Next Article in Journal
A Certain Numerical Algorithm for Solving a Fractional Partial Model with a Neumann Constraint in a Hilbert Space
Next Article in Special Issue
FPGA Implementation of Secure Image Transmission System Using 4D and 5D Fractional-Order Memristive Chaotic Oscillators
Previous Article in Journal
Fixed-Time Adaptive Synchronization of Fractional-Order Memristive Fuzzy Neural Networks with Time-Varying Leakage and Transmission Delays
Previous Article in Special Issue
A New Fractional Discrete Memristive Map with Variable Order and Hidden Dynamics
 
 
Font Type:
Arial Georgia Verdana
Font Size:
Aa Aa Aa
Line Spacing:
Column Width:
Background:
Article

Dynamics of a Fractional-Order IDSR Rumor Propagation Model with Time Delays

by
Yahui Niu
1,2 and
Ahmadjan Muhammadhaji
1,2,*
1
College of Mathematics and System Sciences, Xinjiang University, Urumqi 830017, China
2
The Key Laboratory of Applied Mathematics of Xinjiang Uygur Autonomous Region, Xinjiang University, Urumqi 830017, China
*
Author to whom correspondence should be addressed.
Fractal Fract. 2025, 9(4), 242; https://doi.org/10.3390/fractalfract9040242
Submission received: 23 March 2025 / Revised: 8 April 2025 / Accepted: 9 April 2025 / Published: 11 April 2025

Abstract

With the rapid expansion of the internet and accelerated information dissemination, rumors pose a significant threat to social stability. Effective rumor control requires a thorough understanding of propagation mechanisms. This study develops a Caputo fractional-order IDSR rumor propagation model with time delays. The equilibrium points are identified, and the local asymptotic stability of the system at the positive equilibrium is analyzed. Additionally, the conditions for Hopf bifurcation and its impact on the rumor dynamics are examined. Numerical simulations validate the theoretical findings.

1. Introduction

A rumor is an unverified statement or report that spreads widely through various communications [1]. The proliferation of the internet and electronic devices has transformed the speed and reach of rumor dissemination, particularly via social media platforms such as WeChat. The low cost, rapid spread, and difficulty in controlling online rumors amplify their societal impact. Malicious rumors, once widely disseminated, can cause economic losses and social panic. Therefore, understanding rumor propagation and implementing targeted interventions are crucial in minimizing their spread and the associated consequences.
Integer-order rumor propagation models [2,3,4,5,6] are well established, offering simplicity and computational efficiency. However, they fail to accurately capture the memory effects inherent in rumor dynamics. While some researchers have incorporated memory-related differential equations into integer-order models [7,8], flexibility limitations persist.
The advantages of fractional derivatives over classical integer-order derivatives lie in their ability to precisely characterize the dynamics of complex systems through non-locality, memory effects, and complex behavioral properties [9]. Specifically, these properties manifest as historical dependencies such as genetic regulatory lags in biological processes, long-range temporal correlations such as delayed decay in rumor propagation in social behavior, and anomalous transport phenomena including intracellular subdiffusion under heterogeneous environments. By calibrating the fractional-order parameter, these models not only align with empirical data but also establish cross-scale connections between microscopic stochasticity and macroscopic collective behaviors. Despite challenges such as high computational complexity and limited physical interpretability, fractional-order models provide a mathematical framework for non-Markovian dynamics, non-exponential relaxation processes, and other complex phenomena. Notably, in rumor spread modeling, the integration of fractional derivatives significantly improves models’ fidelity to real-world observations by accurately capturing the power-law decay of information diffusion, thereby enhancing the reliability of predictive simulations.
Various definitions of fractional-order derivatives exist, including the Riemann–Liouville, Caputo, and Grünwald–Letnikov derivatives [10]. Among these, the Caputo derivative is preferred in modeling owing to its computational advantages, as it requires only the initial values of integer-order differential equations. Research on fractional-order rumor propagation has gained traction. Singh [11] explored a social network rumor propagation model incorporating the Atangana–Baleanu fractional derivative, analyzing its effects on ignorant individuals, spreaders, and suppressors. Li et al. [12] investigated the role of rumor clarifiers in propagation using the SIR-C model. Zhou et al. [13] proposed a delayed fractional-order susceptible–infected–recovered–susceptible (SIRS) reaction–diffusion model, while Yue et al. [14] introduced an ISCRM fractional-order model to study rumor dynamics and control strategies.
In recent years, the deep integration of infectious disease dynamic models and communication science has provided a new paradigm for rumor propagation modeling. Inspired by the SEIR epidemiological model, this study extends its compartmental modeling framework to the field of rumor propagation in social networks. Specifically, the conversion mechanism from susceptible individuals (S) to exposed individuals (E) in viral transmission maps to the process where rumor-unaware individuals enter a verification-hesitant state upon receiving information. The viral diffusion behavior of infected individuals (I) corresponds to the information forwarding dynamics of rumor spreaders, while the temporary immunity characteristics of recovered individuals (R) precisely depict the time-limited resistance decay phenomenon observed in the public after debunking interventions. This interdisciplinary analogy reveals the underlying dynamic isomorphism between biological and information epidemics, establishing a methodological reference for scholarly research.
The structure of the remaining parts of this paper is as follows. In Section 2, a fractional-order rumor propagation model with time delays is constructed, and relevant background information is introduced. Section 3 discusses the stability of the system at the positive equilibrium point and provides an in-depth analysis of the Hopf bifurcation dynamics. In Section 4, a series of numerical simulations are presented to validate the aforementioned conclusions. Section 5 presents a brief summary of the entire article.

2. Rumor Propagation Model and Preliminary Knowledge

Wang et al. [15] proposed a class of fractional-order social network rumor propagation models with fermentation period time delays as follows:
D t α S t = Λ β S t τ I t τ μ S t , D t α I t = β S t τ I t τ γ I t μ I t , D t α R t = γ I t μ R t .
System (1) incorporates a time delay to represent the transition from rumor-ignorant individuals to rumor spreaders. However, this classification is overly broad. Ignorant individuals do not immediately assess rumor validity upon exposure, necessitating a distinction between non-consideration and consideration states. This study argues that only when ignorant individuals enter an idle state or encounter rumor-related events do they transition to rumor considerers. Therefore, system (1) can be refined into a fractional-order IDSR rumor propagation model with bilinear incidence rates and time delay parameters, expressed as
D t α I t = Λ λ I t τ S t τ d I t , D t α D t = λ I t τ S t τ ε D t d D t , D t α S t = ε D t ζ S t d S t , D t α R t = ζ S t d R t .
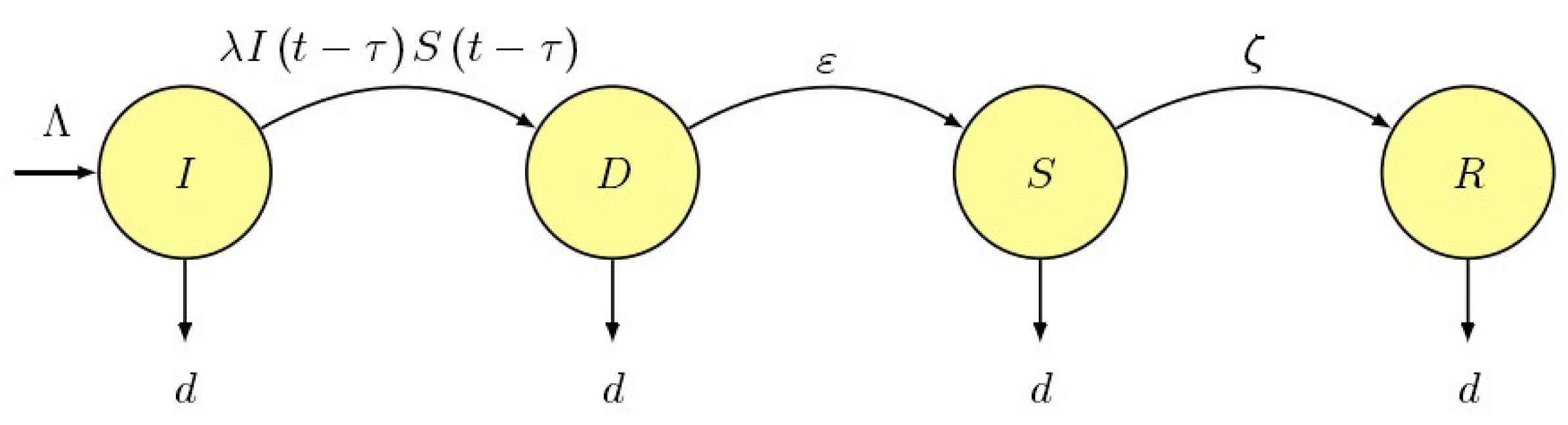
The state transition diagram of model (2) is shown in Figure 1. In system (2), I ( t ) , D ( t ) , S ( t ) , R ( t ) represent the densities of ignorant individuals (unaware of the rumor), doubtful individuals (considering the rumor), rumor spreaders (actively propagating the rumor), and rumor-immune individuals (no longer susceptible to the rumor) at time t, respectively. The parameter Λ denotes the input rate of new users joining the social network, while d represents the departure rate of users leaving the network. When an ignorant individual interacts with a spreader, they transition to a doubtful state with probability λ . Doubtful individuals, after deliberation, accept the rumor with probability ε , becoming spreaders who further propagate the rumor to ignorant individuals. Spreaders exposed to rumor-refuting information transition to immune individuals with probability ζ , ceasing both belief in and the propagation of the rumor. Additionally, the parameter τ quantifies the time delay during the fermentation phase, reflecting the critical period between rumor exposure and subsequent behavioral responses.
Here, α ( 0 , 1 ] , and the model is subject to the following initial conditions:
I ( θ ) = ϕ 1 ( θ ) , D ( θ ) = ϕ 2 ( θ ) , S ( θ ) = ϕ 3 ( θ ) , R ( θ ) = ϕ 4 ( θ ) , ϕ i ( θ ) 0 .
Moreover, when α = 1 , system (2) reduces to an integer-order rumor propagation model. Based on this observation, we can draw the conclusion that the integer-order rumor propagation model represents a special case of the fractional-order rumor propagation model.
Definition 1
([16]). The Caputo-type fractional-order derivative is expressed as
D v κ v 0 C f ( x ) = 1 Γ ( n κ ) v 0 v f ( n ) ( τ ) ( v τ ) κ + 1 n d τ ,
where n is a positive integer, κ is the order of the fractional-order system, and n 1 κ n . Γ is the gamma function, Γ ( u ) = a v u 1 e v dv.
Lemma 1
([17]). Consider the following n-dimensional linear fractional-order system with multiple time delays:
d α 1 y 1 ( t ) d α 1 t = b 11 y 1 ( t τ 11 ) + b 12 y 2 ( t τ 12 ) + + b 1 n y n ( t τ 1 n ) , d α 2 y 2 ( t ) d α 2 t = b 21 y 1 ( t τ 21 ) + b 22 y 2 ( t τ 22 ) + + b 2 n y n ( t τ 2 n ) , d α n y n ( t ) d α n t = b n 1 y 1 ( t τ n 1 ) + b n 2 y 2 ( t τ n 2 ) + + b n n y n ( t τ n n ) .
where α i ( 0 , 1 ) is the order of the fractional-order system, y ( t ) = ( y 1 ( t ) , y 2 ( t ) , , y n ( t ) ) is the state vector, τ i j > 0 is the time delay, y i = ϕ i ( t ) , max τ i j = τ max t 0 , i , j = 1 , 2 , , n is the initial condition of system (3), B = [ b i j ] n × n R n × n is the coefficient matrix of system (3), and we can obtain the eigenmatrix of system (3) as
Δ ( m ) = m α 1 b 11 e m τ 11 b 12 e m τ 12 b 1 n e m τ 1 n b 21 e m τ 21 m α 2 b 22 e m τ 22 b 2 n e m τ 2 n b n 1 e m τ n 1 b n 2 e m τ n 2 m α n b n n e m τ n n .
Lemma 2
([18]). If the real parts of all eigenvalues of E are negative, then the zero solution to system
D 0 , t q C W = E W , q ( 0 , 1 ) , E R n × n ,
is asymptotically stable.

3. Main Results

Based on system (2), the equilibrium points of the system can be derived in the following:
(i)
The rumor-free equilibrium point P 0 = ( Λ d , 0 , 0 , 0 ) ;
(ii)
The rumor prevailing equilibrium point P * = I * , D * , S * , R * .
Here,
I * = ε + d ζ + d λ ε , D * = Λ ε + d ζ + d d ε λ , S * = Λ ε ε + d ζ + d d λ , R * = ζ Λ ε d ε + d ζ + d ζ λ .
Evidently, I * is always positive. By simplifying D * , S * and R * , their respective expressions can be derived as follows:
D * = Λ λ ε ( ζ + d ) ( ε + d ) d ε λ ( ε + d ) , S * = Λ λ ε ( ζ + d ) ( ε + d ) d ( ζ + d ) ( ε + d ) λ , R * = ζ Λ 2 ε ( ζ + d ) ( ε + d ) d ( ζ + d ) ( ε + d ) λ d .
We put forward assumption (H1) to guarantee that system (2) possesses a unique positive equilibrium point P * .
(H1) 
ε δ 2 > ( ζ + d ) ( ε + d ) d , where δ = min λ , Λ .
Firstly, by taking the equilibrium point P 0 into account, the following conclusions can be easily deduced.
Theorem 1.
System (2) exhibits local asymptotic stability at the equilibrium point P 0 .
Proof. 
The Jacobian matrix of system (2) evaluated at the equilibrium point P 0 is
J ( P 0 ) = d 0 λ I 0 0 0 ε d λ I 0 0 0 ε ζ d 0 0 0 ζ d
Moreover, the characteristic matrix of the matrix mentioned above is
Θ = λ + d 0 λ I 0 0 0 λ + ε + d λ I 0 0 0 ε λ + ζ + d 0 0 0 ζ λ + d
Therefore, the characteristic equation of system (2) is
( λ + d ) 2 ( λ + ε + d ) ( λ + ζ + d )
By solving the equation mentioned above, we obtain
λ 1 , 2 = d , λ 3 = ε d , λ 4 = ζ d
Based on Lemma 2, all four solutions presented above are negative, thereby concluding the proof of Theorem 1. □
Subsequently, an analysis is conducted on the stability and bifurcation properties of system (2) at the positive equilibrium point p * .
Let I ¯ t = I t I * , D ¯ t = D t D * , S ¯ t = S t S * , R ¯ t = R t R * . Then, a linearized system of system (2) at P * can be derived as follows:
D t α I ¯ t = λ I ¯ t τ S * λ I * S ¯ t τ d I ¯ t , D t α D ¯ t = λ I ¯ t τ S * + λ I * S ¯ t τ ε D ¯ t d D ¯ t , D t α S ¯ t = ε D ¯ t ζ S ¯ t d S ¯ t , D t α R ¯ t = ζ S ¯ t d R ¯ t .
Applying the Laplace transform to both sides of system (4) and using Lemma 1, we obtain
Δ ( s ) = s α + c 1 e τ s + d 0 c 2 e τ s 0 c 1 e τ s s α + c 3 c 2 e τ s 0 0 ε s α + c 4 0 0 0 ζ s α + d ,
where c 1 = λ S * , c 2 = λ I * , c 3 = ε + d , c 4 = ζ + d . Thus, the characteristic equation of the linearized system (4) is given by
det Δ ( s ) = s α + c 1 e τ s + d 0 c 2 e τ s 0 c 1 e τ s s α + c 3 c 2 e τ s 0 0 ε s α + c 4 0 0 0 ζ s α + d .
The characteristic Equation (5) can be utilized to study the properties of system (2).
Clearly, according to Lemma 2, if all roots of (5) possess negative real parts, system (2) is locally asymptotically stable at the positive equilibrium point P * . Conversely, if any root of (5) has a positive real part, system (2) is unstable at the positive equilibrium point P * .
The characteristic Equation (5) can be presented in the following form when incorporating the time delay factor:
D 41 ( s ) + D 42 ( s ) e τ s = 0 ,
and
D 41 ( s ) = s 4 α + A 43 s 3 α + A 42 s 2 α + A 41 s α + A 40 , D 42 ( s ) = B 43 s 3 α + B 42 s 2 α + B 41 s α + B 40 ,
where
A 43 = c 3 + c 4 + 2 d , A 42 = c 3 c 4 + 2 c 4 d + 2 c 3 d + d 2 , A 41 = 2 c 3 c 4 d + c 4 d 2 + c 3 d 2 , A 40 = c 3 c 4 d 2 , B 43 = c 1 , B 42 = c 1 c 4 + c 1 c 3 c 2 ε + c 1 d , B 41 = c 1 c 3 c 4 + c 1 c 4 d + c 1 c 3 d 2 c 2 d ε , B 40 = c 1 c 3 c 4 d d 2 c 2 ε .
Assuming τ = 0 and ϱ = s α , then Equation (6) can be transformed into
ϱ 4 + d 43 ϱ 3 + d 42 ϱ 2 + d 41 ϱ + d 40 = 0 ,
where
d 43 = A 43 + B 43 , d 42 = A 42 + B 42 , d 41 = A 41 + B 41 , d 40 = A 40 + B 40 .
The Hurwitz determinant of the characteristic Equation (7) is
Δ = d 43 1 0 0 d 41 d 42 d 43 1 0 d 40 d 41 d 42 0 0 0 d 40 .
In accordance with the Routh–Hurwitz stability criterion, the characteristic Equation (7) is stable provided that the following assumption holds.
(H2) 
Δ 1 > 0 , Δ 2 > 0 , Δ 3 > 0 , Δ 4 > 0 ,
where
Δ 1 = | d 43 | , Δ 2 = d 43 1 d 41 d 42 , Δ 3 = d 43 1 0 d 41 d 42 d 43 0 d 40 d 41 , Δ 4 = d 43 1 0 0 d 41 d 42 d 43 1 0 d 40 d 41 d 42 0 0 0 d 40 .
Thus, we have the following result.
Theorem 2.
If τ = 0 , α ( 0 , 1 ] and assumptions ( H 1 ) and ( H 2 ) hold, then the unique positive equilibrium point P * of system (2) is locally asymptotically stable.
Proof. 
When τ = 0 , Equation (7) can be simplified to ( ϱ z 1 ) ( ϱ z 2 ) ( ϱ z 3 ) ( ϱ z 4 ) = 0 , where ϱ 1 , ϱ 2 , ϱ 3 , ϱ 4 are the roots of Equation (7). When assumptions ( H 1 ) and ( H 2 ) hold, according to the Routh–Hurwitz stability criterion, all roots of Equation (7) have negative real parts. By Lemma 2, the positive equilibrium point P * of system (2) is locally asymptotically stable.
Set s = i w = w e π i 2 , and substitute this value into (7); then, we have
( cos w τ i sin w τ ) = D 41 ( i w ) D 42 ( i w ) , D 42 ( i w ) 0 , τ > 0 .
By separating the real and imaginary parts of above equation, we can obtain
cos w τ = O × P + Q × T P 2 + T 2 , sin w τ = Q × P O × T P 2 + T 2 .
At this point,
O = Re D 41 ( i w ) = ω 4 α cos 2 π α + A 43 ω 3 α cos 3 π α 2 + A 42 ω 2 α cos π α + A 41 ω α cos π α 2 + A 40 , Q = Im D 41 ( i w ) = ω 4 α sin 2 π α + A 43 ω 3 α sin 3 π α 2 + A 42 ω 2 α sin π α + A 41 ω α sin π α 2 , P = Re D 42 ( i w ) = B 43 ω 3 α cos 3 π α 2 + B 42 ω 2 α cos π α + B 41 ω α cos π α 2 + B 40 , T = Im D 42 ( i w ) = B 43 ω 3 α sin 3 π α 2 + B 42 ω 2 α sin π α + B 41 ω α sin π α 2 .
Based on cos 2 ( τ ω ) + sin 2 ( τ ω ) = 1 , we can conclude the following result:
ω 8 α + g 7 ω 7 α + g 6 ω 6 α + g 5 ω 5 α + g 4 ω 4 α + g 3 ω 3 α + g 2 ω 2 α + g 1 ω α + g 0 = 0 .
At this point,
g 7 = 2 A 43 cos 2 π α cos 3 π α 2 + 2 A 43 sin 2 π α sin 3 π α 2 , g 6 = A 43 2 + 2 A 42 cos 2 π α cos π α + 2 A 42 sin 2 π α sin π α B 43 2 , g 5 = 2 A 41 cos 2 π α cos π α 2 + 2 A 43 A 42 cos 3 π α 2 cos π α + 2 A 41 sin 2 π α sin π α 2 + 2 A 43 A 42 sin 3 π α 2 sin π α 2 B 43 B 42 cos 3 π α 2 cos π α 2 B 43 B 42 sin 3 π α 2 sin π α , g 4 = A 42 2 B 42 2 + 2 A 40 cos 2 π α + 2 A 43 A 41 cos 3 π α 2 cos π α 2 + 2 A 43 A 41 sin 3 π α 2 sin π α 2 2 B 43 B 41 cos 3 π α 2 cos π α 2 , g 3 = 2 A 43 A 40 cos 3 π α 2 + 2 A 42 A 41 cos π α cos π α 2 + 2 A 42 A 41 sin π α sin π α 2 2 B 43 B 40 cos 3 π α 2 2 B 42 B 41 cos π α cos π α 2 , g 2 = A 41 2 B 41 2 + 2 A 42 A 40 cos π α 2 B 42 B 40 cos π α , g 1 = 2 A 41 A 40 cos π α 2 2 B 41 B 40 cos π α 2 , g 0 = A 40 2 B 40 2 .
If z = ω α , then Equation (8) can be rewritten as follows:
f ( z ) = z 8 + g 7 z 7 + g 6 z 6 + g 5 z 5 + g 4 z 4 + g 3 z 3 + g 2 z 2 + g 1 z + g 0 .
Taking the derivatives of both sides of Equation (9), we have
f ( z ) = 8 z 7 + 7 g 7 z 6 + 6 g 6 z 5 + 5 g 5 z 4 + 4 g 4 z 3 + 3 g 3 z 2 + 2 g 2 z + g 1 .
The following assumption is put forward. □
(H3) 
g 0 < 0 .
Theorem 3.
From Equation (9), the following conclusions can be drawn:
(i) 
Equation (9) does not possess any positive real roots in the case where g i 0 ( i = 0 , 1 , , 7 ) ;
(ii) 
When assumption ( H 3 ) is satisfied, then Equation (9) has at least one positive root z 0 , and the characteristic Equation (6) possesses purely imaginary roots.
Proof. 
(i)
On the basis of g i 0 ( i = 0 , 1 , , 7 ) , we can infer that if z > 0 , then f ( z ) > 0 . This implies that when z > 0 , f ( z ) is monotonically increasing. Moreover, given that f ( 0 ) = g 0 0 , it can be deduced that Equation (9) has no positive roots.
(ii)
It can readily be concluded that f ( z ) is a continuous function. Furthermore, f ( 0 ) = g 0 < 0 and f ( + ) > 0 . In light of the Zero-Point Theorem, Equation (9) has at least one positive root z 0 . Therefore, Equation (8) has at least one positive root ω 0 = z 0 α , meaning that the characteristic Equation (6) has at least one purely imaginary root ± i ω 0 . This completes the proof of Theorem 2.
To ascertain the conditions under which a Hopf bifurcation occurs, the following assumption is formulated.
(H4) 
β 1 μ 1 + β 2 μ 2 > 0 .
At present, the parameters β 1 , μ 1 , β 2 and μ 2 are determined by Equation (13). Based on the aforementioned theorem, the following crucial lemma is deduced.
Lemma 3.
If condition ( H 4 ) holds, and letting χ ( τ ) = ν ( τ ) + i ω ( τ ) be the roots of Equation (6) near τ = τ 0 satisfying ν ( τ 0 ) = 0 , ω ( τ 0 ) = ω 0 , then the transversality condition
Re d s d τ > 0
is satisfied.
Proof. 
Based on cos w τ = cos ( w τ + 2 k π ) , the following can be derived:
τ 0 ( k ) = 1 w 0 arccos ( O × P + Q × T P 2 + T 2 ) + 2 k π , k = 0 , 1 , 2 , .
We take the critical bifurcation point τ 0 = min τ 0 ( k ) = τ 0 ( 0 ) .
Then, by differentiating both sides of the characteristic Equation (6) with respect to τ , we obtain
d s d τ 1 = D 41 ( s ) e s τ + D 42 ( s ) s D 42 ( s ) τ s .
By τ = τ 0 , s = i ω 0 and (11), we obtain
d s d τ 1 = i β 1 + β 2 i μ 1 + μ 2 τ 0 i w 0 ,
where
β 1 = Re D 41 ( i ω 0 ) sin ( ω 0 τ 0 ) + Im D 41 ( i ω 0 ) cos ( ω 0 τ 0 ) + Im D 42 ( i ω 0 ) , β 2 = Re D 41 ( i ω 0 ) cos ( ω 0 τ 0 ) Im D 41 ( i ω 0 ) sin ( ω 0 τ 0 ) + Re D 42 ( i ω 0 ) , μ 1 = ω 0 Re D 42 ( i ω 0 ) , μ 2 = ω 0 Im D 42 ( i ω 0 ) .
The real part of Equation (12) is as follows:
Re d s d τ 1 = β 1 μ 1 + β 2 μ 2 μ 1 2 + μ 2 2 .
In light of assumption ( H 4 ) , the proof of Lemma 3 is hereby completed. □
Based on the results obtained above, we draw the following main conclusions.
Theorem 4.
If conditions H 1 H 4 are all met, then the forthcoming conclusions can be derived:
(i) 
In the case where τ lies within the interval 0 , τ 0 , system (2) exhibits local asymptotic stability at the positive equilibrium point P * ;
(ii) 
When τ = τ 0 , a Hopf bifurcation occurs at the positive equilibrium point P * ;
(iii) 
When τ τ 0 , + , system (2) loses its stability at the positive equilibrium point P * .

4. Numerical Simulation

In this section, numerical simulations are carried out to validate the accuracy of the aforementioned conclusions.
In system (2), first, we set Λ = 0.78 , λ = 0.4 , d = 0.125 , ε = 0.34 , and ζ = 0.3 . Subsequently, we obtain
I * 1.45 , D * 1.29 , S * 1.03 , R * 2.47 .
( H 1 ) ε δ 2 0.0544 > 0.0247 ( ζ + d ) ( ε + d ) d . ( H 2 ) Δ 1 1.552 > 0 , Δ 2 0.877 > 0 , Δ 3 0.099 > 0 , Δ 4 0.001 > 0 . ( H 3 ) g 0 0.00004 < 0 , ( H 4 ) β 1 μ 1 + β 2 μ 2 > 0 .
From the above calculations, it can be observed that, for system (2), there exists an equilibrium point P * = ( 1.45 , 1.29 , 1.03 , 2.47 ) where the rumor prevails, and assumptions ( H 1 ) ( H 4 ) are all satisfied.
This section is dedicated to investigating the stability and bifurcation behavior of system (2) across diverse fractional orders, with the objective of validating the conclusions reached previously. Firstly, when we set α = 1 , system (2) can be considered as an integer-order model. Meanwhile, the impact of incorporating the time delay parameter into system (2) is investigated.
Subsequently, by setting α to 0.98, 0.95, and 0.90, respectively, we explore the stability of system (2) and the variations in the bifurcation positions. When α = 1 , system (2) can be regarded as an integer-order rumor propagation model. At this time, the Hopf bifurcation point is τ 0 = 10.49 . The specific graphical results are presented in Figure 2a,b.
As can be seen from Figure 2a,b, when the time delay parameter τ = 0 , the integer-order rumor propagation model (2) attains a steady state at a relatively rapid rate. From a biological standpoint, this indicates that, in the absence of considering the time delay parameter, the densities of rumor-ignorant individuals, rumor-considering individuals, rumor-spreading individuals, and rumor-removed individuals reach a stable state at a relatively rapid pace. Nevertheless, in real-world situations, rumors do not invariably achieve stability promptly. Introducing the time delay parameter renders the model more faithful to reality. The specific simulation results are presented in Figure 3.
Figure 3 shows the stable waveform and phase diagrams for α = 1 , τ = 10.2 < τ 0 = 10.49 . In Figure 3a, it is shown that, upon the introduction of the time delay parameter, system (2) requires a significantly longer period to attain a steady state and demonstrates frequent oscillations prior to stabilization. Both Figure 3b,c converge towards a limit point. From a biological perspective, this offers a more realistic reference in comparison to Figure 2.
Figure 4 shows the unstable situation when α = 1 and τ = 10.8 > τ 0 = 10.49 . In Figure 4a, the oscillations persist continuously. Figure 4b,c display the formation of a distinct limit cycle. Furthermore, when α = 0.98 , calculations indicate that the Hopf bifurcation point of the fractional-order system (2) is τ 1 = 11.29 .
Figure 5a–c show the stable waveform and phase diagrams for α = 0.98 , τ = 10.8 < τ 1 = 11.29 , in which the rumor reaches an equilibrium state.
Figure 6 shows the unstable situation when α = 0.98 and τ = 12 > τ 1 = 11.29 . In Figure 6a, the oscillations continue unabated. Figure 6b,c illustrate the formation of a well-defined limit cycle. Furthermore, when α = 0.95 , calculations reveal that the Hopf bifurcation point of the fractional-order system (2) is τ 2 = 12.25 .
Figure 7a–c depict the stable waveform graph and phase diagrams for the case when α = 0.95 and τ = 12 < τ 2 = 12.25 . At this point, the rumor attains a steady state.
Figure 8 shows the unstable situation when α = 0.95 and τ = 13.3 > τ 2 = 11.25 . In Figure 8a, the oscillations persist without interruption. Figure 8b,c demonstrate the formation of a well-defined limit cycle. Moreover, when α = 0.90 , calculations indicate that the Hopf bifurcation point of the fractional-order system (2) is τ 3 = 14.39 .
Figure 9a–c show the stable waveform and phase diagrams for the situation where α = 0.90 and τ = 13.3 < τ 3 = 14.39 . At this juncture, the rumor attains a steady state.
Figure 10 shows the unstable situation when α = 0.90 and τ = 16.4 > τ 3 = 14.39 . In Figure 10a, the oscillations continue in a continuous manner. Figure 10b,c display the formation of a distinct limit cycle.
Remark 1.
By summarizing the four examples presented above, the bifurcation values corresponding to different fractional orders were computed, and Figure 11 was generated. As the fractional order continuously increases, the critical bifurcation value at time delays gradually decreases, remarkably reducing the stable region.
Remark 2.
Based on the numerical simulations presented above, it can be inferred that the bifurcation parameter of system (2) is τ i ( i = 0 , 1 , 2 , 3 ) . The system becomes unstable when τ > τ i , while it maintains stability when τ < τ i . Moreover, a lower order of system (2) is associated with a larger bifurcation parameter τ i , suggesting that the stability region of the system gradually broadens as its order decreases.

5. Conclusions

This study discusses the IDSR rumor propagation model and explores the conditions for Hopf bifurcation in the fractional-order time delay rumor propagation model through the distribution of the model’s characteristic roots. Furthermore, the bifurcation dynamics of the model are investigated. Numerical validation reveals that the model possesses a positive equilibrium point, and the dynamic behavior at this point exhibits a Hopf bifurcation, with the bifurcation point denoted as τ i . When τ > τ i , the phase diagram at the positive equilibrium point exhibits an unstable limit cycle. Conversely, when τ < τ i , the phase diagram at the positive equilibrium point converges to a limit point, indicating that the system is locally asymptotically stable. Further analysis demonstrates that, compared to the integer-order model, the bifurcation point of the fractional-order rumor propagation model gradually increases as the order decreases, significantly expanding the stable region. This implies that a larger time delay parameter is permissible under stable conditions. The lower the fractional order of the system, the stronger the memory effect of the system. Owing to the introduction of fractional-order derivatives, the model exhibits strong memory effects that better reflect the rumor propagation process in real-world scenarios. Numerical examples verify the accuracy of the results of this study.
Although the rumor propagation model constructed in this paper based on fractional-order differential equations has partially revealed the propagation dynamics under non-local memory effects, the information interactions within complex social environments still present multi-dimensional expansion possibilities. In subsequent work, we plan to incorporate the Holling type III functional response to simulate critical threshold phenomena in rumor propagation, while accounting for transitions between IDSR compartments to construct the following model.
D t α I t = μ + ζ R t β I t τ S 2 t τ 1 + b 1 S t τ + b 2 S 2 t τ ( ε + μ ) I t , D t α D t = β I t τ S 2 t τ 1 + b 1 S t τ + b 2 S 2 t τ ν D t ( λ + μ ) D t , D t α S t = ν D t ( γ + μ ) S t , D t α R t = ε I t + λ D t + γ S t ( ζ + μ ) R t .

Author Contributions

Conceptualization, Y.N. and A.M.; methodology, Y.N.; software, Y.N.; validation, Y.N. and A.M.; formal analysis, Y.N. and A.M.; writing—original draft preparation, Y.N. and A.M.; writing—review and editing, Y.N. and A.M.; supervision, A.M. All authors have read and agreed to the published version of the manuscript.

Funding

This research is supported by the Open Project of Xinjiang Key Laboratory of Applied Mathematics (grant no. 2023D04045).

Data Availability Statement

There are no data associated with this paper.

Conflicts of Interest

The authors declare that they have no competing interests.

References

  1. Sahafizadeh, E.; Ladani, B.T. The impact of group propagation on rumor spreading in mobile social networks. Phys. A Stat. Mech. Appl. 2018, 506, 412–423. [Google Scholar] [CrossRef]
  2. Zhu, L.; Liu, M.; Li, Y. The dynamics analysis of a rumor propagation model in online social networks. Phys. A Stat. Mech. Appl. 2019, 520, 118–137. [Google Scholar] [CrossRef]
  3. Ghosh, M.; Das, P.; Das, P. A comparative study of deterministic and stochastic dynamics of rumor propagation model with counter-rumor spreader. Nonlinear Dyn. 2023, 111, 16875–16894. [Google Scholar] [CrossRef]
  4. Zhu, H.; Zhang, X.; Wang, L. Stability and Hopf bifurcation analyses of a delayed rumor spreading model and its discontinuous Control. Int. J. Bifurc. Chaos 2022, 32, 2250242. [Google Scholar] [CrossRef]
  5. Jia, P.; Wang, C.; Zhang, G.; Ma, J. A rumor spreading model based on two propagation channels in social networks. Phys. A Stat. Mech. Appl. 2019, 524, 342–353. [Google Scholar] [CrossRef]
  6. Ke, Y.; Zhu, L.; Wu, P.; Shi, L. Dynamics of a reaction-diffusion rumor propagation model with non-smooth control. Appl. Math. Comput. 2022, 435, 127478. [Google Scholar] [CrossRef]
  7. Zhao, L.; Wang, J.; Chen, Y.; Wang, Q.; Cheng, J.; Cui, H. SIHR rumor spreading model in social networks. Phys. A Stat. Mech. Appl. 2012, 391, 2444–2453. [Google Scholar] [CrossRef]
  8. Hu, Y.; Pan, Q.; Hou, W.; He, M. Rumor spreading model with the different attitudes towards rumors. Phys. A Stat. Mech. Appl. 2018, 502, 331–344. [Google Scholar] [CrossRef]
  9. Li, P.; Gao, R.; Xu, C.; Li, Y.; Akgül, A.; Baleanu, D. Dynamics exploration for a fractional-order delayed zooplankton-phytoplankton system. Chaos Solitons Fractals 2023, 166, 112975. [Google Scholar] [CrossRef]
  10. Teodoro, G.S.; Machado, J.A.T.; De Oliveira, E.C. A review of definitions of fractional derivatives and other operators. J. Comput. Phys. 2019, 388, 195–208. [Google Scholar] [CrossRef]
  11. Singh, J. A new analysis for fractional rumor spreading dynamical model in a social network with Mittag-Leffler law. Chaos Interdiscip. J. Nonlinear Sci. 2019, 29, 013137. [Google Scholar] [CrossRef] [PubMed]
  12. Li, L.; Li, Y.; Zhang, J. A fractional-order SIR-C cyber rumor propagation prediction model with a clarification mechanism. Axioms 2022, 11, 603. [Google Scholar] [CrossRef]
  13. Zhou, J.; Ye, Y.; Arenas, A.; Gómez, S.; Zhao, Y. Pattern formation and bifurcation analysis of delay induced fractional-order epidemic spreading on networks. Chaos Solitons Fractals 2023, 174, 113805. [Google Scholar] [CrossRef]
  14. Yue, X.; Zhu, W. The dynamics and control of an ISCRM fractional-order rumor propagation model containing media reports. AIMS Math. 2024, 9, 9721–9745. [Google Scholar] [CrossRef]
  15. Wang, N.; Xiao, M.; Chen, S.; Lu, Y. Stability analysis of a fractional rumor spreading model with time delay. In Proceedings of the 2021 China Automation Congress (CAC), Beijing, China, 22–24 October 2021; IEEE: Piscataway, NJ, USA, 2021; pp. 5245–5250. [Google Scholar]
  16. Petráš, I. Fractional-Order Nonlinear Systems: Modeling, Analysis and Simulation; Springer Science & Business Media: Heidelberg/Berlin, Germany, 2011. [Google Scholar]
  17. Deng, W.; Li, C.; Lu, J. Stability analysis of linear fractional differential system with multiple time delays. Nonlinear Dyn. 2007, 48, 409–416. [Google Scholar] [CrossRef]
  18. Li, C.; Zhao, Z. Asymptotical stability analysis of linear fractional differential systems. J. Shanghai Univ. (Engl. Ed.) 2009, 13, 197–206. [Google Scholar] [CrossRef]
Figure 1. The state transition diagram.
Figure 1. The state transition diagram.
Fractalfract 09 00242 g001
Figure 2. The local asymptotic stability diagram of system (2) at P * when α = 1 and τ = 0 .
Figure 2. The local asymptotic stability diagram of system (2) at P * when α = 1 and τ = 0 .
Fractalfract 09 00242 g002
Figure 3. When α = 1 , τ = 10.2 , system (2) is locally asymptotically stable at P * .
Figure 3. When α = 1 , τ = 10.2 , system (2) is locally asymptotically stable at P * .
Fractalfract 09 00242 g003
Figure 4. When α = 1 , τ = 10.8 , system (2) is unstable at P * .
Figure 4. When α = 1 , τ = 10.8 , system (2) is unstable at P * .
Fractalfract 09 00242 g004
Figure 5. When α = 0.98 , τ = 10.8 , system (2) is locally asymptotically stable at P * .
Figure 5. When α = 0.98 , τ = 10.8 , system (2) is locally asymptotically stable at P * .
Fractalfract 09 00242 g005
Figure 6. When α = 0.98 , τ = 12 , system (2) is unstable at P * .
Figure 6. When α = 0.98 , τ = 12 , system (2) is unstable at P * .
Fractalfract 09 00242 g006
Figure 7. When α = 0.95 , τ = 12 , system (2) is locally asymptotically stable at P * .
Figure 7. When α = 0.95 , τ = 12 , system (2) is locally asymptotically stable at P * .
Fractalfract 09 00242 g007
Figure 8. When α = 0.95 , τ = 13.3 , system (2) is unstable at P * .
Figure 8. When α = 0.95 , τ = 13.3 , system (2) is unstable at P * .
Fractalfract 09 00242 g008
Figure 9. When α = 0.90 , τ = 13.3 , system (2) is locally asymptotically stable at P * .
Figure 9. When α = 0.90 , τ = 13.3 , system (2) is locally asymptotically stable at P * .
Fractalfract 09 00242 g009
Figure 10. When α = 0.90 , τ = 16.4 , system (2) is unstable at P * .
Figure 10. When α = 0.90 , τ = 16.4 , system (2) is unstable at P * .
Fractalfract 09 00242 g010
Figure 11. The impact of the fractional-order sequence on the bifurcation point τ i (i = 0, 1, 2, 3).
Figure 11. The impact of the fractional-order sequence on the bifurcation point τ i (i = 0, 1, 2, 3).
Fractalfract 09 00242 g011
Disclaimer/Publisher’s Note: The statements, opinions and data contained in all publications are solely those of the individual author(s) and contributor(s) and not of MDPI and/or the editor(s). MDPI and/or the editor(s) disclaim responsibility for any injury to people or property resulting from any ideas, methods, instructions or products referred to in the content.

Share and Cite

MDPI and ACS Style

Niu, Y.; Muhammadhaji, A. Dynamics of a Fractional-Order IDSR Rumor Propagation Model with Time Delays. Fractal Fract. 2025, 9, 242. https://doi.org/10.3390/fractalfract9040242

AMA Style

Niu Y, Muhammadhaji A. Dynamics of a Fractional-Order IDSR Rumor Propagation Model with Time Delays. Fractal and Fractional. 2025; 9(4):242. https://doi.org/10.3390/fractalfract9040242

Chicago/Turabian Style

Niu, Yahui, and Ahmadjan Muhammadhaji. 2025. "Dynamics of a Fractional-Order IDSR Rumor Propagation Model with Time Delays" Fractal and Fractional 9, no. 4: 242. https://doi.org/10.3390/fractalfract9040242

APA Style

Niu, Y., & Muhammadhaji, A. (2025). Dynamics of a Fractional-Order IDSR Rumor Propagation Model with Time Delays. Fractal and Fractional, 9(4), 242. https://doi.org/10.3390/fractalfract9040242

Article Metrics

Back to TopTop