Next Article in Journal
Pell and Pell–Lucas Sequences of Fractional Order
Previous Article in Journal
Numerical Investigation for the Temporal Fractional Financial Option Pricing Partial Differential Equation Utilizing a Multiquadric Function
 
 
Font Type:
Arial Georgia Verdana
Font Size:
Aa Aa Aa
Line Spacing:
Column Width:
Background:
Article

Fractal Analysis of Pore–Throat Structures in Triassic Yanchang Formation Tight Sandstones, Ordos Basin, China: Implications for Reservoir Permeability and Fluid Mobility

1
College of Petroleum Engineering, Xi’an Shiyou University, Xi’an 710065, China
2
Cooperative Innovation Center of Unconventional Oil and Gas Exploration and Development, Xi’an Shiyou University, Xi’an 710065, China
Fractal Fract. 2025, 9(7), 415; https://doi.org/10.3390/fractalfract9070415
Submission received: 24 May 2025 / Revised: 23 June 2025 / Accepted: 23 June 2025 / Published: 26 June 2025

Abstract

Microscopic pore–throat structures, known for their complexity and heterogeneity, significantly influence the characteristics of tight sandstone reservoirs. Despite the advances in geological research, studies leveraging fractal theory to elucidate differences across pore scales are limited, and conventional testing methods often fail to effectively characterize these complex structures. This gap poses substantial challenges for the exploration and evaluation of tight oil reservoirs, highlighting the need for refined analytical approaches. This study addresses these challenges by applying fractal analysis to the pore–throat structures of the Triassic Yanchang Formation tight sandstones in the Wuqi Area of the Ordos Basin. Employing a combination of experimental techniques—including pore-casted thin sections, scanning electron microscopy, high-pressure mercury intrusion, constant-rate mercury intrusion, and nuclear magnetic resonance (NMR)—this study analyzes the fractal dimensions of pore–throats. Findings reveal that tight sandstone reservoirs are predominantly composed of micron-scale pore–throats, displaying complex configurations and pronounced heterogeneity. Fractal curves feature distinct inflection points, effectively categorizing the pore–throats into large and small scales based on their mercury intrusion pressures. By linearly fitting slopes of fractal curves, we calculate variable fractal dimensions across these scales. Notably, NMR-derived fractal dimensions exhibit a two-segment distribution; smaller-scale pore–throats show less heterogeneity and spatial deformation, resulting in lower fractal dimensions, while larger-scale pore–throats, associated with extensive storage capacity and significant deformation, display higher fractal dimensions.

1. Introduction

Tight sandstone reservoirs constitute a crucial component of unconventional energy resources and represent a key area of research within China’s petroleum sector. These reservoirs are characterized by narrow pore–throats and strong heterogeneity, with pore structure and connectivity playing pivotal roles in their development potential. Understanding and quantifying the effects of reservoir space types and heterogeneity on storage capacity and connectivity are essential for identifying favorable development zones for tight sandstone reservoirs [1,2,3,4]. To address these challenges, fractal theory—an effective tool for analyzing complex and irregular pore structures—can be combined with pore–throat testing to comprehensively investigate the pore–throat structure and heterogeneity of tight sandstone reservoirs [5]. In recent years, fractal theory has been widely applied to characterize the complex pore structures present in porous media. The fractal dimension serves as a quantitative descriptor that links microscopic pore morphology with macroscopic physical forms. Numerous studies have successfully employed fractal methods to analyze sandstone pore structures; generally, increased pore heterogeneity results in a larger fractal dimension, whereas more regular pores correspond to a smaller fractal dimension [6,7,8,9,10].
Various methods have been developed to study the pore–throat structures of tight sandstone reservoirs. Image-based analysis methods, such as those involving pore-casted thin sections and scanning electron microscopy (SEM), provide clear and intuitive observations of pore–throat size and morphology [11,12,13,14,15,16]. However, due to limited sampling ranges, image-based analysis methods cannot comprehensively reflect the pore–throat distribution characteristics across entire rock samples and have limited capability for quantitative pore–throat size and distribution analysis. The advent of fractal theory addresses these limitations. Fractal dimensions, which describe the complexity of self-similar irregular shapes, have been widely applied across disciplines since their introduction in 1975 [17]. Katz and Thompson demonstrated that the pore spaces of porous media exhibit fractal characteristics. Recently, petroleum geologists have employed various experimental methods, such as nitrogen adsorption, mercury intrusion porosimetry, and nuclear magnetic resonance (NMR), to determine fractal dimensions, characterizing the complexity of pore structures. Liu et al. discussed the significance of fractal dimensions in reservoir evaluation, pointing out that rougher and more heterogeneous porous media surfaces have larger fractal dimensions. Xia et al., based on results from pore-casted thin sections and mercury intrusion porosimetry, determined that reservoir pore structures exhibit fractal characteristics at certain scales, with derived fractal dimensions showing good correlations with pore–throat structural parameters [18,19]. Zhang et al. used NMR data to show that effective storage and fluid-movable spaces in ultra-low-permeability reservoirs exhibit fractal properties, with fractal dimensions effectively representing pore–throat connectivity. Mahdaviara et al. predicted pore flow capabilities using Gaussian process regression algorithms. Jiang et al. utilized NMR and exponential functions to quantitatively analyze the microscopic distribution of movable fluids. Liu et al. applied neural networks to predict capillary pressure and relative permeability curves in porous media. Li et al. established a permeability model based on fractal dimensions and mercury intrusion curves [20,21,22,23]. Combining mathematical tools with traditional methods provides new dimensions for characterizing pore structure features. Previous research has focused on correlations between fractal dimensions and microscopic pore–throat structural parameters but lacked classifications for self-similar pore–throat systems and investigations into the impact of multi-scale pore–throat systems on reservoir quality. Additionally, although multiple testing methods can jointly characterize reservoir pore–throat features, the relationships between fractal dimensions obtained through different analysis methods have rarely been addressed in prior studies. Katz and Thompson observed via SEM that microporous structures of sandstones adhere to fractal scaling laws across five orders of magnitude, from 1 nm to 100 μm. Cui et al. proposed a unified fractal dimension model for fully self-similar and statistically self-similar fractal porous media. Zhang et al. were the first to apply fractal theory to analyze the fractal characteristics of digital rock cores in porous media. Numerous studies have applied fractal theory to investigate sandstone pore structures. Liang et al. highlighted the significance of fractal characteristics in studying the seepage properties of tight sandstone reservoirs [24,25,26]. Li et al. identified a positive correlation between fractal dimensions and matrix porosity. Han et al. used fractal theory to analyze 3D-printed sandstones. Wu et al. characterized the pore structures of carbonate caprock samples from the Tahe Oilfield using SEM. Xie et al. evaluated the permeability of 12 digital rock cores of sandstone reservoirs based on fractal dimensions and adsorption capacity. Liu et al. combined CT imaging, binary CT methods, and fractal theory to compare the fractal dimensions and porosity of samples with predictions from Yu and Li’s unified model, establishing fractal criteria for pores [27,28,29,30,31,32].
Previous studies on tight sandstone pore structures have obtained parameters such as pore radii, pore-size distributions, and sorting coefficients. However, the effects of pore geometry on fluid flow and connectivity remain uncertain, and traditional geometric methods struggle to effectively characterize pore structures. Fractal theory has been widely used to describe complex pore structures in porous media. The fractal dimension quantifies fractal characteristics and bridges microscopic pore geometry with macroscopic physical shapes, serving as an important indicator of pore structure. Tight sandstones are characterized by narrow pore–throats and strong heterogeneity, which significantly influence reservoir development characteristics. Understanding the complex and irregular pore structures in these rocks is essential for evaluating their storage and flow potential. Traditional experimental methods have provided parameters such as pore radius, pore–throat quantity, and sorting coefficients, which reflect pore structure characteristics [33,34,35,36]. However, these approaches often treat pores as having a single morphology, overlooking their spatial variability and diverse forms. Additionally, the contributions of different pore types to reservoir properties remain largely unquantified. Addressing these limitations requires the integration of experimental techniques with theoretical methods to gain deeper insights into the microscopic pore structures of tight sandstones [37,38,39,40,41,42]. Fractal theory, a nonlinear mathematical framework, provides a robust tool for describing the irregular and complex systems found in rocks. The fractal dimension, a quantitative descriptor of fractal characteristics, effectively captures the irregularity, heterogeneity, and complexity of pore structures. By combining fractal theory with pore–throat testing, researchers can analyze the heterogeneity and diverse morphologies of tight sandstone pores, enabling the identification and evaluation of different pore types and their contributions to reservoir properties [43,44,45]. Constant-rate mercury intrusion experiments yield the intrusion pressure and total saturation for pore–throat systems in tight sandstone reservoirs, allowing pore and throats to be distinguished. By fitting straight lines, we can obtain the fractal dimensions of pores and throats. We then apply the fractal theory to calculate the fractal dimensions of NMR T2 spectra, clarifying differences in pore–throat structural complexity among samples. Using constant-rate mercury intrusion and NMR, we characterize effective pore–throat distributions and, on that basis, apply fractal geometry theory to define pore–throat fractal features and establish relationships between fractal pore structure, flow characteristics, and structural parameters, thereby providing a geological basis for exploration and development of tight reservoirs.
The objective of this work is to quantitatively assess the full-scale fractal characteristics of the pore–throat system in the tight sandstones of the Wuqi Area in the Ordos Basin, China, by integrating pore-casted thin sections, SEM and constant-rate mercury intrusion with fractal theory, and to evaluate how hierarchical pore–throat levels control reservoir porosity, permeability, and fluid mobility. The study investigates the size and morphology of pores and throats in sandstones using pore-casted thin sections, SEM, and constant-rate mercury intrusion. Mercury intrusion curves obtained through constant-rate testing are used to assess the fractal characteristics of the pores and throats. The NMR-derived T2 spectra can quantify relationships between pore–throat parameters and fractal dimensions. Fractal theory is then applied to classify pore–throat systems into hierarchical levels based on relative size, enabling an evaluation of how different pore–throat levels influence fluid mobility and flow capacity in the reservoir space [46,47,48,49,50]. The analysis identifies two types of pore–throats—small scale and large scale—based on turning points in the fractal curves. Fractal dimensions for both types are calculated, and differences in fractal dimensions across scales, along with their formation mechanisms, are examined. These findings provide valuable support for optimizing reservoir evaluation parameters and predicting favorable zones in tight reservoirs. Additionally, the results offer significant insights into the microscopic pore–throat structures and heterogeneity of tight sandstones [51,52,53].

2. Geological Setting and Experimental Methods

2.1. Geological Setting

The Ordos Basin, located within a cratonic basin, covers an area of approximately 370,000 km2. Tectonically, it is asymmetrically aligned along a north–south axis, featuring a steep and narrow western flank and a broader, gentler eastern flank. The periphery of the basin is delineated by faulting and folding, while its interior exhibits relatively simple tectonic configurations with strata typically inclined at less than 1°. The basin is compartmentalized into six major tectonic units: the Weibei Uplift, Yimeng Uplift, Shanbei Slope, Jinxi Flexure Belt, Tianhuan Depression, and Western Margin Thrust Belt [54,55,56].
The Ansai Oilfield is situated in the mid-eastern region of the Yishan Slope within the Ordos Basin. This area is characterized by minimal tectonic activity, with gently dipping strata at an average angle of approximately 0.5°, and a gradient of 8–10 m/km. Located in Yan’an City, Shaanxi Province, the oilfield spans Ansai County, Zhidan County, Zichang County, and Baota District. Its boundaries extend from Lijiacha in Zichang to Yongning-Huaishuzhuang in Yan’an to the south, Lijiacha-Haojiaping-Hezhuangping to the east, and Shuanghe-Yongning to the west. Covering a total area of 6323 km2, the region’s elevation ranges from 1100 to 1500 m, with a relative elevation difference of 150–250 m. The surface is blanketed by Quaternary loess deposits, varying in thickness from 100 to 200 m.

2.2. Sample Preparation and Analytical Techniques

Core samples of tight sandstones for this study were sourced from the sixth member of the Triassic Yanchang Formation (hereinafter referred to as Chang-6 Member) within the Wuqi-Ansai Area of the Ordos Basin. Eight cylindrical samples, each with a diameter of 2.5 cm, were extracted parallel to the bedding planes of the formation. After oil extraction and drying processes, porosity and permeability metrics were quantified. A comprehensive suite of analytical techniques was employed to assess the samples, including the preparation of pore-casted thin sections, SEM, high-pressure mercury intrusion, constant-rate mercury intrusion, and NMR testing. These techniques were utilized to explore the pore micro-morphology and fractal characteristics of the tight sandstone. More detailed core sample parameters are listed in Table 1.

2.3. Experimental Principles and Sample Preparation

2.3.1. Pore-Casted Thin Sections

Core samples were impregnated with red epoxy resin to elucidate petrological characteristics and pore features. High-resolution micrographs of the rock were acquired using a Leica DLC-420 microscope imaging system, which enabled detailed analysis of the microscopic textural features within the samples.

2.3.2. Scanning Electron Microscopy (SEM)

To examine the microstructural details of the pore spaces, we employed the FEI Quanta 400 FEG field emission scanning electron microscope. The freshly fractured sample surfaces were sputter-coated with gold to enhance conductivity and enable detailed imaging. This setup allowed for mineral identification via secondary electron (SE) imaging, backscattered electron (BSE) imaging, and energy-dispersive X-ray spectroscopy (EDS). The operational settings included an acceleration voltage of 30 kV and a resolution of 1.2 nm.

2.3.3. High-Pressure Mercury Intrusion

High-pressure mercury intrusion was employed to measure the size and volume of pores in porous media. When mercury is injected into the porous sample, capillary pressure resists its entry into the pore spaces, requiring sufficient injection pressure to overcome this resistance. Each injection pressure corresponds to the capillary pressure of pores with a specific size. The volume of injected mercury represents the volume of connected pores. Testing was conducted using an Autopore 9420 mercury porosimeter, with a maximum injection pressure of 200 MPa. After reaching the maximum pressure, the displacement pressure was gradually reduced, causing mercury to withdraw from the pores. The intrusion and extrusion curves were generated based on the pressure and corresponding mercury saturation. Since pore size and connectivity influence capillary pressure, the capillary pressure curves provide valuable insights into the pore structure.

2.3.4. Constant-Rate Mercury Intrusion

The constant-rate mercury intrusion experiments were conducted using a Coretest Systems ASPE-730 mercury porosimeter. Samples were first vacuumed and immersed in mercury. Experiments were performed at room temperature with a constant mercury injection rate of 5 × 10−5 mL/min. Before testing, standard samples were analyzed to calibrate the instrument, ensuring accurate data. The contact angle and surface tension were maintained at constant values of 140° and 480 mN/m, respectively, throughout the process. Due to the pressure limitations of the instrument, the minimum detectable throat radius was 0.12 μm.

2.4. Application of Fractal Theory to Pore Throat Analysis

The fractal dimensions of the pore throats in tight sandstone were calculated from the data obtained through constant-rate mercury intrusion. According to fractal theory, if the pore throat distribution in tight sandstone adheres to a fractal structure, it can be represented as:
N ( r )   r D  
where r denotes the radius of a pore throat (in micrometers), D is the fractal dimension, and N(r) is the number of pore throats with a radius exceeding r.
Integrating the capillary model, the number of throats, N(r), is formulated as:
N ( r ) = V Hg / ( π r 2 l )
where l represents the length of the capillaries (in micrometers), and VHg is the cumulative volume of mercury intruded at a specific capillary pressure (in cubic micrometers). The relationship between capillary pressure Pc and the radius is defined by:
P c = 2 σ cos θ / r
where σ is the surface tension (dyne/cm), and θ is the contact angle (degrees). From this, a dependency is derived:
N ( r )   P c ( 2 D )
Plotting the capillary force (Pc) and mercury saturation (VHg) on a logarithmic scale yields a linear relationship, establishing that the slope (S) of the line correlates with the fractal dimension (D) through:
D = S + 2

2.5. NMR and Fractal Theory

NMR experiments on water-saturated tight sandstone samples provide the spectra of the transverse relaxation time (T2), offering insights into the interactions between pore fluids and particle surfaces. Post-centrifugation NMR tests yield parameters related to bound water, enabling the determination of movable fluid saturation and full-scale pore-throat distribution in different samples. Larger T2 values indicate larger pore–throat sizes. The NMR measurements were conducted using a RecCore2500 NMR core analyzer. Samples were dried in an oven for at least 8 h, after which their diameter, length, and weight were measured. They were then vacuumed for 12 h, saturated with formation water for another 12 h, and weighed. The sample surfaces were wiped to remove excess water, wrapped in plastic film, and analyzed with the NMR analyzer to obtain the T2 distribution for the water-saturated state. Subsequently, the samples were centrifuged at 9100 r/min, weighed again, and reanalyzed with NMR to obtain the T2 distribution for the bound water state.
Numerous studies have demonstrated that the microscopic pore structure of sandstones exhibits pronounced fractal characteristics, with the fractal dimension quantitatively representing the complexity of the pore structure. A higher fractal dimension indicates a more intricate and heterogeneous pore structure.
The complexity of pore–throat structures in different samples can be inferred from fractal analysis of the NMR T2 spectra, with greater structural complexity corresponding to larger fractal dimensions. The calculation of NMR fractal dimensions is primarily based on the formula. In a uniform magnetic field, T2 can be approximated as:
1 T 2 1 T 2 s = ρ 2 ( S V )
where ρ 2   is the surface relaxivity; T2s is the surface relaxation time, m/ms; S is the surface area, m2; and V is the volume, m3. For an ideal spherical pore model, S/V = 3/r, and for a cylindrical bundle model, S/V = 2/r. From this, we derive:
T 2     r
According to the fractal theory, the number of pores with radii greater than r is related to the pore–throat radius as follows:
N ( > r ) = r r m a x S ( r ) d r r D
Here, N(>r) represents the number of pore throats larger than radius r, D is the fractal dimension, rmax is the maximum pore–throat radius, μm, and S(r) is the distribution density function of the pore–throat radius. The cumulative fraction of pore volume for pores smaller than r is:
S v = r 3 D r m i n 3 D r m a x 3 D r m i n 3 D
Considering rmin   rmax, Sv simplifies to:
S v = ( r r m a x ) 3 D
Combining Equations (7) and (10), we get:
S v = ( T 2 T 2 m a x ) 3 D
Taking logarithms on both sides:
lg(Sv) = (3 − D) lg(T2) + (D − 3) lgT2 max
If the data exhibit fractal characteristics, Equation (6) will show a linear relationship. By calculating the slope λ, the fractal dimension can be determined:
D = 3 − λ
In general, NMR offers certain advantages over high-pressure mercury intrusion and constant-rate mercury intrusion techniques, particularly in characterizing the full range of pore–throat size distributions. Moreover, centrifuge experiments facilitated by NMR can differentiate between movable and bound fluids within the pore structure. Due to the maturity and widespread application of fractal theory in evaluating the irregularity and self-similarity of porous media, incorporating fractal theory based on NMR experimental data allows for a more accurate and comprehensive characterization of the complexity of pore–throat structures.

3. Results

3.1. Petrological Characteristics

Pore-casted thin sections, SEM, and X-ray diffraction analyses of clay minerals indicate that the Chang-6 reservoir rocks in the Wuqi-Ansai Area predominantly consist of fine to medium-grained, light grey, grey, and greyish-brown feldspathic sandstones. Additional compositions include minor medium-grained feldspathic sandstones and fine-grained lithic feldspathic sandstone fragments. The grain size primarily ranges from 0.1 to 0.25 mm, with a peak at 0.75 mm. Feldspar, quartz, and lithic fragments represent average mass fractions of 52.08%, 20.78%, and 10.34%, respectively. The reservoir has experienced multiple diagenetic processes such as compaction, pressure solution, cementation, alteration, dissolution, and fracturing, which significantly influence the porosity and other petrophysical properties. Dissolution mainly affects detrital minerals, matrix, and both cementing and authigenic minerals, with feldspar and quartz showing common yet relatively minor dissolution effects.
The primary pore types observed include residual intergranular pores, dissolution pores, and intercrystalline pores. Residual intergranular pores, originally intergranular, are modified by compaction and cementation, often exhibiting straight edges and regular shapes like triangles. In the study area, pronounced compaction and extensive cementation significantly diminish intergranular porosity, thereby reducing the prevalence of residual intergranular pores. However, some well-preserved original intergranular pores remain alongside a significant amount of secondary dissolution pores within secondary cement materials, especially laumontite. The predominant pore types are residual intergranular pores, supplemented by minor laumontite and carbonate dissolution pores. Secondary dissolution of laumontite is notable, often creating irregular edges and forming intragranular pores. In some cases, complete dissolution of laumontite results in moldic pores. Laumontite is not abundant, and the diagenetic processes are marked by early–mid-stage compaction, pressure solution, and cementation. Diagenetic minerals primarily include filmy chlorite and enlarged quartz, supplemented by siliceous and carbonate fillings. The clay mineral assemblage is dominated by chlorite, with illite occurring in lesser amounts; clay minerals predominantly occur as pore fillings. Illite and illite/montmorillonite mixed layers occur in curved, filamentous forms between the grains. On the one hand, this occurrence further reduces residual primary intergranular pores and secondary dissolution pores; on the other hand, the net-like, bridging distribution of these clay minerals subdivides many pores and throats into fine, bound pores, thereby reducing pore–throat sizes and lowering reservoir permeability (Figure 1).
In tight sandstones, the presence of illite, chlorite, and other clay minerals leads to the development of intercrystalline pores, which are generally small and sparse. The primary throat types are constricted and curved lamellar throats, influenced by compaction and cementation. Constricted throats, formed by the aggregation of multiple detrital particles, have smaller radii compared to curved lamellar throats, which form narrow channels between particles and generally possess larger radii. Small pores in this environment primarily include residual intergranular pores due to compaction and intercrystalline pores within authigenic clay minerals, while large pores are mainly dissolution and composite pores. Laumontite within the reservoir manifests in three forms: as cementing and matrix components, and as pseudomorphs replacing plagioclase. The cementing and matrix forms of laumontite are typically irregular, colorless, and transparent in thin sections and exhibit two cleavage sets. While laumontite predominantly obstructs porosity by filling pores, it can also support the structural framework, mitigating excessive compaction and promoting the development of secondary dissolution pores (Figure 2).

3.2. Pore- and Throat-Distribution Characteristics

Porosity in the samples varies from 3.28% to 12.19%, averaging 7.83%, while permeability ranges from 0.02 to 2.135 × 10−3 μm2, with an average of 0.57 × 10−3 μm2. These values are characteristic of typical tight sandstone. The correlation between porosity and permeability is moderate, with a correlation coefficient (R2) of 0.527 (Figure 3), suggesting that different pore radii have varying impacts on permeability. This indicates that the fluid flow within the samples may be primarily facilitated by either micro-fractures or highly interconnected pores.
High-pressure mercury intrusion has proven effective for analyzing the pore-size distribution in tight sandstone, translating mercury intrusion curves into a distribution of pore–throat radii that typically range from 3.6 to 600 nm. The distribution shows significant heterogeneity, highlighting the complex pore structure of the tight sandstone matrix (Figure 4).
High-pressure mercury intrusion tests on tight sandstone core samples reveal distinct variations in pore–throat characteristics across different sample types. Type I core samples have a displacement pressure of 0.188 MPa, a median pressure of 9.33 MPa, and a median radius of 0.08 μm. Their sorting coefficient is 2.62, with a coefficient variation of 0.22. The maximum mercury intrusion saturation is 71.57%, and the mercury extrusion efficiency is 24.2%. Type II core samples show intermediate properties, with a displacement pressure of 0.321 MPa, a median pressure of 3.524 MPa, and a median radius of 0.254 μm. They exhibit a sorting coefficient of 2.353 and a coefficient of variation of 0.207, achieving a maximum mercury intrusion saturation of 82.85% and a mercury extrusion efficiency of 30.52%. These results indicate that although Type II samples have higher displacement pressures and smaller pore throat radii compared to Type I, their improved sorting and connectivity contribute to better intrusion and extrusion efficiencies. Type III core samples display a displacement pressure of 0.532 MPa, a median pressure of 3.473 MPa, and a median radius of 0.277 μm. Their sorting coefficient is 2.102, with a coefficient variation of 0.185. They achieve the highest maximum mercury intrusion saturation at 89.31%, but their mercury extrusion efficiency is slightly lower at 29.39%. This suggests that while Type III samples have larger pore–throat radii and lower displacement pressures, their extrusion efficiency is less favorable compared to Type II.
Comparative analysis reveals that Type I samples exhibit higher displacement pressures and smaller median and average throat radii, along with less effective throat sorting compared to Types II and III. The mercury intrusion capillary pressure curves for Type III samples display a distinct plateau, indicating a more concentrated and uniform distribution of pore throats. In contrast, Types I and II samples show shorter plateau segments, highlighting poorer sorting and greater variability in pore–throat distribution (Figure 4).
The pore and throat radius distribution curves of tight sandstone in the Wuqi-Ansai Area display a unimodal pattern. Pore radii are primarily concentrated between 90 and 260 μm, with an average radius of 135.21 μm, indicating a relatively uniform distribution overall (Figure 5a). In contrast, throat radii exhibit a broader range, predominantly spanning from 0.29 to 2.49 μm, with an average radius of 0.95 μm (Figure 5b). While the pore radius distribution demonstrates weak heterogeneity, the throat radius distribution is significantly more heterogeneous.

3.3. Fractal Characteristics of Pore and Throat Structures

The fractal dimension effectively represents the heterogeneity of pores and throats, with larger values indicating greater spatial complexity and stronger heterogeneity. Fractal curves (lgSHg − lgPc) were derived from constant-rate mercury intrusion tests, and the slopes of their linear fits were used to quantify the fractal dimensions of pores and throats in the tested range. These fractal curves exhibit clear inflection points, marking a transition from large-scale pores and throats, characterized by stronger permeability, to small-scale ones with weaker permeability. The pronounced differences in curve slopes before and after the inflection points, coupled with strong linearity, indicate distinct variations in fractal dimensions across different scales. Mercury intrusion pressures below the inflection point correspond to large-scale pores and throats, while pressures above it represent small-scale structures. The fractal dimensions of small-scale pores range from 2.175 to 2.34, with an average of 2.23, whereas those of large-scale pores range from 2.752 to 6.094, averaging 3.77. Small-scale throats exhibit fractal dimensions between 2.214 and 2.771, with an average of 2.452, while large-scale throats range from 3.339 to 13.418, with an average of 7.467 (Table 2). The fractal dimensions of large-scale pores and throats are significantly higher than those of small-scale ones, highlighting their greater heterogeneity and more complex structural characteristics (Figure 6).
Thus, the fractal dimension is an important marker for pore structure characterization and serves as an essential bridge connecting microscopic pore features with macroscopic performance. Consequently, research on the pore structure and fractal characteristics of ultra-low permeability reservoirs—and their intrinsic relationships—holds significant implications for reservoir quality evaluation and enhanced oil recovery.
The fractal curves for pores and throats are generated by fitting scatter plots of lgSHg − lgPc, derived from mercury intrusion curves. As a result, the shapes of the fractal curves closely resemble those of the original mercury intrusion curves (Figure 7). A steeper slope in the mercury intrusion curve corresponds to a higher slope in the linear fit of the fractal curve, leading to a larger fractal dimension. This relationship reflects the influence of pore and throat storage capacity. Pores and throats with greater effective storage allow non-wetting mercury to penetrate more extensively under the same displacement pressure, resulting in higher mercury saturation. This enhanced saturation produces a steeper mercury intrusion curve and a larger fractal dimension, indicating greater complexity and heterogeneity in the pore–throat structure. Small-scale pores and throats, with lower storage capacity, display gentler slopes in their fractal curve fits, resulting in smaller fractal dimensions. In contrast, large-scale pores and throats, with significantly higher spatial storage capacity, exhibit steeper slopes in their fractal curve fits, derived from mercury intrusion curves, and thus yield larger fractal dimensions. This highlights the direct relationship between storage capacity and fractal dimensions: larger storage spaces correspond to higher fractal dimensions, reflecting the increased complexity and heterogeneity of large-scale pores and throats.

3.4. NMR Testing Results

The T2 distribution of water-saturated samples consistently exhibits a bimodal pattern, with the left peak representing smaller pore–throat regions and the right peak corresponding to larger pore–throat regions (Figure 8a). Higher permeability samples show a more developed right peak compared to the left. For the S3-2 sample, the right peak amplitude in the water-saturated state is significantly higher than the left peak, indicating well-developed large pore–throats and correspondingly higher permeability. In contrast, the S3-3 sample exhibits only a weak right peak, with most fluids confined to smaller pore–throats, suggesting that the sample is dominated by small pores and has very low permeability (Figure 8b).
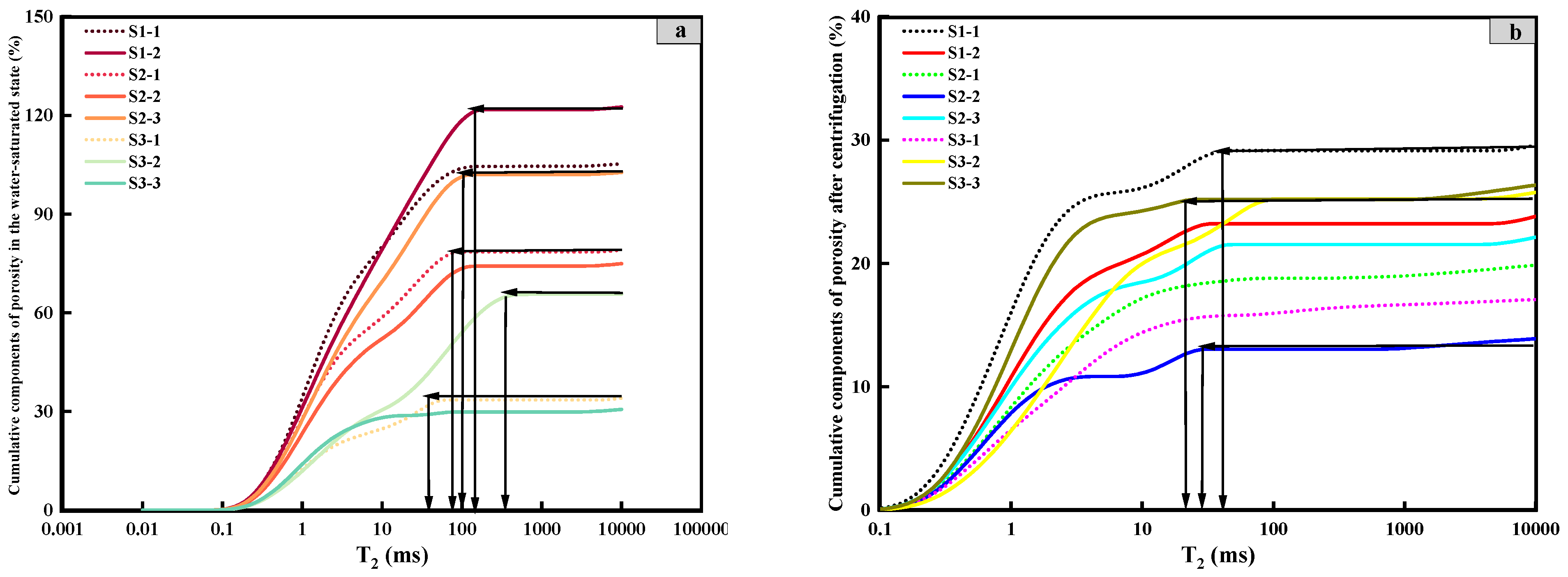
Figure 9 presents the T2 distribution of the samples after centrifugation, highlighting changes in fluid distribution. During centrifugation, fluids from larger pores and throats are expelled, leaving bound fluids predominantly within smaller pores and throats. The difference in peak areas of the T2 spectra before and after centrifugation is indicative of movable fluid saturation, with larger differences corresponding to higher movable fluid saturation. Across the eight samples, movable fluid saturation ranges from 21.35% to 76.1%, with movable fluid porosity varying between 0.833% and 8.531%. The storage characteristics of movable fluids are strongly influenced by the pore–throat structure. Pore–throat systems that are more homogeneous and better connected exhibit higher movable fluid saturation, whereas systems with poor connectivity and heterogeneity are associated with increased bound fluid saturation (Figure 9).

3.5. NMR Fractal Analysis

The slope of the NMR-derived fractal curve is used to calculate the fractal dimensions of tight sandstone samples, revealing a distinct two-segment fractal characteristic. To analyze the influence of pore and throat structures on movable fluids, the T2 cutoff time is applied as a boundary to separate the curve into two segments. This T2 cutoff time effectively distinguishes between pores associated with movable fluids and those associated with bound fluids. For each sample, the curve segments to the left and right of the T2 cutoff are independently fitted to determine the fractal dimensions for bound fluid throats (Dmin) and movable fluid throats (Dmax), respectively. Both segments exhibit high linear fitting coefficients, underscoring the reliability of fractal analysis based on NMR data. These results validate the applicability of this method for examining pore and throat structures in relation to fluid behavior (Figure 10, Table 3). Higher fractal dimensions correspond to more complex structures in three-dimensional space, whereas lower fractal dimensions indicate simpler pore structures.
When mercury intrusion pressure is below the inflection point, it corresponds to large-scale pores and throats; when pressure exceeds that point, it corresponds to small-scale pores and throats. The fractal dimensions of large-scale features are significantly higher than those of small-scale ones, indicating stronger heterogeneity. NMR-derived pore–throat fractal dimensions exhibit a two-stage distribution: fine pores and throats are relatively homogeneous, while larger structures are more heterogeneous.
High-pressure mercury intrusion fractal curves show clear inflection points that correspond to the microscopic transition from well-connected larger pore throats to poorly connected smaller pore throats. The smaller pore throat regime has a relatively low fractal dimension—reflecting uniform geometry and limited heterogeneity—whereas the larger-throat regime displays a higher fractal dimension, indicative of irregular structure and pronounced heterogeneity. NMR T2 spectra in these tight sandstones fall into two patterns: unimodal, reflecting a relatively uniform fine-pore network, and bimodal, where fine and medium-to-large pores coexist and impart distinct fractal signatures.

4. Discussion

4.1. Relationship Between Fractal Dimensions and Petrophysical Properties

Analysis of the relationship between NMR fractal dimensions and petrophysical properties reveals distinct correlations that underscore the role of pore–throat complexity in fluid flow and storage. The fractal dimension of movable fluid pore–throats (Dmax) shows a negative correlation with porosity, with a moderate correlation coefficient of 0.757 (Figure 11a). Moreover, Dmax exhibits a strong negative correlation with permeability, with a correlation coefficient of 0.928 (Figure 11b). This indicates that movable fluids are primarily stored in larger pore–throats, where a reduction in structural complexity corresponds to smaller fractal dimensions and higher permeability. In contrast, the fractal dimension of bound fluid pore–throats (Dmin) does not show a significant correlation with either porosity or permeability. Bound fluids are predominantly confined to smaller pore–throats, often located within intercrystalline pores of clay minerals, and their structural complexity has little influence on the overall porosity or permeability of the sample. These findings highlight the critical role of larger pore–throats in determining the storage capacity and fluid flow behavior of tight sandstone samples. The complexity of pore–throat structures, particularly in larger throats, is identified as a key factor influencing permeability, underscoring the importance of structural simplicity in enhancing fluid mobility within the reservoir. At small scales, compaction and cementation are intense, reducing intergranular space and producing smaller pore-throat radii with minimal spatial deformation. Consequently, small-scale pores and throats are simpler, less heterogeneous, and have lower fractal dimensions. At large scales, dissolution dominates and cementation is weak, expanding intergranular spaces and yielding larger pore–throat radii but more irregular shapes and significant deformation. Therefore, larger-scale features exhibit more complex geometry, stronger heterogeneity, and higher fractal dimensions.
Movable fluid saturation and porosity are critical indicators of fluid flow capacity in tight sandstone samples, with pore–throat structural complexity playing a significant role in constraining fluid movement. Analysis of the relationship between movable fluid saturation, porosity, and pore–throat complexity reveals a negative correlation between the fractal dimension of movable fluid pore–throats and movable fluid saturation, with a correlation coefficient of 0.61 (Figure 12a). Conversely, there is a positive correlation between the fractal dimension and bound fluid saturation, with a correlation coefficient of 0.695 (Figure 12b). Movable fluids are primarily stored in larger pore–throats, where the structural complexity of these throats governs fluid mobility. Higher movable fluid saturation reflects better pore–throat connectivity, which corresponds to higher permeability. Large pore–throats contribute substantially to the porosity associated with movable fluids, mainly originating from intergranular pores and partially from dissolution pores. The development of these large pore–throats reduces overall pore–throat complexity, resulting in lower fractal dimensions. The structural complexity of large pore–throats emerges as a critical factor in evaluating movable fluid saturation, porosity, and permeability. It shows negative correlations between fractal dimension and both hydraulic fracturing modeling and geomechanical modeling. Fractal dimension is intrinsically linked to the quantitative characterization of complexity and irregularity in discrete fracture networks. Fractal dimension provides a mathematical characterization for the heterogeneity structure of geological bodies, thereby enabling geomechanical models to enhance prediction accuracy for deformation, failure, and seepage behaviors.

4.2. Relationship Between Fractal Dimensions and Pore–Throat Structural Parameters

A clear relationship exists between fractal dimensions and pore–throat structures: greater structural complexity corresponds to higher heterogeneity and, consequently, larger fractal dimensions. To further investigate the relationship between fractal dimensions and pore–throat structural parameters, correlations were analyzed using data from high-pressure and constant-rate mercury intrusion tests. The results reveal that the average throat radius and maximum connected throat radius exhibit significant negative correlations with the fractal dimensions of movable fluid throats while showing weak correlations with the fractal dimensions of bound fluid throats.
The negative correlation between fractal dimensions and pore radius is notable, with a correlation coefficient of 0.791 (Figure 13a), and the correlation with throat radius is even stronger, with a coefficient of 0.963 (Figure 13b). Additionally, fractal dimensions positively correlate with the ratio of pore–throat radii (correlation coefficient of 0.863; Figure 13c) and negatively correlate with the sorting coefficient (correlation coefficient of 0.366; Figure 13d). These findings suggest that larger average throat radii enhance permeability, as throat size plays a critical role in determining the fluid flow capacity of the reservoir. The observed negative correlation between movable fluid fractal dimensions and throat radius implies that larger, more homogeneous throats provide a better pore–throat configuration, resulting in improved connectivity and larger throat radii. Throats associated with movable fluids typically have larger radii and superior connectivity, rendering the pore–throat structure more uniform and reducing fractal dimensions.
The fractal dimension of movable fluid pore–throats exhibits a strong negative correlation with final mercury saturation, which is an essential parameter that quantifies the sample’s storage and permeability capabilities. As the final mercury saturation increases under consistent pressure, it indicates enhanced storage and permeability, reflecting superior connectivity within the sample’s pore–throat network. This is further evidenced by larger volumes in the pore–throat structures of tight sandstone reservoirs, leading to smaller fractal dimensions, hence indicating simpler pore–throat complexity. Analysis from constant-rate mercury intrusion tests shows a distinct relationship between the fractal dimensions and mercury saturations: while the fractal dimension of bound fluid pore-throats positively correlates with total throat mercury saturation, that of movable fluid pore–throats negatively correlates. The fractal dimensions negatively correlate with pore mercury saturation, with a correlation coefficient of 0.374 (Figure 14a), and with throat mercury saturation, with a correlation coefficient of 0.469 (Figure 14b).
Higher mercury saturation in movable fluid throats corresponds to lower fractal dimensions, indicating more homogeneous throats and better storage and permeability properties. In contrast, higher mercury saturation in bound fluid throats under the same pressure is associated with a greater proportion of finer throats. These finer throats impede fluid flow, contributing to more complex pore–throat structures and resulting in higher fractal dimensions. The overall pore mercury saturation demonstrates a general negative correlation with the fractal dimension of movable fluid throats. A greater total pore volume controlled by a range of throat sizes implies smaller pore–throat radius ratios and more homogeneous structures.
Displacement pressure, derived from high-pressure mercury intrusion, provides critical insights into the characteristics of pore–throat sizes. Analysis indicates a strong negative correlation between the fractal dimensions of movable fluid pore–throats and displacement pressure. This correlation implies that larger pore–throat radii, increased storage capacity, enhanced fluid flow capabilities, and more uniform throat structures contribute to lower fractal dimensions. Additionally, fractal dimensions display a negative correlation with the main throat radius, quantified by a correlation coefficient of 0.785 (Figure 14c), and a positive correlation with displacement pressure, with a correlation coefficient of 0.391 (Figure 14d). These findings underscore the critical role that throat dimensions play in the storage and mobility of fluids within reservoirs. Larger pore–throat dimensions and volumes not only promote a more homogeneous structural configuration but also enhance connectivity and fluid percolation efficiency across the reservoir.

4.3. Relationship Between Fractal Dimensions and Rock Components

The structural complexity of pore–throat configurations significantly influences permeability and fluid mobility in tight sandstone reservoir rocks. Notably, the quartz content is negatively correlated with the fractal dimensions of movable fluid pore throats, with a correlation coefficient of 0.231 (Figure 15a). This correlation suggests that quartz, due to its resistance to compaction, helps in maintaining the integrity of pore–throat structures, thus facilitating the storage of movable fluids. Further, the presence of quartz contributes to a more uniform pore–throat structure, which enhances fluid percolation. Its smooth and erosion-resistant surface, coupled with the regularity of pore–throat shapes, leads to lower fractal dimensions, suggesting simpler structural complexity. On the other hand, the feldspar content shows a relatively weak positive correlation with fractal dimensions (correlation coefficient of 0.16, Figure 15b), which may be attributed to the variable feldspar dissolution rates. In contrast, lithic fragments display a more substantial positive correlation with fractal dimensions, with a correlation coefficient of 0.389 (Figure 15c). At large scales, intense dissolution and weak cementation expand intergranular spaces, increasing pore–throat radii, but the shapes remain irregular, and spatial deformation is significant. Thus, large-scale pores and throats exhibit complex geometry, strong heterogeneity, and higher fractal dimensions, as well as fractal dimension scales with pore–throat complexity and heterogeneity. Higher fractal dimensions coincide with increased heterogeneity, reflecting more uneven pore throat distributions and heightened microscale heterogeneity.
Increased interstitial material content tends to decrease intergranular pore space and increase the complexity of the pore–throat structure, resulting in enhanced heterogeneity. These interstitial materials often occupy intergranular pores in a tubular distribution. Despite their connectivity, the small throat sizes restrict the formation of continuous percolation channels. Together with the large intergranular spaces, this leads to more complex pore–throat structures and, consequently, higher fractal dimensions. Specifically, chlorite, calcite, and laumontite all show positive correlations with fractal dimensions, with respective correlation coefficients of 0.14 (Figure 15d), 0.154 (Figure 15e), and 0.122 (Figure 15f). These cementing components, mainly secondary minerals such as chlorite, followed by laumontite, contribute significantly to the structural complexity. As sedimentary layers accumulate, compaction and leaching processes precipitate minerals like laumontite, which further reduces pore volume. Cementation by these minerals can decrease sandstone porosity by approximately 7–8%. Moreover, as burial depth increases and organic matter matures, the generation of significant organic acids leads to the dissolution of minerals like laumontite. Subsequent leaching processes may redissolve precipitated minerals within the pores, thereby freeing up space that could potentially serve as reservoirs for hydrocarbon accumulation. This study quantifies the contributions of different reservoir spaces to petrophysical properties by analyzing pore morphology and heterogeneity, thereby providing a theoretical geological basis for the evaluation and exploration of tight sandstone oil reservoirs.

5. Conclusions

(1) Each method has its advantages and limitations, making it challenging to characterize the entire scale of the pore structure by a single technique. Therefore, it is common to combine multiple approaches, such as high-pressure mercury intrusion, NMR with mercury intrusion, or NMR with SEM, to comprehensively characterize the pore structure of tight reservoirs. The mercury intrusion method is limited by the intrusion pressure, rendering it insufficient for a complete characterization of the pore space and pore size distribution. NMR, by contrast, categorizes reservoirs based on T2 spectrum distribution and relaxation time; it can provide a more comprehensive depiction of pore distribution, though it does not directly measure flow capacity. Moreover, the T2 spectrum reflects the sample’s relaxation time, and further conversion is needed to obtain the pore size distribution.
(2) Tight sandstone reservoirs exhibit strong heterogeneity in pore–throat characteristics, notably influenced by the diverse shapes and connectivity of pore–throats. When mercury initially enters the sample, the intrusion curve slope is steep, and saturation rises rapidly. After the intrusion pressure exceeds the inflection point, the slope of the saturation curve becomes gentler with increasing pressure, indicating smaller incremental intrusion in the pore–throat system. Smaller-scale pore–throats, which undergo substantial compaction and cementation, display reduced fractal dimensions, reflecting a more uniform and less complex structure. Conversely, larger-scale pore–throats, significantly altered by dissolution, exhibit increased fractal dimensions due to severe deformation, indicating greater structural complexity and heterogeneity. It shows negative correlations between pore–throat fractal dimension and both small and large pore–throats. The increased throat complexity degrades reservoir petrophysical properties, and permeability is more sensitive to the increased complexity than porosity in other tight oil reservoirs, such as the Daqing Oilfield.
(3) The fractal analysis of pore–throat structures reveals distinct inflection points in the curves, marking a transition from large-scale pore–throats, characterized by stronger permeability, to small-scale ones with weaker permeability. Small-scale pores primarily consist of residual intergranular and intercrystalline pores, whereas large-scale pores typically include dissolution pores and composite pores. Pores and throats with smaller radii, which experience minimal influence from diagenetic activities, exhibit lower heterogeneity and smaller fractal dimensions. In contrast, small-scale throats generally manifest as constricted throats, while large-scale throats are characterized as curved lamellar throats, which are significantly transformed by diagenetic processes due to their larger radii. The impact of diagenesis is a key factor in the fractal characteristics of pore–throats, introducing pronounced heterogeneity and clear distinctions in fractal dimensions between different scales of pore–throats.
(4) NMR pore–throat fractal dimensions exhibit a two-segment distribution characteristic, indicating that the complexity of the pore–throat structure and the size of the throats critically determine permeability. Movable fluids are primarily distributed in large pore–throats, where the complexity of these large pore–throat structures dictates the mobility of the sample fluids. Additionally, the proportion of brittle mineral content significantly impacts the heterogeneity of the pore–throat structure. Fractal analysis of the T2 curves yields two characteristic dimensions: D ranges from 2.333 to 2.588 (mean 2.479), representing the markedly complex larger pore–throat network. This clear dual-fractal behavior highlights that larger pore–throats exhibit much more complex pore structures than smaller ones. By quantifying these contrasting regimes, NMR offers a powerful tool for evaluating pore structure complexity and reservoir quality in tight oil reservoirs. By quantifying these contrasting regimes, NMR offers a powerful tool for evaluating pore structure complexity and reservoir quality in tight oil reservoirs.

Funding

This research received no external funding.

Data Availability Statement

The original contributions presented in this study are included in the article material. Further inquiries can be di-rected to the corresponding author.

Acknowledgments

This work was supported by the PetroChina Changqing Oilfield Company. Finally, we would like to express our thanks to the reviewers of this paper.

Conflicts of Interest

The author declares no conflict of interest.

References

  1. Gong, H.; Qin, X.; Shang, S.; Zhu, C.; Xu, L.; San, Q.; Li, Y.; Dong, M. Enhanced Shale Oil Recovery by the Huff and Puff Method Using CO2 and Cosolvent Mixed Fluids. Energy Fuels 2020, 34, 1438–1446. [Google Scholar] [CrossRef]
  2. Lyu, Q.; Wang, K.; Hu, C.; Dick, J.M.; Shi, J.; Tan, J. Experimental Study on the Mechanical Properties of Shale After Long-term of Immersion in Fracturing Fluids with Different pH. Rock Mech. Rock Eng. 2022, 55, 5047–5061. [Google Scholar] [CrossRef]
  3. Zheng, S.; Sharma, M.M. Evaluating different energized fracturing fluids using an integrated equation-of-state compositional hydraulic fracturing and reservoir simulator. J. Pet. Explor. Prod. Technol. 2022, 12, 851–869. [Google Scholar] [CrossRef]
  4. Wang, W.; Lin, C.; Zhang, X. Fractal Dimension Analysis of Pore Throat Structure in Tight Sandstone Reservoirs of Huagang Formation: Jiaxing Area of East China Sea Basin. Fractal Fract. 2024, 8, 374. [Google Scholar] [CrossRef]
  5. Wu, J.; Fan, T.; Gomez-Rivas, E.; Gao, Z.; Yao, S.; Li, W.; Zhang, C.; Sun, Q.; Gu, Y.; Xiang, M. Impact of pore structure and fractal characteristics on the sealing capacity of Ordovician carbonate cap rock in the Tarim Basin, China. Mar. Pet. Geol. 2019, 102, 557–579. [Google Scholar] [CrossRef]
  6. Zhang, H.; Li, X.; Liu, J.; Wang, Y.; Guo, L.; Wu, Z.; Tian, Y. A Fractal Characteristics Analysis of the Pore Throat Structure in Low-Permeability Sandstone Reservoirs: A Case Study of the Yanchang Formation, Southeast Ordos Basin. Fractal Fract. 2025, 9, 224. [Google Scholar] [CrossRef]
  7. Chang, B.; Tong, Q.; Cao, C.; Zhang, Y. Effect of pore-throat structure on movable fluid and gas–water seepage in tight sandstone from the southeastern Ordos Basin, China. Sci. Rep. 2025, 15, 7714. [Google Scholar] [CrossRef] [PubMed]
  8. Wang, L.; Li, X.; Wang, J.; Zhang, H.; Shi, H.; Liu, G.; Yang, D. Effect of pore-throat structure on irreducible water saturation and gas seepage capacity in a multilayer tight sandstone gas reservoir. Geoenergy Sci. Eng. 2025, 249, 213787. [Google Scholar] [CrossRef]
  9. Zhang, L.; Liu, J.; He, X.; Feng, F.; Li, W.; Wang, M.; Zhu, W.; Zhu, Y. Fractal Characteristics and Influencing Factors of Pore Structure in Tight Sandstone: A Case Study from Chang 6 Member of the Southwestern Yishan Slope. Processes 2025, 13, 988. [Google Scholar] [CrossRef]
  10. Kang, Y.; Zhu, R.; Liu, K.; Zhang, J.; Liu, C. Pore Fractal and Structure Analysis of Pore-Filling Chlorite in Continental Shales: A Case Study from the Qingshankou Formation in the Gulong Sag. Fractal Fract. 2025, 9, 266. [Google Scholar] [CrossRef]
  11. Huang, H.; Li, R.; Lyu, Z.; Cheng, Y.; Zhao, B.; Jiang, Z.; Zhang, Y.; Xiong, F. Comparative study of methane adsorption of Middle-Upper Ordovician marine shales in the western Ordos Basin, NW China: Insights into impacts of moisture on thermodynamics and kinetics of adsorption. Chem. Eng. J. 2022, 446, 137411. [Google Scholar] [CrossRef]
  12. Wang, L.; Zhang, Y.; Zou Rui Zou Run Huang, L.; Liu, Y.; Meng, Z.; Wang, Z.; Lei, H. A systematic review of CO2 injection for enhanced oil recovery and carbon storage in shale reservoirs. Int. J. Hydrogen Energy 2023, 48, 37134–37165. [Google Scholar] [CrossRef]
  13. He, T.; Zhou, Y.; Chen, Z.; Zhang, Z.; Xie, H.; Shang, Y.; Cui, G. Fractal Characterization of the Pore-Throat Structure in Tight Sandstone Based on Low-Temperature Nitrogen Gas Adsorption and High-Pressure Mercury Injection. Fractal Fract. 2024, 8, 356. [Google Scholar] [CrossRef]
  14. Guo, X.; Semnani, A.; Ekekeh, D.G.; Gao, Z.; Ostadhassan, M.; Jia, H.; Fu, J.; Ying, W. Experimental study of spontaneous imbibition for oil recovery in tight sandstone cores under high pressure high temperature with low field nuclear magnetic resonance. J. Pet. Sci. Eng. 2021, 201, 108366. [Google Scholar] [CrossRef]
  15. Wang, L.; Zhang, Y.; Zou, R.; Zou, R.; Huang, L.; Liu, Y.; Lei, H. Molecular dynamics investigation of DME assisted CO2 injection to enhance shale oil recovery in inorganic nanopores. J. Mol. Liq. 2023, 385, 122389. [Google Scholar] [CrossRef]
  16. Wang, L.; Zhang, Y.; Luo, R.; Zou, R.; Deng, H.; Zou, R.; Huang, L.; Liu, Y. Lower limits of petrophysical parameters for effective reservoirs in ultradeep carbonate gas reservoirs: A case study from the Deng IV Member, Gaoshiti-Moxi Area, Sichuan Basin, SW China. J. Hydrol. 2023, 621, 129657. [Google Scholar] [CrossRef]
  17. Liu, Z.Y.; Li, Y.Q.; Cui, M.H.; Wang, F.Y.; Prasiddhianti, A.G. Pore-scale investigation of residual oil displacement in surfactant–polymer flooding using nuclear magnetic resonance experiments. Pet. Sci. 2016, 13, 91–99. [Google Scholar] [CrossRef]
  18. Xia, Y.; Cai, J.; Perfect, E.; Wei, W.; Zhang, Q.; Meng, Q. Fractal dimension, lacunarity and succolarity analyses on CT images of reservoir rocks for permeability prediction. J. Hydrol. 2019, 579, 124198. [Google Scholar] [CrossRef]
  19. Liu, J.; Sheng, J.J.; Wang, X.; Ge, H.; Yao, E. Experimental study of wettability alteration and spontaneous imbibition in Chinese shale oil reservoirs using anionic and nonionic surfactants. J. Pet. Sci. Eng. 2019, 175, 624–633. [Google Scholar] [CrossRef]
  20. Zhang, F.; Jiang, Z.; Sun, W.; Li, Y.; Zhang, X.; Zhu, L.; Wen, M. A multiscale comprehensive study on pore structure of tight sandstone reservoir realized by nuclear magnetic resonance, high pressure mercury injection and constant-rate mercury injection penetration test. Mar. Pet. Geol. 2019, 109, 208–222. [Google Scholar] [CrossRef]
  21. Mahdaviara, M.; Rostami, A.; Keivanimehr, F.; Shahbazi, K. Accurate determination of permeability in carbonate reservoirs using Gaussian Process Regression. J. Pet. Sci. Eng. 2021, 196, 107807. [Google Scholar] [CrossRef]
  22. Li, C.; Dai, W.; Luo, B.; Pi, J.; Liu, Y.; Zhang, Y. New fractal-dimension-based relation model for estimating absolute permeability through capillary pressure curves. J. Pet. Sci. Eng. 2021, 196, 107672. [Google Scholar] [CrossRef]
  23. Jiang, L.L.; Tian, L.; Zhou, Y.T.; Li, M.; Huang, C.; Wang, J.X.; Wang, H.L.; Chai, X.L. Prediction of Minimum Miscibility Pressure for CO2 Flooding Based on Microscopic Pore-Throat Structure. Front. Energy Res. 2022, 10, 834951. [Google Scholar] [CrossRef]
  24. Liang, X.; Zhou, F.; Liang, T.; Wang, C.; Wang, J.; Yuan, S. Impacts of low harm fracturing fluid on fossil hydrogen energy production in tight reservoirs. Int. J. Hydrogen Energy 2020, 45, 21195–21204. [Google Scholar] [CrossRef]
  25. Cui, H.; Zhu, S.; Wang, J.; Gao, Y.; Wan, C.; Tong, H. Physical Properties, Pore-Throat Structure, Fractal Characteristics and Their Effects on the Gas-Bearing Capacity of Tight Sandstone: A Case Study from the Northern Tianhuan Depression, Ordos Basin, China. Nat. Resour. Res. 2022, 31, 1559–1584. [Google Scholar] [CrossRef]
  26. Zhang, H.; Guo, L.; Wu, Z.; Ma, J. Pore-throat structure, fractal characteristics and permeability prediction of tight sandstone: The Yanchang Formation, Southeast Ordos Basin. Sci. Rep. 2024, 14, 27913. [Google Scholar] [CrossRef] [PubMed]
  27. Xie, L.; You, Q.; Wang, E.; Li, T.; Song, Y. Quantitative characterization of pore size and structural features in ultra-low permeability reservoirs based on X-ray computed tomography. J. Pet. Sci. Eng. 2022, 208, 109733. [Google Scholar] [CrossRef]
  28. Wu, Y.; Liu, C.; Ouyang, S.; Luo, B.; Zhao, D.; Sun, W.; Awan, R.S.; Lu, Z.; Li, G.; Zang, Q. Investigation of pore-throat structure and fractal characteristics of tight sandstones using HPMI, CRMI, and NMR methods: A case study of the lower Shihezi Formation in the Sulige area, Ordos Basin. J. Pet. Sci. Eng. 2022, 210, 110053. [Google Scholar] [CrossRef]
  29. Han, C.; Li, G.; Dan, S.; Yang, Y.; He, X.; Qi, M.; Liu, G. Study of Fractal and Multifractal Features of Pore Structure in Tight Sandstone Reservoirs of the Permian Lucaogou Formation, Jimsar Sag, Junggar Basin, Northwest China. ACS Omega 2022, 204, 32–52. [Google Scholar] [CrossRef]
  30. Li, Y.; Wang, Z.; Pan, Z.; Niu, X.; Yu, Y.; Meng, S. Pore structure and its fractal dimensions of transitional shale: A cross-section from east margin of the Ordos Basin, China. Fuel 2019, 241, 417–431. [Google Scholar] [CrossRef]
  31. Liu, D.; Ren, D.; Du, K.; Qi, Y.; Ye, F. Impacts of mineral composition and pore structure on spontaneous imbibition in tight sandstone. J. Pet. Sci. Eng. 2021, 201, 108397. [Google Scholar] [CrossRef]
  32. Huang, H.; Li, R.; Jiang, Z.; Li, J.; Chen, L. Investigation of variation in shale gas adsorption capacity with burial depth: Insights from the adsorption potential theory. J. Nat. Gas Sci. Eng. 2020, 73, 103043. [Google Scholar] [CrossRef]
  33. Chen, Y.; Zhi, D.; Qin, J.; Song, P.; Zhao, H.; Wang, F. Experimental study of spontaneous imbibition and CO2 huff and puff in shale oil reservoirs with NMR. J. Pet. Sci. Eng. 2022, 209, 109883. [Google Scholar] [CrossRef]
  34. Huang, H.; Chen, L.; Dang, W.; Luo, T.; Sun, W.; Jiang, Z.; Tang, X.; Zhang, S.; Ji, W.; Shao, S.; et al. Discussion on the rising segment of the mercury extrusion curve in the high pressure mercury intrusion experiment on shales. Mar. Pet. Geol. 2019, 102, 615–624. [Google Scholar] [CrossRef]
  35. Zaeri, M.R.; Hashemi, R.; Shahverdi, H.; Sadeghi, M. Enhanced oil recovery from carbonate reservoirs by spontaneous imbibition of low salinity water. Pet. Sci. 2018, 15, 564–576. [Google Scholar] [CrossRef]
  36. Wang, H.; Lun, Z.; Lv, C.; Lang, D.; Luo, M.; Zhao, Q.; Zhao, C. Nuclear-Magnetic-Resonance Study on Oil Mobilization in Shale Exposed to CO2. SPE J. 2020, 25, 432–439. [Google Scholar] [CrossRef]
  37. Wang, X.; Wang, M.; Li, Y.; Zhang, J.; Li, M.; Li, Z.; Guo, Z.; Li, J. Shale pore connectivity and influencing factors based on spontaneous imbibition combined with a nuclear magnetic resonance experiment. Mar. Pet. Geol. 2021, 132, 105239. [Google Scholar] [CrossRef]
  38. Wang, X.; Sheng, J.J. Spontaneous imbibition analysis in shale reservoirs based on pore network modeling. J. Pet. Sci. Eng. 2018, 169, 663–672. [Google Scholar] [CrossRef]
  39. Li, Q.; Wang, F.; Forson, K.; Zhang, J.; Zhang, C.; Chen, J.; Xu, N.; Wang, Y. Affecting analysis of the rheological characteristic and reservoir damage of CO2 fracturing fluid in low permeability shale reservoir. Environ. Sci. Pollut. Res. 2022, 29, 37815–37826. [Google Scholar] [CrossRef]
  40. Xiao, W.; Yang, Y.; Bernabé, Y.; Lei, Q.; Li, M.; Xie, Q.; Zheng, L.; Liu, S.; Huang, C.; Zhao, J.; et al. Experimental Study on EOR in Shale Oil Cores during Associated Gas flooding: A Case Study from Yanchang Formation, Ordos Basin. SPE J. 2023, 28, 2329–2345. [Google Scholar] [CrossRef]
  41. Li, X.; Chen, X.; Xu, Z.; Pu, C. A Novel Foam Flooding for Enhanced Oil Recovery in Fractured Low-Permeability Reservoirs: Performance Evaluation and Mechanism Study. SPE J. 2022, 27, 2408–2424. [Google Scholar] [CrossRef]
  42. Han, Z.; Zhou, Y.; Wei, F.; Zhang, Q.; Fan, P.; Deng, C.; Gong, J.; Cheng, X.; Ma, E.; Wu, H. Pore-Throat Structure and Fractal Characteristics of Tight Sandstones: A Case Study from the Chang 63 Sublayer, Southeast Ordos Basin. Geofluids 2023, 2023, 1–16. [Google Scholar] [CrossRef]
  43. Nan, F.; Lin, L.; Lai, Y.; Wang, C.; Yu, Y.; Chen, Z. Research on Fractal Characteristics and Influencing Factors of Pore-Throats in Tight Sandstone Reservoirs: A Case Study of Chang 6 of the Upper Triassic Yanchang Formation in Huaqing Area, Ordos Basin, China. Minerals 2023, 13, 1137. [Google Scholar] [CrossRef]
  44. Sun, Z.; Li, M.; Yuan, S.; Zhou, F.; Fei, R. The effect of the fracture geometries from different stratification angle on the imbibition recovery of Jimusar shale oil: A comprehensive experimental study. Geoenergy Sci. Eng. 2023, 229, 212067. [Google Scholar] [CrossRef]
  45. Wang, W.; Wang, R.; Wang, L.; Qu, Z.; Ding, X.; Gao, C.; Meng, W. Pore Structure and Fractal Characteristics of Tight Sandstones Based on Nuclear Magnetic Resonance: A Case Study in the Triassic Yanchang Formation of the Ordos Basin, China. ACS Omega 2023, 8, 16284–16297. [Google Scholar] [CrossRef] [PubMed]
  46. Huang, H.; Sun, W.; Xiong, F.; Chen, L.; Li, X.; Gao, T.; Jiang, Z.; Ji, W.; Wu, Y.; Han, J. A novel method to estimate subsurface shale gas capacities. Fuel 2018, 232, 341–350. [Google Scholar] [CrossRef]
  47. Guo, T.; Fu, D.; Xiong, L.; Wang, Y. The investigation of microporous structure and fluid distribution mechanism in tight sandstone gas reservoirs: A case study on the second member of Xujiahe gas reservoirs in Yuanba area. Front. Energy Res. 2022, 10, 974655. [Google Scholar] [CrossRef]
  48. Zeng, Y.; Pang, Y.; Ding, S.; Di, K.; Shen, Z.; Chen, S. Pore-fracture network alteration during forced and spontaneous imbibition processes in shale formation. J. Pet. Sci. Eng. 2022, 209, 109846. [Google Scholar] [CrossRef]
  49. Wang, L.; He, Y.; Wang, Q.; Liu, M.; Jin, X. Multiphase flow characteristics and EOR mechanism of immiscible CO2 water-alternating-gas injection after continuous CO2 injection: A micro-scale visual investigation. Fuel 2020, 282, 118689. [Google Scholar] [CrossRef]
  50. Wu, Y.; Wang, X.; Zhang, C.; Xian, C. Pore scale numerical investigation of counter-current spontaneous imbibition in multi-scaled pore networks. Petroleum 2023, 9, 558–571. [Google Scholar] [CrossRef]
  51. Xiao, D.; Jiang, S.; Thul, D.; Huang, W.; Lu, Z.; Lu, S. Combining rate-controlled porosimetry and NMR to probe full-range pore throat structures and their evolution features in tight sands: A case study in the Songliao Basin, China. Mar. Pet. Geol. 2017, 83, 111–123. [Google Scholar] [CrossRef]
  52. Zhang, T.; Li, Z.; Lai, F.; Adenutsi, C.D.; You, Q. Effects of the Sandstone Pore Structure on Spontaneous Imbibition: A Systematic Experimental Investigation Based on Fractal Analysis. Energy Fuels 2022, 36, 382–396. [Google Scholar] [CrossRef]
  53. Cheng, Y.; Luo, X.; Zhuo, Q.; Gong, Y.; Liang, L. Description of Pore Structure of Carbonate Reservoirs Based on Fractal Dimension. Processes 2024, 12, 825. [Google Scholar] [CrossRef]
  54. Huang, H.; Li, R.; Xiong, F.; Hu, H.; Sun, W.; Jiang, Z.; Chen, L.; Wu, L. A method to probe the pore-throat structure of tight reservoirs based on low-field NMR: Insights from a cylindrical pore model. Mar. Pet. Geol. 2020, 117, 104344. [Google Scholar] [CrossRef]
  55. Tong, Q.; He, D.; Xia, Z.; Huang, J.; Di, K.; Xu, F.; Guo, S. Influence of Reservoir Pore-Throat Structure Heterogeneity on Water-Flooding Seepage: A Case Study of Yanchang Formation in Ordos Basin. Minerals 2022, 12, 1243. [Google Scholar] [CrossRef]
  56. Huang, H.; Li, R.; Chen, W.; Chen, L.; Jiang, Z.; Xiong, F.; Guan, W.; Zhang, S.; Tian, B. Revisiting movable fluid space in tight fine-grained reservoirs: A case study from Shahejie shale in the Bohai Bay Basin, NE China. J. Pet. Sci. Eng. 2021, 207, 109170. [Google Scholar] [CrossRef]
Figure 1. Pore-casted thin section images showing different pore types. (a) Film-like chlorite filling pores, showing developed intergranular pores. (b) Laumontite filling pores. (c) Calcified densification. (d) Calcite filling pores. (e) Clastic orientation showing enriched mica along surfaces, altered and deformed, with chlorite linings and calcite filling pores, also displaying closed micro-fractures. (f) Very low porosity.
Figure 1. Pore-casted thin section images showing different pore types. (a) Film-like chlorite filling pores, showing developed intergranular pores. (b) Laumontite filling pores. (c) Calcified densification. (d) Calcite filling pores. (e) Clastic orientation showing enriched mica along surfaces, altered and deformed, with chlorite linings and calcite filling pores, also displaying closed micro-fractures. (f) Very low porosity.
Fractalfract 09 00415 g001
Figure 2. SEM images of different throat types. (a) Lamellar and filamentous illite–smectite mixed layers, thread-like illite, needle-like chlorite, feldspar, quartz, and spherical pyrite. (b) On-grain chlorite, intergranular kaolinite, and residual intergranular pores. (c) Chlorite and laumontite filling intergranular spaces. (d) Intergranular and on-grain illite, chlorite, rhombohedral carbonates, and residual intergranular porosity. (e) Illite, chlorite, and residual intergranular pores, measuring approximately 53 μm. (f) Overall view showing quartz with secondary enlargement, tight rock texture, and clasts with dissolution features, enriched with laumontite and abundant chlorite. (g) Chlorite; (h) illite.
Figure 2. SEM images of different throat types. (a) Lamellar and filamentous illite–smectite mixed layers, thread-like illite, needle-like chlorite, feldspar, quartz, and spherical pyrite. (b) On-grain chlorite, intergranular kaolinite, and residual intergranular pores. (c) Chlorite and laumontite filling intergranular spaces. (d) Intergranular and on-grain illite, chlorite, rhombohedral carbonates, and residual intergranular porosity. (e) Illite, chlorite, and residual intergranular pores, measuring approximately 53 μm. (f) Overall view showing quartz with secondary enlargement, tight rock texture, and clasts with dissolution features, enriched with laumontite and abundant chlorite. (g) Chlorite; (h) illite.
Fractalfract 09 00415 g002
Figure 3. The relationship between porosity and permeability.
Figure 3. The relationship between porosity and permeability.
Fractalfract 09 00415 g003
Figure 4. Variation of mercury saturation with capillary pressure in different core samples.
Figure 4. Variation of mercury saturation with capillary pressure in different core samples.
Fractalfract 09 00415 g004
Figure 5. Distribution of pore and throat radius in different core samples ((a) pore radius, (b) throat radius).
Figure 5. Distribution of pore and throat radius in different core samples ((a) pore radius, (b) throat radius).
Fractalfract 09 00415 g005
Figure 6. Histograms of fractal dimensions of small- and large-scale pores throats in different core samples ((a) pores, (b) throats).
Figure 6. Histograms of fractal dimensions of small- and large-scale pores throats in different core samples ((a) pores, (b) throats).
Fractalfract 09 00415 g006
Figure 7. Fractal characteristics of pores and throats in different core samples.
Figure 7. Fractal characteristics of pores and throats in different core samples.
Fractalfract 09 00415 g007aFractalfract 09 00415 g007b
Figure 8. NMR T2 spectra showing porosity components in the water-saturated state and after centrifugation ((a) porosity components in the water-saturated state, (b) porosity components after centrifugation).
Figure 8. NMR T2 spectra showing porosity components in the water-saturated state and after centrifugation ((a) porosity components in the water-saturated state, (b) porosity components after centrifugation).
Fractalfract 09 00415 g008
Figure 9. NMR T2 spectra showing cumulative components of porosity in the water-saturated state and after centrifugation ((a) Cumulative components of porosity in the water-saturated state, (b) Cumulative components of porosity after centrifugation).
Figure 9. NMR T2 spectra showing cumulative components of porosity in the water-saturated state and after centrifugation ((a) Cumulative components of porosity in the water-saturated state, (b) Cumulative components of porosity after centrifugation).
Fractalfract 09 00415 g009
Figure 10. NMR fractal curves of pores and throats in different core samples.
Figure 10. NMR fractal curves of pores and throats in different core samples.
Fractalfract 09 00415 g010aFractalfract 09 00415 g010b
Figure 11. Correlation of porosity and permeability with fractal dimension ((a) porosity, (b) permeability).
Figure 11. Correlation of porosity and permeability with fractal dimension ((a) porosity, (b) permeability).
Fractalfract 09 00415 g011
Figure 12. Correlation of movable and bound fluid saturation with fractal dimension ((a) movable fluid saturation, (b) bound fluid saturation).
Figure 12. Correlation of movable and bound fluid saturation with fractal dimension ((a) movable fluid saturation, (b) bound fluid saturation).
Fractalfract 09 00415 g012
Figure 13. Relationship between pore–throat fractal dimensions and pore–throat structures ((a) pore radius, (b) throat radius, (c) pore-throat radius ratio, (d) sorting coefficient).
Figure 13. Relationship between pore–throat fractal dimensions and pore–throat structures ((a) pore radius, (b) throat radius, (c) pore-throat radius ratio, (d) sorting coefficient).
Fractalfract 09 00415 g013aFractalfract 09 00415 g013b
Figure 14. Relationship between pore–throat fractal dimensions and pore–throat structural parameters ((a) mercury saturation in pores, (b) mercury saturation in throats, (c) main throat radius, (d) displacement pressure).
Figure 14. Relationship between pore–throat fractal dimensions and pore–throat structural parameters ((a) mercury saturation in pores, (b) mercury saturation in throats, (c) main throat radius, (d) displacement pressure).
Fractalfract 09 00415 g014aFractalfract 09 00415 g014b
Figure 15. Relationship between pore–throat fractal dimensions and rock components ((a) quartz, (b) Feidspar, (c) Lithic fragment, (d) Chlorite, (e) Calcite, (f) Laumontite).
Figure 15. Relationship between pore–throat fractal dimensions and rock components ((a) quartz, (b) Feidspar, (c) Lithic fragment, (d) Chlorite, (e) Calcite, (f) Laumontite).
Fractalfract 09 00415 g015
Table 1. Statistics of Chang-6 Member core sample parameters.
Table 1. Statistics of Chang-6 Member core sample parameters.
TypeCore Sample IDLength (cm)Diameter (cm)Permeability (×10−3 μm2)Porosity (%)
IS1-13.3062.532.13511.08
S1-22.8202.531.19612.19
IIS2-12.5802.520.2549.84
S2-22.7702.520.3679.09
S2-33.1062.520.4518.48
IIIS3-13.3282.510.0455.18
S3-24.1902.530.0853.46
S3-32.2262.520.0203.28
Table 2. Statistics and fractal dimensions of Chang-6 Member tight sandstone pores and throats.
Table 2. Statistics and fractal dimensions of Chang-6 Member tight sandstone pores and throats.
TypeCore Sample IDPorosity (%)Permeability (×10−3 μm2)Average Throat Radius (μm)Average Pore Radius (μm)Fractal Dimensions
Small-Scale PoresLarge-Scale PoresSmall-Scale ThroatsLarge-Scale Throats
IS1-111.082.1352.49125.4812.1752.7942.3693.339
S1-212.191.1961.461149.2472.2663.132.3314.931
IIS2-19.840.2540.839152.0682.2262.7772.2148.994
S2-29.090.3670.6489128.7122.2042.7522.68.685
S2-38.480.4511.095136.4742.1875.4112.2496.651
IIIS3-15.180.0450.34128.2852.1882.8622.77113.418
S3-23.460.0850.285126.1522.2446.0942.63510.263
S3-33.280.020.428135.2812.344.3472.4483.457
Table 3. Statistics of NMR fractal dimensions.
Table 3. Statistics of NMR fractal dimensions.
Core Sample IDT2 < T2cutoffT2 > T2cutoff
DminRegression EquationR2DmaxRegression EquationR2
S1-1−3.619y = 6.619x + 5.5080.9262.333y = 0.667x + 0.6030.887
S1-2−3.123y = 6.123x + 4.640.9312.354y = 0.646x + 0.2140.861
S2-1−2.819y = 5.819x + 4.530.9222.428y = 0.572x + 0.5030.868
S2-2−3.128y = 6.128x + 5.0240.9292.45y = 0.55x + 0.5280.845
S2-3−2.52y = 5.52x + 3.8250.9112.539y = 0.461x + 0.1310.855
S3-1−2.793y = 5.793x + 4.5190.9232.561y = 0.439x + 0.4490.819
S3-2−2.489y = 5.489x + 4.0690.9142.588y = 0.412x + 0.0940.881
S3-3−1.885y = 4.885x + 3.6030.9342.577y = 0.423x + 0.390.856
Disclaimer/Publisher’s Note: The statements, opinions and data contained in all publications are solely those of the individual author(s) and contributor(s) and not of MDPI and/or the editor(s). MDPI and/or the editor(s) disclaim responsibility for any injury to people or property resulting from any ideas, methods, instructions or products referred to in the content.

Share and Cite

MDPI and ACS Style

Li, P. Fractal Analysis of Pore–Throat Structures in Triassic Yanchang Formation Tight Sandstones, Ordos Basin, China: Implications for Reservoir Permeability and Fluid Mobility. Fractal Fract. 2025, 9, 415. https://doi.org/10.3390/fractalfract9070415

AMA Style

Li P. Fractal Analysis of Pore–Throat Structures in Triassic Yanchang Formation Tight Sandstones, Ordos Basin, China: Implications for Reservoir Permeability and Fluid Mobility. Fractal and Fractional. 2025; 9(7):415. https://doi.org/10.3390/fractalfract9070415

Chicago/Turabian Style

Li, Pan. 2025. "Fractal Analysis of Pore–Throat Structures in Triassic Yanchang Formation Tight Sandstones, Ordos Basin, China: Implications for Reservoir Permeability and Fluid Mobility" Fractal and Fractional 9, no. 7: 415. https://doi.org/10.3390/fractalfract9070415

APA Style

Li, P. (2025). Fractal Analysis of Pore–Throat Structures in Triassic Yanchang Formation Tight Sandstones, Ordos Basin, China: Implications for Reservoir Permeability and Fluid Mobility. Fractal and Fractional, 9(7), 415. https://doi.org/10.3390/fractalfract9070415

Article Metrics

Back to TopTop