Next Article in Journal
Qualitative Analysis and Traveling Wave Solutions of a (3 + 1)- Dimensional Generalized Nonlinear Konopelchenko-Dubrovsky-Kaup-Kupershmidt System
Previous Article in Journal
The Effect of Organic Acid Modification on the Pore Structure and Fractal Features of 1/3 Coking Coal
Previous Article in Special Issue
A Fast High-Order Compact Difference Scheme for Time-Fractional KS Equation with the Generalized Burgers’ Type Nonlinearity
 
 
Font Type:
Arial Georgia Verdana
Font Size:
Aa Aa Aa
Line Spacing:
Column Width:
Background:
Article

Numerical Analysis of a Fractional Cauchy Problem for the Laplace Equation in an Annular Circular Region

by
José Julio Conde Mones
1,
Julio Andrés Acevedo Vázquez
1,
Eduardo Hernández Montero
1,
María Monserrat Morín Castillo
2,
Carlos Arturo Hernández Gracidas
3,* and
José Jacobo Oliveros Oliveros
1,*
1
Facultad de Ciencias Físico Matemáticas, Benemérita Universidad Autónoma de Puebla, Boulevard 18 Sur y Avenida San Claudio, Colonia San Manuel, Ciudad Universitaria, Puebla 72570, Mexico
2
Facultad de Ciencias de la Electrónica, Benemérita Universidad Autónoma de Puebla, Boulevard 18 Sur y Avenida San Claudio, Colonia San Manuel, Ciudad Universitaria, Puebla 72570, Mexico
3
CONAHCYT-BUAP, Facultad de Ciencias Físico Matemáticas, Benemérita Universidad Autónoma de Puebla, Boulevard 18 Sur y Avenida San Claudio, Colonia San Manuel, Ciudad Universitaria, Puebla 72570, Mexico
*
Authors to whom correspondence should be addressed.
Fractal Fract. 2025, 9(5), 284; https://doi.org/10.3390/fractalfract9050284
Submission received: 5 February 2025 / Revised: 8 April 2025 / Accepted: 15 April 2025 / Published: 27 April 2025

Abstract

The Cauchy problem for the Laplace equation in an annular bounded region consists of finding a harmonic function from the Dirichlet and Neumann data known on the exterior boundary. This work considers a fractional boundary condition instead of the Dirichlet condition in a circular annular region. We found the solution to the fractional boundary problem using circular harmonics. Then, the Tikhonov regularization is used to handle the numerical instability of the fractional Cauchy problem. The regularization parameter was chosen using the L-curve method, Morozov’s discrepancy principle, and the Tikhonov criterion. From numerical tests, we found that the series expansion of the solution to the Cauchy problem can be truncated in N = 20 , N = 25 , or N = 30 for smooth functions. For other functions, such as absolute value and the jump function, we have to choose other values of N. Thus, we found a stable method for finding the solution to the problem studied. To illustrate the proposed method, we elaborate on synthetic examples and MATLAB 2021 programs to implement it. The numerical results show the feasibility of the proposed stable algorithm. In almost all cases, the L-curve method gives better results than the Tikhonov Criterion and Morozov’s discrepancy principle. In all cases, the regularization using the L-curve method gives better results than without regularization.

1. Introduction

The challenge of determining a harmonic function within a bounded annular region based on partial boundary measurements (Cauchy data) is known as the Cauchy problem for the Laplace equation [1]. This problem is notoriously ill-posed in the sense of Hadamard, meaning that small perturbations in the Cauchy data can lead to significant changes in the solution, resulting in numerical instability. Consequently, regularization techniques are essential for solving this problem. To ensure a solution to the Cauchy problem, certain smoothness conditions must be imposed on the Cauchy data (refer to Theorem 1 in [2]).
Various methods have been developed to analyze the Cauchy problem. For instance, ref. [3] utilized singular value decomposition to find the solution in a circular annular region, employing the spectral cut-off of the pseudo-inverse method to manage the numerical instability. In Refs. [4,5], a novel regularization method was introduced using the method of fundamental solutions to address the Cauchy problem in both annular and multi-connected domains. To effectively solve the discrete ill-posed problem arising from a boundary collocation scheme, Tikhonov regularization and L-curve methods were applied in [5]. Additionally, the technique of layer potentials was used in [3,6,7] to derive an equivalent system of integral equations. The moment problem approach, based on Green’s formula, was employed in [8] to solve the Cauchy problem in more complex annular regions. A similar technique was proposed for the three-dimensional Cauchy problem in [9], where the solution was expressed using spherical harmonics and Tikhonov regularization. In [10], a variational formulation was introduced, minimizing the cost functional through conjugate gradient iterations combined with boundary element discretization. In [1], the potential on the interior boundary of the annular region was treated as a control function to match the Cauchy input data on the exterior boundary, incorporating a penalized term in the cost function. This approach allowed for the determination of the optimal solution using an iterative conjugate gradient algorithm, with the computational cost involving the solution of two elliptic problems per iteration, solved by the finite element method. Similar techniques have been applied to other control problems, as seen in [10,11,12,13,14].
The Cauchy problem holds significant importance due to its numerous applications, such as estimating pipeline deterioration, calculating solutions or potentials in inaccessible regions or boundaries, and studying cracks in plates [15,16]. Furthermore, the Cauchy problem is utilized in inverse electrocardiography problems [17,18,19] and in solving inverse problems in electroencephalography (EEG) [14]. EEG signals are known to exhibit fractal characteristics [20,21,22]. Additionally, fractional derivatives can model voltage propagation in axons using a fractional cable geometry to study human neural networks [23]. In the context of EEG, these fractal characteristics may be related to the sources generating the signal. One potential approach to relate these fractal characteristics to EEG signals is through the use of fractional operators, which warrants further investigation in future studies.
In this work, we consider one variant of the Cauchy problem. More precisely, we consider that we know the action of a fractional operator on the potential on the exterior boundary instead of the potential itself. We apply the Tikhonov regularization to handle the numerical instability that presents this variant, which we call the fractional Cauchy problem. Since we consider circular geometry, we use the Fourier series method to solve the normal equations. The adjoint operator was found using its definition. From this, we found a stable algorithm for some of the parameters defining the fractional operator. To illustrate the results presented in this work, we elaborate synthetic examples and programs in MATLAB.
Regarding the fractional Cauchy problem, we found no work on it. Therefore, as a validation of the results from our proposal, we include results for the classical case that considers a Dirichlet condition, which has been extensively studied, as we attempted to demonstrate in our literature review, which included a substantial number of articles. We obtain the same results as in the classical case using our method.
The paper is organized as follows: In Section 2, the definition and some results of the classical Cauchy problem, as well as the Sturm–Liouville operator, are presented. Section 2 also finalizes the definition of the fractional Cauchy problem. Section 3 applies the Tikhonov regularization to find an algorithm to recover the potential on the interior boundary. Section 4 presents numerical examples to illustrate the algorithm presented in this work. In Section 5, we discuss the stability of the proposed algorithm. In Section 6, we give the conclusions.

2. Problem Formulation

2.1. The Cauchy Problem

Let Ω be a bounded annular region in R 2 with sufficiently smooth interior boundary S 1 and exterior boundary S 2 , as shown in Figure 1.
We consider the following boundary value problem: Find ω , such that
Δ w = 0 ,   in   Ω , w = Φ ,   on   S 2 , σ w n = Ψ ,   on   S 2 ,
where Φ H 1 / 2 S 2 , σ w n S 2 = Ψ H 1 / 2 S 2 , n is the outward unitary vector defined on Ω , and w / n denotes the outward normal derivative of w on S 2 . For simplicity, we consider (1) with Ψ 0 by the change in variable u = w w 1 , where w 1 is the unique harmonic function satisfying σ w 1 / n S 2 = Ψ on S 2 , and w 1 S 1 0 . Then,
σ Δ u = 0 ,   in   Ω , u = V ,   on   S 2 , σ u n = 0 ,   on   S 2 ,
where V = Φ w 1 S 2 H 1 / 2 S 2 . For the analysis of the Cauchy problem (2), the following problem is employed (see [15]):
Given a function φ defined on S 1 , find u such that
σ Δ u = 0 ,   in   Ω , u = φ ,   on   S 1 , σ u n = 0 ,   on   S 2 .
This problem is well-posed, and we will call it the auxiliary problem.
The inverse problem associated with the Cauchy problem can be formulated in the following way:
Recover the potential u = φ on S 1 from the measurements u = V on S 2 , where u is the solution to the auxiliary problem (3).
Definition 1. 
A function u V φ is a weak solution to the auxiliary problem (3) if
Ω σ u · v d Ω = 0 , for all v V 0 ,
where
V φ = { v H 1 ( Ω ) : v = φ   o n   S 1 } ,
V 0 = { v H 1 ( Ω ) : v = 0   o n   S 1 } .
Theorem 1 given in [1] guarantees the existence and uniqueness of the weak solution and allows us to define the lineal, injective, and compact operator K : H m 1 / 2 ( S 1 ) L 2 ( S 2 ) that associates to each φ H m 1 / 2 ( S 1 ) the trace over S 2 of the weak solution u to the auxiliary problem (3). Operator K is compact because it is the composition of the continuous operator T : H m 1 / 2 ( S 1 ) H 1 ( Ω ) , which associates to each φ H m 1 / 2 ( S 1 ) the weak solution to the auxiliary problem (3), with the trace operator T r from H m ( Ω ) into L 2 ( Ω ) , which is compact. The relationship between problem (2) and auxiliary problem (3) can be described by the operator K as follows:
A solution to the auxiliary problem (3) is also a solution to the problem (2) if we choose ϕ on S 1 , such that
K φ : = u ( φ ) | S 2 = V ,
where u ( φ ) denotes the solution to the auxiliary problem (3), and V is the known measurement in problem (2), so we have φ = K 1 ( V ) .
The following result is very important for the statement of the minimization problem presented in Section 3, and its demonstration can be found in [10].
Theorem 1. 
I m ( K ) is dense in L 2 ( S 2 ) .
Equation (7) does not have a solution for all V L 2 ( S 2 ) . However, if we impose some smoothness conditions on V, we can find global conditions of the existence of the solution, as in [10]. As K is an injective and well-defined [15] operator, it ensures uniqueness when a solution is available. Since the operator K is linear, injective, and compact, its inverse K 1 is not continuous. Therefore, the inverse problem is ill-posed due to its numerical instability.

2.2. Fractional Boundary Operator

The following material has been obtained from [24]. Let Ω 1 = { x : | x | < 1 } be a unit ball, 2 n . The Ω corresponds with the unit sphere; r = | x | , x ¯ = x r , let δ = r d d r be a Dirac operator, where r d d r = j = 1 n x j x j . Let u ( x ) be a smooth function on the domain Ω ¯ . For any α > 0 , the following expression
J β [ u ] ( x ) = 1 Γ ( β ) 0 r l n r s β 1 u ( s x ¯ ) s d s , x Ω 1
is called an operator of integration of the order β in the Hadamard sense. Furthermore, we will assume that J 0 [ u ] ( x ) = u ( x ) , x Ω .
We consider the following modification of the Hadamard operator:
D m β [ u ] ( x ) = J m β [ δ m u ] ( x ) = 1 Γ ( m β ) 0 r l n r s m 1 β s d d s m u ( s x ¯ ) s d s ,
where m is a positive integer.
Properties and applications of the operators J β y D β have been studied in [24]. In that paper, the authors studied a certain generalization of the classical Neumann problem with the fractional order of boundary operators. Let 0 < β n < < β 1 < β 1 , P N ( D ) = D m β + j = 1 N a j D m β j . In the domain Ω 1 , the authors consider the following problem:
Δ u ( x ) = 0 , x Ω 1 ,
P N ( D ) u ( x ) = f ( x ) , x Ω 1 .
As a solution to the last problem, the authors consider a function u C 2 ( Ω 1 ) C ( Ω 1 ¯ ) satisfying Equation (10) and the boundary condition (11) in a classical sense. Since J 0 [ u ] ( x ) = u ( x ) , then D 1 [ u ] ( x ) Ω 1 = r d u d r Ω 1 = d u d n Ω 1 , where n is a normal vector to the boundary of the domain Ω . Therefore, in the case β = 1 and a j = 0 , j = 1 , , n , we obtain the classical Neumann problem.

2.3. Fractional Cauchy Problem

We consider the following fractional Cauchy problem
Δ u = 0 , in Ω , D m β u S 2 = V , on S 2 , u n = 0 , on S 2 ,
where the operator D m β is given in (9).
In this case, the operator D m β u ( x ) = 1 Γ ( m β ) R 1 r l n r s m 1 β s d d s m u ( s x ¯ ) s d s . We note that the operator is linear and continuous, and it has no singularities since R 1 r , s R 2 . For the analysis of the fractional Cauchy problem (12), we also consider the auxiliary problem (3). We define the operator K m β ( φ ) = ( T r ( D m β T ) ) ( φ ) = D m β u | S 2 , which is a compact operator. We have the following two definitions to study the problem that concerns us.
Definition 2. 
The Forward Problem (FP) related to the fractional Cauchy problem consists of finding the potential V = K m β ( φ ) when ϕ is known.
We can consider other fractional Cauchy problems by changing the boundary operator. We can consider different kernels for the integral operator. For example, we can take the kernel of the Riemann–Liouville and Caputo fractional derivative, which can be found in [25].
Definition 3. 
Given V L 2 ( S 2 ) , the Inverse Problem (IP) related to the fractional Cauchy problem consists of finding φ L 2 ( S 1 ) such that K m β ( φ ) = V .

3. Methods

3.1. Tikhonov Regularization of the Fractional Cauchy Problem

To find an approximate solution φ L 2 ( S 1 ) of Equation (7) for K = K m β when we have a measurement with error V δ , the minimization of the following Tikhonov functional is proposed in [26]:
J α ( φ ) : = 1 2 K m β φ V δ L 2 ( S 2 ) 2 + α 2 φ 2 , φ L 2 ( S 1 ) ,
where α is the Tikhonov regularization parameter, which will be chosen by the L-curve method, Morozov’s discrepancy principle, and numerical tests. The first and second Fréchet derivatives are given by (see Appendix A):
D J α ( φ ) = ( K m β ) K m β + α I φ ( K m β ) V δ , D 2 J α ( φ ) = ( K m β ) K m β + α I
This least squares procedure is equivalent to solving the normal equation
( K m β ) K m β + α I φ = ( K m β ) V ,
where ( K m β ) is the adjoint operator.
According to Theorem 2.12 given in [26], the operator ( K m β ) K m β + α I is boundedly invertible. Given φ L 2 ( S 1 ) , the exact solution to the auxiliary problem (3) in a circular annular region R 1 r R 2 , in polar coordinates, is given by
u ( r , θ ) = φ 0 + k = 1 R 2 / R 1 2 k R 2 / R 1 2 k + 1 R 1 R 2 k r R 2 k + R 1 r k φ k 1 cos ( k θ ) + R 1 R 2 k r R 2 k + R 1 r k φ k 2 sin ( k θ ) ,
where 0 θ < 2 π . The values φ 0 , φ k 1 , φ k 2 , k = 1 , 2 , , are the Fourier coefficients of φ . The solution to the FP, called measurement, is given by V = K m β φ , which is obtained by applying the operator D m β , the identities
s d d s m ( s k cos ( k θ ) ) = k m s k cos ( k θ ) , s d d s m ( s k cos ( k θ ) ) = ( 1 ) m k m s k cos ( k θ ) ,
s d d s m ( s k sin ( k θ ) ) = k m s k sin ( k θ ) , s d d s m ( s k sin ( k θ ) ) = ( 1 ) m k m s k sin ( k θ ) , and then evaluating in r = R 2 , i.e.,
V ( θ ) = K m β φ ( θ ) = ( T r ( D m β T ) ) φ ( θ ) = D m β u | S 2 ( θ ) = k = 1 G m , k β ( φ k 1 cos ( k θ ) + φ k 2 sin ( k θ ) ) ,
where the Fourier coefficients V k i of exact measurement V are given by V k i = G m , k β φ k i , for i = 1 , 2, in which
G m , k β = k m Γ ( m β ) R 1 R 2 l n R 2 s m 1 β R 1 R 2 k s k 1 R 2 k + ( 1 ) m R 1 k s k d s .
In the numerical examples, the integrals are calculated using the function quadl of MATLAB.
The ‘exact solutionu and the ‘exact measurement V = v | S 2 are generated taking 2 N + 1 terms of the Fourier series (15) and (16), with N = 15 , which is obtained from numerical tests. To find the solution to the IP, we must solve the normal equations. To do this, we calculate the adjoint operator using its definition:
( K m β ) W ) , φ L 2 ( S 1 ) = V , K m β φ L 2 ( S 2 ) .
Without loss of generality, we consider functions in which the constant term of their series expansion is null. Using (16) and (18), we found
W , K m β φ L 2 ( S 2 ) = j = 1 W j 1 cos ( j θ ) + W j 2 sin ( j θ ) , k = 1 G m , k β φ k 1 cos ( k θ ) + G m , k β φ k 2 sin ( k θ ) L 2 ( S 2 ) = R 2 R 1 j = 1 G m , k β W j 1 cos ( j θ ) + G m , k β W j 2 sin ( j θ ) , k = 1 φ k 1 cos ( k θ ) + φ k 2 sin ( k θ ) L 2 ( S 1 ) = ( K m β ) W , φ L 2 ( S 1 ) .
Thus, the adjoint operator is defined by ( K m β ) : L 2 ( S 2 ) L 2 ( S 1 ) ,
( K m β ) ( W ) = R 2 R 1 k = 1 G m , k β ( W k 1 cos ( k θ ) + W k 2 sin ( k θ ) ) .
After some calculations, the regularized solution φ α ( δ ) that minimizes the functional (13) or that solves normal Equation (14) is given by
φ α ( δ ) ( θ ) = k = 1 φ k , α ( δ ) 1 cos ( k θ ) + φ k , α ( δ ) 2 sin ( k θ ) , on S 1 ,
where
φ k , α ( δ ) i = R 2 G m , k β G m , k β 2 R 2 + α R 1 V k , δ i ,   for   i = 1 , 2 ,   and   k = 1 , 2 , , N ,
and V k , δ i are the Fourier coefficients of measurement with error V δ .

3.2. Tikhonov Regularization for the Classical Cauchy Problem

Given φ L 2 ( S 1 ) , the exact solution u ( r , θ ) to the auxiliary problem (3) in a circular annular region R 1 r R 2 is given, in polar coordinates, by (15). Therefore, the measurement V = u | S 2 is obtained with r = R 2 in (15):
V ( θ ) = u ( r , θ ) r = R 2 = φ 0 + 2 k = 1 R 2 / R 1 k R 2 / R 1 2 k + 1 φ k 1 cos ( k θ ) + φ k 2 sin ( k θ ) ,
which is the solution to the FP. The Fourier coefficients of V are given by
V 0 = φ 0   and = V k i = 2 R 2 / R 1 k R 2 / R 1 2 k + 1 φ k i ,   for   i = 1 , 2 .
Therefore, the solution to the IP from the measurement with error
V δ ( θ ) = V 0 , δ + k = 1 V k , δ 1 cos ( k θ ) + V k , δ 2 sin ( k θ ) on S 1 ,
is given by the regularized solution
φ α ( δ ) ( θ ) = φ 0 , α ( δ ) + k = 1 φ k , α ( δ ) 1 cos ( k θ ) + φ k , α ( δ ) 2 sin ( k θ ) on S 1 ,
where
φ k , α ( δ ) i = R 2 R 1 k 1 + R 2 R 1 2 k 2 R 2 R 1 2 k + α R 1 2 R 2 1 + R 2 R 1 2 k 2 V k , δ i , i = 1 , 2 , k = 1 , 2 , 3 ,
where V k , δ i are the Fourier coefficients of V δ and α is the Tikhonov regularization parameter. Thus, the solution to the IP (of the classical Cauchy problem) applying the Tikhonov regularization method (TRM) is given by (15), replacing the coefficients φ k i by the coefficients φ k , α ( δ ) i given by (25).

4. Numerical Results

In this section, we illustrate the method proposed in this work using synthetic examples. We know the exact φ defined on S 1 in this case. Then, we calculated the measurement with and without noise by solving the FP for the classical and fractional Cauchy problem.
The exact measurement is calculated by solving the FP. To generate the measurements with error V δ , we added to the exact measurement a Gaussian error using the function r a n d o m of MATLAB. The exact measurement was calculated by solving the FP. Therefore, we define
V δ = V + E ,
where E = r a n d o m ( N o r m a l , μ 0 , σ 0 , 1 , m ) is a vector of random numbers of length m (numbers of nodes on S 2 ) with a normal distribution. The corresponding numerical solutions are denoted by φ α ( δ ) .
In this section, we obtain the relative error between the exact source φ and the recovered source φ α ( δ ) shown in tables and denoted by R E ( φ , φ α ( δ ) ) . The relative error is given by
R E ( φ , φ α ( δ ) ) = φ φ α ( δ ) L 2 ( S 1 ) / φ L 2 ( S 1 ) ,
and the relative error between the exact measurement V and the measurement with error V δ is denoted by R E ( V , V δ ) , which is given by
R E ( V , V δ ) = V V δ L 2 ( S 2 ) / V L 2 ( S 2 ) ,
where · L 2 ( S i ) is the norm of the space L 2 ( S i ) , i = 1 , 2 .

4.1. Solution to the IP Related to the Classical Cauchy Problem

In the following two examples, we consider a circular annular region R 1 r R 2 with R 1 = 1 and R 2 = 1.2 ; then S 1 and S 2 are two circumferences of radii R 1 = 1 and R 2 = 1.2 (see Figure 1), respectively.
Example 1. 
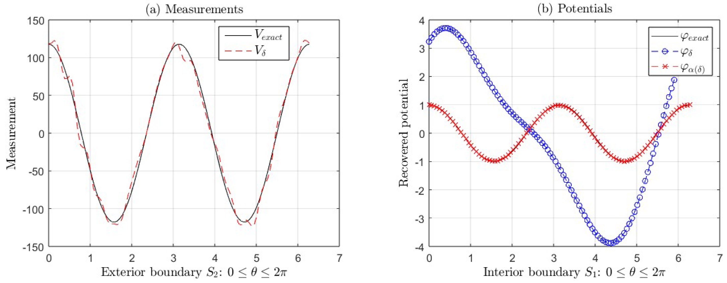
We take the ‘exact potential’ φ ( x , y ) = x 2 y 2 , ( x , y ) S 1 , that in polar coordinates is φ ( θ ) = cos ( 2 θ ) . In this case, V 0 = φ 0 = 0 , and the solution to the forward problem, that is, the solution to the auxiliary problem (3), is given by
V ( θ ) = K φ ( θ ) = u ( r , θ ) r = R 2 = 2 R 2 R 1 2 1 + R 2 R 1 4 φ 2 1 cos ( 2 θ ) , θ [ 0 , 2 π ] ,
where φ 2 1 = 1 . Then, the ‘exact solution’ V and the ‘measurement with error’ V δ are generated with the first N terms of the Fourier series (22) and (23), respectively. In this case, we take values of N = 20 , 25, and 30 terms. For smooth functions in the Cauchy data, these values of N are obtained by combining numerical tests and the following ideas: K ( φ ) = V is approximated by a truncation K N ( φ ) = V N choosing N such that we can guarantee that V V N L 2 ( S 2 ) 2 = K ( φ ) K N ( φ ) L 2 ( S 2 ) 2 < δ 2 4 , where the approximation K N ( g ) = k = 1 N V k 1 cos k θ + V k 2 sin k θ . From the Parseval equality and (22), where we found that the Fourier coefficients of V decay at least as 1 / k 2 , we infer
V V N L 2 ( S 2 ) 2 < 2 π / N < δ 2 / 4 .
From this, we can take N > 8 π δ 2 for obtaining the inequality. With this, we obtain an error regarding the truncation of the series expansion.
Now, the measurement error is simulated by adding a random error to each Fourier coefficient V k 1 , V k 2 , k = 1 , 2 , , N , such that V N V δ , N L 2 ( S 2 ) 2 < δ 2 4 , which guarantees that V V δ , N L 2 ( S 2 ) δ .
For other functions, such as absolute value and the jump function, we have to choose other values of N. This is shown in Examples 3 and 4, which are included in Section 4.2.6 .
Thus, we consider synthetic examples; that is, we examine the fundamental elements of the problems studied, such as how real data are generated and the inherent error within them. In this way, we attempt to emulate the characteristics of real-world problems so that our proposal is closely aligned with providing a solution to them.
Therefore, the measurement with error V δ is given by the series
V δ ( θ ) = k = 1 N V k , δ 1 cos ( k θ ) + V k , δ 2 sin ( k θ ) on S 1 ,
where V k , δ i are the Fourier coefficients of V δ . The regularized solution φ α ( δ ) to the inverse problem is given by the series (24) truncated to N terms. The solution without regularization φ δ to the IP is given by
φ δ ( θ ) = k = 1 N φ k , δ 1 cos ( k θ ) + φ k , δ 2 sin ( k θ ) on S 1 ,
where the coefficients φ k , δ i are given by
φ k , δ i = 1 + R 2 R 1 2 k 2 R 2 R 1 k V k , δ i , i = 1 , 2 .
Remark 1. 
In all tables associated with the classical case, if α ( δ ) = 0 , then the solution φ α ( δ ) is the solution without regularization φ δ given by (29), where the coefficients φ k , δ i are given by (30).
Table 1 shows the numerical results for data with and without error, applying TRM to solve the IP of the classical Cauchy problem (2). In this case, we observe that the solutions with regularization φ α ( δ ) have a percentage of relative errors around 10 % , equal to the percentage of error included in the data with error V δ for δ = 0.1 . The regularization parameter was chosen as α ( δ ) = δ for N = 20 , 25, and 30. Also, we can see that the R E ( φ , φ α ( δ ) ) decreases when the error δ tends to zero, while the R E ( φ , φ δ ) increases for each value of N. In particular, the R E ( φ , φ δ ) increases faster when N = 30 , for δ = 0.1 , 0.01 , and y 0.001 . In this case, the regularization parameter α ( δ ) depends on V δ .
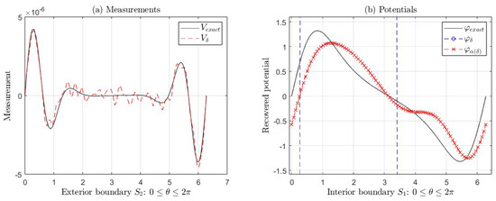
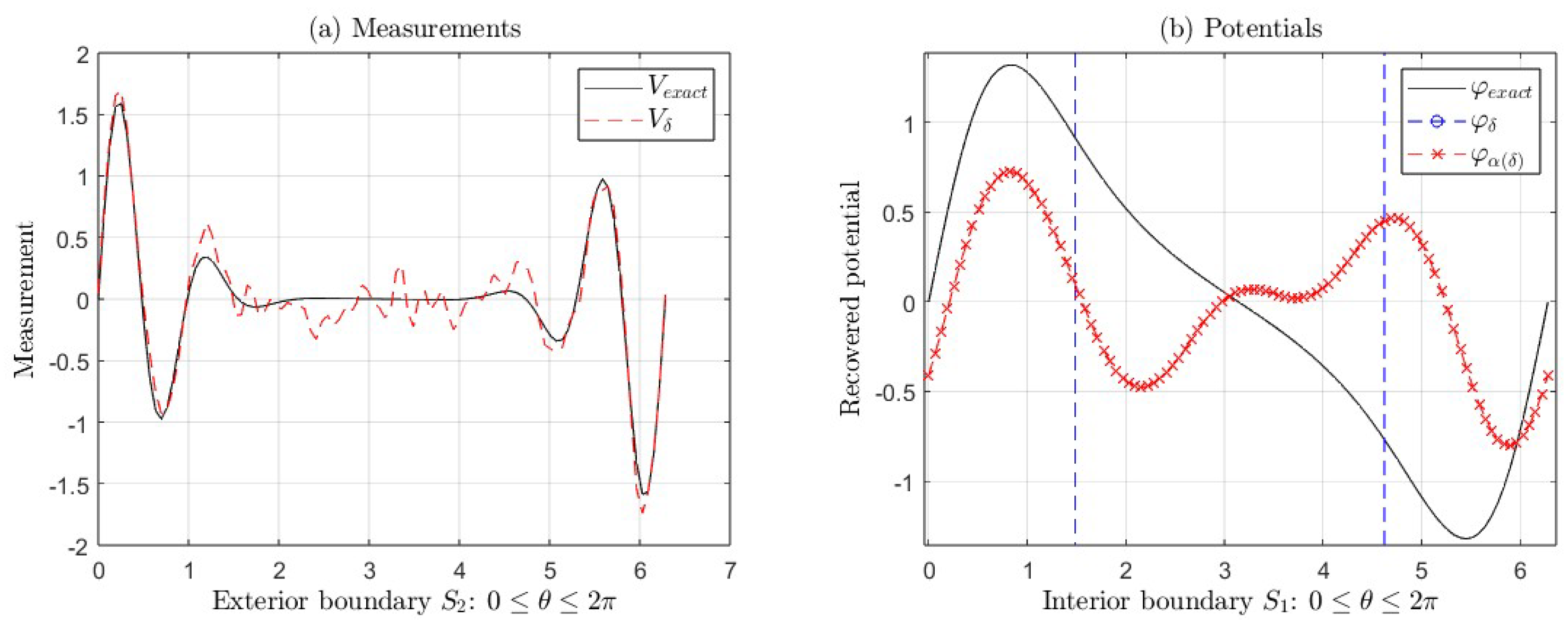
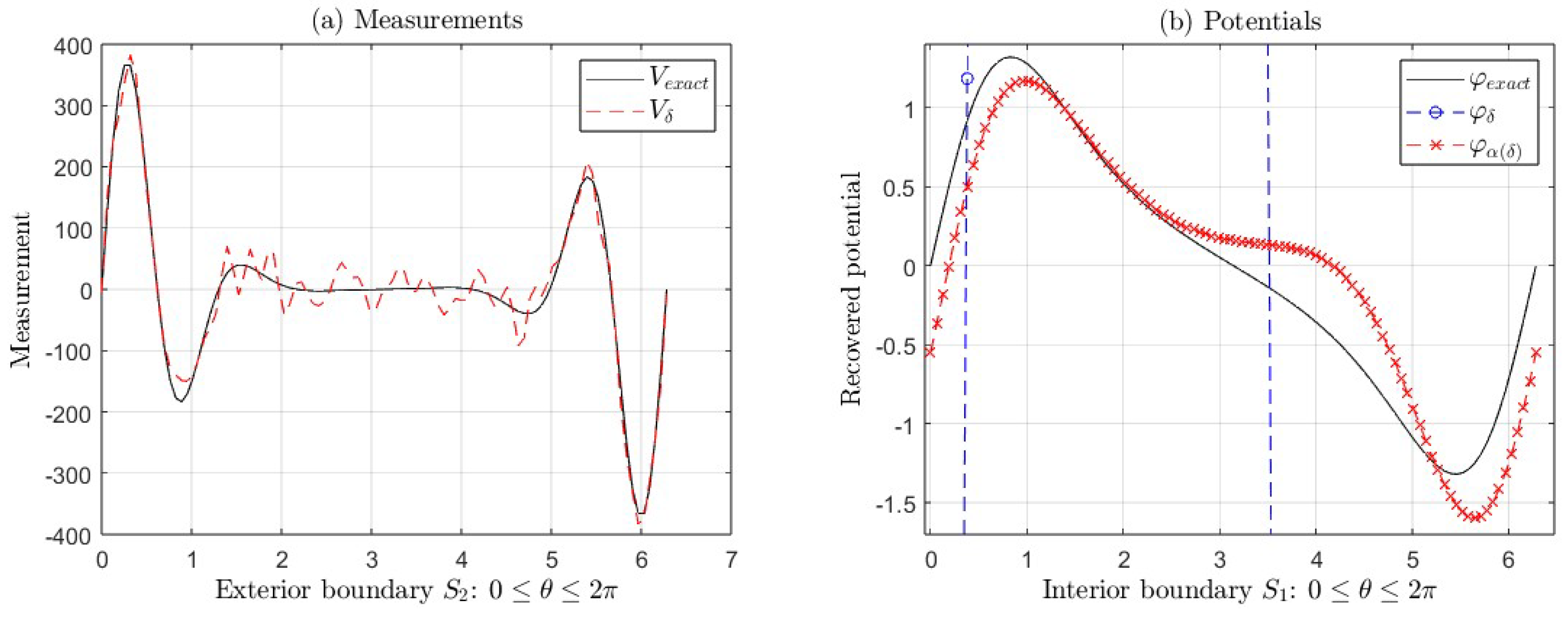
Figure 2a,b show the graphs of the exact measurement V and with error V δ , the graphs of the exact potential φ and its approximations φ α ( δ ) (with regularization) and φ δ (without regularization) taking α ( δ ) = 0.1 and N = 30 , corresponding to Example 1, for δ = 0.1 (see Table 1). In Figure 2b, we can see the ill-posedness of the inverse problem if we do not apply regularization, where R E ( φ , φ α ( δ ) ) = 0.1435 and R E ( φ , φ δ ) = 3.0063 .
Example 2. 
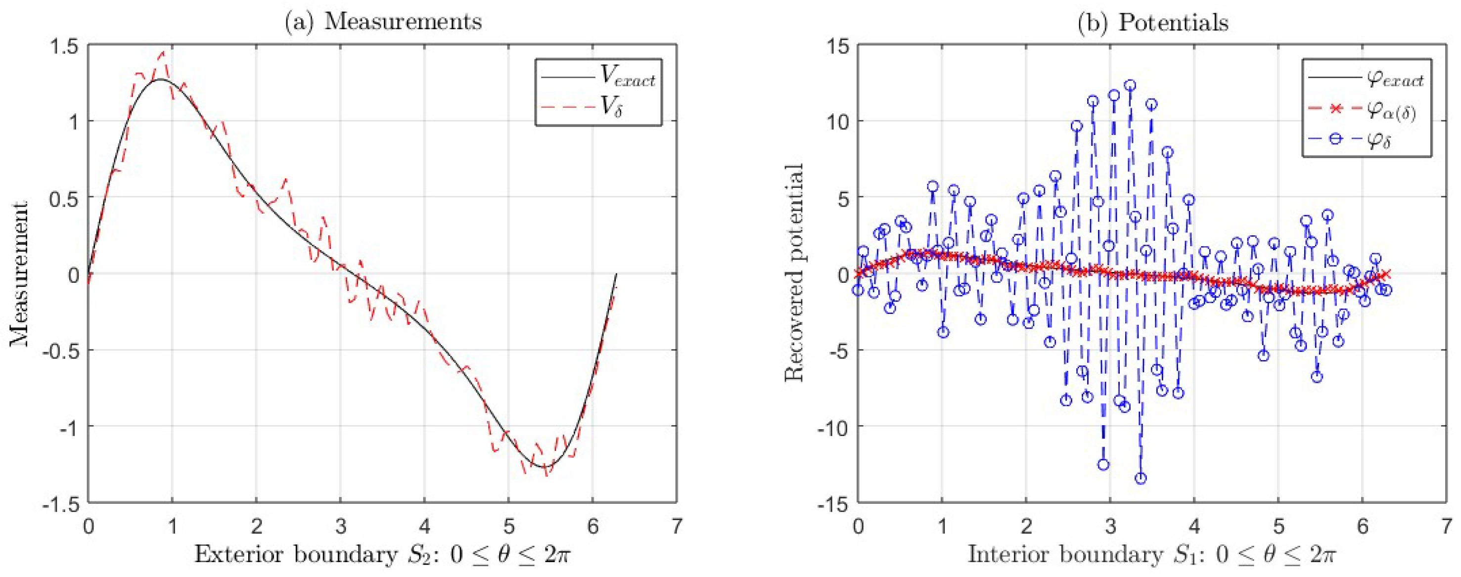
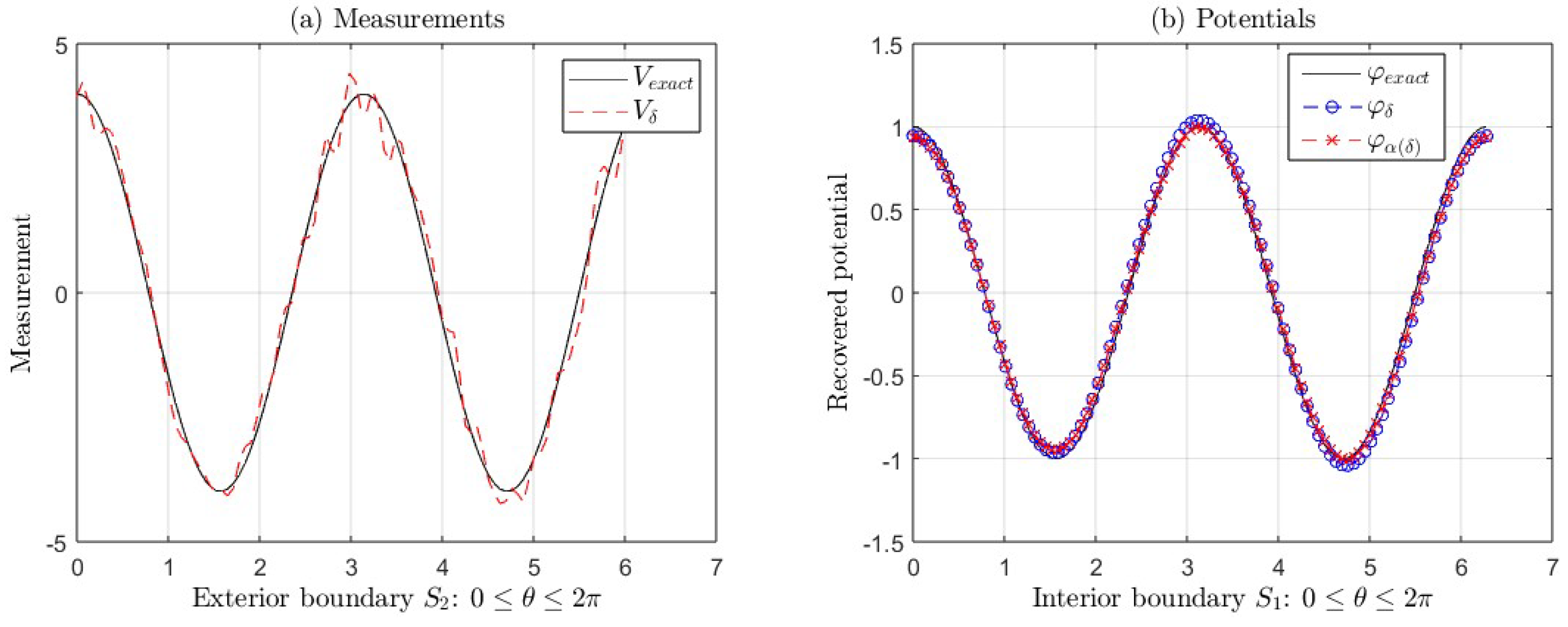
We consider the ‘exact potential’ φ ( x , y ) = e x sin ( y ) , for ( x , y ) S 1 . Similar to the first example, the ‘exact measurement’ V and the ‘measurement with error’ V δ are generated with the first N terms of the Fourier series (22) and (23), respectively, such that φ N φ L 2 ( S 1 ) ϵ F , with 0 < ϵ F < 10 14 . In this case, V 0 = φ 0 = 0 and the Fourier coefficients φ k , 1 k N , are obtained numerically using the intrinsic function q u a d l of M A T L A B . Here, we take values of N = 18 , 25, and 30 terms.
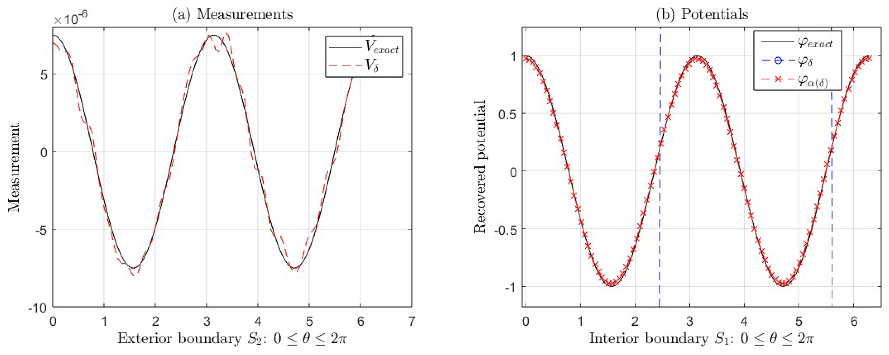
Table 2 shows the numerical results for data with and without error, applying TRM to solve the IP of the classical Cauchy problem (2). Analogous to Example 1, we can observe that the solutions with regularization φ α ( δ ) have a percentage of relative errors around 10 % , equal to the percentage of error included in the data with error V δ for δ = 0.1 . Also, we can see that the R E ( φ , φ α ( δ ) ) decreases when the error δ tends to zero, while the R E ( φ , φ δ ) increases for each value of N. In particular, the R E ( φ , φ δ ) increases when N = 30 for each δ = 0.1 , 0.01 , and 0.001 . As in the previous example, the regularization parameter α ( δ ) depends on V δ , and we take α ( δ ) = δ for each value of N = 18 , 25, and 30.
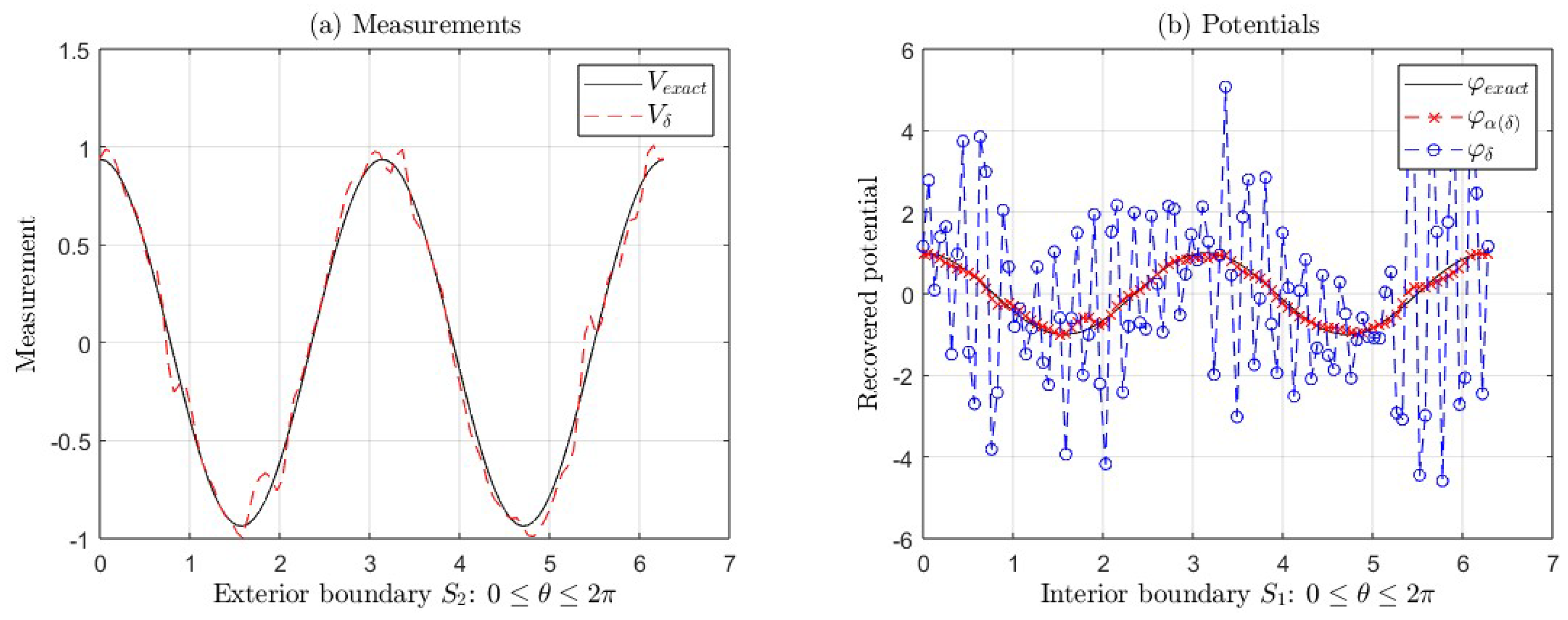
Figure 3a,b show the graphs of the exact measurement V and with error V δ , the graphs of the exact potential φ and its approximations φ α ( δ ) (with regularization) and φ δ (without regularization) taking α ( δ ) = 0.1 and N = 30 , corresponding to Example 2, for δ = 0.1 (see Table 2). In Figure 3b, we can see the ill-posedness of the inverse problem if we do not apply regularization. In this case, R E ( φ , φ α ( δ ) ) = 0.1512 and R E ( φ , φ δ ) = 5.7825 .

4.2. Solution to the IP Related to the Fractional Cauchy Problem

In this section, we look into the performance of the TRM to solve the IP of the fractional Cauchy problem (12) in a circular annular region R 1 r R 2 with R 1 = 1 and R 2 = 1.2 . Then, S 1 and S 2 are two circumferences of radii R 1 = 1 and R 2 = 1.2 (see Figure 1), respectively. In this case, we consider as ‘exact potentials’ the two functions from the previous subsection: φ ( x , y ) = x 2 y 2 and φ ( x , y ) = e x sin ( y ) , for ( x , y ) S 1 .
Similar to the previous subsection, the ‘exact solutionV and the ‘measurement with error V δ are obtained by truncating the series (16) and (23) up to N terms, respectively; furthermore, the Fourier coefficients φ k 1 , φ k 2 , and G m , k β (given by (17)) are obtained numerically using the function q u a d l of M A T L A B .
In this case, we take values of N = 18 , 20, 25, and 30 terms. Therefore, the measurement with error V δ is given by the series (23) truncated to N terms. The regularized solution φ α ( δ ) to the IP is given by the series (21) truncated to N terms. Also, the solution without regularization φ δ to the IP is given by (29), where
φ k , δ i = 1 G m , k β V k , δ i , i = 1 , 2 , k = 1 , 2 , , N .
Remark 2. 
In all tables from the fractional case, if α ( δ ) = 0 , the solution φ α ( δ ) is the solution without regularization φ δ given by (29), where the coefficients φ k , δ i are given by (31).

4.2.1. Case 1: β = 0.5 and m = 1 , When δ Tends to Zero

In this section, we consider the case when β = 0.5 , m = 1 , and for different values of δ close to zero. Table 3 and Table 4 show the relative errors of the approximations φ α ( δ ) and φ δ , when δ tends to zero, for the two exact functions φ considered in Section 4.1. In both cases, we observe that the R E ( φ , φ α ( δ ) ) of the solutions with regularization φ α ( δ ) is less than the R E ( V , V δ ) for each value of δ and N given in these tables. Additionally, the R E ( φ , φ α ( δ ) ) and R E ( φ , φ δ ) are of the same order, i.e., the solutions without regularization φ δ are close to regularized solutions φ α ( δ ) for β = 0.5 and m = 1 . In both cases, the measurements with errors V δ do not have much impact on recovered solution φ δ , and they are close to φ α ( δ ) . We observe from the relative errors that regularized approximations φ α ( δ ) are better than those without regularization. In this case, the regularization parameter α ( δ ) depends on V δ , N, m, and β .
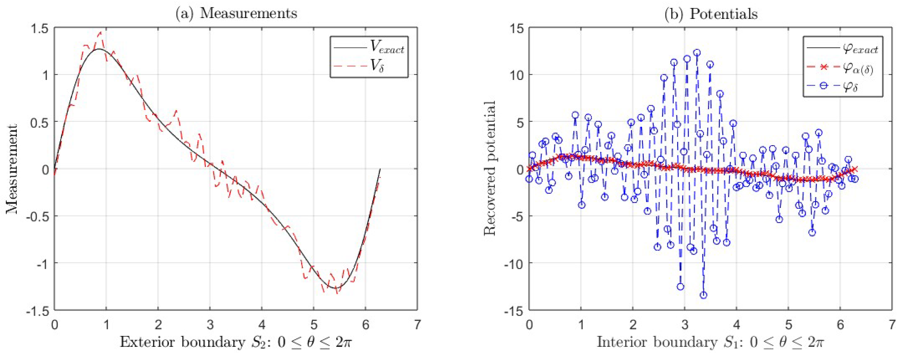
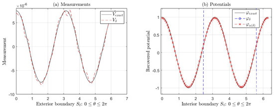
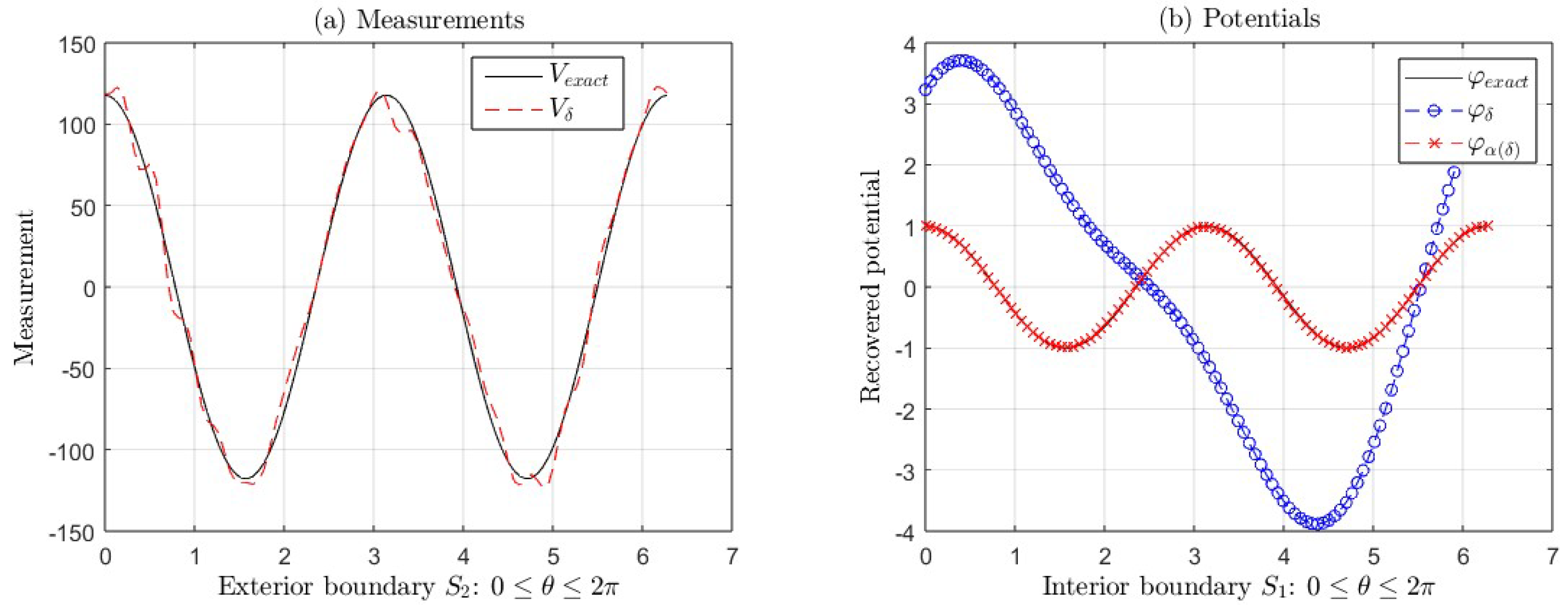
Considering δ = 0.1 , β = 0.5 , and m = 1 , we show the graphs for the following potentials φ ( x , y ) = x 2 y 2 (Figure 4) and φ ( x , y ) = e x sin ( y ) (Figure 5) for ( x , y ) S 1 where the following is true:
(a)
The exact measurement V and the measurement with error V δ .
(b)
The exact potential φ and its approximations φ α ( δ ) (with regularization) and φ δ (without regularization) taking α ( δ ) = 10 2 and N = 30 .
See Table 3 and Table 4 for other values of the parameters N and δ .
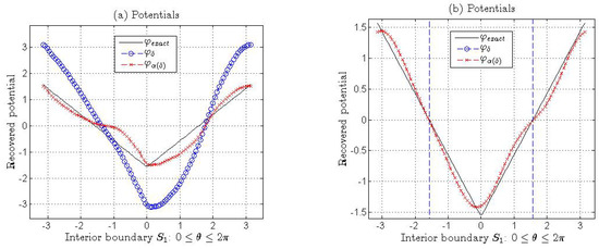
In Figure 4b, the R E ( φ , φ α ( δ ) ) = 0.0775 is less than R E ( φ , φ δ ) = 0.1217 for δ = 0.1 (see Table 3). In Figure 5b, the R E ( φ , φ α ( δ ) ) = 0.0624 is less than R E ( φ , φ δ ) = 0.0672 for δ = 0.1 (see Table 4).

4.2.2. Case 2: β ( m 1 , m ) , for m = 2 , , 12 and δ = 0.1

Table 5 and Table 6 show the relative errors of the approximations φ α ( δ ) and φ δ when δ = 0.1 for the two exact functions φ considered in Section 4.1.
In Table 5, we observe that R E ( φ , φ α ( δ ) ) < R E ( V , V δ ) for each value of N, β , and m given in the mentioned table. Also, the R E ( φ , φ α ( δ ) ) and R E ( φ , φ δ ) are of the same order, i.e., the solutions without regularization φ δ are close to regularized solutions φ α ( δ ) , for δ = 0.1 , N = 20 , 25, 30, β = 1.5 , and m = 2 . We can see similar results in Table 6 for δ = 0.1 , N = 18 , 25, 30, β = 1.5 , 2.5 , m = 2 , and 3; however the regularized approximates φ α ( δ ) are better than the solutions without regularization. Furthermore, R E ( φ , φ δ ) < R E ( V , V δ ) and these increase suddenly, starting at m = 3 and m = 4 (see Table 5 and Table 6) for the functions φ ( x , y ) = x 2 y 2 and φ ( x , y ) = e x sin ( y ) for ( x , y ) S 1 , respectively. As in the previous case, the regularization parameter α ( δ ) changes depending on V δ , N, m, and β .
We show the graphs for the following functions:
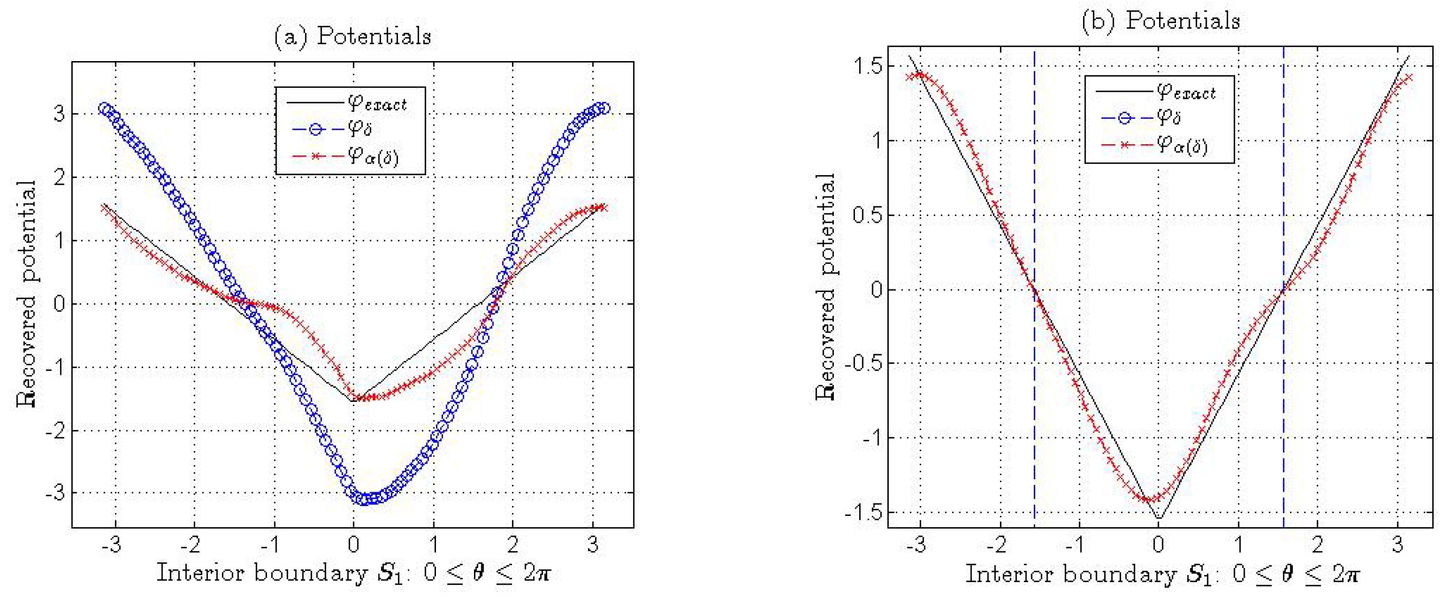
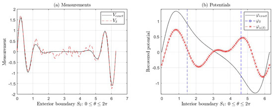
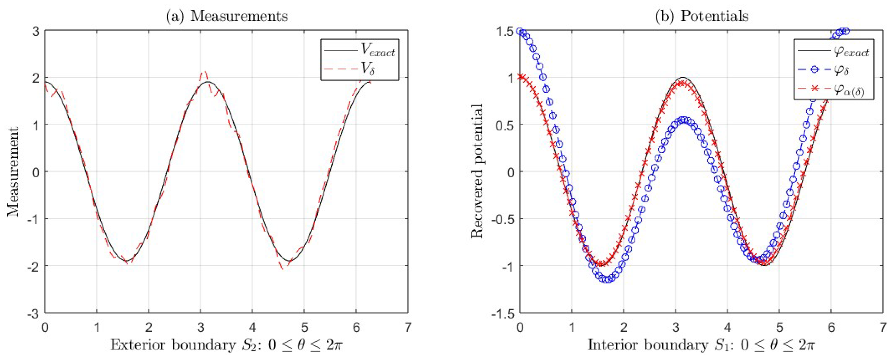
φ ( x , y ) = x 2 y 2 (Figure 6 with parameters β = 1.5 , m = 2 , δ = 0.1 , α ( δ ) = 5 × 10 1 , and N = 30 ; and Figure 7 with parameters β = 2.5 , m = 3 , δ = 0.1 , α ( δ ) = 2 × 10 1 , and N = 20 ).
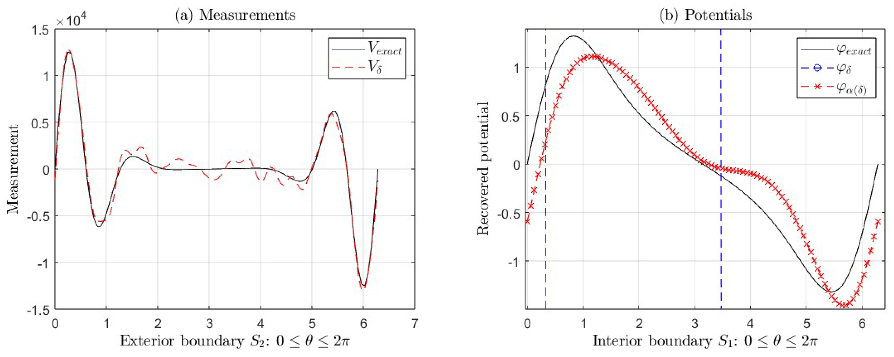
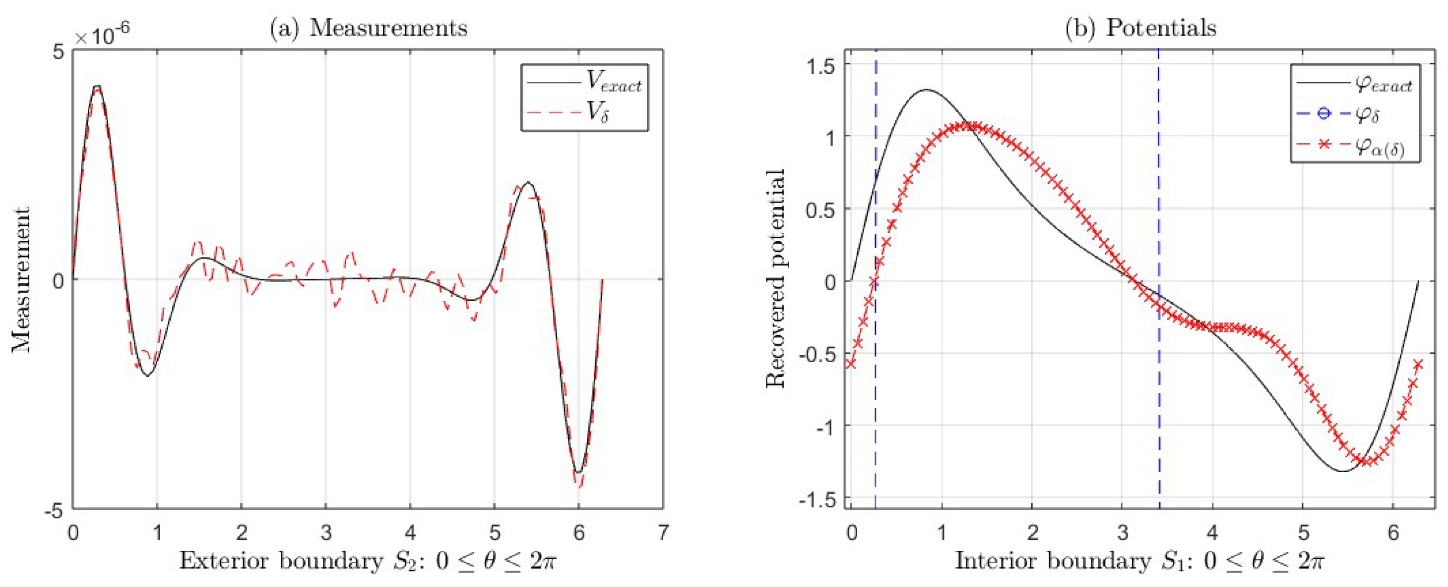
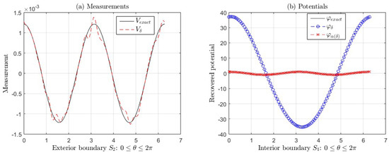
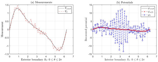
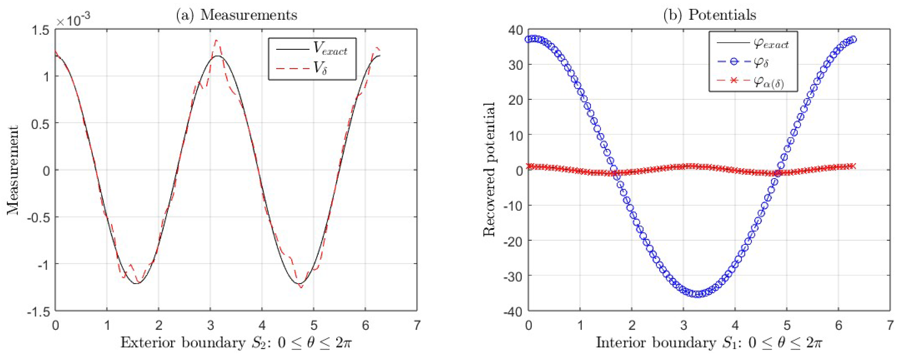
φ ( x , y ) = e x sin ( y ) (Figure 8 with parameters β = 7.5 , m = 8 , δ = 0.1 , α ( δ ) = 4.2 × 10 2 , and N = 18 ).
For ( x , y ) S 1 . These figures show the following:
(a)
The exact measurement V and the measurement with error V δ .
(b)
The exact potential φ and its approximations φ α ( δ ) (with regularization) and φ δ (without regularization).
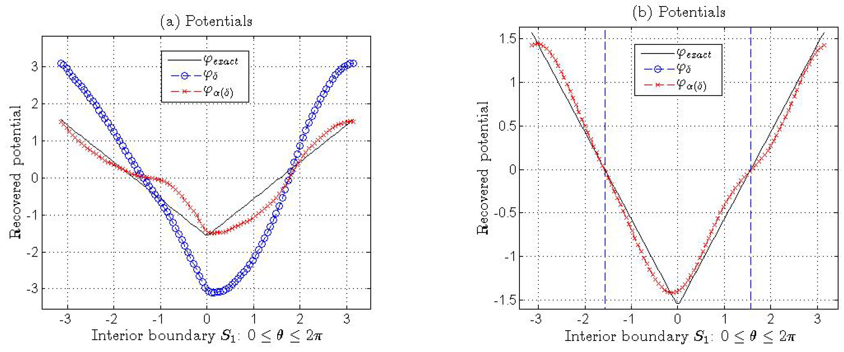
In both cases, as mentioned in the previous paragraph, the errors increase suddenly, starting at m = 3 for the first function and m = 4 for the second one, as can be seen in Figure 7b and Figure 8b, where we can see the ill-posedness of the IP if we do not apply regularization. For example, for the second function, the R E ( φ , φ α ( δ ) ) = 310.6255 is much greater than R E ( φ , φ δ ) = 0.3822 for β = 7.5 , m = 8 , and δ = 0.1 (see Table 6). However, in this same example, for m = 9 , 10, 11, and 12, the R E ( φ , φ α ( δ ) ) increases around 90%. Nevertheless, R E ( φ , φ δ ) is bigger than R E ( φ , φ α ( δ ) ) . In this case, we could use the regularized solution as an initial point of an iterative method to recover a better solution to the IP.

4.2.3. Case 3: β ( m 1 , m ) , When β Is Next to m 1 or m and δ = 0.1

This section considers the case when m 1 < β < m and β is next to m 1 or m. Table 7 and Table 8 show the relative errors of the approximations φ α ( δ ) and φ δ when δ = 0.1 for the same two exact functions φ considered in Section 4.1.
In Table 7, we observe that the R E ( φ , φ α ( δ ) ) are less than the R E ( V , V δ ) for each value of N, β , and m given in this table. We can see that R E ( φ , φ α ( δ ) ) and R E ( φ , φ δ ) are of the same order for m = 1 , 2, i.e., the solutions without regularization φ δ are close to regularized solutions φ α ( δ ) . However, the regularized approximates φ α ( δ ) are better than the solutions without regularization for m = 1 , 2. Nonetheless, R E ( φ , φ α ( δ ) ) increases more than R E ( V , V δ ) starting at m = 3 . Furthermore, we can observe similar results in Table 8, where the R E ( φ , φ α ( δ ) ) are less than the R E ( V , V δ ) for m = 1 , 2, 3, 4, with δ = 0.1 , N = 30 , and the different values of β are close to m or m 1 given in this table. For the values of m = 5 , 6, 7, and 8, the R E ( φ , φ α ( δ ) ) are around the percentage of the R E ( V , V δ ) . For the other values of m = 9 , 10, 11, and 12, given in Table 8, the corresponding R E ( φ , φ α ( δ ) ) increases around 90%, but no more than R E ( φ , φ δ ) , i.e., the TRM does not provide a good approximate solution to the IP. In this case, we could use the regularized solution φ α ( δ ) as an initial point of an iterative method to recover a better solution to the IP. Furthermore, the relative errors of the recovered solutions φ δ without applying regularization increase suddenly, starting at m = 7 and m = 5 (see Table 7 and Table 8) for the functions φ ( x , y ) = x 2 y 2 and φ ( x , y ) = e x sin ( y ) for ( x , y ) S 1 , respectively. As in the previous cases, the regularization parameter α ( δ ) changes depending on V δ , N, m, and β .
We show the graphs for the following functions:
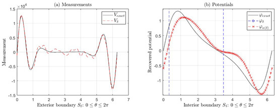
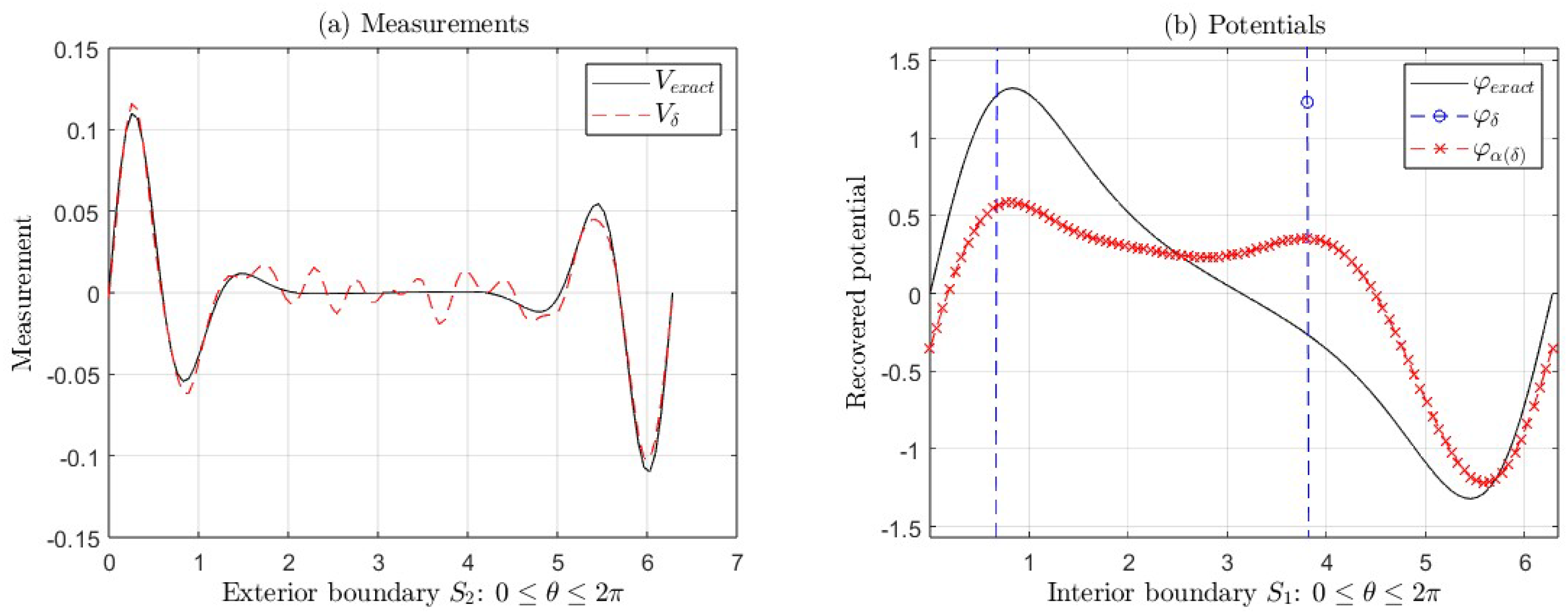
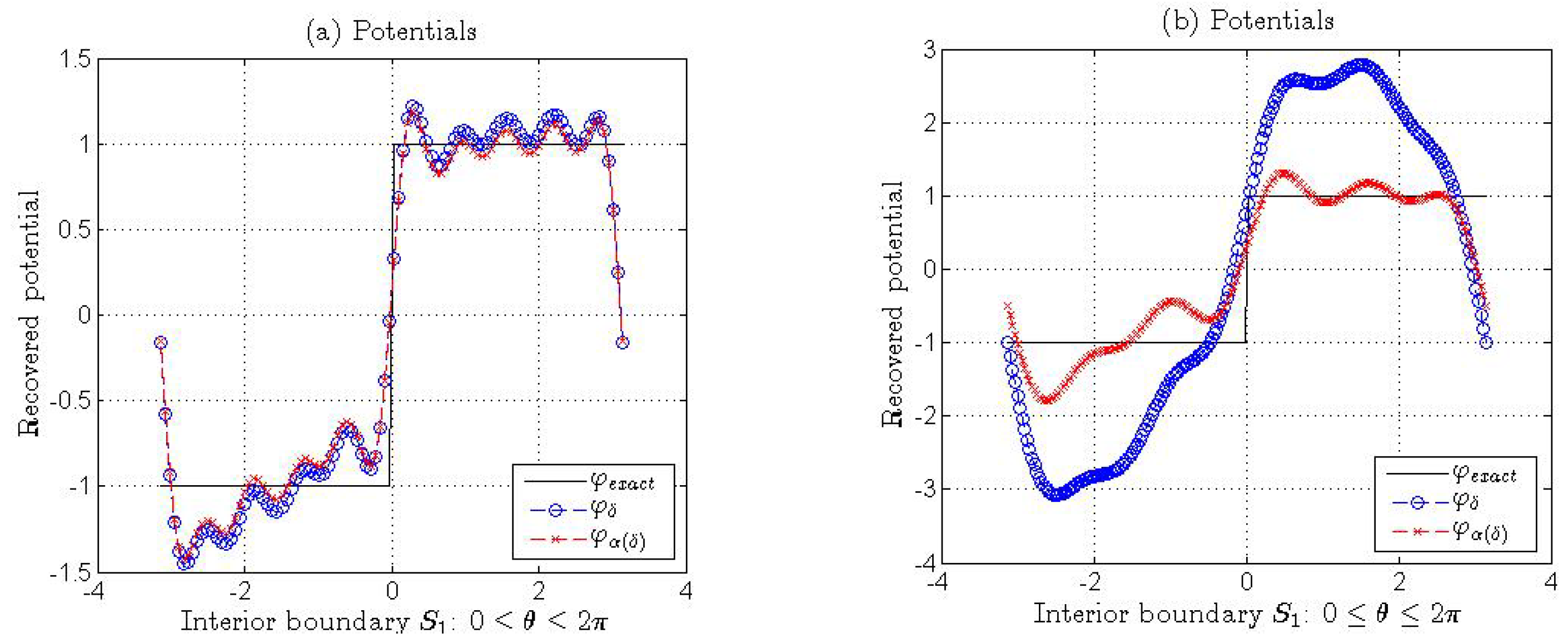
φ ( x , y ) = x 2 y 2 (Figure 9 with parameters β = 7.1 , m = 8 , δ = 0.1 , α ( δ ) = 10 2 , and N = 20 ).
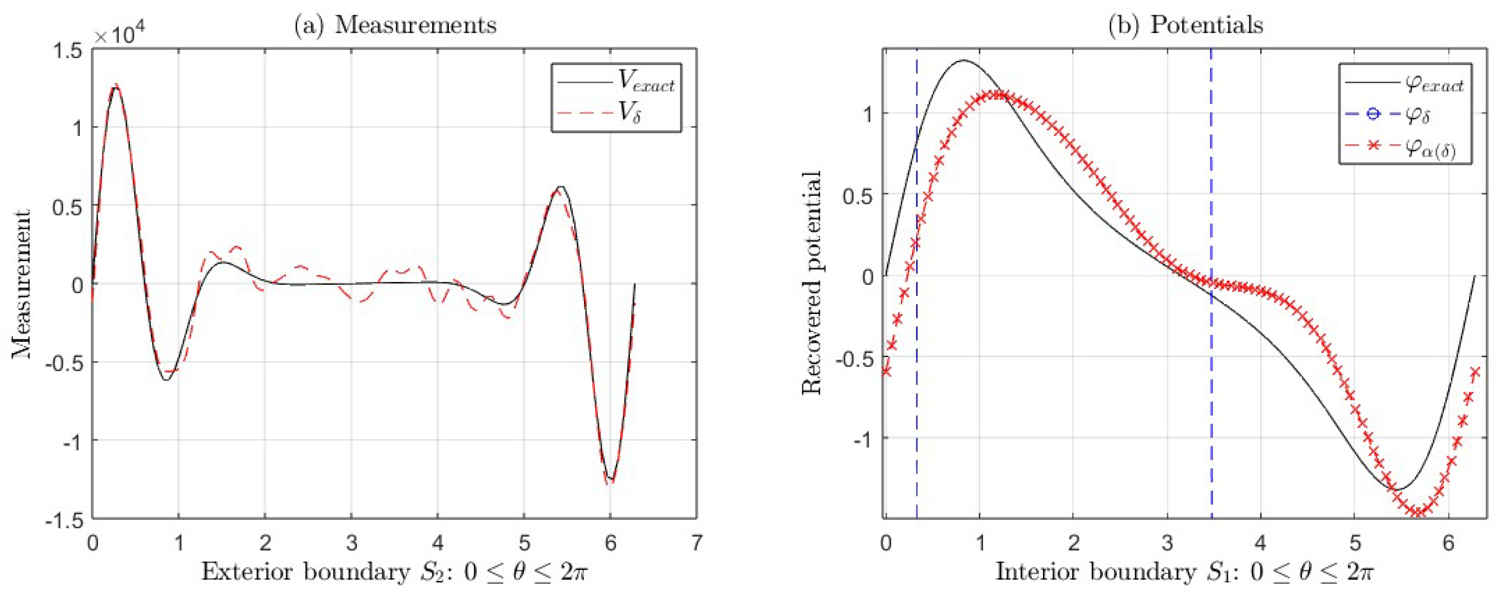
φ ( x , y ) = e x sin ( y ) (Figure 10 with parameters β = 7.9999999 , m = 8 , δ = 0.1 , α ( δ ) = 2 × 10 8 , and N = 30 ).
For ( x , y ) S 1 . These figures show the following:
(a)
The exact measurement V and the measurement with error V δ .
(b)
The exact potential φ and its approximations φ α ( δ ) (with regularization) and φ δ (without regularization).
In both cases, as mentioned in the previous paragraph, the errors increase starting at m = 7 for the first function and starting at m = 5 for the second one, as can be seen in Figure 9b and Figure 10b for m = 8 , where we can see the ill-posedness of the IP if we do not apply regularization. For example, for the first function, the R E ( φ , φ δ ) = 3.3483 is greater than R E ( φ , φ α ( δ ) ) = 0.0199 for β = 7.1 , m = 8 , and δ = 0.1 (see Table 7). For the second one, the R E ( φ , φ δ ) = 164.4764 is greater than R E ( φ , φ α ( δ ) ) = 0.5806 for β = 7.9999999 , m = 8 , and δ = 0.1 (see Table 8). In this latter function, the approximate solution φ α ( δ ) is far from the exact solution φ . In this case, we could apply an iterative method to obtain a better solution, taking φ α ( δ ) as an initial point.

4.2.4. Case 4: β < m 1 , for m = 2 ,…,12 and δ = 0.1

In this Section, we consider the case when β < m 1 for m = 2 , 3,…,12 and δ = 0.1 . Table 9 and Table 10 show the relative errors of the approximations φ α ( δ ) and φ δ when δ = 0.1 , with the same two exact functions φ considered in the Section 4.1.
In Table 9, we observe that the R E ( φ , φ α ( δ ) ) from solutions with regularization φ α ( δ ) are less than the R E ( V , V δ ) . For some values of N, β , and m given in this same table, we can see that R E ( φ , φ α ( δ ) ) and R E ( φ , φ δ ) are of the same order, i.e., the solutions without regularization φ δ are close to regularized solutions φ α ( δ ) ; however, the regularized solutions φ α ( δ ) are better than the solutions without regularization. The R E ( φ , φ δ ) increases faster than the R E ( V , V δ ) starting at m = 3 . Furthermore, we can observe similar results in Table 10, where the R E ( φ , φ α ( δ ) ) are of the same order as R E ( V , V δ ) for m = 2 , 3, 4, with β = 0.5 , δ = 0.1 , except for m = 5 , 6 , , 12 . Nevertheless, the R E ( φ , φ δ ) increases faster than the R E ( V , V δ ) starting at m = 5 . For the values of m = 8 , 9, 10, 11, and 12, the R E ( φ , φ α ( δ ) ) increases between 40% and 90%, but no more than R E ( φ , φ δ ) . In this case, the TRM does not provide a good approximate solution to the IP. However, as mentioned before, we could use the regularized solution φ α ( δ ) as an initial point of an iterative method to recover a better solution to the IP. Also, the relative errors of the recovered solutions φ δ without applying regularization increase suddenly, starting at m = 7 and m = 5 (see Table 9 and Table 10) for the functions φ ( x , y ) = x 2 y 2 and φ ( x , y ) = e x sin ( y ) for ( x , y ) S 1 , respectively. Here also, as in the previous cases, the parameter of regularization α ( δ ) changes depending on V δ , N, m, and β .
Figure 11 and Figure 12 show the graphs of the exact measurement V and with error V δ with δ = 0.1 , the graphs of the exact potential φ and its approximations φ α ( δ ) (with regularization) and φ δ (without regularization), corresponding to the functions φ ( x , y ) = x 2 y 2 and φ ( x , y ) = e x sin ( y ) for ( x , y ) S 1 , respectively. In both cases, as mentioned in the previous paragraph, the errors increase suddenly, starting at m = 7 for the first function and starting at m = 5 for the second one, as can be seen in Figure 11b and Figure 12b, where we can see the ill-posedness of the IP if we do not apply regularization. For example, for the first function, the relative error R E ( φ , φ δ ) = 36.2964 is greater than R E ( φ , φ α ( δ ) ) = 0.0329 for β = 6.3 , m = 12 , and y δ = 0.1 (see Table 9). For the second one, the R E ( φ , φ δ ) = 205.2009 is greater than R E ( φ , φ α ( δ ) ) = 0.4002 for β = 0.5 , m = 8 , and δ = 0.1 (see Table 10). In this case, we could use the regularized solution φ α ( δ ) as an initial point of an iterative method to recover a better solution to the IP.

4.2.5. Case 5: β < m 1 , When β Is Next to n or n 1 , Where 0 < n m 1 , for m = 2 , , 12 and δ = 0.1

In this section, we consider the case when β < m 1 , when β is next to n or n 1 , where 0 < n m 1 , for m = 2 , , 12 and δ = 0.1 . Table 11 and Table 12 show the relative errors of the approximations φ α ( δ ) and φ δ when δ = 0.1 for the same two exact functions φ considered in Section 4.1.
In Table 11, we observe that R E ( φ , φ α ( δ ) ) < R E ( V , V δ ) . For m = 2 , we can see that R E ( φ , φ α ( δ ) ) and R E ( φ , φ δ ) are of the same order when β is next to 1 or 0 (taking n = 1 ), i.e., the solutions without regularization φ δ are close to regularized solutions φ α ( δ ) . However, the regularized approximates φ α ( δ ) are better than the solutions without regularization. The R E ( φ , φ α ( δ ) ) increases faster than the R E ( V , V δ ) starting at m = 3 , as shown in Figure 13b for β = 0.0001 , m = 3 , and δ = 0.1 , where R E ( φ , φ α ( δ ) ) = 0.0556 and R E ( φ , φ δ ) = 0.2586 . These approximations, φ α ( δ ) and φ δ , are recovered from measurements with error V δ , shown in Figure 13a. Also, we can observe similar results in Table 12, where R E ( φ , φ α ( δ ) ) and R E ( φ , φ δ ) are of the same order for m = 2 , 3, 4, and when β is next to n or n 1 (taking n = 1 , 1, and 3, respectively), for δ = 0.1 , nevertheless the R E ( φ , φ α ( δ ) ) increases between 17% and 38%, but no more than the R E ( φ , φ δ ) for m = 5 , 6, 7, and 8. For the values of m = 9 , 10, 11, and 12, the R E ( φ , φ α ( δ ) ) increases around 90%, but no more than R E ( φ , φ δ ) . In this case, we could use the regularized solution φ α ( δ ) as an initial point of an iterative method to recover a better solution to the IP. Nevertheless, the relative errors of the recovered solutions φ δ without applying regularization increase suddenly, starting at m = 7 and m = 5 (see Table 11 and Table 12) for the functions φ ( x , y ) = x 2 y 2 and φ ( x , y ) = e x sin ( y ) for ( x , y ) S 1 , respectively. Here, the regularization parameters α ( δ ) also change depending on V δ , N, m, and β .
Figure 13, Figure 14, Figure 15 and Figure 16 show the graphs of the exact measurement V and with error V δ with δ = 0.1 , the graphs of the exact potential φ and its approximations φ α ( δ ) (with regularization) and φ δ (without regularization), corresponding to the functions φ ( x , y ) = x 2 y 2 and φ ( x , y ) = e x sin ( y ) for ( x , y ) S 1 , respectively. In both cases, as mentioned in the previous paragraph, the errors increase suddenly, starting at m = 7 for the first function and starting at m = 5 for the second one, as can be seen in Figure 14b, Figure 15b, and Figure 16b, where we can see the ill-posedness of the IP if we do not apply regularization for m = 12 , 8, and m = 11 , respectively. For example, for the approximations φ δ and φ α ( δ ) shown in Figure 14b of the first function, the R E ( φ , φ δ ) = 131.9629 is much greater than R E ( φ , φ α ( δ ) ) = 0.0278 for β = 4.9 , m = 12 , and δ = 0.1 (see Table 11). For the approximations φ δ and φ α ( δ ) shown in Figure 15b of the second one, the R E ( φ , φ δ ) = 78.5332 is much greater than R E ( φ , φ α ( δ ) ) = 0.3781 , for β = 5.9999 , m = 8 , and y δ = 0.1 (see Table 12). Lastly, for the approximations φ δ and φ α ( δ ) shown in Figure 16b of the second one, the R E ( φ , φ δ ) = 2.8572 × 10 5 is greater than R E ( φ , φ α ( δ ) ) = 0.9312 for β = 6.1 , m = 11 , and δ = 0.1 (see Table 12). In these last two examples, when the approximate solutions φ α ( δ ) are not close to the exact solution φ , we could use the regularized solution φ α ( δ ) as an initial point of an iterative method to recover a better solution to the IP.

4.2.6. Case 6: β > m , for m = 1 , 2 ,…,13 and δ = 0.1

In this case, we consider the case when β > m , with m = 1 , 2 , , 13 . for δ = 0.1 . Table 13 and Table 14 show the relative errors of the approximations φ α ( δ ) and φ δ when δ = 0.1 for the same two exact functions φ considered in Section 4.1.
In Table 13, we observe that R E ( φ , φ α ( δ ) ) < R E ( V , V δ ) . For m = 1 , 2 , we can see that R E ( φ , φ α ( δ ) ) and R E ( φ , φ δ ) are of the same order when δ = 0.1 , i.e., the solutions without regularization φ δ are close to regularized solutions φ α ( δ ) . However, the regularized approximates φ α ( δ ) are better than the solutions without regularization. Additionally, the relative errors of the solutions without regularization φ δ increase faster, starting at m = 3 . Furthermore, we can observe similar results in Table 14. In this case, the relative errors from solutions with regularization R E ( φ , φ α ( δ ) ) are less than the R E ( V , V δ ) for m = 1 , 2 , , 6 , and increase between 29% and 46% for m = 7 , 8 , when δ = 0.1 . Nevertheless, the corresponding relative errors of the solutions with regularization increase between 88% and 96% for m = 9 , 10 , 11 , 12 , but no more than the corresponding R E ( φ , φ δ ) . The relative errors of the recovered solutions φ δ without regularization increase suddenly, starting at m 5 . For example, for β = 10.7 and m = 9 , the R E ( φ , φ δ ) = 4.4110 × 10 3 . For m = 13 , the R E ( φ , φ α ( δ ) ) increases between 91% and 99%, but no more than the R E ( φ , φ δ ) ), for β > m , as well as for β < m and m 1 < β < m with δ = 0.1 . Moreover, as in the previous cases, the regularization parameters α ( δ ) change depending on the data with error V δ , the values N, m, and β . Analogous results can be obtained for values m 14 , as those obtained for m = 13 , which are not included in this work.
In the following two examples, we have considered non-smooth functions.
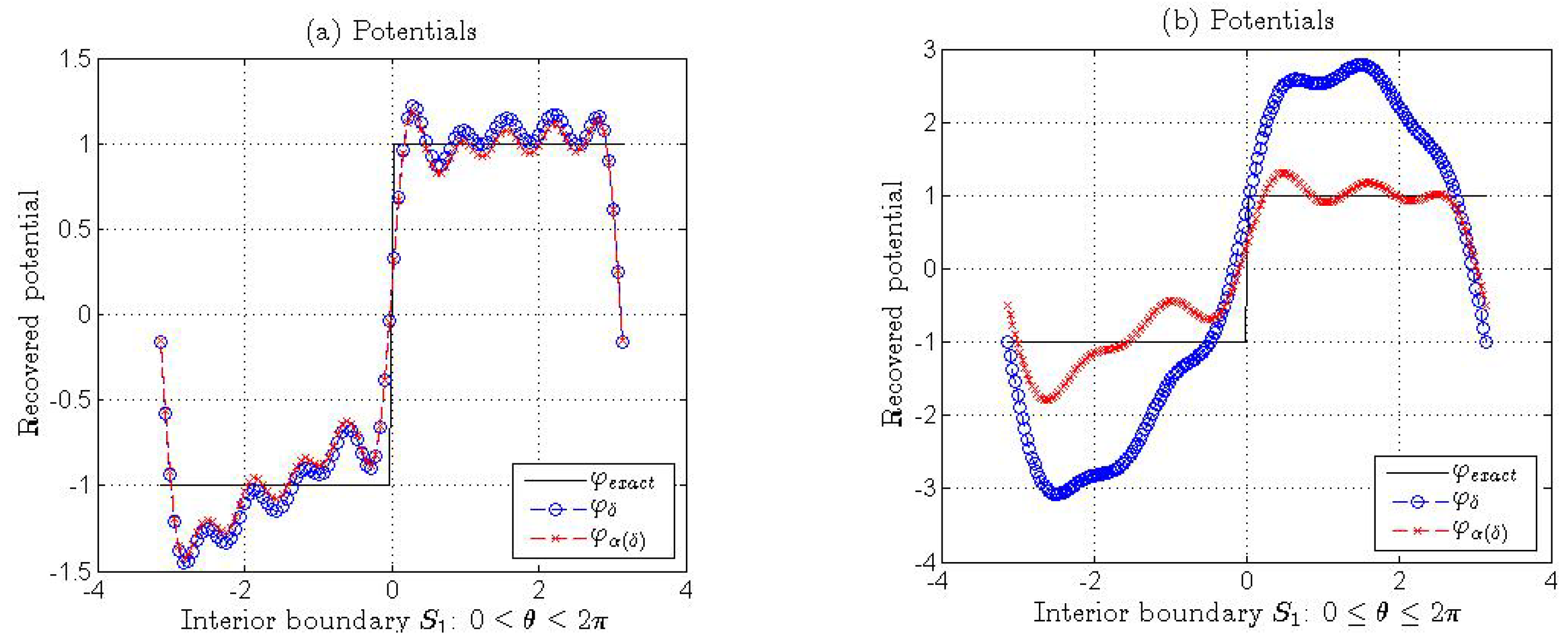
Example 3. 
We consider the ‘exact potential’ φ ( x , y ) = ( x 2 + y 2 ) π / 2 , for ( x , y ) S 1 , which in polar coordinates is given by φ ( θ ) = | θ | π / 2 , for θ [ π , π ] . Resembling the first example, the ‘exact measurement’ V and the ‘measurement with error’ V δ are generated with the first N terms of the Fourier series (22) and (23), respectively, such that φ N φ L 2 ( S 1 ) ϵ F , with 0 ϵ F . For N = 30 , ϵ F = 0.0056 . In this case, V 0 = φ 0 = 0 and the Fourier coefficients φ k , 1 k N , are obtained numerically using the intrinsic function q u a d l of M A T L A B .
Table 15 shows the numerical results for data without error, applying TRM to solve the IP of the classical Cauchy problem (2), where N = 20 , 25, and 30. In this table, we can observe similar results to the previous examples where the regularized solutions φ α ( δ ) are better.
Table 16 shows the numerical results for data without error, applying TRM to solve the IP of the fractional Cauchy problem (12) for different values of β , m, and N.
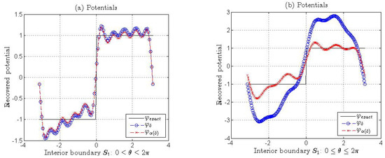
Figure 17a,b show the graphs of the exact potential φ and its approximations φ α ( δ ) (with regularization) and φ δ (without regularization), corresponding to the function φ ( θ ) = | θ | π / 2 , for θ [ π , π ] , for different values of β , m, and N, respectively.
Example 4. 
We consider the ‘exact potential’ in polar coordinates given by φ ( θ ) = 1 if θ [ π , 0 ) and 1 if θ [ 0 , π ] . Similar to the first example, the ‘exact measurement’ V and the ‘measurement with error’ V δ are generated with the first N terms of the Fourier series (22) and (23), respectively, such that φ N φ L 2 ( S 1 ) ϵ F , with 0 ϵ F . For N = 30 , ϵ F = 0.2913 . In this case, V 0 = φ 0 = 0 , and the Fourier coefficients φ k , 1 k N , are obtained numerically using the intrinsic function q u a d l of M A T L A B .
Table 17 shows the numerical results for data without error, applying TRM to solve the IP of the classical Cauchy problem (2), where N = 20 , 25, and 30. In this table, we can observe similar results to the previous examples where the regularized solutions φ α ( δ ) are better.
Table 18 shows the numerical results for data without error, applying TRM to solve the IP of the fractional Cauchy problem (12) for different values of β , m, and N.
Figure 18a,b show the graphs of the exact potential φ and its approximations φ α ( δ ) (with regularization) and φ δ (without regularization), corresponding to the function φ ( θ ) = 1 if θ [ π , 0 ) and 1 if θ [ 0 , π ] , for θ [ π , π ] , for different values of β , m, and N, respectively.
Examples 3 and 4 show numerical results analogous to the previous examples for both the classical and fractional cases. However, when we have piecewise constant functions, we truncate the series of approximate solutions φ α ( δ ) to find a better approximation of the solution to the fractional Cauchy problem.

4.3. Solution to the IP Related to the Fractional Cauchy Problem Morozov Discrepancy Method and the Criterion of Tikhonov

In this subsection, the numerical results of the approximate solutions of the four examples presented above are calculated by the proposed method, choosing the regularization parameter by Morozov’s discrepancy method and by the Tikhonov criterion. The relative errors of the approximations given in Table 19, Table 20, Table 21, Table 22, Table 23, Table 24, Table 25 and Table 26 show that the best approximate solutions to the inverse problem are obtained by the L-curve criterion, as shown in Table 13, Table 14, Table 16, and Table 18, taking the same values of N, α , β , and m from these same examples for Table 19, Table 20, Table 21, Table 22, Table 23, Table 24, Table 25 and Table 26, respectively.

5. Discussion

The numerical tests show that the proposed algorithm usually gives good results. Even if the numerical results are unsatisfactory, they are enough to start an iterative method. In all cases, the regularized method is worth more than the method without regularization. After some numerical tests, we found that the series expansion of the solution to the fractional Cauchy problem can be truncated in N = 20 , N = 25 , or N = 30 .
When β < m for m = 1 , 2 , 7 , the results obtained are similar, i.e., the results obtained with and without regularization almost coincide. One possible explanation can be associated with the smoothing properties of the integral operator to have similar results when β > m , for m = 1 , 2 . In the other cases, the regularized case is better.
When m > 7 , the regularized method loses precision. However, the approximate solution obtained can be used as an initial point of a stable iterative method. From the numerical results, we want to emphasize that the solution by the Tikhonov regularization method of the classical Cauchy problem works adequately in all cases.
The Tikhonov regularization parameter was very large in some cases. We do not have an explanation for this situation, but we consider this an interesting topic that must be studied in future works. According to numerical results, in almost all cases, the best approximate solutions to the inverse problem are obtained by the L-curve criterion. According to the results, the discrepancy principle has problems when β > m + 1 and m > 1 .
In the classical Cauchy problem, the adjoint operator is associated with a boundary value problem called the adjoint problem. In the fractional Cauchy problem, we calculate the adjoint operator using its definition. One interesting question is whether a boundary value problem is associated with the adjoint operator. If the answer is positive, the following question arises: Can the adjoint operator be used in irregular regions? This is an interesting question whose answer can help us apply numerical methods to find the minimum of the functional since we have to solve boundary value problems. One of the most used methods to find such a minimum is the conjugate gradient method in combination with the finite element method.

6. Conclusions

This work proposes an algorithm to solve the fractional Cauchy problem obtained from the Tikhonov regularization and the circular harmonics. The regularization was obtained using the L-curve method, Morozov’s discrepancy principle, and numerical tests by the Tikhonov criterion. The numerical results show that the algorithm is feasible for various parameters. The discrepancy principle presents some problems in finding the regularization parameter for some values of the parameters appearing in the fractional Cauchy problem.
In almost all cases, the L-curve method gives better results than the Tikhonov Criterion and Morozov’s discrepancy principle. In all cases, the regularization using the L-curve method gives better results than without regularization. In some cases, despite not being a good approximation, the regularized solution is much better than the solution without regularization. Since the algorithm does not give good results in some cases, it must be improved using an iterative method, which takes the regularized solution as an initial point. This point might be future work.

Author Contributions

Conceptualization, J.J.C.M., J.A.A.V., E.H.M., M.M.M.C., and J.J.O.O.; methodology, J.J.C.M., J.A.A.V., E.H.M., M.M.M.C., and J.J.O.O.; software, J.J.C.M., J.A.A.V. and E.H.M.; validation, J.J.C.M., J.A.A.V., and J.J.O.O.; formal analysis, J.J.C.M., J.A.A.V., E.H.M., M.M.M.C., C.A.H.G., and J.J.O.O.; investigation, J.J.C.M., J.A.A.V., E.H.M., M.M.M.C., C.A.H.G., and J.J.O.O.; resources, J.J.C.M., J.A.A.V., E.H.M., M.M.M.C., C.A.H.G., and J.J.O.O.; data curation, J.J.C.M., J.A.A.V., and J.J.O.O.; writing—original draft preparation, J.J.C.M., J.A.A.V., E.H.M., M.M.M.C., C.A.H.G., and J.J.O.O.; writing—review and editing, J.J.C.M., J.A.A.V., E.H.M., M.M.M.C., and J.J.O.O.; visualization, J.J.C.M., J.A.A.V., E.H.M., M.M.M.C., C.A.H.G., and J.J.O.O.; supervision, J.J.C.M. and J.J.O.O.; project administration, J.J.C.M. and J.J.O.O.; funding acquisition, J.J.C.M., J.A.A.V., E.H.M., M.M.M.C., and J.J.O.O. All authors have read and agreed to the published version of the manuscript.

Funding

This research was funded by VIEP-BUAP withthe support provided, to research project number 151. The National Council for Humanities, Sciences, and Technologies in Mexico (CONAHCYT) also provided partial funding through a PhD scholarship for the second author, with CVU number 1030555.

Data Availability Statement

Data are contained within the article.

Conflicts of Interest

The authors declare that they have no competing interests.

Appendix A. Computation of the Derivatives of Jα

If J α ( φ ) = 1 2 K m β φ V δ L 2 ( S 2 ) 2 + α 2 φ L 2 ( S 1 ) 2 , then
J α ( φ + h ) J α ( φ ) = 1 2 K m β ( φ + h ) V δ L 2 ( S 2 ) 2 + α 2 φ + h L 2 ( S 1 ) 2 1 2 K m β φ V δ L 2 ( S 2 ) 2 + α 2 φ L 2 ( S 1 ) 2 = 1 2 K m β ( φ + h ) V δ L 2 ( S 2 ) 2 1 2 K m β φ V δ L 2 ( S 2 ) 2 + α 2 φ + h L 2 ( S 1 ) 2 α 2 φ L 2 ( S 1 ) 2 = 1 2 K m β φ V δ + K m β h , K m β φ V δ + K m β h L 2 ( S 2 ) 1 2 K m β φ V δ , K m β φ V δ L 2 ( S 2 ) + α 2 φ + h , φ + h L 2 ( S 1 ) α 2 φ , φ L 2 ( S 1 ) = 1 2 K m β φ V δ , K m β φ V δ L 2 ( S 2 ) + K m β h , K m β h L 2 ( S 2 ) + K m β φ V δ , K m β h L 2 ( S 2 ) 1 2 K m β φ V δ , K m β φ V δ L 2 ( S 2 ) + 1 2 K m β h , K m β φ V δ L 2 ( S 2 ) + α 2 φ , φ + φ , h L 2 ( S 1 ) + h , φ L 2 ( S 1 ) + h , h L 2 ( S 1 ) α 2 φ , φ L 2 ( S 1 ) = 1 2 K m β h L 2 ( S 2 ) 2 + ( K m β ) ( K m β φ V δ ) , h L 2 ( S 1 ) + α φ , h L 2 ( S 1 ) + α 2 h L 2 ( S 1 ) 2 = 1 2 K m β h L 2 ( S 2 ) 2 + ( ( K m β ) K m β + α I ) φ ( K m β ) V δ , h L 2 ( S 1 ) + α 2 h L 2 ( S 1 ) 2
Thus, D J α ( φ ) = ( ( K m β ) K m β + α I ) φ ( K m β ) V δ . For the second derivative, we have
D J α ( φ + h ) D J α ( φ ) = ( ( K m β ) K m β + α I ) ( φ + h ) ( K m β ) V δ [ ( ( K m β ) K m β + α I ) φ ( K m β ) V δ ] = ( ( K m β ) K m β + α I ) φ + ( ( K m β ) K m β + α I ) h ( K m β ) V δ [ ( ( K m β ) K m β + α I ) φ ( K m β ) V δ ] = ( ( K m β ) K m β + α I ) h .
Hence, D 2 J α ( φ ) = ( K m β ) K m β + α I .

Appendix B. Proof That the Functional Jα (f) = 1 2 K m β ( f ) V δ L 2 ( S 2 ) L 2 ( S 2 ) 2 + α 2 f L 2 ( S 1 ) 2 Is Convex

Theorem A1. 
The functional
J 1 ( f ) = α 2 f L 2 ( S 1 ) 2
is convex.
Proof. 
We want to show that
J 1 ( λ f + ( 1 λ ) g ) λ J 1 ( f ) + ( 1 λ ) J 1 ( g ) ,
for all f , g L 2 ( S 1 ) , with f g , and for all λ ( 0 , 1 ) .
Starting with the left-hand side,
J 1 ( λ f + ( 1 λ ) g ) = α 2 λ f + ( 1 λ ) g L 2 ( S 1 ) 2 = α 2 λ f + ( 1 λ ) g , λ f + ( 1 λ ) g L 2 ( S 1 ) = α 2 λ f , λ f L 2 ( S 1 ) + α λ f , ( 1 λ ) g L 2 ( S 1 ) + α 2 ( 1 λ ) g , ( 1 λ ) g L 2 ( S 1 ) = α 2 λ 2 f 2 + α λ ( 1 λ ) f , g L 2 ( S 1 ) + α 2 ( 1 λ ) 2 g L 2 ( S 1 ) 2
By the Cauchy–Schwarz inequality:
| f , g L 2 ( S 1 ) | f L 2 ( S 1 ) g L 2 ( S 1 ) , f g
we obtain
J 1 ( λ f + ( 1 λ ) g ) λ 2 α 2 f L 2 ( S 1 ) 2 + ( 1 λ ) 2 α 2 g L 2 ( S 1 ) 2 + α λ ( 1 λ ) f L 2 ( S 1 ) g L 2 ( S 1 )
Applying the inequality: a · b a 2 + b 2 2 , if a , b R . Considering that a = | | f | | L 2 ( S 1 ) and b = | | g | | L 2 ( S 1 ) , then,
α λ ( 1 λ ) | | f | | L 2 ( S 1 ) | | g | | L 2 ( S 1 ) α λ ( 1 λ ) 1 2 | | f | | L 2 ( S 1 ) 2 + | | g | | L 2 ( S 1 ) 2
Then
J 1 ( λ f + ( 1 λ ) g ) λ 2 α 2 | | f | | L 2 ( S 1 ) 2 + ( 1 λ ) 2 α 2 | | g | | L 2 ( S 1 ) 2 + λ ( 1 λ ) α 2 | | f | | L 2 ( S 1 ) 2 + | | g | | L 2 ( S 1 ) 2 = λ 2 α 2 | | f | | L 2 ( S 1 ) 2 + ( 1 2 λ + λ 2 ) α 2 | | g | | L 2 ( S 1 ) 2 + ( λ λ 2 ) α 2 | | f | | L 2 ( S 1 ) 2 + | | g | | L 2 ( S 1 ) 2 = λ 2 α 2 | | f | | L 2 ( S 1 ) 2 + α 2 | | g | | L 2 ( S 1 ) 2 λ α | | g | | L 2 ( S 1 ) 2 + λ 2 α 2 | | g | | L 2 ( S 1 ) 2 + λ α 2 | | f | | 2 + λ α 2 | | g | | L 2 ( S 1 ) 2 λ 2 α 2 | | f | | L 2 ( S 1 ) 2 λ 2 α 2 | | g | | L 2 ( S 1 ) 2 = λ α 2 | | f | | L 2 ( S 1 ) 2 + α 2 | | g | | L 2 ( S 1 ) 2 λ α 2 | | g | | L 2 ( S 1 ) 2 = λ α 2 | | f | | L 2 ( S 1 ) 2 + ( 1 λ ) α 2 | | g | | L 2 ( S 1 ) 2 = λ J 1 ( f ) + ( 1 λ ) J 1 ( f ) .
Therefore, J 1 ( f ) = α 2 ( | | f | | L 2 ( S 1 ) 2 is convex. □
Theorem A2. 
The functional
J 2 ( f ) = 1 2 K m β ( f ) V δ L 2 ( S 2 ) 2
is convex.
Proof. 
Assuming the operator K m β is linear, we have
J 2 ( λ f + ( 1 λ ) g ) = 1 2 K m β ( λ f + ( 1 λ ) g ) V δ L 2 ( S 2 ) 2 = 1 2 λ ( K m β ( f ) V δ ) + ( 1 λ ) ( K m β ( g ) V δ ) L 2 ( S 2 ) 2 = λ 2 2 K m β ( f ) V δ L 2 ( S 2 ) 2 + ( 1 λ ) 2 2 K m β ( g ) V δ L 2 ( S 2 ) 2 + λ ( 1 λ ) K m β ( f ) V δ , K m β ( g ) V δ L 2 ( S 2 ) ,
where λ ( 0 , 1 ) .
By the Cauchy–Schwarz inequality:
K m β ( f ) V δ , K m β ( g ) V δ L 2 ( S 2 ) K m β ( f ) V δ L 2 ( S 2 ) K m β ( g ) V δ L 2 ( S 2 )
and using the inequality a b 1 2 ( a 2 + b 2 ) if a , b R . Considering that a = K m β ( f ) V δ L 2 ( S 2 ) and b = K m β ( g ) V δ L 2 ( S 2 ) , we obtain
λ ( 1 λ ) K m β ( f ) V δ , K m β ( g ) V δ L 2 ( S 2 ) λ ( 1 λ ) 2 K m β ( f ) V δ L 2 ( S 2 ) 2 + K m β ( g ) V δ L 2 ( S 2 ) 2
Combining these results,
J 2 ( λ f + ( 1 λ ) g ) λ 2 2 K m β ( f ) V δ L 2 ( S 2 ) 2 + ( 1 λ ) 2 2 K m β ( g ) V δ L 2 ( S 2 ) 2 + λ ( 1 λ ) 2 K m β ( f ) V δ L 2 ( S 2 ) 2 + K m β ( g ) V δ L 2 ( S 2 ) 2 = λ 2 K m β ( f ) V δ L 2 ( S 2 ) 2 + 1 λ 2 K m β ( g ) V δ L 2 ( S 2 ) 2 = λ J 2 ( f ) + ( 1 λ ) J 2 ( g ) .
Therefore, J 2 ( f ) = 1 2 K m β ( f ) V δ L 2 ( S 2 ) 2 is convex. □
Thus, from the last two theorems, we have that the functional J α ( f ) = 1 2 K m β ( f ) V δ L 2 ( S 2 ) 2 + α 2 f L 2 ( S 1 ) 2 is convex.

References

  1. Conde Mones, J.J.; Juárez Valencia, L.H.; Oliveros Oliveros, J.J.; León Velasco, D.A. Stable numerical solution of the Cauchy problem for the Laplace equation in irregular annular regions. Numer. Methods Partial Differ. Equ. 2017, 33, 1799–1822. [Google Scholar] [CrossRef]
  2. Oliveros, J.; Morín, M.; Conde, J.; Fraguela, A. A regularization strategy for the inverse problem of identification of bioelectrical sources for the case of concentric spheres. Far East J. Appl. Math. 2013, 77, 1–20. [Google Scholar]
  3. Lee, J.Y.; Yoon, J.R. A numerical method for Cauchy problem using singular value decomposition. Commun. Korean Math. Soc. 2001, 16, 487–508. [Google Scholar]
  4. Wei, T.; Chen, Y.G. A regularization method for a Cauchy problem of Laplace’s equation in an annular domain. Math. Comput. Simul. 2012, 82, 2129–2144. [Google Scholar] [CrossRef]
  5. Zhou, D.; Wei, T. The method of fundamental solutions for solving a Cauchy problem of Laplace’s equation in a multi-connected domain. Inverse Probl. Sci. Eng. 2008, 16, 389–411. [Google Scholar] [CrossRef]
  6. Chang, J.R.; Yeih, W.; Shieh, M.H. On the modified Tikhonov’s regularization method for the Cauchy problem of the Laplace equation. J. Mar. Sci. Technol. 2001, 9, 113–121. [Google Scholar] [CrossRef]
  7. Gong, X.; Yang, S. A local regularization scheme of Cauchy problem for the Laplace equation on a doubly connected domain. Bound. Value Probl. 2023, 2023, 30. [Google Scholar] [CrossRef]
  8. Cheng, J.; Hon, Y.C.; Wei, T.; Yamamoto, M. Numerical computation of a Cauchy problem for Laplace’s equation. ZAMM-J. Appl. Math. Mech. Angew. Math. Mech. Appl. Math. Mech. 2001, 81, 665–674. [Google Scholar] [CrossRef]
  9. Borachok, I.; Chapko, R.; Tomas Johansson, B. Numerical solution of a Cauchy problem for Laplace equation in 3-dimensional domains by integral equations. Inverse Probl. Sci. Eng. 2016, 24, 1550–1568. [Google Scholar] [CrossRef]
  10. Hào, D.N.; Lesnic, D. The Cauchy problem for Laplace’s equation via the conjugate gradient method. IMA J. Appl. Math. 2000, 65, 199–217. [Google Scholar] [CrossRef]
  11. Caubet, F.; Dardé, J.; Godoy, M. On the data completion problem and the inverse obstacle problem with partial Cauchy data for Laplace’s equation. ESAIM Control Optim. Calc. Var. 2019, 25, 30. [Google Scholar] [CrossRef]
  12. Amdouni, S.; Ben Abda, A. The Cauchy problem for Laplace’s equation via a modified conjugate gradient method and energy space approaches. Math. Methods Appl. Sci. 2023, 46, 3560–3582. [Google Scholar] [CrossRef]
  13. León-Velasco, A.; Glowinski, R.; Juárez-Valencia, L.H. On the controllability of diffusion processes on the surface of a torus: A computational approach. Pac. J. Optim. 2015, 11, 763–790. [Google Scholar]
  14. Conde Mones, J.J.; Estrada Aguayo, E.R.; Oliveros Oliveros, J.J.; Hernández Gracidas, C.A.; Morín Castillo, M.M. Stable identification of sources located on interface of nonhomogeneous media. Mathematics 2021, 9, 1932. [Google Scholar] [CrossRef]
  15. Berntsson, F.; Lars, E. Numerical solution of a Cauchy problem for the Laplace equation. Inverse Probl. 2001, 17, 839–853. [Google Scholar] [CrossRef]
  16. Kress, R. Inverse Dirichlet problem and conformal mapping. Math. Comput. Simul. 2004, 66, 255–265. [Google Scholar] [CrossRef]
  17. Clerc, M.; Kybic, J. Cortical mapping by Laplace-Cauchy transmission using a boundary element method. Inverse Probl. 2007, 23, 2589–2601. [Google Scholar] [CrossRef][Green Version]
  18. Denisov, A.M.; Zakharov, E.V.; Kalinin, A.V.; Kalinin, V.V. Numerical solution of an inverse electrocardiography problem for a medium with piecewise constant electrical conductivity. Comput. Math. Math. Phys. 2010, 50, 1172–1177. [Google Scholar] [CrossRef]
  19. Kalinin, A.; Potyagaylo, D.; Kalinin, V. Solving the inverse problem of electrocardiography on the endocardium using a single layer source. Front. Physiol. 2019, 10, 58. [Google Scholar] [CrossRef]
  20. Ruiz de Miras, J.; Derchi, C.-C.; Atzori, T.; Mazza, A.; Arcuri, P.; Salvatore, A.; Navarro, J.; Saibene, F.L.; Meloni, M.; Comanducci, A. Spatio-Temporal Fractal Dimension Analysis from Resting State EEG Signals in Parkinson’s Disease. Entropy 2023, 25, 1017. [Google Scholar] [CrossRef]
  21. Sirpal, P.; Sikora, W.A.; Refai, H.H.; Yang, Y. Association between Opioid Dependence and Scale Free Fractal Brain Activity: An EEG Study. Fractal Fract. 2023, 7, 659. [Google Scholar] [CrossRef]
  22. Perez-Sanchez, A.V.; Valtierra-Rodriguez, M.; Perez-Ramirez, C.A.; De-Santiago-Perez, J.J.; Amezquita-Sanchez, J.P. Epileptic Seizure Prediction Using Wavelet Transform, Fractal Dimension, Support Vector Machine, and EEG Signals. Fractals 2022, 30, 2250154. [Google Scholar] [CrossRef]
  23. Karaoulanis, D.; Lazopoulou, N.; Lazopoulos, K. On A-Fractional Derivative and Human Neural Network. Axioms 2023, 12, 136. [Google Scholar] [CrossRef]
  24. Turmetov, B.K.; Nazarova, K.D. On a generalization of the Neumann problem for the Laplace equation. Math. Nachrichten 2019, 293, 169–177. [Google Scholar] [CrossRef]
  25. Kadirkulov, B.J.; Kirane, M. On solvability of a boundary value problem for the Poisson equation with a nonlocal boundary operator. Acta Math. Sci. 2015, 35B, 970–980. [Google Scholar] [CrossRef]
  26. Kirsch, A. An Introduction to the Mathematical Theory of Inverse Problems, 2nd ed.; Springer: New York, NY, USA, 2011; Volume 120, Applied Mathematical Sciences. [Google Scholar]
Figure 1. Bi-dimensional circular annular region Ω .
Figure 1. Bi-dimensional circular annular region Ω .
Fractalfract 09 00284 g001
Figure 2. (a) Exact measurement V (black line) and with error V δ (red line). (b) Exact potential φ and its approximations φ α ( δ ) and φ δ applying regularization and without regularization, corresponding to Example 1 for δ = 0.1 (see Table 1). We take α ( δ ) = 0.1 and N = 30 in this case.
Figure 2. (a) Exact measurement V (black line) and with error V δ (red line). (b) Exact potential φ and its approximations φ α ( δ ) and φ δ applying regularization and without regularization, corresponding to Example 1 for δ = 0.1 (see Table 1). We take α ( δ ) = 0.1 and N = 30 in this case.
Fractalfract 09 00284 g002
Figure 3. (a) Exact measurement V (black line) and with error V δ (red line). (b) Exact potential φ and its approximations φ α ( δ ) and φ δ applying regularization and without regularization, corresponding to Example 2 for δ = 0.1 (see Table 2). In this case, we take α ( δ ) = 0.1 and N = 30 .
Figure 3. (a) Exact measurement V (black line) and with error V δ (red line). (b) Exact potential φ and its approximations φ α ( δ ) and φ δ applying regularization and without regularization, corresponding to Example 2 for δ = 0.1 (see Table 2). In this case, we take α ( δ ) = 0.1 and N = 30 .
Fractalfract 09 00284 g003
Figure 4. (a) Exact measurement V (black line) and with error V δ (red line). (b) Exact potential φ and its approximations φ α ( δ ) and φ δ , corresponding to Example 1 for δ = 0.1 (see Table 3). In this case, we take α ( δ ) = 10 2 and N = 30 .
Figure 4. (a) Exact measurement V (black line) and with error V δ (red line). (b) Exact potential φ and its approximations φ α ( δ ) and φ δ , corresponding to Example 1 for δ = 0.1 (see Table 3). In this case, we take α ( δ ) = 10 2 and N = 30 .
Fractalfract 09 00284 g004
Figure 5. (a) Exact measurement V (black line) and with error V δ (red line). (b) Exact potential φ and its approximations φ α ( δ ) and φ δ , corresponding to Example 2 for δ = 0.1 (see Table 4). In this case, we take α ( δ ) = 10 4 and N = 30 .
Figure 5. (a) Exact measurement V (black line) and with error V δ (red line). (b) Exact potential φ and its approximations φ α ( δ ) and φ δ , corresponding to Example 2 for δ = 0.1 (see Table 4). In this case, we take α ( δ ) = 10 4 and N = 30 .
Fractalfract 09 00284 g005
Figure 6. (a) Exact measurement V (black line) and with error V δ (red line). (b) Exact potential φ and its approximations φ α ( δ ) and φ δ , corresponding to Example 1 for β = 1.5 , m = 2 , and δ = 0.1 (see Table 5). In this case, we take α ( δ ) = 5 × 10 1 and N = 30 .
Figure 6. (a) Exact measurement V (black line) and with error V δ (red line). (b) Exact potential φ and its approximations φ α ( δ ) and φ δ , corresponding to Example 1 for β = 1.5 , m = 2 , and δ = 0.1 (see Table 5). In this case, we take α ( δ ) = 5 × 10 1 and N = 30 .
Fractalfract 09 00284 g006
Figure 7. (a) Exact measurement V (black line) and with error V δ (red line). (b) Exact potential φ and its approximations φ α ( δ ) and φ δ , corresponding to Example 1 for β = 2.5 , m = 3 , and δ = 0.1 (see Table 5). In this case, we take α ( δ ) = 2 × 10 1 and N = 20 .
Figure 7. (a) Exact measurement V (black line) and with error V δ (red line). (b) Exact potential φ and its approximations φ α ( δ ) and φ δ , corresponding to Example 1 for β = 2.5 , m = 3 , and δ = 0.1 (see Table 5). In this case, we take α ( δ ) = 2 × 10 1 and N = 20 .
Fractalfract 09 00284 g007
Figure 8. (a) Exact measurement V (black line) and with error V δ (red line). (b) Exact potential φ and its approximations φ α ( δ ) and φ δ , corresponding to Example 2 for β = 7.5 , m = 8 , and δ = 0.1 (see Table 6). In this case, we take α ( δ ) = 4.2 × 10 2 and N = 18 .
Figure 8. (a) Exact measurement V (black line) and with error V δ (red line). (b) Exact potential φ and its approximations φ α ( δ ) and φ δ , corresponding to Example 2 for β = 7.5 , m = 8 , and δ = 0.1 (see Table 6). In this case, we take α ( δ ) = 4.2 × 10 2 and N = 18 .
Fractalfract 09 00284 g008
Figure 9. (a) Exact measurement V (black line) and with error V δ (red line). (b) Exact potential φ and its approximations φ α ( δ ) and φ δ , corresponding to Example 1 for β = 7.1 , m = 8 , and δ = 0.1 (see Table 7). In this case, we take α ( δ ) = 10 2 and N = 20 .
Figure 9. (a) Exact measurement V (black line) and with error V δ (red line). (b) Exact potential φ and its approximations φ α ( δ ) and φ δ , corresponding to Example 1 for β = 7.1 , m = 8 , and δ = 0.1 (see Table 7). In this case, we take α ( δ ) = 10 2 and N = 20 .
Fractalfract 09 00284 g009
Figure 10. (a) Exact measurement V (black line) and with error V δ (red line). (b) Exact potential φ and its approximations φ α ( δ ) and φ δ , corresponding to Example 1 for β = 7.9999999 , m = 8 , and δ = 0.1 (see Table 8). In this case, we take α ( δ ) = 2 × 10 8 and N = 30 .
Figure 10. (a) Exact measurement V (black line) and with error V δ (red line). (b) Exact potential φ and its approximations φ α ( δ ) and φ δ , corresponding to Example 1 for β = 7.9999999 , m = 8 , and δ = 0.1 (see Table 8). In this case, we take α ( δ ) = 2 × 10 8 and N = 30 .
Fractalfract 09 00284 g010
Figure 11. (a) Exact measurement V (black line) and with error V δ (red line). (b) Exact potential φ and its approximations φ α ( δ ) and φ δ , corresponding to Example 1 for β = 6.3 , m = 12 , and δ = 0.1 (see Table 9). In this case, we take α ( δ ) = 10 8 and N = 20 .
Figure 11. (a) Exact measurement V (black line) and with error V δ (red line). (b) Exact potential φ and its approximations φ α ( δ ) and φ δ , corresponding to Example 1 for β = 6.3 , m = 12 , and δ = 0.1 (see Table 9). In this case, we take α ( δ ) = 10 8 and N = 20 .
Fractalfract 09 00284 g011
Figure 12. (a) Exact measurement V (black line) and with error V δ (red line). (b) Exact potential φ and its approximations φ α ( δ ) and φ δ , corresponding to Example 2 for β = 0.5 , m = 8 , and δ = 0.1 (see Table 10). In this case, we take α ( δ ) = 5 × 10 17 and N = 30 .
Figure 12. (a) Exact measurement V (black line) and with error V δ (red line). (b) Exact potential φ and its approximations φ α ( δ ) and φ δ , corresponding to Example 2 for β = 0.5 , m = 8 , and δ = 0.1 (see Table 10). In this case, we take α ( δ ) = 5 × 10 17 and N = 30 .
Fractalfract 09 00284 g012
Figure 13. (a) Exact measurement V (black line) and with error V δ (red line). (b) Exact potential φ and its approximations φ α ( δ ) and φ δ , corresponding to Example 1 for β = 0.0001 , m = 3 , and δ = 0.1 (see Table 11). In this case, we take α ( δ ) = 10 7 and N = 20 .
Figure 13. (a) Exact measurement V (black line) and with error V δ (red line). (b) Exact potential φ and its approximations φ α ( δ ) and φ δ , corresponding to Example 1 for β = 0.0001 , m = 3 , and δ = 0.1 (see Table 11). In this case, we take α ( δ ) = 10 7 and N = 20 .
Fractalfract 09 00284 g013
Figure 14. (a) Exact measurement V (black line) and with error V δ (red line). (b) Exact potential φ and its approximations φ α ( δ ) and φ δ , corresponding to Example 1 for β = 4.9 , m = 12 , and δ = 0.1 (see Table 11). In this case, we take α ( δ ) = 10 12 and N = 20 .
Figure 14. (a) Exact measurement V (black line) and with error V δ (red line). (b) Exact potential φ and its approximations φ α ( δ ) and φ δ , corresponding to Example 1 for β = 4.9 , m = 12 , and δ = 0.1 (see Table 11). In this case, we take α ( δ ) = 10 12 and N = 20 .
Fractalfract 09 00284 g014
Figure 15. (a) Exact measurement V (black line) and with error V δ (red line). (b) Exact potential φ and its approximations φ α ( δ ) and φ δ , corresponding to Example 2 for β = 5.9999 , m = 8 , and δ = 0.1 (see Table 12). In this case, we take α ( δ ) = 1.3 × 10 1 and N = 30 .
Figure 15. (a) Exact measurement V (black line) and with error V δ (red line). (b) Exact potential φ and its approximations φ α ( δ ) and φ δ , corresponding to Example 2 for β = 5.9999 , m = 8 , and δ = 0.1 (see Table 12). In this case, we take α ( δ ) = 1.3 × 10 1 and N = 30 .
Fractalfract 09 00284 g015
Figure 16. (a) Exact measurement V (black line) and with error V δ (red line). (b) Exact potential φ and its approximations φ α ( δ ) and φ δ , corresponding to Example 2 for β = 6.1 , m = 11 , and δ = 0.1 (see Table 12). In this case, we take α ( δ ) = 10 4 and N = 30 .
Figure 16. (a) Exact measurement V (black line) and with error V δ (red line). (b) Exact potential φ and its approximations φ α ( δ ) and φ δ , corresponding to Example 2 for β = 6.1 , m = 11 , and δ = 0.1 (see Table 12). In this case, we take α ( δ ) = 10 4 and N = 30 .
Fractalfract 09 00284 g016
Figure 17. (a) Exact potential φ and its approximations φ α ( δ ) and φ δ , corresponding to Example 3 for β = 1.9 , m = 2 , N = 20 , and δ = 0.1 . (b) Exact potential φ and its approximations φ α ( δ ) and φ δ , corresponding to Example 3 for β = 11.1 , m = 12 , N = 4 , and δ = 0.1 (see Table 16).
Figure 17. (a) Exact potential φ and its approximations φ α ( δ ) and φ δ , corresponding to Example 3 for β = 1.9 , m = 2 , N = 20 , and δ = 0.1 . (b) Exact potential φ and its approximations φ α ( δ ) and φ δ , corresponding to Example 3 for β = 11.1 , m = 12 , N = 4 , and δ = 0.1 (see Table 16).
Fractalfract 09 00284 g017
Figure 18. (a) Exact potential φ and its approximations φ α ( δ ) and φ δ , corresponding to Example 4 for β = 1.2 , m = 2 , N = 10 , and δ = 0.1 . (b) Exact potential φ and its approximations φ α ( δ ) and φ δ , corresponding to Example 4 for β = 2.5 , m = 3 , N = 6 , and δ = 0.1 (see Table 18).
Figure 18. (a) Exact potential φ and its approximations φ α ( δ ) and φ δ , corresponding to Example 4 for β = 1.2 , m = 2 , N = 10 , and δ = 0.1 . (b) Exact potential φ and its approximations φ α ( δ ) and φ δ , corresponding to Example 4 for β = 2.5 , m = 3 , N = 6 , and δ = 0.1 (see Table 18).
Fractalfract 09 00284 g018
Table 1. Numerical results applying TRM to solve the IP related to the classical Cauchy problem (2), for φ ( x , y ) = x 2 y 2 , ( x , y ) S 1 , and different values of δ and N.
Table 1. Numerical results applying TRM to solve the IP related to the classical Cauchy problem (2), for φ ( x , y ) = x 2 y 2 , ( x , y ) S 1 , and different values of δ and N.
δ N α ( δ ) RE ( V , V δ ) RE ( φ , φ α ( δ ) ) RE ( φ , φ δ )
0200000
0.1200.10.10690.14650.8224
0.1250.10.10340.14711.6048
0.1300.10.11260.14353.0063
0.01200.010.01020.03420.0663
0.01250.010.01120.03600.2137
0.01300.010.01140.03620.4820
0.001200.0019.0770 × 10 4 0.00500.0057
0.001250.0018.8517 × 10 4 0.00680.0122
0.001300.0019.5479 × 10 4 0.00830.0354
Table 2. Numerical results applying TRM to solve the IP related to the classical Cauchy problem (2), for φ ( x , y ) = e x sin ( y ) , ( x , y ) S 1 and different values of δ and N.
Table 2. Numerical results applying TRM to solve the IP related to the classical Cauchy problem (2), for φ ( x , y ) = e x sin ( y ) , ( x , y ) S 1 and different values of δ and N.
δ N α ( δ ) RE ( V , V δ ) RE ( φ , φ α ( δ ) ) RE ( φ , φ δ )
018002.5338 × 10 17 2.4537 × 10 17
0.1180.10.11610.15900.8005
0.1250.10.11250.15711.6366
0.1300.10.13400.15125.7825
0.01180.010.01170.03570.0509
0.01250.010.01050.03920.1485
0.01300.010.01120.03640.3478
0.001180.0018.8274 × 10 4 0.00460.0048
0.001250.0019.9199 × 10 4 0.00950.0162
0.001300.0010.00110.00990.0423
Table 3. Numerical results applying TRM to solve IP related to the fractional Cauchy problem (12), for φ ( x , y ) = x 2 y 2 , ( x , y ) S 1 , and different values of δ and N.
Table 3. Numerical results applying TRM to solve IP related to the fractional Cauchy problem (12), for φ ( x , y ) = x 2 y 2 , ( x , y ) S 1 , and different values of δ and N.
δ N α ( δ ) β m RE ( V , V δ ) RE ( φ , φ α ( δ ) ) RE ( φ , φ δ )
02000.5101.1102 × 10 16 0
0.1201 × 10 2 0.510.09700.06170.0880
0.1251 × 10 2 0.510.09790.07190.0990
0.1301 × 10 2 0.510.10380.07750.1217
0.01201 × 10 4 0.510.00930.00370.0039
0.01251 × 10 4 0.510.00910.00700.0070
0.01301 × 10 4 0.510.01270.00720.0073
0.001201 × 10 6 0.519.6950 × 10 4 8.9805 × 10 4 8.9826 × 10 4
0.001251 × 10 6 0.518.3006 × 10 4 3.4557 × 10 4 3.4620 × 10 4
0.001301 × 10 6 0.519.8327 × 10 4 5.4898 × 10 4 5.4925 × 10 4
Table 4. Numerical results applying TRM to solve IP related to the fractional Cauchy problem (12), for φ ( x , y ) = e x sin ( y ) , ( x , y ) S 1 , and different values of δ and N.
Table 4. Numerical results applying TRM to solve IP related to the fractional Cauchy problem (12), for φ ( x , y ) = e x sin ( y ) , ( x , y ) S 1 , and different values of δ and N.
δ N α ( δ ) β m RE ( V , V δ ) RE ( φ , φ α ( δ ) ) RE ( φ , φ δ )
01800.5102.4537 × 10 17 2.4537 × 10 17
0.1181 × 10 4 0.510.12920.11960.1212
0.1251 × 10 4 0.510.17320.12380.1296
0.1301 × 10 4 0.510.19210.06240.0672
0.01181 × 10 5 0.510.01470.01260.0129
0.01251 × 10 5 0.510.01660.01240.0129
0.01301 × 10 5 0.510.01770.00690.0071
0.001181 × 10 6 0.510.00128.6623 × 10 4 9.1811 × 10 4
0.001251 × 10 6 0.510.00178.6801 × 10 4 9.1904 × 10 4
0.001251 × 10 6 0.510.00187.3211 × 10 4 7.7961 × 10 4
Table 5. Case 2: Numerical results applying TRM to solve IP related to the fractional Cauchy problem (12) for δ = 0.1 and different values of β and m, where φ ( x , y ) = x 2 y 2 , ( x , y ) S 1 .
Table 5. Case 2: Numerical results applying TRM to solve IP related to the fractional Cauchy problem (12) for δ = 0.1 and different values of β and m, where φ ( x , y ) = x 2 y 2 , ( x , y ) S 1 .
N α ( δ ) β m RE ( V , V δ ) RE ( φ , φ α ( δ ) ) RE ( φ , φ δ )
201 × 10 1 1.520.10270.03600.0392
258 × 10 1 1.520.10170.05180.0819
305 × 10 1 1.520.11360.05970.0718
202 × 10 1 2.530.09360.05080.4857
201 × 10 1 3.540.09690.04740.3523
201 × 10 0 4.550.09150.04211.5924
201 × 10 2 5.560.11120.02481.2606
201 × 10 1 6.570.10780.03665.8758
201 × 10 2 7.580.10450.03512.2946
201 × 10 2 8.590.09160.019716.6149
201 × 10 3 9.5100.09960.027421.0258
201 × 10 3 10.5110.09390.017646.6720
201 × 10 3 11.5120.08610.040733.8060
Table 6. Case 2: Numerical results applying TRM to solve IP related to the fractional Cauchy problem (12) for δ = 0.1 and different values of β and m, where φ ( x , y ) = e x sin ( y ) , ( x , y ) S 1 .
Table 6. Case 2: Numerical results applying TRM to solve IP related to the fractional Cauchy problem (12) for δ = 0.1 and different values of β and m, where φ ( x , y ) = e x sin ( y ) , ( x , y ) S 1 .
N α ( δ ) β m RE ( V , V δ ) RE ( φ , φ α ( δ ) ) RE ( φ , φ δ )
181 × 10 2 1.520.12790.03420.0411
251 × 10 2 1.520.17800.02580.0264
301 × 10 2 1.520.17320.04390.0509
189 × 10 4 2.530.16290.14370.1504
184 × 10 1 3.540.14610.09310.3543
181.4 × 10 1 4.550.14660.13857.4132
181 × 10 1 5.560.17570.33069.1616
181 × 10 1 6.570.15120.3654478.6290
184.2 × 10 2 7.580.16430.3822310.6255
183 × 10 5 8.590.17320.8982633.1135
182 × 10 7 9.5100.20620.95464.0208 × 10 3
182 × 10 7 10.5110.17120.89481.9672 × 10 5
188 × 10 8 11.5120.16360.93262.2607 × 10 5
Table 7. Case 3: Numerical results applying TRM to solve the IP related to the fractional Cauchy problem (12) for δ = 0.1 and different values of β and m, where φ ( x , y ) = x 2 y 2 , ( x , y ) S 1 .
Table 7. Case 3: Numerical results applying TRM to solve the IP related to the fractional Cauchy problem (12) for δ = 0.1 and different values of β and m, where φ ( x , y ) = x 2 y 2 , ( x , y ) S 1 .
N α ( δ ) β m RE ( V , V δ ) RE ( φ , φ α ( δ ) ) RE ( φ , φ δ )
201 × 10 3 0.110.10930.05650.0765
201 × 10 5 0.000110.10320.06990.0705
201 × 10 12 0.000000110.10400.03940.0394
201 × 10 3 0.910.09220.08090.0817
201 × 10 8 0.999910.09880.05810.0583
201 × 10 12 0.999999910.09670.09210.1277
201 × 10 1 1.120.10810.05630.0647
205 × 10 2 1.000120.09310.07910.0984
201 × 10 2 1.000000120.09790.09010.0953
201 × 10 1 1.920.09800.07260.0746
201 × 10 5 1.999920.09710.04490.0488
201 × 10 11 1.999999920.10330.09970.1105
201 × 10 2 2.130.09980.03920.2108
201 × 10 2 2.000130.09050.04790.3250
201 × 10 2 2.000000130.08940.02640.1021
201 × 10 1 2.930.11100.08600.1731
201 × 10 5 2.999930.09990.08040.4756
201 × 10 11 2.999999930.10270.06720.3546
201 × 10 0 3.140.10610.03280.1583
201 × 10 2 3.940.10610.07380.5624
201 × 10 1 4.150.08630.04211.8856
201 × 10 0 4.950.10300.04010.2528
201 × 10 1 5.160.07510.03681.5197
201 × 10 2 5.960.09570.04381.0323
201 × 10 0 6.170.09170.02675.3155
201 × 10 0 6.970.10200.06005.5627
201 × 10 2 7.180.09350.01993.3483
201 × 10 2 7.000000180.08270.02061.7258
201 × 10 3 7.980.08700.02124.5019
201 × 10 8 7.999999980.09860.04544.2454
201 × 10 1 8.190.11550.027614.3075
201 × 10 2 8.990.09530.034234.0155
201 × 10 2 9.1100.10130.050820.6047
201 × 10 4 9.9100.09720.009524.1306
201 × 10 2 10.1110.09410.027135.0730
201 × 10 3 10.9110.09560.009090.0697
201 × 10 3 11.1120.09510.022665.9229
201 × 10 4 11.9120.09670.0475101.7022
Table 8. Case 3: Numerical results applying TRM to solve IP related to the fractional Cauchy problem (12) for δ = 0.1 and different values of β and m, where φ ( x , y ) = e x sin ( y ) , ( x , y ) S 1 .
Table 8. Case 3: Numerical results applying TRM to solve IP related to the fractional Cauchy problem (12) for δ = 0.1 and different values of β and m, where φ ( x , y ) = e x sin ( y ) , ( x , y ) S 1 .
N α ( δ ) β m RE ( V , V δ ) δ RE ( φ , φ α ( δ ) ) RE ( φ , φ δ )
301 × 10 5 0.110.14290.02100.0230
301 × 10 6 0.000110.18490.03960.0401
301 × 10 13 0.000000110.17620.03140.0314
301 × 10 4 0.910.16740.04480.0452
301 × 10 8 0.999910.12990.05440.0575
301 × 10 15 0.999999910.17480.02710.0272
301 × 10 5 1.120.16130.04540.0454
301 × 10 5 1.000120.18290.04920.0493
301 × 10 5 1.000000120.18420.05840.0585
301 × 10 1 1.920.17390.03530.0431
301 × 10 6 1.999920.18700.03800.0413
301 × 10 12 1.999999920.16900.06090.0674
301 × 10 4 2.130.20710.07600.1016
301 × 10 8 2.000130.21140.16880.1689
301 × 10 9 2.000000130.18770.11760.1176
303 × 10 2 2.930.22560.11560.2868
301 × 10 6 2.999930.16760.07610.4059
305 × 10 13 2.999999930.21550.15810.1751
305 × 10 2 3.140.20570.12580.1717
301 × 10 0 3.940.20010.08810.3453
305 × 10 2 4.150.25450.309016.5294
301 × 10 0 4.950.20110.24086.8619
304 × 10 0 5.160.19830.422612.4482
305 × 10 1 5.960.20490.38787.9340
307 × 10 1 6.170.21240.4678243.7232
306 × 10 1 6.970.25530.5497363.0725
304 × 10 1 7.180.24630.4505123.0513
305 × 10 1 7.000180.24520.2910240.1527
302 × 10 1 7.000000180.23350.1839119.2328
302 × 10 3 7.980.21840.1710402.7594
301.3 × 10 2 7.999980.23080.3440181.8997
302 × 10 8 7.999999980.18330.5806164.4764
303 × 10 4 8.190.25480.89713.4981 × 10 3
302 × 10 6 8.990.20540.90592.8978 × 10 3
302 × 10 6 9.1100.22600.88576.8133 × 10 3
307 × 10 7 9.9100.22410.88966.2431 × 10 3
304 × 10 6 10.1110.22330.90112.5172 × 10 5
302 × 10 8 10.9110.20690.89341.9773 × 10 5
305 × 10 8 11.1120.24790.92121.1346 × 10 5
305 × 10 9 11.9120.23720.89963.4904 × 10 5
Table 9. Case 4: Numerical results applying TRM to solve the IP related to the fractional Cauchy problem (12) for δ = 0.1 and different values of β and m, where φ ( x , y ) = x 2 y 2 , ( x , y ) S 1 .
Table 9. Case 4: Numerical results applying TRM to solve the IP related to the fractional Cauchy problem (12) for δ = 0.1 and different values of β and m, where φ ( x , y ) = x 2 y 2 , ( x , y ) S 1 .
N α ( δ ) β m RE ( V , V δ ) RE ( φ , φ α ( δ ) ) RE ( φ , φ δ )
201 × 10 4 0.520.10370.03690.0371
251 × 10 4 0.520.10430.08460.0850
301 × 10 4 0.520.11230.09470.0952
201 × 10 7 0.130.09530.05580.3293
201 × 10 5 0.830.09280.03970.1176
201 × 10 3 1.640.10310.06920.3781
201 × 10 0 2.940.09880.05500.2616
201 × 10 10 0.550.10630.04932.3272
201 × 10 2 3.550.10020.04790.6521
201 × 10 10 0.560.08240.06641.0640
201 × 10 3 3.460.11560.05411.0860
201 × 10 16 0.570.10930.025111.3550
201 × 10 5 4.270.08710.02034.0183
201 × 10 16 0.580.09150.02803.7583
201 × 10 6 3.780.10970.02124.3335
201 × 10 22 0.590.09690.019521.9486
201 × 10 6 5.290.08410.03459.1221
201 × 10 22 0.5100.10220.029022.9009
201 × 10 5 7.6100.10730.01817.2447
201 × 10 28 0.5110.09360.0300122.7548
201 × 10 8 6.6110.08860.012191.7074
201 × 10 28 0.5120.09260.014930.3739
201 × 10 8 6.3120.10070.032936.2964
Table 10. Case 4: Numerical results applying TRM to solve IP related to the fractional Cauchy problem (12) for δ = 0.1 , β = 0.5 and different values of m, where φ ( x , y ) = e x sin ( y ) , ( x , y ) S 1 .
Table 10. Case 4: Numerical results applying TRM to solve IP related to the fractional Cauchy problem (12) for δ = 0.1 , β = 0.5 and different values of m, where φ ( x , y ) = e x sin ( y ) , ( x , y ) S 1 .
N α ( δ ) β m RE ( V , V δ ) RE ( φ , φ α ( δ ) ) RE ( φ , φ δ )
201 × 10 4 0.520.14220.02740.0284
251 × 10 4 0.520.15370.04960.0551
301 × 10 4 0.520.15240.05850.0627
309 × 10 10 0.530.16190.14370.1438
305 × 10 8 0.540.19600.16560.2199
307 × 10 12 0.550.20140.137613.9836
304 × 10 12 0.560.22650.22618.6601
305 × 10 17 0.570.24190.2709209.3490
305 × 10 17 0.580.21310.4002205.2009
303 × 10 19 0.590.21540.88732.6220 × 10 3
301.4 × 10 19 0.5100.20100.88634.1567 × 10 3
306 × 10 24 0.5110.21480.90541.3299 × 10 5
303 × 10 24 0.5120.20210.89351.6833 × 10 5
Table 11. Case 5: Numerical results applying TRM to solve the IP related to the fractional Cauchy problem (12) for δ = 0.1 and different values of β and m, where φ ( x , y ) = x 2 y 2 , ( x , y ) S 1 .
Table 11. Case 5: Numerical results applying TRM to solve the IP related to the fractional Cauchy problem (12) for δ = 0.1 and different values of β and m, where φ ( x , y ) = x 2 y 2 , ( x , y ) S 1 .
N α ( δ ) β m RE ( V , V δ ) RE ( φ , φ α ( δ ) ) RE ( φ , φ δ )
201 × 10 4 0.120.09810.02940.0312
201 × 10 4 0.000120.08800.06650.0702
201 × 10 4 0.000000120.08770.04200.0436
201 × 10 2 0.920.08250.02520.0301
201 × 10 2 0.999920.08960.03550.0383
201 × 10 2 0.999999920.09880.04970.0524
201 × 10 7 0.130.09840.07360.4041
201 × 10 7 0.000130.09880.05560.2586
201 × 10 7 0.000000130.10630.06330.5828
201 × 10 5 0.930.08240.06320.2671
201 × 10 4 0.999930.09400.07470.4997
205 × 10 5 0.999999930.08430.05820.2323
201 × 10 2 2.140.11330.08130.4297
201 × 10 0 2.940.10970.04940.2746
201 × 10 4 3.150.08410.05210.5721
201 × 10 1 3.950.09230.02840.9725
201 × 10 1 4.160.09820.04411.3912
201 × 10 1 4.960.11920.02610.2905
201 × 10 2 5.170.10270.033112.2005
201 × 10 0 5.970.09260.03242.2300
201 × 10 3 5.180.09280.03062.3248
201 × 10 3 5.000180.09360.03125.2064
201 × 10 18 5.000000180.10200.01741.3253
201 × 10 0 5.980.09670.01133.4116
201 × 10 0 5.999980.09460.02607.0605
201 × 10 15 5.999999980.09070.02751.9174
201 × 10 1 7.190.08490.01189.9754
201 × 10 0 7.990.09160.022416.5564
201 × 10 13 3.1100.09300.011420.7949
201 × 10 11 3.9100.10540.019731.4437
201 × 10 10 6.1110.09780.020779.4649
201 × 10 7 6.9110.10480.010959.7459
201 × 10 15 4.1120.10350.0133108.9786
201 × 10 12 4.9120.09780.0278131.9629
Table 12. Case 5: Numerical results applying TRM to solve the IP related to the fractional Cauchy problem (12) for δ = 0.1 and different values of β and m, where φ ( x , y ) = e x sin ( y ) , ( x , y ) S 1 .
Table 12. Case 5: Numerical results applying TRM to solve the IP related to the fractional Cauchy problem (12) for δ = 0.1 and different values of β and m, where φ ( x , y ) = e x sin ( y ) , ( x , y ) S 1 .
N α ( δ ) β m RE ( V , V δ ) RE ( φ , φ α ( δ ) ) RE ( φ , φ δ )
301 × 10 5 0.120.19180.06330.0669
301 × 10 5 0.000120.17470.05100.0551
301 × 10 5 0.000000120.19320.04080.0466
301 × 10 3 0.920.16780.02670.0338
301 × 10 2 0.999920.18790.05380.0996
301 × 10 3 0.999999920.17570.03300.0352
307 × 10 9 0.130.20350.12690.3288
303 × 10 9 0.000130.19450.07410.2384
306 × 10 10 0.000000130.18630.20350.2102
307 × 10 7 0.930.22080.13010.2493
302 × 10 6 0.999930.20570.07700.2885
305 × 10 7 0.999999930.20130.18090.2036
301 × 10 5 2.140.20010.13930.1397
303 × 10 2 2.940.19840.10610.2367
302 × 10 4 3.150.21060.278814.4371
306 × 10 3 3.950.18270.29146.9833
301 × 10 2 4.160.22990.30084.2311
305 × 10 1 4.960.17700.27233.9078
303 × 10 3 5.170.20950.1755297.5818
305 × 10 2 5.970.19690.358051.0331
302 × 10 3 5.180.24240.2924216.7317
303 × 10 3 5.000180.20040.3714452.3457
301.4 × 10 3 5.000000180.17470.3650239.9826
302 × 10 2 5.980.20010.3549263.7365
301.3 × 10 1 5.999980.18290.378178.5332
305 × 10 1 5.999999980.21370.2490311.6103
301.5 × 10 2 7.190.22630.89724.5033 × 10 3
301 × 10 4 7.990.22280.89434.3085 × 10 3
301 × 10 10 3.1100.26580.89147.9703 × 10 3
308 × 10 8 3.9100.26420.89485.5828 × 10 3
301 × 10 4 6.1110.23780.93122.8572 × 10 5
305 × 10 3 6.9110.20890.89505.1113 × 10 4
302 × 10 11 4.1120.23110.89457.0888 × 10 4
304 × 10 9 4.9120.19940.90577.9818 × 10 4
Table 13. Case 6: Numerical results applying TRM to solve IP related to the fractional Cauchy problem (12) for δ = 0.1 and different values of β and m, where φ ( x , y ) = x 2 y 2 , ( x , y ) S 1 .
Table 13. Case 6: Numerical results applying TRM to solve IP related to the fractional Cauchy problem (12) for δ = 0.1 and different values of β and m, where φ ( x , y ) = x 2 y 2 , ( x , y ) S 1 .
N α ( δ ) β m RE ( V , V δ ) RE ( φ , φ α ( δ ) ) RE ( φ , φ δ )
201 × 10 6 1.00110.09490.04300.0432
201 × 10 14 1.510.08600.08250.0965
201 × 10 6 2.000120.09110.05740.0581
201 × 10 32 3.120.08090.07830.0863
201 × 10 1 3.0130.08940.02780.1076
201 × 10 45 4.530.10480.06390.2370
201 × 10 5 4.140.09420.02940.1592
201 × 10 95 7.140.10510.04950.2588
201 × 10 4 5.000150.07920.02981.3533
201 × 10 33 6.150.09460.01650.4475
201 × 10 6 6.160.09070.02770.9987
201 × 10 48 7.560.08670.02760.6014
201 × 10 5 7.170.09320.01093.5379
201 × 10 50 8.670.10240.01313.1745
201 × 10 1 8.00180.11350.02772.2757
201 × 10 46 9.480.08770.01803.6123
201 × 10 2 9.000190.09350.016322.9725
201 × 10 53 10.790.09790.03423.1946
201 × 10 1 10.0001100.10460.034550.3389
201 × 10 49 11.5100.09790.017912.7233
201 × 10 0 11.001110.08340.016412.8627
201 × 10 53 12.6110.09150.033144.9837
201 × 10 1 12.0001120.11360.0195121.2423
201 × 10 47 13.4120.08220.0165113.4837
201 × 10 1 11.5130.09410.0155420.7545
201 × 10 3 12.0001130.09500.0280319.2454
201 × 10 4 12.5130.11880.0187701.4226
201 × 10 1 12.9999130.09250.0198183.4905
201 × 10 29 13.5130.09380.0219400.2461
201 × 10 51 14.5130.11120.0295319.4336
Table 14. Case 6: Numerical results applying TRM to solve IP related to the fractional Cauchy problem (12) for δ = 0.1 and different values of β and m, where φ ( x , y ) = e x sin ( y ) , ( x , y ) S 1 .
Table 14. Case 6: Numerical results applying TRM to solve IP related to the fractional Cauchy problem (12) for δ = 0.1 and different values of β and m, where φ ( x , y ) = e x sin ( y ) , ( x , y ) S 1 .
N α ( δ ) β m RE ( V , V δ ) RE ( φ , φ α ( δ ) ) RE ( φ , φ δ )
303 × 10 5 1.00110.19420.05750.1229
303 × 10 13 1.510.16870.06870.0965
306 × 10 6 2.000120.16810.06060.1017
301 × 10 32 3.120.18000.06600.0763
302 × 10 2 3.0130.18550.12000.5139
305 × 10 44 4.530.20340.15171.0728
303 × 10 3 4.140.19300.02260.3616
305 × 10 93 7.140.22360.15170.4427
303.1 × 10 5 5.000150.22540.155013.8261
301.1 × 10 32 6.150.20460.10573.5558
306.3 × 10 4 6.000160.19840.18638.7178
306.4 × 10 46 7.560.20360.12334.9854
306.5 × 10 4 7.170.21880.3310253.4635
304.4 × 10 36 8.270.18440.297636.0590
303.4 × 10 4 8.0000180.19440.4695460.0541
301.1 × 10 57 9.880.25120.4601157.1510
303 × 10 1 9.000190.22990.88717.2299 × 10 3
305.1 × 10 57 10.790.21430.89124.4110 × 10 3
305 × 10 2 10.0001100.21510.89072.0204 × 10 4
301 × 10 53 11.5100.21910.89202.4527 × 10 3
306 × 10 3 11.0001110.26320.88573.6429 × 10 5
309 × 10 50 12.4110.22900.95711.8509 × 10 5
301.3 × 10 5 12.0001120.24510.95643.7314 × 10 5
302.1 × 10 52 13.4120.22110.91924.5936 × 10 5
305.9 × 10 10 11.5130.21680.99641.3190 × 10 7
305 × 10 11 12.0001130.26070.99941.0836 × 10 5
309 × 10 11 12.5130.23260.99041.0214 × 10 7
301.1 × 10 9 12.9999130.24390.98901.3107 × 10 7
301.3 × 10 29 13.5130.23380.98955.7405 × 10 6
301.7 × 10 59 14.5130.24240.98991.3997 × 10 7
Table 15. Numerical results applying TRM to solve the IP related to the classical Cauchy problem (2), for φ ( θ ) = | θ | π / 2 , θ [ π , π ] and different values of δ and N.
Table 15. Numerical results applying TRM to solve the IP related to the classical Cauchy problem (2), for φ ( θ ) = | θ | π / 2 , θ [ π , π ] and different values of δ and N.
δ N α ( δ ) RE ( V , V δ ) RE ( φ , φ α ( δ ) ) RE ( φ , φ δ )
0.1200.10.10800.15451.1839
0.1250.10.09530.13142.1403
0.1300.10.13420.16305.5998
0.01200.010.01210.04090.1102
0.01250.010.01140.04250.1676
0.01300.010.01280.03700.5224
0.001200.0018.1891 × 10 4 0.00430.0046
0.001250.0019.1866 × 10 4 0.00880.0139
0.001300.0010.00140.01170.0557
Table 16. Numerical results applying TRM to solve IP related to the fractional Cauchy problem (12) for δ = 0.1 and different values of β and m, where φ ( θ ) = | θ | π / 2 , θ [ π , π ] .
Table 16. Numerical results applying TRM to solve IP related to the fractional Cauchy problem (12) for δ = 0.1 and different values of β and m, where φ ( θ ) = | θ | π / 2 , θ [ π , π ] .
N α ( δ ) β m RE ( V , V δ ) RE ( φ , φ α ( δ ) ) RE ( φ , φ δ )
202 × 10 3 0.510.31240.18700.2188
202 × 10 5 0.110.13470.11180.1121
201 × 10 2 0.910.11800.19190.2229
202 × 10 4 0.120.15240.05940.0974
201 × 10 3 1.120.13620.19850.1989
201 × 10 3 1.520.10470.21330.2141
204.7 × 10 0 1.920.21230.34251.3020
104.9 × 10 3 2.130.05230.26331.9458
105 × 10 3 2.530.05270.14300.3773
102.8 × 10 1 2.930.04950.26782.7599
102.1 × 10 0 3.540.04630.23861.8027
81 × 10 1 4.150.03970.483248.7338
84.2 × 10 1 4.550.03780.387524.7968
82.8 × 10 0 4.950.02690.453527.6306
81 × 10 2 5.960.02810.204123.2792
61 × 10 1 6.970.02070.2113105.7357
67.2 × 10 1 7.180.02570.5941280.7669
42.2 × 10 1 9.1100.04160.282379.7393
43.3 × 10 0 10.1110.02650.11811.4592 × 10 3
42.5 × 10 2 11.1120.03060.10321.0285 × 10 3
42.2 × 10 2 12.5130.03480.79741.0332 × 10 4
Table 17. Numerical results applying TRM to solve the IP related to the classical Cauchy problem (2), for φ ( θ ) = 1 if θ [ π , 0 ) and 1 if θ [ 0 , π ] , and different values of δ and N.
Table 17. Numerical results applying TRM to solve the IP related to the classical Cauchy problem (2), for φ ( θ ) = 1 if θ [ π , 0 ) and 1 if θ [ 0 , π ] , and different values of δ and N.
δ N α ( δ ) RE ( V , V δ ) RE ( φ , φ α ( δ ) ) RE ( φ , φ δ )
0.1200.10.06660.16080.7217
0.1250.10.06380.17020.7641
0.1300.10.07670.18272.6840
0.01200.010.00800.05440.0659
0.01250.010.00680.07610.0998
0.01300.010.00780.09460.3552
0.001200.00017.6172 × 10 4 0.00440.0048
0.001250.00017.2529 × 10 4 0.00990.0118
0.001300.00019.2391 × 10 4 0.01950.0353
Table 18. Numerical results applying TRM to solve IP related to the fractional Cauchy problem (12) for δ = 0.1 and different values of β and m, where φ ( θ ) = 1 if θ [ π , 0 ) and 1 if θ [ 0 , π ] .
Table 18. Numerical results applying TRM to solve IP related to the fractional Cauchy problem (12) for δ = 0.1 and different values of β and m, where φ ( θ ) = 1 if θ [ π , 0 ) and 1 if θ [ 0 , π ] .
N α ( δ ) β m RE ( V , V δ ) RE ( φ , φ α ( δ ) ) RE ( φ , φ δ )
204.5 × 10 2 0.510.10620.27311.9413
103.9 × 10 4 0.110.06450.07290.1759
103.2 × 10 3 0.510.06400.16240.2390
104 × 10 3 0.910.06090.08410.0934
102.1 × 10 2 1.220.09100.15300.1636
101.5 × 10 3 1.520.05490.26290.2699
62.1 × 10 2 2.530.03520.34151.3513
61.5 × 10 0 3.540.05230.54281.1704
61 × 10 3 4.250.04720.941088.1158
63.6 × 10 4 5.260.04830.935441.0394
61.5 × 10 7 7.280.04000.93431.7546 × 10 3
64.2 × 10 16 12.8130.06060.98252.1740 × 10 7
Table 19. Numerical results choosing the regularization parameter α ( δ ) with the discrepancy principle of Morozov to solve IP related to the fractional Cauchy problem (12) for δ = 0.1 and different values of β and m, where φ ( x , y ) = x 2 y 2 , ( x , y ) S 1 . According to the results of the table and additional experiments, the discrepancy method fails when β > ( m + 1 ) and m > 1 , as well as for some values of β < ( m 1 ) .
Table 19. Numerical results choosing the regularization parameter α ( δ ) with the discrepancy principle of Morozov to solve IP related to the fractional Cauchy problem (12) for δ = 0.1 and different values of β and m, where φ ( x , y ) = x 2 y 2 , ( x , y ) S 1 . According to the results of the table and additional experiments, the discrepancy method fails when β > ( m + 1 ) and m > 1 , as well as for some values of β < ( m 1 ) .
N α ( δ ) β m RE ( V , V δ ) RE ( φ , φ α ( δ ) ) RE ( φ , φ δ )
200.16131.00110.09591.04700.0972
207.5089 × 10 6 1.510.09830.13280.1328
201.03 × 10 3 2.000120.08271.00000.0418
20NaN3.120.0870NaN0.0259
200.31373.0130.09210.05260.1290
20NaN4.530.0994NaN0.4877
2017.794.140.10690.51150.5102
20NaN7.140.0949NaN0.1675
206.53 × 10 7 5.000150.09011.00001.2477
20NaN6.150.0965NaN1.4885
204.75706.160.08601.92501.9237
20NaN7.560.0932NaN1.9387
200.26787.170.09226.14416.1514
20NaN8.670.0983NaN8.3501
200.09098.00180.11130.09951.4459
20NaN9.480.0947NaN3.8687
200.16599.000190.09130.04979.9648
20NaN10.790.1018NaN21.7190
203.7653 × 10 5 10.0001100.081823.225036.9474
20NaN11.5100.0980NaN34.1752
203.1198 × 10 5 11.001110.082850.033357.7211
20NaN12.6110.0827NaN105.6237
201.0869 × 10 5 12.0001120.089280.454894.1772
20NaN13.4120.0852NaN13.4034
20NaN11.5130.0984NaN517.1635
205.1280 × 10 6 12.0001130.1027780.2431783.2423
204.8277 × 10 5 12.5130.1031292.2405293.0910
201.03160 × 10 6 12.9999130.0971148.1006226.6417
203.4578 × 10 3 13.5130.1041597.4911597.4911
20NaN14.5130.0747NaN105.6650
Table 20. Numerical results choosing the regularization parameter α ( δ ) with the Tikhonov criterion to solve IP related to the fractional Cauchy problem (12) for δ = 0.1 and different values of β and m, where φ ( x , y ) = x 2 y 2 , ( x , y ) S 1 . Similar results have been obtained for other values of α using this criterion.
Table 20. Numerical results choosing the regularization parameter α ( δ ) with the Tikhonov criterion to solve IP related to the fractional Cauchy problem (12) for δ = 0.1 and different values of β and m, where φ ( x , y ) = x 2 y 2 , ( x , y ) S 1 . Similar results have been obtained for other values of α using this criterion.
N α ( δ ) β m RE ( V , V δ ) RE ( φ , φ α ( δ ) ) RE ( φ , φ δ )
20 δ 3 2 1.00110.09940.90400.0769
20 δ 3 2 1.510.09650.09380.0938
20 1 + 1 = 2 δ 99 50 2.000120.10460.90220.0702
20 δ 3.120.09840.13450.1345
20 δ 3.0130.08120.08520.3750
20 δ 1 3 4.530.08620.36650.3665
20 δ 1 100 4.140.10500.39140.3914
20 δ 7.140.09710.85610.8561
20 δ 99 50 5.000150.08930.55911.5529
20 δ 99 50 6.150.09341.25591.2559
20 δ 1 3 6.160.09291.50551.5056
20 δ 1 2 7.560.09942.00762.0076
20 δ 99 50 7.170.09492.58572.5858
20 δ 99 50 8.670.09132.49242.4924
20 δ 1 100 8.00180.09570.04315.6199
20 δ 1 100 9.480.097113.693013.6930
20 δ 1 10000 9.000190.08930.316924.8451
20 δ 1 10000 10.790.10578.42278.4227
20 δ 10.0001100.10310.033425.1034
20 δ 11.5100.099028.519428.5194
20 δ 99 10000 11.001110.08340.022536.1203
20 δ 99 10000 12.6110.098866.342166.3421
20 δ 1 100 12.0001120.10220.027995.8910
20 δ 1 100 13.4120.092631.865431.8654
20 δ 1 10000 11.5130.10990.0552457.5273
20 δ 1 10000 12.0001130.11330.5851438.2230
20 δ 1 10000 12.5130.10974.5644279.6731
20 δ 1 10000 12.9999130.09820.0249358.7193
20 δ 1 10000 13.5130.0925183.5626183.5626
20 δ 1 10000 14.5130.1027789.7150789.7150
Table 21. Numerical results applying Morozov discrepancy principle to solve IP related to the fractional Cauchy problem (12) for δ = 0.1 and different values of β and m, where φ ( x , y ) = e x sin ( y ) , ( x , y ) S 1 . According to the results, the discrepancy principle has problems when β > m + 1 and m > 1 , and for β = 1.001 and m = 1 .
Table 21. Numerical results applying Morozov discrepancy principle to solve IP related to the fractional Cauchy problem (12) for δ = 0.1 and different values of β and m, where φ ( x , y ) = e x sin ( y ) , ( x , y ) S 1 . According to the results, the discrepancy principle has problems when β > m + 1 and m > 1 , and for β = 1.001 and m = 1 .
N α ( δ ) β m RE ( V , V δ ) RE ( φ , φ α ( δ ) ) RE ( φ , φ δ )
30NaN1.00110.1245NaN0.0962
302.0984 × 10 6 1.510.19100.10820.1082
301.03 × 10 3 2.000120.09541.00000.0244
30NaN3.120.1075NaN0.0402
300.22893.0130.11180.06570.4844
30NaN4.530.1218NaN1.4902
3049.96044.140.10400.17390.1726
30NaN7.140.1200NaN0.3234
306.46 × 10 7 5.000150.12221.00001.5949
30NaN6.150.1098NaN1.8066
300.07256.000160.11330.19971.9133
30NaN7.560.1058NaN1.5889
300.19797.170.11268.31708.3243
30NaN8.270.1207NaN4.1606
300.04718.0000180.12450.50435.9603
30NaN9.880.1132NaN6.3306
300.16759.000190.10270.067915.9717
30NaN10.790.0961NaN9.3670
300.871610.0001100.09540.00995.1670
30NaN11.5100.1075NaN8.4426
302.7508 × 10 8 11.0001110.20685.0164 × 10 4 5.0171 × 10 4
30NaN12.4110.1218NaN125.4177
306.7362 × 10 9 12.0001120.26351.1476 × 10 5 1.1477 × 10 5
30NaN13.4120.1200NaN82.7087
301.6116 × 10 10 11.5130.22365.6345 × 10 6 5.6345 × 10 6
309.6113 × 10 8 12.0001130.22513.6801 × 10 5 3.6801 × 10 5
303.7943 × 10 9 12.5130.24583.2872 × 10 6 3.2872 × 10 6
301.2925 × 10 11 12.9999130.22761.0450 × 10 7 1.0450 × 10 7
30NaN13.5130.2413NaN8.8855 × 10 6
30NaN14.5130.2454NaN9.6411 × 10 6
Table 22. Numerical results choosing the regularization parameter α ( δ ) with the Tikhonov criterion to solve IP related to the fractional Cauchy problem (12) for δ = 0.1 and different values of β and m, where φ ( x , y ) = e x sin ( y ) , ( x , y ) S 1 . In almost all cases, the L-curve method gives better results.
Table 22. Numerical results choosing the regularization parameter α ( δ ) with the Tikhonov criterion to solve IP related to the fractional Cauchy problem (12) for δ = 0.1 and different values of β and m, where φ ( x , y ) = e x sin ( y ) , ( x , y ) S 1 . In almost all cases, the L-curve method gives better results.
N α ( δ ) β m RE ( V , V δ ) RE ( φ , φ α ( δ ) ) RE ( φ , φ δ )
30 δ 1.00110.17600.98840.1546
30 δ 1 10000 1.510.15620.12270.1227
30 δ 99 50 2.000120.17830.96960.1104
30 δ 99 50 3.120.18060.08130.0813
30 δ 99 50 3.0130.17740.41700.5684
30 δ 1 10000 4.530.19390.32940.3294
30 δ 1 10000 4.140.20890.62940.6294
30 δ 1 10000 7.140.21570.91950.9195
30 δ 99 50 5.000150.21320.92176.2925
30 δ 1 10000 6.150.198510.234510.2345
30 δ 99 50 6.000160.20470.822511.8088
30 δ 1 10000 7.560.18938.53398.5339
30 δ 1 10000 7.170.227266.414666.7074
30 δ 1 10000 8.270.204165.273365.2733
30 δ 5 3 8.0000180.17681.196597.2722
30 δ 9.880.195590.887590.8875
30 δ 5 3 9.000190.20932.22322.6794 × 10 3
30 δ 1 10000 10.790.20383.7798 × 10 3 3.7798 × 10 3
30 δ 1 10000 10.0001100.22524.42157.1864 × 10 3
30 δ 1 100 11.5100.20774.0842 × 10 3 4.0842 × 10 3
30 δ 1 100 11.0001110.205980.74212.1991 × 10 5
30 δ 1 10000 12.4110.24963.1294 × 10 5 3.1294 × 10 5
30 δ 1 2 12.0001120.213093.25594.0135 × 10 5
30 δ 1 3 13.4120.22283.0318 × 10 5 3.0318 × 10 5
30 δ 1 100 11.5130.2128785.02815.2143 × 10 6
30 δ 1 3 12.0001130.24716.1257 × 10 3 2.1351 × 10 6
30 δ 1 8 12.5130.20252.3802 × 10 5 1.0999 × 10 7
30 δ 1 50 12.9999130.2472583.70692.0067 × 10 7
30 δ 1 100 13.5130.24771.8405 × 10 7 1.8405 × 10 7
30 δ 1 10000 14.5130.21201.3707 × 10 7 1.3707 × 10 7
Table 23. Numerical results choosing the regularization parameter α ( δ ) with the discrepancy principle of Morozov to solve IP related to the fractional Cauchy problem (12) for δ = 0.1 and different values of β and m, where φ ( θ ) = | θ | π / 2 , θ [ π , π ] . In almost all cases, the L-curve method gives better results.
Table 23. Numerical results choosing the regularization parameter α ( δ ) with the discrepancy principle of Morozov to solve IP related to the fractional Cauchy problem (12) for δ = 0.1 and different values of β and m, where φ ( θ ) = | θ | π / 2 , θ [ π , π ] . In almost all cases, the L-curve method gives better results.
N α ( δ ) β m RE ( V , V δ ) RE ( φ , φ α ( δ ) ) RE ( φ , φ δ )
200.03200.510.26930.70130.3930
206.80730.110.27900.99880.2787
200.05950.910.21710.55000.2910
202.37950.120.23060.99720.3700
200.02971.120.24210.44190.6114
200.09931.520.19420.72160.7481
200.15611.920.20551.02411.0477
100.00792.130.08400.81541.8753
100.00962.530.09582.03222.6709
100.01222.930.09652.60352.8554
100.02313.540.09924.70344.7820
86.6817 × 10 5 4.150.068859.609261.4116
81.9688 × 10 4 4.550.057755.512056.1750
85.4635 × 10 4 4.950.062348.149348.4213
80.00135.960.0620127.5673127.6119
61.3725 × 10 4 6.970.0225196.1122196.3843
61.2394 × 10 4 7.180.0316342.3864342.5589
44.6244 × 10 4 9.1100.057792.591892.7644
42.3783 × 10 6 10.1110.04511.7044 × 10 3 1.7062 × 10 3
42.4299 × 10 5 11.1120.04911.7439 × 10 3 1.7441 × 10 3
41.0631 × 10 6 12.5130.04011.0360 × 10 4 1.0361 × 10 4
Table 24. Numerical results choosing the regularization parameter α ( δ ) with the Tikhonov criterion to solve IP related to the fractional Cauchy problem (12) for δ = 0.1 and different values of β and m, where φ ( θ ) = | θ | π / 2 , θ [ π , π ] . In almost all cases, the L-curve method gives better results.
Table 24. Numerical results choosing the regularization parameter α ( δ ) with the Tikhonov criterion to solve IP related to the fractional Cauchy problem (12) for δ = 0.1 and different values of β and m, where φ ( θ ) = | θ | π / 2 , θ [ π , π ] . In almost all cases, the L-curve method gives better results.
N α ( δ ) β m RE ( V , V δ ) RE ( φ , φ α ( δ ) ) RE ( φ , φ δ )
20 δ 1 3 0.510.31170.95210.5185
20 δ 1 3 0.110.29420.99210.4911
20 δ 1 3 0.910.26140.73770.5011
20 δ 3 2 0.120.29440.95710.4833
20 δ 3 2 1.120.22240.54380.5251
20 δ 5 4 1.520.27030.70700.6965
20 δ 1.920.20600.98251.3020
10 δ 99 50 2.130.01050.11511.0675
10 δ 99 50 2.530.07901.71722.2671
10 δ 99 50 2.930.09352.48152.6475
10 δ 1 3 3.540.09923.70115.0290
8 δ 3 2 4.150.07252.303832.4249
8 δ 3 2 4.550.082226.835576.0308
8 δ 1 5 4.950.06967.677860.6948
8 δ 99 10000 5.960.053834.496843.7691
6 δ 99 10000 6.970.041825.5161284.8013
6 δ 99 50 7.180.0514414.7308432.4166
4 δ 99 50 9.1100.043239.885641.6149
4 δ 1 100 10.1110.04402.19601.1303 × 10 3
4 δ 1 100 11.1120.0485306.15431.5216 × 10 3
4 δ 1 10000 12.5130.038775.53464.6817 × 10 4
Table 25. Numerical results choosing the regularization parameter α ( δ ) with the discrepancy principle of Morozov to solve IP related to the fractional Cauchy problem (12) for δ = 0.1 and different values of β and m, where φ ( θ ) = 1 if θ [ π , 0 ) and 1 if θ [ 0 , π ] . In almost all cases, the L-curve method gives better results. In this Table, m 1 < β < m .
Table 25. Numerical results choosing the regularization parameter α ( δ ) with the discrepancy principle of Morozov to solve IP related to the fractional Cauchy problem (12) for δ = 0.1 and different values of β and m, where φ ( θ ) = 1 if θ [ π , 0 ) and 1 if θ [ 0 , π ] . In almost all cases, the L-curve method gives better results. In this Table, m 1 < β < m .
N α ( δ ) β m RE ( V , V δ ) RE ( φ , φ α ( δ ) ) RE ( φ , φ δ )
200.00840.510.13211.19881.4773
100.11980.110.07630.90650.3944
100.04800.510.06410.72120.2595
100.02920.910.07800.19420.2717
100.05561.220.09050.41620.4471
100.13251.520.08080.34040.2828
60.00262.530.05423.25903.8754
60.01843.540.05553.80723.8819
61.8758 × 10 4 4.250.040225.929327.2371
60.00165.260.041730.689230.8212
62.1013 × 10 5 7.280.04542.3159 × 10 3 2.3161 × 10 3
61.1443 × 10 9 12.8130.04151.8147 × 10 7 1.8147 × 10 7
Table 26. Numerical results choosing the regularization parameter α ( δ ) with the Tikhonov criterion to solve IP related to the fractional Cauchy problem (12) for δ = 0.1 and different values of β and m, where φ ( θ ) = 1 if θ [ π , 0 ) and 1 if θ [ 0 , π ] . In almost all cases, the L-curve method gives better results.
Table 26. Numerical results choosing the regularization parameter α ( δ ) with the Tikhonov criterion to solve IP related to the fractional Cauchy problem (12) for δ = 0.1 and different values of β and m, where φ ( θ ) = 1 if θ [ π , 0 ) and 1 if θ [ 0 , π ] . In almost all cases, the L-curve method gives better results.
N α ( δ ) β m RE ( V , V δ ) RE ( φ , φ α ( δ ) ) RE ( φ , φ δ )
20 δ 5 4 0.510.14471.34442.7243
10 δ 3 2 0.110.08820.84670.3194
10 δ 3 2 0.510.05840.72810.5733
10 δ 99 50 0.910.06020.84340.3127
10 δ 99 50 1.220.07110.58480.5872
10 δ 99 50 1.520.06240.59570.6053
6 δ 3 2 2.530.03341.17401.6434
6 δ 1 10000 3.540.06021.12411.2573
6 δ 1 50 4.250.04371.015588.8735
6 δ 1 100 5.260.055123.630286.1879
6 δ 1 10000 7.280.0359387.40021.4405 × 10 3
6 δ 1 10000 12.8130.04252.0636 × 10 6 3.2829 × 10 7
Disclaimer/Publisher’s Note: The statements, opinions and data contained in all publications are solely those of the individual author(s) and contributor(s) and not of MDPI and/or the editor(s). MDPI and/or the editor(s) disclaim responsibility for any injury to people or property resulting from any ideas, methods, instructions or products referred to in the content.

Share and Cite

MDPI and ACS Style

Conde Mones, J.J.; Acevedo Vázquez, J.A.; Hernández Montero, E.; Morín Castillo, M.M.; Hernández Gracidas, C.A.; Oliveros Oliveros, J.J. Numerical Analysis of a Fractional Cauchy Problem for the Laplace Equation in an Annular Circular Region. Fractal Fract. 2025, 9, 284. https://doi.org/10.3390/fractalfract9050284

AMA Style

Conde Mones JJ, Acevedo Vázquez JA, Hernández Montero E, Morín Castillo MM, Hernández Gracidas CA, Oliveros Oliveros JJ. Numerical Analysis of a Fractional Cauchy Problem for the Laplace Equation in an Annular Circular Region. Fractal and Fractional. 2025; 9(5):284. https://doi.org/10.3390/fractalfract9050284

Chicago/Turabian Style

Conde Mones, José Julio, Julio Andrés Acevedo Vázquez, Eduardo Hernández Montero, María Monserrat Morín Castillo, Carlos Arturo Hernández Gracidas, and José Jacobo Oliveros Oliveros. 2025. "Numerical Analysis of a Fractional Cauchy Problem for the Laplace Equation in an Annular Circular Region" Fractal and Fractional 9, no. 5: 284. https://doi.org/10.3390/fractalfract9050284

APA Style

Conde Mones, J. J., Acevedo Vázquez, J. A., Hernández Montero, E., Morín Castillo, M. M., Hernández Gracidas, C. A., & Oliveros Oliveros, J. J. (2025). Numerical Analysis of a Fractional Cauchy Problem for the Laplace Equation in an Annular Circular Region. Fractal and Fractional, 9(5), 284. https://doi.org/10.3390/fractalfract9050284

Article Metrics

Back to TopTop