Next Article in Journal
Numerical and Analytical Study of the Magnetic Field Distribution in a Three-Solenoid System
Previous Article in Journal
Dynamic Mechanical Characteristics and Fracture Size Effect of Coal Sandstone Under High-Temperature and High-Strain Rate Coupling Action
Previous Article in Special Issue
A Comparative Study of COVID-19 Dynamics in Major Turkish Cities Using Fractional Advection–Diffusion–Reaction Equations
 
 
Font Type:
Arial Georgia Verdana
Font Size:
Aa Aa Aa
Line Spacing:
Column Width:
Background:
Article

Optimal Regional Control of a Time-Fractional Spatiotemporal SIR Model with Vaccination and Treatment Strategies

1
Laboratory of Analysis Modelling and Simulation, Department of Mathematics and Computer Science, Faculty of Sciences Ben M’Sik, Hassan II University Casablanca, BP 7955, Sidi Othman, Casablanca 20100, Morocco
2
Multidisciplinary Research and Innovation Laboratory (LPRI), Moroccan School of Engineering Sciences (EMSI), Casablanca 20250, Morocco
3
Department of Mathematics and Statistics, College of Science, Imam Mohammad Ibn Saud Islamic University (IMSIU), Riyadh 11566, Saudi Arabia
*
Authors to whom correspondence should be addressed.
Fractal Fract. 2025, 9(6), 382; https://doi.org/10.3390/fractalfract9060382
Submission received: 9 May 2025 / Revised: 31 May 2025 / Accepted: 10 June 2025 / Published: 16 June 2025

Abstract

In this study, we analyze a time-fractional spatiotemporal S I R model in a specific area Ω . Taking into account the available resources, vaccines are allocated to region ω 1 Ω and treatments to region ω 2 Ω , which may or may not coincide. Our objective is to minimize infections and costs by implementing an optimal regional control strategy. We establish the existence of optimal controls and related solutions, providing a characterization of optimal control in terms of state and adjoint functions. We employ the forward–backward sweep method to solve the associated optimality system numerically. The findings indicate that a combined strategy of vaccination and treatment is more effective in reducing disease transmission from adjacent regions.

1. Introduction

The study of infectious disease dynamics through mathematical modeling has played a crucial role in decision-making and public health intervention planning. The SIR model, originally developed by McKendrick and Kermack in 1927 [1], provided a fundamental framework for understanding the transmission of certain diseases. However, traditional models often assume a simplified homogeneous distribution of the population, neglecting the complexities of real-world scenarios characterized by spatial heterogeneity. To overcome the limitations of classical compartmental models and enhance the accuracy of disease transmission modeling, researchers have increasingly incorporated spatial dynamics through diffusion terms. For instance, Huang et al. studied a reaction–diffusion system for an SIR epidemic model with a free boundary [2,3]. Similarly, Mehdaoui et al. addressed optimal control strategies for a multi-group reaction–diffusion SIR model with heterogeneous incidence rates [4]. Karim et al. developed a spatiotemporal SIR model for COVID-19, proposing a regional optimal control approach [5]. Furthermore, El Alami Laaroussi et al. investigated the regional control of a reaction–diffusion SIR system [6]. In recent years, fractional-order systems have attracted considerable attention in the modeling of biological and epidemiological processes due to their unique ability to incorporate memory effects and hereditary properties that are often present in complex systems. Unlike classical integer-order models, fractional-order models account for the influence of past states over extended periods, enabling a more comprehensive and realistic description of dynamic behaviors [7]. This capability allows these models to better capture long-range temporal correlations and anomalous diffusion phenomena, which are common in biological processes. Consequently, fractional-order models provide improved predictive performance and a more accurate translation of real-world dynamics, making them particularly valuable for understanding and controlling complex biological and epidemiological systems [8,9,10,11,12].
Motivated by the need to improve the accuracy and practical applicability of infectious disease models, this work is dedicated to the mathematical investigation of fractional spatiotemporal optimal control. By integrating fractional calculus into spatiotemporal frameworks, the study aims to capture complex dynamics more effectively and develop control strategies with enhanced precision and relevance.
The main aim is to characterize and identify optimal control strategies that minimize the density of infected individuals while maximizing the density of recovered individuals, along with the associated costs of treatment and vaccination programs. To incorporate realism, we assume in this work that our control strategies are restricted to specific regions within the domain of our study. Importantly, our approach differs from the previous studies mentioned in this article, such as [10,13,14,15], by utilizing regional controls and adopting fractional-time derivatives. By addressing the limitations of the previous models and incorporating fractional-order dynamics and distributional controls, our work aims to provide valuable insights and practical guidance for effective disease control strategies. Through this research, we contribute to the current efforts in combating infectious diseases by offering a more precise and comprehensive understanding of their dynamics and providing scientifically grounded recommendations to optimize public health interventions.
In this paper, we organize our content as follows: Section 2 introduces the optimal control problem that is the subject of our study. Section 3 and Section 4 of our work are focused on addressing the solution’s existence for the system under consideration, along with determining the optimal control solution for our optimization problem. In Section 5, we establish the optimality system from which we derive the optimal control minimizing our cost function. To illustrate the practical implications of our theoretical results, we provide, in Section 6, an application to a COVID-19 model where the numerical simulations are successful due to the FBSM. Finally, in Section 7, we conclude the article by summarizing our key findings.

2. Problem Setting

In this study, we address a regional optimal control problem utilizing a fractional spatiotemporal epidemic model. Building upon existing models [5,6], we extend their frameworks by incorporating spatial diffusion and fractional-time derivatives.
Let M = [ 0 , T ] × Ω , Υ = [ 0 , T ] × Ω , where [ 0 , T ] is a finite interval and ζ belongs in a bounded domain Ω R 2 , and Ω refers to the boundary of the spatial domain Ω . The dynamics of the regional fractional SIR system under control can be described as follows:
D k α 0 C S ( k , ζ ) = Λ + d 1 Δ S ( k , ζ ) β S ( k , ζ ) I ( k , ζ ) m S ( k , ζ ) u ( k ) χ ω 1 ( ζ ) S ( k , ζ ) , D k α 0 C I ( k , ζ ) = d 2 Δ I ( k , ζ ) + β S ( k , ζ ) I ( k , ζ ) ( m + r + g ) I ( k , ζ ) v ( k ) χ ω 2 ( ζ ) I ( k , ζ ) , ( k , ζ ) M , D k α 0 C R ( k , ζ ) = d 3 Δ R ( k , ζ ) m R ( k , ζ ) + g I ( k , ζ ) + u ( k ) χ ω 1 ( ζ ) S ( k , ζ ) + v ( k ) χ ω 2 ( ζ ) I ( k , ζ )
under Neumann’s homogeneous boundary conditions
S η = I η = R η = 0 , ( k , ζ ) Υ ,
and, for biological reasons, the three classes’ initial conditions ought to be as follows:
S ( 0 , ζ ) = S 0 0 , I ( 0 , ζ ) = I 0 0 , R ( 0 , ζ ) = R 0 0 , ζ Ω .
For positive constants Λ , β , m, r, and g, these correspond, respectively, to the birth rate, infection rate, natural mortality rate, mortality rate caused by viral infection, and cure rate. Notation Δ = 2 ζ 1 2 + 2 ζ 2 2 is the classical Laplacian operator in 2D space, and d 1 , d 2 , d 3 denotes the diffusion coefficient of the susceptible, the infected, and the removed individuals. η denotes the outward unit normal vector at the boundary. D k α 0 C is the time-fractional derivative of order α in the Caputo sense, where 0 < α 1 given in [8] by
D k α 0 C S ( k , . ) = 0 I k 1 α S k ( k , . ) ,
where I k 1 α 0 S ( k , . ) = 0 k ( k τ ) α 1 Γ ( α ) S ( τ , . ) d τ represents the Riemann–Liouville time-fractional integral.
We adopt a regional treatment program by incorporating two controls, u ( · ) χ ω 2 ( · ) and v ( · ) χ ω 2 ( · ) , into the model (1). Here, u ( · ) and v ( · ) are functions in L 2 ( 0 , T , R ) , and χ ω denotes the indicator functions associated with ω . The control u ( · ) χ ω 1 ( · ) refers to the percentage of susceptible people vaccinated by time unit in the ω 1 region, and the control v ( · ) χ ω 2 ( · ) represents the percentage of infected people receiving treatment in the ω 2 region, where ω 1 and ω 2 are two subsets of the Ω domain. Our aim is to minimize the density of infected people and maximize the number of cured people in the two regions, ω 1 and ω 2 , while reducing the overall cost of vaccination and treatment programs. The issue we address is to minimize the functional objective
T ( S , I , R , u , v ) = I L 2 ( M ) 2 R L 2 ( M ) 2 + ρ 1 2 u L 2 ( [ 0 , T ] × ω 1 ) 2 + ρ 1 2 v L 2 ( [ 0 , T ] × ω 2 ) 2
where I and R correspond to the L 2 -norms of these functions over M , and ρ 1 and ρ 2 are positive weights associated with controls u and v belonging to the set
U a d = { ( u χ ω 1 , v χ ω 2 ) L 2 ( [ 0 , T ] , ω 1 ) × L 2 ( [ 0 , T ] ) , ω 2 ) , 0 u 1 , 0 v 1 }
of admissible controls.

3. Existence of a Global Solution

Here, our focus is on investigating the existence and boundedness of solutions for systems (1)–(3). Since our mathematical model concerns population evolution, it is essential that populations S, I, and R remain non-negative and bounded due to biological considerations. Let y = y 1 , y 2 , y 3 = ( S , I , R ) , y 0 = y 1 0 , y 2 0 , y 3 0 = S 0 , I 0 , R 0 , d = ( d 1 , d 2 , d 3 ) .
Consider the linear operator A defined from D ( A ) H ( Ω ) to H ( Ω ) by
A y = d Δ y = d 1 Δ y 1 , d 2 Δ y 2 , d 3 Δ y 3 , y D ( A ) .
where D ( A ) = z = z 1 , z 2 , z 3 H 2 ( Ω ) 3 , z 1 η = z 2 η = z 3 η = 0 , a . e ζ in Ω } , and H ( Ω ) denotes L 2 ( Ω ) 3 .
We also put f ( y ( · ) ) = f i ( y ( · ) ) 1 i 3 , where
f 1 ( y ( k ) ) = Λ β y 1 y 2 m y 1 u χ ω 1 y 1 . f 2 ( y ( k ) ) = β y 1 y 2 ( m + r + g ) y 2 v χ ω 2 y 2 . f 3 ( y ( k ) ) = g y 2 + u χ ω 1 y 1 m y 3 + v χ ω 2 y 2 .
Subsequently, the problem can be reformulated in the following expression
D k α 0 C y = A y + f ( y ( k ) ) y ( 0 ) = y 0
Remark 1.
The proposition (3.3) in [16] establishes the existence, uniqueness, and non-negativity of the solutions to problem (6).
Theorem 1.
Let α ] 0 , 1 ] , for y 0 D ( A ) , and problem (6) has a positive unique solution y belonging to W 1 , 2 ( [ 0 , T ] ; H ( Ω ) ) with
y ( k ) = 0 + Φ α ( θ ) S k α θ y 0 d θ + F ( k ) ,
and F ( k ) = α 0 k 0 θ ( k τ ) α 1 Φ α ( θ ) S ( k τ ) α θ f ( τ ) d θ d τ , where Φ α ( θ ) represents a probability density function defined on the interval ( 0 , ) .
Proof. 
The function f is continuous and Lipschitz-continuous in y uniformly with respect to t [ 0 , T ] [10,17], and A denotes a linear, dissipative, and self-adjoint operator that generates a C 0 semigroup of contractions on H ( Ω ) , as discussed in [16,18,19,20]. Consequently, problem (6) admits a unique positive solution. Our next objective is to demonstrate that this solution is bounded. To accomplish this, we proceed as follows:
N ( k , ζ ) = Ω R ( k , ζ ) + I ( k , ζ ) + S ( k , ζ ) d ζ .
The related fractional derivative of order α in the sense of Caputo is then expressed as
D k α 0 C N ( k , ζ ) = Ω D k α 0 C R ( k , ζ ) + D k α 0 C I ( k , ζ ) + D k α 0 C S ( k , ζ ) d ζ = Ω d 1 Δ S ( k , ζ ) + d 2 Δ I ( k , ζ ) + d 3 Δ R ( k , ζ ) d ζ + Ω [ Λ m ( R ( k , ζ ) + I ( k , ζ ) + S ( k , ζ ) ) r I ( k , ζ ) ] d ζ
By applying Green’s formula and considering the initial conditions, we derive the following result:
Ω d 1 Δ R ( k , ζ ) + d 2 Δ I ( k , ζ ) + d 3 Δ S ( k , ζ ) d ζ 0 ,
and hence
D k α 0 C N ( k , ζ ) = Ω [ Λ m ( R ( k , ζ ) + I ( k , ζ ) + S ( k , ζ ) ) r I ( k , ζ ) ] d ζ Λ Ω m N ( k , ζ ) .
After performing the Laplace transformation, the resulting expression is as follows:
N ( k ) N ( 0 ) E α ( m k α ) + Λ m 1 E α ( m k α ) .
Since 0 E α 1 , so N ( k ) N ( 0 ) + Λ m . Consequently, we demonstrate that S, I, and R are bounded. □

4. Existence of Optimal Control

Our aim is to demonstrate the existence of an optimal control pair for problems (1)–(3) within the context of a reaction–diffusion system, where w = ( u , v ) U a d .
Theorem 2.
According to the conditions stated in Theorem (1), we ensure the existence of at least one optimal solution denoted by y * w * L ( M ) satisfying (1)–(3) and minimizing (4).
Proof. 
Let y n , w n be a minimizing sequence of J ( y , w ) , satisfying the condition
lim n + T y n , w n = T y * , w * = inf T ( y , w ) .
where w n = u n , v n U a d , y n = y 1 n , y 2 n , y 3 n , satisfying the corresponding system to (1)
D k α 0 C y n d Δ y n = f y n in M y n η = 0 on Υ y n ( 0 , ζ ) = y 0 , ζ Ω
Based on Theorem (1), we can establish that the sequence y n is bounded regardless of the value of n in L 2 0 , T , H 1 ( Ω ) and fulfills the inequalities
y n L 2 0 , T , H 1 ( Ω ) C 1 f L 2 ( M ) + y 0 H 0 1 ( Ω ) ,
y n L 2 ( Ω ) C 2 f L 2 ( M ) + y 0 L 2 ( Ω )
in which C 1 and C 2 represent two positive constants. Hence, we obtain the boundedness of y n in L ( 0 , T , L 2 ( Ω ) ) and L 2 0 , T , H 0 1 ( Ω ) , so, by using the boundedness of y i n y i < N , i { 1 , 2 , 3 } ), the second term f belongs to the space L ( M ) ; consequently, for a constant C 3 independent of n, we have
D k α 0 C y n d Δ y n L 2 ( M ) C 3
and, therefore, there is a subsequence of y n , and we will continue to denote it as y n and w n U a d , for which
D k α 0 C y n d Δ y n converges weakly to Φ , in the space L 2 ( M ) )
and
y n converges weakly to y * , in the space L 2 0 , T , H 0 1 ( Ω )
Through estimation (8) and Lemma 5.2 in [13], we obtain the boundedness of k y n in L 1 0 , T , L 1 ( Ω ) . From (7), it also follows that y n is bounded in L 2 0 , T , H 0 1 ( Ω ) .
Since H 0 1 ( Ω ) is compactly embedded in L 2 ( Ω ) , we deduce that y 1 n ( k ) is compact in L 2 ( Ω ) . To show that y 1 n ( k ) , n 1 is equicontinuous in C ( [ 0 , T ] , L 2 ( Ω ) ) , we note that y 1 n k is bounded in L 2 ( M ) for i = 1 , 2 , 3 . This implies that, for all k , s [ 0 , T ] ,
Ω y 1 n 2 ( k , ζ ) d ζ Ω y 1 n 2 ( s , ζ ) d ζ K | k s | .
By applying the Ascoli–Arzela theorem (refer to [18]), we deduce that y 1 n is compact in the space C [ 0 , T ] , L 2 ( Ω ) . Consequently, we can conclude the existence of a subsequence, again denoted as y 1 n , for which y 1 n converges to y 1 * , uniformly with respect to k, in L 2 ( Ω ) .
Similarly, we obtain analogous results for y i n , where i = 2 , 3 . Using the estimates leads to
y i n y * weakly   in   L 0 , T , L 2 ( Ω ) , i = 1 , 2 , 3
y i n y * weakly   in   L 2 M , i = 1 , 2 , 3
y i n y *   a . e   L 2 M , i = 1 , 2 , 3
Let D ( M ) represent the dual space of D ( M ) , which consists of functions C on M of compact support. In this context, we have
D k α 0 C y n d Δ y n D k α 0 C y * d Δ y * weakly in D ( M ) .
writing y 1 n y 2 n y 1 * y 2 * = y 1 n y 1 * y 2 n + y 1 * y 2 n y 2 * and making use of the convergence y 1 n y i * in L 2 ( M ) , i = 1 , 2 , and the boundednees of y 1 * , y 2 * in L ( M ) , we arrive at y 1 n y 2 n y 1 * y 2 * in L ( M ) ; we also have u n u * in L ( M ) and v n u * in L 2 ( M ) on a subsequence named u n , v n .
Given that U a d is a closed convex set of L 2 ( M ) , it is weakly closed. As a result, u * , v * U a d ; therefore,
u n χ ω 1 y 1 n u * χ ω 1 y 1 * , in L 2 ( [ 0 , T ] × ω 1 ) , and v n χ ω 2 y 2 n v * χ ω 2 y 2 * , in L 2 ( [ 0 , T ] × ω 2 ) .
Additionally,
D k α 0 C y n d Δ y n D k α 0 C y * d Δ y * weakly in D ( M ) .
Based on the uniqueness of the limit, we obtain the following result
D k α 0 C y * d Δ y * = ϕ
By taking the limit as n tends to + , we conclude that y * is a solution of (1). Additionally, the lower semi-continuity of T implies that T y * , w * = inf T ( y , w ) . Consequently, ( y * , ( u * , v * ) ) represents an optimal solution. □

5. Necessary Conditions for Optimality

We will derive the optimality conditions for problem (1) and investigate the characterization of the optimal control. For this purpose, let y * , w * represent an optimal pair, and, for every positive ε , define ω ε = ω * + ε ω L 2 ( M ) . Let y ε = y i ε 1 i 3 = y i 1 i 3 w ε and y * = y i * 1 i 3 = y i 1 i 3 w * be the solutions of systems (1)–(3) associated with w ε and w * , respectively.
By expressing y i ε = y i * + ε z ε and subtracting the system corresponding to y * from the system corresponding to y ε , we obtain that
D k α 0 C y ε y * ε d Δ y ε y * ε = f y ε f y * ε .
So, system (10) can be rewritten as
D k α 0 C z ε d Δ z ε = f y ε f y * ε ,   where z ε = ( z 1 ε , z 2 ε , z 3 ε ) .
associated with the Neumann boundary conditions
z 1 ε η = z 2 ε η = z 3 ε η = 0 on Υ ,
and initial condition
z ε = 0 in Ω ,
in addition to
f y ε f y * ε = f 1 y ε f 1 y * ε = β y 2 * m u ε χ ω 1 ( ζ ) z 1 ε β y 1 * z 2 ε u * χ ω 1 ( ζ ) y 1 * f 2 y ε f 2 y * ε = β y 2 * z 1 ε + β y 1 * m g r v ε χ ω 2 ( ζ ) z 2 ε v * χ ω 2 ( ζ ) y 2 * f 3 y ε f 3 y * ε = u ε χ ω 1 ( ζ ) z 1 ε + g + v ε χ ω 2 ( ζ ) z 2 ε m z 3 ε v * χ ω 2 ( ζ ) y 2 * + u * χ ω 1 ( ζ ) y 1 *
Setting
F ε = β y 2 * m u ε χ ω 1 ( ζ ) β y 1 * 0 β y 2 * β y 1 * m g r v ε χ ω 2 ( ζ ) 0 u ε χ ω 1 ( ζ ) g + v ε χ ω 2 ( ζ ) m
and
G = y 1 * χ ω 1 ( ζ ) 0 0 y 2 * χ ω 2 ( ζ ) y 1 * χ ω 1 ( ζ ) y 2 * χ ω 2 ( ζ ) .
Hence, system (10) can be reformulated in the following form
D k α 0 C z ε d Δ z ε = F ε z ε + G w , k [ 0 , T ] z ε ( 0 ) = 0 .
Since all the elements of the matrix F ε are uniformly bounded with respect to ε , it follows by Theorem (1) and estimates (7) and (8) that z ε = y ε y * ε is bounded in L 0 , T ; L 2 ( Ω ) L 2 O , T , H 1 ( Ω ) . Hence, there exists a subsequence of z ε such that, as ε tends to 0, we get
z ε z * weakly   in   L 0 , T , L 2 ( Ω ) z ε z * weakly   in   L 2 0 , T , H 1 ( Ω ) z ε k z * k weakly   in   L 2 0 , T , H 1 ( Ω )
Set
F ε = m β y 2 * u * χ ω 1 ( ζ ) β y 1 * 0 β y 2 * m g r v * χ ω 2 ( ζ ) + β y 1 * 0 u * χ ω 1 ( ζ ) v * χ ω 2 ( ζ ) + g m
Observe that, as ε 0 , all elements of the matrix F ε converge to their corresponding elements in the matrix F in L 2 ( M ) .
From above, we have
Ω 0 T D k α 0 C z ε v d k d ζ + Ω 0 T d z ε v d k d ζ = Ω 0 T f y ε f ( y ) ε v d k d ζ .
Let ε 0 , and we obtain
Ω 0 T D k α 0 C z v d k d ζ Ω 0 T d Δ z v d k d ζ = Ω 0 T F z + G w v d k d ζ
where z ( 0 ) = 0 , and, using Green’s formula, we get
Ω 0 T D k α 0 C z v d k d ζ Ω 0 T d Δ z v d k d ζ = Ω 0 T F z + G w v d k d ζ .
Then, z verifies the following system
D k α 0 C z d Δ z = F z + G w , in Ω z η = 0 , on Ω z ( 0 ) = 0 .
Let p = p 1 , p 2 , p 3 be the adjoint variable, and we have
Ω 0 T D k α 0 C z d Δ z p d k d ζ = Q ( F z + G ω ) p d k d ζ .
As a result, the dual system related to our problem can be expressed as follows:
T C D k α p d Δ p F p = K * K Z * , k [ 0 , T ] p ( k , ζ ) = K * K y * ( k , ζ ) p η = 0 , on Ω × ( 0 , T ) .
in which K is the matrix defined as
K = 0 0 0 0 1 0 0 0 1 .
We can demonstrate the existence of a solution for the adjoint system (13) using the following lemma.
Lemma 1
([5]). Assuming the conditions of Theorem (1) hold, if ( y * , ( u * , v * ) ) represents an optimal control pair, then there is only one strong solution p W 1 , 2 ( [ 0 , T ] , H ( Ω ) ) for the dual system (13).
Now, the first-order necessary condition can be derived by employing conventional optimization methods, examination of the objective functional, and taking advantage of the links between equations of state and adjoint-state equations [21,22].
Theorem 3.
Suppose we have an optimal control pair denoted as w * = ( u * , v * ) , and y * is the related state. Then, there is a solution p to the related adjoint system. Moreover, we can explicitly characterize w * = ( u * , v * ) in the form
u * = min 1 , max 0 , y 1 * χ ω 1 ( ζ ) ρ 1 p 1 p 3 v * = min 1 , max 0 , y 2 * χ ω 2 ( ζ ) ρ 2 p 2 p 3
Proof. 
The proof of this theorem is conventional and follows the identical reasoning as presented in [5,6,23,24,25,26]. Use the fact that the objective function T reaches its minimum at w * , and we can demonstrate that, for a small ε such that w ε = w * + ε h U a d , it is straightforward to prove that
T ( w * + ε h ) T ( w ) ε 0 0 T G * p + p w * , h d k 0 , h U a d
where ρ = ρ 1 ρ 2 . The characterization result is achieved through standard arguments involving the variation in h. □

6. Numerical Implementation and Results

In this section, we the present numerical results, which demonstrate the effectiveness of our control strategy, which involves implementing two regional control measures: vaccination programs and treatment programs. These measures are designed to mitigate the spread of an epidemic, such as the COVID-19 disease.
We developed a code in M A T L A B T M (https://www.mathworks.com/products/matlab.html) to perform simulations using various datasets. To iteratively solve our optimality system, we employed the forward–backward sweep method (FBSM) [27]. For the time integration of the state equations, we used the explicit Euler method as a direct approach. Furthermore, to discretize the second-order derivatives, S T , I T , and R T , during the iterative process, we applied the second-order explicit Euler method.
At the outset, we make initial guesses regarding the control variables. Subsequently, we solve the adjoint equations backward in time. Upon obtaining the current state and adjoint solutions, we update the control variables. This iterative procedure continues until a predefined tolerance criterion is met.
The grid points for the space ζ i + 1 = ζ i + i δ ζ for i 0 , 1 , . . . , N and for the time are k m = m δ k based on Grunwald–Letnikov method [28], which is used in [29]. The Caputo fractional time derivative can be approximated by
D k α C S ( k m , ζ i ) 1 δ k α j = 0 m ψ j α S ( k m j , ζ i ) S m , ˜
where the fractional binomial coefficients are given by S m ˜ = S ( 0 , ζ i ) k m α Γ ( 1 α ) , and ψ j α are the fractional binomial coefficients α j with the recurring formula
ψ j α = ( 1 1 + α j ) ψ j 1 α , ψ 0 α = 1 .
To highlight the importance of our study, we define a rectangular region measuring 40 km × 30 km , labeled as Ω . For simplicity and without loss of generality, we assume a uniform distribution of susceptible individuals, with 45 individuals in each 1 km × 1 km subregion, except for the central subregion Ω 1 = cell ( 20 ; 15 ) , where the disease outbreak begins. In this specific subregion, we introduce five infectious individuals while keeping forty susceptible individuals. The simulations in this study are based on the parameter values listed in Table 1.
In the figures presented below, the color gradients represent population distribution, with the red areas indicating a higher concentration of individuals and the blue areas representing fewer individuals.
Figure 1a–c illustrate the dynamics of susceptible, infected, and recovered individuals in a scenario where no control measures have been applied (as described by the differential system (1)). These figures provide a clear view of how the disease spreads when the infection starts in the central area. This setup allows us to emphasize the role of spatial factors and mobility in the transmission of COVID-19. Furthermore, the inclusion of the fractional derivative in our model is essential. It allows us to accurately represent the nonlocal temporal dynamics of the disease, providing a deeper understanding of its behavior and spread patterns.
The simulation results indicate a noticeable decrease in the number of susceptible individuals, accompanied by a rapid spread of the disease across the entire population. This concerning trend highlights the severity of the outbreak. As for the number of individuals classified as recovered, only a small fraction (approximately five individuals) are observed. These critical findings emphasize the urgent need to develop and implement an effective control strategy.
To demonstrate the effectiveness and practicality of our COVID-19 transmission control strategy, we propose a regional control approach designed to protect a specific area from the spread of COVID-19 originating from neighboring regions. This approach highlights the significance and efficacy of our proposed control measures for containing the disease within targeted zones. We define two treatment areas: a rectangular region ω 1 = [ 20 , 30 ] × [ 0 , 15 ] located at the border and ω 2 = [ 10 , 20 ] × [ 15 , 25 ] situated in the center. This strategy involves two control measures: the first focuses on vaccination to reduce the spread of infection, and the second involves integrated treatment to lower the number of active infections. By implementing this approach, we aim to effectively control the transmission of the disease and minimize its impact on the population. The primary objective of this study is to demonstrate the effectiveness of our vaccination and treatment procedures in managing the spread of COVID-19 in two distinct regions. It is assumed that a patient will receive treatment in a designated region ω i , i = 1 , 2 , immediately after contracting the COVID-19 virus.
Figure 2 and Figure 3 vividly demonstrate the significant impact of our innovative fractional spatiotemporal control strategy, which integrates vaccination and treatment. Upon implementing this strategy, its effectiveness in substantially reducing the spread of infection in the regions ω i , where i = 1 , 2 , becomes unmistakably clear. These figures provide a compelling visual representation of the success of our approach in controlling COVID-19 transmission within the targeted areas: ω 1 = [ 20 , 30 ] × [ 0 , 15 ] at the border and ω 2 = [ 10 , 20 ] × [ 15 , 25 ] in the center. The noticeable decline in the number of susceptible individuals in these regions highlights the tangible benefits of our region-specific control measures. This critical insight underscores the importance of tailored interventions for containing the spread of the virus, equipping public health authorities and policymakers with evidence-based strategies to protect communities and strengthen the global response to this ongoing health crisis.
Figure 4 and Figure 5 demonstrate the impact of our fractional spatiotemporal control strategy, integrating vaccination and treatment, on infection spread in the designated regions ω 1 and ω 2 . The rectangular treatment areas at the border and center, respectively, highlight the effectiveness of targeted controls in reducing infection transmission. These findings provide valuable evidence for the efficacy of region-specific interventions, contributing to the development of effective measures to combat the COVID-19 pandemic.
Figure 6 and Figure 7 provide compelling evidence of the effectiveness of our fractional spatiotemporal control strategy, which integrates vaccination and treatment measures, in influencing the recovery dynamics within the designated regions ω 1 and ω 2 . The rectangular areas ω 1 at the border and ω 2 in the center allow us to visualize the impact of our targeted controls on accelerating the recovery process from infection. The observed patterns clearly demonstrate a notable reduction in recovery time for individuals residing in these specific regions, indicating the success of our strategic intervention.
Finally, the figures demonstrate the effectiveness of our fractional spatiotemporal control strategy, integrating vaccination and treatment measures. The visualized impact of targeted controls indicates a significant reduction in infection transmission and a notable acceleration of the recovery process in these specific areas. These findings emphasize the importance of region-specific interventions for containing the spread of COVID-19 and providing valuable insights for shaping effective public health policies and interventions in combating the pandemic.
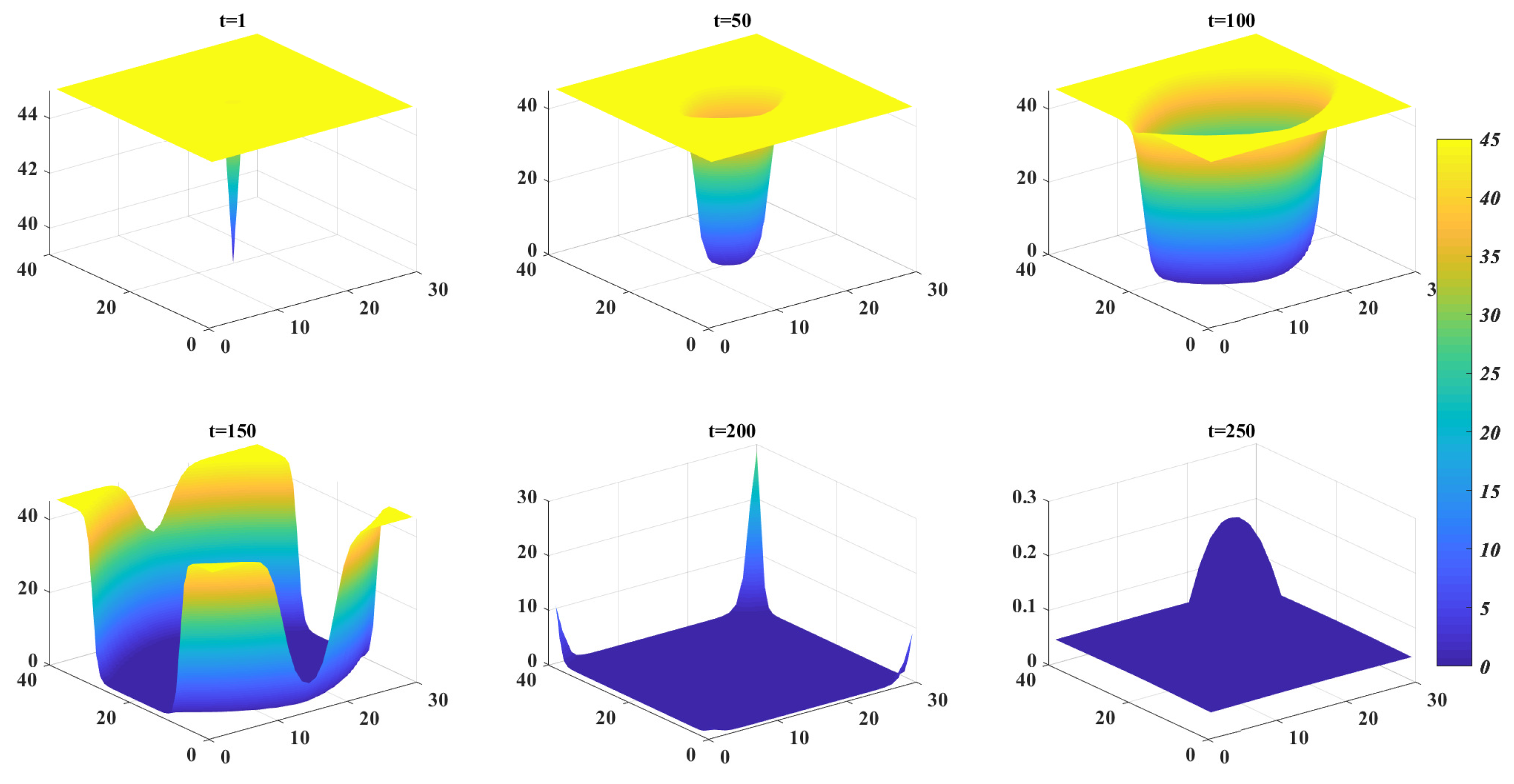
Figure 8 illustrates the behavior of susceptible individuals in region Ω using controls in regions ω 1 and ω 2 over time. The six graphs show the evolution of susceptible individuals at different time points (t = 1, t = 50, t = 100, t = 150, t = 200, and t = 250). At t = 1, the susceptible population is uniformly high across region Ω . At times t = 50 and t = 100, notable reductions in the susceptible population are observed, particularly marked in regions ω 1 and ω 2 , indicating the effect of control measures. At t = 150, the reduction continues, with very low susceptible populations in ω 1 and ω 2 . Finally, at times t = 200 and t = 250, the susceptible population is almost eliminated, with extremely low values across the entire region Ω , demonstrating the sustained effectiveness of the controls.
Figure 9 provides a detailed temporal analysis of the response to control measures and the prevalence of infection in the region Ω , focusing specifically on subregions ω 1 and ω 2 . Initially, at t = 1 , infection incidence is minimal across Ω . However, through methodical and effective implementation of control strategies, a significant decrease in prevalence is observed at t = 200 and t = 250 , characterized by notable reductions in the number of infected individuals in both targeted areas. This analysis underscores the efficacy of the control interventions, resulting in a gradual and substantial decline in infection spread over the observation period.
Figure 10 illustrates the temporal behavior of recovered individuals in the region Ω using control measures in both subregions ω 1 and ω 2 . Initially, at t = 1 , the number of recoveries is almost non-existent across the region. However, with the methodical and effective implementation of control strategies, significant increases in the number of recovered individuals are observed at t = 50 , t = 100 , and even more notably at t = 150 , t = 200 , and t = 250 . These increases are particularly pronounced in the targeted areas, demonstrating the efficacy of the control interventions. The visible progression of recoveries over time highlights the tangible benefits of the measures taken, leading to a substantial improvement in the health situation within the studied region.
Finally, we acknowledge that the introduction of fractional derivatives increases the mathematical and numerical complexity of the model, which may present a challenge for its direct adoption by public health professionals. However, this complexity is justified by the unique ability of fractional derivatives to capture memory effects and nonlocal spatial dynamics—features that are essential for a realistic description of epidemic spread. To facilitate the understanding and practical use of the model, our results are presented in an interpretable form, with clear visualizations of the impacts of regional control strategies.

7. Conclusions

This paper introduces a novel application of fractional optimal control theory to investigate the optimal combination of vaccination and treatment strategies in spatiotemporal epidemic models. The study focuses on systems governed by partial differential equations, where the control variable represents the spatial and temporal distribution of vaccines and treatments. The research establishes the existence of solutions to the state system and demonstrates the existence of optimal controls. Notably, optimizing the treatment timing proves highly effective in reducing the overall number of infections. These findings highlight the potential of fractional optimal control to enhance resource allocation and inform more effective epidemic management strategies. Despite the added mathematical and numerical complexity associated with fractional models, the outputs are presented in an interpretable form, allowing for meaningful use by public health decision-makers. Looking forward, we recognize the importance of conducting a comprehensive sensitivity analysis to evaluate the robustness of the optimal strategies in the presence of parameter uncertainties. Additionally, applying the proposed model to real epidemiological data and developing new numerical schemes will be essential steps to address the current limitations and further strengthen the practical relevance of this approach.

Author Contributions

Conceptualization, M.K., S.B.R. and M.A.Z.; Methodology, I.K., S.B.R., M.Z.Y. and M.R.; Software, M.K., M.Z.Y. and M.R.; Validation, I.K., M.A.Z. and M.Z.Y.; Formal analysis, M.K., S.B.R., M.A.Z. and M.R.; Investigation, M.K. and S.B.R.; Resources, M.K., I.K. and M.R.; Writing—original draft, I.K., S.B.R., M.A.Z., M.Z.Y. and M.R.; Writing—review & editing, M.K., I.K., S.B.R., M.A.Z., M.Z.Y. and M.R.; Funding acquisition, M.A.Z. All authors have read and agreed to the published version of the manuscript.

Funding

This work was supported and funded by the Deanship of Scientific Research at Imam Mohammad Ibn Saud Islamic University (IMSIU) (grant number IMSIU-DDRSP2501).

Data Availability Statement

No data associated with the manuscript.

Acknowledgments

This work was supported and funded by the Deanship of Scientific Research at Imam Mohammad Ibn Saud Islamic University (IMSIU) (grant number IMSIU-DDRSP2501).

Conflicts of Interest

The authors declare that they have no conflicts of interest.

References

  1. Kermack, W.O.; Mckendrick, A.G. A contribution to the mathematical theory of epidemics. Proc. R. Soc. Lond. Ser. A Contain. Pap. Math. Phys. Character 1927, 115, 700–721. [Google Scholar]
  2. Guin, L.N.; Mandal, P.K. Spatiotemporal dynamics of reaction–diffusion models of interacting populations. Appl. Math. Model. 2014, 38, 4417–4427. [Google Scholar] [CrossRef]
  3. Huang, H.; Wang, M. The reaction-diffusion system for an SIR epidemic model with a free boundary. Discret. Contin. Dyn. Syst.-Ser. B 2015, 20, 2039–2050. [Google Scholar] [CrossRef]
  4. Mehdaoui, M.; Alaoui, A.L.; Tilioua, M. Optimal control for a multi-group reaction–diffusion SIR model with heterogeneous incidence rates. Int. J. Dyn. Control 2023, 11, 1310–1329. [Google Scholar] [CrossRef]
  5. Karim, M.; Rhila, S.B.; Boutayeb, H.; Rachik, M. COVID-19 spatiotemporal SIR model: Regional optimal control approach. Commun. Math. Biol. Neurosci. 2022, 2022, 115. [Google Scholar]
  6. El Alami Laaroussi, A.; Rachik, M. On the regional control of a reaction–diffusion system SIR. Bull. Math. Biol. 2020, 82, 5. [Google Scholar] [CrossRef]
  7. Zaky, M.A. Finite difference/fractional Pertrov-Galerkin spectral method for the linear time-space fractional reaction-diffusion equation. Mathematics 2025, 13, 1864. [Google Scholar]
  8. Podlubny, I. Fractional Differential Equations. In Mathematics in Science and Engineering; Academic Press: San Diego, CA, USA, 1999; Volume 198. [Google Scholar]
  9. Rosa, S.; Torres, D.F.M. Optimal control of a fractional order epidemic model with application to human respiratory syncytial virus infection. Chaos Solitons Fractals 2018, 117, 142–149. [Google Scholar] [CrossRef]
  10. Sidi Ammi, M.R.; Tahiri, M.; Torres, D.F.M. Global stability of a Caputo fractional SIRS model with general incidence rate. Math. Comput. Sci. 2021, 15, 91–105. [Google Scholar] [CrossRef]
  11. Barros, L.C.d.; Lopes, M.M.; Pedro, F.S.; Esmi, E.; dos Santos, J.P.C.; Sánchez, D.E. The memory effect on fractional calculus: An application in the spread of COVID-19. Comput. Appl. Math. 2021, 40, 72. [Google Scholar] [CrossRef]
  12. Batool, H.; Khan, I.; Li, W.; Junaid, M.; Zhang, J.; Nawaz, A.; Tian, L. Fractional modeling and numerical investigations of COVID-19 epidemic model with non-singular fractional derivatives: A case study. Sci. Rep. 2025, 15, 13256. [Google Scholar] [CrossRef] [PubMed]
  13. Ammi, M.R.S.; Tahiri, M.; Torres, D.F.M. Necessary optimality conditions of a reaction-diffusion SIR model with ABC fractional derivatives. arXiv 2021, arXiv:2106.15055. [Google Scholar] [CrossRef]
  14. Bounkaicha, C.; Allali, K. Dynamics of a time fractional order spatio-temporal SIR with vaccination and temporary immunity. Partial. Differ. Equ. Appl. Math. 2023, 7, 100524. [Google Scholar] [CrossRef]
  15. Naik, P.A. Global dynamics of a fractional-order SIR epidemic model with memory. Int. J. Biomath. 2020, 13, 2050071. [Google Scholar] [CrossRef]
  16. El-Borai, M.M. Some probability densities and fundamental solutions of fractional evolution equations. Chaos Solitons Fractals 2002, 14, 433–440. [Google Scholar] [CrossRef]
  17. Bounkaicha, C.; Allali, K. Modelling disease spread with spatio-temporal fractional derivative equations and saturated incidence rate. Model. Earth Syst. Environ. 2024, 10, 259–271. [Google Scholar] [CrossRef]
  18. Brezis, H.; Brézis, H. Functional Analysis, Sobolev Spaces and Partial Differential Equations; Springer: New York, NY, USA, 2011. [Google Scholar]
  19. Vrabie, I.I. C0-Semigroups and Applications. In North-Holland Mathematics Studies; JAI Press: Amsterdam, The Netherlands, 2003; Volume 191. [Google Scholar]
  20. Karim, M.; Dehaj, I.; Akgül, A.; Hassani, M.K.; Ferjouchia, H.; Rachik, M. Mathematical modelling and control approach for sustainable ecosystems in mitigating the impact of pollutants on aquatic species in rivers. Sci. Rep. 2024, 14, 17327. [Google Scholar] [CrossRef]
  21. Pontryagin, L.S. Mathematical Theory of Optimal Processes; CRC Press: Boca Raton, FL, USA, 1987. [Google Scholar]
  22. Djida, J.-D.; Mophou, G.; Area, I. Optimal control of diffusion equation with fractional time derivative with nonlocal and nonsingular Mittag-Leffler kernel. J. Optim. Theory Appl. 2019, 182, 540–557. [Google Scholar] [CrossRef]
  23. Khaloufi, I.; Karim, M.; Rhila, S.B.; Rachik, M. A mathematical reaction–diffusion model describing the connection between smokers and tuberculosis patients. Partial. Differ. Equ. Appl. Math. 2025, 101186. [Google Scholar] [CrossRef]
  24. Mophou, G.M. Optimal control of fractional diffusion equation. Comput. Math. Appl. 2011, 61, 68–78. [Google Scholar] [CrossRef]
  25. Mophou, G.M.; N’Guérékata, G.M. Optimal control of a fractional diffusion equation with state constraints. Comput. Math. Appl. 2011, 62, 1413–1426. [Google Scholar] [CrossRef]
  26. Nakagawa, J.; Sakamoto, K.; Yamamoto, M. Overview to mathematical analysis for fractional diffusion equations: New mathematical aspects motivated by industrial collaboration. J. Math-Ind. 2010, 2, 99–108. [Google Scholar]
  27. Mcasey, M.; Mou, L.; Han, W. Convergence of the forward-backward sweep method in optimal control. Comput. Optim. Appl. 2012, 53, 207–226. [Google Scholar] [CrossRef]
  28. Petas, I. Fractional Derivatives, Fractional Integrals, and Fractional Differential Equations in Matlab; IntechOpen: London, UK, 2011. [Google Scholar]
  29. Samuel, S.; Gill, V. Time-fractional diffusion model on dynamical effect of dendritic cells on HIV pathogenesis. J. Comput. Methods Sci. Eng. 2018, 18, 193–212. [Google Scholar] [CrossRef]
Figure 1. System states without control. (a) Susceptible. (b) Infected. (c) Removed.
Figure 1. System states without control. (a) Susceptible. (b) Infected. (c) Removed.
Fractalfract 09 00382 g001
Figure 2. Behavior of susceptible in Ω using control in the ω 1 region.
Figure 2. Behavior of susceptible in Ω using control in the ω 1 region.
Fractalfract 09 00382 g002
Figure 3. Behavior of susceptible in Ω using control in the ω 2 region.
Figure 3. Behavior of susceptible in Ω using control in the ω 2 region.
Fractalfract 09 00382 g003
Figure 4. Behavior of infected in Ω using control in the ω 1 region.
Figure 4. Behavior of infected in Ω using control in the ω 1 region.
Fractalfract 09 00382 g004
Figure 5. Behavior of infected in Ω using control in the ω 2 region.
Figure 5. Behavior of infected in Ω using control in the ω 2 region.
Fractalfract 09 00382 g005
Figure 6. Behavior of recovered in Ω using control in the ω 1 region.
Figure 6. Behavior of recovered in Ω using control in the ω 1 region.
Fractalfract 09 00382 g006
Figure 7. Behavior of recovered in Ω using control in the ω 2 region.
Figure 7. Behavior of recovered in Ω using control in the ω 2 region.
Fractalfract 09 00382 g007
Figure 8. Behavior of susceptible people in Ω using control in both ω 1 and ω 2 regions.
Figure 8. Behavior of susceptible people in Ω using control in both ω 1 and ω 2 regions.
Fractalfract 09 00382 g008
Figure 9. Behavior of infected people in Ω using control in both ω 1 and ω 2 regions.
Figure 9. Behavior of infected people in Ω using control in both ω 1 and ω 2 regions.
Fractalfract 09 00382 g009
Figure 10. Behavior of recovered people in Ω using control in both ω 1 and ω 2 regions.
Figure 10. Behavior of recovered people in Ω using control in both ω 1 and ω 2 regions.
Fractalfract 09 00382 g010
Table 1. The parameters and initial condition values.
Table 1. The parameters and initial condition values.
ParameterValueDescription
S 0 45 for Ω j 40 for Ω 1 Initial sensitive population
I 0 0 for Ω j 5 for Ω 1 Initial infected population
R 0 0Initial immune population
α 0.8The order of the fractional derivative
r0.01Mortality due to infection
m0.02Natural mortality rate
β 0.24Transmission rate
g0.02Recovery rate
Λ 0.01birth rate
d i , i = 1, 2, 30.6Diffusion coefficient
Disclaimer/Publisher’s Note: The statements, opinions and data contained in all publications are solely those of the individual author(s) and contributor(s) and not of MDPI and/or the editor(s). MDPI and/or the editor(s) disclaim responsibility for any injury to people or property resulting from any ideas, methods, instructions or products referred to in the content.

Share and Cite

MDPI and ACS Style

Karim, M.; Khaloufi, I.; Ben Rhila, S.; Zaky, M.A.; Youssef, M.Z.; Rachik, M. Optimal Regional Control of a Time-Fractional Spatiotemporal SIR Model with Vaccination and Treatment Strategies. Fractal Fract. 2025, 9, 382. https://doi.org/10.3390/fractalfract9060382

AMA Style

Karim M, Khaloufi I, Ben Rhila S, Zaky MA, Youssef MZ, Rachik M. Optimal Regional Control of a Time-Fractional Spatiotemporal SIR Model with Vaccination and Treatment Strategies. Fractal and Fractional. 2025; 9(6):382. https://doi.org/10.3390/fractalfract9060382

Chicago/Turabian Style

Karim, Marouane, Issam Khaloufi, Soukaina Ben Rhila, Mahmoud A. Zaky, Maged Z. Youssef, and Mostafa Rachik. 2025. "Optimal Regional Control of a Time-Fractional Spatiotemporal SIR Model with Vaccination and Treatment Strategies" Fractal and Fractional 9, no. 6: 382. https://doi.org/10.3390/fractalfract9060382

APA Style

Karim, M., Khaloufi, I., Ben Rhila, S., Zaky, M. A., Youssef, M. Z., & Rachik, M. (2025). Optimal Regional Control of a Time-Fractional Spatiotemporal SIR Model with Vaccination and Treatment Strategies. Fractal and Fractional, 9(6), 382. https://doi.org/10.3390/fractalfract9060382

Article Metrics

Back to TopTop