geocleber, Francisco Hermeson Rodrigues Costa, José Thomas Machado de Sousa, Murilo de Sousa Almeida, Silas Primola Gomes, Claudivan Feitosa de Lacerda, Thales Vinicius de Araújo Viana, Samuel de Oliveira Santos, Francisco Barroso da Silva Junior, Fernando Bezerra Lopes, and et al. 2024. "Efficiency of Nitrogen Fertilization in Millet Irrigated with Brackish Water" Nitrogen 5, no. 2: 455-467. https://doi.org/10.3390/nitrogen5020029
APA StyleGomes de Sousa, G., Rodrigues Costa, F. H., de Sousa, J. T. M., de Sousa Almeida, M., Primola Gomes, S., de Lacerda, C. F., de Araújo Viana, T. V., de Oliveira Santos, S., da Silva Junior, F. B., Lopes, F. B., Vieira Lima, S. C. R., & da Silva, A. O. (2024). Efficiency of Nitrogen Fertilization in Millet Irrigated with Brackish Water. Nitrogen, 5(2), 455-467. https://doi.org/10.3390/nitrogen5020029

