Fractional Transfer Entropy Networks: Short- and Long-Memory Perspectives on Global Stock Market Interactions
Abstract
1. Introduction
2. Related Studies
3. Methodology
3.1. Fractional Transfer Entropy
3.2. Financial Network Formation
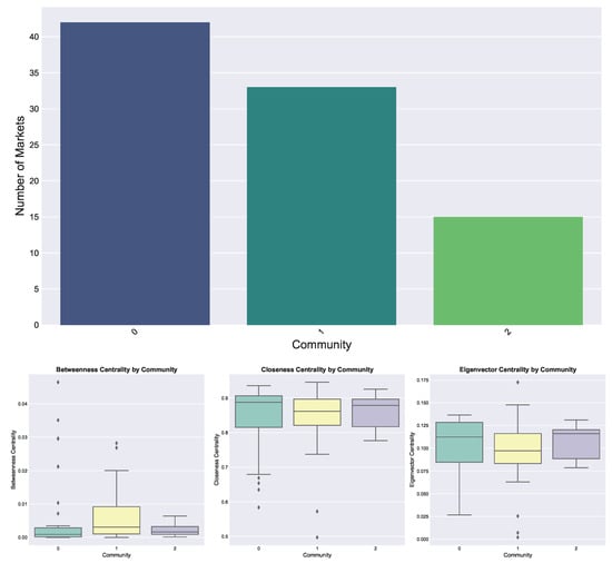
4. Results and Discussions
4.1. Dataset
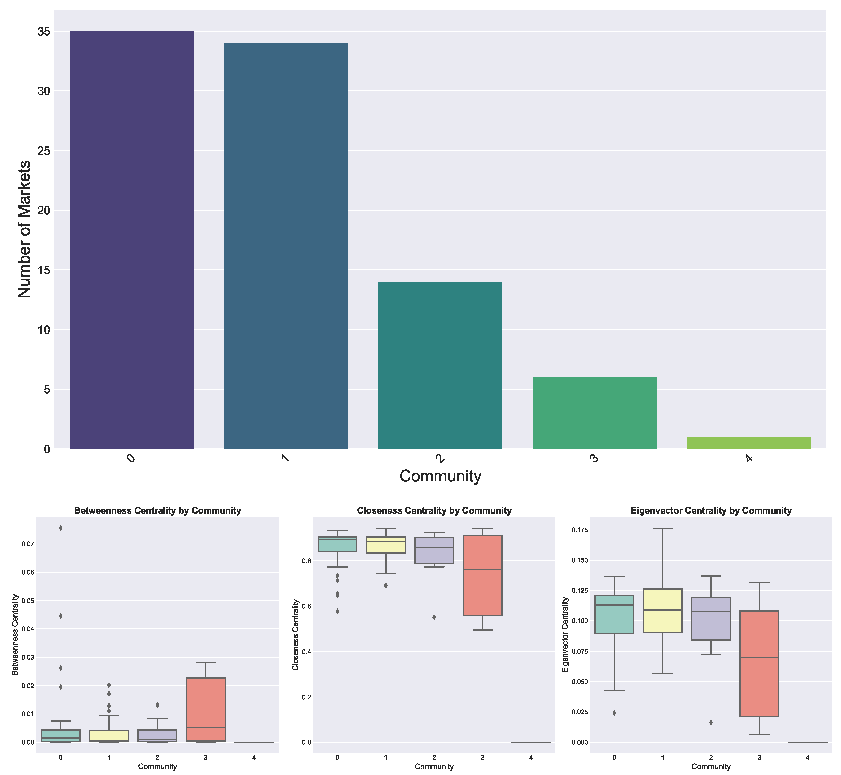
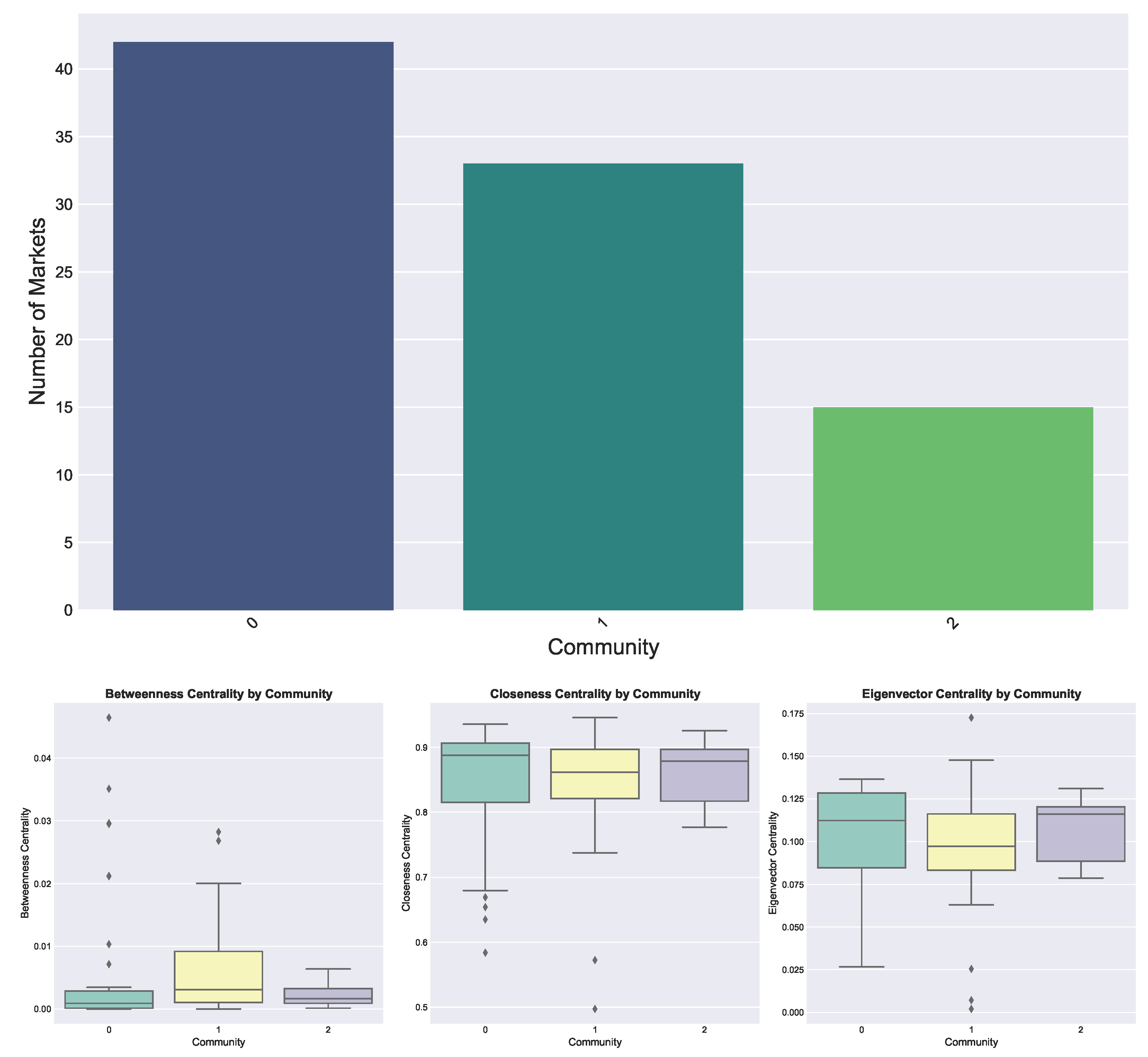
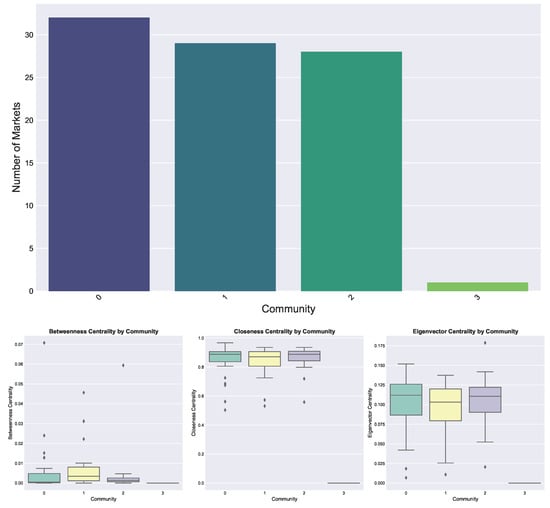
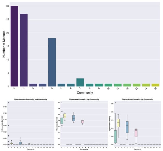
4.2. Results on and
4.3. Results on and
4.4. Results on and
4.5. Results on and
4.6. Comparative Discussions
5. Conclusions
Author Contributions
Funding
Data Availability Statement
Conflicts of Interest
Appendix A
| Country | Ticker | Min | Mean | Median | Max | Standard Deviation | Kurtosis | Skewness |
|---|---|---|---|---|---|---|---|---|
| Argentina | MERV | −0.1328 | 0.0049 | 0.0051 | 0.2057 | 0.0323 | 4.3415 | 0.0061 |
| Australia | AXJO | −0.0377 | 0.0003 | 0.0009 | 0.0173 | 0.0071 | 1.8279 | −0.6951 |
| Austria | ATX | −0.0651 | 0.0002 | 0.0007 | 0.0306 | 0.0091 | 7.8229 | −1.3708 |
| Bahrain | BAX | −0.0107 | 0.0001 | 0.0000 | 0.0370 | 0.0038 | 20.7964 | 2.2684 |
| Bangladesh | DSE | −0.0271 | −0.0003 | −0.0002 | 0.0532 | 0.0074 | 13.0246 | 1.5456 |
| Belgium | BFX | −0.0320 | 0.0002 | 0.0006 | 0.0336 | 0.0082 | 1.6061 | −0.0138 |
| Bosnia Herzegovina | BIRS | −0.0578 | 0.0002 | 0.0000 | 0.0798 | 0.0104 | 21.7436 | 0.9362 |
| Botswana | BSE | −0.0059 | 0.0005 | 0.0001 | 0.0192 | 0.0016 | 52.2879 | 5.3967 |
| Brazil | IBOV | −0.0243 | 0.0004 | −0.0001 | 0.0420 | 0.0093 | 0.5846 | 0.2778 |
| Bulgaria | SOFIX | −0.0420 | 0.0008 | 0.0006 | 0.0306 | 0.0062 | 7.6283 | −0.5644 |
| Canada | TSX | −0.0232 | 0.0004 | 0.0008 | 0.0283 | 0.0069 | 0.9433 | −0.2186 |
| Chile | CLX | −0.0349 | 0.0005 | 0.0003 | 0.0289 | 0.0094 | 0.6747 | −0.1095 |
| China | CSI | −0.0634 | −0.0003 | 0.0000 | 0.1057 | 0.0150 | 8.1915 | 0.8591 |
| China | SSEC | −0.0272 | 0.0001 | −0.0003 | 0.0776 | 0.0093 | 12.4206 | 1.8671 |
| China | SZSE | −0.0356 | −0.0002 | −0.0009 | 0.1014 | 0.0129 | 11.2706 | 1.9213 |
| Colombia | COLCAP | −0.0392 | −0.0001 | 0.0005 | 0.0359 | 0.0096 | 1.8415 | −0.2197 |
| Cote D’Ivoire | BRVM | −0.0403 | 0.0007 | 0.0008 | 0.0308 | 0.0071 | 4.8515 | −0.1669 |
| Croatia | CROBEX | −0.0279 | 0.0008 | 0.0005 | 0.0167 | 0.0050 | 3.6376 | −0.5186 |
| Cyprus | CYMAIN | −0.0795 | 0.0021 | 0.0009 | 0.0749 | 0.0126 | 9.5252 | 0.4423 |
| Czech Republic | PX | −0.0426 | 0.0005 | 0.0007 | 0.0181 | 0.0069 | 5.5586 | −1.2873 |
| Sweden | OMX | −0.0418 | 0.0004 | 0.0006 | 0.0344 | 0.0087 | 1.8354 | −0.2607 |
| Egypt | EGX | −0.0926 | 0.0023 | 0.0043 | 0.0468 | 0.0179 | 5.4877 | −1.6185 |
| Estonia | GTGI | −0.0280 | −0.0001 | −0.0003 | 0.0214 | 0.0049 | 5.2708 | −0.1018 |
| Finland | OMXH | −0.0332 | −0.0002 | −0.0002 | 0.0241 | 0.0085 | 0.4844 | −0.1125 |
| France | CAC | −0.0365 | 0.0002 | 0.0007 | 0.0231 | 0.0084 | 1.2151 | −0.4600 |
| Germany | DAX | −0.0332 | 0.0006 | 0.0009 | 0.0214 | 0.0079 | 1.3257 | −0.5519 |
| Germany | EUSTOXX | −0.0352 | 0.0004 | 0.0008 | 0.0233 | 0.0086 | 1.2117 | −0.3938 |
| Greece | ATG | −0.0647 | 0.0009 | 0.0012 | 0.0591 | 0.0108 | 5.7976 | −0.5201 |
| Hong Kong | HSI | −0.0378 | 0.0001 | −0.0002 | 0.0601 | 0.0143 | 0.5035 | 0.4554 |
| Hungary | BUX | −0.0317 | 0.0011 | 0.0011 | 0.0296 | 0.0086 | 1.6933 | −0.3400 |
| Iceland | ICEX | −0.0565 | −0.0002 | −0.0004 | 0.0525 | 0.0107 | 6.0030 | −0.0206 |
| India | BSESN | −0.0591 | 0.0007 | 0.0012 | 0.0333 | 0.0076 | 10.0719 | −1.0089 |
| India | NIMI | −0.0737 | 0.0014 | 0.0026 | 0.0379 | 0.0092 | 12.5656 | −1.9128 |
| Indonesia | JKSE | −0.0344 | 0.0003 | 0.0005 | 0.0170 | 0.0069 | 1.7150 | −0.6322 |
| Iraq | ISX | −0.0949 | 0.0023 | −0.0003 | 0.1000 | 0.0203 | 8.0912 | 0.8910 |
| Ireland | ISEQ | −0.0374 | 0.0005 | 0.0011 | 0.0379 | 0.0101 | 1.4377 | −0.3001 |
| Israel | TA | −0.0669 | 0.0003 | 0.0008 | 0.0296 | 0.0104 | 3.7900 | −0.7261 |
| Jamaica | JSE | −0.1131 | −0.0002 | −0.0003 | 0.0984 | 0.0100 | 60.0632 | −1.0151 |
| Jordan | AMGNL | −0.0228 | −0.0002 | −0.0001 | 0.0161 | 0.0040 | 3.0863 | −0.7068 |
| Kazakhstan | KASE | −0.0255 | 0.0010 | 0.0010 | 0.0215 | 0.0052 | 2.5213 | −0.2367 |
| Kuwait | BKM | −0.0266 | 0.0002 | 0.0003 | 0.0278 | 0.0070 | 1.9506 | −0.1487 |
| Latvia | RGI | −0.2256 | −0.0006 | −0.0002 | 0.0754 | 0.0157 | 101.9888 | −7.1920 |
| Lebanon | BLOM | −0.0745 | 0.0006 | 0.0000 | 0.0851 | 0.0165 | 5.8583 | 0.5043 |
| Lithuania | VGI | −0.0264 | 0.0001 | 0.0002 | 0.0117 | 0.0034 | 9.2178 | −1.2867 |
| Malaysia | KLCI | −0.0474 | 0.0002 | −0.0001 | 0.0244 | 0.0055 | 13.4460 | −1.2301 |
| Malta | MSE | −0.0236 | 0.0001 | 0.0000 | 0.0347 | 0.0059 | 4.4252 | 0.3304 |
| Mauritius | MDEX | −0.0173 | 0.0003 | 0.0002 | 0.0143 | 0.0031 | 5.3181 | 0.0873 |
| Mexico | BIVA | −0.0627 | −0.0001 | 0.0000 | 0.0330 | 0.0092 | 5.2621 | −0.6090 |
| Mongolia | MNE | −0.0374 | 0.0006 | 0.0005 | 0.0370 | 0.0094 | 2.0749 | −0.1050 |
| Morocco | MASI | −0.0289 | 0.0009 | 0.0007 | 0.0495 | 0.0063 | 10.1469 | 1.1797 |
| Namibia | NSX | −0.0483 | 0.0002 | 0.0002 | 0.0611 | 0.0126 | 2.2692 | 0.0603 |
| The Netherlands | AEX | −0.0316 | 0.0005 | 0.0005 | 0.0240 | 0.0077 | 1.5255 | −0.3166 |
| New Zealand | NZX | −0.0153 | 0.0001 | −0.0001 | 0.0265 | 0.0057 | 1.3351 | 0.5118 |
| Nigeria | NSE | −0.0625 | 0.0015 | 0.0004 | 0.0936 | 0.0103 | 19.8051 | 1.7372 |
| Norway | OSEBX | −0.0381 | 0.0004 | 0.0008 | 0.0246 | 0.0082 | 2.3007 | −0.6834 |
| Oman | MSM | −0.0259 | −0.0001 | 0.0002 | 0.0188 | 0.0047 | 3.0395 | −0.0915 |
| Pakistan | KSE | −0.0419 | 0.0017 | 0.0014 | 0.0574 | 0.0101 | 4.2444 | 0.1777 |
| Palestine | PLE | −0.0418 | −0.0007 | −0.0005 | 0.0224 | 0.0052 | 13.0132 | −1.6202 |
| Peru | SPBLP | −0.0274 | 0.0007 | 0.0005 | 0.0587 | 0.0086 | 4.8410 | 0.5677 |
| The Philippines | PSEI | −0.0298 | 0.0002 | 0.0002 | 0.0351 | 0.0090 | 0.4590 | −0.0658 |
| Poland | WIG | −0.0342 | 0.0005 | 0.0003 | 0.0472 | 0.0125 | 0.5246 | 0.2487 |
| Portugal | PSI | −0.0281 | 0.0003 | 0.0006 | 0.0344 | 0.0081 | 1.1147 | −0.2084 |
| Qatar | QSI | −0.0306 | −0.0002 | 0.0001 | 0.0287 | 0.0081 | 1.3649 | −0.1109 |
| Romania | BET | −0.0369 | 0.0008 | 0.0013 | 0.0229 | 0.0068 | 2.4162 | −0.5281 |
| Russia | MOEX | −0.0396 | 0.0006 | 0.0011 | 0.0371 | 0.0098 | 1.9100 | −0.3111 |
| Russia | RTS | −0.0406 | −0.0001 | 0.0004 | 0.0352 | 0.0119 | 0.6264 | −0.1015 |
| Rwanda | ALSIR | −0.0027 | 0.0001 | 0.0000 | 0.0038 | 0.0006 | 11.5586 | 1.3536 |
| Saudi Arabia | TASI | −0.0245 | 0.0003 | 0.0005 | 0.0252 | 0.0072 | 0.6871 | −0.2204 |
| Serbia | BELEX | −0.0299 | 0.0007 | 0.0006 | 0.0264 | 0.0062 | 4.1705 | −0.0711 |
| Singapore | STI | −0.0416 | 0.0002 | 0.0003 | 0.0197 | 0.0065 | 3.6688 | −0.5153 |
| Slovakia | SAX | −0.0780 | −0.0002 | 0.0000 | 0.0415 | 0.0076 | 31.3840 | −2.5749 |
| Slovenia | SBI | −0.0463 | 0.0009 | 0.0006 | 0.0315 | 0.0067 | 6.9273 | −0.7276 |
| South Africa | JTOP | −0.0301 | 0.0002 | 0.0001 | 0.0382 | 0.0099 | 0.9624 | 0.1819 |
| South Korea | KOSPI | −0.0946 | 0.0002 | 0.0001 | 0.0513 | 0.0123 | 8.4908 | −0.9491 |
| Spain | IBEX | −0.0446 | 0.0006 | 0.0007 | 0.0242 | 0.0086 | 1.9564 | −0.5796 |
| Switzerland | SMI | −0.0365 | 0.0002 | 0.0007 | 0.0285 | 0.0070 | 2.2567 | −0.4242 |
| Taiwan | TWII | −0.0872 | 0.0010 | 0.0014 | 0.0380 | 0.0111 | 11.3302 | −1.4818 |
| Tanzania | DSEI | −0.0306 | 0.0003 | 0.0000 | 0.1346 | 0.0082 | 163.1680 | 9.8884 |
| Thailand | SET | −0.0318 | −0.0004 | −0.0005 | 0.0280 | 0.0073 | 2.0858 | 0.0248 |
| Tunisia | TUN | −0.0145 | 0.0005 | 0.0003 | 0.0149 | 0.0035 | 1.5450 | 0.2157 |
| Turkey | BIST | −0.0901 | 0.0013 | 0.0004 | 0.0942 | 0.0198 | 2.5645 | −0.0505 |
| Uganda | ALSIU | −0.2014 | −0.0003 | −0.0002 | 0.2025 | 0.0188 | 78.3090 | −0.0398 |
| The United Kingdom | FTSE | −0.0391 | 0.0002 | 0.0005 | 0.0194 | 0.0068 | 3.2779 | −0.5784 |
| The United States of America | DJI | −0.0264 | 0.0005 | 0.0009 | 0.0210 | 0.0069 | 0.4897 | −0.2387 |
| The United States of America | NDX | −0.0372 | 0.0013 | 0.0014 | 0.0350 | 0.0115 | 0.2902 | −0.1400 |
| The United States of America | SPX | −0.0304 | 0.0009 | 0.0009 | 0.0228 | 0.0081 | 0.3962 | −0.2604 |
| Venezuela | IBC | −0.1441 | 0.0036 | 0.0011 | 0.1437 | 0.0207 | 14.5413 | 0.9005 |
| Vietnam | HNX | −0.0826 | 0.0009 | 0.0025 | 0.0692 | 0.0178 | 4.9780 | −0.9771 |
| Zambia | LASIL | −0.1127 | 0.0018 | 0.0000 | 0.1137 | 0.0117 | 44.4967 | 0.3333 |
| Zimbabwe | ZSE | −9.1098 | −0.0103 | 0.0069 | 0.1074 | 0.4391 | 424.9201 | −20.6245 |
| Ticker | In-Degree | Out-Degree | Betweenness Centrality | Closeness Centrality | Eigenvector Centrality | Hub Score | Authority Score | Community |
|---|---|---|---|---|---|---|---|---|
| MERV | 11.5486 | 1.0581 | 0.0001 | 0.4863 | 0.1306 | 0.0018 | 0.0176 | 0 |
| AXJO | 11.7954 | 8.62 | 0.001 | 0.4349 | 0.1254 | 0.0138 | 0.0177 | 1 |
| ATX | 0.3996 | 0.4686 | 0.0 | 0.3223 | 0.0055 | 0.0011 | 0.0008 | 0 |
| BAX | 0.0 | 0.0 | 0.0 | 0.0 | 0.0 | −0.0 | 0.0 | 3 |
| DSE | 7.4059 | 0.0 | 0.0 | 0.3877 | 0.0783 | −0.0 | 0.0106 | 4 |
| BFX | 11.5258 | 7.4238 | 0.0004 | 0.4819 | 0.1284 | 0.0121 | 0.0183 | 1 |
| BIRS | 0.0 | 0.0 | 0.0 | 0.0 | −0.0 | −0.0 | 0.0 | 5 |
| BSE | 0.0 | 0.0 | 0.0 | 0.0 | 0.0 | −0.0 | 0.0 | 6 |
| IBOV | 16.8543 | 16.0257 | 0.0069 | 0.5296 | 0.1752 | 0.0249 | 0.0231 | 1 |
| SOFIX | 0.783 | 0.3981 | 0.0 | 0.3223 | 0.0071 | 0.0009 | 0.0011 | 7 |
| TSX | 13.3499 | 17.5591 | 0.0341 | 0.4953 | 0.1385 | 0.0248 | 0.0178 | 0 |
| CLX | 13.4865 | 21.871 | 0.016 | 0.4908 | 0.1438 | 0.0305 | 0.0196 | 4 |
| CSI | 0.7538 | 0.5977 | 0.0 | 0.3767 | 0.0116 | 0.0014 | 0.0013 | 0 |
| SSEC | 1.9619 | 0.5435 | 0.0 | 0.3905 | 0.0272 | 0.0012 | 0.0035 | 0 |
| SZSE | 1.7436 | 0.6808 | 0.0 | 0.3876 | 0.025 | 0.0016 | 0.003 | 0 |
| COLCAP | 7.7302 | 9.6775 | 0.0038 | 0.4349 | 0.0937 | 0.0154 | 0.0118 | 1 |
| BRVM | 4.5293 | 0.3696 | 0.0 | 0.3715 | 0.052 | 0.0005 | 0.0082 | 4 |
| CROBEX | 7.767 | 6.5221 | 0.0037 | 0.3905 | 0.0869 | 0.0102 | 0.0122 | 7 |
| CYMAIN | 1.8971 | 0.0 | 0.0 | 0.3575 | 0.024 | −0.0 | 0.0037 | 0 |
| PX | 2.3743 | 0.3844 | 0.0 | 0.3614 | 0.0291 | 0.0009 | 0.0046 | 0 |
| OMX | 7.8908 | 2.5128 | 0.0 | 0.4458 | 0.0881 | 0.0045 | 0.0134 | 0 |
| EGX | 5.3278 | 5.679 | 0.0055 | 0.3715 | 0.0585 | 0.0095 | 0.0079 | 4 |
| GTGI | 0.8455 | 0.0 | 0.0 | 0.3337 | 0.0108 | −0.0 | 0.0018 | 0 |
| OMXH | 12.3623 | 22.9772 | 0.0059 | 0.4908 | 0.1382 | 0.0322 | 0.0187 | 1 |
| CAC | 7.4486 | 16.0038 | 0.0073 | 0.4421 | 0.0822 | 0.024 | 0.0117 | 1 |
| DAX | 8.7986 | 14.2726 | 0.0022 | 0.4533 | 0.0974 | 0.0222 | 0.0143 | 1 |
| EUSTOXX | 10.0821 | 15.9324 | 0.0061 | 0.4692 | 0.1073 | 0.0241 | 0.0157 | 1 |
| ATG | 2.6789 | 0.0 | 0.0 | 0.367 | 0.0306 | −0.0 | 0.0047 | 4 |
| HSI | 14.9358 | 21.1325 | 0.0115 | 0.5144 | 0.1607 | 0.0286 | 0.0212 | 0 |
| BUX | 15.6304 | 25.1031 | 0.0156 | 0.5245 | 0.1582 | 0.0334 | 0.0211 | 1 |
| ICEX | 9.6922 | 1.3431 | 0.0 | 0.4533 | 0.1082 | 0.0021 | 0.0144 | 1 |
| BSESN | 0.0 | 0.0 | 0.0 | 0.0 | −0.0 | −0.0 | 0.0 | 9 |
| NIMI | 0.0 | 0.0 | 0.0 | 0.0 | 0.0 | −0.0 | 0.0 | 10 |
| JKSE | 12.975 | 21.284 | 0.0045 | 0.4421 | 0.1361 | 0.0301 | 0.019 | 4 |
| ISX | 32.0838 | 19.7021 | 0.1662 | 0.6947 | 0.2563 | 0.0233 | 0.029 | 0 |
| ISEQ | 9.5023 | 12.5433 | 0.002 | 0.4572 | 0.1142 | 0.0199 | 0.0155 | 1 |
| TA | 13.9757 | 19.6825 | 0.0259 | 0.4999 | 0.144 | 0.0266 | 0.0184 | 4 |
| JSE | 0.5186 | 0.5255 | 0.0 | 0.3689 | 0.0098 | 0.0012 | 0.0007 | 0 |
| AMGNL | 17.4088 | 14.208 | 0.0066 | 0.4612 | 0.1736 | 0.0215 | 0.0217 | 1 |
| KASE | 2.737 | 0.7833 | 0.0 | 0.3992 | 0.0358 | 0.0016 | 0.0049 | 0 |
| BKM | 10.9317 | 13.7391 | 0.007 | 0.4147 | 0.1137 | 0.0204 | 0.0152 | 4 |
| RGI | 0.0 | 0.0 | 0.0 | 0.0 | −0.0 | −0.0 | −0.0 | 11 |
| BLOM | 3.7989 | 0.7257 | 0.0 | 0.4084 | 0.047 | 0.0015 | 0.0062 | 0 |
| VGI | 0.3639 | 0.0 | 0.0 | 0.3201 | 0.0043 | −0.0 | 0.0008 | 0 |
| KLCI | 0.0 | 0.0 | 0.0 | 0.0 | −0.0 | −0.0 | 0.0 | 12 |
| MSE | 8.5736 | 0.5215 | 0.0 | 0.4495 | 0.0976 | 0.0012 | 0.0141 | 4 |
| MDEX | 0.441 | 0.48 | 0.0 | 0.3689 | 0.0083 | 0.0011 | 0.0006 | 0 |
| BIVA | 0.8031 | 0.0 | 0.0 | 0.3378 | 0.0082 | −0.0 | 0.0011 | 0 |
| MNE | 11.1761 | 9.0697 | 0.0001 | 0.4246 | 0.1235 | 0.0145 | 0.0175 | 4 |
| MASI | 0.8116 | 0.4858 | 0.0 | 0.3302 | 0.0099 | 0.0011 | 0.0014 | 0 |
| NSX | 17.6628 | 10.7819 | 0.0147 | 0.5403 | 0.185 | 0.017 | 0.0236 | 1 |
| AEX | 11.0701 | 19.747 | 0.0033 | 0.4776 | 0.1209 | 0.029 | 0.017 | 1 |
| NZX | 10.7673 | 17.6174 | 0.0041 | 0.4734 | 0.1199 | 0.0261 | 0.0166 | 4 |
| NSE | 0.0 | 0.0 | 0.0 | 0.0 | −0.0 | −0.0 | −0.0 | 13 |
| OSEBX | 7.5291 | 12.8544 | 0.001 | 0.4385 | 0.0889 | 0.0204 | 0.0129 | 1 |
| MSM | 14.22 | 7.6249 | 0.0047 | 0.4421 | 0.1491 | 0.0114 | 0.0187 | 1 |
| KSE | 3.8488 | 0.3822 | 0.0 | 0.3664 | 0.0431 | 0.0009 | 0.0064 | 0 |
| PLE | 3.5629 | 0.3938 | 0.0 | 0.3639 | 0.0399 | 0.0006 | 0.0059 | 4 |
| SPBLP | 8.3807 | 6.0249 | 0.0004 | 0.3992 | 0.0924 | 0.0089 | 0.0128 | 4 |
| PSEI | 10.6868 | 8.8164 | 0.0015 | 0.428 | 0.1153 | 0.0145 | 0.0169 | 1 |
| WIG | 15.5141 | 23.3888 | 0.0167 | 0.5194 | 0.1627 | 0.0325 | 0.0216 | 4 |
| PSI | 14.4183 | 16.473 | 0.0049 | 0.5095 | 0.1533 | 0.0252 | 0.0211 | 1 |
| QSI | 18.4879 | 30.8259 | 0.0361 | 0.5403 | 0.186 | 0.0365 | 0.0225 | 0 |
| BET | 8.5272 | 3.4532 | 0.001 | 0.4084 | 0.0965 | 0.0054 | 0.0137 | 7 |
| MOEX | 8.8544 | 10.1848 | 0.0029 | 0.4084 | 0.0987 | 0.0163 | 0.0141 | 1 |
| RTS | 16.24 | 26.862 | 0.011 | 0.5296 | 0.1648 | 0.0355 | 0.0219 | 4 |
| ALSIR | 7.0304 | 0.0 | 0.0 | 0.437 | 0.0804 | −0.0 | 0.0105 | 0 |
| TASI | 16.2957 | 33.8727 | 0.0757 | 0.5245 | 0.1608 | 0.0394 | 0.0206 | 0 |
| BELEX | 10.924 | 1.9507 | 0.0004 | 0.4692 | 0.1228 | 0.0036 | 0.0169 | 4 |
| STI | 12.8033 | 3.7623 | 0.0032 | 0.4421 | 0.1354 | 0.0056 | 0.0193 | 1 |
| SAX | 0.0 | 0.0 | 0.0 | 0.0 | −0.0 | −0.0 | −0.0 | 14 |
| SBI | 0.8238 | 0.3654 | 0.0 | 0.3767 | 0.0125 | 0.0008 | 0.0015 | 0 |
| JTOP | 14.6537 | 16.548 | 0.0045 | 0.5144 | 0.1538 | 0.0251 | 0.0205 | 1 |
| KOSPI | 1.168 | 0.3592 | 0.0 | 0.3496 | 0.0153 | 0.0005 | 0.0024 | 0 |
| IBEX | 2.7436 | 1.4551 | 0.0 | 0.4022 | 0.035 | 0.0029 | 0.0049 | 0 |
| SMI | 12.5616 | 4.4304 | 0.004 | 0.4953 | 0.1344 | 0.0072 | 0.0185 | 1 |
| TWII | 1.0924 | 0.4005 | 0.0 | 0.3407 | 0.0136 | 0.0006 | 0.002 | 0 |
| DSEI | 0.0 | 0.0 | 0.0 | 0.0 | −0.0 | −0.0 | −0.0 | 15 |
| SET | 5.8145 | 2.7128 | 0.0018 | 0.4212 | 0.0703 | 0.0047 | 0.0103 | 4 |
| TUN | 16.745 | 14.1081 | 0.0103 | 0.5296 | 0.1738 | 0.0216 | 0.0231 | 1 |
| BIST | 12.4131 | 1.9188 | 0.0032 | 0.4863 | 0.1349 | 0.0036 | 0.0181 | 1 |
| ALSIU | 0.0 | 0.0 | 0.0 | 0.0 | −0.0 | −0.0 | −0.0 | 8 |
| FTSE | 2.9093 | 3.9813 | 0.0 | 0.3963 | 0.0395 | 0.0065 | 0.0056 | 1 |
| DJI | 17.5089 | 23.4561 | 0.0101 | 0.5403 | 0.1812 | 0.0322 | 0.0231 | 4 |
| NDX | 18.5381 | 27.9864 | 0.0115 | 0.5515 | 0.189 | 0.0365 | 0.0236 | 0 |
| SPX | 17.2169 | 25.8294 | 0.0083 | 0.5296 | 0.1799 | 0.0346 | 0.0233 | 1 |
| IBC | 0.7237 | 0.0 | 0.0 | 0.3337 | 0.0092 | −0.0 | 0.0015 | 0 |
| HNX | 14.9999 | 4.6347 | 0.0027 | 0.5194 | 0.1613 | 0.0077 | 0.0212 | 1 |
| LASIL | 0.0 | 0.0 | 0.0 | 0.0 | 0.0 | −0.0 | 0.0 | 2 |
| ZSE | 0.5253 | 0.8521 | 0.0 | 0.3147 | 0.0062 | 0.0011 | 0.0012 | 0 |
| Ticker | In-Degree | Out-Degree | Betweenness Centrality | Closeness Centrality | Eigenvector Centrality | Hub Score | Authority Score | Community |
|---|---|---|---|---|---|---|---|---|
| MERV | 23.8295 | 18.6349 | 0.0068 | 0.8952 | 0.1158 | 0.0103 | 0.0129 | 0 |
| AXJO | 24.3806 | 25.8833 | 0.0003 | 0.8859 | 0.1184 | 0.0139 | 0.0131 | 0 |
| ATX | 17.0479 | 16.9105 | 0.0042 | 0.8257 | 0.0845 | 0.0093 | 0.0095 | 0 |
| BAX | 15.4132 | 16.0068 | 0.0129 | 0.8100 | 0.0747 | 0.0086 | 0.0083 | 1 |
| DSE | 23.1006 | 19.8225 | 0.0132 | 0.8952 | 0.1091 | 0.0105 | 0.0120 | 2 |
| BFX | 24.8951 | 25.5712 | 0.0027 | 0.9145 | 0.1198 | 0.0137 | 0.0133 | 0 |
| BIRS | 16.6482 | 8.8760 | 0.0043 | 0.8100 | 0.0826 | 0.0052 | 0.0092 | 0 |
| BSE | 6.0455 | 1.2635 | 0.0273 | 0.6208 | 0.0319 | 0.0007 | 0.0037 | 3 |
| IBOV | 28.5089 | 29.3099 | 0.0000 | 0.9145 | 0.1367 | 0.0157 | 0.0151 | 0 |
| SOFIX | 17.5008 | 12.0576 | 0.0083 | 0.8504 | 0.0853 | 0.0069 | 0.0095 | 2 |
| TSX | 27.0397 | 30.1651 | 0.0010 | 0.9244 | 0.1285 | 0.0160 | 0.0140 | 2 |
| CLX | 26.3866 | 31.7186 | 0.0008 | 0.9244 | 0.1269 | 0.0169 | 0.0140 | 0 |
| CSI | 14.5787 | 12.5741 | 0.0040 | 0.7802 | 0.0727 | 0.0072 | 0.0082 | 1 |
| SSEC | 18.3879 | 14.6345 | 0.0093 | 0.8420 | 0.0902 | 0.0080 | 0.0100 | 1 |
| SZSE | 18.9051 | 16.3741 | 0.0029 | 0.8420 | 0.0925 | 0.0090 | 0.0103 | 1 |
| COLCAP | 23.5117 | 26.7148 | 0.0001 | 0.8952 | 0.1141 | 0.0142 | 0.0126 | 0 |
| BRVM | 20.9988 | 17.0516 | 0.0036 | 0.8768 | 0.1021 | 0.0093 | 0.0114 | 0 |
| CROBEX | 22.6515 | 25.9519 | 0.0010 | 0.8768 | 0.1096 | 0.0138 | 0.0121 | 2 |
| CYMAIN | 18.8448 | 11.0165 | 0.0041 | 0.8590 | 0.0919 | 0.0063 | 0.0102 | 1 |
| PX | 19.5903 | 19.2708 | 0.0047 | 0.8859 | 0.0950 | 0.0104 | 0.0105 | 0 |
| OMX | 22.3633 | 23.8123 | 0.0015 | 0.8768 | 0.1092 | 0.0127 | 0.0122 | 0 |
| EGX | 22.2931 | 24.2948 | 0.0005 | 0.8952 | 0.1068 | 0.0128 | 0.0117 | 1 |
| GTGI | 16.9752 | 16.3356 | 0.0061 | 0.8177 | 0.0842 | 0.0089 | 0.0094 | 0 |
| OMXH | 25.3316 | 32.6319 | 0.0000 | 0.8952 | 0.1223 | 0.0174 | 0.0135 | 0 |
| CAC | 22.5260 | 28.8532 | 0.0006 | 0.8952 | 0.1091 | 0.0154 | 0.0120 | 0 |
| DAX | 22.6741 | 28.4560 | 0.0019 | 0.8768 | 0.1103 | 0.0152 | 0.0123 | 0 |
| EUSTOXX | 23.2623 | 29.3283 | 0.0000 | 0.8859 | 0.1129 | 0.0157 | 0.0126 | 0 |
| ATG | 18.5806 | 13.9281 | 0.0018 | 0.8257 | 0.0919 | 0.0078 | 0.0103 | 1 |
| HSI | 27.0638 | 30.6681 | 0.0005 | 0.9244 | 0.1293 | 0.0162 | 0.0142 | 0 |
| BUX | 26.7524 | 33.1685 | 0.0003 | 0.9047 | 0.1287 | 0.0177 | 0.0142 | 0 |
| ICEX | 23.2367 | 19.3588 | 0.0000 | 0.8590 | 0.1137 | 0.0105 | 0.0126 | 2 |
| BSESN | 8.3664 | 6.8252 | 0.0756 | 0.6492 | 0.0431 | 0.0040 | 0.0051 | 0 |
| NIMI | 10.8230 | 9.0531 | 0.0446 | 0.7147 | 0.0549 | 0.0052 | 0.0064 | 0 |
| JKSE | 26.5356 | 31.3516 | 0.0006 | 0.9145 | 0.1250 | 0.0164 | 0.0138 | 0 |
| ISX | 38.3405 | 29.7842 | 0.0001 | 0.9449 | 0.1765 | 0.0154 | 0.0191 | 1 |
| ISEQ | 23.6559 | 27.3308 | 0.0001 | 0.8952 | 0.1148 | 0.0147 | 0.0127 | 0 |
| TA | 26.9692 | 31.2581 | 0.0004 | 0.9346 | 0.1277 | 0.0163 | 0.0139 | 0 |
| JSE | 8.0761 | 0.6630 | 0.0038 | 0.6542 | 0.0429 | 0.0005 | 0.0049 | 0 |
| AMGNL | 29.3595 | 28.3843 | 0.0008 | 0.9346 | 0.1387 | 0.0150 | 0.0152 | 1 |
| KASE | 18.6595 | 20.7578 | 0.0063 | 0.8177 | 0.0925 | 0.0112 | 0.0104 | 2 |
| BKM | 24.8752 | 28.1414 | 0.0010 | 0.9145 | 0.1183 | 0.0149 | 0.0130 | 0 |
| RGI | 4.6282 | 0.4645 | 0.0075 | 0.5785 | 0.0241 | 0.0003 | 0.0029 | 0 |
| BLOM | 18.9803 | 17.8871 | 0.0006 | 0.8338 | 0.0936 | 0.0098 | 0.0104 | 1 |
| VGI | 15.1949 | 11.6532 | 0.0086 | 0.8177 | 0.0750 | 0.0067 | 0.0084 | 1 |
| KLCI | 14.6070 | 12.1323 | 0.0050 | 0.7802 | 0.0726 | 0.0068 | 0.0082 | 2 |
| MSE | 22.8991 | 19.6641 | 0.0000 | 0.8859 | 0.1112 | 0.0107 | 0.0124 | 1 |
| MDEX | 10.7759 | 12.1072 | 0.0202 | 0.6914 | 0.0566 | 0.0069 | 0.0065 | 1 |
| BIVA | 16.8320 | 15.4533 | 0.0046 | 0.8420 | 0.0825 | 0.0086 | 0.0092 | 1 |
| MNE | 24.9818 | 26.4698 | 0.0000 | 0.9047 | 0.1208 | 0.0144 | 0.0134 | 1 |
| MASI | 16.9303 | 12.5954 | 0.0003 | 0.8177 | 0.0835 | 0.0072 | 0.0094 | 1 |
| NSX | 28.1939 | 26.8855 | 0.0000 | 0.9047 | 0.1362 | 0.0143 | 0.0151 | 1 |
| AEX | 24.2422 | 31.1113 | 0.0003 | 0.8952 | 0.1176 | 0.0165 | 0.0130 | 0 |
| NZX | 24.4019 | 29.5698 | 0.0009 | 0.9145 | 0.1173 | 0.0157 | 0.0129 | 0 |
| NSE | 11.8019 | 3.5563 | 0.0171 | 0.7460 | 0.0598 | 0.0022 | 0.0068 | 1 |
| OSEBX | 22.6118 | 27.1882 | 0.0015 | 0.8768 | 0.1104 | 0.0145 | 0.0122 | 0 |
| MSM | 26.6253 | 24.9912 | 0.0008 | 0.9244 | 0.1257 | 0.0131 | 0.0138 | 1 |
| KSE | 19.4036 | 17.6855 | 0.0006 | 0.8504 | 0.0949 | 0.0096 | 0.0106 | 1 |
| PLE | 20.8457 | 17.5363 | 0.0027 | 0.8768 | 0.1003 | 0.0094 | 0.0111 | 1 |
| SPBLP | 23.3353 | 20.9547 | 0.0009 | 0.8859 | 0.1132 | 0.0116 | 0.0126 | 1 |
| PSEI | 24.1724 | 26.6070 | 0.0000 | 0.9047 | 0.1158 | 0.0141 | 0.0128 | 1 |
| WIG | 27.4338 | 32.9013 | 0.0000 | 0.9244 | 0.1316 | 0.0175 | 0.0145 | 1 |
| PSI | 26.4879 | 29.3845 | 0.0000 | 0.9047 | 0.1278 | 0.0156 | 0.0142 | 0 |
| QSI | 29.9479 | 37.5390 | 0.0000 | 0.9346 | 0.1411 | 0.0197 | 0.0154 | 1 |
| BET | 21.8471 | 23.1030 | 0.0022 | 0.8590 | 0.1065 | 0.0123 | 0.0119 | 2 |
| MOEX | 22.9358 | 26.1512 | 0.0023 | 0.9047 | 0.1106 | 0.0140 | 0.0122 | 0 |
| RTS | 26.9176 | 34.8737 | 0.0004 | 0.9047 | 0.1300 | 0.0184 | 0.0144 | 0 |
| ALSIR | 22.9470 | 13.9863 | 0.0282 | 0.9145 | 0.1083 | 0.0076 | 0.0119 | 3 |
| TASI | 28.2805 | 40.0989 | 0.0001 | 0.9449 | 0.1316 | 0.0207 | 0.0143 | 3 |
| BELEX | 24.7237 | 21.7411 | 0.0010 | 0.9244 | 0.1189 | 0.0118 | 0.0131 | 1 |
| STI | 25.1383 | 22.0872 | 0.0011 | 0.9047 | 0.1214 | 0.0120 | 0.0135 | 2 |
| SAX | 11.7874 | 4.2767 | 0.0262 | 0.7331 | 0.0602 | 0.0026 | 0.0068 | 0 |
| SBI | 15.4441 | 12.5252 | 0.0005 | 0.7593 | 0.0784 | 0.0072 | 0.0089 | 1 |
| JTOP | 26.1592 | 30.2878 | 0.0001 | 0.8952 | 0.1268 | 0.0162 | 0.0140 | 1 |
| KOSPI | 16.6713 | 12.6579 | 0.0005 | 0.7802 | 0.0839 | 0.0071 | 0.0095 | 2 |
| IBEX | 18.2839 | 21.6307 | 0.0000 | 0.8338 | 0.0904 | 0.0118 | 0.0101 | 1 |
| SMI | 25.1071 | 23.6310 | 0.0003 | 0.9047 | 0.1211 | 0.0128 | 0.0134 | 1 |
| TWII | 15.5837 | 15.6717 | 0.0014 | 0.7731 | 0.0780 | 0.0087 | 0.0088 | 2 |
| DSEI | 3.4073 | 2.6879 | 0.0014 | 0.5383 | 0.0180 | 0.0016 | 0.0020 | 3 |
| SET | 22.6547 | 23.0778 | 0.0091 | 0.9047 | 0.1079 | 0.0123 | 0.0120 | 3 |
| TUN | 27.9888 | 27.6161 | 0.0003 | 0.9145 | 0.1346 | 0.0147 | 0.0149 | 1 |
| BIST | 24.4326 | 21.0539 | 0.0043 | 0.9047 | 0.1185 | 0.0114 | 0.0131 | 1 |
| ALSIU | 0.0000 | 0.0000 | 0.0000 | 0.0000 | 0.0000 | 0.0000 | 0.0000 | 4 |
| FTSE | 19.3573 | 22.5602 | 0.0018 | 0.8590 | 0.0952 | 0.0122 | 0.0106 | 0 |
| DJI | 27.5570 | 32.4339 | 0.0000 | 0.9047 | 0.1333 | 0.0172 | 0.0147 | 2 |
| NDX | 28.4418 | 35.7458 | 0.0111 | 0.9145 | 0.1368 | 0.0190 | 0.0151 | 1 |
| SPX | 28.2888 | 34.3217 | 0.0000 | 0.9047 | 0.1370 | 0.0182 | 0.0151 | 2 |
| IBC | 13.9045 | 2.7609 | 0.0194 | 0.7731 | 0.0701 | 0.0017 | 0.0079 | 0 |
| HNX | 26.0851 | 23.6499 | 0.0001 | 0.8952 | 0.1264 | 0.0126 | 0.0140 | 1 |
| LASIL | 3.0893 | 0.0000 | 0.0000 | 0.5507 | 0.0163 | 0.0000 | 0.0020 | 2 |
| ZSE | 1.3142 | 1.5052 | 0.0000 | 0.4944 | 0.0068 | 0.0009 | 0.0008 | 3 |
| Ticker | In-Degree | Out-Degree | Betweenness Centrality | Closeness Centrality | Eigenvector Centrality | Hub Score | Authority Score | Community |
|---|---|---|---|---|---|---|---|---|
| MERV | 21.6735 | 20.7377 | 0.0006 | 0.8879 | 0.1103 | 0.0118 | 0.0122 | 0 |
| AXJO | 22.9346 | 27.5025 | 0.0013 | 0.8879 | 0.1166 | 0.0155 | 0.0129 | 0 |
| ATX | 16.4016 | 11.7403 | 0.0033 | 0.8366 | 0.0850 | 0.0069 | 0.0095 | 1 |
| BAX | 16.3661 | 12.7732 | 0.0158 | 0.8287 | 0.0831 | 0.0073 | 0.0092 | 1 |
| DSE | 22.5531 | 21.4600 | 0.0037 | 0.8970 | 0.1119 | 0.0117 | 0.0123 | 2 |
| BFX | 23.4140 | 26.3327 | 0.0009 | 0.9159 | 0.1175 | 0.0146 | 0.0129 | 0 |
| BIRS | 13.6940 | 12.7055 | 0.0024 | 0.7700 | 0.0722 | 0.0075 | 0.0081 | 0 |
| BSE | 7.5355 | 1.1379 | 0.0212 | 0.6693 | 0.0409 | 0.0007 | 0.0047 | 0 |
| IBOV | 26.1214 | 30.5404 | 0.0000 | 0.8970 | 0.1321 | 0.0170 | 0.0145 | 0 |
| SOFIX | 16.7869 | 12.5655 | 0.0008 | 0.8209 | 0.0870 | 0.0075 | 0.0097 | 0 |
| TSX | 26.7951 | 28.7579 | 0.0015 | 0.9257 | 0.1327 | 0.0158 | 0.0145 | 0 |
| CLX | 24.6730 | 30.7325 | 0.0000 | 0.9064 | 0.1244 | 0.0171 | 0.0137 | 0 |
| CSI | 13.7904 | 9.9006 | 0.0149 | 0.7839 | 0.0722 | 0.0060 | 0.0081 | 1 |
| SSEC | 16.1219 | 13.3008 | 0.0019 | 0.8132 | 0.0837 | 0.0079 | 0.0093 | 0 |
| SZSE | 17.2624 | 15.0638 | 0.0057 | 0.8209 | 0.0894 | 0.0088 | 0.0099 | 1 |
| COLCAP | 23.2209 | 23.5068 | 0.0086 | 0.8879 | 0.1173 | 0.0131 | 0.0129 | 1 |
| BRVM | 19.5480 | 17.7083 | 0.0008 | 0.8701 | 0.0998 | 0.0101 | 0.0111 | 0 |
| CROBEX | 22.9962 | 24.7361 | 0.0010 | 0.8789 | 0.1160 | 0.0138 | 0.0129 | 2 |
| CYMAIN | 16.5913 | 12.6208 | 0.0017 | 0.8209 | 0.0859 | 0.0074 | 0.0096 | 2 |
| PX | 18.9439 | 17.1518 | 0.0028 | 0.8789 | 0.0965 | 0.0098 | 0.0107 | 2 |
| OMX | 21.2751 | 22.5841 | 0.0017 | 0.8789 | 0.1083 | 0.0125 | 0.0120 | 0 |
| EGX | 22.6414 | 20.4729 | 0.0046 | 0.9159 | 0.1122 | 0.0114 | 0.0123 | 1 |
| GTGI | 15.8833 | 13.8062 | 0.0010 | 0.8057 | 0.0831 | 0.0080 | 0.0093 | 0 |
| OMXH | 25.7057 | 29.4671 | 0.0026 | 0.9356 | 0.1280 | 0.0163 | 0.0140 | 0 |
| CAC | 20.9587 | 22.2982 | 0.0014 | 0.8701 | 0.1068 | 0.0124 | 0.0118 | 0 |
| DAX | 21.2860 | 21.7714 | 0.0029 | 0.8789 | 0.1076 | 0.0122 | 0.0119 | 0 |
| EUSTOXX | 21.9408 | 22.5068 | 0.0000 | 0.8789 | 0.1116 | 0.0127 | 0.0123 | 0 |
| ATG | 17.4546 | 15.4241 | 0.0031 | 0.8448 | 0.0902 | 0.0089 | 0.0100 | 1 |
| HSI | 26.3733 | 30.8581 | 0.0001 | 0.9257 | 0.1318 | 0.0170 | 0.0144 | 0 |
| BUX | 26.4539 | 30.3594 | 0.0004 | 0.9064 | 0.1332 | 0.0169 | 0.0146 | 0 |
| ICEX | 23.0480 | 21.8989 | 0.0008 | 0.8789 | 0.1178 | 0.0124 | 0.0130 | 2 |
| BSESN | 9.4030 | 1.9442 | 0.0295 | 0.6961 | 0.0512 | 0.0012 | 0.0059 | 0 |
| NIMI | 9.8285 | 4.5130 | 0.0465 | 0.6961 | 0.0528 | 0.0028 | 0.0061 | 0 |
| JKSE | 25.2926 | 26.9975 | 0.0010 | 0.9159 | 0.1256 | 0.0148 | 0.0139 | 0 |
| ISX | 35.9273 | 29.0853 | 0.0156 | 0.9356 | 0.1726 | 0.0157 | 0.0187 | 1 |
| ISEQ | 24.1730 | 25.2433 | 0.0005 | 0.9159 | 0.1213 | 0.0140 | 0.0133 | 0 |
| TA | 26.2469 | 28.3277 | 0.0006 | 0.9356 | 0.1299 | 0.0154 | 0.0142 | 0 |
| JSE | 4.7414 | 0.5214 | 0.0000 | 0.5840 | 0.0267 | 0.0004 | 0.0030 | 0 |
| AMGNL | 27.4758 | 33.6387 | 0.0009 | 0.9159 | 0.1365 | 0.0184 | 0.0150 | 0 |
| KASE | 17.4170 | 17.3906 | 0.0024 | 0.8132 | 0.0910 | 0.0100 | 0.0102 | 2 |
| BKM | 23.6437 | 25.0671 | 0.0006 | 0.8789 | 0.1192 | 0.0139 | 0.0132 | 2 |
| RGI | 7.3630 | 0.6471 | 0.0072 | 0.6542 | 0.0400 | 0.0004 | 0.0046 | 0 |
| BLOM | 18.7335 | 18.6220 | 0.0031 | 0.8366 | 0.0961 | 0.0106 | 0.0107 | 0 |
| VGI | 15.1833 | 11.5732 | 0.0028 | 0.8132 | 0.0788 | 0.0069 | 0.0088 | 2 |
| KLCI | 15.1369 | 11.0026 | 0.0064 | 0.7910 | 0.0790 | 0.0065 | 0.0088 | 2 |
| MSE | 20.9626 | 21.2340 | 0.0004 | 0.8615 | 0.1072 | 0.0119 | 0.0119 | 1 |
| MDEX | 12.6761 | 7.2901 | 0.0200 | 0.7633 | 0.0669 | 0.0045 | 0.0075 | 1 |
| BIVA | 17.4064 | 14.1787 | 0.0092 | 0.8615 | 0.0884 | 0.0081 | 0.0098 | 1 |
| MNE | 24.0804 | 26.5257 | 0.0010 | 0.8970 | 0.1220 | 0.0150 | 0.0134 | 2 |
| MASI | 16.3155 | 13.1314 | 0.0051 | 0.8531 | 0.0831 | 0.0077 | 0.0092 | 1 |
| NSX | 25.6518 | 29.3079 | 0.0003 | 0.9257 | 0.1285 | 0.0163 | 0.0141 | 0 |
| AEX | 23.9479 | 26.6351 | 0.0001 | 0.8879 | 0.1214 | 0.0149 | 0.0134 | 2 |
| NZX | 23.6362 | 26.9162 | 0.0001 | 0.8970 | 0.1193 | 0.0149 | 0.0131 | 0 |
| NSE | 8.8075 | 3.8400 | 0.0296 | 0.6798 | 0.0480 | 0.0025 | 0.0055 | 0 |
| OSEBX | 22.3079 | 23.0510 | 0.0001 | 0.8879 | 0.1131 | 0.0130 | 0.0125 | 0 |
| MSM | 24.8741 | 25.2123 | 0.0000 | 0.9257 | 0.1234 | 0.0140 | 0.0136 | 1 |
| KSE | 18.9906 | 17.2953 | 0.0026 | 0.8615 | 0.0972 | 0.0099 | 0.0108 | 1 |
| PLE | 20.0077 | 17.9505 | 0.0092 | 0.8701 | 0.1011 | 0.0100 | 0.0112 | 1 |
| SPBLP | 21.5167 | 23.0141 | 0.0022 | 0.8615 | 0.1105 | 0.0132 | 0.0123 | 1 |
| PSEI | 22.9957 | 24.3512 | 0.0006 | 0.8970 | 0.1162 | 0.0136 | 0.0128 | 1 |
| WIG | 25.7607 | 29.6647 | 0.0000 | 0.9159 | 0.1295 | 0.0164 | 0.0142 | 0 |
| PSI | 26.0657 | 31.9740 | 0.0000 | 0.8879 | 0.1324 | 0.0176 | 0.0146 | 0 |
| QSI | 29.9888 | 36.1823 | 0.0070 | 0.9458 | 0.1477 | 0.0198 | 0.0161 | 1 |
| BET | 20.6109 | 21.7552 | 0.0034 | 0.8701 | 0.1053 | 0.0121 | 0.0117 | 0 |
| MOEX | 22.1650 | 26.3390 | 0.0019 | 0.8879 | 0.1126 | 0.0147 | 0.0124 | 1 |
| RTS | 26.4990 | 34.6342 | 0.0000 | 0.9064 | 0.1337 | 0.0191 | 0.0147 | 0 |
| ALSIR | 21.4639 | 18.5364 | 0.0158 | 0.9064 | 0.1063 | 0.0102 | 0.0117 | 1 |
| TASI | 28.5983 | 32.3290 | 0.0001 | 0.9356 | 0.1395 | 0.0174 | 0.0153 | 1 |
| BELEX | 23.0769 | 25.0070 | 0.0006 | 0.8970 | 0.1165 | 0.0139 | 0.0129 | 2 |
| STI | 22.7062 | 25.2911 | 0.0001 | 0.8789 | 0.1157 | 0.0142 | 0.0128 | 0 |
| SAX | 11.8647 | 9.0764 | 0.0282 | 0.7374 | 0.0631 | 0.0054 | 0.0072 | 1 |
| SBI | 14.8968 | 12.9849 | 0.0010 | 0.7769 | 0.0788 | 0.0076 | 0.0089 | 2 |
| JTOP | 25.0044 | 29.7516 | 0.0000 | 0.8970 | 0.1260 | 0.0164 | 0.0139 | 0 |
| KOSPI | 15.0987 | 13.3327 | 0.0015 | 0.7910 | 0.0787 | 0.0078 | 0.0088 | 1 |
| IBEX | 18.2116 | 17.3332 | 0.0022 | 0.8448 | 0.0943 | 0.0100 | 0.0105 | 1 |
| SMI | 23.2862 | 25.8265 | 0.0010 | 0.8970 | 0.1181 | 0.0144 | 0.0130 | 1 |
| TWII | 15.4294 | 13.8413 | 0.0024 | 0.8057 | 0.0799 | 0.0081 | 0.0089 | 1 |
| DSEI | 4.4703 | 2.2263 | 0.0114 | 0.5724 | 0.0254 | 0.0014 | 0.0029 | 1 |
| SET | 21.2021 | 19.4900 | 0.0268 | 0.9064 | 0.1054 | 0.0109 | 0.0116 | 1 |
| TUN | 26.5900 | 33.2450 | 0.0000 | 0.9064 | 0.1339 | 0.0183 | 0.0147 | 0 |
| BIST | 21.2569 | 22.5329 | 0.0033 | 0.8879 | 0.1077 | 0.0125 | 0.0119 | 0 |
| ALSIU | 0.2828 | 0.0000 | 0.0000 | 0.4972 | 0.0020 | 0.0000 | 0.0002 | 1 |
| FTSE | 18.5912 | 16.7423 | 0.0027 | 0.8531 | 0.0960 | 0.0096 | 0.0107 | 1 |
| DJI | 26.0533 | 30.8819 | 0.0061 | 0.9257 | 0.1303 | 0.0171 | 0.0143 | 2 |
| NDX | 27.3363 | 33.3818 | 0.0001 | 0.9159 | 0.1363 | 0.0184 | 0.0149 | 1 |
| SPX | 26.1169 | 31.2465 | 0.0059 | 0.9064 | 0.1310 | 0.0172 | 0.0144 | 2 |
| IBC | 11.2863 | 3.5411 | 0.0351 | 0.7312 | 0.0608 | 0.0023 | 0.0069 | 0 |
| HNX | 24.1829 | 25.3108 | 0.0001 | 0.8970 | 0.1225 | 0.0142 | 0.0135 | 1 |
| LASIL | 6.7435 | 0.4427 | 0.0103 | 0.6351 | 0.0355 | 0.0003 | 0.0041 | 0 |
| ZSE | 1.3203 | 1.5177 | 0.0000 | 0.4972 | 0.0071 | 0.0009 | 0.0008 | 1 |
| Ticker | In-Degree | Out-Degree | Betweenness Centrality | Closeness Centrality | Eigenvector Centrality | Hub Score | Authority Score | Community |
|---|---|---|---|---|---|---|---|---|
| MERV | 18.6612 | 23.3516 | 0.0001 | 0.8615 | 0.0957 | 0.0133 | 0.0106 | 0 |
| AXJO | 22.1005 | 26.6526 | 0.0000 | 0.8879 | 0.1128 | 0.0151 | 0.0125 | 0 |
| ATX | 18.6832 | 10.7440 | 0.0073 | 0.8789 | 0.0950 | 0.0065 | 0.0106 | 0 |
| BAX | 17.1719 | 11.5777 | 0.0222 | 0.8366 | 0.0870 | 0.0065 | 0.0097 | 1 |
| DSE | 19.3751 | 20.8355 | 0.0009 | 0.8531 | 0.0974 | 0.0116 | 0.0107 | 1 |
| BFX | 23.2025 | 25.0352 | 0.0004 | 0.8879 | 0.1175 | 0.0141 | 0.0131 | 0 |
| BIRS | 11.1751 | 16.2021 | 0.0026 | 0.7251 | 0.0602 | 0.0094 | 0.0069 | 0 |
| BSE | 7.8765 | 0.7155 | 0.0152 | 0.6745 | 0.0421 | 0.0004 | 0.0049 | 0 |
| IBOV | 24.6358 | 34.6936 | 0.0000 | 0.9064 | 0.1256 | 0.0193 | 0.0138 | 0 |
| SOFIX | 15.4019 | 12.5587 | 0.0005 | 0.8057 | 0.0803 | 0.0076 | 0.0091 | 0 |
| TSX | 26.7124 | 28.7383 | 0.0001 | 0.8970 | 0.1338 | 0.0160 | 0.0147 | 0 |
| CLX | 25.3397 | 31.5927 | 0.0005 | 0.8879 | 0.1282 | 0.0176 | 0.0142 | 0 |
| CSI | 14.8653 | 10.0084 | 0.0041 | 0.7983 | 0.0778 | 0.0060 | 0.0087 | 2 |
| SSEC | 15.7179 | 15.4824 | 0.0059 | 0.8366 | 0.0809 | 0.0090 | 0.0090 | 0 |
| SZSE | 16.7597 | 16.2066 | 0.0045 | 0.8366 | 0.0866 | 0.0095 | 0.0096 | 0 |
| COLCAP | 23.9271 | 21.6503 | 0.0038 | 0.9159 | 0.1202 | 0.0123 | 0.0132 | 2 |
| BRVM | 18.1098 | 19.1171 | 0.0040 | 0.8701 | 0.0924 | 0.0109 | 0.0103 | 0 |
| CROBEX | 22.0596 | 20.7987 | 0.0001 | 0.8789 | 0.1112 | 0.0117 | 0.0124 | 1 |
| CYMAIN | 15.2388 | 16.1282 | 0.0080 | 0.8209 | 0.0793 | 0.0092 | 0.0089 | 1 |
| PX | 19.0688 | 15.7232 | 0.0008 | 0.8531 | 0.0976 | 0.0090 | 0.0109 | 2 |
| OMX | 21.9815 | 20.3641 | 0.0013 | 0.9064 | 0.1112 | 0.0115 | 0.0123 | 2 |
| EGX | 23.9305 | 18.2895 | 0.0020 | 0.9159 | 0.1199 | 0.0103 | 0.0133 | 1 |
| GTGI | 16.8515 | 14.7779 | 0.0050 | 0.8448 | 0.0865 | 0.0086 | 0.0097 | 1 |
| OMXH | 26.2652 | 26.2371 | 0.0000 | 0.9257 | 0.1319 | 0.0148 | 0.0146 | 0 |
| CAC | 23.4533 | 19.7628 | 0.0005 | 0.9064 | 0.1186 | 0.0112 | 0.0132 | 0 |
| DAX | 25.1330 | 20.3829 | 0.0006 | 0.9159 | 0.1266 | 0.0116 | 0.0140 | 2 |
| EUSTOXX | 24.9512 | 21.5729 | 0.0000 | 0.9064 | 0.1258 | 0.0122 | 0.0140 | 2 |
| ATG | 16.6900 | 16.0348 | 0.0029 | 0.8366 | 0.0863 | 0.0093 | 0.0097 | 0 |
| HSI | 26.2052 | 29.2287 | 0.0001 | 0.9257 | 0.1316 | 0.0163 | 0.0144 | 0 |
| BUX | 26.9795 | 29.0310 | 0.0000 | 0.8970 | 0.1370 | 0.0163 | 0.0151 | 0 |
| ICEX | 19.8475 | 21.4374 | 0.0014 | 0.8615 | 0.1013 | 0.0122 | 0.0113 | 0 |
| BSESN | 11.7270 | 3.3227 | 0.0312 | 0.7566 | 0.0622 | 0.0020 | 0.0071 | 1 |
| NIMI | 14.3055 | 3.0713 | 0.0087 | 0.8057 | 0.0748 | 0.0020 | 0.0084 | 1 |
| JKSE | 24.9107 | 27.3915 | 0.0005 | 0.9257 | 0.1239 | 0.0150 | 0.0137 | 0 |
| ISX | 36.9148 | 26.5512 | 0.0000 | 0.9356 | 0.1787 | 0.0145 | 0.0193 | 2 |
| ISEQ | 24.2110 | 22.7804 | 0.0000 | 0.9159 | 0.1219 | 0.0130 | 0.0135 | 2 |
| TA | 27.0878 | 28.6748 | 0.0011 | 0.9356 | 0.1344 | 0.0157 | 0.0148 | 1 |
| JSE | 3.5677 | 0.7682 | 0.0020 | 0.5578 | 0.0206 | 0.0007 | 0.0023 | 2 |
| AMGNL | 24.5825 | 33.5486 | 0.0003 | 0.8970 | 0.1239 | 0.0182 | 0.0137 | 0 |
| KASE | 20.5240 | 17.5728 | 0.0023 | 0.8879 | 0.1046 | 0.0102 | 0.0117 | 2 |
| BKM | 24.7973 | 25.7911 | 0.0011 | 0.9064 | 0.1240 | 0.0143 | 0.0137 | 1 |
| RGI | 3.2620 | 0.7075 | 0.0074 | 0.5614 | 0.0183 | 0.0004 | 0.0022 | 0 |
| BLOM | 18.6328 | 18.0156 | 0.0011 | 0.8366 | 0.0959 | 0.0103 | 0.0108 | 0 |
| VGI | 14.8793 | 8.6831 | 0.0020 | 0.7910 | 0.0782 | 0.0053 | 0.0088 | 1 |
| KLCI | 14.6003 | 9.2618 | 0.0086 | 0.7910 | 0.0764 | 0.0056 | 0.0086 | 1 |
| MSE | 19.5864 | 22.9519 | 0.0001 | 0.8615 | 0.1002 | 0.0130 | 0.0112 | 1 |
| MDEX | 15.3851 | 4.9760 | 0.0026 | 0.8287 | 0.0801 | 0.0032 | 0.0090 | 2 |
| BIVA | 17.6623 | 13.5996 | 0.0047 | 0.8448 | 0.0905 | 0.0078 | 0.0101 | 2 |
| MNE | 23.9616 | 26.6835 | 0.0005 | 0.9064 | 0.1216 | 0.0152 | 0.0134 | 1 |
| MASI | 14.9479 | 13.7375 | 0.0018 | 0.8057 | 0.0780 | 0.0080 | 0.0087 | 2 |
| NSX | 23.8434 | 31.6126 | 0.0001 | 0.9159 | 0.1204 | 0.0178 | 0.0133 | 0 |
| AEX | 25.5644 | 24.2483 | 0.0000 | 0.9064 | 0.1294 | 0.0137 | 0.0144 | 2 |
| NZX | 24.7918 | 25.4975 | 0.0008 | 0.9257 | 0.1245 | 0.0143 | 0.0137 | 2 |
| NSE | 9.1180 | 9.1315 | 0.0707 | 0.6851 | 0.0495 | 0.0055 | 0.0057 | 0 |
| OSEBX | 23.6326 | 21.6690 | 0.0000 | 0.8970 | 0.1195 | 0.0122 | 0.0133 | 2 |
| MSM | 23.4123 | 27.2367 | 0.0032 | 0.9257 | 0.1170 | 0.0149 | 0.0129 | 1 |
| KSE | 18.6413 | 18.9022 | 0.0013 | 0.8615 | 0.0959 | 0.0107 | 0.0107 | 2 |
| PLE | 18.3393 | 18.3542 | 0.0088 | 0.8531 | 0.0935 | 0.0102 | 0.0104 | 1 |
| SPBLP | 20.1372 | 24.1959 | 0.0046 | 0.8789 | 0.1033 | 0.0138 | 0.0115 | 1 |
| PSEI | 23.2643 | 23.3254 | 0.0001 | 0.8970 | 0.1176 | 0.0130 | 0.0131 | 2 |
| WIG | 26.8636 | 31.0710 | 0.0000 | 0.9159 | 0.1353 | 0.0174 | 0.0150 | 1 |
| PSI | 24.1806 | 30.0226 | 0.0015 | 0.9159 | 0.1227 | 0.0168 | 0.0135 | 2 |
| QSI | 29.3012 | 35.5651 | 0.0001 | 0.9356 | 0.1460 | 0.0195 | 0.0161 | 0 |
| BET | 21.0983 | 19.8760 | 0.0057 | 0.8970 | 0.1071 | 0.0113 | 0.0119 | 1 |
| MOEX | 22.3414 | 23.2429 | 0.0000 | 0.8970 | 0.1136 | 0.0133 | 0.0126 | 1 |
| RTS | 26.3703 | 32.0433 | 0.0000 | 0.9064 | 0.1338 | 0.0180 | 0.0148 | 1 |
| ALSIR | 18.1870 | 20.8303 | 0.0240 | 0.8531 | 0.0912 | 0.0114 | 0.0102 | 0 |
| TASI | 31.2671 | 31.7303 | 0.0128 | 0.9668 | 0.1517 | 0.0171 | 0.0167 | 0 |
| BELEX | 20.9821 | 24.3344 | 0.0050 | 0.8970 | 0.1067 | 0.0137 | 0.0119 | 1 |
| STI | 20.1113 | 27.2650 | 0.0034 | 0.8701 | 0.1031 | 0.0153 | 0.0114 | 1 |
| SAX | 9.7548 | 9.2577 | 0.0594 | 0.7191 | 0.0524 | 0.0055 | 0.0060 | 2 |
| SBI | 15.1354 | 12.2840 | 0.0024 | 0.7983 | 0.0796 | 0.0074 | 0.0089 | 1 |
| JTOP | 25.1785 | 28.0824 | 0.0000 | 0.8970 | 0.1271 | 0.0157 | 0.0141 | 0 |
| KOSPI | 15.0103 | 13.8115 | 0.0009 | 0.8132 | 0.0777 | 0.0081 | 0.0087 | 2 |
| IBEX | 20.9825 | 15.3125 | 0.0023 | 0.8879 | 0.1067 | 0.0089 | 0.0119 | 2 |
| SMI | 21.5195 | 24.3242 | 0.0014 | 0.8789 | 0.1100 | 0.0137 | 0.0123 | 2 |
| TWII | 17.2230 | 14.2784 | 0.0028 | 0.8366 | 0.0888 | 0.0083 | 0.0099 | 2 |
| DSEI | 4.6488 | 2.3972 | 0.0101 | 0.5724 | 0.0256 | 0.0015 | 0.0030 | 1 |
| SET | 22.2820 | 20.9120 | 0.0129 | 0.9064 | 0.1110 | 0.0117 | 0.0123 | 0 |
| TUN | 22.7374 | 32.8761 | 0.0006 | 0.8970 | 0.1153 | 0.0182 | 0.0127 | 2 |
| BIST | 20.1247 | 24.9178 | 0.0006 | 0.8879 | 0.1027 | 0.0140 | 0.0114 | 2 |
| ALSIU | 0.0000 | 0.0000 | 0.0000 | 0.0000 | 0.0000 | 0.0000 | 0.0000 | 3 |
| FTSE | 21.8447 | 16.7053 | 0.0026 | 0.8789 | 0.1116 | 0.0096 | 0.0125 | 2 |
| DJI | 26.5084 | 32.5869 | 0.0013 | 0.9159 | 0.1332 | 0.0180 | 0.0147 | 1 |
| NDX | 28.2602 | 32.8770 | 0.0043 | 0.9159 | 0.1419 | 0.0182 | 0.0157 | 2 |
| SPX | 27.3158 | 31.8164 | 0.0055 | 0.9159 | 0.1373 | 0.0177 | 0.0152 | 1 |
| IBC | 10.7163 | 6.0304 | 0.0456 | 0.7251 | 0.0575 | 0.0038 | 0.0065 | 1 |
| HNX | 22.4021 | 26.6955 | 0.0000 | 0.8970 | 0.1136 | 0.0151 | 0.0126 | 0 |
| LASIL | 1.9165 | 0.4327 | 0.0038 | 0.5306 | 0.0108 | 0.0003 | 0.0013 | 1 |
| ZSE | 1.2550 | 1.4076 | 0.0000 | 0.5030 | 0.0068 | 0.0009 | 0.0007 | 0 |
References
- Ajayi-Nifise, A.O.; Olubusola, O.; Falaiye, T.; Mhlongo, N.Z.; Daraojimba, A.I. A review of US financial reporting scandals and their economic repercussions: Investigating their broader impact and preventative measures. Financ. Account. Res. J. 2024, 6, 183–201. [Google Scholar] [CrossRef]
- Yang, S.; Ding, Y.; Xie, B.; Guo, Y.; Bai, X.; Qian, J.; Gao, Y.; Wang, W.; Ren, J. Advancing Financial Forecasts: A Deep Dive into Memory Attention and Long-Distance Loss in Stock Price Predictions. Appl. Sci. 2023, 13, 12160. [Google Scholar] [CrossRef]
- Shiller, R.J. Narrative Economics: How Stories Go Viral and Drive Major Economic Events; Princeton University Press: Princeton, NJ, USA, 2020. [Google Scholar]
- Arthur, W.B. Foundations of complexity economics. Nat. Rev. Phys. 2021, 3, 136–145. [Google Scholar] [CrossRef] [PubMed]
- Chen, Y.; Härdle, W.K.; Pigorsch, U. Localized realized volatility modeling. J. Am. Stat. Assoc. 2010, 105, 1376–1393. [Google Scholar] [CrossRef]
- Borup, D.; Jakobsen, J.S. Capturing volatility persistence: A dynamically complete realized EGARCH-MIDAS model. Quant. Financ. 2019, 19, 1839–1855. [Google Scholar] [CrossRef]
- Mensi, W.; Tiwari, A.; Bouri, E.; Roubaud, D.; Al-Yahyaee, K.H. The dependence structure across oil, wheat, and corn: A wavelet-based copula approach using implied volatility indexes. Energy Econ. 2017, 66, 122–139. [Google Scholar] [CrossRef]
- Zhang, R.; Xu, Q.; Wang, S.; Parkinson, S.; Schoeffmann, K. Information Difference of Transfer Entropies between Head Motion and Eye Movement Indicates a Proxy of Driving. Entropy 2023, 26, 3. [Google Scholar] [CrossRef] [PubMed]
- Dong, Y.; Xu, L.; Zheng, J.; Wu, D.; Li, H.; Shao, Y.; Shi, G.; Fu, W. A Hybrid EEG-Based Stress State Classification Model Using Multi-Domain Transfer Entropy and PCANet. Brain Sci. 2024, 14, 595. [Google Scholar] [CrossRef] [PubMed]
- Li, J.; Shang, P.; Zhang, X. Financial time series analysis based on fractional and multiscale permutation entropy. Commun. Nonlinear Sci. Numer. Simul. 2019, 78, 104880. [Google Scholar] [CrossRef]
- Teng, Y.; Shang, P. Transfer entropy coefficient: Quantifying level of information flow between financial time series. Phys. A Stat. Mech. Its Appl. 2017, 469, 60–70. [Google Scholar] [CrossRef]
- Balcı, M.A.; Batrancea, L.M.; Akgüller, Ö.; Nichita, A. Coarse graining on financial correlation networks. Mathematics 2022, 10, 2118. [Google Scholar] [CrossRef]
- Zhou, T.; Ding, R.; Du, Y.; Zhang, Y.; Cheng, S.; Zhang, T. Study on the coupling coordination and spatial correlation effect of green finance and high-quality economic development—evidence from China. Sustainability 2022, 14, 3137. [Google Scholar] [CrossRef]
- Tang, L.; Lu, B.; Tian, T. Spatial correlation network and regional differences for the development of digital economy in China. Entropy 2021, 23, 1575. [Google Scholar] [CrossRef] [PubMed]
- Granger, C.W.; Joyeux, R. An introduction to long-memory time series models and fractional differencing. J. Time Ser. Anal. 1980, 1, 15–29. [Google Scholar] [CrossRef]
- Shojaie, A.; Fox, E.B. Granger causality: A review and recent advances. Annu. Rev. Stat. Its Appl. 2022, 9, 289–319. [Google Scholar] [CrossRef] [PubMed]
- Vicente, R.; Wibral, M.; Lindner, M.; Pipa, G. Transfer entropy—A model-free measure of effective connectivity for the neurosciences. J. Comput. Neurosci. 2011, 30, 45–67. [Google Scholar] [CrossRef] [PubMed]
- Dimpfl, T.; Peter, F.J. Using transfer entropy to measure information flows between financial markets. Stud. Nonlinear Dyn. Econom. 2013, 17, 85–102. [Google Scholar] [CrossRef]
- Smirnov, D.A. Spurious causalities with transfer entropy. Phys. Rev. E-Nonlinear Soft Matter Phys. 2013, 87, 042917. [Google Scholar] [CrossRef] [PubMed]
- Sandoval, L., Jr. Structure of a global network of financial companies based on transfer entropy. Entropy 2014, 16, 4443–4482. [Google Scholar] [CrossRef]
- Hu, C.; Guo, R. Research on Risk Contagion in ESG Industries: An Information Entropy-Based Network Approach. Entropy 2024, 26, 206. [Google Scholar] [CrossRef] [PubMed]
- Ariely, D. Controlling the information flow: Effects on consumers’ decision making and preferences. J. Consum. Res. 2000, 27, 233–248. [Google Scholar] [CrossRef]
- Sun, J.; Xiang, J.; Dong, Y.; Wang, B.; Zhou, M.; Ma, J.; Niu, Y. Deep Learning for Epileptic Seizure Detection Using a Causal-Spatio-Temporal Model Based on Transfer Entropy. Entropy 2024, 26, 853. [Google Scholar] [CrossRef]
- Falkowski, M.J.; Domański, P.D. Causality analysis with different probabilistic distributions using transfer entropy. Appl. Sci. 2023, 13, 5849. [Google Scholar] [CrossRef]
- Podlubny, I. Fractional Differential Equations: An Introduction to Fractional Derivatives, Fractional Differential Equations, to Methods of Their Solution and Some of Their Applications; Elsevier: Amsterdam, The Netherlands, 1998. [Google Scholar]
- Balcı, M.A.; Akgüller, Ö.; Batrancea, L.M.; Nichita, A. The Impact of Turkish Economic News on the Fractality of Borsa Istanbul: A Multidisciplinary Approach. Fractal Fract. 2023, 8, 32. [Google Scholar] [CrossRef]
- Cheow, Y.H.; Ng, K.H.; Phang, C.; Ng, K.H. The application of fractional calculus in economic growth modelling: An approach based on regression analysis. Heliyon 2024, 10, e35379. [Google Scholar] [CrossRef]
- Ali, I.; Khan, S.U. A dynamic competition analysis of stochastic fractional differential equation arising in finance via pseudospectral method. Mathematics 2023, 11, 1328. [Google Scholar] [CrossRef]
- Qiu, L.; Yang, H. Transfer entropy calculation for short time sequences with application to stock markets. Phys. A Stat. Mech. Its Appl. 2020, 559, 125121. [Google Scholar] [CrossRef]
- Zhou, W.; Huang, J.; Wang, M. Multifractal Characteristics and Information Flow Analysis of Stock Markets Based on Multifractal Detrended Cross-Correlation Analysis and Transfer Entropy. Fractal Fract. 2024, 9, 14. [Google Scholar] [CrossRef]
- Caserini, N.A.; Pagnottoni, P. Effective transfer entropy to measure information flows in credit markets. Stat. Methods Appl. 2022, 31, 729–757. [Google Scholar] [CrossRef]
- Kostoska, O.; Mitikj, S.; Jovanovski, P.; Kocarev, L. Core-periphery structure in sectoral international trade networks: A new approach to an old theory. PLoS ONE 2020, 15, e0229547. [Google Scholar] [CrossRef]
- Bonetti, P.; Metelli, A.M.; Restelli, M. Causal feature selection via transfer entropy. In Proceedings of the 2024 International Joint Conference on Neural Networks (IJCNN), Yokohama, Japan, 30 June–5 July 2024; IEEE: Piscataway, NJ, USA, 2024; pp. 1–10. [Google Scholar]
- Jizba, P.; Lavička, H.; Tabachová, Z. Causal inference in time series in terms of Rényi transfer entropy. Entropy 2022, 24, 855. [Google Scholar] [CrossRef] [PubMed]
- Jizba, P.; Lavička, H.; Tabachová, Z. Rényi Transfer Entropy Estimators for Financial Time Series. Eng. Proc. 2021, 5, 33. [Google Scholar] [CrossRef]
- Mester, A.; Pop, A.; Mursa, B.E.M.; Greblă, H.; Dioşan, L.; Chira, C. Network analysis based on important node selection and community detection. Mathematics 2021, 9, 2294. [Google Scholar] [CrossRef]
- Trivedi, R.; Patra, S.; Sidqi, Y.; Bowler, B.; Zimmermann, F.; Deconinck, G.; Papaemmanouil, A.; Khadem, S. Community-based microgrids: Literature review and pathways to decarbonise the local electricity network. Energies 2022, 15, 918. [Google Scholar] [CrossRef]
- Sánchez-Arrieta, N.; González, R.A.; Cañabate, A.; Sabate, F. Social capital on social networking sites: A social network perspective. Sustainability 2021, 13, 5147. [Google Scholar] [CrossRef]












Disclaimer/Publisher’s Note: The statements, opinions and data contained in all publications are solely those of the individual author(s) and contributor(s) and not of MDPI and/or the editor(s). MDPI and/or the editor(s) disclaim responsibility for any injury to people or property resulting from any ideas, methods, instructions or products referred to in the content. |
© 2025 by the authors. Licensee MDPI, Basel, Switzerland. This article is an open access article distributed under the terms and conditions of the Creative Commons Attribution (CC BY) license (https://creativecommons.org/licenses/by/4.0/).
Share and Cite
Akgüller, Ö.; Balcı, M.A.; Batrancea, L.M.; Gaban, L. Fractional Transfer Entropy Networks: Short- and Long-Memory Perspectives on Global Stock Market Interactions. Fractal Fract. 2025, 9, 69. https://doi.org/10.3390/fractalfract9020069
Akgüller Ö, Balcı MA, Batrancea LM, Gaban L. Fractional Transfer Entropy Networks: Short- and Long-Memory Perspectives on Global Stock Market Interactions. Fractal and Fractional. 2025; 9(2):69. https://doi.org/10.3390/fractalfract9020069
Chicago/Turabian StyleAkgüller, Ömer, Mehmet Ali Balcı, Larissa Margareta Batrancea, and Lucian Gaban. 2025. "Fractional Transfer Entropy Networks: Short- and Long-Memory Perspectives on Global Stock Market Interactions" Fractal and Fractional 9, no. 2: 69. https://doi.org/10.3390/fractalfract9020069
APA StyleAkgüller, Ö., Balcı, M. A., Batrancea, L. M., & Gaban, L. (2025). Fractional Transfer Entropy Networks: Short- and Long-Memory Perspectives on Global Stock Market Interactions. Fractal and Fractional, 9(2), 69. https://doi.org/10.3390/fractalfract9020069

