Second-Order Predefined-Time Terminal Sliding Mode Control for Speed Regulation System of Permanent Magnet Synchronous Motor
Abstract
1. Introduction
2. Mathematical Model
2.1. Mathematical Model of PMSM
2.2. Second-Order State Equation
3. Fractional Robust Control Design
3.1. Preliminaries
3.2. Controller Design for Second-Order Nonlinear SISO System
3.2.1. The Novel Controller Design with PTSM-LSM
3.2.2. The Novel Controller Design with PTSM-PTSM
3.2.3. The Robust Controller Design with PTSM-PTSM
3.3. SPTSM Controller Design for Speed Regulation System of PMSM
4. Results and Discussion
4.1. Parameters of PMSM
4.2. Influence of Controller Parameters
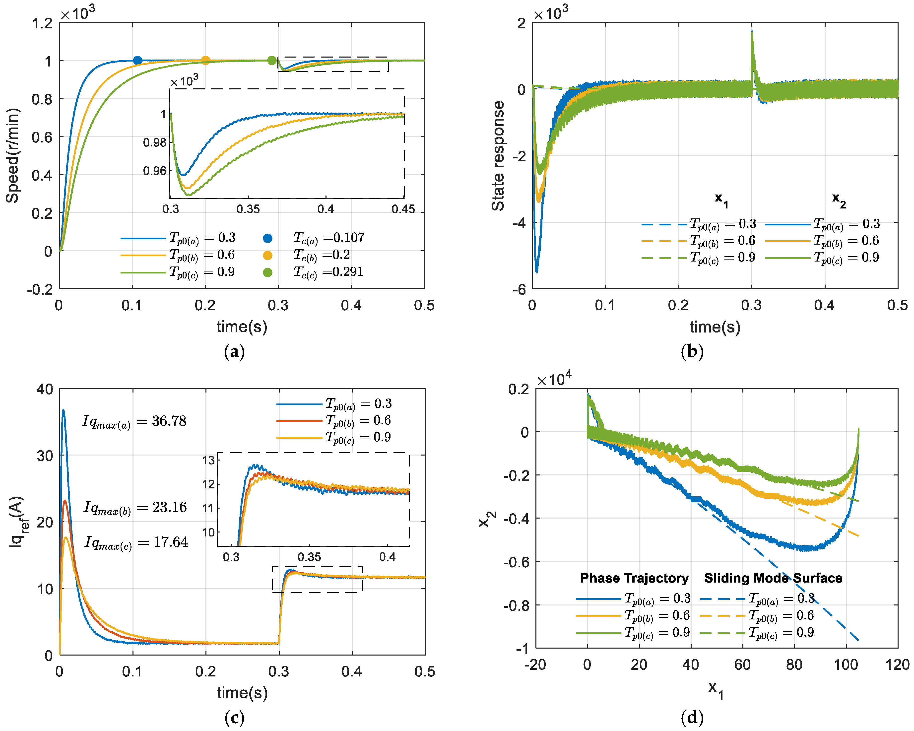
4.2.1. Comparison Results of Different
4.2.2. Comparison Results of Different
4.2.3. Comparison Results of Different
4.2.4. Comparison Results of Different
4.3. Comparative Simulation
4.3.1. Comparative Controllers Design
- Controller design with PTSM-LSM
- 2.
- Controller design with FTSM-LSM
- 3.
- Controller design with FTSM-FTSM
4.3.2. Simulation Results and Discussion
4.4. Comparative Experiments
- 4.
- Dynamic responses test
- 5.
- Robust test
5. Conclusions
- (1)
- This paper investigates the influence of several parameters in the second-order predefined-time terminal sliding mode (SPTSM), which significantly impact the system convergence effect and the convergence speed. The experimental results indicate that the conclusion offers certain guidance for the selection of parameters in controller design.
- (2)
- By comparing the control input signals of four different control methods, both the simulation and the experimental results demonstrate that in the initial stage without an external load, a larger control input leads to a higher convergence rate of the system state. Among these methods, the PTSM-PTSM method shows a relatively faster convergence rate of the system state. Specifically, its experimental convergence time is 35.2% less than that of PTSM-LSM, 27.7% less than that of FTSM-FTSM, and 34.8% less than that of FTSM-LSM.
- (3)
- When comparing the step responses and robust test with the load disturbance of four different control methods, the simulation and experimental results show that the following:
- (a)
- In the step responses stage, the control law of the speed regulation system of PMSM based on PTSM-PTSM has a faster convergence time than the other three control methods and does not exhibit overshoot during the process of converging to the stable state.
- (b)
- In the robust test with the load disturbance stage, the PTSM-PTSM method demonstrates better robustness than other three control methods.
- (1)
- It is anticipated that the methodologies employed in this paper will be valuable in extending their application to other domains.
- (2)
- The SPTSM, which is proposed in this paper, is capable of being extrapolated to high-order nonlinear control systems.
- (3)
- The motor control system is governed by both the speed loop and the current loop. However, in this study, the current control system was not the primary focus. In the subsequent research, we will delve deeper into the control problems of the Multiple-Input Multiple-Output (MIMO) system based on SMC within the PMSM current loop system.
Author Contributions
Funding
Data Availability Statement
Conflicts of Interest
References
- Jing, Z.; Yu, C.; Chen, G. Complex dynamics in a permanent-magnet synchronous motor model. Chaos Solitons Fractals 2004, 22, 831–848. [Google Scholar] [CrossRef]
- Huang, G.; Wang, Q.; Zhang, N.; Jiang, C.; Ding, H. A Novel reaching law sliding mode control method of PMSM considering iron loss. J. Frankl. Inst. 2024, 361, 106857. [Google Scholar] [CrossRef]
- Zheng, W.; Huang, R.; Luo, Y.; Chen, Y.; Wang, X.; Chen, Y. A Look-Up Table Based Fractional Order Composite Controller Synthesis Method for the PMSM Speed Servo System. Fractal Fract. 2022, 6, 47. [Google Scholar] [CrossRef]
- Wang, B.; Wang, S.; Peng, Y.; Pi, Y.; Luo, Y. Design and High-Order Precision Numerical Implementation of Fractional-Order PI Controller for PMSM Speed System Based on FPGA. Fractal Fract. 2022, 6, 218. [Google Scholar] [CrossRef]
- Niu, H.; Liu, L.; Jin, D.; Liu, S. High-Tracking-Precision Sensorless Control of PMSM System Based on Fractional Order Model Reference Adaptation. Fractal Fract. 2022, 7, 21. [Google Scholar] [CrossRef]
- Wang, S.; Gan, H.; Luo, Y.; Luo, X.; Chen, Y. A Fractional-Order ADRC Architecture for a PMSM Position Servo System with Improved Disturbance Rejection. Fractal Fract. 2024, 8, 54. [Google Scholar] [CrossRef]
- Moon, H.T.; Kim, H.S.; Youn, M.J. A discrete-time predictive current control for PMSM. IEEE Trans. Power Electron. 2003, 18, 464–472. [Google Scholar] [CrossRef]
- Chen, C.-S.; Lin, W.-C. Self-adaptive interval type-2 neural fuzzy network control for PMLSM drives. Expert Syst. Appl. 2011, 38, 14679–14689. [Google Scholar] [CrossRef]
- Ullah, A.; Pan, J.; Ullah, S.; Zhang, Z. Robust Speed Control of Permanent Magnet Synchronous Motor Drive System Using Sliding-Mode Disturbance Observer-Based Variable-Gain Fractional-Order Super-Twisting Sliding-Mode Control. Fractal Fract. 2024, 8, 368. [Google Scholar] [CrossRef]
- Hou, H.; Yu, X.; Xu, L.; Rsetam, K.; Cao, Z. Finite-time continuous terminal sliding mode control of servo motor systems. IEEE Trans. Ind. Electron. 2020, 67, 5647–5656. [Google Scholar] [CrossRef]
- Gil, J.; You, S.; Lee, Y.; Kim, W. Nonlinear sliding mode controller using disturbance observer for permanent magnet synchronous motors under disturbance. Expert Syst. Appl. 2023, 214, 119085. [Google Scholar] [CrossRef]
- Yao, Y.; Li, Y.; Yin, Q. A novel method based on self-sensing motor drive system for misalignment detection. Mech. Syst. Signal Proc. 2019, 116, 217–229. [Google Scholar] [CrossRef]
- Cao, Q.; Wei, D.Q. Dynamic surface sliding mode control of chaos in the fourth-order power system. Chaos Solitons Fractals 2023, 170, 113420. [Google Scholar] [CrossRef]
- Chen, Y.; Wang, B.; Chen, Y.; Wang, Y. Sliding Mode Control for a Class of Nonlinear Fractional Order Systems with a Fractional Fixed-Time Reaching Law. Fractal Fract. 2022, 6, 678. [Google Scholar] [CrossRef]
- Poursamad, A.; Markazi, A.H.D. Adaptive fuzzy sliding-mode control for multi-input multi-output chaotic systems. Chaos Solitons Fractals 2009, 42, 3100–3109. [Google Scholar] [CrossRef]
- Jing, C.; Ma, X.; Zhang, K.; Wang, Y.; Yan, B.; Hui, Y. Actor-Critic Neural-Network-Based Fractional-Order Sliding Mode Control for Attitude Tracking of Spacecraft with Uncertainties and Actuator Faults. Fractal Fract. 2024, 8, 385. [Google Scholar] [CrossRef]
- Mozayan, S.M.; Saad, M.; Vahedi, H.; Fortin-Blanchette, H.; Soltani, M. Sliding mode control of PMSG wind turbine based on enhanced exponential reaching law. IEEE Trans. Ind. Electron. 2016, 63, 6148–6159. [Google Scholar] [CrossRef]
- Kim, K.-S.; Park, Y.; Oh, S.-H. Designing robust sliding hyperplanes for parametric uncertain systems: A Riccati approach. Automatica 2000, 36, 1041–1048. [Google Scholar] [CrossRef]
- Nekoo, S.R. Digital implementation of a continuous-time nonlinear optimal controller: An experimental study with real-time computations. ISA Trans. 2020, 101, 346–357. [Google Scholar] [CrossRef] [PubMed]
- Wang, J.; Chen, M.Z.Q.; Zhang, L. Observer-based discrete-time sliding mode control for systems with unmatched uncertainties. J. Frankl. Inst. 2021, 358, 8470–8484. [Google Scholar] [CrossRef]
- Wu, Y.; Man, Z.; Yu, X. Terminal sliding mode control design for uncertain dynamic systems. Syst. Control. Lett. 1998, 34, 281–287. [Google Scholar] [CrossRef]
- Wang, C. Adaptive Terminal Sliding-Mode Synchronization Control with Chattering Elimination for a Fractional-Order Chaotic System. Fractal Fract. 2024, 8, 188. [Google Scholar] [CrossRef]
- Feng, Y.; Yu, X.; Han, F. On nonsingular terminal sliding-mode control of nonlinear systems. Automatica 2013, 49, 1715–1722. [Google Scholar] [CrossRef]
- Jiang, J.; Chen, H.; Cao, D.; Guirao, J.L.G. The global sliding mode tracking control for a class of variable order fractional differential systems. Chaos Solitons Fractals 2022, 154, 111674. [Google Scholar] [CrossRef]
- Lu, S.; Wang, X.; Li, Y. Adaptive neural network finite-time command filtered tracking control of fractional-order permanent magnet synchronous motor with input saturation. J. Frankl. Inst. 2020, 357, 13707–13733. [Google Scholar] [CrossRef]
- Jia, T.; Chen, X.; He, L.; Zhao, F.; Qiu, J. Finite-Time Synchronization of Uncertain Fractional-Order Delayed Memristive Neural Networks via Adaptive Sliding Mode Control and Its Application. Fractal Fract. 2022, 6, 502. [Google Scholar] [CrossRef]
- Ding, L.; Xia, T.; Ma, R.; Liang, D.; Lu, M.; Wu, H. Enhanced Impedance Control of Cable-Driven Unmanned Aerial Manipulators Using Fractional-Order Nonsingular Terminal Sliding Mode Control with Disturbance Observer Integration. Fractal Fract. 2024, 8, 579. [Google Scholar] [CrossRef]
- Labbadi, M.; Boubaker, S.; Djemai, M.; Mekni, S.K.; Bekrar, A. Fixed-Time Fractional-Order Global Sliding Mode Control for Nonholonomic Mobile Robot Systems under External Disturbances. Fractal Fract. 2022, 6, 177. [Google Scholar] [CrossRef]
- Shao, K.-Y.; Feng, A.; Wang, T.-T. Fixed-Time Sliding Mode Synchronization of Uncertain Fractional-Order Hyperchaotic Systems by Using a Novel Non-Singleton-Interval Type-2 Probabilistic Fuzzy Neural Network. Fractal Fract. 2023, 7, 247. [Google Scholar] [CrossRef]
- Benaddy, A.; Labbadi, M.; Elyaalaoui, K.; Bouzi, M. Fixed-Time Fractional-Order Sliding Mode Control for UAVs under External Disturbances. Fractal Fract. 2023, 7, 775. [Google Scholar] [CrossRef]
- Xue, H.; Liu, X. A novel fast terminal sliding mode with predefined-time synchronization. Chaos Solitons Fractals 2023, 175, 114049. [Google Scholar] [CrossRef]
- Anguiano-Gijón, C.A.; Muñoz-Vázquez, A.J.; Sánchez-Torres, J.D.; Romero-Galván, G.; Martínez-Reyes, F. On predefined-time synchronisation of chaotic systems. Chaos Solitons Fractals 2019, 122, 172–178. [Google Scholar] [CrossRef]
- Munoz-Vazquez, A.J.; Sanchez-Torres, J.D.; Jimenez-Rodriguez, E.; Loukianov, A.G. Predefined-time robust stabilization of robotic manipulators. IEEE-ASME Trans Mechatron. 2019, 24, 1033–1040. [Google Scholar] [CrossRef]
- Zhang, R.; Xu, B.; Zhao, W. Finite-time prescribed performance control of MEMS gyroscopes. Nonlinear Dyn. 2020, 101, 2223–2234. [Google Scholar] [CrossRef]
- Song, S.; Xing, L.; Song, X.; Tejado, I. Event-Triggered Fuzzy Adaptive Predefined-Time Control for Fractional-Order Nonlinear Systems with Time-Varying Deferred Constraints and Its Application. Fractal Fract. 2024, 8, 613. [Google Scholar] [CrossRef]
- Ni, J.-K.; Liu, C.-X.; Liu, K.; Liu, L. Finite-time sliding mode synchronization of chaotic systems. Chin. Phys. B 2014, 23, 100504. [Google Scholar] [CrossRef]
- Zhang, M.; Zang, H.; Bai, L. A new predefined-time sliding mode control scheme for synchronizing chaotic systems. Chaos Solitons Fractals 2022, 164, 112745. [Google Scholar] [CrossRef]
- Zhang, S.; Wang, C.; Zhang, H.; Ma, P.; Li, X. Dynamic analysis and bursting oscillation control of fractional-order permanent magnet synchronous motor system. Chaos Solitons Fractals 2022, 156, 111809. [Google Scholar] [CrossRef]
- Sánchez-Torres, J.D.; Gómez-Gutiérrez, D.; López, E.; Loukianov, A.G. A class of predefined-time stable dynamical systems. IMA J. Math. Control Inf. 2018, 35, i1–i29. [Google Scholar] [CrossRef]
- Abudusaimaiti, M.; Abdurahman, A.; Jiang, H.; Hu, C. Fixed/predefined-time synchronization of fuzzy neural networks with stochastic perturbations. Chaos Solitons Fractals 2022, 154, 111596. [Google Scholar] [CrossRef]
- Chen, C.; Mi, L.; Liu, Z.; Qiu, B.; Zhao, H.; Xu, L. Predefined-time synchronization of competitive neural networks. Neural Netw. 2021, 142, 492–499. [Google Scholar] [CrossRef] [PubMed]
- Salle, J.L.; Lefschetz, S.; Alverson, R.C. Stability by Liapunov’s Direct Method With Applications; Academic Press: New York, NY, USA, 1961. [Google Scholar]
- Huang, P.; Zhang, Z.; Gao, Y. Amplitude-saturated control of underactuated double-pendulum tower cranes: Design and experiments. Mech. Syst. Signal Proc. 2025, 228, 112419. [Google Scholar] [CrossRef]
- Gallegos, J.A.; Duarte-Mermoud, M.A. On the Lyapunov theory for fractional order systems. Appl. Math. Comput. 2016, 287, 161–170. [Google Scholar] [CrossRef]
- Yu, X.; Zhihong, M. Fast terminal sliding-mode control design for nonlinear dynamical systems. IEEE Trans. Circuits Syst. I-Regul. Pap. 2002, 49, 261–264. [Google Scholar] [CrossRef]
- Wang, Y.; Feng, Y.; Zhang, X.; Liang, J. A new reaching law for antidisturbance sliding-mode control of PMSM speed regulation system. IEEE Trans. Power Electron. 2020, 35, 4117–4126. [Google Scholar] [CrossRef]
- Liu, J. Sliding Mode Control Using MATLAB; Elsevier Inc.: Amsterdam, The Netherlands; Tsinghua University: Beijing, China, 2017; p. 346. [Google Scholar]
- Arellano-Padilla, J.; Asher, G.M.; Sumner, M. Control of an AC Dynamometer for Dynamic Emulation of Mechanical Loads With Stiff and Flexible Shafts. IEEE Trans. Ind. Electron. 2006, 53, 1250–1260. [Google Scholar] [CrossRef]










| Name | Symbol | Value and Unit |
|---|---|---|
| Maximum power | W | |
| DC-link voltage | V | |
| Number of pole pairs | 4 | |
| Resistance (ph-ph) | Ω | |
| Inductance (ph-ph) | H | |
| Permanent-magnet flux linkage | Wb | |
| Inertia | ||
| Maximum speed. | r/min |
| Group | ||||||||
|---|---|---|---|---|---|---|---|---|
| (a) | 33.33 | 8.33 | 33.33 | 0.6 | 100 | 5 | 500 | 0.6 |
| (b) | 16.67 | 4.17 | 16.67 | 0.6 | 100 | 5 | 500 | 0.6 |
| (c) | 11.11 | 2.78 | 11.11 | 0.6 | 100 | 5 | 500 | 0.6 |
| Group | ||||||||
|---|---|---|---|---|---|---|---|---|
| (a) | 33.33 | 8.33 | 33.33 | 0.6 | 100 | 5 | 500 | 0.6 |
| (b) | 33.33 | 8.33 | 33.33 | 0.6 | 20 | 1 | 100 | 0.6 |
| (c) | 33.33 | 8.33 | 33.33 | 0.6 | 11.11 | 0.56 | 55.56 | 0.6 |
| Group | ||||||||
|---|---|---|---|---|---|---|---|---|
| (a) | 33.33 | 5.00 | 55.56 | 0.6 | 100 | 5 | 500 | 0.6 |
| (b) | 33.33 | 16.67 | 16.67 | 0.6 | 100 | 5 | 500 | 0.6 |
| (c) | 33.33 | 25.00 | 11.11 | 0.6 | 100 | 5 | 500 | 0.6 |
| Group | ||||||||
|---|---|---|---|---|---|---|---|---|
| (a) | 33.33 | 8.33 | 33.33 | 0.600 | 100 | 5 | 500 | 0.6 |
| (b) | 46.67 | 11.67 | 46.67 | 0.714 | 100 | 5 | 500 | 0.6 |
| (c) | 60.00 | 15.00 | 60.00 | 0.778 | 100 | 5 | 500 | 0.6 |
Disclaimer/Publisher’s Note: The statements, opinions and data contained in all publications are solely those of the individual author(s) and contributor(s) and not of MDPI and/or the editor(s). MDPI and/or the editor(s) disclaim responsibility for any injury to people or property resulting from any ideas, methods, instructions or products referred to in the content. |
© 2025 by the authors. Licensee MDPI, Basel, Switzerland. This article is an open access article distributed under the terms and conditions of the Creative Commons Attribution (CC BY) license (https://creativecommons.org/licenses/by/4.0/).
Share and Cite
Xue, H.; Liu, X. Second-Order Predefined-Time Terminal Sliding Mode Control for Speed Regulation System of Permanent Magnet Synchronous Motor. Fractal Fract. 2025, 9, 180. https://doi.org/10.3390/fractalfract9030180
Xue H, Liu X. Second-Order Predefined-Time Terminal Sliding Mode Control for Speed Regulation System of Permanent Magnet Synchronous Motor. Fractal and Fractional. 2025; 9(3):180. https://doi.org/10.3390/fractalfract9030180
Chicago/Turabian StyleXue, Haibo, and Xinghua Liu. 2025. "Second-Order Predefined-Time Terminal Sliding Mode Control for Speed Regulation System of Permanent Magnet Synchronous Motor" Fractal and Fractional 9, no. 3: 180. https://doi.org/10.3390/fractalfract9030180
APA StyleXue, H., & Liu, X. (2025). Second-Order Predefined-Time Terminal Sliding Mode Control for Speed Regulation System of Permanent Magnet Synchronous Motor. Fractal and Fractional, 9(3), 180. https://doi.org/10.3390/fractalfract9030180

